Abstract
The worldwide transformation of electricity production goes hand in hand with increasing use of wind energy. The German ‘Energiewende’ project is no exception and relies heavily on the construction and use of an ever-increasing number of wind turbines. While the operation of wind turbines does not lead to the emission of pollutants (in contrast to, e.g. coal, oil or gas), the production processes of the construction materials do. Since the raw materials’ production primarily takes place outside Germany, radioactivity and doses related to these processes occur at remote places in the world. This effect might be called an ‘export of doses’. In the present paper, we perform a life cycle analysis of wind turbines, investigating the mining and production of the construction materials. We focus on rare-earth elements needed for the generator magnets and assess the associated releases of radioactive materials during mining and processing, primarily in China. Estimates of dose to the public in selected Chinese cities are calculated. Different electricity generation techniques are compared by the use of the quantity (collective) dose per GW per year.
Introduction
As part of the so-called ‘Energiewende’, Germany started the process of transforming the national electricity production. Conventional large-scale power plants using coal, lignite, oil or uranium for fuel are being replaced by decentralised renewable technologies(1). Also, on a global scale, the installed capacity of photovoltaic plants and wind turbines increases continuously. The global primary energy produced from renewable sources increased by +3.2 EJ in 2019. The largest contributor with an increase of +1.4 EJ is the energy production because of wind, followed by solar with +1.2 EJ(2).
The increasing share of renewables fosters the need for evaluating potential risks to man and environment. The present work examines in an exemplary approach the radioecological footprint of wind turbine production and operation in a life cycle analysis. The results help to identify high exposure situations and may help to put the radioactivity in wind turbines in a broader perspective. Furthermore, awareness needs to be raised on how low-emission technologies in one country might lead to radiation doses and risk to workers and the population in others. While this ‘export of doses’ is a very general issue in today’s globalised economy, the present work focuses on radiological risk arising from the mining of rare-earth minerals for the production of neodymium required for building a specific type of wind turbine generator.
From the literature data of selected mining and production areas, doses to workers and the general population are estimated. These doses are normalised to unit electricity produced by wind turbines and are compared with values for electricity production by conventional plants. Finally, the collective dose per GW per year is compared with the estimated values of the UNSCEAR report from 2016(3).
Method of this study
The study relies on desk research with special focus on data from peer-reviewed articles and conference papers. To cover the production chain of the construction materials several production steps are investigated. However, the literature for those steps is scarce. Only little additional literature to check the reliability is published. For the raw data of the production steps, only publications indexed in the Web of Science are used, to ensure a minimum quality.
As a preliminary working hypothesis, we assume that the limited data available is representative of the examined processing step. Generally, many numbers suffer from a large uncertainty, which is accounted for in the model calculations done. In order to perform weighted parameter fits, assumptions concerning the weighting factors were made and detailed at the respective place in the text. It should be considered that the dose values obtained in this work result mainly from conservative assumptions.
To calculate the received doses because of the use of wind energy for electricity generation, a life cycle analysis of the wind turbines is performed using the following assumptions: Only the mining and processing of raw materials needed for construction of wind turbines leads to significant exposure. Exposures during erection, operation, decommissioning and afterwards are not considered significant. Furthermore, maintenance (e.g. generator replacement) and material recycling are not considered.
For the examination, a direct drive 3 MW wind turbine with a lifetime of 22.5 y and an efficiency of 24% is chosen. For this type of turbine, information about the constituents and materials contained is available. The average turbine capacity, considering all operating turbines, in Germany amounts to 2 MW(4) today. However, more and more large turbines are built up to 5 MW capacity(5), indicating an increase in the average size in the near future, which motivates our choice of 3 MW for the present calculation. In 2019, 26% of all turbines worldwide were equipped with direct drive generators(6). Ault et al.(7) estimate that in 80% of direct drive generators, rare-earth magnets are used. This usage of rare-earth elements causes particularly high radiological consequences (as we show later). Therefore, we consider as an example the direct-drive generator with a neodymium magnet for our calculations. A 22.5 y lifetime is chosen, motivated by the interval ranging from 20 to 25 y given by Jensen et al.(8). The mean efficiency of 24% is estimated from the mean electricity production data of 2020 in Germany(9).
Jensen et al.(8) examined the total material requirements of a wind farm. They investigated the recycling potential of a 60 MW wind farm and listed the amount of material needed. No information on the number of turbines is given. However, the fact that direct-drive 3 MW turbines are discussed in detail, and neodymium magnets are considered motivates the assumed partition of 20 wind turbines of 3 MW each.
Table 1 compiles the masses of the materials based on the numbers provided by Jensen et al. Ferrous metals and composite material account for the biggest share. Suffice data for examining the radioactivity in different parts of the production chain of these materials are available only for ferrous metals and neodymium. From these two, neodymium is, according to our estimations below, far more relevant from the radiological point of view.
Table 1.
Total used materials for a 60 MW wind farm from Jensen et al.(8).
| Material | Mass (kg) |
|---|---|
| Ferrous metal | 6 560 000 |
| Aluminium | 104 000 |
| Composite materials | 660 000 |
| Lubricating oil | 30 000 |
| Electronics | 124 000 |
| Batteries | 36 000 |
| Fluorescent lamps | 3 800 |
| NdFeB magnet | 40 000 |
| Copper | 292 000 |
| Balsa Wood | 29 000 |
| Plastic | 44 600 |
| Total | 7 923 400 |
Dose calculation
Our analysis is focused on the exposure related to the mining and processing of rare-earth minerals. Neodymium itself has a very long-lived radionuclide 144Nd (
, alpha decay), but its radioactivity can be disregarded from the radiation protection point of view. Other rare-earth elements also contain radioactive isotopes with a very large half-life (e.g. 138La, 147Sm and 176Lu) that do not really contribute to doses.
Relevant exposure originates from uranium and thorium present in the rare-earth minerals(7). Even though data of decay-series radionuclides in metallic neodymium have not yet been published in the available literature, the processing and purification of the neodymium(10) remove uranium and thorium as well as their decay products, which motivate our assumption that the magnets do not contain relevant amounts of radioactivity. Consequently, exposure during operation, construction, decommissioning of wind turbines and disposal of waste on landfills is negligible from a radiation protection point of view.
From the data of Jensen et al.(8) for the 60 MW wind farm, we calculate 328 000 kg ferrous metals required for the structural material of one 3 MW turbine. Its magnet weight is calculated to be 2000 kg, from which ~72 wt% is attributed to iron(11), resulting in the used values of 560 kg for neodymium and 1440 kg for iron. We do not modify the amount of needed material in between production steps, e.g. to account for ore grades.
In order to obtain estimates of annual collective dose, we assess the production processes of iron and neodymium, respectively. In the case of neodymium mining, two major parameters need to be taken into account. We start with data for aqueous and/or gaseous discharge of the mine or production facility. Besides neodymium, often other elements are mined and processed. Hence, we have to calculate the proportion of neodymium of the total production and take into account only this fraction for calculating dose. If, for instance, neodymium accounts for 20% of the total mass, 20% of the annual effective dose because of the facilities’ release will be included in our calculation for the production of generator magnets. In a second step, we calculate the fraction of 1-y production quantity that is needed to build the magnet of one 3 MW turbine generator.
Since all available data do not allow a comprehensive statistical analysis of the collective effective dose, we estimate ranges from the upper and lower boundaries of the input parameters. This may lead to asymmetric intervals. Because of a lack of data, in some cases, different assumptions were made, noted at the respective text passage.
The calculation and the used values for the parameters listed in Table 2 are similar to those proposed in the UNSCEAR 2000 report(12). Each step of the production process is discussed separately, and the parameter values are stated. The values taken from the literature are based on different types of measurements. Consequently, the mathematical model for calculating the additional annual effective dose depends on the specific set of data; however, particular attention is paid to its compliance with the UNSCEAR 2000 report. The following calculation is unified for every data set.
Table 2.
List of general parameters.
| Symbol | Name | Value | Unit |
|---|---|---|---|
| S | Collective dose | manSv | |
| Sa | Sum of collective dose per GW per year | manSv GW−1 a−1 | |
| E | Additional annual effective dose | mSv | |
| E* | Weighted additional annual effective dose | mSv | |
| N | Number of persons who were exposed | ||
| m | Amount of material needed for 3 MW wind turbine | kg | |
| M | Annual amount of produced material | kg | |
| P | Installed power of the wind turbine | 0.003 | GW |
|
Efficiency | 0.24 | |
|
Lifetime of the wind turbine | 22.5 | a |
From the annual effective dose E per member of the public or per worker because of operation of the mine or plant, the ‘weighted additional annual effective dose’ E* because of the production of material for one 3 MW turbine is calculated as follows:
![]() |
(1) |
M denotes the total annual amount of mined or produced material and m the material needed for one 3 MW wind turbine. Multiplying E* by the number of exposed people (N) results in the collective dose (S):
![]() |
(2) |
Finally, the sum of collective doses because of the production of both materials is normalised to the amount of electric energy produced during the lifetime of the wind turbine. This normalisation was adapted from the UNSCEAR 2016 report(3) for the sake of comparability.
This normalised collective dose Sa is referred to the produced energy, calculated by:
![]() |
(3) |
where τ is the lifetime of the turbine, η the mean efficiency for electricity production (produced energy/installed capacity × time) and P the installed capacity.
In this study, we consider only two different materials, ferrous materials and neodymium. It must be mentioned that the production of other materials in Table 1 is connected with NORM and, consequently, with radiation exposures, too. For instance, the oil and gas production, the basis of organic compounds, the mining of ores other than uranium (like copper) and the production of tin, copper, aluminium, zinc, lead, and iron and steel are listed in the IAEA report(13) as industry sectors are most likely to require regulatory consideration from the radiation protection point of view.
Ferrous metals
First, the exposure because of the tailing of iron ore mining is examined(8, 12,14–18). Zhuang et al.(14) measured the nuclides 40K, 226Ra and 232Th on the tailing. We assume that workers of that facility are exposed to external gamma rays while working on the tailing pond.
Second, the exposure of persons of the public as a consequence of the production of steel is considered. The main exposure source in processes related to steel production is dust released from the blast furnace process. This dust is characterised by enhanced 210Pb and 210Po activities (M5-material according to Gellermann et al.(19)).
Jia et al.(16) measured 210Pb and 210Po in the vicinity of a steel plant. An estimate of the effective dose because of ingestion via the dry deposition pathway on plant-based products (in compliance with(20)) yields ~500
Sv per year for infants. If one assumes that a share of 10% of the consumed plants is grown locally and excludes infants, then the remaining dose is small. Therefore, we only include the path of inhalation for this source, because of fewer presumptions. Certainly, those arguments are heavily dependent on the respective region.
Another set of data relevant to workers was measured inside a steel plant by Khater and Bakr(21). The obtained concentrations of 210Po and 210Pb in a sample of blast furnace dust are used in this work to calculate the exposure resulting from inhalation for workers(12, 17, 18). All data sets related to ferrous metals are listed again in Table 3. The dose coefficient related to dust inhalation depends on the ratio between 210Pb and 210Po. With the activity concentrations given in Table 3, the effective dose coefficient is about 2.5
Sv/Bq 210Pb.
Table 3.
Raw data used for the dose estimation attributed to ferrous metals.
| 226Ra | 232Th | 40K | Unit | Reference | |
|---|---|---|---|---|---|
| Tailing pond | 24 (17–32) | 14 (9.3–18) | 738 (717–762) | Bq kg−1 | (14) |
| Tailing pond background | 32 | 41 | 440 | Bq kg−1 | (12) |
| 210 Pb | 210 Po | ||||
| Dust of blast furnace | 2340 (2304–2376) | 470 (455–485) | Bq kg−1 | (21) | |
| Airborne conc around steel plant | 812 (618–1087) | 291 (154–564) |
Bq m−3
|
(16) | |
| Around steel plant background | 399 (382–416) | 48.5 (45.2–51.8) |
Bq m−3
|
(16) |
Neodymium
For neodymium, the available data were mainly measured around the region of Bayan Obo. This is a Chinese iron mine, which outputs rare-earth metals as a by-product(7). As the main producer, China dominates the rare-earth metals market(7, 22). Though only from a single mine, the data may nevertheless be considered representative, since it is the world’s largest rare-earth deposit. More than 80% of the Chinese light rare-earth resources are located there (23). The mine is located in the administrative area of Baotou in the northern part of China. The smelting of the ore takes place in the next biggest city Baotou.
Dose because of inhalation in the mining area and in the smelting area
The radiological situation because of inhalation exposure around the Chinese mining and smelting districts was examined by Wang et al.(24). The samples were obtained by a personal inhalation exposure sampler (cut size
), which was worn by 10 volunteers near the mining area (Bayan Obo) and by nine volunteers near the smelting area (Baotou City). The samplers were worn for 24 h, and each volunteer did wear three samplers on consecutive days. The activity concentration of 232Th (
) was examined.
A mean 232Th-concentration of 5.97 mBq m−3 for the mining area and 5.79 mBq m−3 for the smelting area was found (24), again listed in Table 4. This is much more than the natural background activity, which can be estimated from a mean dust concentration of 0.05–0.1 mg/m3 and a 232Th-activity concentration in soil of 0.02–0.05 Bq/g to be about 0.001–0.005 mBq m−3. This range of background concentrations is orders of magnitude lower than the measured 232Th-concentrations in the mining and smelting areas, which justifies neglecting the background. Because dust from mining comes from minerals that have been treated by mechanical processes only, it can be classified as ‘M1-material’ according to Gellermann et al.(19), and the 232Th-decay chain has to be considered in secular equilibrium.
Table 4.
Concentrations in the samplers conducted by Wang et al.(24).
Bayan Obo ( ) |
Baotou City
|
|
|---|---|---|
| 232Th | 5.97 (1.81–11.62) | 5.79 (2.38–11.82) |
The following model of exposure is used to determine the annual effective dose because of inhalation of dust:
![]() |
(4) |
B is the breathing rate, F the indoor occupancy factor and Fr denotes the indoor air to outdoor air concentration ratio of 232Th. According to data given in the Safety Report No. 68 of the IAEA(25), the activity ratio 238U/232Th can be estimated of about 0.1–0.25. With that information, we calculate a combined effective dose coefficient d for 232Th, 238U and 235U series and their decay products to be 53.56
Sv/Bq 232Th (see Table 5 for details). This is several times higher than the dose coefficient of dust from the steel production(19). Because the sampler used for the aerosol collection had a cut-off of 10
m, dose coefficients according to ICRP 119 for members of the public that are defined for aerosols with AMAD 1
m overestimate the doses. For that reason, we apply dose coefficients for aerosols of AMAD 5
m for occupational exposure from ICRP 119 for dose estimations of persons of the public, too. Furthermore, we use the dose coefficients for lung-clearance class M except for thorium isotopes (Class S) and Ac-227 (Class F) (27).
Table 5.
Calculation of dose coefficient for inhalation of minerals of neodymium production (N-processes) containing 232Th, 238U and 235U series. Occupational coefficients are taken from ICRP 119(26). The weights indicated by a are calculated by scaling the activity of 238U to 235U (
). Here w denotes the weights, As the specific activity and f (=0.007204) refers to the relative abundance of 235U.
| Nuclid-specific dose coefficient | Value ( Sv Bq−1) |
Weight | Weighted value ( Sv Bq−1) |
|---|---|---|---|
232Th (slow, 5 ) |
12 | 1 | 12 |
228Ra (medium, 5 ) |
1.7 | 1 | 1.7 |
228Th (slow, 5 ) |
25 | 1 | 25 |
224Ra (medium, 5 ) |
2.4 | 1 | 2.4 |
238U (medium, 5 ) |
1.6 | 0.25 | 0.4 |
234U (medium, 5 ) |
2.1 | 0.25 | 0.525 |
230Th (slow, 5 ) |
7.2 | 0.25 | 1.8 |
226Ra (medium, 5 ) |
2.2 | 0.25 | 0.55 |
210Pb (fast, 5 ) |
1.1 | 0.25 | 0.275 |
210Po (medium, 5 ) |
2.2 | 0.25 | 0.55 |
235U (medium, 5 ) |
1.8 | 0.0116a | 0.02 |
231Pa (medium, 5 ) |
89 | 0.0116a | 1.03 |
227Ac (fast, 5 ) |
630 | 0.0116a | 7.31 |
| Total (per Bq 232Th) | 53.56 |
Adapting all values from the UNSCEAR report(12), we used the breathing rate of an adult person of the public B =
, the indoor occupancy factor F = 0.8 (contrary to 0.92 in the original work (24)) and Fr = 0.3. The parameters are listed again in Table 6. The next equation shows an example calculation for the mining area:
Table 6.
Parameters and values for the calculation of the inhalation in the mining area and in the smelting area, a indicates a particular value of the raw data.
| Symbol | Name | Value | Unit |
|---|---|---|---|
| E | Additional annual effective dose | mSv | |
| B | Breathing rate for persons of the public | 22.2 | m3 d−1 |
| F | Indoor occupancy factor | 0.8 | |
| Fr | Ratio of indoor to outdoor air concentration | 0.3 | |
| d | Combined effective dose coefficient for the 232Th, 238U and 235U series (see Table 5) | 0.05356 |
Sv Bq−1
|
|
Activity concentration in samplers | 5.97a | mBq m−3 |
| m | Needed mass of neodymium per 3 MW turbine | 560 | kg |
| Mmine | Total mass of produced rare-earth metals | 55 000 000 | kg |
| Msmelting | Total mass of produced rare-earth metals | 55 000 000 | kg |
|
Number of exposed inhabitants in Bayan Obo | 23 000 | |
|
Number of exposed inhabitants in Baotou City | 1 510 000 |
![]() |
(5) |
Population numbers are taken from a web-based source, referring to the 2020 Chinese census(28). Bayan Obo is listed with 23 000 inhabitants. Baotou City, on the other hand, consists of multiple districts. After comparing the sampling locations from Li et al.(29) (discussed in the next chapter) with the districts, we consider inhabitants of Kūndūlún Qū (790 000) and Qīngshān Qū (720 000) to be exposed to the airborne 232Th concentrations. This approach leads to identical population numbers for this and the following sources.
The mine produces 55 000 metric tons of rare-earth metals per year (7). We assume that the full production of the mine is smelted in the metallurgical area in the western part of the city Baotou because the two areas (~150 km apart) are connected by a railway, which is used 24 h each day for the transport of ore. This information is taken from an environmental impact study of that transport by Wang et al.(30).
With these values for population and production, the weighted effective dose and the collective dose are calculated, here for Bayan Obo:
![]() |
(6) |
![]() |
(7) |
Dose because of external gamma-rays in the mining area and in the smelting area
The concentration of nuclides in soil was examined with in situ gamma-ray spectrometry by Li et al.(29). Sampling took place in the mining area as well as in the smelting area. For both areas, the samples are categorised into:
(1) taken from the living area
(2) next to the tailing dam
(3) directly from the tailing.
For every category, the content of the elements potassium, uranium and thorium (
) was examined. The original data including the background is listed in Table 7.
Table 7.
Raw data from Li et al. for the mining area (Bayan Obo) and the smelting area (Baotou City)(29). The values represent the share of mass of the element in the examined sample. The values of potassium are converted from % to mg/kg in comparison to the original data.
| Tailing (mg kg−1) | Next to tailing (mg kg−1) | Living area (mg kg−1) | |
|---|---|---|---|
| Thorium, background 9.30 mg kg−1 | |||
| Bayan Obo | 276 (275–276) | 39.6 (2.40–81.6) | 26.2 (17.1–35.2) |
| Baotou City | 321 (290–352) | 13.4 (8.74–18.1) | 12.6 (7.80–17.4) |
| Uranium, background 2.55 mg kg−1 | |||
| Bayan Obo | 5.70 (5.13–6.27) | 1.92 (1.34–2.50) | 2.93 (2.78–3.08) |
| Baotou City | 3.02 (1.98–4.06) | 2.22 (1.85–2.59) | 2.88 (1.24–4.52) |
| Potassium, background 21 800 mg kg−1 | |||
| Bayan Obo | 20 500 (19 800–21 200) | 30 100 (25 000–35 200) | 31 300 (28 800–33 800) |
| Baotou City | 28 600 (25 900–31 300) | 19 000 (15 600–22 400) | 22 400 (14 900–29 900) |
![]() |
(8) |
![]() |
(9) |
The annual effective dose because of external exposure by gamma rays from 40K, 232Th and 238U is obtained by using:
Here
denotes the measured background from Li et al.(29).
are the dose coefficients from the UNSCEAR report of the year 2000(12),
are the relative abundances of the elements’ isotopes and the specific activities
are calculated from Vogt and Vahlbruch(31). The parameters are found in Table 8. The dose coefficients account for effective dose from the 232Th and 238U series by assuming an equilibrium and a thick contaminated soil. Because the excess activity in the living areas comes from the dust deposition, the thickness of the contamination is estimated to be smaller than 0.2 m based on experience with depth distributions of 137Cs or 210Pb in soil (32). Therefore, the application of the dose coefficient of thick contaminated layers results in a conservative value.
Table 8.
Parameters and values for the calculation of dose because of external gamma-rays in the mining area and in the smelting area, a indicates a particular value of the raw data.
| Symbol | Name | Value | Unit |
|---|---|---|---|
| E | Additional annual effective dose | mSv | |
|
Dose coefficient for external gamma because of NORM for 40K | 0.029 | nSv kg h−1 Bq−1 |
|
Dose coefficient for external gamma because of NORM for 232Th-decay series | 0.46 | nSv kg h−1 Bq−1 |
|
Dose coefficient for external gamma because of NORM for 238U-decay series | 0.30 | nSv kg h−1 Bq−1 |
|
Natural mass share of 40K from potassium | 0.000117 | |
|
Natural mass share of 232Th from thorium | 1 | |
|
Natural mass share of 238U from uranium | 0.9927 | |
|
Share of the potassium in the ground | 31 300a | mg kg−1 |
|
Share of the thorium in the ground | 26.2a | mg kg−1 |
|
Share of the uranium in the ground | 2.93a | mg kg−1 |
|
Specific activity 40K | 265 | Bq mg−1 |
|
Specific activity 232Th | 4.05 | Bq mg−1 |
|
Specific activity 238U | 12.4 | Bq mg−1 |
| tonly_tailing | Annual duration of exposure on tailing | 500 | h |
| twork | Annual duration of exposure next to tailing | 2000 | h |
| tliving | Annual duration of exposure while in living area | 8760 | h |
| m | Needed mass of neodymium per 3 MW turbine | 560 | kg |
|
Total mass of produced rare-earth metals | 55 000 000 | kg |
|
Total mass of produced rare-earth metals | 55 000 000 | kg |
|
Number of exposed workers working on the tailing (Bayan Obo) | 100 | |
|
Number of exposed workers working next to tailing (Bayan Obo) | 6000–100 | |
|
Number of exposed inhabitants in living area (Bayan Obo) | 23 000–6000 | |
|
Number of exposed workers working on the tailing (Baotou City) | 600 | |
|
Number of exposed workers working next to tailing (Baotou City) | 40 000–600 | |
|
Number of exposed inhabitants in living area (Baotou City) | 1 510 000–40 000 |
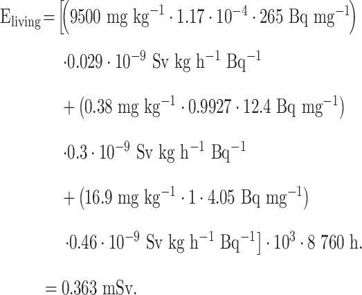
An example calculation for the mining area is as follows:
![]() |
(10) |
The categorisation of Li et al.(29) enables the distinction between three different exposure scenarios for the representative person.
(1) Resident in the living area
(2) Worker at the facility
(3) Worker on top of the tailing
In 1 year (8760 h), the residents obtain an additional dose of Eliving. The occupational dose of workers, however, depends on the location of their workplace. Workers not employed on the tailing pond receive Ework, which assumes 2000 h per year at the facility (50 weeks per year, 5 d per week). For persons who are workings on the tailing pond, we assume a schedule of 2 h per day (500 h per year) on the tailing pond, adapted from Liu and Pan(15), and the remaining 6 h (1500 h per year) at the facility. This approach yields Ework,tailing, which is calculated by adding the dose received on the tailing (Eonly_tailing) and the dose, scaled to the exposure time, from other work within the facility:
![]() |
(11) |
Following the argument of the previous chapter, we assume 23 000 residents for Bayan Obo, the town close to the mining area. The two districts Kūndūlún Qū and Qīngshān Qū are used as an estimate for the number of exposed people in Baotou City because they are the closest to the facility and match with the location of measurements by Li et al.(29). As stated by Ault et al.(7), 6000 workers are employed in the mine at Bayan Obo. Assuming the same fraction of the population to be employed in facilities for Baotou City as in Bayan Obo would overestimate the exposed workforce as there should be a larger secondary sector in the big city. We limit the number of workers to 10% of that fraction, see Equation 12, which yields ~40 000 exposed workers. No data are available to quantify the number of workers on the tailing for the last category. We assume 100 workers for Bayan Obo and 600 for Baotou City.
![]() |
(12) |
A person working in the mine most likely resides in the city. To avoid double counting a person, we deduct the number of workers from the residents. The calculation of the weighted annual effective dose and the collective dose for members of the public living in the mining area is performed according to the following equations:
![]() |
(13) |
![]() |
(14) |
Exposure because of the processing of rare-earths
The exposure of employees working in a processing plant for rare-earth minerals located in Kerala, India, was examined by Haridasan et al.(33). The external gamma exposure was measured monthly with a scintillometer at different locations in the facility. In addition, air samples were collected, which were used to estimate the potential alpha energy concentration (PAEC) because of 220Rn progeny and the concentration of long-lived alpha-emitting nuclides. By assuming equilibrium up to 224Ra, Haridasan et al.(33) determined a so-called equivalent activity of 232Th (
), see Table 9.
Table 9.
Raw data for the processing plant from Haridasan et al.(33).
| Type | Value | Unit |
|---|---|---|
| External gamma exposure | 0.50 (0.30–0.80) |
|
| External gamma exposure background | 0.15 |
|
| 220Rn progeny | 41 (31–51) |
|
| Airborne 232Th | 3 (2–4) |
|
The following model is used to calculate the inhalation dose for the employees because of the equivalent activity of 232Th assuming equilibrium up to 224Ra:
![]() |
(15) |
B is the breathing rate and d’ denotes the dose coefficient for inhalation. It should be noted that the progeny of 224Ra is considered via the following PAEC measurement.
Comparing the calculated dose (~210
Sv) with the background from natural radiation sources, stated in the UNSCEAR report from 2000 (12) with 5.8
Sv for the uranium and thorium series, justifies neglecting the background.
The breathing rate B =
for occupational exposure, taken from the UNSCEAR report from 2000(12), exceeds the one for members of the public because workers perform physical activity during the exposure. We assume t =
h of work per year and apply the dose coefficient d’ for 232Th bound to aerosols of 5
m median diameter valid for occupational exposure(26).
The model for the exposure because of the obtained annual PAEC (J) levels is shown as follows:
![]() |
(16) |
First, we convert the unit of the PAEC from working level (WL) to working level month (WLM) by using the annual working hours (t), guided by the Bundesamt für Strahlenschutz(34). Afterwards, multiplying with the dose conversion factor (u) results in the annual effective dose. In contrast to the original study by Haridasan et al.(33), an updated dose conversion factor from WLM to the effective dose of
instead of
is used, based on the recommendation of the German commission on radiological protection(35), which leads to an overall higher contribution by thoron progeny.
No information on whether a background was considered in Bellamy(32) is available. Because of the comparatively low ratio of background to signal for airborne 232Th at this facility, we assume that no correction is needed for the measured PAEC. Summing up both contributions regarding inhalation yields an annual dose of 2.62 mSv for employees of the processing facility, out of which 2.41 mSv can be attributed to thoron progeny.
For the external gamma exposure, the following model is used:
![]() |
(17) |
denotes the dose rate, and
denotes the dose rate because of natural background measured outside of the premises of the facility. d is the conversion factor given as
(12). t refers to the exposure time. All used parameters are compiled in Table 10.
Table 10.
Used parameters for the exposure because of the processing of rare-earths. a indicates a particular value of the raw data.
| Symbol | Name | Value | Unit |
|---|---|---|---|
| E | Additional annual effective dose | mSv | |
| B | Breathing rate | 28.8 | m3 d−1 |
| t | Annual working hours | 2000 | h |
|
Equivalent activity of 232Th concentration in air | 3a | mBq m−3 |
| d’ | Dose coefficient of 232Th (medium, 5 ) |
29 |
Sv Bq−1
|
| J | Potential alpha energy concentration | 41a | mWL |
| u | Dose conversion factor from WLM to effective dose | 5 | mSv WLM−1 |
| m | Needed mass of neodymium per 3 MW turbine | 560 | kg |
|
External gamma exposure rate | 0.5a |
|
|
Background external gamma exposure rate | 0.15 |
|
| d | Conversion factor from dose rate to effective dose rate | 0.7 | Sv Gy−1 |
| M | Total mass of produced rare-earth metals | 3 600 000 | kg |
| N | Number of exposed persons working in processing plant | 380 |
Neither name of the company nor information on the annual production and the number of employees of the processing plant was given in the original study(33). However, the authors acknowledged the “Rare Earths Division Aluva” for allowing them to perform measurements at their site. According to the company’s website, this particular facility produces 3.6 million kg of rare-earths per year(36). The detailed information agrees well with the examined ores and the location stated in the paper. No information on the number of employers on this specific site is available. However, in their annual report 17/18(37) the company lists a total of 1521 employees. Four running facilities are mentioned on the website; therefore, we assume one-fourth of the workforce is exposed.
The weighted annual effective dose and the collective dose because of external exposure in the processing plant are calculated as follows:
![]() |
(18) |
![]() |
(19) |
Discussion and overall evaluation
The overall collective dose per GW per year is calculated by summing up the collective doses of the individual sources, shown in Table 11. By using the parameters of a typical 3 MW wind turbine, discussed earlier, we calculate an overall collective dose per GW per year of 1.15 manSv/(GW a). Including uncertainties, the value ranges from 1.92e-1 manSv/(GW a) to 3.15 manSv/(GW a).
Table 11.
Overview of examined sources, E for external exposure, I for inhalation, o for occupational dose and p for dose of the public. FM indicates sources attributed to ferrous metal production processes, whereas N indicates sources assigned to neodymium production processes.
| Name | Process | Path of exposure | Exposed group | Effective dose (mSv) | Weighted effective dose (mSv) | Collective dose (manSv) |
|---|---|---|---|---|---|---|
| Tailing iron | FM | E | o | 4.49e−3 | 1.08e−9 | 1.08e−7 |
| Surrounding of steel plant | FM | I | p | 1.20e−2 | 3.28e−10 | 6.30e−5 |
| Inhalation of dust at steel plant | FM | I | o | 2.84e−2 | 6.85e−9 | 4.80e−6 |
| Inhalation Bayan Obo | N | I | p | 1.14e−0 | 1.16e−8 | 2.67e−4 |
| Inhalation Baotou City | N | I | p | 1.11e−0 | 1.13e−8 | 1.70e−2 |
| Bayan Obo tailing | N | E | o | 3.57e−1 | 3.63e−9 | 3.63e−7 |
| Bayan Obo work, tailing | N | E | o | 1.37e−1 | 1.39e−9 | 8.23e−6 |
| Bayan Obo living area | N | E | p | 3.63e−1 | 3.70e−9 | 6.29e−5 |
| Baotou City tailing | N | E | o | 3.05e−1 | 3.11e−9 | 1.86e−6 |
| Baotou City work, tailing | N | E | o | 1.50e−2 | 1.53e−10 | 6.02e−6 |
| Baotou City living area | N | E | p | 6.90e−2 | 7.03e−10 | 1.03e−3 |
| Processing plant | N | E | o | 4.90e−1 | 7.62e−8 | 2.90e−5 |
| Processing plant | N | I | o | 2.62e−0 | 4.08e−7 | 1.55e−4 |
| Total | 1.86e−2 |
![]() |
(20) |
Summing up the assumed number of exposed persons for every source in this study results in ~3.3 million exposed persons, out of which about 193 000 can be attributed to ferrous metals. It has to be considered that the evaluated sources cover similar geographical areas but different exposure pathways. So the densely populated Baotou City (1.5 million) is included once for every exposure pathway.
Table 11 lists the mean annual effective dose, before weighting with the needed materials. Because of the missing weighting, these doses cannot entirely be attributed to the materials needed for wind turbines. Having that in mind, the effective dose to citizens of Bayan Obo and Baotou City exceeds 1 mSv, which is the recommendation of ICRP for members of the public(38). Combining the exposure pathways of inhalation and external radiation results in 1.5 mSv for the region around the mine and 1.8 mSv around the smelting area. Those values are not even overconservative, since an additional dose might originate from the ingestion pathway that was not considered in the present work because of very large uncertainties in dietary habits and probably low rate of self-supply.
Furthermore, the calculated doses in this paper refer to adults. However, exposure to the population does include different age groups. Therefore, a further development of the model should consider the exposure of age groups different from adults, too.
Our calculated value for occupational dose because of mining and processing (1.27e−2 manSv/GW/a) is lower than proposed by UNSCEAR for wind energy (0.1 manSv/GW/a) in their report from 2016(3), see Table 12. The biggest share of our calculated dose is because of exposure of the public (1.14 manSv/GW/a), which is not given for wind energy in the UNSCEAR report. Therefore, it is not reasonable to compare the calculated collective dose per GW per year that includes dose to workers and public with the given value of UNSCEAR for power by wind that includes only workers.
Table 12.
Comparison of different energy sources based on the UNSCEAR report from 2016(3).
| Dose (manSv/(GW a)) | Power by solar | Power by wind | Power by coal, modern | Power by coal, old | Nuclear power | Power by wind, calc |
|---|---|---|---|---|---|---|
| Collective dose, materialsa | 8.00e−1d | 1.00e−1 | 1.00e−2 | 1.00e−2 | 2.00e−1 | 1.27e−2 |
| Collective dose, publicb | /e | /e | 7.00e−1 | 1.40e−0 | 4.30e−1 | 1.14e−0 |
| Subtotal | 8.00e−1 | 1.00e−1 | 7.10e−1 | 1.41e−0 | 4.50e−1 | 1.15e−0 |
| Collective dose, employeesc | /f | /f | 1.10e+1 | 1.10e+1 | 4.50e−0 | /g |
| Total | 8.00e−1 | 1.00e−1 | 1.17e+1 | 1.24e+1 | 4.95e−0 | 1.15e−0 |
Occupational dose only because of mining and processing of materials.
All shares of collective dose that contribute to an exposure of the public.
Occupational dose because of operation of examined power plant.
In the UNSCEAR 2016 report, only radiological relevant sources are examined, no information given on why it does not affect the public.
Raw earth metals are considered.
No data given.
Assumption: no exposure during operation, decommissioning.
To rank the obtained values within the energy sector, a comparison with the values from UNSCEAR 2016 for other technologies is done, listed in Table 12. When the dose for employees during operation is deducted, the calculated value is the second highest collective dose right after the collective dose of coal power plants. The ranking changes when we include the dose to operators too. The calculated collective dose for wind energy amounts to one-tenth of the collective dose because of the operation of coal plants and 23% of the collective dose because of nuclear power; however, it is a factor of 1.4 higher than the proposed value of photovoltaic electricity generation, which still lies within the calculated uncertainties.
Looking at the different collective dose contributions, our study shows that the radiation exposure primarily originates from densely populated urban areas located close to the processing facilities. Especially elevated values in Baotou City or Bayan Obo result in a high contribution to the collective dose. Consequently, there is a strong benefit of implementing new or improving established radiation protection measures for the public (and workers).
Coming back to the question raised in Introduction: countries worldwide that operate wind turbines cause radiation exposure to China (or other countries mining and processing rare-earth minerals). This effect of shifting exposures to other countries can be called ‘virtual export of doses’. Wind turbines to generate power, in most cases, are not located in the country that mines the raw materials and carries out the ‘dirty’ steps of the processing. As a consequence, the benefits and risks (e.g. dose) are geographically decoupled for wind turbines. The location where the wind turbines are operated does not fully bear the radiological risks of wind technology. This finding should be considered in communication about wind energy and furthermore increase awareness for radiation protection measures in countries mining and processing rare metals.
Contributor Information
Simon Bittner, Institute of Radioecology and Radiation Protection, Herrenhäuser Str. 2, Gebäude 4113, 30419 Hannover, Germany.
Rainer Gellermann, Nuclear Control & Consulting GmbH, Hinter dem Turme 24, 38114 Braunschweig, Germany.
Clemens Walther, Institute of Radioecology and Radiation Protection, Herrenhäuser Str. 2, Gebäude 4113, 30419 Hannover, Germany.
References
- 1.Federal Ministry for Economic Affairs and Climate Action. Our energy transition for an energy supply that is secure, clean, and affordable. https://www.bmwk.de/Redaktion/EN/Dossier/energy-transition.html (26 November 2022, Date accessed).
- 2. BP . Statistical Review of World Energy, 69th edn (2020).
- 3. United Nations Scientific Committee on the Effects of Atomic Radiation. Sources, Effects and Risks of Ionising Radiation. ISBN: 978-92-1-142316-7 (2016).
- 4. Bundesverband Windenergie . Zahlen und Fakten. https://www.wind-energie.de/themen/zahlen-und-fakten/ (26 November 2022, Date accessed).
- 5. Enercon . Technische Daten im Überblick. https://www.enercon.de/produkte/ep-5/e-160-ep5/ (26 November 2022, Date accessed).
- 6. Global Wind Energy Council . Global Wind Market Development – Supply Side Data 2019 (2020).
- 7. Ault, T., Krahn, S. and Croff, A. Radiological impacts and regulation of rare earth elements in non-nuclear energy production. Energies. 8, 2066–2081 (2015). [Google Scholar]
- 8. Jensen, J. P. Evaluating the environmental impacts of recycling wind turbines. Wind Energy. 22, 316–326 (2019). [Google Scholar]
- 9. Federal Ministry for Economic Affairs and Climate Action. Eneuerbare Energien. https://www.bmwi.de/Redaktion/DE/Dossier/erneuerbare-energien.html 26 November 2022, Date accessed. [Google Scholar]
- 10. Schreiter, W. Seltene Metalle Band II: Indium, Lithium, Molybdän, Niob, Platinmetalle, Radium, Rhenium, Rubidium, Selen, Seltene Erden, Silicium, Scandium. VEB Deutscher Verlag für Grundstoffindustrie, Leipzig. (1961).
- 11. Binnemans, K., Jones, P. T., Blanpain, B., Van Gerven, T., Yang, Y., Walton, A. and Buchert, M. Recycling of rare earths: a critical review. J. Clean. Prod. 51, 1–22 (2013). [Google Scholar]
- 12. United Nations Scientific Committee on the Effects of Atomic Radiation . Sources and Effects of Ionizing Radiation – Volume 1: Sources. ISBN: 92-1-142238-8 (2000).
- 13. IAEA . Assessing the Need for Radiation Protection Measures in Work Involving Minerals and Raw Materials. Safety Reports Series, no. 49. (Vienna: IAEA: ) ISBN: 92-0-107406-9) (2006). [Google Scholar]
- 14. Zhuang, S., Lu, X., Li, J. and Li, Q. Radiation hazard of solid metallic tailings in Shangluo, China. Nucl. Technol. Radiat. Prot. 31, 190–194 (2016). [Google Scholar]
- 15. Liu, H. and Pan, Z. NORM situation in non-uranium mining in China. Ann. ICRP 41, 343–351 (2012). [DOI] [PubMed] [Google Scholar]
- 16. Jia, G. The radiological impact of Pb-210 and Po-210 released from the iron- and steel-making plant ILVA in Taranto (Italy) on the environment and the public. J. Chem. 2013, 1–19 (2013). [DOI] [PubMed] [Google Scholar]
- 17. Egyptian Steel . Companies and plants. http://www.egyptian-steel.com/Companies-and-Factories/National-Port-Said-Steel-Company-(NPSS).aspx (20 February 2020, Date accessed).
- 18. Egyptian Steel. Companies and plants. http://www.egyptian-steel.com/Companies-and-Factories/IIC-For-Steel-Plants-Management-Company.aspx (20 February 2020, Date accessed).
- 19. Gellermann, R., Nickstadt, K. and Ahrens, C. Ermittlung und Bewertung der Strahlenexposition an Arbeitsplätzen mit natürlich vorkommenden radioaktiven Materialien (NORM) – Vorhaben 3616S12343. BMU (2018). http://nbn-resolving.de/urn:nbn:de:0221-2018071915620. [Google Scholar]
- 20. Bundesamt für Strahlenschutz . Berechnungsgrundlagen zur Ermittlung der Strahlenexposition infolge berg baubedingter Umweltradioaktivität. (2010). http://nbn-resolving.de/urn:nbn:de:0221-20100329966.
- 21. Khater, A. E. M. and Bakr, W. F. Technologically enhanced Pb-210 and Po-210 in iron and steel industry. J. Environ. Radioact. 102, 527–530 (2011). [DOI] [PubMed] [Google Scholar]
- 22. Müller, M., Schweizer, D. and Seiler, V. Wealth effects of rare earth prices and China’s rare earth elements policy. J. Bus. Ethics 138, 627–648 (2016). [Google Scholar]
- 23. Fan, H.-R., Hu, F.-F., Yang, K.-F., Pirajno, F., Liu, X. and Wang, K.-Y. Integrated U–Pb and Sm–Nd geochronology for a REE-rich carbonatite dyke at the giant Bayan Obo REE deposit, northern China. Ore Geol. Rev. 63, 510–519 (2019). [Google Scholar]
- 24. Wang, L., Zhong, B., Liang, T., Xing, B. and Zhu, Y. Atmospheric thorium pollution and inhalation exposure in the largest rare earth mining and smelting area in China. Sci. Total Environ. 572, 1–8 (2016). [DOI] [PubMed] [Google Scholar]
- 25. IAEA . Radiation protection and norm residue management in the production of rare earths from thorium containing minerals. Safety reports series, no. 68. Vienna. ISBN 978–92–0–115710–2. (2011).
- 26. ICRP . Compendium of dose coefficients based on ICRP publication 60. ICRP Publication 119. Ann. ICRP 41 (Suppl.) (2012). [DOI] [PubMed]
- 27. Kümmel, M. Strahlenexposition infolge bergbaubedingter Umweltradioaktivität: Erläuterungen zur Berechnung mit den Berechnungsgrundlagen Bergbau. Bundesamt für Strahlenschutz (BfS) (2012). http://nbn-resolving.de/urn:nbn:de:0221-201204168021.
- 28. Brinkhoff, T. China: Inner Mongolia - prefectures, leagues, cities, districts, banners and counties. http://www.citypopulation.de/en/china/neimenggu/admin/ (26 November 2022, Date accessed).
- 29. Li, B., Wang, N., Wan, J., Xiong, S., Liu, H., Li, S. and Zhao, R. In-situ gamma-ray survey of rare-earth tailings dams - a case study in Baotou and Bayan Obo districts, China. J. Environ. Radioact. 151, 304–310 (2016). [DOI] [PubMed] [Google Scholar]
- 30. Wang, L., Jiao, G., Lu, H. and Wang, Q. Environmental load of iron ore transportation, Bayan Obo mine, China. 2018 International Conference on Air Pollution and Environmental Engineering (APEE). (Bristol (UK): IOP Publishing) (2018).
- 31. Vogt, H.-G. and Vahlbruch, J.-W. Grundzüge des praktischen Strahlenschutzes. (Munich (DE): Carl Hanser Verlag) ISBN 978-3-446-44919-0 (2019).
- 32. Bellamy, M. B. et al. Federal Guidance Report No. 15 – External Exposure to Radionuclides in Air, Water and Soil. (Washington: US Environmental Protection Agency; ) (2019). [Google Scholar]
- 33. Haridasan, P. P., Pillai, P. M. B., Tripathi, R. M. and Puranik, V. D. Occupational radiation exposure due to NORM in a rare earth compounds production facility. Radiat. Prot. Dosim. 131, 217–221 (2008). [DOI] [PubMed] [Google Scholar]
- 34. Bundesamt für Strahlenschutz . Working Level Month (WLM). https://www.bfs.de/SharedDocs/Glossareintraege/EN/W/wlm.html (26 November 2022, Date accessed).
- 35. Strahlenschutzkommission . Radon dose coefficients - recommendation by the German commission on radiological protection (2017). http://nbn-resolving.de/urn:nbn:de:101:1-2018103112214175797944.
- 36. Indian Rare Earths Limited . Rare earths division aluva. http://irel.co.in/content/1479_1_RareEarthsRareEarthsDiv.aspx (19 January 2020, Date accessed).
- 37. Indian Rare Earths Limited . 68th annual report 2017–18. http://irel.co.in/WriteReadData/userfiles/file/AR1718.pdf (19 January 2020, Date accessed).
- 38. ICRP . The 2007 recommendations of the international commission on radiological protection. ICRP publication 103. Ann. ICRP 37(2–4) (2007). [DOI] [PubMed] [Google Scholar]






































