Abstract
Objective:
Missing data is a significant challenge in medical research. In longitudinal studies of Alzheimer’s disease (AD) where structural magnetic resonance imaging (MRI) is collected from individuals at multiple time points, participants may miss a study visit or drop out. Additionally, technical issues such as participant motion in the scanner may result in unusable imaging data at designated visits. Such missing data may hinder the development of high-quality imaging-based biomarkers. Furthermore, when imaging data are unavailable in clinical practice, patients may not benefit from effective application of biomarkers for disease diagnosis and monitoring.
Methods:
To address the problem of missing MRI data in studies of AD, we introduced a novel 3D diffusion model specifically designed for imputing missing structural MRI (Recovery of Missing Neuroimaging using Diffusion models (ReMiND)). The model generates a whole-brain image conditional on a single structural MRI observed at a past visit or conditional on one past and one future observed structural MRI relative to the missing observation.
Results:
Experimental results show that our method can generate high-quality individual 3D structural MRI with high similarity to ground truth, observed images. Additionally, images generated using ReMiND exhibit relatively lower error rates and more accurately estimated rates of atrophy over time in important anatomical brain regions compared with two alternative imputation approaches: forward filling and image generation using variational autoencoders.
Conclusion:
Our 3D diffusion model can impute missing structural MRI data at a single designated visit and outperforms alternative methods for imputing whole-brain images that are missing from longitudinal trajectories.
Keywords: Diffusion model, Missing image imputation, Longitudinal study, Magnetic resonance imaging, Alzheimer’s disease
1. INTRODUCTION
Alzheimer’s disease (AD) is a progressive neurodegenerative disorder characterized by a decline in cognitive abilities, including memory, language and problem-solving abilities [1]. The accurate prediction of progression from normal cognition to mild cognitive impairment (MCI) and subsequently to AD will become increasingly important for patient care and resource allocation as early interventions and treatments for the disease are developed [2]. The diagnosis of AD involves a variety of modalities, including clinical evaluations, neuropsychological testing, biomarker analysis, and brain imaging [2, 3, 4]. Brain imaging techniques, such as magnetic resonance imaging (MRI), can provide information about changes in brain structure or function that occur as AD progresses [5]. MRI feature-based classification and prediction algorithms have a high potential for early detection of characteristic AD patterns in brain structure and activity [6]. In research studies that use repeated longitudinal imaging to measure brain changes over time, planned imaging scans may be missing due to participant dropout, technical issues during image acquisition, or participant unwillingness to undergo imaging, resulting in the absence or incompleteness of imaging data trajectories for some study participants [7, 8]. The study’s validity and power can both be significantly impacted by the effects of missing imaging data.
Longitudinal studies frequently suffer from missing data due to the multiple rounds of data collection over time that increase the chance of nonresponse and participant attrition [9]. In studies of older adults, there is a high risk of missing data due to the susceptibility of this population to physical and cognitive decline, illness, and death [10], which may impact completion of assessments. The presence of missing data poses several challenges for longitudinal studies of AD, such as reducing the sample size overall or disproportionately in the AD-affected group, introducing selection bias, and reducing statistical power for estimating and evaluating the effect of imaging biomarkers [11]. Researchers in AD have made efforts to impute longitudinal missing data by applying various techniques, such as forward filling, linear filling, K-Nearest Neighbor, multiple kernel learning, and recurrent neural networks [7, 12, 13, 14, 15]. However, the majority of existing methods generated image-derived phenotypes (IDPs) rather than imputing the entire missing image. In this work, we employ a diffusion model to generate an entire 3D image conditional on one or more observed images from an individual’s imaging trajectory.
The denoising diffusion probabilistic model (DDPM or diffusion model for short) [16], is a new class of generative models that utilizes a latent variable framework to reverse a diffusion process, wherein Gaussian noise is gradually added to alter the data distribution to the noise distribution. Diffusion models are applied to tasks such as image, audio, and graph production, as well as conditional generation tasks such as in-painting, super-resolution, and picture editing [17]. Diffusion models have demonstrated exceptional performance in various tasks [18, 19, 20, 17] and are well suited to our longitudinal imputation problem in three respects. First, the diffusion model shows promising results when synthesizing natural images and has rivaled state-of-the-art models such as generative adversarial nets and variational autoencoders [21, 22]. Second, diffusion models have more flexible condition configurations to create images conditional on other features [23, 24], while conventional generative models may require additional annotations. Third, the diffusion model has the ability to generate images in the temporal dimension, such as video-related tasks that predict the future frame conditioned on the past frame [25]. Longitudinal MRI image imputation is analogous to image generation in the temporal dimension. To address this, we have developed a novel approach called ReMiND (Rcovery of Missing Neuroimaging with Diffusion models) for 3D MRI imputation in longitudinal studies of AD ReMiND focuses on generating missing images at a designated single visit by conditioning on one or more observed images from other time points. The overall pipeline of the proposed ReMiND approach is illustrated in Fig. 1. The main contributions of this research are as follows:
Figure 1.
Pipeline of the proposed ReMiND model. For model training, ReMiND follows the diffusion process of a DDPM by adding random noise on a designated MRI. Then, ReMiND leverages parameterized neural networks during the denoising process to recover the noise applied, with conditions over past visits or past and following visits. To generate a missing MRI after the model is trained, ReMiND passes random noise through the learned denoising process along with one or more observed images from other time points in a subject’s longitudinal image trajectory. The denoising process is parameterized by UNet-like neural networks, taking the concatenation of conditions and intermediate results as input and predicting the added noise. FC Layer refers to Fully-Connected Layer. Group Norm. refers to Group Normalization, which first aggregates activations into groups by channels and then calculates group-wise normalization. Shortcut connection refers to a branch where the source of the connection will be directly added to the end, which benefits multi-scale modeling and gradient propagation. Residual block means there will be one shortcut connection within this block.
Unlike previous studies that utilized multiple imaging modalities to impute missing imaging data, our work focuses on imputing missing MRI images in the temporal dimension using images from the same modality at other time points, specifically in the context of AD.
We have developed a novel 3D diffusion model specifically designed for MRI image generation. The model effectively preserves global information of the whole MRI image through the incorporation of local-continuous slices. As a result, the model produces high-quality and plausible 3D structural MRIs.
The proposed model imputes the missing 3D MRI images directly rather than imputing 2D slices or image derived phenotypes (IDPs). The availability of imputed whole-brain MRI will allow researchers to derive any summary measures of choice using any software of choice without having to adapt or re-run an imputation procedure specific to a certain IDP or software pipeline.
The proposed model conditions on a limited set of images (either past or both past and following visits) to generate the missing image for each subject, which is specifically tailored for the analysis of longitudinal data.
These developments collectively contribute to the advancement of longitudinal MRI image imputation and analysis techniques for AD research.
2. METHODS
2.1. Denoising Diffusion Probabilistic Models (DDPM)
DDPM [16] is a form of latent variable model that approximates the real data distribution with a diffusion process , and a denoising process parameterized by weights . The diffusion process transmits to a standard normal distribution with a -step Markov chain:
where the observed image is assumed to be a draw from and is a fixed variance schedule. The forward sampling at arbitrary time step is defined as
where and . Then, a denoising process parameterized by weights is leveraged to match the diffusion process at each timestep with the following transition kernel:
where
and are the mean and the variance of the posterior distribution refers to the estimated at timestep
and is a neural network trained to predict noise , e.g., the UNet [26]. The learning objective of DDPM is to optimize the variance bound of which can be simplified as the “noise-prediction” loss as in [16]:
2.2. Recovery of Missing Neuroimaging with Diffusion models (ReMiND)
In this section, we formulate the longitudinal MRI imputation problem as a generation task conditioned on one or more adjacent MRI images of the designated missing visit. For a given subject , we define the longitudinal record of as a set of (Image, Existence) pairs arranged in order of visiting timepoint:
where refers to the number of records contained in if the data were fully observed, i.e., , and refers to the 3D structural MRI image at the -th visit with resolution is the indicator of existence, i.e., means is missing; means exists in the data. Without loss of generality, we assume the r-th image is missing, i.e., , and its adjacent visits exist, i.e., . We impute by taking its adjacent neighbors as conditions:
where refers to the condition over the past visit and refers to the condition over both the past visit and the following visit. is the concatenate operation.
Since we aim to recover missing images from neighboring visits where imaging is available, we formulate the longitudinal imputation method as a conditional image generation task. Specifically, ReMiND aims to approximate the distribution of a missing image, , with a parameterized conditional distribution, . In the form of diffusion and denoising transitions, ReMiND matches with at each timestep , where and or .
To achieve this, the denoising process is re-written as:
where
The diffusion process of ReMiND is the same as a DDPM except we replace the desired data distribution with . In this way, the learning objective of ReMiND is:
| (1) |
Henceforth, we denote the model that only relies on the past visit as ReMiND-P, i.e., , and the model that relies on both the past visit and the following visit as ReMiND-PF, i.e., .
During training, Eq. (1) requires that be recovered from random noise if the condition is given during the denoising process at each timestep. Once the ReMiND model has converged over Eq. (1), will capture the spatial-temporal dynamics across the missing image and its longitudinal neighboring images. Therefore, for imputation, as long as the condition is provided as prior information, the denoising process will gradually generate the desired missing image. In this work, we only consider models that condition on the immediate adjacent visits, i.e., and , since these two conditions represent two commonly encountered missingness patterns in real longitudinal data. Our method can also easily be generalized to impute missing visits that occur within longer visit trajectories, i.e., multiple past/following visits as conditions.
Normally, modeling high-resolution 3D structural MRIs requires high-capacity 3D convolutional neural networks [27, 28]. However, these models are computationally intensive. For instance, the resolution of MRI used in our application is 256 × 256 × 172 voxels, which requires enormous GPU memory for training and is generally computationally infeasible for such models. Furthermore, high-capacity models are known to generalize poorly on small-scale datasets such as those available from AD research studies where the number of study participants and images per participant are limited [29]. Although 2D convolutional networks are likely computationally feasible for AD applications, they can only involve at most two dimensions during computing, which leads to locally non-continuous 3D MRI generations.
In this paper, we mitigate these issues via a parameter-efficient training paradigm by splitting 3D MRIs into uniform local-continuous clips and training 2D convolutional neural networks over these clips. Concretely, for a given 3D structural MRI with the shape of , it has length , width , and height . We split into segments uniformly along the -axis. Each segment has a resolution of . During model training, we first randomly select one image slice with shape , from each segment. Then, we concatenate each selected slice with slices immediately before it and slices immediately after it as the local-continuous clip, which achieves the shape of for each clip. These clips are the basic units for model training and only one clip will be fed into the model at each optimization step. In other words, instead of randomly selecting slices from segments, we construct local-continuous clips by selecting three consecutive slices (i.e., we use ) from each segment. Theoretically, there will be slices for each clip and clips for each 3D MRI. We feed these 3D clips into the model and finally reassemble the outputs into the 3D MRI with the original shape, i.e., .
The reason we construct local-continuous clips in this way is two-fold: 1) slices within each clip are uniformly drawn from all segments across the entire L-axis. It indicates that all clips encompass the global information of the whole 3D MRI, which aids the completeness of generations; 2) combining slices with their immediate neighbors preserves local information and overcomes the insufficient modeling of 2D convolutional networks. In this way, our method yields smooth and continuous 3D images.
3. EXPERIMENTS
3.1. Dataset and Preprocessing
To illustrate the utility of ReMiND, we leverage longitudinal MRI data that are publicly available from the Alzheimer’s Disease Neuroimaging Initiative (ADNI) [30], which was initiated in 2003 with the goal of facilitating the study of AD. In brief, ADNI enrolled participants between the ages of 55 and 90 who were recruited at 57 sites in the United States and Canada. The dataset we use comprises T1-weighted MRI from participants who provided data to ADNI on at least two separate visits between September 2005 and May 2017, with a fixed interval of 6 months between each visit. The sample sizes of each clinical diagnosis that we used for training, validation, and testing are presented in Table 1.
Table 1.
Distribution of observations used for ReMiND-P and ReMiND-PF models overall and stratified by clinical status including cognitively normal (CN), mild cognitive impairment (MCI), and Alzheimer’s disease (AD). Each value is the sample size followed by the percentage of total observations in the corresponding column.
| ReMiND-P | ReMiND-PF | |||||
|---|---|---|---|---|---|---|
| Status | Training | Validation | Testing | Training | Validation | Testing |
|
| ||||||
| CN | 371 (31%) | 47 (31%) | 42 (28%) | 237 (31%) | 31 (32%) | 29 (26%) |
| MCI | 650 (54%) | 78 (52%) | 88 (59%) | 435 (57%) | 54 (55%) | 67 (61%) |
| AD | 188 (l6%) | 26 (17%) | 19 (13%) | 95 (12%) | 13 (13%) | 14 (13%) |
| ALL | 1209 | 151 | 149 | 767 | 98 | 110 |
We pre-processed the T1-weighted images by following the ANTs longitudinal cortical thickness pipeline [31. For each subject, we first built a single-subject template (SST) using all longitudinal images belonging to that subject followed by rigid registration of each image into the SST space. Next, we rigidly registered each SST to a global template and aligned all within-subject images to the global template by applying the warps from the corresponding SST registration. To reduce computational costs, we rescaled each axial slice from 256×256 to 128×128 voxels, resulting in 170×128×128 resolution for each image. Finally, we applied min-max normalization to each image. Since the background voxels in each image have a value of 0, the normalization procedure was considered to be applied exclusively to the voxels within the skull/brain region.
3.2. Experiment Setting
We used T1-weighted MRI from 632 ADNI participants with clinical status classified as: cognitively normal (CN), mild cognitive impairment (MCI), or AD. We performed 10-fold cross-validation for model selection and evaluation. After randomly partitioning the data into 10 equal subsets, each iteration of the 10-fold cross-validation utilized 80% for model training, 10% for model validation, and the remaining 10% for testing. In each iteration, the training set was used for model fitting, the validation set was used to select values for hyperparameters, and the test set was used to evaluate the model’s performance under the optimal set of hyperparameters identified by the validation set. We trained separate imputation models for two settings: (1) the ReMiND-P model imputes a missing image given the most recent past visit, and (2) the ReMiND-PF model imputes a missing image given the most recent past visit and the future visit that follows the missing time point. We simulated missingness in the dataset for this study by manually selecting some visits from the complete data. Specifically, for the ReMiND-P model, every second visit was considered as a missing data point. On the other hand, for the ReMiND-PF model, the middle visit was regarded as missing data among every three observed timepoints. We refer to the selected missing image, which actually exists in the dataset, as the “observed image” in this study.
To assess the performance of the ReMiND models, we first calculated the structural similarity index (SSIM) and the peak signal-to-noise ratio (PSNR) to quantify the proximity of the imputed images to the observed images. SSIM is an algorithm that checks the similarity between two images based on three factors: luminance, contrast, and structure. It is designed to better suit the human visual system and capture perceptual changes in the image. SSIM ranges from −1 to 1, where 1 means perfect similarity [32]. PSNR is a ratio that measures the amount of noise or distortion introduced by compression or reconstruction. It is based on the mean squared error between the two images. The higher the PSNR, the better the quality of the image [33]. We further compared regional brain volumes estimated using two common pipelines: 1) the ANTs longitudinal cortical thickness pipeline [31] and 2) FreeSurfer [34]. We employed the error rate and progression rate as metrics to facilitate the comparison. The error rate, calculated as , compares the volume estimation of a specific region from the imputed image to that from the observed image . Lower error rate indicates better performance. The progression rate, on the other hand, measures the rate of volume decline, reflecting brain atrophy between adjacent visits. For imputed images, the progression rate is computed as . Here, represents the volume of the previous visit, and represents the change in brain volume in imputed images at a specific visit compared to the previous one. Similarly, the progression rate for observed images is . The smaller difference between the progression rate using an observed image and the progression rate using an imputed image signifies better performance.
Furthermore, we studied the relative performance of ReMiND versus two comparator models: naive imputation by forward filling (Naive) and imputation using an autoencoder (AE). The Naive-P model simply predicted all missing images to be the same as the past observed images. The Naive-PF model predicted the missing images by averaging the adjacent past and future images. AE models are widely used for image processing and generation [35, 36, 37, 38]. We trained AE models to take as input the past or past and following visits and then minimize the loss between the output (i.e., imputed image) and the target “missing” MRI. Thus, AE-P refers to taking the past visit as input and AE-PF refers to taking both the past visit and the following visit as input to impute the missing MRI. We additionally compared performance of each imputation method and processing pipeline separately by clinical diagnosis group. However, training utilized data pooled from all groups.
3.3. Implementation Details
We adopted a modified UNet [39] with larger capacity and additional attention blocks. Models were trained in 200,000 steps with Adam [40] as the optimizer. We followed the UNet architecture described in [16] except for the model size, where we adopted the channel multiplier as 64 for ReMiND-P and 128 for ReMiND-PF since ReMiND-PF consists of larger conditions. We trained both ReMiND-P and ReMiND-PF in 200,000 steps with the Adam optimizer [40]. The learning rate was set to 0.0001 and the batch size was set to 16 during the training. We adopted the same U-Net architecture as ReMiND for the AE models. Since the AE models tend to converge easily, we trained the AEs until the loss stopped decreasing (around 20,000 steps) with the learning rate set as 1e-4. All experiments were conducted on servers consisting of one Nvidia RTX 3090 GPU, one Intel i9-12900F CPU, and 32G RAM. PyTorch [41] was used as the deep learning framework in our implementation.
4. RESULTS
4.1. Whole-Brain Imputed Images
To qualitatively evaluate the ReMiND-generated images, we visually compared the imputed images with their corresponding observed images for one subject in Fig. 2. The presented images were generated with the models conditioned on both past and following images, as ReMiND-PF outperformed the ReMiND-P model on the quantitative measures which we will report next. To visually demonstrate the superior performance of the ReMiND-PF method, we display corresponding slices from the images generated using the Naive-PF and AE-PF models. For all methods, images were intentionally generated with the skull on to prioritize flexibility in downstream analyses. That is, researchers working with the imputed image could apply their brain extraction method of choice.
Figure 2.
Qualitative comparison of observed images and imputed T1-weighted MRI which were generated by Naive-PF, AE-PF, and the proposed ReMiND-PF models. The first, third, and fifth rows show the generated images from sagittal, coronal, and axial views, respectively. The second, fourth, and last row shows the error maps of brain voxelwise differences between the observed and generated images. MAE indicates the mean absolute error.
As shown in Fig. 2, images generated with the ReMiND model are visually more similar to the observed images compared to the other two imputation methods. The Naive-PF imputed images have several blurry areas and imprecise skulls due to averaging across rigidly-registered images from different visits. Images imputed using the autoencoder model are marginally better than those generated using the naïve approach but still exhibit undesirable artifacts and fuzzy edges. Compared to the other methods, the ReMiND model generated images with sharper edges and finer anatomical details in critical gray matter regions for this individual. Based on the qualitative comparison in Fig. 2, our method appears to capture important anatomical structures such as the cortical gray matter with high integrity. The differing performance of the three imputation methods is further highlighted by the error images of brain voxel-wise differences between the generated and observed images. The Naive imputation exhibited the largest dissimilarity between observed and imputed images, while ReMiND preserved fine structural details resulting in small voxelwise differences across the brain.
Table 2 quantifies the proximity of the imputed images to the observed images at the target visit, considering images with skull voxels included. Across all clinical statuses, ReMiND models outperformed the Naive and AE models with respect to SSIM and PSNR values. This finding held both when imputing conditional on the past image and conditional on the past and following images. The ReMiND-PF model had both larger SSIM and PSNR than the ReMiND-P model, suggesting the model performs better when more than one time point is available to condition on for imputation. In addition to testing the models on the whole testing dataset, we evaluated the performance of all methods separately amongst groups of subjects categorized as CN, MCI, and AD. We found only minor differences between the all-status group and each clinical status group for both SSIM and PSNR. Our findings suggest that the methods considered can effectively impute missing structural MRI data for patients across the spectrum of clinical severity.
Table 2.
Comparison of model performance averaged across 10 test sets. Performance was measured with structural similarity index (SSIM) and peak signal-to-noise ratio (PSNR) in decibels (dB) on the generated MRI images with skull voxels included in the calculation. Performance was evaluated overall and separately by clinical group (CN, MCI, and AD). P indicates the imputation method conditioned on the most recent past image. PF indicates the imputation method conditioned on both the most recent past image and the closest following image. AE indicates imputation using an autoencoder. Bold values indicate the best performing imputation method for a given clinical diagnosis group within the P or PF condition.
| Model | Images | CN | MCI | AD | ALL |
|---|---|---|---|---|---|
|
| |||||
| SSIM (higher=better) | |||||
|
| |||||
| Naive-P | w/ skull | 0.705 ± 0.032 | 0.710 ± 0.013 | 0.747 ± 0.026 | 0.714 ± 0.015 |
| AE-P | w/ skull | 0.730 ± 0.010 | 0.725 ± 0.015 | 0.735 ± 0.017 | 0.728 ± 0.011 |
| ReMiND-P | w/ skull | 0.850 ± 0.010 | 0.848 ± 0.006 | 0.850 ± 0.011 | 0.850 ± 0.007 |
| Naive-PF | w/ skull | 0.702 ± 0.061 | 0.695 ± 0.026 | 0.707 ± 0.016 | 0.701 ± 0.014 |
| AE-PF | w/ skull | 0.728 ± 0.006 | 0.739 ± 0.018 | 0.746 ± 0.016 | 0.737 ± 0.013 |
| ReMiND-PF | w/ skull | 0.886 ± 0.010 | 0.899 ± 0.010 | 0.900 ± 0.004 | 0.895 ± 0.002 |
|
| |||||
| PSNR (dB) (higher=better) | |||||
|
| |||||
| Naive-P | w/ skull | 22.169 ± 1.253 | 22.364 ± 0.551 | 23.704 ± 1.413 | 22.503 ± 0.692 |
| AE-P | w/ skull | 25.013 ± 0.274 | 24.630 ± 0.442 | 24.837 ± 0.617 | 24.780 ± 0.319 |
| ReMiND-P | w/ skull | 27.182 ± 0.549 | 26.939 ± 0.171 | 27.455 ± 0.966 | 27.101 ± 0.285 |
| Naive-PF | w/ skull | 22.241 ± 2.691 | 22.112 ± 0.851 | 22.267 ± 0.280 | 22.255 ± 0.682 |
| AE-PF | w/ skull | 24.805 ± 0.227 | 24.907 ± 0.343 | 25.002 ± 0.139 | 24.890 ± 0.273 |
| ReMiND-PF | w/ skull | 29.192 ± 0.608 | 28.870 ± 0.455 | 28.819 ± 0.833 | 28.956 ± 0.406 |
The results for images without the skull are provided in supplementary material Table A.5. SSIM and PSNR values were higher when computed on brain images without skull voxels compared to images with the skull included. This is likely due to across-subject heterogeneity in extra-cerebral voxels that display the neck and facial features. Since extra-cerebral regions are not important for studying the effects of AD in the brain over time, evaluation of ReMiND and other methods should focus on metrics with the skull removed.
4.2. Evaluation of Volumetric Features Extracted from Generated Images
We evaluated the performance of the proposed ReMiND models with respect to volumetric features extracted using the longitudinal ANTs volume-based cortical thickness estimation pipeline [42] and FreeSurfer’s pipeline [34]. Results are presented in Table 3. We primarily focused on 28 cortical regions that have been shown to be associated with AD pathology in the brain. Detailed region names are provided in the supplementary material Table A.4. Results in Table 3 are based on the average across these 28 regions and are also averaged across the 10 testing sets.
Table 3.
Comparison of the test performance of imputation methods with respect to volumetric features extracted from whole-brain imputed images. Results were averaged across the 10 test sets and averaged across all cortical regions defined by the Desikan-Killiany-Tourville atla. Lower error rate indicates better performance. The values in () are differences between the observed progression rate (using observed images at both time points) and the estimated progression rate using the imputed image at the latter time point. Lower difference means better performance. P indicates past image. PF indicates past and following images. The best test results across all methods and models are bolded.
| Models | Error Rate (ANTs) | Error Rate (FreeSurfer) | Progression Rate (ANTs) | Progression Rate (FreeSurfer) |
|---|---|---|---|---|
|
| ||||
| Naive-P | 0.0310 ± 0.0028 | 0.1877 ± 0.0033 | 0 | 0 |
| (–) | (–) | |||
| AE-P | 0.0284 ± 0.0002 | 0.1078 ± 0.0004 | 0.0422 ± 0.0038 | 0.1358 ± 0.0030 |
| (−0.0121) | (−0.1328) | |||
| ReMiND-P | 0.0228 ± 0.0003 | 0.0892 ± 0.0029 | 0.0361 ± 0.0033 | 0.1024 ± 0.0004 |
| (−0.006) | (−0.051) | |||
| Naïve-PF | 0.0218 ± 0.0009 | 0.1393 ± 0.0032 | 0.0365 ± 0.0012 | 0.1842 ± 0.0031 |
| (−0.0157) | (−0.1332) | |||
| AE-PF | 0.0192 ± 0.0008 | 0.0937 ± 0.0019 | 0.0231 ± 0.0009 | 0.0949 ± 0.0013 |
| (−0.0023) | (−0.0439) | |||
| ReMiND-PF | 0.0178 ± 0.0002 | 0.0509 ± 0.0003 | 0.0226 ± 0.0006 | 0.0872 ± 0.0018 |
| (−0.0017) | (−0.0362) | |||
We found the error rates were lower for PF models compared to P models across all three methods (Naive, AE, and ReMiND). These results suggest models that condition on past and following images perform better at the task of generating accurate missing MRI images at the designated visits, which is likely explained by the additional information of the subsequent observed image. Under each experiment setting (P and PF), ReMiND models have the lowest error rates compared with two comparator methods, and the Naive method had the highest error rates. Furthermore, ANTs-based error rates were lower across all methods and experimental settings compared to FreeSurfer which is an expected finding based on previous work [42].
The progression rates for Naive-P model are all zero in Table 3 because the Naive-P model generates the missing image simply by carrying forward the past image. The ReMiND-P model had lower differences in observed and imputed progression than AE-P using both the ANTs and FreeSurfer pipelines. Furthermore, ReMiND-PF models exhibited the lowest differences between the observed and imputed progression rates for both volume estimation pipelines. FreeSurfer-based differences were larger than ANTs-based differences in progression rates.
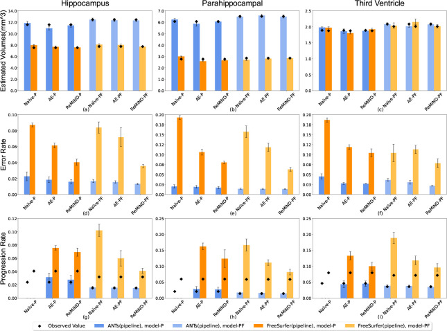
In addition to results averaged across all 28 prioritized brain regions, we report results from the hippocampus, parahippocampal region, and the third ventricle individually in Fig. 3. The figure displays total estimated volume (in mm3), error rate, and progression rate for all imputation methods and both P and PF models. All results were averaged across 10 test sets. Not surprisingly, the performance reflects the results in Table 3. ReMiND models outperform both comparator imputation approaches. Specifically, Fig. 3 (panels a-c) shows that ReMiND models exhibit smaller discrepancies between the estimated and observed values compared to Naive and AE models. Fig. 3 (panels d-f) demonstrates that ReMiND-generated images have the lowest error rates across methods, particularly when the FreeSurfer pipeline is used to extract the volumes. The third row of Fig. 3 (panels g-i) demonstrates that the ReMiND-P and ReMiND-PF models produce the smallest differences between imputed and observed progression rates across imputation methods. Although the estimated volumes may not exhibit significant visual distinctions, the observed differences in error rate and progression rates in the plot are primarily influenced by the difference between the estimated and observed values for each method.
Figure 3.
Comparison of volumetric features for three brain regions estimated on observed MRI images and MRI images generated from naive imputation, autoencoder, and ReMiND models. Results were averaged across 10 test sets. Error bars show standard errors across test sets. Estimated Volumes compare the observed volumes (represented as black diamond) and the volumes estimated from images generated with different models in panels a-c. Panels d-f present the comparison of error rates, where a lower value indicates better performance. In panels g-i, the progression rate is depicted using imputed images through bars, while the progression rate using observed images is represented by black diamonds. The volumes were estimated and compared with ANTs and FreeSurfer pipelines. P indicates the past image. PF indicates past and following images.
5. CONCLUSIONS
In this study, we introduced an innovative diffusion model-based framework for 3D longitudinal structural MRI imputation with an aim to generate missing 3D brain images at a specific single visit. To achieve this, the 3D image is partitioned into uniform local-continuous clips, with each clip consisting of three consecutive slices of the MRI image. Notably, our method distinguishes itself from conventional approaches by employing sets of 3D clips as input, thereby enhancing the proposed model’s ability to capture comprehensive global information from the entire MRI dataset during the training phase. The model utilizes single past or both past and following visits in the temporal direction to impute missing structural MRIs. Experimental results showed that our model consistently outperformed two comparator techniques: last image carried forward (i.e., forward filling) and imputation using an autoencoder. The comparison of similarity metrics highlighted our proposed model’s ability to accurately generate high-quality images for imputing missingness. We compared the volumes of a set of image derived phenotypes (IDPs) estimated from the generated and observed images using two different pipelines (ANTs and FreeSurfer). The relatively low error rates and accurately estimated rates of change in volume over time demonstrated that our proposed models can generate plausible whole-brain, 3D structural MRI data. Importantly, by imputing full 3D images rather than IDPs directly, researchers can flexibly utilize the imputed images in downstream statistical or predictive models, including using the generated images for further imputation of missing data in the temporal dimension. The proposed models alos has the potential to be beneficial for generating missing data in various other medical imaging contexts.
Across all experiments, the ReMiND-PF model, which conditioned on both past and future visits, outperformed the ReMiND-P model which solely relied on the past timepoint. This may be due to the ReMiND-PF model’s use of more information to generate images, highlighting the importance of quantity and quality of available information for imputing missingness. We evaluated the performance of the models on each clinical status group (CN, MCI, AD) and a combined all-status group and found that both ReMiND-P and ReMiND-PF performed well in all scenarios.
One limitation of our study lies in the utilization of either a single past image or both past and following images as conditional information for missingness imputation while ensuring a 6-month interval between consecutive visits. Future investigations could involve expanding the approach to incorporate multiple images with diverse visit interval timing. Additionally, there is potential for further research on downstream analyses, such as using the imputed imaging trajectories to develop models that predict the progression of Alzheimer’s disease.
Acknowledgments
Research reported in this publication was supported by the National Institutes of Health under award number R21AG075574. The content is solely the responsibility of the authors and does not necessarily represent the official views of the National Institutes of Health. Data collection and sharing for this project was funded by the Alzheimer’s Disease Neuroimaging Initiative (ADNI) (National Institutes of Health Grant U01 AG024904) and DOD ADNI (Department of Defense award number W81XWH-12-2-0012).
Funding Information:
NIA, Grant/Award Numbers: R21AG075574.
Appendix A. Supplementary Material
Table A.4.
The 28 regions on the cortical surface of the brain.
| Amygdala | Pallidum |
| Caudal Anterior Cingulate | Paracentral |
| Caudal Middle Frontal | Parahippocampal |
| Entorhinal | Pars Orbitalis |
| Fourth Ventricle | Pars Triangularis |
| Hippocampus | Posterior Cingulate |
| Inferior Lateral Ventricle | Rostral Anterior Cingulate |
| Inferior Parietal | Rostral Middle Frontal |
| Inferior temporal | Superior Frontal |
| Insula | Superior Parietal |
| Isthmus Cingulate | Superior Temporal |
| Lateral Ventricle | Thalamus |
| Medial Orbitofrontal | Third Ventricle |
| Middle Temporal | Transverse Temporal |
Table A.5.
Comparison of model performance averaged across 10 test sets. Performance was measured with structural similarity index (SSIM) and peak signal-to-noise ratio (PSNR) in decibels (dB) on the generated MRI images with the skull removed (i.e., voxels within the group template brain mask only). Performance was evaluated overall and separately by clinical group (CN, MCI, and AD). P indicates the imputation method conditioned on the most recent past image. PF indicates the imputation method conditioned on both the most recent past image and the closest following image. AE indicates imputation using an autoencoder. Bold values indicate the best performing imputation method for a given clinical diagnosis group within the P or PF condition.
| Model | Images | CN | MCI | AD | ALL |
|---|---|---|---|---|---|
|
| |||||
| SSIM (higher=better) | |||||
|
| |||||
| Naive-P | skull removed | 0.899 ± 0.015 | 0.899 ± 0.005 | 0.914 ± 0.007 | 0.901 ± 0.005 |
| AE-P | skull removed | 0.913 ± 0.008 | 0.912 ± 0.006 | 0.911 ± 0.002 | 0.912 ± 0.006 |
| ReMiND-P | skull removed | 0.974 ± 0.003 | 0.974 ± 0.001 | 0.974 ± 0.002 | 0.974 ± 0.001 |
| Naive-PF | skull removed | 0.894 ± 0.025 | 0.886 ± 0.013 | 0.893 ± 0.008 | 0.890 ± 0.006 |
| AE-PF | skull removed | 0.919 ± 0.006 | 0.914 ± 0.0002 | 0.916 ± 0.005 | 0.916 ± 0.002 |
| ReMiND-PF | skull removed | 0.984 ± 0.002 | 0.982 ± 0.0004 | 0.983 ± 0.0009 | 0.983 ± 0.0002 |
|
| |||||
| PSNR (dB) (higher=better) | |||||
|
| |||||
| Naive-P | skull removed | 22.868 ± 0.754 | 24.644 ± 0.713 | 23.217 ± 0.632 | 23.217 ± 0.632 |
| AE-P | skull removed | 25.911 ± 0.768 | 26.820 ± 0.314 | 26.962 ± 0.660 | 26.962 ± 0.660 |
| ReMiND-P | skull removed | 29.078 ± 0.781 | 28.908 ± 0.458 | 28.824 ± 0.651 | 28.960 ± 0.434 |
| Naive-PF | skull removed | 23.743 ± 2.957 | 22.537 ± 1.353 | 23.457 ± 1.026 | 23.097 ± 0.571 |
| AE-PF | skull removed | 27.040 ± 0.590 | 26.613 ± 0.100 | 27.954 ± 0.662 | 27.792 ± 0.232 |
| ReMiND-PF | skull removed | 31.786 ± 0.399 | 31.175 ± 0.218 | 31.857 ± 0.343 | 31.449 ± 0.090 |
Footnotes
Conflict of Intetersts
Dr. Hubbard reports grant funding from Pfizer, Merck and Johnson & Johnson. The other authors report no conflicts of interest.
References
- [1].Strooper Bart De and Karran Eric. The cellular phase of alzheimer’s disease. Cell, 164(4):603–615, 2016. [DOI] [PubMed] [Google Scholar]
- [2].Angelica I Aviles-Rivero Christina Runkel, Papadakis Nicolas, Kourtzi Zoe, and Carola-Bibiane Schönlieb. Multi-modal hypergraph diffusion network with dual prior for alzheimer classification. In Medical Image Computing and Computer Assisted Intervention–MICCAI 2022: 25th International Conference, Singapore, September 18–22, 2022, Proceedings, Part III, pages 717–727. Springer, 2022. [Google Scholar]
- [3].Robert M Chapman Mark Mapstone, Porsteinsson Anton P, Gardner Margaret N, McCrary John W, DeGrush Elizabeth, Reilly Lindsey A, Sandoval Tiffany C, and Guillily Maria D. Diagnosis of alzheimer’s disease using neuropsychological testing improved by multivariate analyses. Journal of Clinical and Experimental Neuropsychology, 32(8):793–808, 2010. [DOI] [PMC free article] [PubMed] [Google Scholar]
- [4].Petersen Eike, Feragen Aasa, Zemsch Maria Luise da Costa, Henriksen Anders, Christensen Oskar Eiler Wiese, Ganz Melanie, and Initiative Alzheimer’s Disease Neuroimaging. Feature robustness and sex differences in medical imaging: A case study in mri-based alzheimer’s disease detection. In Medical Image Computing and Computer Assisted Intervention–MICCAI 2022: 25th International Conference, Singapore, September 18–22, 2022, Proceedings, Part I, pages 88–98. Springer, 2022. [Google Scholar]
- [5].Oostveen Wieke M van and Lange Elizabeth CM de. Imaging techniques in alzheimer’s disease: a review of applications in early diagnosis and longitudinal monitoring. International journal of molecular sciences, 22(4):2110, 2021. [DOI] [PMC free article] [PubMed] [Google Scholar]
- [6].Arnold Ludovic, Rebecchi Sébastien, Chevallier Sylvain, and Hélène Paugam-Moisy. An introduction to deep learning. In European Symposium on Artificial Neural Networks (ESANN), 2011. [Google Scholar]
- [7].Campos Sergio, Pizarro Luis, Valle Carlos, Katherine R Gray Daniel Rueckert, and Allende Héctor. Evaluating imputation techniques for missing data in adni: a patient classification study. In Progress in Pattern Recognition, Image Analysis, Computer Vision, and Applications: 20th Iberoamerican Congress, CIARP 2015, Montevideo, Uruguay, November 9–12, 2015, Proceedings 20, pages 3–10. Springer, 2015. [Google Scholar]
- [8].Raymond Y Lo and Jagust William J. Predicting missing biomarker data in a longitudinal study of alzheimer disease. Neurology, 78(18):1376–1382,2012. [DOI] [PMC free article] [PubMed] [Google Scholar]
- [9].Ibrahim Joseph G and Molenberghs Geert. Missing data methods in longitudinal studies: a review. Test, 18(1):1–43, 2009. [DOI] [PMC free article] [PubMed] [Google Scholar]
- [10].Susan E Hardy Heather Allore, and Stephanie A Studenski. Missing data: a special challenge in aging research. Journal of the American Geriatrics Society, 57(4):722–729, 2009. [DOI] [PMC free article] [PubMed] [Google Scholar]
- [11].Joseph G Ibrahim Haitao Chu, and Chen Ming-Hui. Missing data in clinical studies: issues and methods. Journal of clinical oncology, 30(26):3297, 2012. [DOI] [PMC free article] [PubMed] [Google Scholar]
- [12].Junninen Heikki, Niska Harri, Tuppurainen Kari, Ruuskanen Juhani, and Kolehmainen Mikko. Methods for imputation of missing values in air quality data sets. Atmospheric environment, 38(18):2895–2907, 2004. [Google Scholar]
- [13].Lipton Zachary C, Kale David C, Wetzel Randall, et al. Modeling missing data in clinical time series with rnns. Machine Learning for Healthcare, 56:253–270, 2016. [Google Scholar]
- [14].Nguyen Minh, He Tong, An Lijun, Alexander Daniel C, Feng Jiashi, Yeo BT Thomas, Initiative Alzheimer’s Disease Neuroimaging, et al. Predicting alzheimer’s disease progression using deep recurrent neural networks. NeuroImage, 222:117203, 2020. [DOI] [PMC free article] [PubMed] [Google Scholar]
- [15].Zhu Xiaofeng, Thung Kim-Han, Adeli Ehsan, Zhang Yu, and Shen Dinggang. Maximum mean discrepancy based multiple kernel learning for incomplete multimodality neuroimaging data. In Medical Image Computing and Computer Assisted Intervention–MICCAI 201%: 20th International Conference, Quebec City, QC, Canada, September 11–13, 2017, Proceedings, Part III, pages 72–80. Springer, 2017. [DOI] [PMC free article] [PubMed] [Google Scholar]
- [16].Ho Jonathan, Jain Ajay, and Abbeel Pieter. Denoising diffusion probabilistic models. Advances in Neural Information Processing Systems, 33:6840–6851, 2020. [Google Scholar]
- [17].Xie Yutong and Li Quanzheng. Measurement-conditioned denoising diffusion probabilistic model for under-sampled medical image reconstruction. In Medical Image Computing and Computer Assisted Intervention–MICCAI 2022: 25th International Conference, Singapore, September 18–22, 2022, Proceedings, Part VI, pages 655–664. Springer, 2022. [Google Scholar]
- [18].Peng Cheng, Guo Pengfei, Zhou S Kevin, Patel Vishal M, and Chellappa Rama. Towards performant and reliable undersampled mr reconstruction via diffusion model sampling. In Medical Image Computing and Computer Assisted Intervention–MICCAI 2022: 25th International Conference, Singapore, September 18–22, 2022, Proceedings, Part VI, pages 623–633. Springer, 2022. [Google Scholar]
- [19].Pinaya Walter HL, Graham Mark S, Gray Robert, Costa F Da, Petru-Daniel Tudosiu, Wright Paul, Mah Yee H, MacKinnon Andrew D, Teo James T, Jager Rolf, et al. Fast unsupervised brain anomaly detection and segmentation with diffusion models. In Medical Image Computing and Computer Assisted Intervention–MICCAI 2022: 25th International Conference, Singapore, September 18–22, 2022, Proceedings, Part VIII, pages 705–714. Springer, 2022. [Google Scholar]
- [20].Wolleb Julia, Bieder Florentin, Sandkühler Robin, and Cattin Philippe C. Diffusion models for medical anomaly detection. In Medical Image Computing and Computer Assisted Intervention–MICCAI 2022: 25th International Conference, Singapore, September 18–22, 2022, Proceedings, Part VIII, pages 35–45. Springer, 2022. [Google Scholar]
- [21].Goodfellow Ian, Jean Pouget-Abadie Mehdi Mirza, Xu Bing, David Warde-Farley Sherjil Ozair, Courville Aaron, and Bengio Yoshua. Generative adversarial networks. Communications of the ACM, 63(11):139–144, 2020. [Google Scholar]
- [22].Kingma Diederik P and Welling Max. Auto-encoding variational bayes. arXiv preprint arXiv:1312.6114, 2013. [Google Scholar]
- [23].Ho Jonathan and Salimans Tim. Classifier-free diffusion guidance. In NeurIPS 2021 Workshop on Deep Generative Models and Downstream Applications, 2021. [Google Scholar]
- [24].Rombach Robin, Blattmann Andreas, Lorenz Dominik, Esser Patrick, and Ommer Björn. High-resolution image synthesis with latent diffusion models. In Proceedings of the IEEE/CVF Conference on Computer Vision and Pattern Recognition, pages 10684–10695, 2022. [Google Scholar]
- [25].Voleti Vikram, Jolicoeur-Martineau Alexia, and Christopher Pal. Masked conditional video diffusion for prediction, generation, and interpolation. arXiv preprint arXiv:2205.09853, 2022. [Google Scholar]
- [26].Ronneberger Olaf, Fischer Philipp, and Brox Thomas. U-net: Convolutional networks for biomedical image segmentation. In Medical Image Computing and Computer-Assisted Intervention–MICCAI 2015: 18th International Conference, Munich, Germany, October 5–9, 2015, Proceedings, Part III 18, pages 234–241. Springer, 2015. [Google Scholar]
- [27].Kopuklu Okan, Kose Neslihan, Gunduz Ahmet, and Rigoll Gerhard. Resource efficient 3d convolutional neural networks. In Proceedings of the IEEE/CVF International Conference on Computer Vision Workshops, pages 0–0, 2019. [Google Scholar]
- [28].Ji Shuiwang, Xu Wei, Yang Ming, and Yu Kai. 3d convolutional neural networks for human action recognition. IEEE transactions on pattern analysis and machine intelligence, 35(1):221–231, 2012. [DOI] [PubMed] [Google Scholar]
- [29].Zhai Xiaohua, Kolesnikov Alexander, Houlsby Neil, and Beyer Lucas. Scaling vision transformers. In Proceedings of the IEEE/CVF Conference on Computer Vision and Pattern Recognition, pages 12104–12113, 2022. [Google Scholar]
- [30].Jack Clifford R Jr, Bernstein Matt A, Fox Nick C, Thompson Paul, Alexander Gene, Harvey Danielle, Borowski Bret, Britson Paula J, Whitwell Jennifer L., Ward Chadwick, et al. The alzheimer’s disease neuroimaging initiative (adni): Mri methods. Journal of Magnetic Resonance Imaging: An Official Journal of the International Society for Magnetic Resonance in Medicine, 27(4):685–691, 2008. [DOI] [PMC free article] [PubMed] [Google Scholar]
- [31].Tustison Nicholas J, Holbrook Andrew J, Avants Brian B, Roberts Jared M, Cook Philip A, Reagh Zachariah M, Duda Jeffrey T, Stone James R, Gillen Daniel L, Yassa Michael A, et al. Longitudinal mapping of cortical thickness measurements: An alzheimer’s disease neuroimaging initiative-based evaluation study. Journal of Alzheimer’s Disease, 71(1):165–183, 2019. [DOI] [PMC free article] [PubMed] [Google Scholar]
- [32].Wang Ting-Chun, Liu Ming-Yu, Zhu Jun-Yan, Tao Andrew, Kautz Jan, and Catanzaro Bryan. High-resolution image synthesis and semantic manipulation with conditional gans. In Proceedings of the IEEE conference on computer vision and pattern recognition, pages 8798–8807, 2018. [Google Scholar]
- [33].Hore Alain and Ziou Djemel. Image quality metrics: Psnr vs. ssim. In 2010 20th international conference on pattern recognition, pages 2366–2369. IEEE, 2010. [Google Scholar]
- [34].Fischl Bruce. Freesurfer. Neuroimage, 62(2):774–781, 2012. [DOI] [PMC free article] [PubMed] [Google Scholar]
- [35].Baur Christoph, Denner Stefan, Wiestler Benedikt, Navab Nassir, and Albarqouni Shadi. Autoencoders for unsupervised anomaly segmentation in brain mr images: a comparative study. Medical Image Analysis, 69:101952, 2021. [DOI] [PubMed] [Google Scholar]
- [36].Myronenko Andriy. 3d mri brain tumor segmentation using autoencoder regularization. In Brainlesion: Glioma, Multiple Sclerosis, Stroke and Traumatic Brain Injuries: 4th International Workshop, BrainLes 2018, Held in Conjunction with MICCAI 2018, Granada, Spain, September 16, 2018, Revised Selected Papers, Part II 4, pages 311–320. Springer, 2019. [Google Scholar]
- [37].Zhao Yu, Dong Qinglin, Chen Hanbo, Iraji Armin, Li Yujie, Makkie Milad, Kou Zhifeng, and Liu Tianming. Constructing fine-granularity functional brain network atlases via deep convolutional autoencoder. Medical image analysis, 42:200–211, 2017. [DOI] [PMC free article] [PubMed] [Google Scholar]
- [38].Xia Tian, Chartsias Agisilaos, Wang Chengjia, Tsaftaris Sotirios A, Initiative Alzheimer’s Disease Neuroimaging, et al. Learning to synthesise the ageing brain without longitudinal data. Medical Image Analysis, 73:102169, 2021. [DOI] [PubMed] [Google Scholar]
- [39].Dhariwal Prafulla and Nichol Alexander. Diffusion models beat gans on image synthesis. Advances in Neural Information Processing Systems, 34:8780–8794, 2021. [Google Scholar]
- [40].Kingma Diederik P and Jimmy Ba. Adam: A method for stochastic optimization. International Conference on Learning Representations (ICLR), 2015. [Google Scholar]
- [41].Paszke Adam, Gross Sam, Massa Francisco, Lerer Adam, Bradbury James, Chanan Gregory, Killeen Trevor, Lin Zeming, Gimelshein Natalia, Antiga Luca, Desmaison Alban, Kopf Andreas, Yang Edward, Zachary DeVito Martin Raison, Tejani Alykhan, Chilamkurthy Sasank, Steiner Benoit, Fang Lu, Bai Junjie, and Chintala Soumith. Pytorch: An imperative style, high-performance deep learning library. In Advances in Neural Information Processing Systems 32, pages 8024–8035. Curran Associates, Inc., 2019. [Google Scholar]
- [42].Tustison Nicholas J, Cook Philip A, Klein Arno, Song Gang, Das Sandhitsu R, Duda Jeffrey T, Kandel Benjamin M, Strien Niels van, Stone James R, Gee James C, et al. Large-scale evaluation of ants and freesurfer cortical thickness measurements. Neuroimage, 99:166–179, 2014. [DOI] [PubMed] [Google Scholar]



