Abstract
Objective
To compare 18 F-PSMA-1007 PET/CT, 18 F-FDG PET/CT and 68Ga-PSMA PET/CT in the diagnostic value of prostate cancer.
Method
The Chinese and foreign databases, such as Pubmed, Cochrane Library, Embase, CNKI, VIP, Wanfang, etc., were systematically searched within the period from the establishment of the database to June 1, 2022. Clinical studies related to the diagnosis of prostate cancer by methods such as 18 F-PSMA-1007 PET/CT, 18 F-FDG PET/CTCT, 68Ga-PSMA PET/CT, were researched. Two (2) investigators independently screened literatures, extracted data, and assessed the risk of bias when these data were included in the studies with the Quality Assessment of Diagnostic Accuracy Studies (QUADAS-2). Review Manager5.4, Stata 14.0, and Meta-disc 1.4 software were used for meta-analysis to compare the efficacy of different methods in the diagnose of prostate cancer.
Results
Twenty-seven (27) studies, including 2891 subjects were included in our study. Meta-analysis results showed that the pooled sensitivities of 18 F-PSMA-1007 PET/CT, 18 F-FDG PET/CT, and 68Ga-PSMA PET/CT were 0.912 (95%CI: 0.883–0.936), 0.748 (95%CI: 0.698–0.795), and 0.916 (95%CI: 0.896–0.934), respectively; the pooled specification were 0.878 (0.844–0.907), 0.639 (95%CI: 0.589–0.687), and 0.734 (95%CI: 0.685–0.779), respectively; the positive likelihood ratios were 6.335 (95%CI: 4.288–9.357), 2.282 (95%CI: 1.497–3.477), and 3.593 (95%CI: 2.986–4.323), respectively; the negative likelihood ratios were 0.878 (95%CI: 0.844–0.907), 0.374 (95%CI: 0.280–0.499), and 0.110 (95%CI: 0.083–0.144), respectively; the diagnostic odds ratios were 65.125 (95%CI: 34.059–124.53), 7.094 (95%CI: 4.091–12.301), and 29.722 (95%CI: 20.141–43.863), respectively; the positive posterior probability was 64%, 38%, and 62%, respectively; the area under the SPOC curve was 0.95 (95%CI: 0.93–0.97), 0.81 (95%CI: 0.78–0.84), and 0.96 (95%CI: 0.92–0.98), respectively. The funnel plots indicated that there was no significant publication bias in the included literatures.
Conclusion
The current evidences showed that 18 F-PSMA-1007 PET/CT and 68Ga-PSMA PET/CT had higher diagnostic efficacy of prostate cancer compared with 18 F-FDG PET/CT, among which 68Ga-PSMA PET/CT was slightly higher in the sensitivity of the diagnosis of prostate cancer, while 18 F-PSMA-1007 PET/CT may have higher efficacy in specificity and confirmed positive rate. Due to the limitations of the quality of the included samples and literatures, the above conclusions should be further validated by expanding the sample size and improving the quality.
Keywords: Prostate cancer, Prostate-specific membrane antigen, Diagnosis, PET/CT, Radioisotopes, meta-analysis
Introduction
Prostate cancer (PCa) is a common genitourinary malignant tumor and the fifth leading cause of death in men due to cancer [1]. The survey in 2018 showed that there were about 1.3 million new cases worldwide and about 359,000 related deaths about PCa [2]. In recent years, the incidence of prostate cancer has been increasing with the aging of the population, and the challenges in the related health resources are also becoming more and more severe. The prostate cancer has an insidious onset in the early stage, and is lack of specificity in clinical manifestations. Most patients are often accompanied by invasion and metastasis when they have clinical symptoms. As a common malignant tumor leading to the death of men worldwide, the pathological characteristics and clinical manifestations of prostate cancer often have significant heterogeneity, which is reflected in not only different individuals, but even the same patient [3, 4]. Although the diagnosis and treatment of PCa has developed rapidly in recent decades, the highly heterogeneous pathological characteristics of PCa increase the difficulty in clinical diagnosis and staging, and are still important factors affecting the early screening of high-risk PCa populations. Medical imaging examinations have always played an important role in the diagnosis and treatment of PCa. As the treatment protocol for PCa has gradually become more individualized in recent years, the selection of imaging methods is critical to accurately assessing the diagnosis, staging, and retesting of PCa patients.
Clinically, the diagnosis, staging, and bone metastasis of PCa mainly rely on the detection of serum prostate-specific antigen (PSA) test in combination with imaging means such as CT, MRI, and systematic bone scans, which still have the risk of negative or false positive results [5]. In recent years, radionuclide-labeled targeted molecular imaging has shown good prospects in the clinical application of PCa, and has become a key point of the studies on disease diagnosis, treatment, biochemistry and recurrence [6, 7]. As a new diagnostic technology widely used in clinical practice, PET/CT can significantly improve the accuracy of clinical disease diagnosis since it incorporates the advantages of anatomy, functional metabolic imaging and molecular imaging, and has become an important means for diagnosing PCa [8]. Correspondingly, the types of PET/CT imaging agents have gradually increased with the development of PET/CT, such as 18 F-PSMA, 18 F-FDG, 68Ga-PSMA, 11c-choline, etc.The application of these imaging agents has improved the sensitivity and specificity of PET/CT in diagnosis of PCa, and prolonged the survival of patients [9, 10].
Prostate-specific membrane antigen (PSMA) is an important target for PET/CT diagnosis of PCa patients. PSMA corresponds to PCa grading and staging in the histopathological expression level. It is related to the invasion, metastasis and recurrence of prostate tumors, helps to diagnose tumors in other organs based on the expression in the neovascular endothelium, and promotes the development of many PSMA ligand-related targeted radiopharmaceuticals at the same time [11]. The nuclide 68Ga is the first specific imaging agent used to label PSMA because of the characteristics of high positron energy and short half-life. Studies have confirmed that the PET/CT using 68Ga-PSMA was satisfactory in sensitivity and specificity for the diagnosis of PCa. The nuclide 18 F has a longer half-life and better pharmacokinetics, resulting in a higher radioactive uptake rate [12]. 18 F-FDG, as the earliest imaging agent used in PET/CT, is involved in the body’s glucose metabolism, and differentiates tumor lesions from other tissues by glucose utilization, which can also better reflect tumor progression [13]. At present, there are differences in energy intake and pharmacokinetics of different imaging agents, and different imaging methods have different diagnostic criteria for PCa, resulting in controversial accuracy for PCa by 18 F-PSMA-1007 PET/CT, 18 F-FDG PET/CT, and 68Ga-PSMA PET/CT. Therefore, this study analyzed and compared 18 F-PSMA-1007 PET/CT, 18 F-FDG PET/CT, and 68Ga-PSMA PET/CT in the diagnostic efficacy of PCa in order to provide more reference and evidences for the selection of clinical imaging examination protocols.
Materials and methods
Search strategy
The Chinese and foreign databases, such as Pubmed, Cochrane Library, Embase, CNKI, VIP, Wanfang, etc., were systematically searched within the period from the establishment of the database to June 1, 2022, in order to collect data in clinical studies related to the diagnosis of PCa by methods such as 18 F-PSMA-1007 PET/CT, 18 F-FDG PET/CTCT, 68Ga-PSMA PET/CT, etc. A combination of database search and manual search was used to set subject headings/abstract words, including prostate cancer, prostate tumor, prostate-specific membrane antigen, diagnosis, PET/CT, radioisotopes (Chinese, English), etc. The specific search strategy was adjusted according to the characteristics of the database searched. Taking Cochrane Library as an example, the specific search strategy was shown in Fig. 1.
Fig. 1.
Search strategy for Cochrane Library
Inclusion/exclusion criteria
Inclusion criteria: ① Literatures on diagnostic studies of 18 F-PSMA-1007PET/CT and/or 18 F-FDG PET/CT and/or 68Ga-PSMA PET/CT in the detection of primary PCa; ② Before receiving the above imaging examination, the patient did not receive any prostate-related surgery; ③ The pathology test results were used as the gold standards; ④ The paper was written in Chinese or English.
Exclusion criteria: ① Repeated publications; ② Studies without outcome indicators, case reports, overview, conference abstracts, and studies targeted to animals and cells; ③ Literatures from which the data related to the true positive value (TP), the false positive value (FP), the true negative value (TN), and the false negative value (FN) cannot be extracted.
Literature screening and data extraction
All included literatures were screened independently by two reviewers. Preliminary screening was carried out by reading the article titles and abstracts to exclude irrelevant literatures. According to the inclusion and exclusion criteria established in the study, re-screening was completed after reading the full text, and data were extracted from the literatures, including: first author, publication year, country, sample size, TP, FP, TN, and FN.
Quality assessment
The QUADAS-2 scale [14] was used as the quality assessment tool to assess the risk of bias and applicability of the literatures. The scale includes four areas including case selection, diagnostic tests to be evaluated, gold standards, and the case flow and the time interval between the diagnostic tests and the implementation of the gold standards. Risks in each area were assessed as Low Risk, High Risk, and Unclear Risk. Two reviewers independently assessed the risk of bias in the included literatures, cross-checked the assessment results, and resolved controversial results by discussion or third-party review.
Statistical analysis
Statistical analysis was performed using Review Manager5.4, Stata 14.0, and Meta-disc 1.4 software. The literatures related to 18 F-PSMA-1007PET/CT and/or 18 F-FDG PET/CT and/or 68Ga-PSMA PET/CT were calculated for pooled sensitivity (SEN), pooled specificity (SPE), positive likelihood ratio (LR+), negative likelihood ratio (LR-), diagnostic odds ratio (DOR), and positive posterior probability (PPP), respectively, plotted for the Summary Receiver Operating Characteristic (SROC) and calculated for the area under the curve. Q-test and I2 were used to test for heterogeneity. When both p > 0.1 and I2 ≤ 40% were satisfied, a fixed effects model was used. A random effects model was used considering heterogeneity among studies. Moreover, Meta regression analysis was used to identify the potential source of heterogeneity. Meta-analysis level α was setted as 0.05; Deek’s funnel plots were drawn to test for publication bias.
Results
Literature screening results and general characteristics
According to the search results, a total of 368 studies were included in the initial stage, of which 111 duplicate literatures were deleted, and 194 studies of irrelevant, individual case, systematic overview, etc. were excluded from 257 studies screened after title and abstract reading. The full text of the remaining 63 studies was read, and 27 studies that met the inclusion criteria were finally identified [15–41] according to the inclusion/exclusion criteria, including 2891 patients, of which 18 F-PSMA-1007PET/CT involved 8 papers, 18 F-FDG PET/CT involved 9 papers, and 68Ga-PSMA PET/CT involved 11 papers. The general characteristics of the included studies were shown in Table 1. The specific literature screening process and results were shown in Fig. 2.
Table 1.
General characteristics of the included literatures
| First Author | Year | Country | Study type | Sample | Imaging agent | TP | FP | FN | TN |
|---|---|---|---|---|---|---|---|---|---|
| Kai, X.Z [15] | 2020 | China | Retrospective | 21 | 18 F-PSMA-1007 PET/CT | 15 | 2 | 1 | 3 |
| Yu, L [16] | 2018 | China | Retrospective | 104 | 68Ga-PSMA PET/CT | 65 | 3 | 4 | 32 |
| Miao, W [17] | 2020 | China | Prospective | 71 | 18 F-FDG PET/CT | 21 | 11 | 13 | 26 |
| China | Prospective | 71 | 18 F-PSMA-1007 PET/CT | 29 | 7 | 5 | 30 | ||
| Yan, M.L [18] | 2022 | China | Prospective | 46 | 18 F-PSMA-1007 PET/CT | 35 | 2 | 4 | 5 |
| Cui, P.J [19] | 2018 | China | Retrospective | 33 | 68Ga-PSMA PET/CT | 19 | 4 | 1 | 9 |
| Liu, C [20] | 2020 | China | Retrospective | 31 | 68Ga-PSMA PET/CT | 14 | 4 | 1 | 12 |
| Jiao, J [21] | 2021 | China | Retrospective + prospective | 193 | 68Ga-PSMA PET/CT | 86 | 13 | 8 | 86 |
| Watanabe, H [22] | 2010 | Japan | Retrospective | 43 | 18 F-FDG PET/CT | 18 | 8 | 2 | 18 |
| Xie Y [23] | 2021 | China | Retrospective | 45 | 68Ga-PSMA PET/CT | 28 | 2 | 4 | 11 |
| Emmett, L [24] | 2021 | Australia | Prospective | 291 | 68Ga-PSMA PET/CT | 146 | 65 | 16 | 64 |
| Tragardh, E [25] | 2021 | Sweden | Retrospective | 39 | 18 F-PSMA-1007 PET/CT | 37 | 2 | 0 | 0 |
| Li, Y [26] | 2021 | China | Retrospective | 46 | 68Ga-PSMA PET/CT | 41 | 0 | 0 | 5 |
| Morton, A [27] | 2020 | Australia | Retrospective | 58 | 68Ga-PSMA PET/CT | 51 | 0 | 2 | 5 |
| Donato, P [28] | 2019 | Australia | Retrospective | 144 | 68Ga-PSMA PET/CT | 119 | 0 | 3 | 22 |
| Pan, Y. C. H [29] | 2018 | Australia | Retrospective | 239 | 68Ga-PSMA PET/CT | 189 | 2 | 32 | 14 |
| Hoffmann, MA [30] | 2018 | Germany | Prospective | 25 | 68Ga-PSMA PET/CT | 21 | 2 | 0 | 2 |
| Pei, W [31] | 2020 | China | Retrospective | 43 | 18 F-FDG PET/CT | 31 | 5 | 4 | 3 |
| Fu, M.Z [32] | 2017 | China | Retrospective | 41 | 18 F-FDG PET/CT | 31 | 3 | 4 | 3 |
| Jiao, T [33] | 2021 | China | Retrospective | 60 | 18 F-FDG PET/CT | 29 | 5 | 4 | 22 |
| Rousseau [34] | 2019 | Canada | Prospective | 200 | 18 F-PSMA-1007 PET/CT | 96 | 11 | 4 | 89 |
| Song [35] | 2020 | USA | Prospective | 200 | 18 F-PSMA-1007 PET/CT | 90 | 15 | 10 | 85 |
| Rowe [36] | 2020 | UK | Prospective | 200 | 18 F-PSMA-1007 PET/CT | 89 | 12 | 11 | 88 |
| Wondergem [37] | 2017 | Netherlands | Retrospective | 194 | 18 F-PSMA-1007 PET/CT | 92 | 5 | 8 | 89 |
| Damle [38] | 2013 | India | Retrospective | 49 | 18 F-FDG PET/CT | 23 | 0 | 9 | 17 |
| Shiiba, M [39] | 2012 | Japan | Prospective | 184 | 18 F-FDG PET/CT | 58 | 18 | 36 | 72 |
| Hwang, I [40] | 2013 | Korea | Retrospective | 120 | 18 F-FDG PET/CT | 20 | 65 | 3 | 32 |
| Yang, Z [41] | 2014 | China | Retrospective | 100 | 18 F-FDG PET/CT | 13 | 25 | 7 | 55 |
Fig. 2.
Literature screening process and results
*Literatures searched in each database: Pubmed (n = 13), Cochrane library (n = 18), Embase (n = 176), CNKI (n = 34), Wanfang (n = 80), VIP (n = 47).
Quality assessment results
The pathological biopsy was used as the only gold standard, and the quality assessment results of the QUADAS-2 scale showed in four areas, “unclear risk” was mainly observed in the first signal “Is there an appropriate time interval between the trial to be evaluated and the gold standard?“ in the “case flow and the time interval between the diagnostic tests and the implementation of the gold standards”. In addition, although a few literatures showed “high risk”, the overall quality of the included literatures was more credible, and the overall applicability was satisfactory, as shown in Fig. 3.
Fig. 3.
Quality assessment results of included literatures
Meta-analysis results
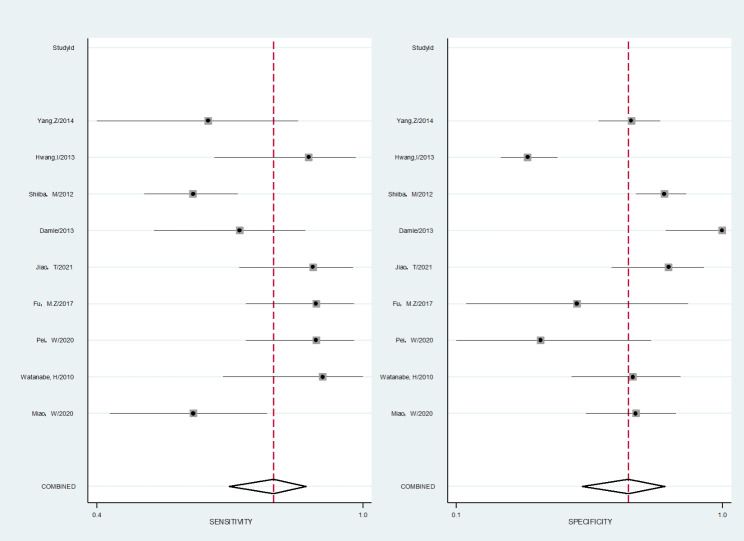
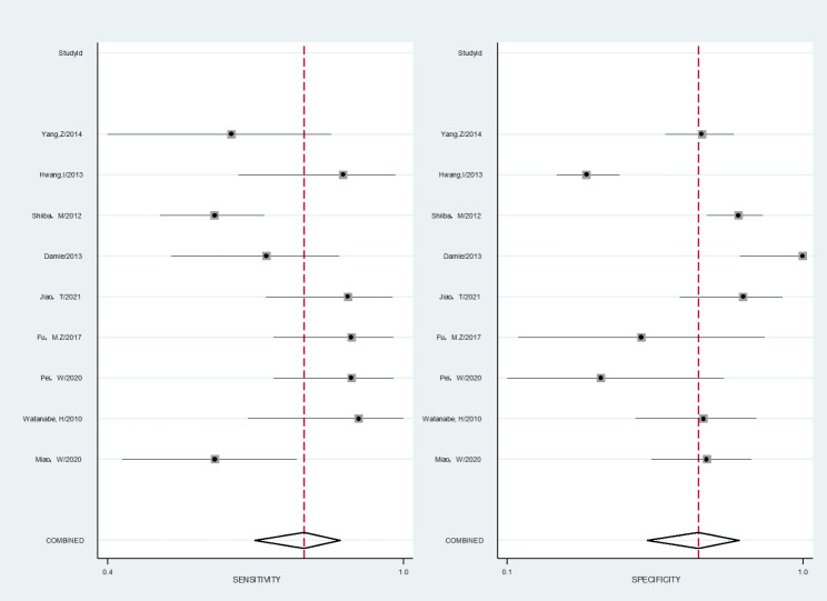
The 27 literatures included in the study were pooled and analyzed, and the forest plots (Fig. 4, Fig. 5, Fig. 6) and SROCs (Fig. 7) were drawn for the three diagnostic methods of 18 F-PSMA-1007 PET/CT, 18 F-FDG PET/CT, and 68Ga-PSMA PET/CT. The results showed that the pooled sensitivities of 18 F-PSMA-1007 PET/CT, 18 F-FDG PET/CT, and 68Ga-PSMA PET/CT were 0.912 (95%CI: 0.883–0.936), 0.748 (95%CI: 0.698–0.795), and 0.916 (95%CI: 0.896–0.934), respectively; the pooled specificities were 0.878 (0.844–0.907), 0.639 (95%CI: 0.589–0.687), and 0.734 (95%CI: 0.685–0.779), respectively; the positive likelihood ratios were 6.335 (95%CI: 4.288–9.357), 2.282 (95%CI: 1.497–3.477), and 3.593 (95%CI: 2.986–4.323), respectively; the negative likelihood ratios were 0.878 (95%CI: 0.844–0.907), 0.374 (95%CI: 0.280–0.499), and 0.110 (95%CI: 0.083–0.144), respectively; the diagnostic odds ratios were 65.125 (95%CI: 34.059–124.53), 7.094 (95%CI: 4.091–12.301), and 29.722 (95%CI: 20.141–43.863), respectively; the area under the SPOC curve was 0.95 (95%CI: 0.93–0.97), 0.81 (95%CI: 0.78–0.84), and 0.96 (95%CI: 0.92–0.98), respectively.
Fig. 4.
Forest plot of 18 F-PSMA-1007 PET/CT in the diagnostic efficacy of PCa
Fig. 5.
Forest plot of 18 F-FDG PET/CT in the diagnostic efficacy of PCa
Fig. 6.
Forest plot of 68 F-Ga-PSMA PET/CT in the diagnostic efficacy of PCa
Fig. 7.
SROCs of 18 F-PSMA-1007 PET/CT (left), 18 F-FDG PET/CT (middle), and 68Ga-PSMA PET/CT (right)
Heterogeneity analysis
Since Q = 0.068 (P = 0.483) and I2 = 0% in the 18 F-PSMA-1007 PET/CT heterogeneity test, Q = 35.148 (P = 0.000) and I2 = 94% in the 18 F-FDG PET/CT heterogeneity test, and Q = 11.472 (P = 0.002) and I2 = 83% in the 18Ga-PSMA PET/CT heterogeneity test, the random effects model was used. The Spearman correlation coefficient was used to explore the threshold effect, and the results showed that the Spearman correlation coefficients of 18 F-PSMA-1007 PET/CT (left), 18 F-FDG PET/CT (middle), and 68Ga-PSMA PET/CT were − 0.214 (P = 0.645), 0.377 (P = 0.318), and − 0.333 (P = 0.318), respectively, suggesting that there was no significant threshold effect.
Meta regression analysis and subgroup analysis
In order to explore the potential sources of heterogeneity in this study, 18Ga-PSMA PET/CT (included literature n = 11 > 10) was subjected to the Meta regression analysis with the “Publication Year”, “Study Type”, “Sample Size” and “Publication Region/Country” as covariates. Since less than 10 papers related to 18 F-PSMA-1007 PET/CT and 18 F-FDG PET/CT were included in the study, the Meta regression analysis was not performed. The results of Meta regression analysis showed “Publication Year " (P = 0.911), “Study Type” (P = 0.556), “Sample Size” (P = 0.136), “Publication Region/Country” (P = 0.652), the P value of “sample size” is closer to 0.05, suggesting that the sample size may be the potential source of heterogeneity in 18Ga-PSMA PET/CT study, but the current evidence is not clear (P > 0.05). Therefore, a subgroup analysis of “Sample Size” was further conducted (0: n < 50, 1: n ≥ 50), and the results showed that the heterogeneity was related to the sample size (I2 = 79%, P = 0.000) (Fig. 8).
Fig. 8.
Subgroup analysis of the relevance to sample size in 18Ga-PSMA PET/CT study
Clinical analysis
Post-test probability (the estimated incidence after the diagnostic test) was analyzed using Fagan plots. The results showed that when the pre-test probability of diagnosing PCa was defined as 0.20, the PPPs of 18 F-PSMA-1007 PET/CT, 18 F-FDG PET/CT, and 68Ga-PSMA PET/CT were 64%, 38%, and 62%, respectively (Fig. 9).
Fig. 9.
Fagan plot of 18 F-PSMA-1007 PET/CT (a), 18 F-FDG PET/CT (b) and 18Ga-PSMA PET/CT (c)
Publication bias test
The results of Deek’s funnel plot test showed that the related studies of 18 F-PSMA-1007 PET/CT, 18 F-FDG PET/CT, and 68Ga-PSMA PET/CT were almost symmetrical, and the P values were 0.160, 0.482, and 0.153, respectively, indicating that there was no significant in publication bias, as shown in Fig. 10.
Fig. 10.
Funnel plot of 18 F-PSMA-1007 PET/CT (a), 18 F-FDG PET/CT (b) and 18Ga-PSMA PET/CT (c)
Discussions
In this study, a meta-analysis was carried out for the diagnostic efficacy of PET/CT with different imaging agents, and the results suggested that 18 F-PSMA-1007 PET/CT and 68Ga-PSMA PET/CT had higher diagnostic efficacy of prostate cancer compared with 18 F-FDG PET/CT, among which 68Ga-PSMA PET/CT was slightly higher in the sensitivity of the diagnosis of prostate cancer, while 18 F-PSMA-1007 PET/CT may have higher efficacy in specificity and confirmed positive rate.
Meta-analysis results showed that the SENs of 18 F-PSMA-1007 PET/CT, 18 F-FDG PET/CT, and 68Ga-PSMA PET/CT were 0.912, 0.748, and 0.916, respectively, and the SPEs were 0.878, 0.639, and 0.734, respectively, suggesting that 18 F-PSMA-1007 PET/CT and 68Ga-PSMA PET/CT were superior to 18 F-FDG PET/CT in the diagnostic accuracy, and 68Ga-PSMA PET/CT showed higher sensitivity in the diagnosis of PCa. While 18 F-PSMA-1007 PET/CT showed higher specificity. Zhou et al. [42] also concluded that 18 F-FDG PET/CT has lower accuracy than other methods in the comparison of the diagnostic efficacy of PET/CT with different imaging agents. In addition, the DORs of the other three methods were 65.125, 7.094, and 29.722, respectively, suggesting that 18 F-PSMA-1007 PET/CT had higher differentiation. The LR + values were 6.335, 2.282, and 3.593, respectively, and the LR- values were 0.878, 0.374, and 0.110, respectively, indicating that 18 F-PSMA-1007 PET/CT had higher PCa positive diagnostic value, but 68Ga-PSMA PET/CT had higher accuracy in the negative monitoring results. The areas under the SPOC curves were 0.95, 0.81, and 0.96, respectively, indicating that 18 F-PSMA-1007 PET/CT and 68Ga-PSMA PET/CT had higher diagnostic efficacy. Analysis of Fagan plots showed that when the pre-test probability of diagnosing PCa was defined as 0.20, the PPPs were 64%, 38%, and 62%, respectively, i.e., when the probability of PCa was 20% based on clinical manifestations, the PCa diagnosis probability of the three PET/CT methods were 64%, 38%, and 62%, respectively, suggesting that 18 F-PSMA-1007 PET/CT may detect other PCa-related lesions, which was consistent with the findings of Kuten et al. [43].
The heterogeneity analysis in this study found that the “Sample Size” may be a potential source of bias in the meta-analysis of 68Ga-PSMA PET/CT. Since the heterogeneity test found that there was significant heterogeneity in the results of the three groups, the 68Ga-PSMA PET/CT that met the requirements of Meta regression analysis was analyzed. Although the results did not show the potential source of heterogeneity at P < 0.05, the P value of “Sample Size” was relatively small, so this factor was highly suspected as a potential source of heterogeneity. However, this meta-regression analysis did not yield satisfactory results due to the effects of the number of included literatures (just meeting the requirement of Meta regression literatures ≥ 10) and the quality of the literatures. Therefore, a subgroup analysis of “Sample Size” was further conducted (0: n < 50, 1: n ≥ 50), and the results validated that the heterogeneity was related to the sample size (I2 = 79%, P = 0.000). Therefore, the heterogeneity analysis in this study was more reliable.
This study has certain limitations: (1)The included literatures lack multi-center large-sample studies, which has a certain impact on the quality of the literatures and the source of heterogeneity, and may affect the accuracy of the results; (2)The time interval between imaging examination and gold standard examination was not clear in many included literatures, so various biases cannot be avoided; (3) Since there were unclear time intervals between the imaging test and the gold standard in many included literatures, many biases cannot be avoided; (4) The included studies have certain clinical heterogeneity, such as inconsistency in PET/CT models and operators, which may become sources of heterogeneity; (5) Subtypes of prostate cancer and differences in diagnostic efficacy of different imaging agents were not mentioned in the included literature. Therefore, the impact of PCa subtypes was not investigated in this study.
Conclusion
In conclusion, 18 F-PSMA-1007 PET/CT and 68Ga-PSMA PET/CT had higher diagnostic efficacy of PCa compared with 18 F-FDG PET/CT, among which 68Ga-PSMA PET/CT was slightly higher in the sensitivity of the diagnosis of PCa, while 18 F-PSMA-1007 PET/CT may have higher efficacy in specificity and confirmed positive rate. However, due to the limitations of the quality of the included samples and literatures, the above conclusions still should be further validated by expanding the sample size and improving the quality.
Acknowledgements
Not applicable.
Abbreviations
- QUADAS-2
Quality Assessment of Diagnostic Accuracy Studies
- PCa
Prostate cancer
- PSA
Serum prostate-specific antigen
- PSMA
Prostate-specific membrane antigen
- TP
True positive value
- FP
False positive value
- TN
The true negative value
- FN
False negative value
- SEN
Pooled sensitivity
- SPE
Pooled specificity
- LR +
Positive likelihood ratio
- LR-
Negative likelihood ratio
- DOR
Diagnostic odds ratio
- PPP
Positive posterior probability
- SROC
Summary Receiver Operating Characteristic
Authors’ contributions
Wenxiao Yu: Writing- Original draft preparation. Ming Zhao, Yingjun Deng and Shengjing Liu: Validation. Guanchao Du and Ziwei Zhao: Data curation. Bin Yan: Methodology. Ning Sun and Jun Guo: Writing-Reviewing and Editing, Funding acquisition.
Funding
This work was supported by National Administration of Traditional Chinese Medicine inheritance and innovation “millions of millions” talent project of China andQihuang Scholar Funding Program (Chinese Medicine and Education Department No.6 Official letter in 2022).
Data Availability
Not applicable.
Declarations
Ethical approval and Consent to participate
Not applicable.
Consent for publication
All authors agree the publication.
Competing interests
Not applicable.
Footnotes
Publisher’s Note
Springer Nature remains neutral with regard to jurisdictional claims in published maps and institutional affiliations.
Contributor Information
Ning Sun, Email: bjsunning1987@163.com.
Jun Guo, Email: guojun1126@126.com.
References
- 1.Qin LP, Lv J, Li MZ, Xie LJ, Li JP, Li JF, Cheng MH. Biphasic GA 68-labeled prostate specific membrane antigen-11 positron emission tomography/computed tomography scans in the differential diagnosis and risk stratification of initial primary prostate cancer. Quant imaging Med Surg. 2021;11(8):3619–28. doi: 10.21037/qims-20-1312. [DOI] [PMC free article] [PubMed] [Google Scholar]
- 2.Bray F, Ferlay J, Soerjomataram I, Siegel RL, Torre LA, Jemal A. Global cancer statistics 2018: GLOBOCAN estimates of incidence and mortality worldwide for 36 cancers in 185 countries. Cancer J Clin. 2018;68(6):394–424. doi: 10.3322/caac.21492. [DOI] [PubMed] [Google Scholar]
- 3.Wu B, Lu X, Shen H, Yuan X, Wang X, Yin N, Sun L, Shen P, Hu C, Jiang H, Wang D. Intratumoral heterogeneity and genetic characteristics of prostate cancer. Int J Cancer. 2020;146(12):3369–78. doi: 10.1002/ijc.32961. [DOI] [PubMed] [Google Scholar]
- 4.Boyd LK, Mao X, Lu YJ. The complexity of prostate cancer: genomic alterations and heterogeneity. Nat Rev Urol. 2012;9(11):652–64. doi: 10.1038/nrurol.2012.185. [DOI] [PubMed] [Google Scholar]
- 5.Hope TA, Afshar-Oromieh A, Eiber M, Emmett L, Fendler WP, Lawhn-Heath C, Rowe SP. Imaging prostate Cancer with prostate-specific membrane Antigen PET/CT and PET/MRI: current and future applications. AJR Am J Roentgenol. 2018;211(2):286–94. doi: 10.2214/AJR.18.19957. [DOI] [PMC free article] [PubMed] [Google Scholar]
- 6.Ferraro DA, Burger IA. Prostate Cancer: prostate-specific membrane Antigen Positron-emission Tomography/Computed tomography or positron-emission Tomography/Magnetic resonance imaging for staging. Top Magn Reson imaging: TMRI. 2020;29(1):59–66. doi: 10.1097/RMR.0000000000000229. [DOI] [PubMed] [Google Scholar]
- 7.Haran C, McBean R, Parsons R, Wong D. Five-year trends of bone scan and prostate-specific membrane antigen positron emission tomography utilization in prostate cancer: a retrospective review in a private centre. J Med Imaging Radiat Oncol. 2019;63(4):495–9. doi: 10.1111/1754-9485.12885. [DOI] [PubMed] [Google Scholar]
- 8.Li R, Ravizzini GC, Gorin MA, Maurer T, Eiber M, Cooperberg MR, Alemozzaffar M, Tollefson MK, Delacroix SE, Chapin BF. The use of PET/CT in prostate cancer. Prostate Cancer Prostatic Dis. 2018;21(1):4–21. doi: 10.1038/s41391-017-0007-8. [DOI] [PubMed] [Google Scholar]
- 9.Schwarzenboeck SM, Rauscher I, Bluemel C, Fendler WP, Rowe SP, Pomper MG, Afshar-Oromieh A, Herrmann K, Eiber M. PSMA Ligands for PET imaging of prostate Cancer. Journal of nuclear medicine: official publication. Soc Nuclear Med. 2017;58(10):1545–52. doi: 10.2967/jnumed.117.191031. [DOI] [PubMed] [Google Scholar]
- 10.Bouchelouche K, Turkbey B, Choyke PL. PSMA PET and Radionuclide Therapy in prostate Cancer. Semin Nucl Med. 2016;46(6):522–35. doi: 10.1053/j.semnuclmed.2016.07.006. [DOI] [PMC free article] [PubMed] [Google Scholar]
- 11.Uijen M, Derks Y, Merkx R, Schilham M, Roosen J, Privé BM, van Lith S, van Herpen C, Gotthardt M, Heskamp S, van Gemert W, Nagarajah J. PSMA radioligand therapy for solid tumors other than prostate cancer: background, opportunities, challenges, and first clinical reports. Eur J Nucl Med Mol Imaging. 2021;48(13):4350–68. doi: 10.1007/s00259-021-05433-w. [DOI] [PMC free article] [PubMed] [Google Scholar]
- 12.Fendler WP, Calais J, Eiber M, Flavell RR, Mishoe A, Feng FY, Nguyen HG, Reiter RE, Rettig MB, Okamoto S, Emmett L, Zacho HD, Ilhan H, Wetter A, Rischpler C, Schoder H, Burger IA, Gartmann J, Smith R, Small EJ, Hope TA. Assessment of 68Ga-PSMA-11 PET accuracy in localizing recurrent prostate Cancer: a prospective single-arm clinical trial. JAMA Oncol. 2019;5(6):856–63. doi: 10.1001/jamaoncol.2019.0096. [DOI] [PMC free article] [PubMed] [Google Scholar]
- 13.Jadvar H. Is there use for FDG-PET in prostate Cancer? Semin Nucl Med. 2016;46(6):502–6. doi: 10.1053/j.semnuclmed.2016.07.004. [DOI] [PMC free article] [PubMed] [Google Scholar]
- 14.Whiting PF, Rutjes AW, Westwood ME, Mallett S, Deeks JJ, Reitsma JB, Leeflang MM, Sterne JA, Bossuyt PM, QUADAS-2 Group QUADAS-2: a revised tool for the quality assessment of diagnostic accuracy studies. Ann Intern Med. 2011;155(8):529–36. doi: 10.7326/0003-4819-155-8-201110180-00009. [DOI] [PubMed] [Google Scholar]
- 15.Kai XZ, Jin SZ, Yu WZ et al. Diagnostic evaluation of 99MTcO4 -functional imaging combined with color ultrasonography for the nature of thyroid nodules: A comparative analysis with pathological results [J].Journal of practical medicine,2020,36(01):103–107.https://doi.10.3969/j.issn.1006⁃5725.2020.01.020.
- 16.Yu L, KANG F, Wu P et al. Comparison of the diagnostic value of 68 GA-PSMA-617 PET/CT and multiparameter MRI in newly diagnosed prostate cancer [J]. Chinese Journal of Urology, 2018,39(12):916–921.https://doi.10.3760/cma.j.issn.1000-6702.2018.12.008.
- 17.Miao W, Zhi JD. Application of 18F-prostate specific membrane antigen PET/CT in prostate cancer screening [J].Chinese Journal of cancer clinic & rehabilitation, 2020,27(12):1424–1427.https://doi.10.13455/j.cnki.cjcor.2020.12.04.
- 18.Yan ML, Yang PF, LI YL et al. Comparison of 18F-PSMA-1007 PET/CT imaging and MP-MRI in the diagnosis of primary prostate cancer [J].Chinese Journal of Clinical Imaging, 2022,33(07):467–473.https://doi.10.12117/jccmi.2022.07.003.
- 19.Cui PJ, Zang SM, Xu L et al. Effect of 68GA-PSMA-11 PET/CT on clinical decision making of untreated prostate cancer [J].Journal of clinical urology, 2018,33(7).https://doi.10.13201/j.issn.1001-1420.2018.07.011.
- 20.Liu C, Liu T, Zhang Z, Zhang N, Du P, Yang Y, Liu Y, Yu W, Li N, Gorin MA, Rowe SP, Zhu H, Yan K, Yang Z. 68Ga-PSMA PET/CT combined with PET/Ultrasound-Guided prostate biopsy can diagnose clinically significant prostate Cancer in men with previous negative biopsy results. Journal of nuclear medicine: official publication. Soc Nuclear Med. 2020;61(9):1314–9. doi: 10.2967/jnumed.119.235333. [DOI] [PMC free article] [PubMed] [Google Scholar]
- 21.Jiao J, Kang F, Zhang J, Quan Z, Wen W, Zhao X, Ma S, Wu P, Yang F, Guo W, Yang X, Yuan J, Shi Y, Wang J, Qin W. Establishment and prospective validation of an SUVmax cutoff value to discriminate clinically significant prostate cancer from benign prostate diseases in patients with suspected prostate cancer by 68Ga-PSMA PET/CT: a real-world study. Theranostics. 2021;11(17):8396–411. doi: 10.7150/thno.58140. [DOI] [PMC free article] [PubMed] [Google Scholar]
- 22.Watanabe H, Kanematsu M, Kondo H, Kako N, Yamamoto N, Yamada T, Goshima S, Hoshi H, Bae KT. Preoperative detection of prostate cancer: a comparison with 11 C-choline PET, 18F-fluorodeoxyglucose PET and MR imaging. J Magn Reson imaging: JMRI. 2010;31(5):1151–6. doi: 10.1002/jmri.22157. [DOI] [PubMed] [Google Scholar]
- 23.Xie Y, Li C, Zhang L et al. Study on binding of 68Ga-PSMA-I&T to newly diagnosed prostate cancer foci[J]. Chinese Journal of Clinical Pharmacology and Therapeutics,2021,26(12):1379-1385https://doi.10.12092/j.issn.1009-2501.2021.12.006.
- 24.Emmett, L., Buteau, J., Papa, N., Moon, D., Thompson, J., Roberts, M. J., Rasiah, K., Pattison, D. A., Yaxley, J., Thomas, P., Hutton, A. C., Agrawal, S., Amin, A., Blazevski, A., Chalasani, V., Ho, B., Nguyen, A., Liu, V., Lee, J., Sheehan-Dare, G., … Stricker, P. (2021). The Additive Diagnostic Value of Prostate-specific Membrane Antigen Positron Emission Tomography Computed Tomography to Multiparametric Magnetic Resonance Imaging Triage in the Diagnosis of Prostate Cancer (PRIMARY): A Prospective Multicentre Study. European urology, 80(6), 682–689. 10.1016/j.eururo.2021.08.002 [DOI] [PubMed]
- 25.Tragardh E, Simoulis A, Bjartell A, Jogi J. Tumor detection of 18F-PSMA-1007 in the prostate gland in patients with prostate cancer using prostatectomy specimens as reference method. Journal of nuclear medicine: official publication. Soc Nuclear Med. 2021;62(12):1735–40. doi: 10.2967/jnumed.121.261993. [DOI] [PMC free article] [PubMed] [Google Scholar]
- 26.Li Y, Peng B, Wang Y et al. Evaluation of the early value of 68Ga-PSMA PET/CT for radical prostatectomy[J]. Chinese Journal of Urology, 2021,42(1):12–17.https://doi.10.3760/cma.j.cn112330-20200624-00491.
- 27.Morton A, Donato P, Roberts M et al. 68Ga PSMA PET/CT better characterizes clinically significant lesions than multiparametric MRI of the prostate: Comparison with radical prostatectomy whole gland histopathology[J]. International Journal of Urology, 2020,27(SUPPL 1):23https://doi.10.1007/s00259-018-4160-7.
- 28.Donato P. 68 Ga PSMA PET/CT offers higher diagnostic accuracy for prostate biopsy targets when compared to Multiparametric MRI[J]. BJU International, 2019,123:23–24.https://doi.10.1007/s00259-019-04620-0.
- 29.Pan YCH, Kalapara AA, Grummet J et al. What is the accuracy of Ga68 PSMA PET/CT in detecting primary prostate cancers compared to multi-parametric mri?[J]. Asia-Pacific Journal of Clinical Oncology, 2018,14:43–44.https://doi.10.1111/ajco.12990.
- 30.Hoffmann MA, Miederer M, Wieler HJ, Ruf C, Jakobs FM, Schreckenberger M, Oncotarget. 8(67), 111073–83. 10.18632/oncotarget.22441. [DOI] [PMC free article] [PubMed]
- 31.Pei W, Yue Z, Liu S et al. Application of 18F-FDG PET/CT in the diagnosis of prostate cancer [J]. Imaging research and medical application,2020,4(24):228–9. https://doi.2096-3807(2020)24-0228-02.
- 32.Fu MZ, Dong HS, Zhong C et al. Application of 18f FDG PET/CT in the diagnosis of prostate cancer[J].Journal of clinical medicine electronic literature,2017,4(A0):19656–19657.https://doi.10.16281/j.cnki.jocml.2017.a0.026.
- 33.Jiao T, Zhuan L, Dan Y et al. Application of 18F-FDG/PET-CT in prostate cancer [J]. Chinese Journal of CT and MRI, 2021,19(08):117–119.https://doi.10.3969/j.issn.1672-5131.2021.08.038.
- 34.Rousseau E, Wilson D, Lacroix-Poisson F, Krauze A, Chi K, Gleave M, McKenzie M, Tyldesley S, Goldenberg SL, Bénard F. A prospective study on 18F-DCFPyL PSMA PET/CT imaging in biochemical recurrence of prostate Cancer. Journal of nuclear medicine: official publication. Soc Nuclear Med. 2019;60(11):1587–93. doi: 10.2967/jnumed.119.226381. [DOI] [PMC free article] [PubMed] [Google Scholar]
- 35.Song H, Harrison C, Duan H, Guja K, Hatami N, Franc BL, Moradi F, Aparici CM, Davidzon GA, Iagaru A. Prospective evaluation of 18F-DCFPyL PET/CT in biochemically recurrent prostate Cancer in an academic center: a focus on Disease localization and changes in management. J nuclear medicine: official publication Soc Nuclear Med. 2020;61(4):546–51. doi: 10.2967/jnumed.119.231654. [DOI] [PubMed] [Google Scholar]
- 36.Rowe SP, Campbell SP, Mana-Ay M et al. Prospective Evaluation of PSMA Targeted 18F-DCFPyLPET/CT in Men with Biochemical Failure After RadicalProstatectomy for Prostate Cancer[J]. J Nucl Med,2020,61:58–61.https://doi.10.2967/jnumed.119.226514. [DOI] [PMC free article] [PubMed]
- 37.Wondergem M, van der Zant FM, Knol R, Lazarenko SV, Pruim J, de Jong IJ. 18F-DCFPyL PET/CT in the detection of prostate Cancer at 60 and 120 Minutes: detection rate, image quality, activity kinetics, and Biodistribution. Journal of nuclear medicine: official publication. Soc Nuclear Med. 2017;58(11):1797–804. doi: 10.2967/jnumed.117.192658. [DOI] [PubMed] [Google Scholar]
- 38.Damle NA, Bal C, Bandopadhyaya GP, Kumar L, Kumar P, Malhotra A, Lata S. The role of 18F-fluoride PET-CT in the detection of bone metastases in patients with breast, lung and prostate carcinoma: a comparison with FDG PET/CT and 99mTc-MDP bone scan. Japanese J Radiol. 2013;31(4):262–9. doi: 10.1007/s11604-013-0179-7. [DOI] [PubMed] [Google Scholar]
- 39.Shiiba M, Ishihara K, Kimura G, Kuwako T, Yoshihara H, Sato H, Kondo Y, Tsuchiya S, Kumita S. Evaluation of primary prostate cancer using 11 C-methionine-PET/CT and 18F-FDG-PET/CT. Ann Nucl Med. 2012;26(2):138–45. doi: 10.1007/s12149-011-0551-6. [DOI] [PubMed] [Google Scholar]
- 40.Hwang I, Chong A, Jung SI, Hwang EC, Kim SO, Kang TW, Kwon DD, Park K, Ryu SB. Is further evaluation needed for incidental focal uptake in the prostate in 18-fluoro-2-deoxyglucose positron emission tomography-computed tomography images? Ann Nucl Med. 2013;27(2):140–5. doi: 10.1007/s12149-012-0663-7. [DOI] [PubMed] [Google Scholar]
- 41.Yang Z, Hu S, Cheng J, Xu J, Shi W, Zhu B, Zhang Y, Yao Z, Pan H, Zhang Y. Prevalence and risk of cancer of incidental uptake in prostate identified by fluorine-18 fluorodeoxyglucose positron emission tomography/computed tomography. Clin Imaging. 2014;38(4):470–4. doi: 10.1016/j.clinimag.2014.01.019. [DOI] [PubMed] [Google Scholar]
- 42.Zhou X, Li Y, Jiang X, Wang X, Chen S, Shen T, You J, Lu H, Liao H, Li Z, Cheng Z. Intra-individual comparison of 18F-PSMA-1007 and 18F-FDG PET/CT in the evaluation of patients with prostate Cancer. Front Oncol. 2021;10:585213. doi: 10.3389/fonc.2020.585213. [DOI] [PMC free article] [PubMed] [Google Scholar]
- 43.Kuten J, Fahoum I, Savin Z, Shamni O, Gitstein G, Hershkovitz D, Mabjeesh NJ, Yossepowitch O, Mishani E, Even-Sapir E. Head-to-Head comparison of 68Ga-PSMA-11 with 18F-PSMA-1007 PET/CT in staging prostate Cancer using histopathology and immunohistochemical analysis as a reference Standard. J nuclear medicine: official publication Soc Nuclear Med. 2020;61(4):527–32. doi: 10.2967/jnumed.119.234187. [DOI] [PubMed] [Google Scholar]
Associated Data
This section collects any data citations, data availability statements, or supplementary materials included in this article.
Data Availability Statement
Not applicable.










