Abstract
The transitions between sitting and standing have a high physical and coordination demand, frequently causing falls in older individuals. Rollators, or four-wheeled walkers, are often prescribed to reduce lower-limb load and to improve balance but have been found a fall risk. This study investigated how rollator support affects sit-to-stand and stand-to-sit movements. Twenty young participants stood up and sat down under three handle support conditions (unassisted, light touch, and full support). As increasing task demands may affect coordination, a challenging floor condition (balance pads) was included. Full-body kinematics and ground reaction forces were recorded, reduced in dimensionality by principal component analyses, and clustered by k-means into movement strategies. Rollator support caused the participants to switch strategies, especially when their balance was challenged, but did not lead to support-specific strategies, i.e., clusters that only comprise light touch or full support trials. Three strategies for sit-to-stand were found: forward leaning, hybrid, and vertical rise; two in the challenging condition (exaggerated forward and forward leaning). For stand-to-sit, three strategies were found: backward lowering, hybrid, and vertical lowering; two in the challenging condition (exaggerated forward and forward leaning). Hence, young individuals adjust their strategy selection to different conditions. Future studies may apply this methodology to older individuals to recommend safe strategies and ultimately reduce falls.
Subject terms: Geriatrics, Quality of life, Therapeutics, Biomedical engineering, Computational neuroscience, Learning and memory, Motor control, Sensorimotor processing, Somatosensory system
Introduction
Falls are the leading cause of unintentional injuries in older individuals, often causing hospitalization and death1–3. Approximately 30% of individuals over 65 years old fall at least once a year4,5.
Risk factors include lower-body weakness and impaired balance3,6,7. Rollators, or four-wheeled walkers, are often prescribed for patients needing gait assistance8 to reduce lower-limb loading, compensate for weakness and injury, and improve balance8–10. They aim to empower the residual motor capacities and facilitate natural locomotion11. Rollator users can shift the load from the lower body to the upper body12 and increase their base of support by using the handles as additional contact points8. However, rollators paradoxically have also been found to be a risk factor for falls6,8. It is not yet clear what underlies the increased fall risk and how rollator usage affects movement coordination during different tasks13, as evaluations of rollator usage have been mostly limited to spatiotemporal parameters during walking13. Furthermore, a recent review points to a lack of data on gait aid prescription relative to fall risk or balance performance in older individuals14.
To start walking, we often need to stand up from a sitting position and sit down afterward. Hence, standing up and sitting down are fundamental tasks in daily life essential for mobility. Indeed, non-disabled adults stand up 60–100 times a day15,16. Devices like sit-to-stand lifts, rails, and exoskeletons are available to provide specific assistance with standing up17. But these devices have disadvantages, such as being expensive and needing installation, space, batteries, and power outlets17. Thus, in many situations, individuals may want or need to use a rollator to stand up and sit down. However, the transitions between standing and sitting are complex. Difficulties standing up correlate with the risk of falling18 and increase the need for assistance19, leading to reduced independence and earlier institutionalization20. Studies in residential aged care facilities report that 21–41% of falls happen during transfers21–23. Lehtola et al.24 reported the second-highest fall risk for sit-to-stand and stand-to-sit transfers in home-dwelling adults over 85 years.
Transitioning between sitting and standing becomes more demanding with increasing age, mostly due to changes in muscle composition and a decline in motor control25,26. Knee and hip extension muscles provide less force to stand up27, and knee extensor activity correlates with stability in sitting down25. Transitions between sitting and standing require the simultaneous, coordinated motion of the lower extremities and the upper body28,29. Standing up means shifting the center of mass (CoM) from above the buttocks to above the feet by hip flexion and anterior movement of the head-arms-trunk segment, followed by rising through the extension of the hips, knees, and ankles28–32. This poses a challenge to balancing as the body transfers from a stable seated position with three contact points (feet and buttocks) through an unstable, dynamic movement with the CoM outside the base of support to standing, where the base of support is smaller, the CoM is higher, and only two contact points are used15,33,34. Sitting down requires a balanced and smooth transition of the CoM from above the feet onto the chair seat. However, sitting down cannot be assumed to be simply the opposite of standing up35. Sitting down is performed with—rather than against—gravity, and the transition phase begins with a trunk flexion while standing, which is a less stable position than sitting35. Thus, three questions arise on how these complex movements are executed and if rollator use can improve the transition between sitting and standing.
First, for standing up, individuals have been observed to use different strategies: (1) leaning or sliding forward, (2) upper body flexion, (3) moving the feet backward, and (4) pushing through the arms on armrests33,36–38. When the feet remain parallel and unchanged throughout standing up, two main strategies were observed: (1) the forward leaning, or momentum transfer strategy, and (2) the (dominant) vertical rise strategy, which has also been called the force control strategy33,37,39,40. With the forward leaning strategy, individuals use the upper body to generate forward momentum, which is smoothly transferred to mostly vertical momentum after seat-off by extending the knees and hips28,39,41. Thereby, as the thorax, abdomen, and pelvis rotate in the same direction during the forward lean, energy is transferred from the thorax to the thigh (mechanical energy flow39,42). As a result, knee torque is reduced43 compared to a rise solely by lower-body muscles (vertical rise strategy). In the latter, the trunk stays relatively vertical throughout the movement33,44, and the CoM shows only anterior and upward movement39 but no downward movement before it rises. The forward leaning strategy has generally been said to be the most efficient strategy for healthy individuals, as demonstrated in various studies43. It is especially efficient, such that it reduces the knee torque compared to rising without the help of upper body momentum39,43. Enough muscle strength in the knee extensors is one of the most dominant factors for a successful transfer45. A rollator may help individuals use the advantageous forward leaning strategy, with less force required, and still perform the movement safely.
Secondly, as described earlier, sitting down is also a complex movement and cannot be assumed to be simply the opposite of standing up35. It is, therefore, even more surprising that sitting down has been little described in the biomechanical literature35,37, let alone when using a rollator. Possibly, there are different strategies for sitting down, which may also be influenced by rollator use.
Thirdly, observational studies have often described arm use in transitioning between sitting and standing46. However, arm movement is rarely described in biomechanical analyses since these are mostly restricted for standardization purposes37,40. Yet, arm swing or push might play a vital role in easing the generation of horizontal and vertical momentum47. Indeed, Wretenberg et al.48 found a 44% and 34% reduction in hip and knee load, respectively, when their participants could push on armrests. Aging muscles often weaken49,50, meaning that 50% of healthy older individuals cannot stand up without using their arms if the seat is at knee height51. This makes armrests a necessity. Hence, arms play a major role in generating propulsive forces during standing up, which can compensate for deficits in lower body strength48,52,53. Also, the additional contact point of the hands helps maintain balance52,54 through somatosensory input by a tactile or proprioceptive haptic cue8,55,56. In walking and standing, it has been shown that touching a plate or railing with the fingertip improves balance rather than offering mechanical support when allowing strong interaction forces57,58. In support, van der Kruk et al.59 recently observed that the preference of arm use is likely related to the perception of stability and the fear of falling. Thus, rollator handles could greatly simplify standing up and sitting down via mechanical and/or proprioceptive support. However, the few studies that include arms in a biomechanical analysis used armrests rather than rollator handles. Armrests are low and directly lateral to the trunk when sitting, in contrast to anterior-lateral and high as with a rollator48,54,60. Our previous study61 found that movement stability (i.e., CoPfeet-length, duration) was enhanced by full rollator support in standing up and sitting down. However, the strategies individuals use when arm support is given are not yet known. Potentially, there exist strategies which make transitions manageable and safe.
This study’s purpose was to investigate how rollator support affects strategies for sit-to-stand and stand-to-sit movements. We aimed to identify the strategies used when the rollator usage level changes from no assistance to light touching (supposed proprioceptive cue) and full support (supposed load reduction). Due to the lack of biomechanical studies on movement strategies during standing up and sitting down and the heterogeneity in the physical status of older individuals, this first study investigated non-disabled young adults. As older individuals often struggle with balance, we added a balancing aspect to make the transitions challenging. To mimic age-related balance problems, icy water or convex lenses have been used62, and for aging suits, a foam material is glued to the bottom of shoes to create imbalance63. There is agreement that proprioception signals from leg muscles provide an essential source of information for postural control64,65. Hence, we aimed to trigger the proprioceptive component, focusing more generally on postural instability, which can result in falls and injuries64. Therefore, we used balance pads in addition to the normal floor condition.
We hypothesized that (1) individuals switch their strategy depending on the level of rollator assistance, (2) we would find specific strategies for (2a) the different degrees of rollator assistance, and (2b) floor condition.
Materials and methods
We used the same raw and pre-processed data described in our previously-published article61. All steps after pre-processing (“Data processing”) are novel in this article.
Participants
Ten females and ten males (25.5 ± 3.8 years, 1.71 ± 0.08 m height, 67.6 ± 10.9 kg mass) participated in the study and gave written informed consent before participation. The number of participants was selected based on comparable, recent biomechanical studies25,66,67. Informed consent was obtained by the participant shown in Fig. 1 to publish the image. The study was approved by the Ethics Committee of the Medical Department of Heidelberg University (S-105/2021) and has been performed in accordance with relevant guidelines/regulations and the Declaration of Helsinki.
Figure 1.
Experimental setup. Left: Participant stands up from an instrumented chair with the custom-made robot rollator simulator. Full-body passive markers for motion tracking and EMG electrodes (data not included in this article) were placed on the body. Two movements were studied: sit-to-stand and stand-to-sit. Middle column: Three different support conditions were used: unassisted (top, handles not used), light touch (middle, palm on the handles), and full support (bottom, power grip). Right column: Two floor conditions were used: non-challenging (lab floor, top) and challenging (balance pads, bottom).
Experimental protocol
The participants stood up and sat down at their preferred speed, separated by at least two seconds of rest as instructed with the commands “stand up, stand still, sit down.” They used a custom-made robot rollator simulator under three different support conditions (Fig. 1). The participants were instructed not to use the rollator in the (1) unassisted condition and to let their arms hang loosely at their sides as long as they sat. In the (2) light touch condition, they were instructed to place their hands with a palm grip onto the handles to induce a proprioceptive cue, and in the (3) full support condition, they were instructed to use a power grip on the handles. Handle height was individually set at the participant’s wrist height in a standing position as recommended by health care literature68–70. Seat height was individually adjusted to the height of the lateral epicondyle of the femur. To induce a higher demand on balance capabilities, an additional “challenging condition” was set up by placing a circular rubber-made balance pad with a compliant surface (Dynair® Ballkissen®, diameter 33 cm, height 8 cm, TOGU GmbH, Prien-Bachham, Germany) underneath each foot. Participants performed two trials in each condition to familiarize themselves with the setup. Everyone performed three valid, non-consecutive trials in a random order for every support (unassisted, light touch, full support) and floor condition (non-challenging and challenging).
Data collection
Full-body 3D kinematics were recorded (150 Hz, 10 type 5 + cameras, Qualisys, Gothenburg, Sweden) using retroreflective markers placed according to the IOR full-body gait model71,72. Ground reaction forces (GRF) (1000 Hz; Bertec Corp., Columbus, OH, USA) and forces on the seating surface (142 Hz; Phidgets Inc., Calgary, AB, Canada) were measured.
Data processing
Raw kinematic data were processed offline with Qualisys Track Manager (v2018.1, Qualisys Medical Ltd., Sweden) to reconstruct the 3D coordinates of the markers. Subsequently, force and kinematic data were filtered with a 4th-order, 10 Hz, Butterworth low-pass filter. Full-body kinematics and the CoM were then calculated with Visual3D (v6, C-Motion Inc., Germantown, MD, USA). Further data analyses were done in Matlab (R2020a, Natick, MA, USA). Movement start, seat-off, and movement end were segmented using a k-means++ algorithm73. The trials were time-normalized to 1001 time points (100%).
Data analysis
The following variables were selected for further analyses as they have been described as determinants for the strategies: 3D ground reaction force, normalized to body weight74,75, the 3D CoM, normalized to body height31,33,34,76, sagittal angles of the ankle, knee, and hip40,44,77, the sagittal angle between a virtual line connecting the heel and the CoM and the floor perpendicular (“CoM-heel angle”)39,78, and the sagittal angles of thigh, shank, and pelvis relative to the floor perpendicular38. We focused on the right body side as their values were similar to those of the left side. Kinematic time series of arm movements were not included in the analysis to identify movement strategies. They would have provoked a strict separation between unassisted and light touch/full support trials and thus obscured the similarities of the trials across all support conditions regarding whole-body strategies.
Identification of movement strategies
Principal component analysis (PCA) was used to reduce the dimensionality of the data by extracting relevant features. These features were then used to identify movement strategies through k-means++ clustering (Fig. 2)79–81. This was done separately for the two movements (sit-to-stand and stand-to-sit) and floor conditions (non-challenging and challenging).
Figure 2.
Process for identifying strategies, performed separately for each of the four combinations of sit-to-stand, stand-to-sit, and non-challenging, challenging floor conditions. For each variable, a matrix (e.g., GRFa/p) served as input for the variable-specific PCA (PCAGRFa/p). The input for the clustering consists of a coordinate system with axes formed by the extracted principal components of all variables, as well as the scores obtained from the PCAs. The extracted clusters constitute the strategies. Pi ith participant, UAi ith unassisted trial, FSi ith full support trial.
First, the data of each variable was arranged into a matrix ℝ180×1001, in which every column represented one timepoint (of 1001 timepoints) and every row one trial (20 participants × three support conditions × three repetitions = 18079,80). After subtracting the mean of the matrix82,83, PCA transformed the data into a low-dimensional coordinate system spanned by principal components84–86. We selected the number of principal components so that 90% of the variance was explained (see Table 1 for an overview of the number of principal components85,86). Following previous studies80,84,87, a single coordinate system was spanned from the PCs of each variable. The scores, i.e., the original data represented in the new coordinate system, were scaled to the interval [0,1] so that each extracted PC had equal importance in the subsequent clustering88. First, hierarchical clustering (ward distance) was used to determine the appropriate number of clusters based on the scree and silhouette coefficient plots. Then, k-means++ (Matlab kmeans with the ‘plus’ option) clustering grouped all 180 trials into the determined number of clusters. Each cluster represented one movement strategy. If the strategy of a single trial differed from all identified strategies, it was still assigned to one of the strategies because k-means does not terminate until every trial is assigned to a cluster. These outlier strategies were identified after clustering with the generalized extreme Studentized deviate test for outliers based on their distance to the centroid89–91. Clustering was repeated ten times to confirm the robustness of the cluster assignments80.
Table 1.
Number of principal components necessary to explain 90% of the variance within the time series of every selected variable.
| Sit-to-stand | Stand-to-sit | |||
|---|---|---|---|---|
| Non-challenging | Challenging | Non-challenging | Challenging | |
| GRF medio-lateral | 3 | 5 | 5 | 8 |
| GRF anterior–posterior | 4 | 6 | 6 | 8 |
| GRF vertical | 3 | 4 | 4 | 5 |
| CoM medio-lateral | 2 | 2 | 2 | 2 |
| CoM anterior–posterior | 2 | 2 | 2 | 2 |
| CoM vertical | 2 | 2 | 2 | 3 |
| Ankle angle sagittal | 3 | 3 | 3 | 3 |
| Hip angle sagittal | 2 | 2 | 2 | 3 |
| Knee angle sagittal | 2 | 2 | 2 | 3 |
| Pelvis-lab angle sagittal | 2 | 2 | 3 | 3 |
| Shank-lab angle sagittal | 2 | 2 | 2 | 3 |
| Thigh-lab angle sagittal | 2 | 3 | 2 | 3 |
| CoM-heel angle sagittal | 2 | 2 | 2 | 2 |
Dependent variables
This study aimed to identify if participants switched strategy with support condition. A participant was identified as switching strategies if at least two of the three repetitions of one support condition had a different strategy than in another support condition.
Further, total trial duration and the duration between start and seat-on or -off in seconds were assessed because prolonged times have been associated with increased fall risk and less movement stability61,92–94. As arm movement in the unassisted condition was not restricted to allow for a “natural” movement, it was operationalized as a dichotomous variable: Arms were identified as “involved” when the most anterior elbow position was anterior to the shoulder.
Statistics
Independent tests were used to assess differences between the identified strategies in the time series and dependent variables because trials, not participants, were clustered into strategies (see “Most of the participants switched their movement strategies”). First, analyses of the results found that the distributions of the individuals’ trials are different across the participants (see “Most of the participants switched their movement strategies”). Hence, dependent tests cannot be used. Therefore, independent tests were used that do not eliminate individuals as a source of variability, which results in less statistical power and thus are more conservative regarding significance than dependent tests. Normality was assessed with Shapiro–Wilk tests, and the homogeneity of variances was confirmed with Levene’s tests. Differences between the time series of the respective strategies were assessed with the spm1d toolbox (statistical parametric mapping, SPM95,96). As normality was violated, the non-parametric SPM versions of the ANOVA (three strategies) and t-tests (two strategies) were used97,98. Post-hoc pairwise comparisons by SPM were only performed on regions of interest indicated by the SPM–ANOVA99,100. In line with recent recommendations101, the aim of applying SPM was to exploratively analyze where the time series tended to differ, to help with the qualitative description of the strategies. Differences in the dependent variables, i.e., trial durations and time until seat contact, were tested with the Kruskal–Wallis and Mann–Whitney U–tests as homogeneity was violated. The significance level (two-tailed) was set a priori at 0.05 and adjusted for multiple comparisons post-hoc to 0.05/3 = 0.017 (Bonferroni correction). All statistics were performed in Matlab (R2020a, Natick, MA, USA).
Results
Overall, in sit-to-stand, three strategies in the non-challenging and two in the challenging condition were identified (non-challenging: silhouette coefficient = 0.23, scree test SSE = 0.01; challenging: silhouette coefficient = 0.19, scree test SSE = 0.33). In stand-to-sit, three strategies in the non-challenging and two strategies in the challenging condition were also identified (non-challenging: silhouette coefficient = 0.18, scree test SSE = 0.31; challenging: silhouette coefficient = 0.19, scree test SSE = 1.30). The assignment of trials to clusters was robust throughout each instance of the 10 clustering runs.
Most of the participants switched their movement strategies
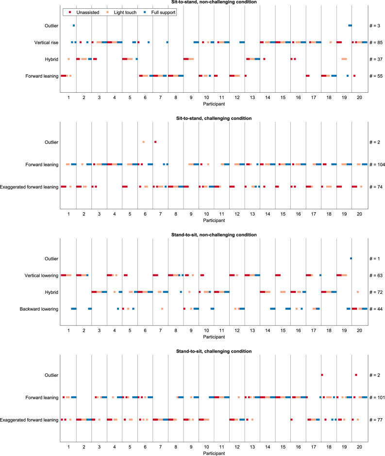
Figure 3 illustrates which strategy was used for every trial. Of the 20 participants, between 14 and 17 (depending on the task) did not use just a single strategy for all their trials. Therefore, we accept our first hypothesis that individuals switch their strategy depending on the level of rollator assistance.
Figure 3.
Distribution of trials among strategies. One dot represents one trial. The row indicates the strategy to which it belongs. The column shows to which participant it belongs. The support conditions are color coded as indicated by the legend. The labels on the right y-axis show how many trials were associated with the strategy written on the left y-axis.
Description and comparison of the identified movement strategies
Sit-to-stand movement strategies
Three different strategies were identified for sit-to-stand in the non-challenging condition (Fig. 4a, Supplementary Video “Sit-to-stand_non-challenging_condition.gif”): a “forward leaning” strategy (blue), a “vertical rise” (green) strategy, and a “hybrid” (brown) strategy, inferred by visual inspection of the stick figures and supported by the different courses in the hip and CoM-heel angles before seat-off and the CoM trajectory in the sagittal plane (Fig. 4b). The kinematics and stick figures of the “hybrid” strategy are either in-between the other two strategies or change from being closer to the one to being closer to the other over the course of the trial, thus named the “hybrid” strategy. These strategies appeared in each support condition, i.e., no strategy was identified to comprise only trials with handle support.
Figure 4.
Strategies of the non-challenging sit-to-stand task. (a) The strategies are given in different colors (see legend) and separated into rows according to the support condition. The CoM is depicted as an asterisk (*). (b) Means and standard deviations of the variables, aggregated by cluster. The gray shaded area illustrates the range of seat-off (mean ± s.d.). The red lines and corresponding p-values indicate significant differences revealed by the post-hoc tests (p < 0.017).
The trial duration with the forward leaning strategy was shorter than the other strategies. However, seat-off timing was not different between strategies (trial duration: forward leaning: 1.16 s ± 0.25, hybrid: 1.24 s ± 0.20, vertical rise: 1.24 s ± 0.22; χ2(2) = 10.37, p = 0.006; forward leaning vs. hybrid: z = −2.40, p = 0.016; forward leaning vs. vertical rise: z = − 3.04, p = 0.002; hybrid vs. vertical rise: z = 0.04, p = 0.969; seat-off: forward leaning: 0.49 s ± 0.13, hybrid: 0.50 s ± 0.11, vertical rise: 0.50 s ± 0.12; χ2(3) = 0.23, p = 0.892).
In the challenging condition, only two strategies were identified (Fig. 5a, Supplementary Video “Sit-to-stand challenging_condition.gif”): an “exaggerated forward leaning” (purple) and a “forward leaning” strategy (blue). In comparison, the exaggerated forward leaning strategy shows a smaller hip angle in the transition phase after seat-off. The wide forward lean is underpinned by the CoM progression in the sagittal plane and the larger CoM-heel angle after seat-off Fig. 5b). Similar to the normal floor condition, no support-specific strategy was identified. The trial duration was shorter, and seat-on was earlier in the forward leaning strategy (trial duration: exaggerated forward leaning: 1.36 s ± 0.32, forward leaning: 1.27 s ± 0.27; z = 1.99, p = 0.046; seat-contact: exaggerated forward leaning: 0.65 s ± 0.17, forward leaning: 0.54 s ± 0.10; z = 5.07, p < 0.001).
Figure 5.
Strategies of the challenging sit-to-stand task. (a) The strategies are given in different colors (see legend) and separated into rows according to the support condition. The CoM is depicted as an asterisk (*). (b) Means and standard deviations of the variables, aggregated by cluster. The gray shaded area illustrates the range of range of seat-off (mean ± s.d.). The red lines and corresponding p-values indicate significant differences (p < 0.05).
The trials identified as outliers are shown in Supplementary Fig. 1. Concerning our hypothesis, we can state that we did not find specific strategies for 2a, the different degrees of rollator assistance, but we did for 2b, the challenging floor condition.
Stand-to-sit movement strategies
Three strategies were found in the non-challenging condition (Fig. 6a, Supplementary Video “Stand-to-sit_non-challenging_condition.gif”): a “backward lowering” (blue), a “vertical lowering” (green), and a “hybrid” strategy (brown), inferred from visual inspection of the stick figures and supported by (1) the different CoM progressions and (2) the smaller hip, knee, and ankle angles of especially the backward-lowering strategy (Fig. 6b). Like with the sit-to-stand tasks, the three identified strategies appeared in each support condition.
Figure 6.
Strategies of the non-challenging stand-to-sit task. (a) The strategies are given in different colors (see legend) and separated into rows according to the support condition. The CoM is depicted as an asterisk (*). (b) Means and standard deviations of the variables, aggregated by cluster. The gray shaded area illustrates the range of seat-off (mean ± s.d.). The red lines and corresponding p-values indicate significant differences revealed by the post-hoc tests (p < 0.017).
Vertical lowering took less time, and seat-on was earlier than in the backward lowering and the hybrid strategy (trial duration: backward lowering: 1.47 s ± 0.29, hybrid: 1.49 s ± 0.26, vertical lowering: 1.33 s ± 0.24; χ2(3) = 17.41, p < 0.001; backward lowering vs. hybrid: z = −0.09, p = 0.925; backward lowering vs. vertical lowering: z = 2.60, p = 0.009; hybrid vs. vertical lowering: z = 4.24, p < 0.001; seat-on: backward lowering: 0.88 s ± 0.20, hybrid: 0.87 s ± 0.19, vertical lowering: 0.71 s ± 0.15; χ2(3) = 33.44, p < 0.001; backward lowering vs. hybrid: z = 0.14, p = 0.889; backward lowering vs. vertical lowering: z = 4.64, p < 0.001; hybrid vs. vertical lowering: z = 5.21, p < 0.001).
As with the sit-to-stand task, only two strategies were identified in the challenging condition (Fig. 7a, Supplementary Video “Stand-to-sit_non-challenging_condition.gif”): an “exaggerated forward leaning” (purple) and a “forward leaning” (blue) strategy. These strategies were inferred from visual inspection and underpinned by the smaller sagittal hip and ankle angles after seat-on in the exaggerated forward leaning strategy and the smaller CoM-heel angles after seat-on (indicating that the CoM is more anterior to the heel position than in the forward leaning strategy). As in the other task, no strategy was identified to comprise only trials with handle support. Exaggerated forward leaning took less time, and seat-contact was earlier than with forward leaning (duration: exaggerated forward leaning: 1.39 s ± 0.30, forward leaning: 1.47 s ± 0.29; z = − 2.01, p = 0.044; seat-on: exaggerated forward leaning: 0.70 s ± 0.15, forward leaning: 0.81 s ± 0.19; z = − 4.29, p < 0.001).
Figure 7.
Strategies of the challenging stand-to-sit task. (a) The strategies are colored in different colors (see legend) and separated into rows according to the support condition. The CoM is depicted as an asterisk (*). (b) Means and standard deviations of the variables, aggregated by cluster. The gray shaded area illustrates the range of seat-off (mean ± s.d.). The red lines and corresponding p-values indicate significant differences revealed by the post-hoc tests (p < 0.017).
With respect to our hypotheses and in line with sit-to-stand, we can state that we did not find specific strategies for 2a, the different degrees of rollator assistance, but we did for 2b, the challenging floor condition.
The use of the arms in unassisted sit-to-stand and stand-to-sit movements
Arms were only used for two trials of the forward leaning and the hybrid strategy. In the challenging condition, 20 trials included arm movement, 15 of which belonged to the exaggerated forward leaning strategy (Fig. 8). In stand-to-sit, arms were not involved in the backward lowering, but five were involved in the vertical lowering and two in the hybrid strategy. When challenged, arms were involved in four trials in the exaggerated forward and two trials in the forward leaning strategy (Fig. 8). As inferred from the parallel lines in Fig. 8, arms were moved at a similar speed to the CoM, i.e., not swung.
Figure 8.
Example arm activity for two movements (left: sit-to-stand, right: stand-to-sit). Top: Spatial progression of the CoM and the lateral elbow marker. The black and red lines connecting the points illustrate the spatial progression. The distances between the points illustrate 5% of the total duration in each case. The cross-connections help assess whether the elbow and CoM moved at comparable speeds (as with nearly parallel cross-connections). Bottom: The whole-body movement is shown along with the plots above.
Discussion
Rollators are often prescribed to assist older individuals in their daily life, but paradoxically have been found to increase fall risk. Standing up and sitting down are often executed, yet are complex and demanding movements for older individuals. To improve this movement for older individuals, this study with young, non-disabled individuals identified if and how rollators affect movement strategies. We found that (1) most (14–17 of 20, task-dependent) participants switched their strategies with rollator assistance, (2a) no support-specific strategies were revealed, but (2b) new strategies emerged when participants’ balance was challenged.
Participants switch their strategies with full support, especially when challenged
Participants who stood up with the forward leaning strategy in the unassisted condition did not show a common pattern of which strategy they switched to when having the handle support: some kept leaning forward, and others switched to a vertical rise or hybrid strategy. However, those who used the vertical rise or hybrid strategy unassisted never used the forward leaning strategy with handle support. When their balance was challenged, most participants (16 of 20) switched from the exaggerated forward to the forward leaning strategy with full support. During the light touch trials, one-third used the exaggerated and two-thirds the forward leaning strategy, i.e., presumably the somatosensory input is not the entire reason for changing the strategy. In stand-to-sit, almost all participants who used the backward lowering strategy in the unassisted condition switched their strategy in the full support condition, but not all switched in the light touch condition. When challenged, almost every trial with full support belonged to the forward leaning strategy, i.e., participants who used the exaggerated forward leaning strategy in the unassisted and/or light touch condition switched with full support.
Taken together, full handle support appears to influence strategy selection, especially when the participants were challenged, i.e., the demands on balance control were higher. Further, somatosensory input does not seem to determine the change in strategy under the studied task conditions. A change in the CoM position may be a potential triggering factor for strategy selection. Having the arms on the handles may lead to an anterior shift of the CoM, though rather small, due to the relatively small mass of the arms. This is supported by Jeyasurya et al.102, who did not find significant differences in the CoM position when they compared an arm-assist and bar-assist position to the unassisted condition (arm crossed in front of the chest). Furthermore, the causal relationship between CoM-position and strategy selection is debatable. In fact, a recent study103 argues that the CoM represents the whole body well but questions if the CoM position/movement is optimized regarding a task goal. Hence, it remains an open question if the CoM position may trigger the strategy selection or if anything else triggers the strategy selection resulting in a shifted CoM position. According to a prevailing theory in motor control, the optimal control theory104, movement strategy selection is based on a cost function that is minimized about the movement goal (e.g., to stand up or sit down). Therefore, a unique control policy is implemented to transform the state estimate (i.e., the internal body representation and task-relevant variables) into motor commands105. The multi-dimensional state estimate could be considered a multi-dimensional input weighted to yield the selected movement strategy. A shift in the weighting, e.g., toward a higher importance of stability in the challenging condition, may explain a change toward a different, then optimal, movement strategy. A previous study106 proposed that this could explain age-related differences in movement strategies.
Sit-to-stand was achieved with three different strategies
Our data-driven approach revealed three movement strategies (forward leaning, hybrid, and vertical rise). While these three have often been described in unassisted standing up33,37,39,40,44,107, we can now add that rollator assistance does not lead to the emergence of new strategies. In line with the literature, we found that participants using the forward leaning strategy showed higher upper body flexion40,44 and stood up faster33. In Hughes et al.’s study33, participants were older than in our study. Thus, we can now conclude that the forward leaning strategy is faster regardless of the individual’s age. Scarborough et al.43 found that knee moment is smaller with the vertical rise strategy. However, more muscle activity around the knee is needed due to lack of generated upper body momentum. Possibly, rollator use reduces the demand on muscle activity around the knee, as has been shown for walking108. To recommend the best strategies, which are safe and with the least demand on knee moment, for older individuals to stand up with a rollator, future studies may investigate muscle activity and joint load in the vertical rise and hybrid strategies with rollator support.
Interestingly, no different strategies were identified for the light touch and full support compared to the unassisted condition. Thus, receiving sensory input and/or weight support to stabilize oneself did not change the movement, even when the balance was challenged. Possibly, the identified strategies are optimal solutions to achieve the task goal, i.e., to stand up, so no new strategies need to emerge. De Rugy et al.109 proposed that habitual movement strategies might be retained when the task goal can be achieved, even if conditions change. This could have been the case with our young participants.
When the balance was challenged, participants only used two different strategies to stand up
Participants used an exaggerated forward or forward leaning strategy when their balance was challenged. They did not use a third, vertical rise strategy as they did under non-challenging conditions. An exaggerated forward leaning strategy, based on increased trunk flexion, has been found in older individuals110 and in those with pathologies, when stability and safety seem to be of priority, thus often called “stabilization strategy” or “exaggerated trunk flexion strategy”37,40,43,111,112. Here, participants moved their CoM over the base of support (“stable position”) at the earliest time point by an exaggerated trunk flexion and then raised the CoM vertically. This behavior hints at why we found this strategy. The balance pads under the participants’ feet contained air, which was re-distributed when the pressure point from above changed. It seems plausible that the transitioning is easier when the CoM is centered above the balance pad at seat-off (CoM-heel angle ≈ 0°, see Fig. 5b).
Furthermore, the constantly changing demands due to the pressure distribution in the pads possibly required constant adjustment of the motor commands, as has been shown in studies on postural control113. The higher number of principal components extracted for all GRF directions (Table 1) reflects this by indicating a more complex time series structure79. Thus, the emergence of the exaggerated forward leaning strategy could result in participants wanting to increase their stability and safety to better cope with the increased balance challenge.
When using handles, the choice in favor of the forward leaning strategy could hint that participants cope with the challenging floor condition by relying more on the rollator handles114: e.g., to lessen the pressure on the pads and so the difficulty standing on them, or to interact with the handles correcting unforeseen instabilities during the transition. This issue can be addressed in more detail in future studies, e.g., with instrumented handles. Possibly, as the hip angle is larger in the forward leaning strategy, this strategy is more suitable for individuals with limited range of motion e.g., due to issues like lower-back-pain115.
That the participants showed two instead of three strategies to successfully perform the sit-to-stand task suggests that young individuals are flexible concerning task demands37. The vertical rise strategy is possibly not a good solution for this new task demand: here, the CoM-heel angle does not reach 0° until after seat-off (see Fig. 4b). This could explain why the participants did not use it. Furthermore, we suggest balance pads can be a way to provoke young individuals to use sit-to-stand strategies observed with older individuals or those with pathologies.
Stand-to-sit was achieved with three different strategies
Our data-based approach identified three strategies for sitting down: backward lowering, hybrid, and vertical lowering. To the best of our knowledge, no previous study explicitly identified strategies in the stand-to-sit movement or performed detailed biomechanical measurements on this motion. Only Dubost et al.35 observed two general patterns comparable to our study's backward and vertical lowering strategies, although they did not explicitly name them. The main difference between the two patterns they found was the more vertical orientation of the trunk (like in our vertical lowering strategy) in the one predominantly used by their older participants. Their young participants flexed their trunks more (like in our backward lowering strategy).
In contrast to35, in our study the young participants only used the backward lowering strategy to sit down without rollator support in two of 60 trials. However, unlike in our study, participants had to cross their arms in front of their chests, which makes movement less natural, as supported by studies that evaluated the five-times-sit-to-stand test116,117. Therefore, not imposing this restriction in our study may have fostered the use of the vertical lowering or hybrid strategy. In both strategies, seat-on occurred earlier than with the backward lowering strategy. Based on this measure, it is suggested that this is a safer strategy as the unstable transition phase is shorter94. However, this safety assumption needs to be investigated more thoroughly in future studies.
Unlike with the unassisted condition, we found the preferred strategies to sit down with full support to be the backward lowering and hybrid strategies. Here, knee flexion happens more slowly but more steadily. Possibly, this reduces the knee load and muscle activity demand, and handle support helps carrying out this strategy. However, future studies may investigate the three strategies in every condition by imposing these on participants. An examination of muscle activity, interaction forces, and joint moments may then improve understanding of which strategies are optimal for older rollator users.
When the balance was challenged, participants only used two different strategies to sit down
With challenged balance, participants used either a forward leaning or an exaggerated forward leaning strategy to sit down. Like with the sit-to-stand task, participants demonstrated only two instead of three strategies. The backward lowering strategy was not used. With the exaggerated and forward leaning strategies, the CoM is first lowered vertically, presumably to keep the pressure ratio in the balance pads as constant as possible. The rearward movement occurs later (CoM-heel angle ≈ 0°, not until seat-off, see Fig. 7b). Probably, shifting the CoM posteriorly earlier, like in backward lowering (CoM-heel angle ≈ 0° slightly earlier than seat-off, see Fig. 6b), would lead to the balance pads filling increasingly in the front, resulting in more air in the anterior area of the balance pads and so the body moving posteriorly. Like with standing up, the higher number of principal components in the GRF variables compared to the non-challenging condition indicates a more complex time series and, thus, constant adjustments of motor commands79. This more complex pattern possibly triggered the strategy selection toward a “safer” strategy. Future studies could examine sitting down with older participants and/or those with pathologies. It seems plausible that the exaggerated forward leaning strategy could arise there as a counterpart to the "stabilization strategy" of the sit-to-stand movement.
Arm usage in unassisted sit-to-stand and stand-to-sit does not lead to new strategies
For standardization reasons, arm movement is often restricted, e.g., the arms are to be crossed in front of the chest37,40. This, however, hinders the participants from performing the transitions naturally, as indicated by validation studies for the five-times-sit-to-stand test116,117. Furthermore, individuals could possibly keep to their strategy when using the arms to compensate for difficulties40,106. We only instructed our participants to let their arms hang laterally in the sitting position in the unassisted condition. Trials with arm usage were not identified as outliers, nor did they lead to a new strategy cluster. This is in line with Millington et al.’s118 study, in which angles and moments of the trunk, pelvis, and knee remained similar regardless of participants moving to flex their shoulders or elbows in unassisted standing up. Further, Carr and Gentile47 found that trunk flexion or peak horizontal and vertical momentum of the CoM did not differ between restricted and flexible arm movement conditions. Hence, arm use does not lead to a new movement strategy. Standing up from a chair at knee height and with “natural” speed may not create difficult task demands for young individuals. Therefore, arm use may not be necessary for them and therefore not done. This is in contrast to the challenging condition, where arms were involved in 23 of 60 unassisted trials. As participants moved their arms at a comparable speed to the CoM (Fig. 8), rather than using the swing to create extensive, additional momentum as is often done to increase height in jumps119,120, they probably used their arms to shift the CoM anteriorly121. This possibly helps to hold the CoM as long as possible over the pads (CoM-heel angle ≈ 0°) in the exaggerated forward leaning strategy. In stand-to-sit, arms were only used in seven (non-challenging) and six (challenging) of 60 unassisted trials. Here, similar to the sit-to-stand movement in the challenging condition, participants did not extensively swing their arms but seemed to hold them anteriorly, possibly also to hold the CoM in the same horizontal position.
Limitations
Several potential shortcomings need to be considered. First, our simulator device is heavier than a commercially available rollator and can neither dip nor move horizontally, even if the handles are pulled or pushed on heavily. Thus, the outlier “pulling strategy” (Supplementary Material), where one participant extensively pulled on the handles to stand up, would not be possible with a real-world rollator. Nevertheless, pulling extensively on rails that are fixed to propel the body upward has been observed as a strategy in older individuals to stand up and sit down122,123 and should therefore be considered in future studies examining older individuals. Secondly, although not uncommon in other biomechanical studies40, for standardization purposes, we restricted the foot placement to be parallel and underneath the knees, which hindered the participants from pulling their feet backward to stand up, as it is sometimes observed36. Thirdly, we applied PCA and k-means clustering. It cannot be excluded that other methods would have led to a different constellation. However, these methods are well-established and frequently used in biomechanics80,84,87, and the allocation of the trials into the identified strategy clusters is plausible and robust. Fourthly, to the best of our knowledge, there are no criteria based on which trials can be assigned a movement strategy in rollator-assisted sit-to-stand and stand-to-sit movements. Thus, there was no prior knowledge regarding the number and composition of the movement strategy clusters, precluding an a priori power analysis. Hence, we used a common unsupervised, data-driven approach to identify movement strategies. With unsupervised algorithms, it is unforeseeable how the data are clustered. Consequently, the number of participants and trials were selected not based on an a priori power analysis but on comparable studies25,38,66,67. Fifthly, statistics between the strategies were calculated as if the trials between the clusters were independent and single observations. Therefore, these need to be treated with caution. However, statistics were only applied here to give an impression of where the time series tend to differ and to help qualitatively describe the strategies. Lastly, we investigated strategies in young people. Even though we used balance pads to challenge them, this probably limits the validity of the results concerning individuals who are older or physically limited and dependent on a rollator.
Conclusion
This study found that young individuals switch their strategies to standing up and sitting down with rollator handle support and when their balance is challenged. Our data-driven approach revealed three strategies for sit-to-stand. The strategies found are in line with the literature on unassisted standing up. They have now been shown to hold with rollator support. Our challenging floor condition approach in using balance pads under the participants’ feet provoked two strategies, one of which was previously found for older individuals and those with pathologies. We suggest balance pads can be used in future studies as a way to provoke young individuals to use sit-to-stand strategies observed with older individuals or those with pathologies. For the first time, strategies for stand-to-sit have been described based on biomechanical data. Participants used three sit-down strategies, reduced to two in the challenging balance condition. Like with sit-to-stand, rollator support and challenging balance conditions greatly influence strategy selection. In our study, the strategies have been described and discussed predominantly based on kinematics. Future studies may investigate joint loading and muscle activity to assess which strategies can eventually be recommended to fall-prone individuals for safe and efficient rollator usage.
Supplementary Information
Acknowledgements
The research project is funded by the HEiKA—Heidelberg-Karlsruhe strategic partnership, funded by the Federal Ministry of Education and Research (BMBF) and the Baden-Württemberg Ministry of Science as part of the Excellence Strategy of the German Federal and State Governments. It is further part of the projects HeiAge and JuBot, both funded by the Carl-Zeiss-Foundation (Germany). We acknowledge support by the KIT-Publication Fund of the Karlsruhe Institute of Technology.
Author contributions
M.H., F.C.K., L.H.S., and T.S. were involved in the study's design. M.H. and F.C.K. carried out all data collection. M.H. carried out the data analysis. M.H., F.C.K., B.J.S., A.D.A., L.H.S., and T.S. were involved in interpreting and discussing the results. MH took the lead in writing the manuscript. M.H., F.C.K., B.J.S., A.D.A., L.H.S., and T.S. provided critical feedback, revised, and contributed to the final manuscript.
Funding
Open Access funding enabled and organized by Projekt DEAL.
Data availability
Correspondence and requests for materials should be addressed to the corresponding author Michael Herzog (michael.herzog@kit.edu).
Competing interests
The authors declare no competing interests.
Footnotes
Publisher's note
Springer Nature remains neutral with regard to jurisdictional claims in published maps and institutional affiliations.
Supplementary Information
The online version contains supplementary material available at 10.1038/s41598-023-43401-6.
References
- 1.Kenny RA, Romero-Ortuno R, Kumar P. Falls in older adults. Medicine. 2017;45:28–33. [Google Scholar]
- 2.Gelbard R, et al. Falls in the elderly: A modern look at an old problem. Am. J. Surg. 2014;208:249–253. doi: 10.1016/j.amjsurg.2013.12.034. [DOI] [PubMed] [Google Scholar]
- 3.Stevens JA. Falls among older adults—Risk factors and prevention strategies. J. Saf. Res. 2005;36:409–411. doi: 10.1016/j.jsr.2005.08.001. [DOI] [PubMed] [Google Scholar]
- 4.Tinetti ME, Speechley M, Ginter SF. Risk factors for falls among elderly persons living in the community. NEJM. 1988;319:1701–1707. doi: 10.1056/NEJM198812293192604. [DOI] [PubMed] [Google Scholar]
- 5.O’Loughlin JL, Robitaille Y, Boivin J-F, Suissa S. Incidence of and risk factors for falls and injurious falls among the community-dwelling elderly. AJE. 1993;137:342–354. doi: 10.1093/oxfordjournals.aje.a116681. [DOI] [PubMed] [Google Scholar]
- 6.Ambrose AF, Paul G, Hausdorff JM. Risk factors for falls among older adults: A review of the literature. Maturitas. 2013;75:51–61. doi: 10.1016/j.maturitas.2013.02.009. [DOI] [PubMed] [Google Scholar]
- 7.Rubenstein LZ. Falls in older people: Epidemiology, risk factors and strategies for prevention. Age Ageing. 2006;35:ii37–ii41. doi: 10.1093/ageing/afl084. [DOI] [PubMed] [Google Scholar]
- 8.Bateni H, Maki BE. Assistive devices for balance and mobility: Benefits, demands, and adverse consequences. Arch. Phys. Med. Rehabil. 2005;86:134–145. doi: 10.1016/j.apmr.2004.04.023. [DOI] [PubMed] [Google Scholar]
- 9.Bradley SM, Hernandez CR. Geriatric assistive devices. AFP. 2011;84:405–411. [PubMed] [Google Scholar]
- 10.Ko, C.-Y. et al. Assessment of forearm and plantar foot load in the elderly using a four-wheeled walker with armrest and the effect of armrest height. CIA (2014). [DOI] [PMC free article] [PubMed]
- 11.Cifuentes, C. A. & Frizera, A. In Human-Robot Interaction Strategies for Walker-Assisted Locomotion (eds. Cifuentes, C. A. & Frizera, A.) 1–15 (Springer International Publishing, 2016).
- 12.Youdas JW, Kotajarvi BJ, Padgett DJ, Kaufman KR. Partial weight-bearing gait using conventional assistive devices. Arch. Phys. Med. Rehabil. 2005;86:394–398. doi: 10.1016/j.apmr.2004.03.026. [DOI] [PubMed] [Google Scholar]
- 13.Mundt M, Batista JP, Markert B, Bollheimer C, Laurentius T. Walking with rollator: A systematic review of gait parameters in older persons. Eur. Rev. Aging Phys. Act. 2019;16:15. doi: 10.1186/s11556-019-0222-5. [DOI] [PMC free article] [PubMed] [Google Scholar]
- 14.Lee D-CA, et al. Effectiveness of gait aid prescription for improving spatiotemporal gait parameters and associated outcomes in community-dwelling older people: A systematic review. Disabil. Rehabil. 2022;44:6139–6154. doi: 10.1080/09638288.2021.1958930. [DOI] [PubMed] [Google Scholar]
- 15.Dall PM, Kerr A. Frequency of the sit to stand task: An observational study of free-living adults. Appl. Ergon. 2010;41:58–61. doi: 10.1016/j.apergo.2009.04.005. [DOI] [PubMed] [Google Scholar]
- 16.McLeod PC, Kettelkamp DB, Srinivasan V, Henderson OL. Measurements of repetitive activities of the knee. J. Biomech. 1975;8:369–373. doi: 10.1016/0021-9290(75)90072-x. [DOI] [PubMed] [Google Scholar]
- 17.Afsar MR, Ashiquzzaman A, Martelli D, Shen X. SW-SiStA2: A new-generation semi-wearable device for sit-to-stand assistance. J. Med. Devices Trans. 2023;17:031001. [Google Scholar]
- 18.Yamada T, Demura S. Relationships between ground reaction force parameters during a sit-to-stand movement and physical activity and falling risk of the elderly and a comparison of the movement characteristics between the young and the elderly. Arch. Gerontol. Geriatr. 2009;48:73–77. doi: 10.1016/j.archger.2007.10.006. [DOI] [PubMed] [Google Scholar]
- 19.Perry SB, Marchetti GF, Wagner S, Wilton W. Predicting caregiver assistance required for sit-to-stand following rehabilitation for acute stroke. J. Neurol. Phys. Ther. 2006;30:2–11. doi: 10.1097/01.npt.0000282144.72703.cb. [DOI] [PubMed] [Google Scholar]
- 20.Branch LG, Meyers AR. Assessing physical function in the elderly. Clin. Geriatr. Med. 1987;3:29–51. [PubMed] [Google Scholar]
- 21.Rapp K, Becker C, Cameron ID, König H-H, Büchele G. Epidemiology of falls in residential aged care: Analysis of more than 70,000 falls from residents of bavarian nursing homes. J. Am. Med. Dir. Assoc. 2012;13(187):e1–187. e6. doi: 10.1016/j.jamda.2011.06.011. [DOI] [PubMed] [Google Scholar]
- 22.Robinovitch SN, et al. Video capture of the circumstances of falls in elderly people residing in long-term care: An observational study. Lancet. 2013;381:47–54. doi: 10.1016/S0140-6736(12)61263-X. [DOI] [PMC free article] [PubMed] [Google Scholar]
- 23.van Schooten KS, et al. The association between fall frequency, injury risk, and characteristics of falls in older residents of long-term care: Do recurrent fallers fall more safely? J. Gerontol. A Biol. Sci. Med. Sci. 2018;73:786–791. doi: 10.1093/gerona/glx196. [DOI] [PubMed] [Google Scholar]
- 24.Lehtola S, Koistinen P, Luukinen H. Falls and injurious falls late in home-dwelling life. Arch. Gerontol. Geriatr. 2006;42:217–224. doi: 10.1016/j.archger.2005.07.002. [DOI] [PubMed] [Google Scholar]
- 25.Jeon W, Whitall J, Griffin L, Westlake KP. Trunk kinematics and muscle activation patterns during stand-to-sit movement and the relationship with postural stability in aging. Gait Posture. 2021;86:292–298. doi: 10.1016/j.gaitpost.2021.03.025. [DOI] [PubMed] [Google Scholar]
- 26.Seidler RD, et al. Motor control and aging: Links to age-related brain structural, functional, and biochemical effects. Neurosci. Biobehav. Rev. 2010;34:721–733. doi: 10.1016/j.neubiorev.2009.10.005. [DOI] [PMC free article] [PubMed] [Google Scholar]
- 27.Hughes MA, Myers BS. The role of strength in rising from a chair in the functionally impaired elderly. J. Biomech. 1996;29:1509–1513. [PubMed] [Google Scholar]
- 28.Jeon W, Jensen JL, Griffin L. Muscle activity and balance control during sit-to-stand across symmetric and asymmetric initial foot positions in healthy adults. Gait Posture. 2019;71:138–144. doi: 10.1016/j.gaitpost.2019.04.030. [DOI] [PubMed] [Google Scholar]
- 29.Schenkman M, Berger RA, Riley PO, Mann RW, Hodge WA. Whole-body movements during rising to standing from sitting. Phys. Ther. 1990;70:638–648. doi: 10.1093/ptj/70.10.638. [DOI] [PubMed] [Google Scholar]
- 30.Bohannon RW. Measurement of sit-to-stand among older adults. Top. Geriatr. Rehabil. 2012;28:11–16. [Google Scholar]
- 31.Roebroeck ME, Doorenbosch CAM, Harlaar J, Jacobs R, Lankhorst GJ. Biomechanics and muscular activity during sit-to-stand transfer. Clin. Biomech. 1994;9:235–244. doi: 10.1016/0268-0033(94)90004-3. [DOI] [PubMed] [Google Scholar]
- 32.Vander Linden DW, Brunt D, McCulloch MU. Variant and invariant characteristics of the sit-to-stand task in healthy elderly adults. Arch. Phys. Med. Rehabil. 1994;75:653–660. doi: 10.1016/0003-9993(94)90188-0. [DOI] [PubMed] [Google Scholar]
- 33.Hughes MA, Weiner DK, Schenkman ML, Long RM, Studenski SA. Chair rise strategies in the elderly. Clin. Biomech. 1994;9:187–192. doi: 10.1016/0268-0033(94)90020-5. [DOI] [PubMed] [Google Scholar]
- 34.Pai Y-C, Naughton B, Chang R, Rogers M. Control of body centre of mass momentum during sit-to-stand among young and elderly adults. Gait Posture. 1994;2:109–116. [Google Scholar]
- 35.Dubost V, Beauchet O, Manckoundia P, Herrmann F, Mourey F. Decreased trunk angular displacement during sitting down: An early feature of aging. Phys. Ther. 2005;85:404–412. [PubMed] [Google Scholar]
- 36.Dolecka UE, Ownsworth T, Kuys SS. Comparison of sit-to-stand strategies used by older adults and people living with dementia. Arch. Gerontol. Geriatr. 2015;60:528–534. doi: 10.1016/j.archger.2014.12.007. [DOI] [PubMed] [Google Scholar]
- 37.Frykberg GE, Häger CK. Movement analysis of sit-to-stand—Research informing clinical practice. Phys. Ther. Rev. 2015;20:156–167. [Google Scholar]
- 38.Komaris D-S, Govind C, Murphy A, Ewen A, Riches P. Identification of movement strategies during the sit-to-walk movement in patients with knee osteoarthritis. J. Appl. Biomech. 2018;34:96–103. doi: 10.1123/jab.2016-0279. [DOI] [PubMed] [Google Scholar]
- 39.Anan M, Ibara T, Kito N, Shinkoda K. The clarification of the strategy during sit-to-stand motion from the standpoint of mechanical energy transfer. J. Phys. Ther. Sci. 2012;24:231–236. [Google Scholar]
- 40.van der Kruk E, Silverman AK, Reilly P, Bull AMJ. Compensation due to age-related decline in sit-to-stand and sit-to-walk. J. Biomech. 2021;122:110411. doi: 10.1016/j.jbiomech.2021.110411. [DOI] [PubMed] [Google Scholar]
- 41.Riley PO, Schenkman ML, Mann RW, Hodge WA. Mechanics of a constrained chair-rise. J. Biomech. 1991;24:77–85. doi: 10.1016/0021-9290(91)90328-k. [DOI] [PubMed] [Google Scholar]
- 42.Aleshinsky SYu. An energy ‘sources’ and ‘fractions’ approach to the mechanical energy expenditure problem—V. The mechanical energy expenditure reduction during motion of the multi-link system. J. Biomech. 1986;19:311–315. doi: 10.1016/0021-9290(86)90007-2. [DOI] [PubMed] [Google Scholar]
- 43.Scarborough DM, McGibbon CA, Krebs DE. Chair rise strategies in older adults with functional limitations. JRRD. 2007;44:33. doi: 10.1682/jrrd.2005.08.0134. [DOI] [PubMed] [Google Scholar]
- 44.Coghlin SS, McFadyen BJ. Transfer strategies used to rise from a chair in normal and low back pain subjects. Clin. Biomech. 1994;9:85–92. doi: 10.1016/0268-0033(94)90029-9. [DOI] [PubMed] [Google Scholar]
- 45.Alexander NB, Schultz AB, Ashton-Miller JA, Gross MM, Giordani B. Muscle strength and rising from a chair in older adults. Muscle Nerve. 1997;20:56–59. [PubMed] [Google Scholar]
- 46.Bohannon RW, Corrigan DL. Strategies community dwelling elderly women employ to ease the task of standing up from household surfaces. Top. Geriatr. Rehabil. 2003;19:137–144. [Google Scholar]
- 47.Carr JH, Gentile AM. The effect of arm movement on the biomechanics of standing up. Hum. Mov. Sci. 1994;13:175–193. [Google Scholar]
- 48.Wretenberg P, Lindberg F, Arborelius UP. Effect of armrests and different ways of using them on hip and knee load during rising. Clin. Biomech. 1993;8:95–101. doi: 10.1016/S0268-0033(93)90039-K. [DOI] [PubMed] [Google Scholar]
- 49.Candow DG, Chilibeck PD. Differences in size, strength, and power of upper and lower body muscle groups in young and older men. J. Gerontol. A Biol. Sci. Med. Sci. 2005;60:148–156. doi: 10.1093/gerona/60.2.148. [DOI] [PubMed] [Google Scholar]
- 50.Lynch NA, et al. Muscle quality. I. Age-associated differences between arm and leg muscle groups. J. Appl. Physiol. (Bethesda, Md. : 1985) 1999;86:188–194. doi: 10.1152/jappl.1999.86.1.188. [DOI] [PubMed] [Google Scholar]
- 51.Mazzà C, Benvenuti F, Bimbi C, Stanhope SJ. Association between subject functional status, seat height, and movement strategy in sit-to-stand performance. J. Am. Geriatr. Soc. 2004;52:1750–1754. doi: 10.1111/j.1532-5415.2004.52472.x. [DOI] [PubMed] [Google Scholar]
- 52.Bahrami F, Riener R, Jabedar-Maralani P, Schmidt G. Biomechanical analysis of sit-to-stand transfer in healthy and paraplegic subjects. Clin. Biomech. 2000;15:123–133. doi: 10.1016/s0268-0033(99)00044-3. [DOI] [PubMed] [Google Scholar]
- 53.Munro BJ, Steele JR. Facilitating the sit-to-stand transfer: A review. Phys. Ther. Rev. 1998;3:213–224. [Google Scholar]
- 54.Schultz AB, Alexander NB, Ashton-Miller JA. Biomechanical analyses of rising from a chair. J. Biomech. 1992;25:1383–1391. doi: 10.1016/0021-9290(92)90052-3. [DOI] [PubMed] [Google Scholar]
- 55.Jeka JJ. Light touch contact as a balance aid. Phys. Ther. 1997;77:476–487. doi: 10.1093/ptj/77.5.476. [DOI] [PubMed] [Google Scholar]
- 56.Jeka JJ, Lackner JR. Fingertip contact influences human postural control. Exp. Brain. Res. 1994;100:8. doi: 10.1007/BF02738408. [DOI] [PubMed] [Google Scholar]
- 57.Kouzaki M, Masani K. Reduced postural sway during quiet standing by light touch is due to finger tactile feedback but not mechanical support. Exp. Brain. Res. 2008;188:153–158. doi: 10.1007/s00221-008-1426-5. [DOI] [PubMed] [Google Scholar]
- 58.Oates A, Unger J, Arnold C, Fung J, Lanovaz J. The effect of light touch on balance control during overground walking in healthy young adults. Heliyon. 2017;3:e00484. doi: 10.1016/j.heliyon.2017.e00484. [DOI] [PMC free article] [PubMed] [Google Scholar]
- 59.van der Kruk E, et al. Why do older adults stand-up differently to young adults? Investigation of compensatory movement strategies in sit-to-walk. NPJ Aging. 2022;8:1–19. doi: 10.1038/s41514-022-00094-x. [DOI] [PMC free article] [PubMed] [Google Scholar]
- 60.Arborelius UP, Wretenberg P, Lindberg F. The effects of armrests and high seat heights on lower-limb joint load and muscular activity during sitting and rising. Ergonomics. 1992;35:1377–1391. doi: 10.1080/00140139208967399. [DOI] [PubMed] [Google Scholar]
- 61.Krafft, F. C., Herzog, M., Stein, T. & Sloot, L. H. Young individuals are more stable and stand more upright when using rollator assistance during standing up and sitting down. Front. Bioeng. Biotechnol.10, (2022). [DOI] [PMC free article] [PubMed]
- 62.Yoshida K, et al. Visual and vestibular inputs affect muscle synergies responsible for body extension and stabilization in sit-to-stand motion. Front. Neurosci. 2019;12:1042. doi: 10.3389/fnins.2018.01042. [DOI] [PMC free article] [PubMed] [Google Scholar]
- 63.Lavallière M, et al. Walking a mile in another’s shoes: The impact of wearing an Age Suit. Gerontol. Geriatr. Educ. 2017;38:171–187. doi: 10.1080/02701960.2015.1079706. [DOI] [PubMed] [Google Scholar]
- 64.Henry M, Baudry S. Age-related changes in leg proprioception: Implications for postural control. J. Neurophysiol. 2019;122:525–538. doi: 10.1152/jn.00067.2019. [DOI] [PMC free article] [PubMed] [Google Scholar]
- 65.Wiesmeier IK, Dalin D, Maurer C. Elderly use proprioception rather than visual and vestibular cues for postural motor control. Front. Aging Neurosci. 2015;7:97. doi: 10.3389/fnagi.2015.00097. [DOI] [PMC free article] [PubMed] [Google Scholar]
- 66.Norman-Gerum V, McPhee J. Comprehensive description of sit-to-stand motions using force and angle data. J. Biomech. 2020;112:110046. doi: 10.1016/j.jbiomech.2020.110046. [DOI] [PubMed] [Google Scholar]
- 67.Wang, T., Okada, S., Guo, A., Makikawa, M. & Shiozawa, N. Effect of assist robot on muscle synergy during sit-to-stand movement. In 2021 IEEE International Conference on Intelligence and Safety for Robotics (ISR) 367–368 (2021).
- 68.Boelen, M. P. Health Professionals’ Guide to Physical Management of Parkinson’s Disease (Human Kinetics, 2009).
- 69.Lockette, K. A Caregiver’s Complete Guide for Safe Mobility and Independence in the Home (Kevin Lockette, 2011).
- 70.Wilkins, L. W. &. Perfecting Clinical Procedures (Lippincott Williams & Wilkins, 2008).
- 71.Cappozzo A, Catani F, Della Croce U, Leardini A. Position and orientation in space of bones during movement: Anatomical frame definition and determination. Clin. Biomech. 1995;10:171–178. doi: 10.1016/0268-0033(95)91394-t. [DOI] [PubMed] [Google Scholar]
- 72.Leardini A, Biagi F, Merlo A, Belvedere C, Benedetti MG. Multi-segment trunk kinematics during locomotion and elementary exercises. Clin. Biomech. 2011;26:562–571. doi: 10.1016/j.clinbiomech.2011.01.015. [DOI] [PubMed] [Google Scholar]
- 73.Sloot, L. H., Millard, M., Werner, C. & Mombaur, K. Slow but steady: Similar sit-to-stand balance at seat-off in older vs. younger adults. Front. Sports Act. Living144 (2020). [DOI] [PMC free article] [PubMed]
- 74.Borzelli G, Cappizzo A, Papa E. Inter- and intra-individual variability of ground reaction forces during sit-to-stand with principal component analysis. Med. Eng. Phys. 1999;21:235–240. doi: 10.1016/s1350-4533(99)00050-8. [DOI] [PubMed] [Google Scholar]
- 75.Gilleard W, Crosbie J, Smith R. Rising to stand from a chair: Symmetry, and frontal and transverse plane kinematics and kinetics. Gait Posture. 2008;27:8–15. doi: 10.1016/j.gaitpost.2006.11.002. [DOI] [PubMed] [Google Scholar]
- 76.Hesse S, Schauer M, Malezic M, Jahnke M, Mauritz KH. Quantitative analysis of rising from a chair in healthy and hemiparetic subjects. Scand. J. Rehabil. Med. 1994;26:161–166. [PubMed] [Google Scholar]
- 77.Yamasaki HR, Shimoda S. Spatiotemporal modular organization of muscle torques for sit-to-stand movements. J. Biomech. 2016;49:3268–3274. doi: 10.1016/j.jbiomech.2016.08.010. [DOI] [PubMed] [Google Scholar]
- 78.Hanawa H, et al. Muscle synergies underlying sit-to-stand tasks in elderly people and their relationship with kinetic characteristics. J. Electromyogr. Kinesiol. 2017;37:15–20. doi: 10.1016/j.jelekin.2017.08.004. [DOI] [PubMed] [Google Scholar]
- 79.Deluzio KJ, Astephen JL. Biomechanical features of gait waveform data associated with knee osteoarthritis: An application of principal component analysis. Gait Posture. 2007;25:86–93. doi: 10.1016/j.gaitpost.2006.01.007. [DOI] [PubMed] [Google Scholar]
- 80.van Drongelen S, et al. Identification of patients with similar gait compensating strategies due to unilateral hip osteoarthritis and the effect of total hip replacement: A secondary analysis. JCM. 2021;10:2167. doi: 10.3390/jcm10102167. [DOI] [PMC free article] [PubMed] [Google Scholar]
- 81.Robertson, G., Caldwell, G., Hamill, J., Kamen, G. & Whittlesey, S. Research Methods in Biomechanics (Human Kinetics, 2013).
- 82.Leporace, G. et al. Classification of gait kinematics of anterior cruciate ligament reconstructed subjects using principal component analysis and regressions modelling. In 2012 Annual International Conference of the IEEE Engineering in Medicine and Biology Society 6514–6517 (2012). 10.1109/EMBC.2012.6347486 [DOI] [PubMed]
- 83.Nüesch C, Valderrabano V, Huber C, von Tscharner V, Pagenstert G. Gait patterns of asymmetric ankle osteoarthritis patients. Clin. Biomech. 2012;27:613–618. doi: 10.1016/j.clinbiomech.2011.12.016. [DOI] [PubMed] [Google Scholar]
- 84.Halilaj E, et al. Machine learning in human movement biomechanics: Best practices, common pitfalls, and new opportunities. J. Biomech. 2018;81:1–11. doi: 10.1016/j.jbiomech.2018.09.009. [DOI] [PMC free article] [PubMed] [Google Scholar]
- 85.Jolliffe, I. T. Principal Component Analysis (Springer, 1986).
- 86.Jolliffe, I. T. Principal Component Analysis (Springer, 2002).
- 87.Rein R, Button C, Davids K, Summers J. Cluster analysis of movement patterns in multiarticular actions: A tutorial. Motor Control. 2010;14:211–239. doi: 10.1123/mcj.14.2.211. [DOI] [PubMed] [Google Scholar]
- 88.Mohamad IB, Usman D. Standardization and its effects on k-means clustering algorithm. Res. J. Appl. Sci. 2013;6:3299–3303. [Google Scholar]
- 89.Iglewicz, B. & Hoaglin, D. C. How to Detect and Handle Outliers, vol. 16 (Asq Press, 1993).
- 90.Rosner B. Percentage points for a generalized ESD many-outlier procedure. Technometrics. 1983;25:165–172. [Google Scholar]
- 91.Vera MJ, Dubravka B, Nikola J, Vojin I, Bojana P-B. Detecting and removing outlier(s) in electromyographic gait-related patterns. J. Appl. Stat. 2013;40:1319–1332. [Google Scholar]
- 92.Cheng Y-Y, et al. Can sit-to-stand lower limb muscle power predict fall status? Gait Posture. 2014;40:403–407. doi: 10.1016/j.gaitpost.2014.05.064. [DOI] [PubMed] [Google Scholar]
- 93.Goulart FR-P, Valls-Solé J. Patterned electromyographic activity in the sit-to-stand movement. Clin. Neurophysiol. 1999;110:1634–1640. doi: 10.1016/s1388-2457(99)00109-1. [DOI] [PubMed] [Google Scholar]
- 94.Prudente C, Rodrigues-de-Paula F, Faria CDCM. Lower limb muscle activation during the sit-to-stand task in subjects who have had a stroke. Am. J. Phys. Med. Rehabil. 2013;92:666. doi: 10.1097/PHM.0b013e318282c87a. [DOI] [PubMed] [Google Scholar]
- 95.Friston K, et al. Statistical parametric maps in functional imaging: A general linear approach. Hum. Brain Mapp. 1994;2:189–210. [Google Scholar]
- 96.Pataky TC, Vanrenterghem J, Robinson MA, Liebl D. On the validity of statistical parametric mapping for nonuniformly and heterogeneously smooth one-dimensional biomechanical data. J. Biomech. 2019;91:114–123. doi: 10.1016/j.jbiomech.2019.05.018. [DOI] [PubMed] [Google Scholar]
- 97.Daly C. Factors associated with increased terminal swing knee flexion in cerebral palsy. Gait Posture. 2021;89:126–131. doi: 10.1016/j.gaitpost.2021.07.007. [DOI] [PubMed] [Google Scholar]
- 98.Stief F, et al. Impact of subject-specific step width modification on the knee and hip adduction moments during gait. Gait Posture. 2021;89:161–168. doi: 10.1016/j.gaitpost.2021.07.008. [DOI] [PubMed] [Google Scholar]
- 99.Pataky TC, Robinson MA, Vanrenterghem J. Region-of-interest analyses of one-dimensional biomechanical trajectories: bridging 0D and 1D theory, augmenting statistical power. PeerJ. 2016;4:e2652. doi: 10.7717/peerj.2652. [DOI] [PMC free article] [PubMed] [Google Scholar]
- 100.Pickle NT, Silverman AK, Wilken JM, Fey NP. Statistical analysis of timeseries data reveals changes in 3D segmental coordination of balance in response to prosthetic ankle power on ramps. Sci. Rep. 2019;9:1272. doi: 10.1038/s41598-018-37581-9. [DOI] [PMC free article] [PubMed] [Google Scholar]
- 101.Honert EC, Pataky TC. Timing of gait events affects whole trajectory analyses: A statistical parametric mapping sensitivity analysis of lower limb biomechanics. J. Biomech. 2021;119:110329. doi: 10.1016/j.jbiomech.2021.110329. [DOI] [PubMed] [Google Scholar]
- 102.Jeyasurya J, Van der Loos HFM, Hodgson A, Croft EA. Comparison of seat, waist, and arm sit-to-stand assistance modalities in elderly population. J. Rehabil. Res. Dev. 2013;50:835–844. doi: 10.1682/JRRD.2011.12.0233. [DOI] [PubMed] [Google Scholar]
- 103.Richmond SB, Fling BW, Lee H, Peterson DS. The assessment of center of mass and center of pressure during quiet stance: Current applications and future directions. J. Biomech. 2021;123:110485. doi: 10.1016/j.jbiomech.2021.110485. [DOI] [PubMed] [Google Scholar]
- 104.Todorov E, Jordan MI. Optimal feedback control as a theory of motor coordination. Nat. Neurosci. 2002;5:1226. doi: 10.1038/nn963. [DOI] [PubMed] [Google Scholar]
- 105.Kim HE, Avraham G, Ivry RB. The psychology of reaching: Action selection, movement implementation, and sensorimotor learning. Annu. Rev. Psychol. 2021;72:61–95. doi: 10.1146/annurev-psych-010419-051053. [DOI] [PMC free article] [PubMed] [Google Scholar]
- 106.van der Kruk E, et al. Age-related compensation: Neuromusculoskeletal capacity, reserve & movement objectives. J. Biomech. 2021;122:110385. doi: 10.1016/j.jbiomech.2021.110385. [DOI] [PubMed] [Google Scholar]
- 107.Doorenbosch CAM, Harlaar J, Roebroeck ME, Lankhorst GJ. Two strategies of transferring from sit-to-stand; The activation of monoarticular and biarticular muscles. J. Biomech. 1994;27:1299–1307. doi: 10.1016/0021-9290(94)90039-6. [DOI] [PubMed] [Google Scholar]
- 108.Alkjær T, Larsen PK, Pedersen G, Nielsen LH, Simonsen EB. Biomechanical analysis of rollator walking. BioMed. Eng. OnLine. 2006;5:2. doi: 10.1186/1475-925X-5-2. [DOI] [PMC free article] [PubMed] [Google Scholar]
- 109.de Rugy A, Loeb GE, Carroll TJ. Muscle coordination is habitual rather than optimal. J. Neurosci. 2012;32:7384–7391. doi: 10.1523/JNEUROSCI.5792-11.2012. [DOI] [PMC free article] [PubMed] [Google Scholar]
- 110.Papa E, Cappozzo A. Sit-to-stand motor strategies investigated in able-bodied young and elderly subjects. J. Biomech. 2000;33:1113–1122. doi: 10.1016/s0021-9290(00)00046-4. [DOI] [PubMed] [Google Scholar]
- 111.Cunha CPD, Rao PT, Karthikbabu S. Clinical features contributing to the sit-to-stand transfer in people with Parkinson’s disease: A systematic review. Egypt. J. Neurol. Psychiatry Neurosurg. 2021;57:1–15. [Google Scholar]
- 112.Nikfekr E, Kerr K, Attfield S, Playford ED. Trunk movement in Parkinson’s disease during rising from seated position. Mov. Disord. 2002;17:274–282. doi: 10.1002/mds.10073. [DOI] [PubMed] [Google Scholar]
- 113.Anderson K, Behm DG. The impact of instability resistance training on balance and stability. Sports. Med. 2005;35:43–53. doi: 10.2165/00007256-200535010-00004. [DOI] [PubMed] [Google Scholar]
- 114.Chang SR, Kobetic R, Triolo RJ. Understanding stand-to-sit maneuver: Implications for motor system neuroprostheses after paralysis. J. Rehabil. Res. Dev. 2014;51:1339–1352. doi: 10.1682/JRRD.2013.12.0264. [DOI] [PMC free article] [PubMed] [Google Scholar]
- 115.Shum GLK, Crosbie J, Lee RYW. Effect of low back pain on the kinematics and joint coordination of the lumbar spine and hip during sit-to-stand and stand-to-sit. Spine. 2005;30:1998–2004. doi: 10.1097/01.brs.0000176195.16128.27. [DOI] [PubMed] [Google Scholar]
- 116.Carr JH. Balancing the centre of body mass during standing up. Physiother. Theory Pract. 1992;8:159–164. [Google Scholar]
- 117.Khuna L, Thaweewannakij T, Wattanapan P, Amatachaya P, Amatachaya S. Five times sit-to-stand test for ambulatory individuals with spinal cord injury: A psychometric study on the effects of arm placements. Spinal Cord. 2020;58:356–364. doi: 10.1038/s41393-019-0372-3. [DOI] [PubMed] [Google Scholar]
- 118.Millington PJ, Myklebust BM, Shambes GM. Biomechanical analysis of the sit-to-stand motion in elderly persons. Arch. Phys. M. 1992;73:609–617. [PubMed] [Google Scholar]
- 119.Harman EA, Rosenstein MT, Frykman PN, Rosenstein RM. The effects of arms and countermovement on vertical jumping. Med. Sci. Sports. Exerc. 1990;22:825–833. doi: 10.1249/00005768-199012000-00015. [DOI] [PubMed] [Google Scholar]
- 120.Lees A, Vanrenterghem J, Clercq DD. Understanding how an arm swing enhances performance in the vertical jump. J. Biomech. 2004;37:1929–1940. doi: 10.1016/j.jbiomech.2004.02.021. [DOI] [PubMed] [Google Scholar]
- 121.Swearingen JJ. Determination of Centers of Gravity of Man. Civil Aeromedical Research Institute; 1962. [PubMed] [Google Scholar]
- 122.Dekker D, Buzink SN, Molenbroek JFM, De Bruin R. Hand supports to assist toilet use among the elderly. Appl. Ergon. 2007;38:109–118. doi: 10.1016/j.apergo.2005.07.010. [DOI] [PubMed] [Google Scholar]
- 123.Kato T, Sekiguchi Y, Honda K, Izumi S-I, Kanetaka H. Comparison of handrail reaction forces between two different handrails during sit-to-stand movement in the elderly. Clin. Biomech. 2020;80:105130. doi: 10.1016/j.clinbiomech.2020.105130. [DOI] [PubMed] [Google Scholar]
Associated Data
This section collects any data citations, data availability statements, or supplementary materials included in this article.
Supplementary Materials
Data Availability Statement
Correspondence and requests for materials should be addressed to the corresponding author Michael Herzog (michael.herzog@kit.edu).








