Abstract
This paper presents a two-element multiple-input multiple-output (MIMO) antenna with circular polarization diversity. The primary radiating elements are two conventional truncated corner microstrip patches. To enhance the antenna's bandwidth, gain, and port isolation, multiple parasitic elements are employed and they are positioned in different layer with the radiating patches. For further isolation improvement, a method of using defected ground structure is employed. The measured results demonstrate that the proposed antenna possesses wideband operation of 9.3% (5.1–5.6 GHz) with the gain of better than 8.0 dBi. Regarding the MIMO performances, the antenna obtains high isolation, which is from 30 to 63 dB. Besides, the MIMO parameters such as envelope correlation coefficient and diversity gain are found to be good in the scale of diversity standards. Compared to other related works, the proposed design has the best operating BW with 40-dB isolation and stable gain while keeping small element spacing.
Keywords: MIMO, Microstrip patch, Circularly polarized, Wideband, High isolation, Defected ground structure (DGS), Parasitic element
1. Introduction
In modern wireless communication systems, multiple-input multiple-output (MIMO) antennas are widely used as an effective solution to increase the channel capacity [1]. Besides, the antennas with circularly polarized (CP) radiation are preferred for both line-of-sight and multipath propagations [2]. This paper focuses on the MIMO CP antenna with not only wide operating bandwidth (BW) but also high element isolation.
The requirement for wideband characteristic is first considered. Several topologies have been adopted to increase BW and/or isolation of CP MIMO antennas such as dielectric resonator antenna (DRA) [[3], [4], [5]], frequency selective surface (FSS) based antenna [6,7], and crossed-dipole antenna [8]. However, it always comes with a tradeoff either with antenna profile, complex geometry, or operation characteristics. For example, although a wide operating BW of more than 18% can be achieved in Ref. [6], the use of the FSS layer significantly increases the antenna's profile to 0.7λo (λo is a free-space wavelength at the lowest operating frequency).
The microstrip patch antenna is one of the best solutions for low-profile and low-complexity design [9] while achieving reasonable performances. MIMO antennas employing multiple CP radiating patches have been reported in Refs. [[10], [11], [12], [13], [14]]. The profiles of these designs are often less than 0.05 λo. Nonetheless, their biggest disadvantage is the extremely narrow band, which is lower than 3% and not appealing to wideband applications. For wider bandwidth, a common technique is to produce an additional band. The use of a metasurface (MS) structure, which is placed in the same layer or in a different layer with the radiating element, is an effective method to extend the BW to about 17% while keeping low-profile geometry smaller than 0.05λo. It is proposed and thoroughly investigated in Refs. [15,16]. Alternatively, wideband can also be attained when combining patch and parasitic elements [17,18]. To conclude, there exist several drawbacks of the current published MIMO CP antennas. For example, the conventional designs in Refs. [[10], [11], [12], [13], [14]] suffer from narrow BW. Using MS [15,16] results in large edge-to-edge spacing between the MIMO elements, which is larger than 0.18λo.
Next, the mutual coupling reduction among the MIMO elements is considered. In fact, the elements should be close to each other for compactness. However, this leads to a strong coupling among the MIMO elements and significantly deteriorates the system's performance. The decoupling solutions are to suppress the surface-wave and space-wave couplings. Numerous techniques have been proposed in literature such as defected ground structure (DGS) [[19], [20], [21]], complicated decoupling networks as parasitic elements [[22], [23], [24]], and near-field resonant (NFR) structure [25,26]. Among them, DGS is the simplest method for coupling suppression since this structure is added to the ground plane and thus, the MIMO elements can be closely spaced. However, it causes a negative effect on the antenna by increasing the backside radiation. Meanwhile, parasitic elements and NFR structure make the antenna's size increase in the horizontal direction and/or vertical direction, leading to bulky geometry. Besides, these techniques also suffer from complicated design processes.
This paper presents a MIMO CP antenna with wideband and high isolation features using the microstrip patch structure. The antenna performance can be improved by using parasitic elements and a DGS. For wideband operation, the parasitic elements are located nearby the radiating patches. The additional band in the high-frequency band is produced and makes the overall BW increase. In terms of antenna gain, it can be improved by choosing a proper number of parasitic elements. To reduce the mutual coupling, the position of parasitic elements is investigated and it is found that when they are in different layers with the radiating patch, a better decoupling scenario is obtained. Finally, the DGS technique is applied to further improve the isolation between the MIMO elements.
2. Geometry of the proposed MIMO CP antenna
The geometry of the proposed 2-port MIMO antenna is shown in Fig. 1. The top view and cross-section view of the design are clearly presented in Fig. 1(a) and (b), respectively. The antenna is fabricated on two 1.52-mm-thick Taconic TLY substrates with dielectric permittivity of 2.2 and loss tangent of 0.0009. There are four main parts of the proposed design. Firstly, CP sources are the conventional truncated corner patches. For MIMO configuration, two patches with dual-sense CP of right-hand CP (RHCP) and left-hand CP (LHCP) are closely positioned. These patches are printed on the top side of the bottom substrate. Secondly, six parasitic elements are designed at the top side of the top substrate. They are placed nearby the CP sources to improve the antenna's performance. Next, a DGS is kept between the MIMO element for further isolation enhancement. Finally, stubs are added to the edges of radiating elements to solve the impedance matching issue. The MIMO antenna is excited by two 50-Ω coaxial cables. The outer conductor of the cable is connected to the ground, while the inner conductor is linked to the patches.
Fig. 1.
The geometry of proposed MIMO CP antenna: (a) Top view; (b) Cross-section view.
The antenna is optimized using 3D electromagnetic simulation ANSYS High-Frequency Structure Simulator (HFSS) software. The final design parameters are as follows: L = 80 mm, W = 55 mm, wp = 15 mm, a = 5.4 mm, df = 5.2 mm, ls = 12 mm, ws = 2.8 mm, d1 = 5 mm, d2 = 32.4 mm, g = 2.5 mm, wpa = 14 mm, wo = 1.2 mm, l1 = 16 mm, l2 = 31.6 mm.
3. Antenna design procedure
3.1. MIMO antenna with parasitic elements
To understand the working principle or the effects of each component of the proposed MIMO antenna, four different designs are investigated. Fig. 2 shows the evolution to achieve the best antenna. For each case, the antenna is optimized to achieve the best performance. The optimal dimensions are provided in Table 1. Here, the patch size is chosen about a half-effective-wavelength at the desired frequency. Besides, the parasitic element operates in a slightly higher band, its size is a little bit smaller than the patch. The optimal values are then obtained through simulation. The performance of each design is evaluated based on four fundamental parameters including |S11|, |S21|, AR, and realized gain. The comparison of the S-parameter is given in Fig. 3, while that for the far-field parameters is presented in Fig. 4.
Fig. 2.
Different configurations of MIMO CP antenna.
Table 1.
Optimized dimensions of the Design-1, -2, and -3 (unit: mm).
| Parameters | Ant-1 | Ant-2 | Ant-3 | Ant-4 |
|---|---|---|---|---|
| wp | 17.0 | 15.0 | 15.0 | 15.0 |
| a | 4.6 | 4.6 | 5.0 | 5.0 |
| df | 6.6 | 6.6 | 6.6 | 5.6 |
| ls | 4.0 | 6.0 | 5.5 | 5.0 |
| ws | 3.8 | 2.8 | 3.8 | 3.8 |
| d1 | 5.0 | 5.0 | 5.0 | 5.0 |
| d2 | 36.2 | 32.4 | 32.4 | |
| w2 | 14.6 | 14.8 | 14.0 | |
| g | 4.0 | 4.0 | 2.5 |
Fig. 3.
Simulated performance of different MIMO CP configurations. (a) reflection coefficient |S11|, (b) transmission coefficient |S21|.
Fig. 4.
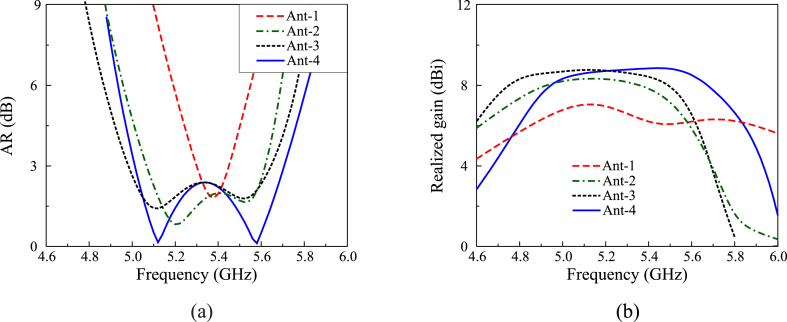
Simulated performance of different MIMO CP configurations. (a) axial ratio-AR, (b) realized gain.
First, a MIMO antenna with only two radiating patches as Ant-1 is investigated. It has been known that the truncated corner CP patch is one of the conventional designs and thus, the operating BW is narrow. This is shown obviously in the simulated data in Figs. 3(a) and 4(a) with operating BW of less than 3.0%, from 5.3 to 5.45 GHz. Meanwhile, since no decoupling network is implemented, the isolation of Ant-1 is quite low, as shown in Fig. 3(b). This figure is around 18 dB, which causes a negative effect on the MIMO systems. With respect to the realized gain in the broadside direction in Fig. 4(b), the gain values are around 6.2 dBi across the whole operating BW.
To tackle the disadvantages of Ant-1, parasitic elements are employed to improve the antenna's performance. Note that Ant-2 has the radiating patches and the parasitic elements located in the same layer. In comparison with Ant-1, Ant-2 obviously performs a larger operating band. Here, the lower AR band around 5.2 GHz is generated by the primary radiating patch, while the higher band around 5.6 GHz is produced by the parasitic element. According to Fig. 4(a), the operation is significantly increased to over 10% (5.06–5.62 GHz). Furthermore, the mutual coupling is also strongly suppressed compared to Ant-1. The figure for Ant-2 over the operating band ranges from 22 to 28 dB. For the gain response, Fig. 4(b) observes a gain of better than 5.6 dBi with a peak value of 8.3 dBi at 5.15 GHz for Ant-2, which is higher than the gain values of Ant-1. The reason behind this phenomenon is that when more parasitic elements are used, the radiating aperture is therefore increased. This results in a higher antenna's aperture efficiency, which is proportional to the gain radiation [27]. The gain is therefore improved as well.
To further improve the isolation, the position of parasitic elements is changed. Here, they are positioned in different layers with radiating patches. This configuration is denoted as Ant-3 in Fig. 2. The simulated data reveals that the considering design and Ant-2 have similar operating BW and realized gain as well. The significant difference comes from the effectiveness of coupling mitigation. Here, the isolation of Ant-3 is greater than 25 dB over the operating BW from 5.0 to 5.6 GHz. Meanwhile, the maximum isolation is 50 dB, which is much better than 28 dB of Ant-2. To explain this phenomenon, the E-field distributions at 5.4 GHz plotted on the y-z plane of Ant-1, -2, and -3 are presented in Fig. 5. Before decoupling as shown in Fig. 5(a), Ant-1 observes strong energy coupled from one excited patch to the other, resulting in extremely low isolation. For Ant-2 and -3 in Fig. 5(b) and (c), the parasitic elements show a dominant role in restraining the coupled fields to the non-excited patch. Here, the E-field tends to couple to the parasitic elements. Based on these distributions, we can quantitatively realize that Ant-3 shows the best decoupling scenario.
Fig. 5.
Simulated electric field distributions on the y-z plane at phase 0° and 90° for different MIMO CP configurations. (a) Ant-1, (b) Ant-2, and (c) Ant-3.
From the designs Ant-1 to −3, the technique for BW and isolation enhancements using parasitic elements positioned in different layers with the radiating patches is presented. In the next step, the antenna broadside gain is taken into account. Back to Ant-2 and -3, although they have high gain in the frequency band from 5.0 to 5.4 GHz, the values in the upper band from 5.4 to 5.6 GHz are decreased. To solve this deficiency, the number of parasitic elements is increased from four to six as Ant-4. This antenna has a similar performance to Ant-3 from the operating BW to the isolation within this band (better than 28 dB), as depicted in Fig. 3, Fig. 4. However, the broadside gain in the upper band is improved for Ant-4. Especially at 5.7 GHz, the gain is significantly changed from 4.0 dBi for Ant-3 to 7.8 dBi for Ant-4. It is attributed to the improvement in the antenna's effective aperture when more parasitic elements are used. Note that the gain might be better if more parasitic elements are employed, but there is a trade-off with the antenna's size. Thus, we only consider antenna with six parasitic elements.
3.2. MIMO antenna with parasitic elements and defected ground structure
In Section 3.2, the best MIMO CP design is Ant-4 using six parasitic elements positioned in different layers with the radiating patches. However, the best isolation of Ant-4 is 45 dB. For improvement, another decoupling method is applied to this design. After evaluating the pros and cons of several decoupling techniques, the DGS is utilized as no additional space and a complicated network are required. This will simplify the design process and not increase the antenna size as well. The configuration of the final antenna with parasitic elements and DGS is shown in Fig. 1.
The simulated S-parameter and AR results of Ant-4 and the final design are illustrated in Fig. 6. The broadside gain results are not compared since there is a small difference between these two designs. The simulated data regarding the matching performance in Fig. 6(a) and AR in Fig. 6(b) show an identical in the operating BW. The most difference is the maximum isolation. The final MIMO CP antenna with DGS can achieve a maximum isolation value of 61 dB, which is much higher than 45 dB obtained by Ant-4.
Fig. 6.
Simulated performance of Ant-5 and final MIMO CP antenna (shown in Fig. 1). (a) axial ratio-AR, (b) realized gain.
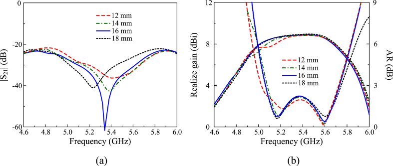
After thoroughly investigating the effect of all DGS's parameters, it is found that the length of DGS is the most important. It strongly affects the antenna isolation, as shown in the simulated transmission coefficient |S21| for different values of l1 in Fig. 7(a). Note that the effect on other antenna's characteristics is insignificant and the simulated results are therefore not presented for brevity. The simulated data in Fig. 7(a) indicates that changing l1 makes a significant variation in the maximum |S21| value. When l1 = 16 mm, the highest isolation can be achieved. In addition, the effect of the DGS on the antenna gain is also considered in Fig. 7(b). Since the DGS leads to higher back radiation, the gain is slightly affected, particularly in the lower band. Regarding the AR, the results in Fig. 7(b) demonstrate that the AR values are quite stable against the variations of l1.
Fig. 7.
Simulated results of the final MIMO CP antenna (shown in Fig. 1) against the variations of l1. (a) Transmission coefficient |S21|, (b) Realized gain and AR.
To confirm the employed techniques, the current distributions on the patch, parasitic elements, as well as ground plane at 5.32 GHz (this frequency has the best isolation) are shown in Fig. 8. Since the proposed design has CP radiation, the current distributions are presented for different phases of 0° and 90°. Basically, when Port-1 is excited, an induced current is introduced to the non-excited patch. The mutual coupling is strongly dependent on this induced current. If it is suppressed, the coupling between the MIMO elements will be significantly mitigated. For the MIMO antenna comprised of only two patches in Fig. 8(a), the induced current is quite high, leading to low isolation. For the proposed design in Fig. 8(b), at both phases of 0° and 90°, the current distributions on the non-excited patch are insignificant. The current is highly concentrated on the excited patch, the parasitic elements nearby the excited patch, and the DGS as well. Hence, the antenna performs very high isolation. The current distributions again demonstrate the effectiveness of the employed methods in the mutual coupling reduction challenge.
Fig. 8.
Simulated current distribution of the MIMO antennas with different phase of 0° and 90°. (a) Design with only two patches, (b) Proposed design with parasitic elements and DGS.
Finally, the CP operation of the final MIMO design is confirmed by observing the vector current distribution with Port-1 excitation at different phases of 0° and 90°, as illustrated in Fig. 9. Here, a frequency of 5.15 GHz with the lowest AR value is chosen to demonstrate the CP behavior of the proposed antenna. As seen, when the phase changes from 0° in Fig. 9(a) to 90° in Fig. 9(b), the vector current rotates in the clockwise direction. Thus, the antenna radiates LHCP waves when Port-1 is excited.
Fig. 9.
Simulated current distribution at 5.15 GHz of the final MIMO antenna for different phases. (a) 0° and (b) 90°.
4. Antenna optimization process
In order to provide the antenna optimization process, further parametric studies on the |S11| and AR of the final antenna are implemented. Fig. 10 shows the |S11| and AR performance for different values of wpa, df, and d2. Note that when one parameter is changed, the others are fixed at optimal values. Based on the simulated results, the antenna performance can be optimized as follows:
Fig. 10.
Simulated |S11| and AR for different values of (a) wpa, (b) df, and (c) d2.
4.1. Reflection coefficient
The feeding position (df) can be used to independently control the |S11| without affecting the AR, as shown in Fig. 10(b). Besides, when changing d2, the coupling between the parasitic elements and the excited patches is changed. Thus, the matching performance is also affected, as illustrated in Fig. 10(c).
4.2. Axial ratio
It can be seen that the size (wpa) and the position (d2) of the parasitic elements have a significant effect on the AR values. In Fig. 10(a), the AR in the high-frequency range is more sensitive to wpa than that in the low-frequency range. This is due to the fact that the higher band operation is generated by the parasitic elements, while the lower one is produced by the driven patches. In addition, changing d2 will alter the coupling between the parasitic elements and the excited patches. Thus, the AR is significantly affected as shown in Fig. 10(c).
4.3. Isolation
Based on the results in Fig. 3, Fig. 7, the mutual coupling reduction is strongly depended on the position of the parasitic element and the DGS. To conclude, the isolation is optimized by locating the parasitic elements in different layers with the radiating patches. In addition, further isolation improvement can be attained by tuning the length of the DGS.
4.4. Gain
According to the data in Fig. 4, it can be seen that the antenna gain can be improved with more parasitic elements. Thus, the antenna gain across the operating band is optimized by tuning the number of parasitic elements.
5. Measured results
For validation, a prototype of the proposed MIMO CP antenna is fabricated and tested. The antenna is printed on two Taconic substrates with lateral dimensions of 55 mm × 80 mm and thickness of each substrate is 1.52 mm. The Scattering parameter (S-parameter) is tested in open-air environments using PNA Network Analyzer N5224A. Meanwhile, the far-field parameters such as AR, gain, and radiation pattern are characterized in an anechoic chamber. Photographs of the fabricated antenna prototype at the bottom, middle, and top layers are illustrated in Fig. 11. The ground in Fig. 11(a) and the radiating patches in Fig. 11(b) are fabricated on the same substrate, while the parasitic elements in Fig. 11(c) are fabricated on the other substrate. Two 50 Ω SMA connectors are soldered directly to the radiating patches.
Fig. 11.
Photographs of fabricated proposed MIMO CP antenna. (a) Bottom layer – ground, (b) middle layer – patches, and (c) top layer – parasitic elements.
5.1. S-parameter results
Both simulated and measured the reflection coefficient |S11| and the transmission coefficient |S21| of the proposed antenna are shown in Fig. 12. Generally, there is a high level of agreement between the simulations and measurements. The fabricated antenna has wideband operation and the overlapped impedance BW for Port-1 and -2 excitations is from 5.0 to 5.6 GHz, corresponding to 11.3%. With respect to isolation, the measured |S21| data indicates that the proposed design has low mutual coupling between the MIMO elements. The isolation in the whole BW is better than 28 dB and the best value is 63 dB.
Fig. 12.
Simulated and measured S-parameter of the proposed MIMO CP antenna.
5.2. Far-field results
It is noted that during the far-field measurements, only one port is excited, while the other is terminated with a 50-Ω load. The measured results are well-matched with the simulated results. The difference could be attributed to the measurement setup and the tolerance in fabrication.
The simulated and measured ARs and realized gains in the broadside direction are plotted in Fig. 13. According to the measured data, the antenna performs wide 3-dB AR BW of 11.1%, ranging from 5.1 to 5.7 GHz, shown in Fig. 13(a). It is noted that the AR BW is not fully covered by the impedance BW. Thus, the operating BW of the antenna is just from 5.1 to 5.6 GHz, equivalent to 9.3%. Across this band, the measured broadside gain in Fig. 13(b) is better than 8.0 dBi and the peak value of 8.5 dBi can be achieved. Moreover, the isolation is always higher than 30 dB.
Fig. 13.
Simulated far-field results of the proposed MIMO CP antenna in the broadside direction. (a) Axial ratio, (b) realized gain.
The radiation patterns at 5.2 GHz in two principal planes are depicted in Fig. 14. Dual sense CP is realized based on the excitation port. For Port-1 excitation, the dominant mode in Fig. 14(a) is LHCP. On the other hand, the dominant mode is RHCP when the MIMO antenna is excited at Port-2, as illustrated in Fig. 14(b) cross-polarization discrimination defined by the difference between the RHCP and LHCP gain levels in the forward direction is higher than 16 dB. Meanwhile, the font-to-back ratio, which is calculated by the difference of the gains in the front side and back side, is better than 13 dB. In fact, this ratio is not high due to the strong back radiation caused by the DGS.
Fig. 14.
Simulated radiation patterns of the proposed MIMO CP antenna. (a) 5.2 GHz with Port-1 excitation, (b) 5.5 GHz with Port-2 excitation.
5.3. MIMO parameters
One of the most important parameter used to evaluate the MIMO performance is the envelop correlation coefficient (ECC). This parameter demonstrates the independent in performance of each element in the MIMO system. ECC can be calculated based on S-parameters and radiation patterns by solving equations (1), (2), respectively [28]:
| (1) |
| (2) |
Here, and are the reflection coefficients and transmission coefficients. Meanwhile in equation (2), the express the solid angle of the radiation patterns and and are the 3-D patterns of the MIMO elements. The ECC values for the proposed antenna are shown in Fig. 15, which are found to be significantly smaller than the acceptable value of 0.5. This demonstrates the satisfactory diversity performance of the presented MIMO CP antenna.
Fig. 15.
Calculated MIMO parameters of the proposed antenna.
Next, another MIMO parameter is diversity gain. This demonstrates “the loss in transmission power when diversity schemes are performed on the module” for the MIMO configuration. The diversity gain is calculated by using the following equation (3) [28]:
| (3) |
Fig. 15 also shows the calculated DG. It can be seen that the DG is approximately 10 dB throughout the operating band, which again ensures the good diversity performance of the proposed MIMO CP antenna.
5.4. Comparison with other related works
Table 2 compares the performance among the MIMO CP antennas using microstrip patch structure. It can be seen that the proposed antenna is the best design that have high isolation and stable gain over wide operating BW. Although the designs in Refs. [15,16] have wider BW, the element spacing is much larger than the presented work while keeping the similar isolation. In Ref. [14], this work shows better isolation but narrow BW and large element spacing are its drawbacks. Compared to similar method of using parasitic element in Refs. [17,18], the proposed design has much better performance. For the reported work, it has the best operating BW with 40-dB isolation and maximum isolation of 63 dB. Besides, stable gain across the operation is also another drawback of the proposed work.
Table 2.
Comparison among microstrip based MIMO CP antennas.
| Ref. | Decoupling method | No. of layers | Via | Antenna size (λoa) | Spacingb (λo) | Operating BW | Max. isolation (dB) | 40-dB isolation BW (%) | Gain (dBi) |
|---|---|---|---|---|---|---|---|---|---|
| [10] | Grounded stub + DGSc |
2 | Yes | 1.25 × 0.83 × 0.01 | 0.06 | 1.9% (2.50–2.55 GHz) | 27 | N/A | 5.8–6.1 |
| [14] | PEd + DGS | 2 | No | 1.44 × 1.44 × 0.03 | 0.17 | 2.0% (5.82–5.94 GHz) | 65 | <2.0 | 7.6–7.7 |
| [15] | None | 2 | No | 0.95 × 0.54 × 0.05 | 0.18 | 13.7% (5.10–5.85 GHz) | 32 | N/A | 2.6–5.8 |
| [16] | None | 2 | No | 1.00 × 0.00 × 0.05 | 0.36 | 16.8% (25.0–29.6 GHz) | 48 | <2.0 | 10.8–11.0 |
| [17] | PE + Grounded stub |
2 | Yes | 0.95 × 0.71 × 0.05 | 0.09 | 8.3% (5.20–5.65 GHz) | 36 | N/A | 4.0–6.2 |
| [18] | PE | 2 | No | N/A × N/A × 0.05 | 0.09 | 12.8% (5.10–5.80 GHz) | 28 | N/A | 7.5–8.2 |
| Prop. | PE + DGS | 3 | No | 1.36 × 0.94 × 0.05 | 0.08 | 9.3% (5.10–5.60 GHz) | 63 | 5.2 | 8.0–8.5 |
λo: Free-space wavelength at the lowest operating frequency.
Spacing: Edge-to-edge spacing.
DGS: Defected ground structure.
PE: Parasitic elements.
6. Conclusion
A wideband and high isolation MIMO CP antenna is presented and investigated in this paper. The proposed design uses multiple parasitic elements in different layer with the radiating patches to enhance the antenna performance in terms of BW, isolation, as well as gain radiation. Besides, DGS is also applied to this work for further isolation enhancement. The measured data has confirmed the design concept. Measurements demonstrate that wideband of 9.3%, high isolation of better than 30 dB, as well as gain of greater than 8.0 dBi can be obtained. Besides, the MIMO parameters also confirm the good diversity performance. Compared to related works in the literature, the proposed design has the advantages of wideband, high isolation, as well as stable gain. All these features make the proposed antenna a potential candidate for WLAN MIMO communication.
Author contribution statement
Phuong Kim-Thi, Ms: Conceived and designed the experiments; Contributed reagents, materials, analysis tools or data; Wrote the paper.
Tung The-Lam Nguyen: Performed the experiments; Analyzed and interpreted the data. Data availability statement:
Data will be made available on request.
Declaration of competing interest
The authors declare that they have no known competing financial interests or personal relationships that could have appeared to influence the work reported in this paper.
References
- 1.Murch R., Letaief K. Antenna systems for broadband wireless access. IEEE Commun. Mag. 2002;40:76–83. [Google Scholar]
- 2.Dicandia F.A., Genovesi S., Monorchio A. Analysis of the performance enhancement of MIMO systems employing circular polarization. IEEE Trans. Antennas Propag. 2017;65:4824–4835. [Google Scholar]
- 3.Iqbal G., Illahi A., Sulaiman M.I., Alam M.M., Su’ud M.M., Mohd Yasin M.N. Mutual coupling reduction using hybrid technique in wideband circularly polarized MIMO antenna for WiMAX applications. Microw. IEEE Access. 2019;7:40951–40958. [Google Scholar]
- 4.Sahu N.K., Das G., Gangwar R.K. Circularly polarized offset-fed DRA elements & their application in compact MIMO antenna. Eng. Sci. Technol. Int. J. 2022;28 [Google Scholar]
- 5.Chen H.N., Song J.M., Park J.D. A compact circularly polarized MIMO dielectric resonator antenna over electromagnetic band-gap surface for 5G applications. IEEE Access. 2019;7:140889–140898. [Google Scholar]
- 6.Hussain N., Jeong M.J., Park J., Kim N. A broadband circularly polarized fabry-perot resonant antenna using a single-layered PRS for 5G MIMO applications. IEEE Access. 2019;7:42897–42907. [Google Scholar]
- 7.Akbari M., Ali M., Farahani M., Sebak A., Denidni T. Spatially mutual coupling reduction between CP-MIMO antennas using FSS superstrate. Electron. Lett. 2017;53:516–518. [Google Scholar]
- 8.Yang W.J., Pan Y.M., Zheng S.Y. Mutual coupling reduction in CP MIMO crossed-dipole antenna array. IEEE Antennas Wireless Propag. Lett. IEEE Antennas Wireless Propag. Lett. 2022;21:2442–2446. [Google Scholar]
- 9.Sharma P.C., Gupta K.C. Analysis and optimized design of single feed circularly polarized miscostrip antennas. IEEE Trans. Antennas Propag. 1983;31:949–955. [Google Scholar]
- 10.Jamal M.Y., Li M., Yeung K.L. Isolation enhancement of closely packed dual circularly polarized MIMO antenna using hybrid technique. IEEE Access. 2020;8:11241–11247. [Google Scholar]
- 11.Alnahwi F.M., Al-Yasir Y.I.A., See C.H., Abd-Alhameed R.A. Single-element and MIMO circularly polarized microstrip antennas with negligible back radiation for 5G mid-band handsets. Sensors. 2022;22:3067. doi: 10.3390/s22083067. [DOI] [PMC free article] [PubMed] [Google Scholar]
- 12.Khan I., Wu Q., Ullah I., Rahman S.U., Ullah H., Zhang K. Designed circularly polarized two-port microstrip MIMO antenna for WLAN applications. Appl. Sci. 2022;12:1068. [Google Scholar]
- 13.Gao D., Cao Z.X., Fu S.D., Quan X., Chen P. A novel slot-array defected ground structure for decoupling microstrip antenna array. IEEE Trans. Antennas Propag. 2020;68:7027–7038. [Google Scholar]
- 14.Sufian M.A., Hussain N., Lee J., Park S.G., Kim N. Mutual coupling reduction of a circularly polarized MIMO antenna using parasitic elements and DGS for V2X communications. IEEE Access. 2022;10:56388–56400. [Google Scholar]
- 15.Tran H.H., Hussain N., Le T.T. Low-profile wideband circularly polarized MIMO antenna with polarization diversity for WLAN applications. AEU - Int. J. Electron. Commun. 2019;108:172–180. [Google Scholar]
- 16.Hussain N., Jeong M.J., Abbas A., Kim N. Metasurface-based single-layer wideband circularly polarized MIMO antenna for 5G milimeter-wave systems. IEEE Access. 2020;8:130293–130304. [Google Scholar]
- 17.Tran H.H., Hussain N., Park H.C., Nguyen-Trong N. Isolation in dual-sense CP MIMO antennas and role of decoupling structures. IEEE Antennas Wireless Propag. Lett. 2022;21:1203–1207. [Google Scholar]
- 18.Kim-Thi P., Tran H.H., Le T.T. Circularly polarized MIMO antenna utilizing parasitic elements for simultaneously improvements in isolation, bandwidth and gain. AEU - Int. J. Electron. Commun. 2021;135 [Google Scholar]
- 19.Xing H., Wang X., Gao Z., An X., Zheng H.-x., Wang M., Li E. Efficient isolation of an MIMO antenna using defected ground structure. Electronics. 2020;9:1265. [Google Scholar]
- 20.Ghannad A.A., Khalily M., Xiao P., Tafazolli R., Kishk A.A. Enhanced matching and vialess decoupling of nearby patch antennas for MIMO system. IEEE Antennas Wireless Propag. Lett. 2019;18:1066–1070. [Google Scholar]
- 21.Paiva S.B., Junior A.G.D., Neto V.P.S., D'Assunção A.G. A new compact dual-polarized MIMO antenna using slot and parasitic element decoupling for 5G and WLAN applications. Electronics. 2022;11:1943. [Google Scholar]
- 22.Tang M.C., Chen Z., Wang H., Li M., Luo B., Wang J., Shi Z., Ziolkowski R.W. Mutual coupling reduction using meta-structures for wideband, dual-polarized, and high-density patch arrays. IEEE Trans. Antennas Propag. 2017;65:3986–3998. [Google Scholar]
- 23.Kumar S., Lee G.H., Kim D.H., Choi H.C., Kim K.W. Dual circularly polarized planar four-port MIMO antenna with wide axial-ratio bandwidth. Sensors. 2020;20:5610. doi: 10.3390/s20195610. [DOI] [PMC free article] [PubMed] [Google Scholar]
- 24.Iqbal A., Altaf A., Abdullah M., Alibakhshikenari M., Limiti E., Kim S. Modified U shaped resonator as decoupling structure in MIMO antenna. Electronics. 2020;9:1321. [Google Scholar]
- 25.Niu Z., Zhang H., Chen Q., Zhong T. Isolation enhancement in closely coupled dual-band MIMO patch antennas. IEEE Antennas Wireless Propag. Lett. 2019;18:1686–1690. [Google Scholar]
- 26.Li M., Zhong B.G., Cheung S.W. Isolation enhancement for MIMO patch antennas using near-field resonators as coupling-mode transducers. IEEE Trans. Antennas Propag. 2019;67:755–764. [Google Scholar]
- 27.Balanis C.A. John Wiley & Sons, Inc; Hoboken, New Jersey, US: 2005. Antenna Theory–Analysis and Design. [Google Scholar]
- 28.Sharawi M.S. Current misuses and future prospects for printed multiple-input, multiple-output antenna systems. IEEE Antennas Propag Mag. 2017;59:162–170. [Google Scholar]















