Abstract
This study aimed to assess the physical characteristics of elite international soccer referees, compare them with other referee populations in the literature, and establish reference tolerance ellipses for the bioelectrical impedance vector analysis (BIVA) point graph. Forty-one elite international soccer referees (age 38.8 ± 3.6 years) participated in the study. The participants underwent body composition assessments, including dual-energy X-ray absorptiometry, BIVA, and somatotype. The Somatotype Attitudinal Distance (SAD), the two-sample Hotelling’s T2 test and the Mahalanobis test were used to determine somatotype and bioelectrical vector differences with the literature. The average somatotype of the referees was a balanced mesomorph (2.8, 6.5, 2.8). Elite international referees significantly differed from other samples in the literature (SAD = 2.1, 2.6, 2.9 with respect to Zimbabwean, Brazilian, and South African referees, respectively). The bioelectrical vector was significantly different from the general population (T2 ≤ 76.6; F = 38.8; D = 1.44; p < 0.001) and athletes (T2 ≤ 25.3; F = 12.6; D = 0.8; p < 0.001). Somatotype values and tolerance ellipses from this study may be useful as a reference for developing training programs and improving the selection process of referees in soccer.
Keywords: soccer referees, body composition, somatotype, tolerance ellipses, DXA, BIA vector
1. Introduction
In recent years, many studies have investigated the physiological and cognitive profile of soccer referees. Top-level referees generally cover a distance of 10,000–13,000 m, 10% at high intensity, and experience several accelerations at maximal or near-maximal intensity [1,2]. In addition, referees must make decisions, have control of the match, and evaluate situations under intense psychological pressure [3,4,5]. Indeed, referees exhibit diminished cardiac autonomic control from 5 h before the match up to 10 h post-match, probably due to significant psycho-physiological stress [6]. Both the physical and mental load of football refereeing require good physical fitness, of which body composition is a crucial factor [7]. However, this aspect is still underdeveloped in the literature. For example, elite referees (FIFA) show lower body mass index (BMI) and fat mass percentage than previously reported in Premier League referees [8,9], probably due to the increasing intensity of the football matches experienced in recent years. This trend was also evident in an eleven-year retrospective study on 470 Spanish elite football referees, which reported a decrease in BMI skinfolds thickness [10]. Our recent study of 43 elite international referees found a balanced mesomorph dominant somatotype pattern [11], similar to previous findings in Zimbabwean referees [12] and in contrast to results from Brazilian [13], Chilean [14], and South African [15] referees.
Interest in bioelectrical impedance vector analysis (BIVA) has recently grown in the scientific literature [16], and references have been developed for both the general [17,18] and diverse populations of athletes [19,20,21,22,23,24]. However, there is a lack of BIVA studies on soccer referees. Considering the rapid evolution of football in recent years, and how match officials’ physical and physiological profiles have changed, it is necessary to have up-to-date benchmarks, possibly on the best-performing population. Thus, the present study aimed to determine the morphological characteristics of a sample of international elite soccer referees, according to the somatotype and the BIVA methods, compare it with other samples in the literature and develop reference tolerance ellipses for the BIVA point graph. We hypothesized that the current sample would show better morphological characteristics than those already described in other studies and, for this reason, should be considered as a reference for investigators and practitioners.
2. Materials and Methods
2.1. Study Population
Using a cross-sectional design, a sample of 43 male elite international soccer referees (age 38.8 ± 3.6 years) from 6 confederations was enrolled during a seminar held in the Federal Technical Center of Coverciano (Italy) in April 2018, during the competitive season. They were designated as elite due to their registration at the highest level in the athletic federation or their receipt of financial support for their commitment to training and competitive events. Fifteen participants were from Europe, seven from South America, four from West Asia, four from Central America and two from North America, Central Asia, Oceania, West Africa and North Africa, and one from East Africa, South Africa and Est Asia, respectively.
2.2. Procedure
Participants underwent body composition, including dual-energy X-ray absorptiometry (DXA), somatotype and BIVA. Briefly, all the assessment were performed in the morning in a fasting condition and light clothing. Participants were required to abstain from caffeine, alcohol and exercise the day before. A certified specialist performed all the anthropometric measurements (i.e., a level 2 certification of the International Society of the Advancement of Kinanthropometry, ISAK) using a high-precision mechanical scale (SECA, Basel, Switzerland), a narrow, metallic and inextensible measuring tape (Lufkin® model W606PM, London, UK; precision = 1 mm), a skinfold caliper (Holtain Ltd., Crymych, UK; precision = 0.2 mm) and a sliding caliper (GMP, Zürich, Switzerland), for body mass and standing height, body girths, skinfolds and bone diameters, respectively. The sum of six skinfolds was calculated as the sum of triceps, subscapular, supraspinale, abdominal, thigh and calf skinfolds, while selected anthropometric measures were used to determine somatotype following the methods of Carter and Heath [25].
Bioimpedance analysis was performed by a phase sensitive device (BIA 101 Anniversary AKERN srl, Florence, Italy) working with alternating sinusoidal electric current of 400 microampere at an operating frequency of 50 kHz (±1%). The device was calibrated before assessment using the standard control circuit supplied by the manufacturer with a known impedance (resistance (R) = 380 ohm; reactance (Xc) = 45 ohm). The accuracy of the device was 0.1% for R and 0.1% for Xc. For the bioelectrical impedance measurement, each participant was lying in the supine position for at least two minutes, with a leg opening of 45° compared to the median line of the body and the upper limbs, distant 30° from the trunk. Very low-intrinsic-impedance (<30 ohm) disposable electrodes (Biatrodes™ Akern Srl; Florence, Italy) were placed on the right side at metacarpal and metatarsal sites of the right wrist and ankle. Measurements were made on an isolated cot from electrical conductors [26]. Bioimpedance vector analysis was carried out using the BIVA method, normalizing resistance (R) and reactance (Xc) parameters for H in meters [26]. Bioelectrical phase angle (PhA) was calculated as the arctangent of Xc/R × 180°/π [27].
A DXA scanner (Hologic QDR Series, Delphi A model, Bedford, MA, USA) with Hologic APEX software (Version 13.3:3, Hologic, Bedford, MA, USA), was used to estimate FM%. The instrument was calibrated with phantoms as per the manufacturer’s guidelines each day prior to measurements. Participants assumed a stationary supine position on the scanning table. All scanning and analyses were performed by the same technician to ensure consistency and in accordance with standardized testing protocols recognized as best practice [28,29,30]. The study was designed and conducted in accordance with the Helsinki Declaration. The ethics committee of the Italian Football Association approved this study and all the participants signed written informed consent prior to their inclusion in the study (approval code: 03032018).
2.3. Statistical Analysis
The normality of the data was verified by applying the Shapiro–Wilk test, and descriptive statistics were calculated for each independent variable. All variables followed the Gaussian distribution. Two European participants were excluded from the final sample due to the lack of bioelectrical parameters (n = 41). Each participant was plotted into the somatochart and the relative somatotype was calculated. The somatotype attitudinal distance (SAD) was calculated to compare the current sample with first-division Zimbabwean referees and assistant referees [12] and national- and regional-level Brazilian referees [13]. A SAD ≥ 2 was assumed as a distance statistically different between two somatotype means [25]. Each participant was plotted in the tolerance ellipses (50%, 75% and 95%) of the Italian reference population [26]. A two-sample Hotelling’s T2 test was used to determine the impedance vector differences with respect to the reference population [26] and the athletic population [17], as well as to determine differences between somatotypes. Distances between ellipses were calculated by the Mahalanobis test [31]. A p-value < 0.05 was considered significant. BIVA software [31] was used to plot and compare the bioelectrical parameters and compute the tolerance ellipses (50%, 75% and 95%) of the investigated sample.
3. Results
Table 1 describes the general, anthropometric and bioelectrical characteristics of the sample. The average and most represented somatotype (n = 16) was balanced mesomorph, followed by endomorphic mesomorph (n = 11) and ectomorphic mesomorph (n = 11) (Figure 1a,b). Mesomorph–endomorph, mesomorph–ectomorph and central somatotypes comprised only one individual for each category.
Table 1.
General, anthropometric and bioelectrical characteristics of the international-level elite referee.
| Variable | Mean | SD | Minimum | Maximum |
|---|---|---|---|---|
| Age (years) | 38.8 | 3.6 | 29.5 | 44.1 |
| Body mass (kg) | 75.6 | 6.7 | 61.0 | 94.0 |
| Standing height (cm) | 180.6 | 6.1 | 171.0 | 194.0 |
| Body mass index (kg/m2) | 23.2 | 1.4 | 20.6 | 25.8 |
| Sum of six skinfolds (mm) | 60.3 | 16.4 | 34.0 | 112.6 |
| Endomorphy | 2.8 | 0.9 | 1.2 | 5.1 |
| Mesomorphy | 6.5 | 1.2 | 4.2 | 8.5 |
| Ectomorphy | 2.8 | 0.7 | 1.2 | 4.6 |
| Fat mass (%) | 18.4 | 4.1 | 11.5 | 28.0 |
| Fat mass (kg) | 13.5 | 3.1 | 8.7 | 21.6 |
| Resistance (Ω) | 498.6 | 69.0 | 380.0 | 622.1 |
| Reactance (Ω) | 67.4 | 8.6 | 49.9 | 83.9 |
| Resistance/height (Ω/m) | 276.3 | 39.5 | 197.9 | 352.9 |
| Reactance/height (Ω/m) | 37.4 | 5.1 | 27.0 | 48.8 |
| Phase angle (°) | 7.7 | 0.7 | 5.9 | 9.2 |
The table describes the average values, standard deviation (SD), minimum and maximum values for the general, anthropometric and bioelectrical characteristics of the international-level elite referee. Sum of six skinfolds = the sum of triceps, subscapular, supraspinale, abdominal, thigh and calf skinfolds.
Figure 1.
(a) Somatotype distribution of the international elite male soccer referees; (b) somatotype categories of the international elite male soccer referees; (c) comparison with other published references [12,13,14,15].
The current sample showed a better somatotype than other referee populations in the literature (Figure 1c). Compared to first-division Zimbabwean referees and assistant referees, both samples were, on average, balanced mesomorph, but the values of mesomorphy were higher in the present study. The SAD value of 1.9 was slightly lower than the values considered statistically significant (≥2), according to Carter and Heath [25]. However, the SAD becomes significant, increasing from 1.9 to 2.1, if only the referees are considered in Banda at al.’s [12] sample (i.e., excluding assistant referees). Compared to the Brazilian national- and regional-level referees, the current sample was significantly different (SAD = 2.6), with lower endomorphy and both higher ectomorphy and mesomorphy. Similar results were observed by dividing the Brazilian sample into national- (SAD = 2.9) and regional (SAD = 2.5)-level referees [13]. While the difference was not statistically significant (SAD = 1.8), Chilean referees in the sample had an average somatotype of endomorphic mesomorphs, which contrasts with the dominant balanced mesomorph somatotype of elite international referees [14]. On the other hand, South African officials were very far from the current sample, with a dominant mesomorph–endomorph somatotype and a SAD value of 2.9 [15]. However, the South African referees subsample was even more distant from the international counterpart in the present sample, with a dominant mesomorphic endomorph somatotype (SAD = 3.4).
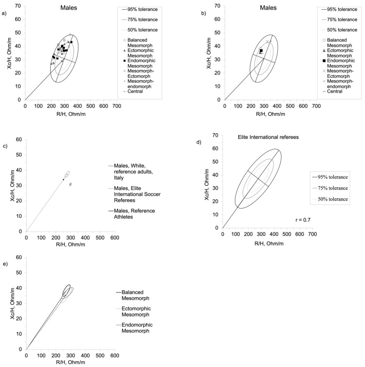
The BIVA point graph indicates that elite international referees mainly fell in the upper left quadrant (Figure 2a). Figure 2b shows the average position on the BIVA point graph for each somatotype of the current referee population. Compared with the general male population [26] and athletic reference [17], elite international referees are statistically different. In particular, they exhibited a greater tendency to fall towards the left and upward compared to the general population (T2 ≤ 76.6; F = 38.8; D = 1.44; p < 0.001), and towards the right and upward compared to the athletic population (T2 ≤ 25.3; F = 12.6; D = 0.8; p < 0.001) (Figure 2c). The tolerance ellipses representing their specific 50%, 75% and 95% ranges are shown in Figure 2d. Furthermore, Figure 2e compares referees with a balanced mesomorph, endomorphic mesomorph and ectomorphic mesomorph physique, but no significant statistical differences were found.
Figure 2.
(a) Scattergram of the international elite soccer referees, according to the somatotype category, within the BIVA point graph with the 50%, 75% and 95% tolerance ellipses of the general population; (b) the average position of the different somatotypes; (c) comparison with the general [24] and athletic references [17]; (d) 50%, 75% and 95% tolerance ellipses derived from the current sample; (e) comparison among the different identified somatotypes that characterized elite referees.
4. Discussion
The present study describes a sample of international elite soccer referees. The first important result is that international soccer referees showed a different somatotype than those previously presented in the literature, with the highest mesomorphic component and lower endomorphy [8,9,10]. They can be considered as a reference for practitioners. Secondly, they showed bioelectrical impedance characteristics that are significantly different from the general and the athletic populations [17,26]; specific tolerance ellipses for soccer referees were developed.
In recent years, the intensity of football matches has increased, leading to a corresponding increase in soccer refereeing intensity. Consequently, the relative fat mass of soccer referees was lower in more recent samples compared to those previously assessed [8,9,10]. In the present study, the value of fat mass percentage is higher than that of other studies. Zimbabwean (12.0 ± 2.6%), Greek (16.7 ± 4.5%) and South African (12.6 ± 4.2%) referees showed lower relative fat mass values, while only Brazilian referees (18.5 ± 4.3%) had higher values compared to the present sample [12,13,15,32]. However, this difference can be explained by considering that the studies mentioned above performed the body composition assessment using the anthropometric method. At the same time, the present fat mass percentage value is derived from DXA [11]. As previously reported, the fat mass values of the current population are underestimated by the commonly used fat mass equations (range 11.0–15.2%). Thus, caution should be applied when considering fat mass percentage values in the literature derived from equations developed for the general population, regardless of the method adopted (e.g., skinfolds, bioelectrical impedance analysis). For example, Matias et al. [33] developed a bioimpedance-based model for fat-free mass prediction based on the four-compartment model in a sample of national level athletes that can be used to overcome problems arising when measuring adult elite athletes. Similar considerations can be raised for other compartments such as muscle mass [34] and total body water and its distribution into the intra- and extra-cellular compartment [35]. From this point of view, a solution is to adopt specific equations for the investigated population [11]. Alternatively, this problem can be avoided using raw skinfold values, like the sum of six or seven skinfolds. Despite the higher value of FM%, the current sample showed the lowest sum of the six skinfolds when compared with other samples in the literature [12,36], confirming that FM% was underestimated in previous studies on soccer referees. Reilly and Gregson [8] indicated a value of FM of 13% in football players using the DXA technique, and other authors also found values lower than 11% [37,38]. This difference with our referees’ sample may be ascribed to the lower level of performance required from referees compared to players. However, we should also consider that elite referees are generally older than other athletes. Indeed, at the elite level, the age range is between 35 and 40 years [3,39,40]. Fernandez Perez et al. [13] indicated as Brazilian regional-level referees had lower fat values than the national ones, probably due to the age difference. Furthermore, a longitudinal study on Brazilian football referees found that their mean body fat percentage increased from 13.2 ± 2.9% to 17.3 ± 3.9 in ten years, moving from a balanced mesomorph pattern to a mesomorph–endomorph pattern [41]. The authors suggest that elite referees are not professionals like elite soccer players, and their training sessions and nutrition are less planned than players.
Previous studies have investigated the somatotype of soccer referees. Although the mesomorph component was dominant across the samples in the literature, Brazilian [13] and Chilean [14] referees also showed an important contribution of the endomorph component. On the other hand, Zimbabwean [12] and South African [15] referees showed a balanced mesomorph dominant somatotype, like in the current study. These differences can be explained by considering the above considerations about fat mass, like the role of refereeing intensity and age. Furthermore, geographical ancestry can also play a role. For example, studies in the international context have identified group differences in somatotype in Australia [42], New Zealand [43] and the United Kingdom [44] as well as in adult body mass index–adiposity relationships [45]. From this point of view, South American referees [13,14] seem to have more fat than African ones [12,15]. In the present study it was not possible to compare referees based on the geographical ancestry, due to the small size of each sub-group that in some cases were represented by only one participant. Notwithstanding, a clear tendency can be observed for a somatotypes with a prevalent mesomorph component for all geographical groups (see Figure S1 in the Supplementary Material).
Compared to the previous literature, our sample is up to date. International elite referees showed a significant distance on the somatochart, characterized by a higher mesomorphy, compared to their Zimbabwean, Brazilian, Chilean and South African counterparts, which indicates them as the fittest. This difference can be attributed to both the higher competitive level of the current sample and to the evolution of playing intensity experienced by elite referees. Soccer players show a dominant balanced mesomorph morphology, and our results indicate that soccer referees are becoming closer to their players’ counterparts [46]. We also found other somatotypes, particularly endomorphic mesomorph and ectomorphic mesomorph, but such variability can be found even in soccer players. Additionally, the current sample showed a dominant mesomorph component which is a determinant for high-level performance, regardless of sports discipline.
Regarding the BIVA, elite international referees mainly fell in the upper left quadrant (Figure 2a). Furthermore, some referees fell in the lower left quadrant area to the left of the impedance vector, as previously indicated by Campa for the athletic population [47]. The current sample was characterized by bioelectrical impedance parameters indicating higher cellular mass than the general population, but lower than other athletes (Figure 2c). This result suggests that soccer referees are a specific population with peculiar bioelectrical properties that differentiate them from the general population, putting them more to the left and up, but also from the athletic population, which shows a shorter vector positioned even more to the left. Thus, although soccer referees are characterized by bioelectrical values associated with better cellular health and body composition than the general population, they are not at the same level as other athletes. Finally, we did not find differences in the bioelectrical vector between different somatotypes (Figure 2e). This result suggests that, despite different morphologies, referees are comparable regarding those parameters that indicate cellular health, hydration and nutritional status. As well as for somatotype, similar consideration can be done for the BIVA regarding the geographical ancestry of the referees in the current sample. Previous studies indicate differences in the impedance vector distribution for populations from different geographical ancestry [48,49,50]. However, the small size of each sub-group does not allow a statistical comparison (see Figure S2 in the Supplementary Material). The current sample was assessed in April, during the competitive season. In a sample of male elite soccer players, Mascherini et al. [51] showed impedance vector length changes during the competitive season, indicating fluid gains during the pre-season, probably due to the plasma volume expansion and increase in glycogen stores, and fluid loss in the mid-season as indicated by the increase in R/h, accompanied by the increase in PhA that indicates gains in body cell mass. Thus, the different components of BIVA are not equally informative during the season, also considering that different workouts can determine different acute adaptations for the same training volume [52] and that the training approaches can vary greatly in intensity and volume for similar results [53]. Furthermore, the role of off-training behaviors in body composition should not be overlocked. It can be speculated that the current sample was characterized by high body cell mass and low body fluids at the moment of the assessment compared to the previous months. Thus, when comparing groups assessed in different season phases, caution must be taken.
The present study has some strengths. Firstly, the sample comprised the best referees at the international level and was assessed on a single occasion. Secondly, fat mass was measured using the gold standard method (i.e., DXA). Thirdly, the study provides a comprehensive description of an elite sample using multiple methods (i.e., DXA, Anthropometry and BIVA), which can serve as a useful reference for researchers and practitioners. It is important to underline that body composition assessment can vary considerably in the methods but also according to instruments and the techniques adopted. Bioelectrical impendence analysis can be performed using single and multi-frequency modes, as well as hand-to-hand, foot-to-foot, foot-to-hand, and segmental techniques [24,54]. This makes it difficult to compare measurements taken with different instruments and, therefore, they are not generalizable for Bioelectrical impendence analysis technologies. Finally, the sample is the most up to date among the literature on elite soccer referees, providing insights into the evolution of soccer match intensity. However, the study is limited by its descriptive nature, which only allows for hypothesis generation regarding considerations such as soccer evolution. Additionally, the study did not collect information on the referees’ training routines.
5. Conclusions
In summary, our findings suggest that elite soccer referees, based on their body composition, somatotype and bioelectrical characteristics, are more comparable to soccer players than the general population. As referees are expected to meet high fitness standards, they should be considered athletes, even if they are not professional like their player counterparts. During a game, referees cover an average distance of 10,000–13,000 m [1,2] and expend an estimated 4700 to 5600 kJ (1120–1340 kcal) [55,56]. Similarly, soccer players cover a similar total distance during matches, but with variations based on tactical position and match demands [57]. Our study implies that elite soccer referees are in good physical condition yet have the potential for further improvement through targeted training and nutrition plans. The current sample comprised the best international referees and is the most up-to-date in the literature, at least in consideration of the high level. For this reason, both bioelectrical tolerance ellipses and somatotype profiles from the current study can be used by coaches, trainers and researchers as a reference. Furthermore, the equation of Petri et al. derived from the present sample [11] can be used for fat mass estimation in soccer referees. Overall, the evidence from this study suggests that soccer referees have margins of improvement in body composition and provides the instruments needed for evaluating and monitoring it.
Acknowledgments
The authors gratefully acknowledge FIFA for their support of this research during the experiments.
Supplementary Materials
The following supporting information can be downloaded at: https://www.mdpi.com/article/10.3390/jfmk8030100/s1, Figure S1: Somatotype of male elite international soccer referees, according to geographical origin; Figure S2. Bioelectrical impedance vector of male elite international soccer referees, according to geographical origin.
Author Contributions
Conceptualization, P.I. and G.M.; methodology, C.P. and S.S.; software, P.I. and S.S.; validation, G.M. and G.G.; formal analysis, G.M.; investigation, C.P.; data curation, P.I., C.P. and S.S.; writing—original draft preparation, P.I.; writing—review and editing, C.P., S.S., G.G. and G.M.; visualization, S.S.; supervision, G.M.; project administration, G.G. All authors have read and agreed to the published version of the manuscript.
Institutional Review Board Statement
The study was designed and conducted in accordance with the Helsinki Declaration. The ethics committee of the Italian Football Association approved this study (approval code: 03032018).
Informed Consent Statement
All the participants signed written informed consent prior to their inclusion in the study.
Data Availability Statement
The raw data supporting the conclusion of this article will be made available by the authors, based on a reasoned request.
Conflicts of Interest
The authors did not receive support from any organization for the submitted work. The authors have no competing interest to declare that are relevant to the content of this article.
Funding Statement
This research received no external funding.
Footnotes
Disclaimer/Publisher’s Note: The statements, opinions and data contained in all publications are solely those of the individual author(s) and contributor(s) and not of MDPI and/or the editor(s). MDPI and/or the editor(s) disclaim responsibility for any injury to people or property resulting from any ideas, methods, instructions or products referred to in the content.
References
- 1.Krustrup P., Helsen W., Randers M.B., Christensen J.F., MacDonald C., Rebelo A.N., Bangsbo J. Activity Profile and Physical Demands of Football Referees and Assistant Referees in International Games. J. Sports Sci. 2009;27:1167–1176. doi: 10.1080/02640410903220310. [DOI] [PubMed] [Google Scholar]
- 2.Weston M., Castagna C., Impellizzeri F.M., Bizzini M., Williams A.M., Gregson W. Science and Medicine Applied to Soccer Refereeing: An Update. Sports Med. 2012;42:615–631. doi: 10.2165/11632360-000000000-00000. [DOI] [PubMed] [Google Scholar]
- 3.Helsen W., Bultynck J.-B. Physical and Perceptual-Cognitive Demands of Top-Class Refereeing in Association Football. J. Sports Sci. 2004;22:179–189. doi: 10.1080/02640410310001641502. [DOI] [PubMed] [Google Scholar]
- 4.Samuel R.D., Englert C., Zhang Q., Basevitch I. Hi Ref, Are You in Control? Self-Control, Ego-Depletion, and Performance in Soccer Referees. Psychol. Sport Exerc. 2018;38:167–175. doi: 10.1016/j.psychsport.2018.06.009. [DOI] [Google Scholar]
- 5.Samuel R.D., Tenenbaum G., Galily Y. An Integrated Conceptual Framework of Decision-Making in Soccer Refereeing. Int. J. Sport Exerc. Psychol. 2021;19:738–760. doi: 10.1080/1612197X.2020.1766539. [DOI] [Google Scholar]
- 6.Boullosa D.A., Abreu L., Tuimil J.L., Leicht A.S. Impact of a Soccer Match on the Cardiac Autonomic Control of Referees. Eur. J. Appl. Physiol. 2012;112:2233–2242. doi: 10.1007/s00421-011-2202-y. [DOI] [PubMed] [Google Scholar]
- 7.Westerterp K.R. Exercise, Energy Balance and Body Composition. Eur. J. Clin. Nutr. 2018;72:1246–1250. doi: 10.1038/s41430-018-0180-4. [DOI] [PMC free article] [PubMed] [Google Scholar]
- 8.Reilly T., Gregson W. Special Populations: The Referee and Assistant Referee. J. Sports Sci. 2006;24:795–801. doi: 10.1080/02640410500483089. [DOI] [PubMed] [Google Scholar]
- 9.Schenk K., Bizzini M., Gatterer H. Exercise Physiology and Nutritional Perspectives of Elite Soccer Refereeing. Scand. J. Med. Sci. Sports. 2018;28:782–793. doi: 10.1111/sms.12989. [DOI] [PubMed] [Google Scholar]
- 10.Casajús J., Gonzalez-Aguero A. Body Composition Evolution in Elite Football Referees; an Eleven-Years Retrospective Study. Int. J. Sports Med. 2015;36:550–553. doi: 10.1055/s-0034-1398582. [DOI] [PubMed] [Google Scholar]
- 11.Petri C., Campa F., Hugo Teixeira V., Izzicupo P., Galanti G., Pizzi A., Badicu G., Mascherini G. Body Fat Assessment in International Elite Soccer Referees. J. Funct. Morphol. Kinesiol. 2020;5:38. doi: 10.3390/jfmk5020038. [DOI] [PMC free article] [PubMed] [Google Scholar]
- 12.Banda M., Grobbelaar H.W., Terblanche E. Body Composition and Somatotypes of Male Zimbabwean Premier League Football Referees. J. Sports Med. Phys. Fit. 2019;59:434–439. doi: 10.23736/S0022-4707.18.08326-3. [DOI] [PubMed] [Google Scholar]
- 13.Fernandez Perez R., Silva A., Paes M., Fernandes L., Rech C. Somatotype and Body Composition of Brazilian Football (Soccer) Referees. Arch. Med. Deporte. 2011;28:238–246. [Google Scholar]
- 14.Fernández Vargas G.E., Inácio da Silva A., Arruda M. Perfil Antropométrico y Aptitud Física de Árbitros del Fútbol Profesional Chileno. Int. J. Morphol. 2008;26:897–904. doi: 10.4067/S0717-95022008000400019. [DOI] [Google Scholar]
- 15.Lategan L., Bahdur K., Lombard A. Physiological Profiles of South African Soccer Referees and Assistant Referees. Afr. J. Phys. Health Educ. Recreat. Dance. 2011;17:489–501. [Google Scholar]
- 16.Campa F., Gobbo L.A., Stagi S., Cyrino L.T., Toselli S., Marini E., Coratella G. Bioelectrical Impedance Analysis versus Reference Methods in the Assessment of Body Composition in Athletes. Eur. J. Appl. Physiol. 2022;122:561–589. doi: 10.1007/s00421-021-04879-y. [DOI] [PubMed] [Google Scholar]
- 17.Campa F., Matias C., Gatterer H., Toselli S., Koury J.C., Andreoli A., Melchiorri G., Sardinha L.B., Silva A.M. Classic Bioelectrical Impedance Vector Reference Values for Assessing Body Composition in Male and Female Athletes. Int. J. Environ. Res. Public. Health. 2019;16:5066. doi: 10.3390/ijerph16245066. [DOI] [PMC free article] [PubMed] [Google Scholar]
- 18.Ibáñez M.E., Mereu E., Buffa R., Gualdi-Russo E., Zaccagni L., Cossu S., Rebato E., Marini E. New Specific Bioelectrical Impedance Vector Reference Values for Assessing Body Composition in the Italian-Spanish Young Adult Population: Italo-Spanish Bioelectrical Reference Values. Am. J. Hum. Biol. 2015;27:871–876. doi: 10.1002/ajhb.22728. [DOI] [PubMed] [Google Scholar]
- 19.Micheli M.L., Pagani L., Marella M., Gulisano M., Piccoli A., Angelini F., Burtscher M., Gatterer H. Bioimpedance and Impedance Vector Patterns as Predictors of League Level in Male Soccer Players. Int. J. Sports Physiol. Perform. 2014;9:532–539. doi: 10.1123/ijspp.2013-0119. [DOI] [PubMed] [Google Scholar]
- 20.Carrasco-Marginet M., Castizo-Olier J., Rodríguez-Zamora L., Iglesias X., Rodríguez F.A., Chaverri D., Brotons D., Irurtia A. Bioelectrical Impedance Vector Analysis (BIVA) for Measuring the Hydration Status in Young Elite Synchronized Swimmers. PLoS ONE. 2017;12:e0178819. doi: 10.1371/journal.pone.0178819. [DOI] [PMC free article] [PubMed] [Google Scholar]
- 21.Giorgi A., Vicini M., Pollastri L., Lombardi E., Magni E., Andreazzoli A., Orsini M., Bonifazi M., Lukaski H., Gatterer H. Bioimpedance Patterns and Bioelectrical Impedance Vector Analysis (BIVA) of Road Cyclists. J. Sports Sci. 2018;36:2608–2613. doi: 10.1080/02640414.2018.1470597. [DOI] [PubMed] [Google Scholar]
- 22.Campa F., Mascherini G., Polara G., Chiodo D., Stefani L. Association of Regional Bioelectrical Phase Angle with Physical Performance: A Pilot Study in Elite Rowers. Muscle Ligaments Tendons J. 2021;11:449. doi: 10.32098/mltj.03.2021.09. [DOI] [Google Scholar]
- 23.Di Credico A., Gaggi G., Vamvakis A., Serafini S., Ghinassi B., Di Baldassarre A., Izzicupo P. Bioelectrical Impedance Vector Analysis of Young Elite Team Handball Players. Int. J. Environ. Res. Public. Health. 2021;18:12972. doi: 10.3390/ijerph182412972. [DOI] [PMC free article] [PubMed] [Google Scholar]
- 24.Petri C., Micheli M.L., Izzicupo P., Timperanza N., Lastrucci T., Vanni D., Gulisano M., Mascherini G. Bioimpedance Patterns and Bioelectrical Impedance Vector Analysis (BIVA) of Body Builders. Nutrients. 2023;15:1606. doi: 10.3390/nu15071606. [DOI] [PMC free article] [PubMed] [Google Scholar]
- 25.Carter J.E.L., Heath B.H. Somatotyping, Development and Applications. Cambridge University Press; Cambridge, MA, USA: 1990. Cambridge Studies in Biological Anthropology; 1. publ. [Google Scholar]
- 26.Piccoli A., Rossi B., Pillon L., Bucciante G. A New Method for Monitoring Body Fluid Variation by Bioimpedance Analysis: The RXc Graph. Kidney Int. 1994;46:534–539. doi: 10.1038/ki.1994.305. [DOI] [PubMed] [Google Scholar]
- 27.Di Vincenzo O., Marra M., Scalfi L. Bioelectrical Impedance Phase Angle in Sport: A Systematic Review. J. Int. Soc. Sports Nutr. 2019;16:49. doi: 10.1186/s12970-019-0319-2. [DOI] [PMC free article] [PubMed] [Google Scholar]
- 28.Rodriguez-Sanchez N., Galloway S.D.R. Errors in Dual Energy X-Ray Absorptiometry Estimation of Body Composition Induced by Hypohydration. Int. J. Sport Nutr. Exerc. Metab. 2015;25:60–68. doi: 10.1123/ijsnem.2014-0067. [DOI] [PubMed] [Google Scholar]
- 29.Nana A., Slater G.J., Hopkins W.G., Halson S.L., Martin D.T., West N.P., Burke L.M. Importance of Standardized DXA Protocol for Assessing Physique Changes in Athletes. Int. J. Sport Nutr. Exerc. Metab. 2016;26:259–267. doi: 10.1123/ijsnem.2013-0111. [DOI] [PubMed] [Google Scholar]
- 30.Milsom J., Naughton R., O’Boyle A., Iqbal Z., Morgans R., Drust B., Morton J.P. Body Composition Assessment of English Premier League Soccer Players: A Comparative DXA Analysis of First Team, U21 and U18 Squads. J. Sports Sci. 2015;33:1799–1806. doi: 10.1080/02640414.2015.1012101. [DOI] [PubMed] [Google Scholar]
- 31.Piccoli A., Pastori G. BIVA Software. 2002.
- 32.Rontoyannis G.P., Stalikas A., Sarros G., Vlastaris A. Medical, Morphological and Functional Aspects of Greek Football Referees. J. Sports Med. Phys. Fit. 1998;38:208–214. [PubMed] [Google Scholar]
- 33.Matias C.N., Campa F., Santos D.A., Lukaski H., Sardinha L.B., Silva A.M. Fat-Free Mass Bioelectrical Impedance Analysis Predictive Equationfor Athletes Using a 4-Compartment Model. Int. J. Sports Med. 2021;42:27–32. doi: 10.1055/a-1179-6236. [DOI] [PubMed] [Google Scholar]
- 34.Levi Micheli M., Cannataro R., Gulisano M., Mascherini G. Proposal of a New Parameter for Evaluating Muscle Mass in Footballers through Bioimpedance Analysis. Biology. 2022;11:1182. doi: 10.3390/biology11081182. [DOI] [PMC free article] [PubMed] [Google Scholar]
- 35.Matias C.N., Santos D.A., Júdice P.B., Magalhães J.P., Minderico C.S., Fields D.A., Lukaski H.C., Sardinha L.B., Silva A.M. Estimation of Total Body Water and Extracellular Water with Bioimpedance in Athletes: A Need for Athlete-Specific Prediction Models. Clin. Nutr. 2016;35:468–474. doi: 10.1016/j.clnu.2015.03.013. [DOI] [PubMed] [Google Scholar]
- 36.Casajus J.A., Castagna C. Aerobic Fitness and Field Test Performance in Elite Spanish Soccer Referees of Different Ages. J. Sci. Med. Sport. 2007;10:382–389. doi: 10.1016/j.jsams.2006.08.004. [DOI] [PubMed] [Google Scholar]
- 37.Mascherini G., Petri C., Galanti G. Integrated Total Body Composition and Localized Fat-Free Mass Assessment. Sport Sci. Health. 2015;11:217–225. doi: 10.1007/s11332-015-0228-y. [DOI] [Google Scholar]
- 38.Mascherini G., Castizo-Olier J., Irurtia A., Petri C., Galanti G. Differences between the Sexes in Athletes’ Body Composition and Lower Limb Bioimpedance Values. Muscles Ligaments Tendons J. 2017;7:573–581. doi: 10.11138/mltj/2017.7.4.573. [DOI] [PMC free article] [PubMed] [Google Scholar]
- 39.Da Silva A.I., Fernandez R. Dehydration of Football Referees during a Match. Br. J. Sports Med. 2003;37:502–506. doi: 10.1136/bjsm.37.6.502. [DOI] [PMC free article] [PubMed] [Google Scholar]
- 40.Weston M., Helsen W., MacMahon C., Kirkendall D. The Impact of Specific High-Intensity Training Sessions on Football Referees’ Fitness Levels. Am. J. Sports Med. 2004;32:54S–61S. doi: 10.1177/0363546503261421. [DOI] [PubMed] [Google Scholar]
- 41.Fidelix Y.L. Morfologia Do Árbitro Do Futebol Após 10 Anos Na Arbitragem. I. 2010:14. [Google Scholar]
- 42.Kagawa M., Byrne N.M., King N.A., Pal S., Hills A.P. Ethnic Differences in Body Composition and Anthropometric Characteristics in Australian Caucasian and Urban Indigenous Children. Br. J. Nutr. 2009;102:938–946. doi: 10.1017/S0007114509311733. [DOI] [PubMed] [Google Scholar]
- 43.Goulding A., Taylor R.W., Grant A.M., Parnell W.R., Wilson N.C., Williams S.M. Waist-to-Height Ratios in Relation to BMI z-Scores in Three Ethnic Groups from a Representative Sample of New Zealand Children Aged 5–14 Years. Int. J. Obes. 2010;34:1188–1190. doi: 10.1038/ijo.2009.278. [DOI] [PubMed] [Google Scholar]
- 44.Nightingale C.M., Rudnicka A.R., Owen C.G., Wells J.C.K., Sattar N., Cook D.G., Whincup P.H. Influence of Adiposity on Insulin Resistance and Glycemia Markers Among U.K. Children of South Asian, Black African-Caribbean, and White European Origin. Diabetes Care. 2013;36:1712–1719. doi: 10.2337/dc12-1726. [DOI] [PMC free article] [PubMed] [Google Scholar]
- 45.Heymsfield S.B., Peterson C.M., Thomas D.M., Heo M., Schuna J.M. Why Are There Race/Ethnic Differences in Adult Body Mass Index-Adiposity Relationships? A Quantitative Critical Review: BMI and Race/Ethnicity. Obes. Rev. 2016;17:262–275. doi: 10.1111/obr.12358. [DOI] [PMC free article] [PubMed] [Google Scholar]
- 46.Hazir T. Physical Characteristics and Somatotype of Soccer Players According to Playing Level and Position. J. Hum. Kinet. 2010;26:83–95. doi: 10.2478/v10078-010-0052-z. [DOI] [Google Scholar]
- 47.Campa F., Silva A.M., Talluri J., Matias C.N., Badicu G., Toselli S. Somatotype and Bioimpedance Vector Analysis: A New Target Zone for Male Athletes. Sustainability. 2020;12:4365. doi: 10.3390/su12114365. [DOI] [Google Scholar]
- 48.Ward L.C., Heitmann B.L., Craig P., Stroud D., Azinge E.C., Jebb S., Cornish B.H., Swinburn B., O’Dea K., Rowley K., et al. Association between Ethnicity, Body Mass Index, and Bioelectrical Impedance: Implications for the Population Specificity of Prediction Equations. Ann. N. Y. Acad. Sci. 2006;904:199–202. doi: 10.1111/j.1749-6632.2000.tb06449.x. [DOI] [PubMed] [Google Scholar]
- 49.Piccoli A., Pillon L., Dumler F. Impedance Vector Distribution by Sex, Race, Body Mass Index, and Age in the United States: Standard Reference Intervals as Bivariate Z Scores. Nutrition. 2002;18:153–167. doi: 10.1016/S0899-9007(01)00665-7. [DOI] [PubMed] [Google Scholar]
- 50.Oh J.-H., Song S., Rhee H., Lee S.H., Kim D.Y., Choe J.C., Ahn J., Park J.S., Shin M.J., Jeon Y.K., et al. Normal Reference Plots for the Bioelectrical Impedance Vector in Healthy Korean Adults. J. Korean Med. Sci. 2019;34:e198. doi: 10.3346/jkms.2019.34.e198. [DOI] [PMC free article] [PubMed] [Google Scholar]
- 51.Mascherini G., Gatterer H., Lukaski H., Burtscher M., Galanti G. Changes in Hydration, Body-Cell Mass and Endurance Performance of Professional Soccer Players through a Competitive Season. J. Sports Med. Phys. Fit. 2015;55:749–755. [PubMed] [Google Scholar]
- 52.Di Blasio A., Izzicupo P., Tacconi L., Di Santo S., Leogrande M., Bucci I., Ripari P., Di Baldassarre A., Napolitano G. Acute and Delayed Effects of High Intensity Interval Resistance Training Organization on Cortisol and Testosterone Production. J. Sports Med. Phys. Fit. 2016;56:192–199. [PubMed] [Google Scholar]
- 53.Teixeira A.S., Nunes R.F.H., Yanci J., Izzicupo P., Forner Flores L.J., Romano J.C., Guglielmo L.G.A., Nakamura F.Y. Different Pathways Leading up to the Same Futsal Competition: Individual and Inter-Team Variability in Loading Patterns and Preseason Training Adaptations. Sports. 2018;7:7. doi: 10.3390/sports7010007. [DOI] [PMC free article] [PubMed] [Google Scholar]
- 54.Campa F., Toselli S., Mazzilli M., Gobbo L.A., Coratella G. Assessment of Body Composition in Athletes: A Narrative Review of Available Methods with Special Reference to Quantitative and Qualitative Bioimpedance Analysis. Nutrients. 2021;13:1620. doi: 10.3390/nu13051620. [DOI] [PMC free article] [PubMed] [Google Scholar]
- 55.Ardigò L.P., Padulo J., Zuliani A., Capelli C. A Low-Cost Method for Estimating Energy Expenditure during Soccer Refereeing. J. Sports Sci. 2015;33:1853–1858. doi: 10.1080/02640414.2015.1015150. [DOI] [PubMed] [Google Scholar]
- 56.da Silva A.I., Fernandes L.C., Fernandez R. Energy Expenditure and Intensity of Physical Activity in Soccer Referees during Match-Play. J. Sports Sci. Med. 2008;7:327–334. [PMC free article] [PubMed] [Google Scholar]
- 57.Clemente F.M., Couceiro M.S., Lourenço Martins F.M., Ivanova M.O., Mendes R. Activity Profiles of Soccer Players During the 2010 World Cup. J. Hum. Kinet. 2013;38:201–211. doi: 10.2478/hukin-2013-0060. [DOI] [PMC free article] [PubMed] [Google Scholar]
Associated Data
This section collects any data citations, data availability statements, or supplementary materials included in this article.
Supplementary Materials
Data Availability Statement
The raw data supporting the conclusion of this article will be made available by the authors, based on a reasoned request.


