Abstract
Introduction
In February 2021, New Zealand began its largest ever immunisation programme with the BNT162b2 mRNA coronavirus disease 2019 (COVID-19) vaccine.
Objective
We aimed to understand the association between 12 adverse events of special interest (AESIs) and a primary dose of BNT162b2 in the New Zealand population aged ≥5 years from 19 February 2021 through 10 February 2022.
Methods
Using national electronic health records, the observed rates of AESIs within a risk period (1–21 days) following vaccination were compared with the expected rates based on background data (2014–2019). Standardised incidence ratios (SIRs) were estimated for each AESI with 95% confidence intervals (CIs) using age group-specific background rates. The risk difference was calculated to estimate the excess or reduced number of events per 100,000 persons vaccinated in the risk period.
Results
As of 10 February 2022, 4,277,163 first doses and 4,114,364 second doses of BNT162b2 had been administered to the eligible New Zealand population aged ≥5 years. The SIRs for 11 of the 12 selected AESIs were not statistically significantly increased post vaccination. The SIR (95% CI) for myo/pericarditis following the first dose was 2.3 (1.8–2.7), with a risk difference (95% CI) of 1.3 (0.9–1.8), per 100,000 persons vaccinated, and 4.0 (3.4–4.6), with a risk difference of 3.1 (2.5–3.7), per 100,000 persons vaccinated following the second dose. The highest SIR was 25.6 (15.5–37.5) in the 5–19 years age group, following the second dose of the vaccine, with an estimated five additional myo/pericarditis cases per 100,000 persons vaccinated. A statistically significant increased SIR of single organ cutaneous vasculitis (SOCV) was also observed following the first dose of BNT162b2 in the 20–39 years age group only.
Conclusions
A statistically significant association between BNT162b2 vaccination and myo/pericarditis was observed. This association has been confirmed internationally. BNT162b2 was not found to be associated with the other AESIs investigated, except for SOCV following the first dose of BNT162b2 in the 20–39 years age group only, providing reassurances around the safety of the vaccine.
Supplementary Information
The online version contains supplementary material available at 10.1007/s40264-023-01332-1.
Key Points
| This population-based study of over 4 million vaccinated persons in New Zealand aged 5 years or older identified a statistically significant association between BNT162b2 and myo/pericarditis in the 21 days following both doses of the vaccine. We found no other statistically significant associations between BNT162b2 and any of the other outcomes of interest for all ages combined. |
| Given the concern from the public, health care professionals and regulators around the safety profile of BNT162b2, this study provides important vaccine safety information not only for building public confidence, as the vaccination was not associated with most of the AESIs investigated, but also for evidence-based health policy decisions. |
| The associations produced by this study are considered statistical signals that indicate the need for additional analytic investigation and validation. |
Introduction
New Zealand’s national coronavirus disease 2019 (COVID-19) vaccine and immunisation programme began vaccinations in February 2021 using the two-dose BNT162b2 messenger RNA (mRNA) COVID-19 vaccine (Pfizer-BioNTech, referred to as the BNT162b2 vaccine hereafter) [1]. The BNT162b2 vaccine demonstrated acceptable efficacy and safety in phase III clinical trials [2] and received provisional approval for use in adults aged 16 years and older from Medsafe, New Zealand’s Medicines and Medical Devices Safety Authority, on 3 February 2021 [3]. This provisional approval was renewed on 28 October 2021, with additional conditions for use in adolescents aged 12 years and older [4]. Provisional consent of a paediatric formulation of the BNT162b2 vaccine for use in children aged 5–11 years was also granted by Medsafe on 16 December 2021 [5]. However, rare and potentially serious adverse events following immunisation (AEFI) are often impossible to detect in clinical trials due to limited sample size, narrow patient selection criteria, and constraints on the duration of the study [6]. Indeed, although no cases of myocarditis or pericarditis were reported during the Pfizer-BioNTech phase III clinical trials [2], these events were identified as rare adverse reactions to the BNT162b2 vaccine in postmarketing studies [7–13]. As a result, both myocarditis and pericarditis were included in the New Zealand product information by the sponsor, Pfizer-BioNTech, in July 2021 at the request of Medsafe [14].
Continued robust postmarketing vaccine safety surveillance is crucial to detect rare and unexpected vaccine reactions in a timely manner and provides information for risk–benefit assessments that can inform health policy decisions. This helps minimise the risks associated with serious adverse reactions and ensures that accurate and credible information regarding adverse effects is communicated outwardly to maintain public confidence and trust [15]. In New Zealand, the safety of BNT162b2 was monitored predominantly through a spontaneous reporting (passive) system by Medsafe, in collaboration with the Centre for Adverse Reactions Monitoring (CARM), with support from the COVID-19 Vaccine and Immunisation Programme within the Ministry of Health New Zealand [16]. This system relies on reports being voluntarily submitted by health care professionals and the public. Although it is effective at signal detection, it can be subject to several limitations, namely underreporting, incomplete reports, limited information on cases, and reporting biases. Furthermore, it is difficult to accurately estimate the incidence rate and attributable risk of adverse events in a defined population using this system [17].
To address some of these shortcomings, the COVID-19 Vaccine and Immunisation Programme, in collaboration with Medsafe, established an active surveillance system to monitor the BNT162b2 vaccine in a real-world setting. Unlike spontaneous reporting, the active system is not contingent upon voluntary reports and instead uses electronic health records (EHRs) to assess the risk of prespecified adverse events of special interest (AESIs) [15] following vaccination compared with a non-vaccinated group, i.e. historical background rate data. This includes linking all national COVID-19 vaccination data to public hospitalisation records. As of 10 February 2022, approximately 95% of the eligible New Zealand population aged 12 years and above, and 43% of children aged 5–11 years have received at least one dose of the adult or paediatric BNT162b2 vaccine, respectively. The high vaccination coverage ensures representation across the entire population, including main ethnic groups. This is important as New Zealand has a unique demographic, consisting of three main minority ethnic groups, Māori (indigenous New Zealanders), Pacific people (Pacific Islanders living in New Zealand), and Asian, alongside the majority group, New Zealand Europeans [18]. These minority groups, particularly Māori, are often not included in international clinical trials or postmarketing studies.
New Zealand has also been in a unique position globally during the pandemic. The implementation of strict public health measures such as imposed lockdowns and border controls led to the successful elimination of COVID-19 transmission for sustained periods from May 2020 [19]. This coupled with the high vaccination coverage achieved, provides an ideal setting to carry out pharmacovigilance of the vaccine as high rates of undetected COVID-19 seen in many countries during the pandemic can confound vaccine safety studies, especially as many of the adverse events observed following immunisation are also associated with infection. We therefore aimed to calculate the incidence and excess risk of several AESIs for COVID-19 vaccines following BNT162b2 vaccination in a largely COVID-19 naïve New Zealand population.
Methods
Study Design and Setting
We used a retrospective historical comparative cohort design to compare the incidence rates of each outcome of interest within a defined risk period (1–21 days) following administration of the BNT162b2 vaccine to the expected rate based on background incidence rates from a pre-vaccination period (2014–2019). Also known as observed versus expected analysis, this method is commonly used for vaccine safety signal detection [20]. The study period was from 19 February 2021 (start of the COVID-19 vaccine rollout) through 10 February 2022 (before the widespread community outbreak of Omicron COVID-19 in New Zealand).
In New Zealand, all citizens (including Cook Islands, Niue, or Tokelau), residents, or individuals with a work visa that is valid for 2 years or more, are eligible for publicly funded health and disability services, including free inpatient and outpatient public hospital services [21]. The BNT162b2 vaccine is also freely available to all eligible individuals in New Zealand (as of 10 February 2022, this referred to individuals aged 5 years and above), regardless of eligibility to public health and disability services. Outcomes of interest were identified from the National Minimum Data Set (NMDS), a national collection of all public hospitalisations, including coded clinical data for inpatients and day patients [22]. A National Health Index (NHI) number is provided to each person who uses these services. The NHI number was used to link the hospitalisation information with the BNT162b2 vaccination records in the national COVID Immunisation Register (CIR), a database of all COVID-19 vaccination information in New Zealand [23]. A de-identified linked dataset was prepared by the Ministry of Health New Zealand for this study. The Pandemic Minimum Dataset, which registers all reported COVID-19 polymerase chain reaction (PCR) and rapid antigen tests, was used to check if an individual tested positive for severe acute respiratory syndrome coronavirus 2 (SARS-CoV-2) infection. During the study period, the PCR test was the predominant form of COVID-19 testing in New Zealand. Rapid antigen tests were made widely available by the government in early March 2022 [24]. The Health Service User (HSU) population was used to estimate the New Zealand population eligible for COVID-19 vaccination in New Zealand.
Study Population
The study population comprised of individuals aged 5 years or older who received a primary dose of the adult [4] and paediatric [5] formulation of the BNT162b2 vaccine. All individuals who received a dose of the BNT162b2 vaccine from an authorised health care professional in New Zealand are captured in the CIR [23]. As of 10 February 2022, the recommended dosing interval between the two primary doses in New Zealand was 21 days [25]. Individuals who received a second dose within 21 days of their first dose were excluded to separate the effect of the doses and ensure there was no overlap of risk periods. We also excluded all individuals who tested positive for COVID-19, received a COVID-19 vaccine overseas, or received a different COVID-19 vaccine during the study period. For each of the first and second dose cohorts, an individual was followed from the day after their vaccination date (day 0) until the earliest of one of the following dates: the end of their follow-up period (21 days), date of AESI onset (specific for each AESI), end of the monitoring period (10 February 2022), or with the occurrence of a death. In addition to death, loss of follow-up could occur if an individual left New Zealand following their BNT162b vaccination. Due to the strict border controls [19] in place during the study period and the small number of individuals leaving the country at the time as a result [26], this was not accounted for in the study population. Furthermore, we used date of occurrence to identify hospitalisation and immunisation events. Events that occurred on the same date as vaccination (day 0) were not included to avoid counting events that occurred prior to vaccination.
Historical Comparison Group
A historical comparison group was identified from the SAFE background rate study for COVID-19 AESIs in New Zealand [27]. This retrospective, multi-database cohort study estimated the incidence per 100,000 persons per year of several predefined AESIs associated with COVID-19 vaccines in the New Zealand population for each year from 2008 (start of International Classification of Diseases, Tenth Revision [ICD-10] coding) through to 2019 (preceding the start of the COVID-19 pandemic). The prespecified AESIs were identified from the Safety Platform for Emergency vACcines (SPEAC) project [28]. The New Zealand public hospitalisation dataset, the NMDS, was used to obtain the number of events (numerator) for each AESI, and events were identified using the International Statistical Classification of Diseases and Related Health Problems, 10th Revision, Australian Modification (ICD-10-AM) Eleventh Edition diagnosis codes. The Stats NZ Integrated Data Infrastructure (IDI) was used to estimate population denominators for each year (2008–2019).
The SAFE protocol was designed in close alignment with the vACcine covid-19 monitoring readinESS (ACCESS) protocol for Background Rate of AESIs for monitoring COVID-19 vaccines [29]. The incidence rates for each AESI were calculated with 95% confidence intervals (CIs) and stratified by calendar year, 20-year age groups (0–19, 20–39, 40–59, 60–79, ≥80 years), sex, ethnicity, deprivation, and region over the study period. For each AESI, an outcome event was defined as the first hospitalisation event (or condition) for an individual in the whole defined study period (2008–2019). The background incidence rates were not stratified by more than one factor, e.g. sex was not stratified by age, ethnicity was not stratified by sex, etc. Due to significant changes to ICD-10-AM coding practices implemented in 2014 [30], we only included the incidence rates of AESIs from 2014 through 2019 for comparison with our study period from 2021 through 2022.
Outcomes: Adverse Events of Special Interest
Twelve AESIs for COVID-19 vaccines were analysed: acute kidney injury (AKI), acute liver injury, Guillain–Barré syndrome (GBS), erythema multiforme, herpes zoster, single organ cutaneous vasculitis (SOCV), myo/pericarditis (includes all events coded as myocarditis, pericarditis and myopericarditis), arterial thrombosis, cerebral venous thrombosis (CVT), splanchnic thrombosis, venous thromboembolism (VTE; including deep vein thrombosis and pulmonary embolism) and thrombocytopenia. We identified these AESIs and corresponding ICD-10-AM diagnosis codes from the SAFE background rate study [27]. To further align with the SAFE background rate study, we defined an outcome event as the first hospitalisation event (or condition) to occur for an individual in the New Zealand public hospitalisation database, the NMDS, since 2008.
Clinical record assessment was also conducted as part of the SAFE background rate study to validate the accuracy (positive predictive value [PPV]) of the ICD-10-AM codes used to identify the AESIs [27]. As part of the AESI selection process, we omitted an AESI from our study if the codes used to identify a condition had a low PPV (approximately ≤50%), if it was not typically diagnosed in the hospital setting (e.g., Bell’s Palsy), if it contained the same ICD-10 codes used to identify other AESIs (e.g., idiopathic thrombocytopenia contains the same codes as thrombocytopenia), if it contained diagnosis codes relating to pregnancy and/or newborns, and following consultation with Medsafe. There is no ICD-10-AM code for myopericarditis, and as such, we combined the ICD-10-AM codes used to identify cases of myocarditis and pericarditis to capture cases of myopericarditis. We also combined the ICD-10-AM codes relating to pulmonary embolism and deep vein thrombosis to capture cases of VTE, as a new ICD-10-AM code for deep vein thrombosis was only developed in the ICD-10-AM Eleventh Edition implemented in July 2019 [23]. The full table of ICD-10-AM codes used are presented in electronic supplementary material (ESM) Table S1.
Exposures
We classified an individual as exposed after receiving a first or second dose primary course of the adult or paediatric BNT162b2 vaccine within the prespecified risk period (1–21 days) during the study period. The risk period for all events was set as 1–21 days, which is in line with the approved 3-week interval between the two primary doses [25] and other COVID-19 vaccine safety studies [31].
Statistical Analysis
We compared the observed incidence rates of each AESI during the 21 days following vaccination with the expected incidence rates using the combined historical background rate data from 2014 through 2019 from the SAFE background rate study [27]. To calculate the combined background rates, we summed the number of de novo events for each AESI from 2014 through 2019 and divided this by the sum of the population from 2014 through 2019. We obtained the observed incidence rate of each AESI from the number of de novo events that occurred in the risk period (1–21 days) following both doses of the vaccine in the vaccinated cohorts. We defined a de novo event as an event that occurred in an individual for the first time since 2008 to align with the SAFE background rate study. If there were multiple hospital admissions of the same AESI for an individual in the risk period, the event recorded closest to vaccination was included. If an individual was admitted to hospital with several different AESIs over the study period, they were included in the observed counts for each separate AESI.
For each 20-year age group, we calculated the expected incidence rate of each AESI by dividing the background incidence rate of each AESI (expressed per 100,000 persons per year) by 365.25 and 100,000 to obtain the rate per person per day, and then by multiplying by person time at risk [20]. We used indirect standardisation [32] to calculate the age-specific standardised incidence ratio (SIR) for each 20-year age group to better understand the effect of age. Indirect standardisation was used to account for differences in the age structure between the vaccinated and historical comparison populations [33]. We estimated the SIRs for each AESI by dividing the sum of all observed events by the sum of all expected events. Corresponding 95% CIs were calculated using the parametric percentile bootstrap method [34] based on 100,000 draws to account for variation in the observed and expected incidence rates. The observed and expected incidence were treated as Poisson and normal random variables, respectively. An SIR above one indicates that the observed incidence rate for a particular AESI is greater than the expected incidence rate for that AESI in the population. This is statistically significant if the lower bound of the CI for the SIR is >1 and indicates a statistical signal for a given vaccine cohort.
In addition, we calculated the indirect standardised risk difference to estimate the excess or reduced number of hospitalisation events within the 21 days following vaccination, per 100,000 persons, for each age group as well as for all ages combined. This was estimated by calculating the difference between the observed and expected events by the person time at risk and adjusting the rate to be per 100,000 persons per 21 days. Analyses were performed using R software version 4.1.0 (The R Foundation for Statistical Computing, Vienna, Austria) [35].
Ethics Approval
The study did not require informed consent of individual participants as we used a de-identified dataset and received an exemption from the Health and Disability Ethics Committee (HDEC) of New Zealand (Reference # 2022 OOS 11950).
Results
Study Population
From 19 February 2021 through 10 February 2022, within a population of 4,685,351 individuals aged 5 years and above and eligible for COVID-19 vaccination in New Zealand, 4,277,163 and 4,114,364 individuals were included in the vaccinated cohorts who received a first and second dose of the BNT162b2 vaccine (adult and paediatric formulations), respectively. During the study period, 13,597 individuals tested positive for COVID-19 and were excluded from the vaccinated cohorts.
The demographics of the study participants, including the historical comparison cohort (2014–2019) and the vaccinated cohorts (first and second dose recipients) are shown in Table 1. The proportion of females included was 50.5%, 50.5% and 50.6% in the historical comparison group and first and second dose vaccinated cohorts, respectively. New Zealand European was the predominant ethnic group across the historical comparison (62.7%) and first (63.0%) and second (63.6%) dose vaccinated cohorts. The proportion of Māori participants in the historical comparison cohort (16.2%) was greater than that in the first (13.2%) and second (12.7%) dose vaccinated cohorts. Conversely, there was a greater number of Asian participants in the vaccinated cohorts (both 16.2%) compared with the comparison cohort (13.8%).
Table 1.
Baseline demographics of study participants in the vaccinated (February 2021–February 2022) and historical comparison (2014–2019) cohorts, New Zealand
| Characteristics | Historical comparison group 2014–2019 [no. of persons (%)]a | Vaccinated cohort: first dose [no. of persons (%)] | Vaccinated cohort: second dose [no. of persons (%)] |
|---|---|---|---|
| Total | 29,269,989 | 4,277,163 | 4,114,364 |
| Sex | |||
| Female | 14,770,293 (50.5) | 2,159,097 (50.5) | 2,082,166 (50.6) |
| Male | 14,496,951 (49.5) | 2,112,089 (49.4) | 2,026,359 (49.3) |
| Unknown | 2748 (0.01) | 5977 (0.1) | 5839 (0.1) |
| Age group, years | |||
| ≤19b | 7,526,508 (25.7) | 761,322 (17.8) | 628,049 (15.3) |
| 20–39 | 7,949,337 (27.2) | 1,294,892 (30.3) | 1,276,399 (31.0) |
| 40–59 | 7,590,234 (25.9) | 1,181,252 (27.6) | 1,171,458 (28.5) |
| 60–79 | 5,032,203 (17.2) | 857,393 (20.1) | 856,397 (20.8) |
| ≥80 | 1,171,701 (4.0) | 182,304 (4.3) | 182,061 (4.4) |
| Ethnicity | |||
| Māori | 4,734,330 (16.2) | 562,895 (13.2) | 522,548 (12.7) |
| Pacific people | 1,997,523 (6.8) | 297,833 (7.0) | 280,243 (6.8) |
| Asian | 4,035,918 (13.8) | 691,935 (16.2) | 666,566 (16.2) |
| NZ European or other | 18,339,789 (62.7) | 2,693,945 (63.0) | 2,615,230 (63.6) |
| Unknown | 162,423 (0.6) | 30,555 (0.7) | 29,777 (0.7) |
COVID-19 coronavirus disease 2019, AESIs adverse events of special interest
aFigures taken from the background rate study of COVID-19 AESIs in New Zealand (2014–2019) [27]
bThe background rate data includes information on individuals age ≥0 years. The vaccination data contains information on individuals aged ≥5 years
The highest proportion of participants were in the 20–39 years age group, with 27.2%, 30.3% and 31.0% in the historical comparison group and first and second dose vaccinated cohorts, respectively. The proportion of participants in the youngest age group (under 19 years) was 25.7% in the historical comparison cohort, 17.8% in the first dose vaccinated chort and 15.3% in the second dose vaccinated cohort. This difference is due to the background rate data including information on individuals in all age groups (0–19 years to ≥80 years), while the vaccinated cohort was restricted to those aged 5 years and above (as of 10 February 2022; the BNT162b2 vaccine is not approved in New Zealand for individuals under 5 years of age).
Demographic characteristics of patients who were discharged from hospital with an event of interest in the period between 2014 and 2019 in New Zealand are provided in ESM Table S2.
Observed versus Expected Analyses
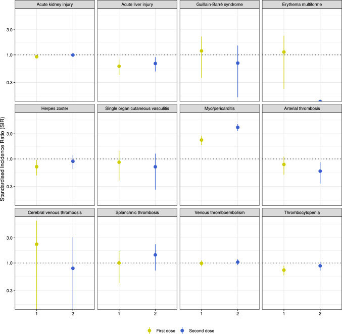
The SIRs for each AESI, for all ages combined, within the 21 days following a first and second dose of the BNT162b2 vaccine, as projected from the incidence in the historical comparison group, are presented in Table 2 and Fig. 1. The observed incidence rates were as expected for AKI, GBS, herpes zoster, SOCV, arterial thrombosis (first dose only), splanchnic thrombosis, VTE and thrombocytopenia (second dose only) following one or both doses of BNT162b2. The observed incidence rates of acute liver injury, arterial thrombosis (second dose only) and thrombocytopenia (first dose only) following one or both doses of BNT162b2 were statistically less than the expected incidence rate for those AESIs. Six or fewer events of erythema multiforme and CVT were observed following vaccination, and the SIR calculated for these events was not statistically significant.
Table 2.
SIRs (95% CIs) of prespecified AESIs in the 21 days following the first and second dose of the BNT162b2 vaccine, 19 February 2021–10 February 2022, New Zealand
| AESI | No. of participants | Person days | Observed events | Expected eventsa | SIR (95% CI) | Risk difference (95% CI) [per 100,000 persons] |
|---|---|---|---|---|---|---|
| Acute kidney injury | ||||||
| First dose | 4,177,045 | 90,510,885 | 1301 | 1409.4 | 0.9 (0.9–1.0) | −2.5 (−4.2 to −0.8) |
| Second dose | 3,902,566 | 85,517,178 | 1381 | 1387.6 | 1.0 (0.9–1.0) | −0.2 (−2.0 to 1.7) |
| Acute liver injury | ||||||
| First dose | 4,253,935 | 92,193,987 | 38 | 62.3 | 0.6 (0.4–0.8) | −0.6 (−0.8 to −0.3) |
| Second dose | 3,978,292 | 87,174,602 | 42 | 61.1 | 0.7 (0.5–0.9) | −0.5 (−0.8 to −0.1) |
| Guillain–Barré syndrome | ||||||
| First dose | 4,255,028 | 92,217,837 | 7 | ≤6 | 1.2 (0.4–2.2) | 0.0 (−0.1 to 0.2) |
| Second dose | 3,979,345 | 87,197,601 | ≤6b | ≤6 | 0.7 (0.2–1.5) | −0.0 (−0.1 to 0.1) |
| Erythema multiforme | ||||||
| First dose | 4,255,144 | 92,220,852 | ≤6 | ≤6 | 1.1 (0.2–2.3) | 0.0 (−0.1 to 0.1) |
| Second dose | 3,979,553 | 87,202,175 | – | ≤6 | 0.0 (0.0–0.0) | −0.1 (−0.1 to −0.1) |
| Herpes zoster | ||||||
| First dose | 4,253,208 | 92,177,972 | 36 | 50.5 | 0.7 (0.5–1.0) | −0.3 (−0.6 to −0.0) |
| Second dose | 3,977,535 | 87,157,976 | 45 | 49.8 | 0.9 (0.6–1.2) | −0.1 (−0.4 to 0.2) |
| Single organ cutaneous vasculitis | ||||||
| First dose | 4,254,584 | 92,209,508 | 11 | 12.7 | 0.9 (0.4–1.4) | −0.0 (−0.2 to 0.1) |
| Second dose | 3,979,172 | 87,193,853 | 8 | 11.3 | 0.7 (0.3–1.3) | −0.1 (−0.2 to 0.1) |
| Myo/pericarditis | ||||||
| First dose | 4,255,128 | 92,219,981 | 101 | 44.2 | 2.3 (1.8–2.7) | 1.3 (0.9 to 1.8) |
| Second dose | 3,979,436 | 87,199,638 | 172 | 43.4 | 4.0 (3.4–4.6) | 3.1 (2.5 to 3.7) |
| Arterial thrombosis | ||||||
| First dose | 4,254,942 | 92,215,906 | 27 | 34.3 | 0.8 (0.5–1.1) | −0.2 (−0.4 to 0.1) |
| Second dose | 3,979,255 | 87,195,623 | 20 | 34 | 0.6 (0.3–0.9) | −0.3 (−0.5 to −0.1) |
| Cerebral venous thrombosis | ||||||
| First dose | 4,072,973 | 88,220,151 | ≤6 | ≤6 | 2.3 (0.0–6.3) | 0.0 (−0.0 to 0.1) |
| Second dose | 3,797,778 | 83,213,165 | ≤6 | ≤6 | 0.8 (0.0–3.1) | −0.0 (−0.0 to 0.1) |
| Splanchnic thrombosis | ||||||
| First dose | 4,255,225 | 92,222,114 | 10 | 10 | 1.0 (0.4–1.7) | 0.0 (−0.1 to 0.2) |
| Second dose | 3,979,539 | 87,201,855 | 14 | 9.8 | 1.4 (0.7–2.3) | 0.1 (−0.1 to 0.3) |
| Venous thromboembolism | ||||||
| First dose | 4,247,045 | 92,042,382 | 236 | 239 | 1.0 (0.9–1.1) | −0.1 (−0.7 to 0.6) |
| Second dose | 3,971,331 | 87,021,595 | 246 | 236.7 | 1.0 (0.9–1.2) | 0.2 (−0.5 to 1.0) |
| Thrombocytopenia | ||||||
| First dose | 4,250,921 | 92,129,171 | 93 | 126.8 | 0.7 (0.6–0.9) | −0.8 (−1.2 to −0.3) |
| Second dose | 3,975,534 | 87,114,061 | 109 | 123.4 | 0.9 (0.7–1.1) | −0.3 (−0.8 to 0.2) |
AESIs adverse events of special interest, COVID-19 coronavirus disease 2019, SIR standardised incidence ratio, CI confidence interval
aExpected events were calculated using background incidence rates from the SAFE background rate study of COVID-19 AESI in New Zealand (2014–2019) [27] and person time at risk
bEvents with fewer than six occurrences have been suppressed for privacy reasons
Fig. 1.
Standardised incidence ratios (95% confidence intervals) of prespecified AESIs in the 21 days following the first and second dose of the BNT162b2 vaccine, 19 February 2021–10 February 2022, New Zealand. Bars indicate 95% confidence intervals
The age-specific SIRs for the 12 AESIs are presented in ESM Tables S3 and S4. There were no statistically significant increased SIRs for 11 AESIs in any specific age-group except for SOCV in the 20–39 years age group (ESM Table S3). Six or fewer events of SOCV were observed following the first dose of the vaccine in the 20–39 years age group, with an age-specific SIR (95%) of 3.7 (1.1– 7.0) and a risk difference (95%) of 0.3 (0.0–0.7) events per 100,000 persons vaccinated. The age-specific SIRs for GBS, erythema multiforme, herpes zoster, arterial thrombosis, CVT, and splanchnic thrombosis could not be calculated in certain age groups as there were six or fewer events in both the historical comparison group and vaccinated cohorts.
The SIRs (95% CI) for myo/pericarditis for all ages combined were 2.3 (1.8–2.7) and 4.0 (3.4–4.6) following the first and second dose of BNT162b2, respectively (Table 2 and Fig. 1). The risk difference (95%) in the 21 days after the first and second dose was 1.3 (0.9–1.8) and 3.1 (2.5–3.7) per 100,000 persons vaccinated, respectively. The age-specific SIRs for myo/pericarditis in the 21 days following both doses of the vaccine presented in Table 3. The highest age-specific SIR was 25.6 (15.5–37.5) in the 5–19 years age group, following the second dose of the vaccine. The number of excess cases of myo/pericarditis in this age group was 4.6 (2.7–6.6) per 100,000 persons vaccinated with the second dose. The age-specific SIR of myo/pericarditis following the first and second dose of the vaccine was 3.5 (2.5–4.7) and 6.6 (5.1–8.2) in the 20–39 years age group, respectively, and 2.1 (1.4–2.8) and 3.4 (2.5–4.4) in the 40–59 years age group, respectively. The observed incidence rates of myo/pericarditis were as expected for individuals aged ≥60 years.
Table 3.
Age-specific SIRs (95% CIs) of myo/pericarditis in the 21 days following the first and second dose of the BNT162b2 vaccine, stratified by 20-year age group, 19 February 2021–10 February 2022, New Zealand
| Vaccine dose | Age group, years | No. of participants | Person days | Observed events | Expected eventsa | SIR (95% CI) | Risk difference (95% CI) [per 100,000 persons] |
|---|---|---|---|---|---|---|---|
| First dose | 5–19 | 698,110 | 14,073,857 | 12 | ≤6 | 9.8 (4.6–15.9) | 1.6 (0.7 to 2.7) |
| 20–39 | 1,315,494 | 28,872,988 | 41 | 11.5 | 3.5 (2.5–4.7) | 2.1 (1.3 to 3.1) | |
| 40–59 | 1,194,979 | 26,262,889 | 30 | 14.6 | 2.1 (1.4–2.8) | 1.2 (0.4 to 2.1) | |
| 60–79 | 864,098 | 19,004,002 | 16 | 14.4 | 1.1 (0.6–1.7) | 0.2 (−0.6 to 1.1) | |
| ≥80 | 182,447 | 4,006,245 | ≤6b | ≤6 | 0.8 (0.0–2.1) | −0.3 (−1.4 to 1.4) | |
| Total | 4,255,128 | 92,219,981 | 101 | 44.2 | 2.3 (1.8–2.7) | 1.3 (0.9 to 1.8) | |
| Second dose | 5–19 | 468,104 | 10,191,896 | 23 | ≤6 | 25.6 (15.5–37.5) | 4.6 (2.7 to 6.6) |
| 20–39 | 1,286,717 | 28,158,738 | 74 | 11.3 | 6.6 (5.1–8.2) | 4.7 (3.5 to 6.0) | |
| 40–59 | 1,180,519 | 25,908,681 | 49 | 14.4 | 3.4 (2.5–4.4) | 2.8 (1.7 to 4.0) | |
| 60–79 | 86,2146 | 18,947,465 | 22 | 14.3 | 1.5 (0.9–2.2) | 0.8 (−0.1 to 1.9) | |
| ≥80 | 181,950 | 3,992,858 | ≤6 | ≤6 | 1.6 (0.4–3.4) | 0.8 (−0.9 to 3.0) | |
| Total | 3,979,436 | 87,199,638 | 172 | 43.4 | 4.0 (3.4–4.6) | 3.1 (2.5 to 3.7) |
SIR standardised incidence ratio, CI confidence interval, COVID-19 coronavirus disease 2019, AESI adverse events of special interest
aExpected events were calculated using background incidence rates from the SAFE background rate study of COVID-19 AESIs in New Zealand (2014–2019) [27] and person time at risk
bEvents with fewer than six occurrences have been suppressed for privacy reasons
Discussion
This nationwide cohort study involving more than 4 million vaccinated persons in New Zealand aged 5 years or older found no statistically significant association between BNT162b2 vaccination and the majority of the 12 selected AESIs, including AKI, acute liver injury, GBS, erythema multiforme, herpes zoster, arterial thrombosis, CVT, splanchnic thrombosis, VTE, and thrombocytopenia. To our knowledge, this is the largest ever postmarketing vaccine safety study carried out in the country and includes representation across the population (including the main ethnic groups). Our findings provide reassurance on the overall safety profile of the BNT162b2 vaccine.
However, a statistically significant association between BNT162b2 and myo/pericarditis was observed in the 21 days following both doses of the vaccine. The association was found to be highest in the youngest recipients, i.e. under 39 years of age, and following the second dose, with an estimated five additional myo/pericarditis cases per 100,000 persons vaccinated. Importantly, this association was not limited to younger age groups, and we observed an increased SIR for myo/pericarditis following both doses of the vaccine in individuals between the ages of 40 and 59 years. We observed no statistically significant increased SIR for myo/pericarditis following either dose of the vaccine in individuals aged ≥60 years. In addition to myo/pericarditis, a statistically significant association between BNT162b2 and SOCV was observed following the first dose of the vaccine in the 20–39 years age group only.
Our findings align with international postmarketing studies, case series reports, and cases detected through reports to New Zealand’s spontaneous system that identify an association between the BNT162b2 vaccine and myo/pericarditis [7–13], especially in younger people and after the second dose [9]. Consistent with our results (one and three excess myo/pericarditis hospitalisation events per 100,000 persons after the first and second dose, respectively), a population-based cohort study in Israel of 884,828 vaccinees using health care data estimated the excess risk of myocarditis to be three events per 100,000 persons vaccinated with the BNT162b2 vaccine [8]. Another Israeli study provides further evidence, with the addition of clinical review assessments, and found that the risk of myocarditis was highest in young males after the second dose [9]. They estimated an SIR of 13.60 (95% CI 9.30–19.20), which translates to 14 additional events of myocarditis per 100,000 persons in vaccinated recipients aged 16–19 years.
In this study, the higher SIR for myo/pericarditis observed following the second dose of BNT162b2 in the youngest age group (25.6, 95% CI 15.5–37.5) is most likely due to differences in the way age groups were stratified in the observed versus expected datasets. The background rate data used to calculate the expected rate includes information on persons between the ages of 0 and 19 years, while our observed rate includes persons between the ages of 5 and 19 years. The incidence of myocarditis has been found to increase with age in children [36], and the inclusion of children under 5 years of age may have led to an underestimate of our expected rates and thereby an overestimate of the SIR for myo/pericarditis after vaccination in this age group.
Importantly, the risk difference of myo/pericarditis is still low in individuals under 19 years of age, with an excess of two and five events per 100,000 persons after the first and second dose of the vaccine, respectively. Furthermore, given the increased public and medical awareness around myo/pericarditis as a rare adverse reaction of COVID-19 mRNA vaccines, BNT162b2 vaccination might lead to increased hospitalisations and over-identification of the event compared with pre-pandemic years. Most importantly, studies have found that the risk of myocarditis following SARS-CoV-2 infection is substantially greater than after COVID-19 mRNA vaccination [8, 12, 37]. It is generally considered that the benefits of vaccination with the BNT162b2 vaccine against COVID-19 continue to outweigh the risks from the disease [38].
Unlike myo/pericarditis, SOCV has not been identified as an adverse reaction to the BNT162b2 vaccine. We observed a statistically significant increased SIR for SOCV following the first dose of the BNT162b2 vaccine in the 20–39 years age group only; however, both the observed and expected numbers were extremely low (fewer than six events) and should be interpreted with caution. The number of large real-world studies investigating the incidence of SOCV following COVID-19 vaccination is limited and there have only been a few case reports and reviews in the literature. Cases that were reported occurred after both doses, with no differences in sex or age [39–42]. Given the low incidence rates of SOCV observed following vaccination, as well as the lack of evidence from international studies, further research and continued safety monitoring are required to understand the association between this AESI and the BNT162b2 vaccine.
Our finding of no association between BNT162b2 and the other ten selected AESIs examined is consistent with other population-based studies. Several large real-world studies observed no increased risk of developing the selected thrombotic events following BNT162b2 vaccination [8, 31, 43–46], including a self-controlled case series (SCCS) study conducted in New Zealand during the same observation period as our study (February 2021–February 2022) [47]. Conversely, an observational study in the UK found an increased risk of CVT and arterial thrombosis [15] following BNT162b2 vaccination, while another study in the UK, as well as one study in Spain, found an increased risk of VTE following BNT162b2 vaccination [48, 49]. However, these statistical safety signals have not been confirmed or added to the vaccine’s product information by the sponsor, Pfizer-BioNTech, in New Zealand.
Although several case reports of acute liver injury [50], AKI [51], GBS [52, 53] and erythema multiforme [54] have been reported, no association has been confirmed in the available real-world studies using electronic records [8, 55–57]. Our finding of no increased risk of herpes zoster following BNT162b2 vaccination aligns with several studies [58, 59]. However, there have also been a number of large studies that have identified an association between herpes zoster and BNT162b2 [8, 60], including a US study using the Vaccine Adverse Event Reporting System (VAERS) data [13]. The differences with our results may be attributed to our outcome focusing on hospitalisation events only. As such, diagnoses made in the primary care setting, where herpes zoster can be treated, or cases reported through the spontaneous reporting system are not included in our analysis.
Our study has several strengths, including the robustness and completeness of the datasets used. We linked data on all individuals vaccinated with a first or second dose of BNT162b2 to national hospitalisation records for all persons who use public health and disability services in New Zealand. Importantly, BNT162b2 is freely available to all eligible individuals in New Zealand (as of 10 February 2022, this is individuals aged ≥5 years), regardless of eligibility to public health and disability services. This enabled us to rapidly assess, analyse, and contextualise the risk for all vaccine-related outcomes of interest in patients who were hospitalised in the public setting from 19 February 2021 through 10 February 2022. The same source of hospitalisation data and diagnosis codes as the SAFE background rate study were also used to determine the observed and expected number of AESIs, making our study less susceptible to misclassification bias. Real-world population-based studies using EHRs also offer some advantages over studies using passive reporting. Although the passive reporting system can detect unexpected patterns of adverse event reporting, it can be subject to several limitations [17] and does not allow for the calculation of incident rates or attributable risk of AESIs in a defined population. This is a strength of our study, especially in the context of a pandemic and large-scale immunisation programme using a novel vaccine where population-based information is needed rapidly. Furthermore, during the study period, New Zealand suppressed community transmission of SARS-CoV-2 [19] and experienced one of the lowest incidences of infection and COVID-19-related mortality among the Organisation for Economic Co-Operation and Development (OECD) countries [61, 62]. High community transmission of the virus in other countries can introduce bias to pharmacovigilance studies, especially as many of the adverse events observed following immunisation, such as myocarditis, are also associated with SARS-CoV-2 infection. New Zealand also achieved extremely high vaccination coverage, particularly in individuals over 12 years of age, with 95% of this population vaccinated with at least one dose of the BNT162b2 vaccine. To put this in context, approximately 86% of Māori, 88% of Pacific people, and 90% of NZ European and Asian aged 12 years and older received at least one dose of the vaccine during the study period. This allowed us to study the true effects of the vaccine in nearly an entire population, which includes representation across the main ethnic groups in New Zealand. We therefore believe that our analysis includes the largest number of Māori and Pacific people living in New Zealand in any vaccine surveillance study undertaken globally to date.
Our study is subject to several limitations. First, only hospital discharge information was used to identify the outcomes of interest in the vaccinated and historical comparator cohorts. Although many of the AESIs analysed in this study resulted in hospitalisation, less serious conditions such as herpes zoster are commonly treated in primary care settings. Therefore, diagnoses made in general practice are not included in our analyses and the rate for certain AESIs following vaccination could be underestimated. Second, ICD-10-AM codes were used to identify outcomes of interest. There is potential for misclassification as clinical record assessments were not conducted to validate the diagnoses or codes used. Third, although a historical comparison cohort design (i.e., observed versus expected analysis) is a sensitive signal detection method, differences between the historical background population and the vaccinated cohort can lead to false positives (type 1 errors) [63]. For example, the healthy vaccinee effect can occur, where, on average, people that are healthier are more likely to get vaccinated [64]. Conversely, medically compromised individuals are often prioritised for vaccination. Comparisons between pre-pandemic years 2014–2019 and 2021–2022 might also be limited due to secular trends in disease, seasonal variations in outcomes, and changes to viral circulation, especially in the context of the pandemic. For example, the influenza virus circulation in New Zealand was almost non-existent during the 2020 winter [65], with a 99.9% reduction from previous years. This trend continued, with no cases of influenza reported during the 2021 winter season [66, 67]. Additionally, variation in diagnostic or coding practices from 2014 through 2022 can lead to an under- or overestimate of risks for certain AESIs. Fourth, although the study population included more than 4 million people, for extremely rare outcomes (e.g., CVT and GBS), too few events were observed, particularly in specific age groups, to draw any conclusions from the estimated SIR. Fifth, we used a risk period of 1–21 days, and the SIRs may be under- or over-estimated if the real risk period was longer or shorter. Furthermore, the study population might not be fully representative of those under 12 years of age and eligible for the paediatric BNT162b2 vaccine, as vaccinations for this age group started on 17 January 2022. Sixth, we only included the first event experienced by an individual since 2008 in our observed count for each AESI to align with the exclusion criteria applied in the SAFE background rate study. As such, our estimated SIR might differ from the SIR estimated for individuals with a history of certain conditions. Finally, although we adjusted for age in our analysis, we could not adjust for other factors such as sex, ethnicity, or comorbidities. Stratification by both age and another factor, e.g., sex and ethnicity, was not provided in our background rate data, making further subgroup analysis impossible. Additional observational studies that are not reliant on background rates, such as the SCCS or revised background rates that stratify by multiple factors, are needed to allow for this. However, given that this study is representative of nearly the entire eligible New Zealand population, including 86% of Māori and 88% of Pacific people aged ≥12 years, we are confident that the overall safety profile of the vaccine in these groups is understood.
Conclusion
This nationwide study of more than 4 million people in New Zealand identified a statistically significant increased SIR for myo/pericarditis in the 21 days following both doses of the BNT162b2 vaccine. Moreover, we observed more events than expected of single organ vasculitis in the 20–39 years age group only. We found no other significant associations between the BNT162b2 vaccine and any other outcome of interest. These findings provide further reassurance on the safety profile of the vaccine, particularly from a New Zealand-specific context. Importantly, studies have found that the risk of myo/pericarditis following SARS-CoV-2 infection is substantially greater than after COVID-19 mRNA vaccination.
Supplementary Information
Below is the link to the electronic supplementary material.
Acknowledgements
The authors gratefully acknowledge the assistance of the National Immunisation Programme within Health New Zealand (Te Whatu Ora), the Ministry of Health New Zealand (Manatū Hauora), and Medsafe with this study. The research was supported and critically reviewed by Janelle Duncan and Dr Christian Marchello of the National Immunisation Programme, and Dr Susan Kenyon of the Clinical Risk Management branch within Medsafe. Equity consultation and review was provided by the Equity group within the National Immunisation Programme. The COVID-19 Vaccine Independent Safety Monitoring Board provided expert advice. Open access funding was provided by the National Immunisation Programme 2022/2023 Budget from the Ministry of Health New Zealand.
Declarations
Funding
The work reported in this publication was undertaken by the Vaccine Safety Surveillance and Research Group during the COVID-19 Vaccine and Immunisation programme within the Ministry of Health New Zealand. Funding for this programme was provided by the New Zealand Government. This research did not receive any specific grant from funding agencies in the public, commercial, or not-for-profit sectors.
Conflicts of interest
Muireann Walton, Vadim Pletzer, Thomas Teunissen, Thomas Lumley, and Timothy Hanlon have no conflicts of interest to disclose.
Ethics approval
This study did not require informed consent from individual participants as we used a de-identified dataset and received an exemption from the HDEC of New Zealand (Reference #:2022 OOS 11950).
Consent to participate
Not applicable.
Consent for publication
Not applicable.
Data availability
The data that support the findings of this study are not able to be made publicly available due to privacy and ethical restrictions outlined by New Zealand Legislation.
Code availability
The code used to conduct the analysis, but not the dataset, may be requested. Request should be directed to the first authors and will be granted upon reasonable request and permission from authorised persons.
Author contributions
VP contributed to the statistical design, analysis, and interpretation of the data. MW contributed to the literature review, supported the statistical design and analysis, interpreted the data, wrote the manuscript, and revised the content. TT contributed to the conception of the study, supported the analysis, and interpreted the data. TL provided consultation on the statistical analysis and research. TH supervised the study and reviewed the content. All authors critically reviewed the manuscript and provided final approval of the version to be published.
Footnotes
Muireann Walton and Vadim Pletzer were joint first authors on this work.
Contributor Information
Muireann Walton, Email: Muireann.walton@health.govt.nz.
Vadim Pletzer, Email: Vadim.Pletzer@TeWhatuOra.govt.nz.
Timothy Hanlon, Email: tim.hanlon@health.govt.nz.
References
- 1.Ministry of Health New Zealand. COVID-19: Vaccines. 2022. https://www.health.govt.nz/our-work/diseases-and-conditions/covid-19-novel-coronavirus/covid-19-vaccines. Accessed 24 Jan 2022.
- 2.Polack FP, Thomas SJ, Kitchin N, et al. Safety and efficacy of the BNT162b2 mRNA Covid-19 vaccine. N Engl J Med. 2020;383(27):2603–2615. doi: 10.1056/NEJMoa2034577. [DOI] [PMC free article] [PubMed] [Google Scholar]
- 3.Ministry of Health New Zealand. COVID-19 vaccines available in New Zealand. 2022. https://www.health.govt.nz/covid-19-novel-coronavirus/covid-19-vaccines/covid-19-vaccines-available-new-zealand. Accessed 5 Apr 2022.
- 4.Medsafe. COVID-19. Status of Application. Comirnaty (Pfizer-BioNTech): 12 years and older 2022. https://www.medsafe.govt.nz/COVID-19/status-of-applications.asp#Comirnaty12. Accessed 7 Feb 2022.
- 5.Medsafe. COVID-19. Status of Application. Comirnaty (Pfizer-BioNTech): 5 years and older 2022. https://www.medsafe.govt.nz/COVID-19/status-of-applications.asp#Comirnaty5. Accessed 7 Feb 2022.
- 6.Alomar M, Tawfiq AM, Hassan N, Palaian S. Post marketing surveillance of suspected adverse drug reactions through spontaneous reporting: current status, challenges and the future. Ther Adv Drug Saf. 2020 doi: 10.1177/2042098620938595. [DOI] [PMC free article] [PubMed] [Google Scholar]
- 7.Bozkurt B, Kamat I, Hotez PJ. Myocarditis with COVID-19 mRNA vaccines. Circulation. 2021;144(6):471–484. doi: 10.1161/CIRCULATIONAHA.121.056135. [DOI] [PMC free article] [PubMed] [Google Scholar]
- 8.Barda N, Dagan N, Ben-Shlomo Y, et al. Safety of the BNT162b2 mRNA Covid-19 vaccine in a nationwide setting. N Engl J Med. 2021;385(12):1078–1090. doi: 10.1056/NEJMoa2110475. [DOI] [PMC free article] [PubMed] [Google Scholar]
- 9.Mevorach D, Anis E, Cedar N, et al. Myocarditis after BNT162b2 mRNA vaccine against Covid-19 in Israel. N Engl J Med. 2021;385(23):2140–2149. doi: 10.1056/NEJMoa2109730. [DOI] [PMC free article] [PubMed] [Google Scholar]
- 10.Witberg G, Barda N, Hoss S, et al. Myocarditis after Covid-19 vaccination in a large health care organization. N Engl J Med. 2021 doi: 10.1056/NEJMoa2110737. [DOI] [PMC free article] [PubMed] [Google Scholar]
- 11.Boehmer TK, Kompaniyets L, Lavery AM, et al. Association between COVID-19 and myocarditis using hospital-based administrative data—United States, March 2020–January 2021. Morb Mortal Wkly Rep. 2021;70(35):1228. doi: 10.15585/mmwr.mm7035e5. [DOI] [PMC free article] [PubMed] [Google Scholar]
- 12.Patone M, Mei XW, Handunnetthi L, et al. Risks of myocarditis, pericarditis, and cardiac arrhythmias associated with COVID-19 vaccination or SARS-CoV-2 infection. Nat Med. 2022;28(2):410–422. doi: 10.1038/s41591-021-01630-0. [DOI] [PMC free article] [PubMed] [Google Scholar]
- 13.Harpaz R, DuMouchel W, Van Manen R, et al. Signaling COVID-19 vaccine adverse events. Drug Saf. 2022;45(7):765–780. doi: 10.1007/s40264-022-01186-z. [DOI] [PMC free article] [PubMed] [Google Scholar]
- 14.New Zealand Data Sheet. Comirnaty Concentrate for injection (orange cap, must dilute) 10 mcg/0.2 mL dose. 2021. https://www.medsafe.govt.nz/profs/Datasheet/c/Comirnaty0.2mlOrangeCapinj.pdf. Accessed 19 Mar 2022.
- 15.World Health Organisation. COVID-19 vaccines: safety surveillance manual. World Health Organization. License: CC BY-NC-SA 3.0 IGO 2020; Available from: https://apps.who.int/iris/handle/10665/338400.
- 16.Medsafe. COVID-19- Safety Monitoring. November 27, 2020. https://www.medsafe.govt.nz/COVID-19/medicine-safety-monitoring.asp. Accessed 7 Feb 2022.
- 17.Rosenthal S, Chen R. The reporting sensitivities of two passive surveillance systems for vaccine adverse events. Am J Public Health. 1995;85(12):1706–1709. doi: 10.2105/ajph.85.12.1706. [DOI] [PMC free article] [PubMed] [Google Scholar]
- 18.StatsNZ. Taturanga Aotearoa. New Zealand's population reflects growing diversity. 23 September 2019. https://www.stats.govt.nz/news/new-zealands-population-reflects-growing-diversity. Accessed 5 Apr 2022.
- 19.Baker MG, Wilson N, Anglemyer A. Successful elimination of Covid-19 transmission in New Zealand. N Engl J Med. 2020;383(8):e56. doi: 10.1056/NEJMc2025203. [DOI] [PMC free article] [PubMed] [Google Scholar]
- 20.Mahaux O, Bauchau V, Van Holle L. Pharmacoepidemiological considerations in observed-to-expected analyses for vaccines. Pharmacoepidemiol Drug Saf. 2016;25(2):215. doi: 10.1002/pds.3918. [DOI] [PMC free article] [PubMed] [Google Scholar]
- 21.Ministry of Health New Zealand. NZ Health System. Guide to eligibility for publicly funded health services. 26 January 2022. https://www.health.govt.nz/new-zealand-health-system/eligibility-publicly-funded-health-services/guide-eligibility-publicly-funded-health-services. Accessed 2 Mar 2022.
- 22.Ministry of Health New Zealand. Health Statistics. National Minimum Dataset (hospital events). 15 June 2021. https://www.health.govt.nz/nz-health-statistics/national-collections-and-surveys/collections/national-minimum-dataset-hospital-events. Accessed 2 Mar 2022.
- 23.Ministry of Health New Zealand. COVID-19 Vaccines- Your Privacy- COVID Immunisation Register (CIR) privacy statement. 2021. https://www.health.govt.nz/our-work/diseases-and-conditions/covid-19-novel-coronavirus/covid-19-vaccines/covid-19-vaccine-and-your-privacy/covid-immunisation-register-cir-privacy-statement. Accessed 10 Feb 2022.
- 24.The Ministry of Health New Zealand. Media releases. Free rapid antigen tests now available for home testing. 2 March 2022. https://www.health.govt.nz/news-media/media-releases/free-rapid-antigen-tests-now-available-home-testing. Accessed 5 Apr 2022.
- 25.COVID-19 GOVT NZ. Get your second dose. 2022. https://covid19.govt.nz/covid-19-vaccines/how-to-get-a-covid-19-vaccination/getting-your-second-dose. Accessed 11 Mar 2022.
- 26.Stats NZ. Tatauranga Aotearoa. Migration. https://www.stats.govt.nz/topics/migration. Accessed 1 Jun 2023.
- 27.Global Vaccine Data Network. SAFE Project: Background rates of adverse events of special interest (AESIs) for COVID-19 vaccination. https://www.globalvaccinedatanetwork.org/safe-project-background-rates-adverse-events-special-interest-aesis-covid-19-vaccination. Accessed 13 Feb 2023.
- 28.Brighton Collaboration. Safety Platform for Emergency VACcines (SPEAC). Priority List of Adverse Events of Special Interest: COVID-19. V2.0 May 25, 2020. https://brightoncollaboration.us/wp-content/uploads/2020/06/SPEAC_D2.3_V2.0_COVID-19_20200525_public.pdf. Accessed 10 Feb 2022.
- 29.Willame C, Dodd C, Durán C, et al. Background rates of 41 adverse events of special interest for COVID-19 vaccines in 10 European healthcare databases-an ACCESS cohort study. Vaccine. 2023;41(1):251–262. doi: 10.1016/j.vaccine.2022.11.031. [DOI] [PMC free article] [PubMed] [Google Scholar]
- 30.Ministry of Health New Zealand. Health Statistics. ICD-10AM/ACH1/ACS Development 11 August 2021. https://www.health.govt.nz/nz-health-statistics/classification-and-terminology/icd-10-am-achi-acs/icd-10-am-achi-acs-development. Accessed 5 Apr 2022.
- 31.Klein NP, Lewis N, Goddard K, et al. Surveillance for adverse events after COVID-19 mRNA vaccination. JAMA. 2021;326(14):1390–1399. doi: 10.1001/jama.2021.15072. [DOI] [PMC free article] [PubMed] [Google Scholar]
- 32.Naing NN. Easy way to learn standardization: direct and indirect methods. Malays J Med Sci. 2000;7(1):10. [PMC free article] [PubMed] [Google Scholar]
- 33.Breslow NE, Day N. Indirect standardization and multiplicative models for rates, with reference to the age adjustment of cancer incidence and relative frequency data. J Chronic Dis. 1975;28(5–6):289–303. doi: 10.1016/0021-9681(75)90010-7. [DOI] [PubMed] [Google Scholar]
- 34.Flowers-Cano RS, Ortiz-Gómez R, León-Jiménez JE, et al. Comparison of bootstrap confidence intervals using monte carlo simulations. Water. 2018;10(2):166. doi: 10.3390/w10020166. [DOI] [Google Scholar]
- 35.R Core Team. R: A language and environment for statistical computing. R Foundation for Statistical Computing, Vienna, Austria. 2021; Available from: http://www.R-project.org/.
- 36.Arola A, Pikkarainen E, Sipilä JO, et al. Occurrence and features of childhood myocarditis: a nationwide study in Finland. J Am Heart Assoc. 2017;6(11):e005306. doi: 10.1161/JAHA.116.005306. [DOI] [PMC free article] [PubMed] [Google Scholar]
- 37.Block JP. Cardiac complications after SARS-CoV-2 infection and mRNA COVID-19 vaccination—PCORnet, United States, January 2021–January 2022. MMWR. Morbidity and Mortality Weekly Report, 2022. 71. [DOI] [PMC free article] [PubMed]
- 38.Medsafe. Safety information. Alert communication. Myocarditis and Pericarditis - rare adverse reactions to Comirnaty (Pfizer COVID-19 vaccine). 21 July 2021. https://medsafe.govt.nz/Safety/Alerts/comirnaty-myocarditis-alert.htm. Accessed 22 Feb 2022.
- 39.Abdelmaksoud A, Wollina U, Temiz SA, Hasan A. SARS-CoV-2 vaccination-induced cutaneous vasculitis: report of two new cases and literature review. Dermatol Ther. 2022;35(6):e15458. doi: 10.1111/dth.15458. [DOI] [PMC free article] [PubMed] [Google Scholar]
- 40.Saleh AM, Khalid A, Alshaya AK and Alanazi SMM. Systemic lupus erythematosus with acute pancreatitis and vasculitic rash following COVID-19 vaccine: a case report and literature review. Clin Rheumatol. 2022;41(5):1577–82. 10.1007/s10067-022-06097-z [DOI] [PMC free article] [PubMed]
- 41.Baier E, Olgemoller U, Biggemann L, et al. Dual-positive MPO- and PR3-ANCA-associated vasculitis following SARS-CoV-2 mRNA booster vaccination: a case report and systematic review. Vaccines (Basel) 2022;10(5):653. doi: 10.3390/vaccines10050653. [DOI] [PMC free article] [PubMed] [Google Scholar]
- 42.Ogura Y, Morimoto H, Otsuka M and Tokura Y. Development of IgA vasculitis after SARS‐CoV‐2 vaccination. J Cutaneous Immunol Allergy. 2022;5(5):190–1. 10.1002/cia2.12242
- 43.Simpson CR, Shi T, Vasileiou E, et al. First-dose ChAdOx1 and BNT162b2 COVID-19 vaccines and thrombocytopenic, thromboembolic and hemorrhagic events in Scotland. Nat Med. 2021;27(7):1290–1297. doi: 10.1038/s41591-021-01408-4. [DOI] [PMC free article] [PubMed] [Google Scholar]
- 44.Abbattista M, Martinelli I, Peyvandi F. Comparison of adverse drug reactions among four COVID-19 vaccines in Europe using the EudraVigilance database: thrombosis at unusual sites. J Thromb Haemost. 2021;19(10):2554–2558. doi: 10.1111/jth.15493. [DOI] [PMC free article] [PubMed] [Google Scholar]
- 45.Hviid A, Hansen JV, Thiesson EM, Wohlfahrt J. Association of AZD1222 and BNT162b2 COVID-19 Vaccination with thromboembolic and thrombocytopenic events in frontline personnel: a retrospective cohort study. Ann Intern Med. 2022;175(4):541–546. doi: 10.7326/M21-2452. [DOI] [PMC free article] [PubMed] [Google Scholar]
- 46.Houghton DE, Wysokinski W, Casanegra AI, et al. Risk of venous thromboembolism after COVID-19 vaccination. J Thromb Haemost. 2022;20(7):1638–1644. doi: 10.1111/jth.15725. [DOI] [PMC free article] [PubMed] [Google Scholar]
- 47.Walton M, Tomkies R, Teunissen T, et al. Thrombotic events following the BNT162b2 mRNA COVID-19 vaccine (Pfizer-BioNTech) in Aotearoa New Zealand: a self-controlled case series study. Thromb Res. 2023;222:102–108. doi: 10.1016/j.thromres.2022.12.012. [DOI] [PMC free article] [PubMed] [Google Scholar]
- 48.Burn E, Li X, Delmestri A, et al. Thrombosis and thrombocytopenia after vaccination against and infection with SARS-CoV-2 in the United Kingdom. Nat Commun. 2022;13(1):7167. doi: 10.1038/s41467-022-34668-w. [DOI] [PMC free article] [PubMed] [Google Scholar]
- 49.Burn E, Roel E, Pistillo A, et al. Thrombosis and thrombocytopenia after vaccination against and infection with SARS-CoV-2 in Catalonia, Spain. Nat Commun. 2022;13(1):7169. doi: 10.1038/s41467-022-34669-9. [DOI] [PMC free article] [PubMed] [Google Scholar]
- 50.Shroff H, Satapathy SK, Crawford JM, et al. Liver injury following SARS-CoV-2 vaccination: a multicenter case series. J Hepatol. 2022;76(1):211–214. doi: 10.1016/j.jhep.2021.07.024. [DOI] [PMC free article] [PubMed] [Google Scholar]
- 51.D’Agati VD, Kudose S, Bomback AS, et al. Minimal change disease and acute kidney injury following the Pfizer-BioNTech COVID-19 vaccine. Kidney Int. 2021;100(2):461–463. doi: 10.1016/j.kint.2021.04.035. [DOI] [PMC free article] [PubMed] [Google Scholar]
- 52.Waheed S, Bayas A, Hindi F, et al. Neurological complications of COVID-19: Guillain-Barre syndrome following Pfizer COVID-19 vaccine. Cureus. 2021 doi: 10.7759/cureus.13426. [DOI] [PMC free article] [PubMed] [Google Scholar]
- 53.Rao SJ, Khurana S, Murthy G, et al. A case of Guillain-Barre syndrome following Pfizer COVID-19 vaccine. J Community Hosp Inter Med Pperspect. 2021;11(5):597–600. doi: 10.1080/20009666.2021.1954284. [DOI] [PMC free article] [PubMed] [Google Scholar]
- 54.Bonino CB, Arias NM, Rico MLP, et al. Atypical erythema multiforme related to BNT162b2 (Pfizer–BioNTech) COVID-19 vaccine. Int J Dermatol. 2021;60(11):e466. doi: 10.1111/ijd.15894. [DOI] [PMC free article] [PubMed] [Google Scholar]
- 55.Wong CKH, Mak LY, Au ICH, et al. Risk of acute liver injury following the mRNA (BNT162b2) and inactivated (CoronaVac) COVID-19 vaccines. J Hepatol. 2022;77(5):1339–1348. doi: 10.1016/j.jhep.2022.06.032. [DOI] [PMC free article] [PubMed] [Google Scholar]
- 56.Li X, Raventós B, Roel E, et al. Association between covid-19 vaccination, SARS-CoV-2 infection, and risk of immune mediated neurological events: population based cohort and self-controlled case series analysis. BMJ. 2022 doi: 10.1136/bmj-2021-068373. [DOI] [PMC free article] [PubMed] [Google Scholar]
- 57.Lai FTT, Chua GT, Chan EWW, et al. Adverse events of special interest following the use of BNT162b2 in adolescents: a population-based retrospective cohort study. Emerg Microb Infect. 2022;11(1):885–893. doi: 10.1080/22221751.2022.2050952. [DOI] [PMC free article] [PubMed] [Google Scholar]
- 58.Shasha D, Bareket R, Sikron FH, et al. Real-world safety data for the Pfizer BNT162b2 SARS-CoV-2 vaccine: historical cohort study. Clin Microbiol Infect. 2022;28(1):130–134. doi: 10.1016/j.cmi.2021.09.018. [DOI] [PMC free article] [PubMed] [Google Scholar]
- 59.Birabaharan M, Kaelber DC, Karris MY. Risk of herpes zoster reactivation after messenger RNA COVID-19 vaccination: a cohort study. J Am Acad Dermatol. 2022;87(3):649–651. doi: 10.1016/j.jaad.2021.11.025. [DOI] [PMC free article] [PubMed] [Google Scholar]
- 60.Wan EYF, Chui CSL, Wang Y, et al. Herpes zoster related hospitalization after inactivated (CoronaVac) and mRNA (BNT162b2) SARS-CoV-2 vaccination: a self-controlled case series and nested case-control study. Lancet Regional Health-Western Pacific. 2022;21:100393. doi: 10.1016/j.lanwpc.2022.100393. [DOI] [PMC free article] [PubMed] [Google Scholar]
- 61.Jefferies S, French N, Gilkison C, et al. COVID-19 in New Zealand and the impact of the national response: a descriptive epidemiological study. Lancet Public Health. 2020;5(11):e612–e623. doi: 10.1016/S2468-2667(20)30225-5. [DOI] [PMC free article] [PubMed] [Google Scholar]
- 62.Baker MG, Kvalsvig A, Crengle S, et al. The next phase in Aotearoa New Zealand’s COVID-19 response: a tight suppression strategy may be the best option. N Z Med J. 2021;134(1546):8–16. [PubMed] [Google Scholar]
- 63.Li X, Lai LY, Ostropolets A, et al. Bias, Precision and timeliness of historical (background) rate comparison methods for vaccine safety monitoring: an empirical multi-database analysis. Front Pharmacol. 2021;12:773875. doi: 10.3389/fphar.2021.773875. [DOI] [PMC free article] [PubMed] [Google Scholar]
- 64.Remschmidt C, Wichmann O, Harder T. Frequency and impact of confounding by indication and healthy vaccinee bias in observational studies assessing influenza vaccine effectiveness: a systematic review. BMC Infect Dis. 2015;15:1–15. doi: 10.1186/s12879-015-1154-y. [DOI] [PMC free article] [PubMed] [Google Scholar]
- 65.Huang QS, Wood T, Jelley L, et al. Impact of the COVID-19 nonpharmaceutical interventions on influenza and other respiratory viral infections in New Zealand. Nat Commun. 2021;12(1):1–7. doi: 10.1038/s41467-021-21157-9. [DOI] [PMC free article] [PubMed] [Google Scholar]
- 66.WHO - National influenza centres of the global influenza surveillance and response system. FluNet. https://www.who.int/tools/flunet. Accessed 5 Apr 2022.
- 67.Hills T, Hatter L, Kearns N, et al. COVID-19 border controls prevent a 2021 seasonal influenza epidemic in New Zealand. Public Health. 2021;200:e6–e7. doi: 10.1016/j.puhe.2021.09.013. [DOI] [PMC free article] [PubMed] [Google Scholar]
Associated Data
This section collects any data citations, data availability statements, or supplementary materials included in this article.
Supplementary Materials
Data Availability Statement
The data that support the findings of this study are not able to be made publicly available due to privacy and ethical restrictions outlined by New Zealand Legislation.

