Abstract
Background
Generally, Body surface area (BSA) changes significantly during growth and maturation. These increases portend a possible relationship between body size as determined by BSA with maturational status in children and adolescents.
Objective
To determine the relationship between maturity status (MS) obtained by non-invasive anthropometric methods and body surface area (BSA) in children and adolescents of both sexes in a regional population of Chile. Additionally, we sought to verify the type of linear or nonlinear relationship between MS and BSA in both sexes.
Methods
A descriptive (cross-sectional) study was designed in 950 children and adolescents of both sexes (539 males and 411 females). The age range ranged from 6.0 to 17.9 years. Anthropometric measurements were evaluated: body weight, standing height, sitting height. MS was assessed by means of two non-invasive anthropometric techniques. Both techniques predict peak years of growth velocity (APHV) through a regression equation for each sex. BSA (m2) was estimated by means of the Haycock equation.
Results
The R2 in the linear model is relatively lower (R2 = 0.80 to 0.89 in males and 0.74 to 0.66 in females) in relation to the nonlinear quadratic model (R2 = 0.81 in males and 0.76 to 0.69). The quadratic nonlinear quadratic model reflected an adequate fit (RMSE) for the data set, being in men (RMSE = 1.080 and 1.125), while in women (RMSE = 1.779 and 1.479).
Conclusion
BSA is positively associated with MS determined by two non-invasive methods in Chilean children and adolescents: The nonlinear quadratic model was a better fit to the data distribution. The results suggest the use of BSA as a possible predictor of maturity status in Chilean youth.
Keywords: Maturity status, Body surface area, Children, Adolescents
Background
Biological maturation is defined as a progression of quantitative or qualitative changes leading from an undifferentiated or immature state to a highly organized, specialized and mature state [1]. All tissues, organs and systems of the human body mature, but do so at different times and rates [2].
In recent years, there has been widespread concern among researchers about the use of biological maturation indicators in children and adolescents in various populations around the world [3–7]. For these indicators make it possible to identify recognizable events or stages within the continuous changes that occur during the maturation process [1].
Indeed, classical indicators measuring the maturity status such as skeletal age (SA) and secondary sexual characteristics are often considered impractical and invasive [4, 5]. Thus, in recent years, non-invasive techniques have been emerging that allow predicting years from peak height velocity (a maturity compensation value). This, by using anthropometric variables, such as weight, standing height, sitting height and leg length (difference between height and sitting height) [8], and standing weight and height [9].
Both techniques have been widely used in various studies for the purpose of categorizing maturity status in children and adolescents [4, 6, 10, 11]. It is even used to verify interindividual differences in youth sports, especially during the transition to adolescence [12]. Consequently, investigating the state of maturity in the growing school population and somatic development in various regions of the world is extremely relevant.
In general, the literature highlights that traditional invasive methods bring with them logistical difficulties, limiting their uses and applications [13]. Therefore, parents, sports organizations, schools and ethics committees are often reluctant to use these protocols [12].
In this context, it is necessary to highlight new alternatives for estimating maturity status, involving the use of non-invasive somatic indicators that demand low physical and psychological risk among young people.
In fact, historically the body surface area (BSA) has been widely used to estimate body size and standardize physiological parameters since the early 20th century in adults [14, 15] and in children [16, 17]. Well, generally the BSA changes significantly in the stage of growth and maturation with the course of age, as it increases from 0.2 m2 at birth to 1.73 m2 in adulthood, along with the maturation of organ function [18].
These increases during the stage of growth and biological maturation portend a possible relationship between body size as determined by BSA with maturity status in children and adolescents. To our knowledge, no national and international studies have been found that have tested and identified non-invasive anthropometric indicators to predict maturity status during the growth and somatic development stage. Consequently, to the best of our knowledge this information could contribute to the control of interindividual variations in maturity status among schoolchildren and young athletes.
Therefore, this study aimed to determine the relationship between the maturity status obtained by non-invasive anthropometric methods with BSA in children and adolescents of both sexes from a regional population of Chile. Additionally, we sought to verify the type of linear or nonlinear relationship between MS and BSA in both sexes.
Methods
Type of study and sample
A descriptive (cross-sectional) study was designed in 950 children and adolescents of both sexes (539 males and 411 females). The age range ranged from 6.0 to 17.9 years. Schoolchildren were invited to participate voluntarily in the study. The participants came from 04 primary and secondary schools in the Maule region (Chile). The sample selection was non-probabilistic (quotas).
The schools that participated in the study are public and are located in the urban area of the region. One of the researchers requested permission from the school administration to collect anthropometric data.
All children and adolescents whose parents and/or guardians signed the informed consent to participate in the study and those who were within the established age range were included in the study. Students who presented locomotor problems or physical difficulties that prevented the evaluation of anthropometric measurements and those who did not attend or did not complete the anthropometric measurements were excluded.
The study was previously approved by the Ethics Committee of the Universidad (protocol no. 100/2019). The protocol was based on the Declaration of Helsinki Agreement (World Medical Association) for human subjects.
Procedures
The data collection procedure was carried out in the facilities of each school. The Physical Education department was set up to evaluate anthropometric measurements. The data collection process was carried out in the months of October and November 2022 during school hours (8:00 a.m. to 13:00 p.m.).
Anthropometric measurements were evaluated according to the protocol described by Ross and Marfell-Jones [19]. The schoolchildren were weighed barefoot, wearing shorts and a T-shirt. A Tanita (Ltd Japan) digital scale with 100 g accuracy and a scale from 0 to 150 kg was used. Height (m) was assessed barefoot on the Frankfurt plane. An aluminum stadiometer graduated in millimeters, Seca brand, with a scale of 0–2.50 m and with an accuracy of 0.1 cm was used. The trunk-cephalic height (sitting height) was measured using a wooden bench with a height of 50 cm, with a measuring scale from 0 to 150 cm, and with an accuracy of 1 mm.
The maturity status of children and adolescents was assessed by means of the non-invasive anthropometric techniques proposed by Mirwald et al. [8] and Moore et al. [9]. The first is based on chronological age, weight, standing height, sitting height, and leg length (standing height minus sitting height) and their interactions:
The second, uses chronological age, weight and height. Both techniques predict peak years of growth velocity (APHV) through a regression equation for each sex. These techniques indicate the time before or after the APHVs.
The classification of MS was performed by means of the described by Malina, Koziel [20], classifying as average young people from − 1 to + 1 years of PHV, those younger than − 1 years of PHV classified as early and those older than + 1 years of PHV classified as late. This classification was applied to the two techniques that estimate MS (Mirwald and Moore).
The BSA (m2) was estimated by means of the equation of Haycock et al. [21] This equation was proposed in infants, children and adults from height (length) and weight and their corresponding allometric adjustments: BSA = 0.024265×weight (kg)0.5378 × height (cm) 0.3964.
The quality control of the anthropometric measurements was determined by the relative technical measurement error TEM (intra-evaluator and inter-evaluator). It was evaluated at 10% of the total sample. For both cases, the values ranged from 0.8 to 1.2%.
Statistical analysis
The normal distribution of the data was verified by the Kolmogorov-Smirnov test. Descriptive statistical analysis of arithmetic mean, standard deviation and range was performed. Differences between genders were determined by Student’s test for related samples.
Regressions by sex and for each MS prediction method were performed using the linear and quadratic model. The coefficient of determination R2 and root mean square error (RMSE) were calculated. The MS of Mirwald et al. [8] and Moore et al. [9] were considered as dependent variables, while BSA, as independent: for Males [SM-Mirwald = -11.297 + 6. 594*BSA (Linear model), SM-Mirwald = -16.792 + 14.418*BSA-2.636*BSA2 (Quadratic model)]; Females [SM-Mirwald = -14.462 + 11.226*BSA (Linear model), SM-Mirwald = -23.905 + 24.909*BSA-4.766*BSA2 (Quadratic model)].
Males [SM-Moore = -10.694 + 6.810*BSA (Linear model), SM-Moore = -17.098 + 15.929*BSA-3.072*BSA2 (Quadratic model)]; Females [SM-Moore = -10.525 + 7.767*BSA (Linear model), SM-Moore = -20.984 + 22.918*BSA-5.278*BSA2 (Quadratic model)].
In all cases, a p < 0.05 was considered significant. Calculations were performed in Excel spreadsheets, SPSS 18.0 and R.
Results
The anthropometric variables characterizing the sample studied can be seen in Table 1. The MS categories were determined by two methods (Mirwald and Moore). When age and anthropometric variables were compared by Mirwald and Moore, there were significant differences between both methods in the pre-pubertal category and in the pubertal category (p < 0.05). However, there were no differences between both methods in the post-pubertal category (p > 0.05).
Table 1.
Anthropometric characteristics of children and adolescents categorized by maturity status
| MS | Age (years) | Weight (kg) | Height (cm) | SH (cm) | LL (cm) | BSA (m2) | |||||||
|---|---|---|---|---|---|---|---|---|---|---|---|---|---|
| n | X | SD | X | SD | X | SD | X | SD | X | SD | X | SD | |
| Categories | MS males (Mirwald) | ||||||||||||
| Pre Puberty | 295 | 10.7 | 2.6 | 41.6 | 13.1 | 142.8 | 15.3 | 74.2 | 7.2 | 68.6 | 9.6 | 1.27 | 0.25 |
| Puber | 70 | 14.8a | 0.7 | 62.8a | 10.8 | 167.3a | 5.4 | 86.9a | 2.6 | 80.4a | 5.5 | 1.70a | 0.14 |
| Post Puber | 174 | 16.8a.b | 0.8 | 70.3a.b | 12.2 | 171.4a.b | 6.4 | 90.4a.b | 3.3 | 81.0a.b | 5.8 | 1.82a.b | 0.15 |
| Total | 539 | 13.2 | 3.4 | 53.6 | 18.3 | 155.2 | 18.2 | 81.1 | 9.6 | 74.2 | 10.1 | 1.5 | 0.33 |
| MS Males (Moore) | |||||||||||||
| Pre Puberty | 188 | 9.2* | 1.9 | 35.4* | 10.3 | 133.8* | 10.8 | 70.4* | 5.7 | 63.4* | 7.1 | 1.13* | 0.19 |
| Puber | 177 | 13.9† | 1.1 | 56.5† | 11.7 | 161.4† | 7.2 | 83.8† | 5 | 77.6† | 5.5 | 1.58† | 0.16 |
| Post Puber | 174 | 16.8 | 0.8 | 70.3 | 12.2 | 172.1 | 5.6 | 89.8 | 3.9 | 82.3 | 5.2 | 1.82 | 0.15 |
| Total | 539 | 13.2 | 3.4 | 53.6 | 18.3 | 155.2 | 18.2 | 81.1 | 9.6 | 74.2 | 10.1 | 1.5 | 0.33 |
| MS Females (Mirwald) | |||||||||||||
| Pre Puberty | 120 | 8.8 | 1.5 | 34.3 | 7.9 | 132.8 | 9.8 | 69.3 | 4.7 | 63.5 | 5.9 | 1.11 | 0.16 |
| Puber | 29 | 11.2a | 0.6 | 46.7a | 8.8 | 149.8a | 4.5 | 77.7a | 3.7 | 72.0a | 3.7 | 1.39a | 0.12 |
| Post Puber | 262 | 15.4 a.b | 2 | 59.0a.b | 12 | 157.6a.b | 5.5 | 83.2a.b | 4.1 | 74.4a.b | 4.7 | 1.59a.b | 0.15 |
| Total | 411 | 13.1 | 3.5 | 50.9 | 15.5 | 149.8 | 13.1 | 78.8 | 7.6 | 71.1 | 7 | 1.43 | 0.26 |
| MS Females (Moore) | |||||||||||||
| Pre Puber | 101 | 8.5 | 1.4 | 32.8 | 7.2 | 130.4 | 8.5 | 68.2 | 4.2 | 62.2 | 5.2 | 1.08 | 0.14 |
| Puber | 117 | 11.9† | 1.1 | 50.8† | 9.8 | 152.9† | 6.6 | 79.5† | 4.2 | 73.4† | 4.2 | 1.46† | 0.15 |
| Post Puber | 193 | 16.3 | 1.2 | 60.5 | 12.6 | 158.2 | 5.4 | 83.8 | 4.2 | 74.3 | 4.9 | 1.61 | 0.16 |
| Total | 411 | 13.1 | 3.5 | 50.9 | 15.5 | 149.8 | 13.1 | 78.8 | 7.6 | 71.1 | 7 | 1.43 | 0.26 |
Legend: MS: maturity stage, SH: Sitting height, LL: leg length, BSA: body surface area, x: mean, SD: standard deviation, *: significant difference between pre-pubertal categories, †: significant difference between pubertal categories
In females, there were significant differences between both methods in the pubertal category (p < 0.01), however, in the other categories such as pre-pubertal and post-pubertal, there were no significant differences (p > 0.05).
In general, schoolchildren of both sexes categorized as pre-pubertal, evidenced lower age and lower anthropometric parameters in relation to those categorized as pubertal and post-pubertal (p < 0.05), even, pubertal presented lower values in relation to post-pubertal (p < 0.05).
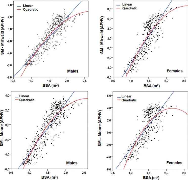
The linear and nonlinear regression values between MS with BSA can be seen in Table 2. The R2 in the linear model is relatively lower than the nonlinear (quadratic) model. The quadratic model showed a higher explanatory power from 1 to 3%. In general, the nonlinear quadratic model reflected an adequate fit (RMSE) for the data set, being in males (RMSE = 1.080 and 1.125), while in females (RMSE = 1.779 and 1.479). Figure 1 shows a parabola product of the cubic model, where pubescent males (-1APHV to + 1PHV) evidenced a BSA from 1.55 to 1.79m2 by Mirwald technique and 1.57 to 1.79m2 by Moore technique, while pubescent females (-1APHV to + 1PHV) reflected a BSA from 1.32 to 1.45m2 by Mirwald and 1.36 to 1.58m2 by Moore.
Table 2.
Linear and non-linear regression models between MS by both methods with BSA in children and adolescents of both sexes
| Models | MS (Mirwald et al 2002) | MS (Moore et al 2015) | ||||||||||
|---|---|---|---|---|---|---|---|---|---|---|---|---|
| R2 | F | g1 | g2 | p | RMSE | R2 | F | g1 | g2 | p | RMSE | |
| Males | ||||||||||||
| Linear | 0.8 | 2147.8 | 1 | 537 | 0.000 | 1.13 | 0.79 | 2063.5 | 1 | 537 | 0.000 | 1.19 |
| Quadratic | 0.81 | 1206.7 | 2 | 536 | 0.000 | 1.08 | 0.81 | 1193.2 | 2 | 536 | 0.000 | 1.125 |
| Females | ||||||||||||
| Linear | 0.74 | 1186.9 | 1 | 409 | 0.000 | 1.84 | 0.66 | 778.1 | 1 | 409 | 0.000 | 1.57 |
| Quadratic | 0.76 | 653.9 | 2 | 408 | 0.000 | 1.779 | 0.69 | 469.1 | 2 | 402 | 0.000 | 1.479 |
Legend: MS: Maturity stage, RMSE: root mean square error
Fig. 1.
Non-linear and non-linear relationship between BSA values and MS determined by two non-invasive techniques
Discussion
The results of the study have shown that there is a linear and non-linear relationship between MS and BSA in both sexes. However, the best fit in data concentration was observed in the quadratic non-linear relationship, where the explanatory power was higher from 1 to 3% and the RMSE evidenced lower values (RSME = 1080 and 1.175 in males and RMSE = 1.779 and 1.479 in females), with respect to the linear model (RSME = 1.130 and 1.190 in males and RMSE = 1.740 and 1.570 in females).
These findings indicate that the BSA can be considered an excellent predictor of MS in children and adolescents in a regional population of Chile. Therefore, future studies that intend to propose new methods for the evaluation of MS by anthropometry could include BSA in their prediction models.
In fact, since the publication of the study by Mirwald et al. [8], in which the SM prediction equation is proposed in both sexes, more than 20 years have elapsed, in which it has been widely used in school [5, 22, 23] and sports populations [24–26]. Even, the same study group using the same database, made an adjustment to the initial equations, in which seated height was eliminated, and published new equations with a lower prediction error (known as Moore equations).
In this study we verified similar explanatory power (quadratic relationship) between BSC with the Mirwald and Moore Eq. (81%). However, in women, the explanatory power was higher with the Mirwald Eq. (79%) and lower with the Moore Eq. (69%). These findings indicate that it appears that the Mirwald and Moore technique may be appropriate methods for estimating MS in men, whereas in women only the Mirwald technique is appropriate.
In fact, the few studies carried out on this subject generally vary in their estimates from fair to moderate between methods [27, 28]. Therefore, given the absence of a criterion method to compare SM estimates, it is necessary that future studies plan a large-scale longitudinal investigation to clarify these gaps and discrepancies between methods.
In general, the original Mirwald equation has been criticized for its predictive ability, in which several limitations are highlighted in both sexes [4, 20, 29]. Even, recently some studies highlight that the equation modified by Moore et al. [9] presents some important limitations that should be considered by researchers [4, 20, 28].
Therefore, perhaps it could be timely to include BSA in these two techniques predicting MS in children and adolescents of both sexes. In addition, the nonlinear relationship in both techniques should be considered, which could improve the explanatory power in the prediction models.
In essence, body size and body build over the years has been changing in pediatric patients of ethnic/racial background [30–32], thus equations predicting MS possibly require updating their regression models.
For it is widely known that the techniques used to predict MS need periodic evaluations, so BSA could be an appropriate predictor to control for such variations in body shape and build during the growth and development stage.
In summary, although BSA is related to both techniques of MS in children and adolescents of both sexes, classically BSA has been considered by Brozek et al. [34] as a long-established measure in measurements such as overlay, triangulation, planimetry, prediction from major body dimensions. Therefore, attention should be paid as a possible predictor of MS, as it is not surprising that several expressions correlating body surface area with direct measurements of body mass and length have been reported in the literature [35]. Although, additional or alternative variables and methods need to be considered as a complement to estimate somatic maturation [30].
In fact, maturation is a complex process involving changes in body structure and function, and these changes may vary among individuals and populations. Thus, their assessment by anthropometric techniques can help predict the maturity shift and accommodate individual differences among adolescents [8].
Meanwhile, studying methodologies to assess biological maturation during the stage of growth and development remains a gap, so future studies should continue to address strategies to generate new noninvasive methodologies.
Overall, this study has some limitations in its cross-sectional design, so future studies should use longitudinal designs to confirm our findings. For example, the most commonly used indicator of maturity in longitudinal studies during adolescence is peak PHV growth velocity which require serial measurements over several years around the years surrounding the onset of peak growth velocity [36]. In addition, we also highlight that it was not possible to model these data for children and adolescents of both sexes through mathematical models such as Preece-Baines [37] and Sitar [38]. It is suggested that future studies analyze such models and verify the associations with PHV. However, notwithstanding the above, we emphasize that this study is one of the first investigations that demonstrated the usefulness of BSA in children and adolescents. Furthermore, this information may be useful for researchers who have longitudinal databases, in which the use and applicability of the BSA in children and adolescents from various geographic regions of the world can be tested.
Conclusion
This study concludes that the BSA is positively associated with MS determined by two non-invasive methods in Chilean children and adolescents: The nonlinear quadratic model best fit the data distribution. The results suggest the potential use of the BSA as a possible predictor of MS in young athletes and non-athletes and open new possibilities and alternatives in biological maturation research to explore its validity and reliability.
Acknowledgements
We would like to express our gratitude to all the participating students, teachers, and schools for their tremendous support.
Abbreviations
- BSA
Body surface area
- MS
maturity status
- APHV
peak years of growth velocity
- TEM
technical measurement error
- RMSE
root mean square error
Authors’ contributions
M.C.B., R.G.C., F.A.V., and E.L contributed to the design of the research study. F.A.V., R.V.E., L.F.C., and collected data, contributed to the discussion, wrote the manuscript and reviewed/edited the manuscript. M.C.B., R.G.C., F.A.V., R.V.D., L.F.C., E.L., J.G.L., and A.P., edited, and reviewed the manuscript. M.C.B., R.G.C., and F.A.V., analyzed data and/or reviewed/edited the manuscript. M.C.B., R.G.C., and F.A.V., reviewed/edited the manuscript. All authors revised and agreed on the views expressed in the manuscript.
Funding
ANID-PFCHA/Doctorado Becas Chile/2020- folio 72210418.
Data Availability
The datasets supporting the conclusions of this research article are available by emailing the corresponding author.
Declarations
Ethics approval and consent to participate
The study protocol was approved by the Ethic Committee of the Universidad Autonoma de Chile, UA 238/2021. All experiments were performed in accordance with relevant guidelines and regulations (such as the Declaration of Helsinki). Parents and guardians provided informed written consent for their children under the age of 16 participating in the study. In addition, all students under and over the age of 16 in the study provided written informed consent acknowledging their consent to participate and their understanding of the research procedures and objectives.
Consent for publication
Not applicable.
Competing interests
The authors declare that they have no competing interests.
Footnotes
Publisher’s Note
Springer Nature remains neutral with regard to jurisdictional claims in published maps and institutional affiliations.
References
- 1.Cameron N, Bogin B. Human Growth and Development. Second edition ed. San Diego, CA, USA: Elsevier Science; 2012.
- 2.Beunen GP, Rogol AD, Malina RM. Indicators of Biological Maturation and secular changes in Biological Maturation. FoodNutr Bull. 2006;27(4suppl5):244–S256. doi: 10.1177/15648265060274S508. [DOI] [PubMed] [Google Scholar]
- 3.Gillison F, Cumming S, Standage M, Barnaby C, Katzmarzyk P. Assessing the impact of adjusting for maturity in weight status classification in a cross-sectional sample of UK children. BMJ Open. 2017;7(6):e015769. doi: 10.1136/bmjopen-2016-015769. [DOI] [PMC free article] [PubMed] [Google Scholar]
- 4.Kozieł SM, Malina RM. Validation in independent longitudinal samples of Boys and Girls. Sports Med. 2018;48(1):221–36. doi: 10.1007/s40279-017-0750-y. [DOI] [PMC free article] [PubMed] [Google Scholar]
- 5.Cossio-Bolaños M, Vidal-Espinoza R, Castelli Correia de Campos LF, Sulla-Torres J, Cossio-Bolaños W, Urra Albornoz C, et al. Equations predicting maturity status: validation in a cross-sectional sample to assess physical growth and body adiposity in chilean children and adolescents. Endocrinología diabetes y nutrición. 2021;68(10):689–98. doi: 10.1016/j.endinu.2020.12.009. [DOI] [PubMed] [Google Scholar]
- 6.Cossio Bolaños M, Vidal-Espinoza R, Minango Negrete J, Urzua-Alul L, Cossio Bolaños W, Sulla Torres J, et al. Proposal of percentiles to evaluate physical growth and body adiposity as a function of maturity status in chilean children and adolescents. Nutrición hospitalaria: organo oficial de la Sociedad Española de Nutrición. Parenter y Enter. 2021;38(5):935–42. doi: 10.20960/nh.03563. [DOI] [PubMed] [Google Scholar]
- 7.Weber VMR, da Costa JC, Volpato LA, Romanzini M, Castro-Piñero J, Ronque ERV. Association between cardiorrespiratory fitness and cognitive control: is somatic maturity an important mediator? BMC Pediatr. 22;1:699. [DOI] [PMC free article] [PubMed]
- 8.Mirwald RL, Baxter-jones ADG, Bailey DA, Beunen GP. An assessment of maturity from anthropometric measurements. Med Sci Sports Exerc. 2002;34(4):689–94. doi: 10.1097/00005768-200204000-00020. [DOI] [PubMed] [Google Scholar]
- 9.Moore S, Mckay H, Macdonald H, Nettlefold L, Baxter-J AD, Cameron N, et al. Enhancing a somatic maturity prediction model. Med Sci Sports Exerc. 2015;47(8):1755–64. doi: 10.1249/MSS.0000000000000588. [DOI] [PubMed] [Google Scholar]
- 10.Drenowatz C, Greier K. Associations between Maturity Status and Dietary Intake in Austrian Adolescents. Int J Pediatr Res. 2018;4:046. [Google Scholar]
- 11.Hogan C, Abbott S, Halaki M, Torres Castiglioni M, Yamauchi G, Mitchell L, et al. Maturation-based Corrective Adjustment Procedures. PLoS ONE. 2022;7(10):e0275797. doi: 10.1371/journal.pone.0275797. [DOI] [PMC free article] [PubMed] [Google Scholar]
- 12.Malina RM, Dompier TP, Powell JW, Barron MJ, Moore MT. Validation of a noninvasive maturity estimate relative to skeletal age in youth football players. Clin J Sport Med. 2007;17(5):362–8. doi: 10.1097/JSM.0b013e31815400f4. [DOI] [PubMed] [Google Scholar]
- 13.Malina RM, Beunen GP. Matching opponents in youth sports. In: O Bar-Or, editor. The child and Adolescent Athlete. Oxford, UK: Blackwell Science; 1996. pp. 202–13. [Google Scholar]
- 14.Meeh K. Oberflachenmessungen des menschlichen Korpers. Z Biol. 1879;15:425. [Google Scholar]
- 15.Du Bois D, Du Bois EF. Clinical calorimetry: tenth paper a formula to estimate the approximate surface area if height and weight be known. Arch Intern Med. 1916;XVII(62):863–71. doi: 10.1001/archinte.1916.00080130010002. [DOI] [Google Scholar]
- 16.Boyd E. The growth of the surface area of the human body. Minneapolis: Univ. of Minnesota Press; 1935. [Google Scholar]
- 17.Mosteller RD. Simplified calculation of body-surface area. N Engl J Med. 1987;317(17):1098. doi: 10.1056/NEJM198710223171717. [DOI] [PubMed] [Google Scholar]
- 18.Feber J, Krásničanová H. Measures of Body Surface Area in Children. Handbook of Anthropometry. 2012:1249–1256. Ross WD, Marfell-Jones MJ. Kinanthropometry. En: MacDougall JD, Wenger HA, Geen HJ, editores. Physiological tests for elite athletes. London: Human Kinetics; 1991. p. 223–308.
- 19.Ross WD, Marfell-Jones MJ. Kinanthropometry. En: MacDougall JD, Wenger HA, Geen HJ, editores. Physiological tests for elite athletes. London: Human Kinetics; 1991. p. 223–308.
- 20.Malina RM, Kozieł SM. Validation of maturity offset in a longitudinal sample of polish boys. J Sports Sci. 2014;32(5):424–37. doi: 10.1080/02640414.2013.828850. [DOI] [PubMed] [Google Scholar]
- 21.Haycock GB, Schwartz GJ, Wisotsky DH. Geometric method for measuring body surface area: a height-weight formula validated in infants, children, and adults. J Pediatr. 1978;93(1):62–6. doi: 10.1016/S0022-3476(78)80601-5. [DOI] [PubMed] [Google Scholar]
- 22.Portella DL, Arruda M, Gómez-Campos R, Portella GC, Andruske CL, Cossio-Bolaños MA. Physical growth and biological maturation of children and adolescents. Annals of nutrition and metabolism. 2017;70(4):329–37. doi: 10.1159/000475998. [DOI] [PubMed] [Google Scholar]
- 23.Pezoa-Fuentes P, Cossio-Bolaños M, Urra-Albornoz C, Alvear-Vasquez F, Lazari E, Urzua-Alul L, et al. Fat-free mass and maturity status are determinants of physical fitness performance in schoolchildren and adolescents. Jornal de Pediatria. 2023;99(1):38–44. doi: 10.1016/j.jped.2022.03.007. [DOI] [PMC free article] [PubMed] [Google Scholar]
- 24.Radnor JM, Oliver JL, Waugh CM, Myer GD, Lloyd RS. The influence of Maturity Status on muscle Architecture in School-Aged boys. Pediatr Exerc Sci. 2020;32(2):89–96. doi: 10.1123/pes.2019-0201. [DOI] [PMC free article] [PubMed] [Google Scholar]
- 25.Montenegro Barreto J, Vidal-Espinoza R, Gomez Campos R, De Arruda M, Urzua Alul L, Sulla-Torres J, et al. Relationship between muscular fitness and bone health in young baseball players. Eur J Translational Myology. 2021;31(1):9642. doi: 10.4081/ejtm.2021.9642. [DOI] [PMC free article] [PubMed] [Google Scholar]
- 26.Toselli S, Mauro M, Grigoletto A, Cataldi S, Benedetti L, Nanni G, et al. Maturation selection biases and relative age effect in italian Soccer Players of different levels. Biology (Basel Switzerland) 2022;11(11):1559. doi: 10.3390/biology11111559. [DOI] [PMC free article] [PubMed] [Google Scholar]
- 27.Parr J, Winwood K, Hodson-Tole E, Deconinck FJA, Parry L, Hill JP, Malina RM, Cumming SP. Predicting the timing of the peak of the pubertal growth spurt in elite male youth soccer players: evaluation of methods. Ann Hum Biol. 2020;47(4):400–8. doi: 10.1080/03014460.2020.1782989. [DOI] [PubMed] [Google Scholar]
- 28.Salter J, Cumming SP, Hughes JD, De Ste Croix M. Estimating somatic maturity in adolescent soccer players: methodological comparisons. Int J Sports Sci Coaching. 2021;17:11–7. doi: 10.1177/17479541211020418. [DOI] [Google Scholar]
- 29.Malina RM, Choh AC, Czerwinski SA, Chumlea WC. Validation of Maturity Offset in the Fels Longitudinal Study. Pediatr Exerc Sci. 2016;28(3):439–55. doi: 10.1123/pes.2015-0090. [DOI] [PubMed] [Google Scholar]
- 30.Malina RM, Martinho DV, Valente-Dos-Santos J, Coelho-E-Silva MJ, Kozieł SM. Growth and Maturity Status of Female Soccer Players: a narrative review. Int J Environ Res Public Health. 2021;18(4):1448. doi: 10.3390/ijerph18041448. [DOI] [PMC free article] [PubMed] [Google Scholar]
- 31.Nwoye LO. Body surface area of Africans: a study based on direct measurements of nigerian males. Hum Biol. 1989;61(3):439–57. [PubMed] [Google Scholar]
- 32.Orimadegun A, Omisanjo A. Evaluation of five formulae for estimating body surface area of nigerian children. Annals of Medical and Health Sciences Research. 2014;4(6):889–98. doi: 10.4103/2141-9248.144907. [DOI] [PMC free article] [PubMed] [Google Scholar]
- 33.Edelbi AE, Lindemalm R, Nydert S, Eksborg P. Estimation of body surface area in neonates, infants, and children using body weight alone. Int J Pediatr Adolesc Med. 2021;8(4):221–8. doi: 10.1016/j.ijpam.2020.09.003. [DOI] [PMC free article] [PubMed] [Google Scholar]
- 34.Brožek J, Pařízková J, Mendéz J, Bartkett HL. The evaluation of body surface, body volume and body composition in human biology research. Anthropologie (Brno) 1987;25(3):235–59. [Google Scholar]
- 35.Wang J, Hihara E. Human body surface area: a theoretical approach. Eur J Appl Physiol. 2004;91(4):425–8. doi: 10.1007/s00421-003-1011-3. [DOI] [PubMed] [Google Scholar]
- 36.Malina RM. In: Bouchard C, Bar-Or O, editors. Growth, maturation, and physical activity. Human Kinetics; 2004.
- 37.Preece MA, Baines MJ. A new family of mathematical models describing the human growth curve. Ann Hum Biol. 1978;5(1):1–24. doi: 10.1080/03014467800002601. [DOI] [PubMed] [Google Scholar]
- 38.Cole TJ, Donaldson MDC, Ben-Shlomo Y. SITAR—a useful instrument for growth curve analysis. Int J Epidemiol. 2010;39(6):1558–66. doi: 10.1093/ije/dyq115. [DOI] [PMC free article] [PubMed] [Google Scholar]
Associated Data
This section collects any data citations, data availability statements, or supplementary materials included in this article.
Data Availability Statement
The datasets supporting the conclusions of this research article are available by emailing the corresponding author.

