Abstract
Background
Reliable devices that quantitatively monitor the level of neuromuscular blockade after neuromuscular blocking agents’ administration are crucial. Electromyography and acceleromyography are two monitoring modalities commonly used in clinical practice. The primary outcome of this study is to compare the onset of neuromuscular blockade, defined as a Train-Of-Four Count (TOFC) equal to 0, as measured by an electromyography-based device (TetraGraph) and an acceleromyography-based device (TOFscan). The secondary outcome was to compare intubating conditions when one of these two devices reached a TOFC equal to 0.
Methods
One hundred adult patients scheduled for elective surgery requiring neuromuscular blockade were enrolled. Prior to induction of anesthesia, TetraGraph electrodes were placed over the forearm of patients’ dominant/non-dominant hand based on randomization and TOFscan electrodes placed on the contralateral forearm. Intraoperative neuromuscular blocking agent dose was standardized to 0.5 mg.kg−1 of rocuronium. After baseline values were obtained, objective measurements were recorded every 20 seconds and intubation was performed using video laryngoscopy once either device displayed a TOFC = 0. The anesthesia provider was then surveyed about intubating conditions.
Results
Baseline TetraGraph train-of-four ratios were higher than those obtained with TOFscan (Median: 1.02 [0.88, 1.20] vs. 1.00 [0.64, 1.01], respectively, p < 0.001). The time to reach a TOFC = 0 was significantly longer when measured with TetraGraph compared to TOFscan (Median: 160 [40, 900] vs. 120 [60, 300] seconds, respectively, p < 0.001). There was no significant difference in intubating conditions when either device was used to determine the timing of endotracheal intubation.
Conclusions
The onset of neuromuscular blockade was longer when measured with TetraGraph than TOFscan, and a train-of-four count of zero in either device was a useful indicator for adequate intubating conditions.
Clinical trial number and registry
URL NCT05120999, https://clinicaltrials.gov/ct2/show/NCT05120999.
Keywords: Accelerometry, Electromyography, Intubation, Neuromuscular blockade, Neuromuscular junction, Intraoperative neurophysiological monitoring
Introduction
During routine endotracheal intubation, anesthesia personnel must consider multiple elements such as ensuring adequate depth of anesthesia and appropriate neuromuscular blockade.1 While this procedure can seem routine, complications have been described with alarming frequency.2,3 Therefore, the administration of medications to optimize conditions in conjunction with monitors that confirm these medications have provided an adequate response is important to providing optimal intubating conditions.
Neuromuscular Blocking Agents (NMBAs) are a class of medications that have frequently been used to facilitate endotracheal intubation and improve surgical conditions.4 NMBAs have the potential to decrease vocal cord trauma and their omission has been associated with a higher incidence of unsuccessful first-pass intubation, difficult laryngoscopy, and upper airway discomfort.5
Objective (quantitative) neuromuscular monitoring allows for accurate neuromuscular evaluation compared to the subjective techniques with a peripheral nerve stimulator.6 Electromyography (EMG) and Acceleromyography (AMG) are the two of the more commonly used quantitative monitoring modalities used in clinical practice. While the utility of such monitors has been demonstrated with confirming adequate recovery and avoiding residual weakness, these devices can also be used to identify when optimal intubating conditions have been reached. Our primary aim is to compare the onset of NMB as defined by time from rocuronium administration until a Train-Of-Four Count (TOFC) = 0 was obtained using two different quantitative monitoring modalities. We hypothesized that the TOFC would reach zero faster with the electromyography-based TetraGraph device than the acceleromyography-based TOFscan device, given the fact that AMG is associated with higher baseline values, while both monitors would predict excellent intubating conditions.7,8
Methods
After institutional review board approval (#21-007425), and written informed consent was obtained, 100 adult patients were screened and enrolled according to applicable Standards for Reporting Diagnostic Accuracy Studies (STARD).9 We included patients scheduled for elective surgery requiring NMBAs from October 29th, 2021, to December 31st, 2021. Patients with history of systemic neuromuscular diseases (e.g., myasthenia gravis), active unilateral disorders (e.g., carpal tunnel syndrome, stroke, Dupuytren contracture) and significant organ dysfunction (e.g., end-stage renal and liver diseases) were excluded. Additionally, patients undergoing surgery that involved prepping the arm into the sterile field and receiving Rapid Sequence Induction and Intubation (RSII) were also excluded.
In this open-label investigation, all study participants were assigned to both TetraGraph and TOFscan devices. The randomization was performed utilizing REDCap (Research Electronic Data Capture) and involved the use of dominant vs. non-dominant hand for the placement of the TetraGraph device in an effort to decrease the impact of hand-dominance on objective monitoring. Patients were screened the day before the surgery and written inform consent was collected on the day of surgery after additional discussion and explanation of risks and benefits.
In accordance with recommendations from the Good Clinical Research Practice Guidelines10 and prior to induction of anesthesia, TetraGraph and TOFscan electrodes were placed on each arm over the ulnar nerve and the thenar eminence at the base of the thumb (adductor pollicis muscle). Prior to placement, the skin along the ulnar nerve at the wrists was cleansed with alcohol and the silver/silver chloride electrodes were allowed to cure for at least 30 seconds prior to neurostimulation. Induction of anesthesia consisted of 2–2.5 mg.kg−1 of propofol, 1–1.5 mg.kg−1 lidocaine, and 0.5 mg.kg−1 of rocuronium based on actual body weight. Per manufacturer recommendations, the TOFscan was not calibrated, and the default current of 60 mA was utilized. The TetraGraph device was placed in the manual mode with a current of 60 mA selected. After baseline measurements were obtained, NMBA was administered followed by a 10 ml saline flush and sets of objective measurements were recorded every 20 seconds in both devices. Duration time from rocuronium administration to TOFC = 0 was manually recorded in both devices for each patient, although the TetraGraph device has internal storage. Intubation was performed using video laryngoscopy once either device displayed a TOFC = 0. The anesthesia provider was then surveyed about intubating conditions. After successful endotracheal intubation, neuromuscular blockade management was at the discretion of the attending anesthesiologist.
Study subjects
A total of 100 patients were included in this prospective, randomized study. Information was collected regarding patient characteristics (age, sex, race, weight, height, Body Mass Index [BMI], dominant hand) and monitoring specifics (location, TOF ratios at baseline, time to neuromuscular blockade onset, defined as the duration of time from rocuronium administration to either device displaying TOFC = 0). Intubating conditions were evaluated using a scale described by the International Consensus Conference held in Copenhagen in 1994 that incorporates jaw relaxation, vocal cord position, vocal cord movement, airway reaction, and movement of the limbs (Table 1).11 Each of these five components was scored on an ordinal 1–3 scale and summated to obtain a total score. The minimum possible total score of 5 represents excellent intubating conditions while a maximum of 15 represents poor intubating conditions. One patient never reached a TOFC = 0 as measured with TetraGraph and this time duration was considered as 15 min (900 s) for purposes of statistical analysis.
Table 1.
Intubating conditions survey.
| Variables | Intubating conditions |
||
|---|---|---|---|
| Acceptable |
Unacceptable | ||
| Excellent | Good | Poor | |
| Ease of laryngoscopy (jaw relaxation) | Easy | Fair | Difficult |
| Vocal cord position | Abducted | Intermediate | Closed |
| Vocal cord movement | None | Moving | Closing |
| Airway reaction (coughing) | None | Diaphragm | Sustained (>10 s) |
| Movement of the limbs | None | Slight | Vigorous |
Statistical analysis
Continuous variables were summarized with the sample median and range; normality was assessed using visual examination of histograms. Categorical variables were summarized with number and percentage of patients. Our primary aim was to compare the onset time of neuromuscular blockade (time duration from rocuronium administration to TOFC = 0) between TetraGraph and TOFscan. Comparisons of median TOF ratios at baseline and blockade onset between TetraGraph and TOFscan monitors were made using a paired Wilcoxon signed rank test. Comparisons of intubating conditions and total score according to device that reached TOFC = 0 first were made using a Wilcoxon rank sum test (ordinal categorical variables) or Fisher's exact test (binary categorical variables). The p-values < 0.05 were considered as statistically significant and all statistical tests were two-sided. Statistical analysis was performed using R Statistical Software (version 4.0.3; R Foundation for Statistical Computing, Vienna, Austria). Based on paired t-test, 84 enrolled patients give 80% power to detect a difference in TOF ratios with a significance level of 0.05 and an effect size value of 0.75 (JMP Pro Software version 13.0.0 [July 7, 2021]; SAS Institute Inc., Cary, NC). This effect size value and standard deviation of 226.0 seconds were determined during previous investigations comparing another AMG device and TetraGraph. We enrolled 110 patients considering patient dropout or missing data.
Results
Patient characteristics
A total of 110 patients were screened for eligibility. Eight were excluded due to the decision to perform RSII on the day of surgery. One patient was excluded after a positive preoperative test for COVID-19 and surgery was postponed. One patient was excluded from analysis due to incomplete data (Fig. 1). Most of the patients were white (85%), 53 males and 47 females with a median age of 59 years old (22–86 y/o) were examined (Table 2).
Figure 1.
Flow diagram.
Table 2.
Patient characteristics and neuromuscular blockade information.
| Variable | Median (minimum, maximum) or Number |
|---|---|
| Total Patient characteristics | 100 |
| Age (years) | 59 (22, 86) |
| Sex (male) | 53 (53.0) |
| Race (White) | 85 (85.0) |
| Weight (kg) | 82.0 (42.6, 127.0) |
| Height (cm) | 172.0 (148.9, 198.1) |
| BMI | 27.2 (17.8, 41.9) |
| Dominant hand | |
| Left | 22 |
| Right | 78 |
| Neuromuscular blockade information | |
| Randomization | |
| TetraGraph on dominant hand | 50 |
| TetraGraph on non-dominant hand | 50 |
| TetraGraph location | |
| Left hand | 40 |
| Right hand | 60 |
| TOFScan location | |
| Left hand | 60 (60.0) |
| Right hand | 40 (40.0) |
| TetraGraph TOF ratio at baseline | 1.02 (88, 120) |
| TOFScan TOF ratio at baseline | 1.00 (64, 101) |
| TetraGraph blockade onset (seconds) | 160 (40, 900) |
| TOFScan blockade onset (seconds) | 120 (60, 300) |
| Device that reached TOFC of zero first | |
| Same time | 18 (18.0) |
| TetraGraph | 25 (25.0) |
| TOFScan | 57 (57.0) |
BMI, Body Mass Index; TOF, Train-Of-Four; TOFC, Train-Of-Four Count.
TetraGraph TOF ratio at baseline was slightly higher than TOFScan TOF ratio at baseline (Median: 102 vs. 100, p < 0.001). The primary outcome of blockade onset was significantly longer for TetraGraph compared to TOFScan (Median: 160 vs. 120 s, p < 0.001).
Device randomization
Our patient population were equally randomized to receive TetraGraph either on dominant or non-dominant hand (50–50%). Consequently, TetraGraph was placed on the right hand 60% of the times and 40% on the left, while TOFscan was on the left hand 60% of the times and 40% on the right.
Neuromuscular monitoring
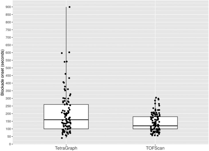
The time to onset of NMB (time duration from rocuronium administration to TOFC = 0) was significantly greater for TetraGraph compared to TOFscan (Median: 160 [40, 900] vs. 120 [60, 300] seconds, p < 0.001) (Fig. 2). Median baseline TOF ratios were significantly higher when obtained with TetraGraph vs. TOFscan (Median: 1.02 [0.88, 1.20] vs. 1.0 [0.64, 1.01], p < 0.001), (Table 2). Accordingly, TOFscan reached a TOFC = 0 first in 57 patients while TetraGraph reached a TOFC = 0 first in 25 patients. Both devices reached a TOFC = 0 zero at the same time in 18 patients.
Figure 2.
Boxplot of onset of blockade for TetraGraph and TOFScan. This figure presents all measurements from both devices reaching a TOFC = 0. A wider distribution and variability were observed in the onset of NMB values for TG compared to TS. TG median onset of NMB: 160 s, TS median onset of NMB: 120 s. One patient never reached a TOFC = 0 using TG, and this time duration was considered as 15 min (900 s). NMB, Neuromuscular Blockade; TG, TetraGraph; TS, TOFscan; TOFC, Train-Of-Four Count.
Intubating conditions assessment
Ease of laryngoscopy (jaw relaxation) was described as “easy” in 81% of patients, and the vocal cords were abducted in 93% of patients. There was no vocal cord movement in 80% of patients, no coughing in 93% of patients, and no limb movement in 88% of patients. A total survey score of 5 was the most prevalent (60%) among all evaluations regardless of which monitor reached a TOFC of zero first (Table 2). There was no significant difference in intubating conditions (p ≥ 0.10) when either device displayed a TOFC = 0 and triggered intubation (Table 3).
Table 3.
Comparisons of intubating conditions according to device that reached TOFC of zero first.
| Device that reached TOFC of zero first | ||||
|---|---|---|---|---|
| TetraGraph (n = 25) |
TOFScan (n = 57) |
Totala (n = 100) |
p-value | |
| Jaw relaxation | 1.00 | |||
| Easy | 20 (80.0%) | 44 (77.2%) | 81 (81.0%) | |
| Fair | 5 (20.0%) | 13 (22.8%) | 19 (19.0%) | |
| Vocal cord position | 0.90 | |||
| Abducted | 23 (92.0%) | 53 (93.0%) | 93 (93.0%) | |
| Intermediate | 2 (8.0%) | 3 (5.3%) | 6 (6.0%) | |
| Closed | 0 (0.0%) | 1 (1.8%) | 1 (1.0%) | |
| Vocal cord movement | 0.10 | |||
| None | 23 (92.0%) | 43 (75.4%) | 80 (80.0%) | |
| Moving | 1 (4.0%) | 13 (22.8%) | 18 (18.0%) | |
| Closing | 1 (4.0%) | 1 (1.8%) | 2 (2.0%) | |
| Airway reaction | 0.19 | |||
| None | 21 (84.0%) | 54 (94.7%) | 93 (93.0%) | |
| Diaphragm | 4 (16.0%) | 3 (5.3%) | 7 (7.0%) | |
| Movement of the limbs | 1.00 | |||
| None | 21 (84.0%) | 49 (86.0%) | 88 (88.0%) | |
| Slight | 4 (16.0%) | 8 (14.0%) | 12 (12.0%) | |
| Total score | 0.75 | |||
| 5 | 16 (64.0%) | 31 (54.4%) | 60 (60.0%) | |
| 6 | 2 (8.0%) | 17 (29.8%) | 23 (23.0%) | |
| 7 | 5 (20.0%) | 4 (7.0%) | 10 (10.0%) | |
| 8 | 2 (8.0%) | 3 (5.3%) | 5 (5.0%) | |
| 9 | 0 (0.0%) | 0 (0.0%) | 0 (0.0%) | |
| 10 | 0 (0.0%) | 2 (3.5%) | 2 (2.0%) | |
TOFC, Train-Of-Four Count.
p-values result from a Wilcoxon rank sum test (ordinal categorical variables) or Fisher's exact test (binary categorical variables).
Total number includes 18 patients in which both devices reached TOFC.
Discussion
In this investigation, we found a significantly longer onset of NMB in TetraGraph compared to TOFscan in patients undergoing elective surgery. The majority of endotracheal intubations (60%) were rated as optimal intubating conditions regardless of which monitor demonstrated a TOFC = 0 first. No statistical difference in the assessment of intubating conditions was found while comparing TetraGraph vs. TOFscan after reaching a TOFC of zero with either device.
Quantitative neuromuscular monitors have traditionally been used as devices to confirm adequate recovery from neuromuscular blockade. However, these devices can also prove useful in demonstrating the onset of neuromuscular blockade and alert clinicians that optimal intubating conditions have been reached. Relying on predicted time intervals prior to intubation fails to provide optimal conditions as pharmacodynamics varies between patients.12, 13, 14 Our results also demonstrate such variability in the onset of neuromuscular blockade among a large cohort of patients (Fig. 2). Jung et al. demonstrated that either EMG or AMG was able to predict satisfactory intubating conditions in pediatrics, although EMG indicated the onset of neuromuscular blockade faster than AMG.15 Our study also demonstrated that either device was useful in predicting optimal intubation conditions, although AMG indicated the onset of neuromuscular blockade faster than EMG. During this vulnerable time, objective neuromuscular monitors can provide critical information to clinicians seeking to optimize intubation conditions.
Obtaining baseline TOF ratios prior to the administration of NMBA is a critical step in monitoring as it provides important reference values and reaffirms that the quantitative monitor has been applied appropriately. Baseline values are particularly important with AMG as these values can often exceed 1.0 (reverse fade) and experts have advocated for normalizing recovery TOF ratios to ensure patients are not exposed to residual weakness.16 In the current study, the median baseline TOF ratios were slightly greater with EMG than with AMG (1.02 vs. 1.0, respectively) and these findings are likely due to the fact that the TOFscan device has a built-in preload adapter that allows the thumb to return to its baseline position and counteract the reverse fade phenomenon.17 Per the manufacturer, TOFscan does not require calibration and defaults to 60 mA while TetraGraph has an auto-calibration function that finds supramaximal current.
The response to NMBAs is complex and relies upon several factors such as perfusion, muscle fiber composition, density of junctional nicotinic acetylcholine receptors, and motor endplate area.18,19 Accordingly, variability in measurements even with the same monitor is expected among patients. This variability accounts not only for the mentioned physiologic factors but also due to electrode placement, the type of sensing electrode used per device, and the amount of stimulating current applied. In consequence, objective monitoring to determine optimal intubation conditions would ideally measure responses at oropharyngeal muscles and the diaphragm. Unfortunately, monitoring at these muscle sites is not currently feasible and clinicians must make inferences from more accessible muscle groups such as the adductor pollicis muscle.20 Iwasaki et al.21 demonstrated that there was no significant difference in measuring the onset of blockade when using the TOF-Watch SX at the adductor pollicis muscle versus the TetraGraph at the abductor digiti minimi muscle. While we found TOFscan reached TOFC = 0 faster than TetraGraph, our efforts represent two monitoring modalities on the same muscle group (the adductor pollicis muscle). Previous efforts have demonstrated the abductor digiti minimi muscle to be more resistant to neuromuscular blockade than the adductor pollicis muscle.20 An intubating dose of 0.5 mg.kg−1, less than twice the ED95, was selected in an effort to potentially allow for slower onset and teasing out differences in the monitors. Furthermore, the effect of rocuronium in our study on a single patient is fixed, however, the observed discrepancies result from inherent differences in the monitoring devices that utilize to distinct modalities.
The current effort is not without limitations. While we randomized device placement for patients’ dominant/non-dominant hand, clinical considerations precluded us from controlling for all variables. The location of the intravenous (IV) catheter was not considered during randomization, as the precise location was unavailable until just prior to induction of anesthesia; however, IV catheter location has been shown to have minimal effect on the onset of NMB.22 Our evaluation of intubating conditions has a subjective component that depends on the intubating clinician evaluating the ease of laryngoscopy. However, the use of video laryngoscopy allows for the entire anesthesia team to assess vocal cord position. Additionally, this survey has been previously utilized23, 24, 25 and incorporates objective metrics that strengthen its utility. Our secondary outcomes, such as the difference in intubating conditions, are exploratory in nature and are subject to the presence of type 2 error. Finally, there is potential for variability from the time the decision to intubate is made based on one of the monitors to the actual performance of video laryngoscopy as different clinicians perform this task at different speeds. To minimize this unavoidable confounder, we overpowered this study to investigate the reliability of each device while comparing the onset of NMB and their applicability when seeking optimal intubating conditions in the surgical setting.
In conclusion the EMG-based TetraGraph showed a longer duration to reach TOFC of 0 at the adductor pollicis than the AMG-based TOFscan device after rocuronium administration. No differences were found during evaluation of intubating conditions with either device. Although the onset of NMB was longer as measured by TetraGraph, both devices can predict adequate intubating conditions when the TOFC = 0 at the adductor pollicis muscle. Due to the variability in response to NMBAs, the use of either the TOFscan or the TetraGraph device during induction of anesthesia may be useful to determine when optimal intubating conditions have been reached.
Declaration of Competing Interst
The authors declare no conflicts of interest.
Funding
JRR has served as a speaker for Senzime B.V. (Uppsala, Sweden) and has completed industry-sponsored research (Merck Inc).
References
- 1.Mattingly AS, Rose L, Eddington HS, et al. Trends in US surgical procedures and health care system response to policies curtailing elective surgical operations during the COVID-19 pandemic. JAMA Netw Open. 2021;4 doi: 10.1001/jamanetworkopen.2021.38038. [DOI] [PMC free article] [PubMed] [Google Scholar]
- 2.Nørskov AK, Rosenstock CV, Wetterslev J, Astrup G, Afshari A, Lundstrøm LH. Diagnostic accuracy of anaesthesiologists' prediction of difficult airway management in daily clinical practice: a cohort study of 188 064 patients registered in the Danish Anaesthesia Database. Anaesthesia. 2015;70:272–281. doi: 10.1111/anae.12955. [DOI] [PubMed] [Google Scholar]
- 3.Taboada M, Doldan P, Calvo A, et al. Comparison of Tracheal Intubation Conditions in Operating Room and Intensive Care Unit: A Prospective, Observational Study. Anesthesiology. 2018;129:321–328. doi: 10.1097/ALN.0000000000002269. [DOI] [PubMed] [Google Scholar]
- 4.Chaves-Cardona H, Hernandez-Torres V, Kiley S, Renew J. Neuromuscular blockade management in patients with COVID-19. Korean J Anesthesiol. 2021;74:285–292. doi: 10.4097/kja.21106. [DOI] [PMC free article] [PubMed] [Google Scholar]
- 5.Lundstrøm LH, Duez CHV, Nørskov AK, et al. Effects of avoidance or use of neuromuscular blocking agents on outcomes in tracheal intubation: a Cochrane systematic review. Br J Anaesth. 2018;120:1381–1393. doi: 10.1016/j.bja.2017.11.106. [DOI] [PubMed] [Google Scholar]
- 6.Iwasaki H, Nemes R, Brull SJ, Renew JR. Quantitative neuromuscular monitoring: current devices, new technological advances, and use in clinical practice. Current Anesthesiology Reports. 2018;8:134–144. [Google Scholar]
- 7.Bowdle A, Bussey L, Michaelsen K, et al. A comparison of a prototype electromyograph vs. a mechanomyograph and an acceleromyograph for assessment of neuromuscular blockade. Anaesthesia. 2020;75:187–195. doi: 10.1111/anae.14872. [DOI] [PMC free article] [PubMed] [Google Scholar]
- 8.Nemes R, Lengyel S, Nagy G, et al. Ipsilateral and simultaneous comparison of responses from acceleromyography- and electromyography-based neuromuscular monitors. Anesthesiology. 2021;135:597–611. doi: 10.1097/ALN.0000000000003896. [DOI] [PubMed] [Google Scholar]
- 9.Bossuyt PM, Reitsma JB, Bruns DE, et al. STARD Group. STARD 2015: an updated list of essential items for reporting diagnostic accuracy studies. BMJ. 2015;351:h5527. doi: 10.1136/bmj.h5527. [DOI] [PMC free article] [PubMed] [Google Scholar]
- 10.Fuchs-Buder T, Claudius C, Skovgaard LT, Eriksson LI, Mirakhur RK, Viby-Mogensen J. Good clinical research practice in pharmacodynamic studies of neuromuscular blocking agents II: the Stockholm revision. Acta Anaesthesiol Scand. 2007;51:789–808. doi: 10.1111/j.1399-6576.2007.01352.x. [DOI] [PubMed] [Google Scholar]
- 11.Viby-Mogensen J, Engbaek J, Eriksson LI, et al. Good clinical research practice (GCRP) in pharmacodynamic studies of neuromuscular blocking agents. Acta Anaesthesiol Scand. 1996;40:59–74. doi: 10.1111/j.1399-6576.1996.tb04389.x. [DOI] [PubMed] [Google Scholar]
- 12.Han T, Kim H, Bae J, Kim K, Martyn JA. Neuromuscular pharmacodynamics of rocuronium in patients with major burns. Anesth Analg. 2004;99:386–392. doi: 10.1213/01.ANE.0000129992.07527.4B. table of contents. [DOI] [PubMed] [Google Scholar]
- 13.Yuan H, Zhang S, Yin L, Luo T, Zhang R, Wu S. The safety of high-dose rocuronium bromide in general anesthesia for spinal surgery and its effects on muscle relaxation. Am J Transl Res. 2021;13:8110–8117. [PMC free article] [PubMed] [Google Scholar]
- 14.Moos DD, Cuddeford JD. Comparison of intubating conditions related to timed dosages and a nerve stimulator based on the measurement of acceleration using mivacurium. Aana J. 1997;65:143–146. [PubMed] [Google Scholar]
- 15.Jung W, Hwang M, Won YJ, Lim BG, Kong MH, Lee IO. Comparison of clinical validation of acceleromyography and electromyography in children who were administered rocuronium during general anesthesia: a prospective double-blinded randomized study. Korean J Anesthesiol. 2016;69:21–26. doi: 10.4097/kjae.2016.69.1.21. [DOI] [PMC free article] [PubMed] [Google Scholar]
- 16.Murphy GS, Szokol JW, Avram MJ, et al. Comparison of the TOFscan and the TOF-Watch SX during Recovery of Neuromuscular Function. Anesthesiology. 2018;129:880–888. doi: 10.1097/ALN.0000000000002400. [DOI] [PubMed] [Google Scholar]
- 17.Brull SJ, Silverman DG. Real time versus slow-motion train-of-four monitoring: a theory to explain the inaccuracy of visual assessment. Anesth Analg. 1995;80:548–551. doi: 10.1097/00000539-199503000-00020. [DOI] [PubMed] [Google Scholar]
- 18.Johnson MA, Sideri G, Weightman D, Appleton D. A comparison of fibre size, fibre type constitution and spatial fibre type distribution in normal human muscle and in muscle from cases of spinal muscular atrophy and from other neuromuscular disorders. J Neurol Sci. 1973;20:345–361. doi: 10.1016/0022-510x(73)90169-x. [DOI] [PubMed] [Google Scholar]
- 19.Ibebunjo C, Srikant CB, Donati F. Properties of fibres, endplates and acetylcholine receptors in the diaphragm, masseter, laryngeal, abdominal and limb muscles in the goat. Can J Anaesth. 1996;43:475–484. doi: 10.1007/BF03018110. [DOI] [PubMed] [Google Scholar]
- 20.Phillips S, Stewart PA, Freelander N, Heller G. Comparison of evoked electromyography in three muscles of the hand during recovery from non-depolarising neuromuscular blockade. Anaesth Intensive Care. 2012;40:690–696. doi: 10.1177/0310057X1204000416. [DOI] [PubMed] [Google Scholar]
- 21.Iwasaki H, Yamamoto M, Sato H, et al. A Comparison between the adductor pollicis muscle using TOF-Watch SX and the abductor digiti minimi muscle using tetragraph in rocuronium-induced neuromuscular block: a prospective observational study. Anesth Analg. 2022;135:370–375. doi: 10.1213/ANE.0000000000005897. [DOI] [PubMed] [Google Scholar]
- 22.Merle JC, Jurczyk M, D'Honneur G, Ruggier R, Duvaldestin P. Onset of neuromuscular block is the same if the ipsilateral or contralateral limb to the injection site is used for monitoring. Br J Anaesth. 1995;74:333–334. doi: 10.1093/bja/74.3.333. [DOI] [PubMed] [Google Scholar]
- 23.Soltesz S, Stark C, Noé KG, Anapolski M, Mencke T. Comparison of the trapezius and the adductor pollicis muscle as predictor of good intubating conditions: a randomized controlled trial. BMC Anesthesiology. 2017;17:106. doi: 10.1186/s12871-017-0401-8. [DOI] [PMC free article] [PubMed] [Google Scholar]
- 24.Li P, Luo L, Wang J, Huang W. Assessment of tracheal intubation in adults after induction with sevoflurane and different doses of propofol: a randomly controlled trial. Int J Clin Exp Med. 2015;8:14042–14047. [PMC free article] [PubMed] [Google Scholar]
- 25.Marsch SC, Steiner L, Bucher E, Pargger H, Schumann M, Aebi T, et al. Succinylcholine versus rocuronium for rapid sequence intubation in intensive care: a prospective, randomized controlled trial. Crit Care. 2011;15:R199. doi: 10.1186/cc10367. [DOI] [PMC free article] [PubMed] [Google Scholar]


