Abstract
p-Hydroxycinnamic acids, such as sinapic, ferulic, p-coumaric and caffeic acids, are among the most abundant phenolic compounds found in plant biomass and agro-industrial by-products (e.g. cereal brans, sugar-beet and coffee pulps, oilseed meals). These p-hydroxycinnamic acids, and their resulting decarboxylation products named vinylphenols (canolol, 4-vinylguaiacol, 4-vinylphenol, 4-vinylcatechol), are bioactive molecules with many properties including antioxidant, anti-inflammatory and antimicrobial activities, and potential applications in food, cosmetic or pharmaceutical industries. They were also shown to be suitable precursors of new sustainable polymers and biobased substitutes for fine chemicals such as bisphenol A diglycidyl ethers. Non-oxidative microbial decarboxylation of p-hydroxycinnamic acids into vinylphenols involves cofactor-free and metal-independent phenolic acid decarboxylases (EC 4.1.1 carboxyl lyase family). Historically purified from bacteria (Bacillus, Lactobacillus, Pseudomonas, Enterobacter genera) and some yeasts (e.g. Brettanomyces or Candida), these enzymes were described for the decarboxylation of ferulic and p-coumaric acids into 4-vinylguaiacol and 4-vinylphenol, respectively. The catalytic mechanism comprised a first step involving p-hydroxycinnamic acid conversion into a semi-quinone that then decarboxylated spontaneously into the corresponding vinyl compound, in a second step. Bioconversion processes for synthesizing 4-vinylguaiacol and 4-vinylphenol by microbial decarboxylation of ferulic and p-coumaric acids historically attracted the most research using bacterial recombinant phenolic acid decarboxylases (especially Bacillus enzymes) and the processes developed to date included mono- or biphasic systems, and the use of free- or immobilized cells. More recently, filamentous fungi of the Neolentinus lepideus species were shown to natively produce a more versatile phenolic acid decarboxylase with high activity on sinapic acid in addition to the others p-hydroxycinnamic acids, opening the way to the production of canolol by biotechnological processes applied to rapeseed meal. Few studies have described the further microbial/enzymatic bioconversion of these vinylphenols into valuable compounds: (i) synthesis of flavours such as vanillin, 4-ethylguaiacol and 4-ethylphenol from 4-vinylguaiacol and 4-vinylphenol, (ii) laccase-mediated polymer synthesis from canolol, 4-vinylguaiacol and 4-vinylphenol.
Keywords: Biotechnological process, Canolol, Hydroxycinnamic acid, Phenolic acid decarboxylase, Rapeseed meal, Sinapic acid, Vinylphenol
Introduction
Rapeseed meal, the co-product of the de-oiling process of rapeseed/canola (Brassica napus L.) seeds, contains significant amounts (up to 2% dry matter) of phenolic compounds, mainly as sinapic acid esters and canolol (2,6-dimethoxy-4-vinylphenol or vinylsyringol) its thermal decarboxylation product. Other vinylphenols, including 4-vinylphenol (4-VP), 4-vinylcatechol (2-hydroxy-4-vinylphenol or 4-VC) and 4-vinylguaiacol (2-methoxy-4-vinylphenol or 4-VG) are naturally occurring aroma compounds in fermented foods and beverages, and result from microbial decarboxylation of corresponding p-hydroxycinnamic acids (p-HCAs), namely p-coumaric, caffeic and ferulic acids, respectively (Fig. 1). Both p-HCAs and their vinyl derivatives exhibit many interesting chemico-physical and biological properties which make them attractive molecules for sectors as varied as agri-food, perfumes, pharmaceuticals, fine chemicals or polymer materials, in a context where the substitution of petro-sourced chemicals for sustainable alternatives has become a major issue. From an industrial standpoint, p-HCAs are currently obtained from either (i) chemical or enzyme hydrolysis of agricultural biomasses followed by extraction/purification, or (ii) condensation of malonic acid with synthetic or biosourced p-hydroxybenzaldehydes via the Knoevenagel-Doebner reaction. However, despite the continuous improvement of synthesis routes and recovery processes, it is clear that p-HCAs still suffer from limited availability and high prices, which restricted their outlets to high value-added and niche markets [1]. The direct and selective synthesis of p-HCAs by engineered microorganisms appears today as one of most promising route for a bulk and cheap production, as shown by the recent advances in p-coumaric acid production from sugars [2, 3]. As for vinylphenols, their availability on the market is even more limited since they essentially result from the chemical processing, most often in harsh conditions, of p-HCAs (decarboxylation) or p-hydroxybenzaldehydes (Knoevenagel-Doebner condensation). This is particularly the case for 4-vinylcatechol and canolol whose precursors are lacking on large scale and, in a less extent, for 4-vinylguaiacol which compete with vanillin production and uses. Alternatively, the non-oxidative decarboxylation of p-HCAs in mild conditions using microorganisms or enzymes was also investigated over the past decade, and cofactor-free and metal-independent phenolic acid decarboxylases (PADs) were demonstrated as particularly suited and performing biocatalysts. Recently, a two-step bioconversion process combining an Aspergillus niger feruloyl esterase with the fungus Neolentinus lepideus, allowed the quantitative production of canolol from rapeseed meal [4], thus opening up new perspectives to access vinylphenols from abundant p-HCAs-rich biomasses such as oilseed meals, cereal brans or sugar beet and coffee pulps.
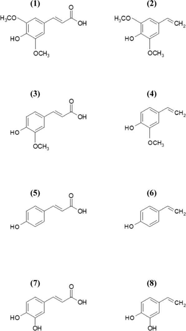
Fig. 1.

Chemical structure of p-hydroxycinnamic acids and their vinyl derivatives. (1) sinapic acid (3,5-dimethoxy-4-hydroxycinnamic acid), (2) canolol (2,6-dimethoxy-4-vinylphenol), (3) ferulic acid (3-methoxy-4-hydroxycinnamic acid), (4) 4-vinylguaiacol (2-methoxy-4-vinylphenol), (5) p-coumaric acid (4-hydroxycinnamic acid), (6) vinyl phenol (4-vinylphenol), (7) caffeic acid (3,4-dihydroxycinnamic acid), (8) 4-vinylcatechol (2-hydroxy-4-vinylphenol)
In this review, we will report the recent advances in the biotechnological production and conversion of vinylphenols, with a particular focus on canolol. In a first part, we will give a short review of the occurrence, properties, and technological significance of vinylphenols and their precursors, i.e. p-HCAs. Then, we will discuss the major interest of biocatalysts, and more especially microbial PADs, in the processing of hydroxycinnamic acids into vinylphenols. Finally, before concluding, we will give some examples of further transformation of vinylphenols and the still modest place of bioprocesses.
Enzymatic conversion of hydroxycinnamic acids into vinylphenols
Occurrence, properties, and biotechnological value of hydroxycinnamic acids
Hydroxycinnamic acids (3-phenyl-2-propenoic acids) are formed in plants via the phenylpropanoid biosynthetic pathway, which begins under the action of phenylalanine ammonia lyase (PAL) by non-oxidative deamination of l-phenylalanine into trans-cinnamic acid [5]. Hydroxycinnamic acids, such as ferulic acid (3-methoxy-4-hydroxycinnamic acid, FA), p-coumaric acid (4-hydroxycinnamic acid, pCA), sinapic acid (3,5-dimethoxy-4-hydroxycinnamic acid, SA) and caffeic acid (3,4-dihydroxycinnamic acid, CafA) (Fig. 1), are among the most abundant phenolic compounds found in plant biomass and agro-industrial by-products such as cereal brans, sugar-beet and coffee pulps and oilseed meals. FA plays a key role in plant cell-wall structure and physiology. In Gramineous plants, FA is mainly esterified in the O-5 position with the arabinose residues of arabinoxylans. In Dicots, it is esterified in the O-2 or O-3 position of arabinose and the O-6 position of galactose residues present in pectins. In contrast, the bonds between FA and lignin are essentially etherifications of the α-O-4 and/or β-O-4 type [6]. FA is found in mono- or dimeric forms. The dimeric FA forms diferulate bridges between two chains of polysaccharides [7] or between a chain of polysaccharide and lignin [8], and this structure reinforces the rigidity and integrity of the cell wall. FA is particularly abundant in common agricultural by-products such as cereal brans and sugar-beet pulp (1–4% dry matter). pCA is also particularly found in gramineous cell walls, especially in wheat straw and maize bran, where it is covalently linked to polysaccharides by ester bonds and to lignin by mainly ester but also ether bonds [6]. CafA is not bound to the various components of the plant cell wall. It is found in several soluble forms, as a dimer such as rosmarinic acid but also esterified with quinic acid to form chlorogenic acids. The family of chlorogenic acids includes: (i) monoesters of CafA, pCA and FA; (ii) di-, tri- and tetraesters of CafA, (iii) mixed CafA–FA or CafA–SA diesters; (iv) mixed esters between one or several CafA residues and an aliphatic acid such as succinic acid [9]. SA and CafA are especially abundant in rapeseed and sunflower meal, which are the main co-products of rapeseed and sunflower seed pressing and de-oiling processes. Rapeseed meals (RSM) and sunflower meals (SFM) have relatively high total phenolic compound contents (TPC), ranging from 1–2% dry matter for RSM and 2–4% dry matter for SFM. In RSM, these phenolics are almost exclusively SA esters, with sinapine as the main derivative (80% of TPC content) and the remaining 20% composed of mono-, di- and tri-sinapoyl esters of sugars and/or kaempferol [10–12]. In SFM, the phenolics are mostly CafA esters: 5-O-caffeoylquinic acid (chlorogenic acid) is the major phenolic compound, accounting for 70% of the TPC content, while the remaining 30% are other mono- and di-caffeoylquinic acids, plus coumaroyl- and feruloylquinic acids. SFM also contains free CafA, but it accounts for just 0.5% of the TPC content [13–15].
Hydroxycinnamic acids are bioactive molecules with many interesting properties, including antioxidant, anti-inflammatory and antimicrobial activities, among others [16–19]. Furthermore, owing to their particular structure and reactivity, hydroxycinnamic acids, as their corresponding vinylphenols obtained by decarboxylation (Fig. 1), have gained great importance in the past decade for the synthesis of new sustainable polymers and pre-polymers [20–25]. The paragraphs that follow lend special focus to SA and canolol.
The literature on SA points to pharmacological value in many areas. In vitro and in vivo studies carried out on SA have demonstrated that SA could prevent or slow progression of a wide range of diseases, from cancer and diabetes to cardiovascular disease, Alzheimer’s disease, and ischemic lesions [26, 27]. There is already two decades of research focusing on SA as a potential antioxidant, and studies have shown that it has superior effectiveness to FA, which is already in use as an antioxidant in food, beverages, and cosmetics, and equivalent effectiveness to CafA [28–30]. A number of studies have recently demonstrated that oral intake of SA can be beneficial in the prevention of many oxidative stress-related diseases. For instance, Zych et al. [31] studied oxidative stress associated with postmenopausal disorders and the development of cataract in estrogen-deficient rats, and showed that oral intake of SA had benefit for cataract prevention. Indeed, the intake of SA increased the content of reduced glutathione (GSH) and improved the activity of glutathione reductase and other parameters related to protein oxidation. Shahmohamady et al. [32] demonstrated that oral administration of SA in rats with Alzheimer’s disease increased antioxidant enzyme levels and decreased cell loss in the cerebral cortex and hippocampus. Furthermore, Cai et al. [33] used a mouse model of osteoarthritis induced by destabilization of the medial meniscus and showed that SA intake activated the signaling pathways of nuclear factor Nrf2 and heme oxygenase-1 and had a powerful anti-inflammatory effect on osteoarthritic articular cartilage. This anti-inflammatory effect was measured in vivo and in vitro as a decrease in expression of induced oxide nitrate synthase (iNOS), cyclooxygenase (COX-2), and cytokines: tumor necrosis factor TNF-α and interleukine IL-1β. SA has exhibited cytotoxic activity against various cancer cell lines, including colon cancer (HT29 and SW480 lines) and human laryngeal carcinoma (Hep-2 line) [34, 35]. Balaji then demonstrated that SA inhibited carcinogenesis by increasing the activity of enzymatic and non-enzymatic antioxidants present in the body, including catalase, superoxide dismutase (SOD) and GSH [36]. In 2018, Singh et al. showed that SA inhibited histone deacetylase, which plays a role in the initiation and progression of cancers, as well as an induction of apoptosis, thus preventing the onset of cancer [37].
Properties and applications of vinylphenols
Otherwise, vinyl derivatives of pCA, CafA, FA and SA could also find numerous applications in food, cosmetic or pharmaceutical industries, due to their powerful antioxidant and anti-inflammatory properties [38]. An overview of the main antioxidant and biological properties of vinylphenols will be made in the following paragraphs, starting with canolol.
Analysis of antioxidant compounds in rapeseed oil by Koski et al. [39] and then Wakamatsu et al. [40] showed a correlation between the concentration of phenolic compounds and the resistance of lipids to auto-oxidation. These authors identified canolol as the phenolic compound largely responsible for the stability of rapeseed oil against oxidation. Indeed, studies by Koski et al. [39], Wakamatsu et al. [40] and Galano et al. [41] brought evidence that canolol had comparable antioxidant activity to γ-tocopherol and superior antioxidant activity to α-tocopherol, vitamin C, β-carotene, rutoside, and quercetin. Furthermore, canolol is lipophilic, which gives it better affinity with cell membranes than hydrophilic antioxidants. Studies have generally found that canolol decreases the cell apoptosis induced by oxidative stress [42–44] and acts on expression of the transcription factor Nrf-2 that regulates the expression of anti-oxidative enzymes (heme oxygenase or catalase, for example). In addition, canolol also appeared to activate extracellular signal-regulated kinases (or ‘ERK proteins’), which themselves play a role in defense against oxidative stress. Cao et al. [45] analyzed the antioxidant and anti-inflammatory effects of canolol on gastritis caused by Helicobacter pylori. During infection, this bacterium generates a strong immune response via the expression of cytokines (IL-1β, TNF-α), the activation of enzymes (COX-2, iNOS), and also the production of anti-Helicobacter pylori antibodies, and canolol was found to exert a protective role by reducing the effects of inflammation. Maeda et al. [46] used the Mongolian gerbil as an animal model of gastric carcinogenesis related to H. pylori infection, and found that treatment of H. pylori-infected animals with a diet containing canolol led to a strong reduction in gastric inflammation. Canolol was thus able to suppress the in-stomach production of 8-oxodeoxyguanosine, an in vivo marker of inflammatory pathologies resulting from the reaction of free radicals with DNA. Although canolol did not directly inhibit bacterial growth, it did have the ability to suppress inflammation and hence the cell proliferation and carcinogenesis induced by H. pylori. Furthermore, Jiang et al. [47] showed that canolol inhibited the growth and activated the apoptosis of human gastric adenocarcinoma cells (SGC-7901 line), thus preventing cell multiplication. Fang et al. [44] investigated the potential beneficial effects of canolol in colon cancer. Addition of canolol to the diet significantly suppressed the pathogenesis of this cancer in mice. In both cases, it seemed that the effect of canolol was associated with the inhibition of inflammatory cytokines (COX-2, iNOS, TNF). A patent, from Maeda et al. [46], protected any product (drug, cosmetic, food), formulation or method comprising canolol, intended to treat inflammation and prevent the onset of cancer. The pathologies targeted were (i): inflammatory diseases such as duodenitis, gastritis, peptic ulcer disease, bronchitis, rheumatism, hepatitis, colitis, conjunctivitis, pancreatitis, stomatitis, and pharyngitis; (ii): cancers of the stomach, colon, liver, gallbladder, bile ducts, esophagus and lungs. In the field of cosmetics, canolol could act against skin aging, burns, sunburn, and any other inflammation of the skin.
Regarding other vinylphenols, i.e. 4-VP, 4-VC and 4-VG, few works have focused on their antioxidant properties. Terpinc et al. [48] systematically evaluated their reducing power with the ferric reducing antioxidant power (FRAP) assay, as well as their ability to scavenge radicals (2,2-diphenyl-1-picrylhydrazyl radical, DPPH• and superoxide anion radical, O2•−) in homogeneous solutions and in linoleic acid-based emulsion (β-carotene bleaching test). They found that 4-VC was the most efficient scavenger of stable DPPH• and O2•− radicals due to the catechol moiety, while 4-VG was the best radical chain-breaker in emulsion, highlighting thus the superior role of vinylphenol polarity over their scavenging capacity in heterogenous lipid-based systems. The corresponding hydroxycinnamic acids (i.e. p-coumaric, caffeic, ferulic and sinapic acids) were also evaluated in the same tests, and a similar ranking to that of the vinylphenols was obtained. Interestingly, the performance of vinylphenols in homogeneous media was found to be inferior to that of the more polar hydroxycinnamic acids, whereas the opposite situation was observed in emulsion. Fujioka and Shibamato [49] investigated the antioxidant activity of a brewed commercial coffee through the inhibition of malondialdehyde formation during cod liver oil peroxidation. The phenolic compounds present in the dichloromethane extract exhibited the strongest activity, especially 4-VG. The latter was found to be more efficient than the reference antioxidant α-tocopherol, but equivalent to synthetic butylated hydroxytoluene (BHT), with 95–100% inhibition at concentration of 0.1 g/L. In their study on the antioxidant properties of the ethyl acetate extract of commercial beers, Rahman et al. [50] reported a positive correlation between 4-VG and radical scavenging assays (p < 0.05 for 2,2′-Azino-bis-3-ethylbenzothiazoline-6-sulfonic acid ABTS•+ assay and p < 0.001 for FRAP assay), suggesting probable antioxidant action of 4-VG in finished beer. This strong antioxidant capacity of 4-VG was also confirmed in bulk oils [51] and in oil/water emulsion [52]. The effect of 4-VC on the stability of soybean oil-in-water emulsions stored at 40 °C for 50 days in the dark was studied by monitoring the formation of primary and secondary oxidation products [53]. Compared with α-tocopherol, 4-VC showed higher antioxidant activity at the same concentration (200 ppm). On the other hand, results regarding 4-VC + α-tocopherol mixture (100 ppm each) revealed the weak synergy of the two molecules, i.e. the low capacity of 4-VG to regenerate and recycle tocopheroxyl radical into α-tocopherol. In a similar study, Jia et al. [54] compared the efficiency of 4-VC, α-tocopherol and BHT (200 ppm each) in delaying oxidation of a stripped soybean oil heated at 60 °C in the dark. After 11 days, the oxidation extent was equivalent in sample treated with 4-VC and BHT, but significantly lower than that of the control or sample containing α-tocopherol. A powerful synergistic effect was observed with 4-VC + α-tocopherol (100 ppm each) mixture as no aldehyde was detected in the corresponding sample. These results were in agreement with those of Terpinc et al. [48] who showed that antioxidant properties of vinylphenols dramatically rely on the nature, either homogeneous (bulk oil, aqueous media) or heterogeneous (emulsion), of the system in which they were assessed.
Along with intrinsic chemical reactivity, the amphiphilic character, given on one side by the polarity of the phenolic hydroxyl and the lipophilicity of the vinyl group on the other side, likely favors interactions with interfaces in dispersed lipid systems, but also with membranes in living organisms, thus playing a role on the biological properties of 4-VG and 4-VC. For instance, Senger et al. [55, 56] linked the presence of 4-VC and some alkyl catechols to the anti-inflammatory properties of Barleria lupulina, an essential medicinal plant from Southeast Asia, India and southern China, and demonstrated the powerful action of these cofactors for activation of the Nrf2 (NFE2L2) cell defense pathway, both in vitro and in vivo. The first clue of possible anti-inflammatory activity of 4-VG was brought by Pongprayoon et al. [57] who extracted the molecule from Ipomoea pes-caprae (L.) R. Br., and then noticed a potent inhibitory effect (IC50 of 18 µM) on prostaglandin synthesis in vitro. Twenty years later, Jeong et al. [58] elucidated the anti-inflammatory mechanism in RAW264.7 murine macrophage cells stimulated with E. coli (055:B5) lipopolysaccharides. They found that 4-VG down-regulated the expression of some key pro-inflammatory mediators such as nitric oxide, prostaglandins (PGE2), iNOS and COX-2, through the suppression of (i) NF-κB and MAPK pathway activation, and (ii) histone H3 hyper-acetylation. In addition, antiproliferative effects were found on the two colorectal cancer cell lines HCT-116 and HT-29 [59], on benzo[a]pyrene-treated mouse fibroblast NIH 3T3 cells [60], as well as on human breast cancer MCF-7 cells [61] and human pancreatic cancer Panc-1 cells [62]. Finally, Rubab et al. [63] identified 4-VG as one of the main contributors of the strong antibacterial and antifungal effect of red cabbage (Brassica oleracea var. capitata f. rubra) chloroform extract, which was additionally proved antioxidant and non-cytotoxic (C. elegans chemotaxis assay). Anti-virulence properties of Micromonospora sp. RMA46 (a rare marine Actinobacteria from Indian mangrove) against Vibrio cholerae HYR14 were assessed in vitro by Sarveswari et al. [64]. The ethyl acetate extract of RMA46, containing 43 chemical compounds including 4-VG, was not bactericidal but inhibited the formation of HYR14 biofilm. Interestingly, in silico molecular docking revealed that, among all compounds, 4-VG had the highest binding capability with LuxO protein, and could therefore potentially block quorum sensing-mediated biofilm formation in V. cholerae.
In addition to these antioxidant, anti-inflammatory and anticarcinogenic properties, vinylphenols, and especially canolol and 4-VG, were also shown to be suitable precursors of (i) thermoplastic biopolymers and (ii) bio-based substitutes for bisphenol A diglycidyl ether [24].
Microbial decarboxylation of phenolic compounds into vinyl derivatives was first highlighted in the 1960s, cued by the presence of 4-VG and 4-VP in distillates from grain alcohol ferments such as whiskey or beer. The decarboxylation was able to occur during yeast fermentation or bacterial contamination [65]. In microorganisms, non-oxidative microbial decarboxylation of hydroxycinnamic acids notably involves intracellular enzymes called phenolic acid decarboxylases (PADs, EC 4.1.1, carboxyl lyase family), and is thought to be related to the metabolic pathways of phenolic detoxification.
Microbial cofactor-free and metal-independent phenolic acid decarboxylases
The microbial (de)carboxylation of aromatic compounds (secondary metabolism) involves biocatalysts that are classified into three main types of enzymes: (i) divalent metal-dependent decarboxylases, (ii) prenylated flavin mononucleotide-dependent decarboxylases (UbiD superfamily), and (iii) cofactor-free metal independent decarboxylases PADs [66]. The following paragraphs focus exclusively on this third group of enzymes.
In 1994, a ferulic acid decarboxylase was purified and characterized for the first time from Pseudomonas fluorescens [67]. To date, only PADs purified from bacteria of the genera Bacillus, Lactobacillus, Pseudomonas and Enterobacter and certain yeasts (e.g. Brettanomyces bruxellensis, B. anomalus, Candida guilliermondii) have been thoroughly characterized in the literature [68–72] (Table 1). Bacterial and yeast PAD activity has essentially been described for the conversion of FA into 4-VG and pCA into 4-VP. A mandatory feature of the PAD substrates was that they had to possess a para-hydroxyl group. These PADs were homodimeric enzymes of molecular mass comprised between 40 and 46 kDa and did not require cofactors (Table 1). Their optimum temperature was between 20 and 45 °C, and their optimum pH was between 4 and 7.3. Several authors have reported inhibition/deactivation of PADs by the substrate and the product of the enzymatic reaction [68, 75]. Analysis of the structure of the crystallized PAD from the strain Bacillus pumilus UI-670 revealed two monomers consisting of a β-barrel structure and two α-helices [82]. The active binding site to the substrate was in a generally hydrophobic pocket, inside the barrel. The most highly-conserved residues were the hydrophobic residues that were found in this cavity of the β-barrel (Fig. 2). Both the C- and N-terminal sequences of bacterial PADs appeared to play a crucial role in the activity and substrate specificity of the enzyme [82, 83]. In bacterial PADs, the catalytic mechanism comprised a first step involving hydroxycinnamic acid conversion into a semi-quinone that then decarboxylated spontaneously into the corresponding vinyl compound in a second step [70, 84, 85]. In Lactobacillus plantarum, the formation of a quinone methide intermediate resulted from a deprotonation of the phenolic p-hydroxyl group of the substrate by Glu71, assisted by Arg48 [84]. Two Tyr residues (Tyr18 and Tyr20) were involved in the good spatial orientation of the substrate in the active site by binding the carboxylate moiety and in its subsequent decarboxylation. The same mechanism was described for the PAD from B. subtilis [85] (Fig. 3). In that case, the authors suggested that the protonation of the substrate C2–C3 double bond was driven by the Tyr19 residue. All these residues were found to be highly conserved in bacterial and yeast PADs [84, 85] (Fig. 2). The mobile β1–β2 loop (from Tyr11 to Ala19 in B. subtilis) closed over the active site in the presence of the substrate in order to restrict water ingress into the cavity [85]. It was hypothesized that the steric properties of the substituents on the aromatic ring played a more crucial role than electronic effects in explaining the specificities of PAD substrates [66].
Table 1.
Biochemical properties of PADs described in literature
| Source | Molecular mass (kDa) | Optimal pH | Optimal temperature (°C) | Substratea | KM (mM) | Specific activity (U/mg) | References |
|---|---|---|---|---|---|---|---|
| Bacteria | |||||||
| Bacillus pumilus PS213 | 2 × 23 | 5.5 | 37 | FA | 1.03 | 72.2 | Degrassi et al. [73] |
| pCA | 1.38 | – | |||||
| B. pumilus DRV 52131 | - | 6.5 | 37 | FA | 0.31 | – | Lee et al. [68] |
| B. pumilus UI-670b | 2 × 20.4 | 7.3 | 27–30 |
FA pCA |
7.9 – |
290 – |
Huang et al. [67] |
| B. subtilis I-168 | 2 × 22 | 5 | 40–45 | FA | 1.1 | 280 | Cavin et al. [74] |
| CafA | 2.6 | – | |||||
| pCA | 1.3 | – | |||||
| B. licheniformis CGMCC7172 | 2 × 20 | 6 | 37 | FA | 1.55 | 117.82 | Hu et al. [72] |
| CafA | 1.93 | 54.36 | |||||
| SA | 2.45 | 0.46 | |||||
| pCA | 1.64 | 157.96 | |||||
| B. amyloliquefaciens KCTC1660 | - | 5.8 | 37 |
pCA FA CafA |
0.7 – – |
– – – |
Jung et al. [75] |
| B. atrophaeus UCMB-5137 | 2 × 25 | 5.5 | 50 |
pCA FA CafA |
3.45 2.57 1.68 |
253 178 80 |
Li et al. [76] |
| Lactobacillus brevis RM84 | 2 × 20 | 6 | 22 | FA | 0.78 |
7.7 10 10 |
Landete et al. [71] |
| CafA | 0.96 | ||||||
| pCA | 0.98 | ||||||
| Enterobacter sp. Px6-4 | 2 × 23 | 4 | 28 | FA | 2.4 | 410 | Gu et al. [70] |
| Yeasts | |||||||
| Brettanomyces bruxellensis L2480 | 2 × 21 | 6 | 40 | pCA | 1.22 | 98 | Godoy et al. [69] |
| Brettanomyces anomalus NCYC615 | 2 × 21.8 | 6 | 40 |
FA pCA CafA |
1.15 1.55 – |
13.49 22.26 – |
Edlin et al. [77] |
| Candida guilliermondii ATCC9058 | 2 × 20 | 6 | 25 |
FA pCA CafA |
5.32 2.66 – |
531 600 45.6 |
Huang et al. [78] |
| Fungi | |||||||
| Neolentinus lepideus BRFM15 | 2 × 20 | 6–6.5 | 37–45 |
FA SA pCA CafA |
– | – | Lomascolo et al. [79] |
| Aspergillus luchuensis ISH1 | 2 × 19.4 | 5.7 | 40 |
FA pCA CafA |
8.65 6.63 39.92 |
– | Maeda et al. [80] |
| Schizophyllum commune DSMZ1024 | 2 × 21 | 5.5 | 35 | FA | 0.16 | 2.922 | Detering et al. [81] |
aFA: ferulic acid; SA: sinapic acid; CafA: caffeic acid; pCA: p-coumaric acid
bFormerly named Pseudomonas fluorescens by authors
–: non determined by authors
Fig. 2.
ClustalW alignment of PAD protein sequences. PADs from Bacillus subtilis, Bacillus licheniformis, Bacillus pumilus, Lactobacillus plantarum, Enterobacter sp., Pseudomonas fluorescens, Stereum hirsutum, Schizophyllum commune, Brettanomyces bruxellensis and Neolentinus lepideus (Accession Numbers in the NCBI database: PFK93232.1, ATI77534.1, WP_099727689.1, ASZ34126.1, EJF30578.1, WP_034118423, XP_007303961.1, XP_003032860.1, APP94195.1 and KZT30061.1, respectively). The sequences shared between them 16–88% similarity. The amino acids (aa) described as involved in the catalytic mechanism are indicated in grey boxed letters. These aa are highly conserved among the sequences. The numbering of aa is based on the sequence of the B. subtilis PAD [85]
Fig. 3.

Model of the catalytic mechanism of the L. plantarum PAD for decarboxylation of pCA [84]. The corresponding amino acids identified in B. subtilis PAD are indicated in red color [85]. The carboxyl moiety of pCA is linked to residues Tyr18 and Tyr20 in this enzyme. Deprotonation of the hydroxyl group of pCA by residue Glu71 (first step) leads to the formation of a semi-quinone intermediate whose decarboxylation generates 4-vinylphenol (second step)
The substrate specificity of native bacterial and yeast PADs has mainly been described for FA, pCA and CafA, with studies finding a much lower specific activity for CafA in general [71, 74]. A PAD from B. licheniformis was shown to possess a broader substrate activity including pCA, FA, CafA, and SA decarboxylation but with the relative ratios of specific activities 100:75.6:34.4:0.3, which corresponded to Vm values of 268.4, 216.8, 119 and 0.78 U/mg, respectively [72]. In 2013, a wild-type B. pumilus PAD was engineered by directed mutagenesis, and some mutants displayed activity on SA, with the best specific activity obtained being 1.4 U/mg [86]. Curiously, the catalytic activity of this evolved enzyme towards FA decreased sevenfold at the same time. After mutations on the N- or C-terminus, an engineered PAD from B. amyloliquefaciens also displayed an activity on SA which, however, remained anecdotic compared to the activity on FA and pCA [87].
To date, much less literature is available regarding filamentous fungi PADs. In 2016, Xie et al. [88] described the potential of the endophytic fungus Phomopsis liquidambari to transform SA into canolol. In this case, canolol was further degraded via syringaldehyde, syringic acid and gallic acid through a metabolic pathway involving PAD, laccase, and gallic acid dioxygenase. With the increasing number of sequenced fungal genomes, some sequences predicted as putative PADs are likely found in annotated publicly-available fungal genomes [89], particularly in the Basidiomycota phylum, including the species Neolentinus lepideus, Schizophyllum commune and Stereum hirsutum. For instance, the N. lepideus HHB14362, S. commune H4-8 and S. hirsutum FP-91666 PAD predicted sequences showed no more than 45% similarity with those of known bacterial and yeast PADs (Fig. 2). In 2017, filamentous fungi of the N. lepideus species were shown to natively produce PADs with strong decarboxylation activity on both FA and SA [79]. These PADs also exhibited some, albeit weaker, activity on pCA and CafA. In particular, the production of canolol and 4-VG, in a culture medium of the N. lepideus BRFM15 strain supplemented daily with SA and FA, respectively, reached concentrations up to 1–1.5 g/L. The PAD from N. lepideus BRFM15 was also described as a homodimer, with an apparent molecular mass of about 40 kDa, and active in a pH range of 5.5–7.5 and a temperature range of 30 °C–55 °C (Table 1) [79]. In that patent, a proof-of-concept of the heterologous production of a N. lepideus PAD in the extracellular medium of the recombinant host Aspergillus niger was also successfully achieved. It is worth noting that the species Schizophyllum commune and Stereum hirsutum were capable of biotransforming only FA into 4-VG but not SA into canolol [79]. In 2018, a PAD from the filamentous fungus Aspergillus luchuensis was heterologously produced in Escherichia coli and then purified and characterized [80] (Table 1). The four conserved residue signatures of PADs were found to be Tyr 18, Tyr20, Arg48 and Glu71 in the amino acid sequence. The recombinant PAD was active on FA, pCA and CafA, with a relative activity ratio of 100:150:19, but no activity on SA was reported. A PAD from Schizophyllum commune was heterologously produced in the yeast Komagataella phaffii [81], but FA was shown to be the sole substrate of the recombinant enzyme.
Biotechnological production of vinylphenols
Biotechnological processes for synthesizing 4-VG from FA and 4-VP from pCA have historically attracted the most research and are especially well documented for recombinant PADs from Bacillus species in mono- or biphasic systems. The recombinant enzymes generally remained intracellular. Consequently, the methods most intensively developed to date included the use of whole-cell biocatalysts, i.e. resting cells [76, 90–94]. However, this type of process may run into several bottlenecks, including: (i) possible cell toxicity induced by the substrate and/or product of p-hydroxycinnamic acid decarboxylation, (ii) the time needed for the transport system (diffusion, active transport) to enable the substrate to enter in the cells and then for the vinyl derivative to get out of the cells, and (iii) poor solubility of vinylphenols in aqueous phases. To tackle these technological challenges, biphasic aqueous-organic solvent systems have been developed in batch or continuous systems at lab or reactor scale [68, 75, 76, 92, 94, 95]. For instance, 1-octanol [75, 76], hexane [68], and cyclohexane [92] were found to be suitable organic solvents affording production yields of up to several grams of 4-VG or VP per liter. In 2013, Leisch et al. [91] tested a wide range of bioprocesses using a recombinant PAD from B. pumilus expressed in E. coli. The technologies tested included biphasic (water/toluene) whole-cell or cell-free extract biotransformations, a combination of biocatalyst with adsorbent resins for in situ 4-VG recovery, and fixed-bed bioreactors using immobilized cells. The best result enabled a productivity of 4.83 g/(L.h) 4-VG. Recently, high titers of 4-VP (17–187 g/L) from pCA, extracted from a solid lignin-rich corn stover bioprocess residue, were obtained using a recombinant PAD from B. amyloliquefaciens with an organic (undecanol) overlay in batch processes [94]. Continuous extraction of 4-VP in the organic phase resulted in the accumulation of 17 g/L VP with a 73% yield. Deep eutectic solvents (DES) have also emerged as alternatives to aqueous or biphasic (water/organic solvent) systems to address the poor solubility of phenolic acids in water. For instance, the B. subtilis PAD was tested in a reaction medium composed of choline chloride/glycerol mixed with water (1:1, w/w) [96] and produced high conversion yields (> 99%) at substrate loading of up to 300 mM. Moreover, the choice of DES influenced the acceptance of different substrates by the enzyme, as evidenced by the fact that DES favored the conversion of CafA which was only poorly decarboxylated in aqueous media. Other more original methods for producing 4-VG or VP have also emerged, including (i) an Enterobacter sp. PAD-based all-enzyme hydrogel for flow reactor technology [97], and (ii) in-cell crosslinked enzymes to improve B. megaterium whole-cell bioconversion of FA [98]. Molecular engineering enabled the creation of a Pseudomonas putida strain purpose-designed for producing 4-VG and 4-VP from media containing lignocellulose or lignin-derived substrates [99]. P. putida is originally able to release and metabolize FA from plant biomass via an operon containing fcs (feruloyl-CoA synthetase), ech (enoyl-CoA hydratase) and vdh (vanillin dehydrogenase) genes. By molecular engineering, the ech gene was deleted and further replaced by a pad gene to enable FA to accumulate and be converted into 4-VG.
Decarboxylation of SA into canolol could be obtained by physicochemical treatments including classical heat treatment (165 °C) of rapeseed meal (RSM), microwave treatment, or a combination of heat, pressure, and solvent extraction with alkali [100–103]. However, canolol yields remain low (0.5–0.8 mg/g RSM) and were not always reproducible, and the processes proved too random to reliably scale up.
In 2013, Morley et al. [86] proposed a chemoenzymatic process based on a laboratory-evolved B. pumilus PAD (originally inactive on SA) to synthesize canolol from SA extracted from RSM. The wild-type PAD was engineered by mutagenesis of selected amino acids including Ile85. The best mutant (Ile85Ala) showed an activity on SA of 1.4 U/mg and was chosen for the subsequent development of a two-step process including: (i) first, the chemically-driven release of free SA from RSM by alkaline hydrolysis, and (ii) second, the bioconversion of SA into canolol by the evolved PAD in a biphasic aqueous buffer/toluene system. Between these two steps, the isolation and recovery of SA from the alkaline hydrolysate was performed by solvent extractions. The different steps of the process are summarized on Fig. 4. The overall canolol production yield was 3 mg/g initial RSM [86]. A two-step bioconversion process for canolol production from RSM was later developed by harnessing and combining the complementary enzymatic potentialities of two filamentous fungi, i.e. the micromycete Aspergillus niger and the basidiomycete Neolentinus lepideus [4, 79] (Fig. 5). In the first step of the process, use of the enzyme feruloyl esterase type-A (named AnFaeA) enabled the release of free SA from the raw meal by hydrolyzing the conjugated forms of sinapic acid in the meal (mainly sinapine and glucopyranosyl sinapate). An amount of 39 nkat AnFaeA per gram of raw meal, at 55 °C and pH5, led to the recovery of 6.6–7.4 mg of free SA per gram RSM, which corresponded to a global hydrolysis yield of 68–76% and a 100% hydrolysis of sinapine. Then, the XAD2 adsorbent (a styrene and divinylbenzene copolymer resin) used at pH4 enabled efficient recovery of the released SA and its subsequent concentration after elution with ethanol. In the second step, 3-day-old submerged cultures of the strain N. lepideus BRFM15 were supplied with the recovered SA to serve as substrate for bioconversion into canolol via a non-oxidative decarboxylation pathway. Canolol production reached 1.28 g/L with a molar bioconversion yield of 80% and a productivity of 100 mg/(L.day). The same XAD2 resin, when used at pH7, allowed the recovery and purification of canolol from the culture broth of N. lepideus (Fig. 5). The overall yield of canolol production was calculated as about 3.8 mg/g initial RSM [4]. In both cases of biotechnological treatments [4, 86], a 4.1 to 6.6-fold increase in canolol synthesis per gram of RSM was achieved, compared to physical (heat) treatments.
Fig. 4.
Schematic representation of the chemo-enzymatic process to produce canolol from SA from RSM. The process used an engineered B. pumilus PAD, according to Morley et al. [86]
Fig. 5.
Schematic representation of the two-step biotechnological process to produce canolol from SA from RSM. The process combined the enzymatic potentialities of Aspergillus niger and Neolentinus lepideus, according to Odinot et al. [4]
Bioconversion of vinylphenols into valuable compounds
Apart from their applications in the field of flavors and fragrances, vinylphenols are considered, for more a decade, promising renewable platform molecules due to their aromatic structure and their reactivity brought by the vinyl group. However, it is worth noting that the majority of the studies published so far relies on the chemical or chemoenzymatic processing of vinylphenols from synthetic or hemi-synthetic origin. One can cites the development of surfactants [104, 105], reactive diluents [106, 107], or polymers and composites [108–112] for instance. Starting from synthetic 4-VG, Zago et al. [113], achieved the synthesis of amphiphilic antioxidants through a three steps chemoenzymatic process: (i) silylation of 4-VG, (ii) esterification of the vinylic double-bond by electrophilic addition of C2-C18 peracids generated in situ by Candida antarctica lipase-B and (iii) deprotection of resulting hydroxyalkyl esters (Fig. 6). Unexpectedly, silylated canolol turned out to be unreactive towards peracids. The same author also explored the production of potential sustainable alternatives to bisphenol A diglycidyl ether (DGEBA) through the conversion of 4-VG and canolol to diepoxidized diphenyls [24]: vinylphenols were first glycidylated with epichlorohydrin, and then dimerized by cross metathesis in the presence of Grubbs II catalyst. The resulting epoxy dimers were obtained in good yields with a high diastereoselectivity, and their hydrolyzed forms proved to have a relatively weak affinity towards estrogen receptor α.
Fig. 6.
Three steps chemoenzymatic conversion of 4-VG to amphiphilic phenolic hydroxyalkyl esters, according to Zago et al. [113]
Conversely, only very few studies have described the bioconversion of vinylphenols, previously obtained by the biocatalyzed decarboxylation of natural hydroxycinnamic acids. In other cases, hydroxycinnamic acids and vinyl phenols may be synthetic or natural, and the conversion of vinyl phenol chemically or enzymatically achieved (Table 2). For instance, Williamson et al. [99] performed first the decarboxylation of pCA and FA in lignocellulosic biomasses with a Bacillus subtilis PAD, and then the polymerization of resulting 4-VG and 4-VC through a Trametes versicolor laccase-mediated radical coupling. Starting from commercial CafA, Santamaria et al. [114], afforded 4-VG using a L. plantarum PAD, and then reduced to 4-ethylcatechol with a L. plantarum reductase. In the same study, 4-ethylphenol and 4-ethylguaiacol were directly obtained from 4-VG and 4-VP respectively.
Table 2.
(Bio)processing of vinylphenols into valuable compounds
| Substrate 1a | Catalyst | Product 1/Substrate 2 | Catalyst | Product 2 | References |
|---|---|---|---|---|---|
| – | – | 4-VG | Engineered E. coli | Vanillin | Saito et al. [115] |
| – | – | 4-VP | Engineered E. coli | (S)-4-(1-hydroxyethyl)phenol | Wuensch et al. [116] |
| – | – | 4-VP | L. plantarum reductase | 4-ethylphenol | Santamaria et al. [114] |
| – | – | 4-VG | L. plantarum reductase | 4-ethylguaiacol | Santamaria et al. [114] |
| CafA | L. plantarum PAD | 4-VC | L. plantarum reductase | 4-ethylcatechol | Santamaria et al. [114] |
| FA | M. colombiense PAD | 4-VG | Pd/C | 4-ethylguaiacol | Pesci et al. [117] |
| SA (canola) | B. pumilus PAD | 4-VS (canolol) | AIBN or BF3·(Et2O)2 | Poly-vinylsyringol | Morley et al. [86] |
| pCA + FA (corn bran) | B. pumilus PAD |
4-VP 4-VG |
BF3·(Et2O)2 | Poly-(vinylguaiacol-co-vinylphenol) | Leisch et al. [91] |
| pCA, FA (plant biomasses) | B. subtilis PAD |
4-VP 4-VG |
T. versicolor laccase | Homo- and co-polymers | Williamson et al. [99] |
a FA: ferulic acid; SA: sinapic acid; CafA: caffeic acid; pCA: p-coumaric acid
In the two following examples, vinylphenol where biocatalytically synthesized before being chemically processed. Thus, [86, 91] investigated the cationic or radical polymerization of canolol into polyvinylsyringol, and of the mixture (4-VG + 4-VP) into poly-(vinylguaiacol-co-vinylphenol), the vinylphenols having been previously obtained from rapeseed meal and corn bran, respectively, using a Bacillus pumilus PAD. Interestingly, a two-step two-pot chemoenzymatic process enabling quantitative synthesis of 4-ethylguaiacol from FA was performed in a biphasic system by Pesci et al. [117]. FA was first converted into 4-VG using Mycobacterium colombiense PAD, and then hydrogenated to 4-ethylguaiacol using a palladium on carbon (Pd/C) catalyst. The PAD–Pd/C cascade reaction enabled 4-ethylguaiacol production at gram scale, in 70% isolated yield.
Finally, the last two examples illustrated the scarcity of papers documenting the microbial bioconversion of vinylphenols into valuable products (Table 2). The biotechnological production of vanillin from 4-VG was carried out by Saito et al. [115] using E. coli strains expressing Cso2 protein. Entrapping whole cells in calcium alginate beds allowed several days’ continuous vanillin production without coenzymes use. The catalyst however appeared to be sensitive towards reactive oxygen species and temperature higher than 20 °C, resulting in moderate yields. For their part, Wuensch et al. [116], unexpectedly observed the stereoselective formation of (S)-1-(p-hydroxyphenyl)ethanol derivatives, instead of the desired p-HCAs, when studying the carboxylation reaction of vinylphenols with different microbial PADs. Using whole cells of E. coli harboring Lactobacillus plantarum PAD in 1 M bicarbonate buffer, 4-VP was optimally converted in 82% yield with around 58% enantiomeric excess (ee). The results were however less conclusive for 4-VG (conv. 30–45%, ee 28–50%), and canolol (conv. < 1%).
Conclusion
The microbial production of vinyl derivatives such as 4-VP and 4-VG is now well documented, and it involves bacterial/yeast PAD-mediated processes that hold evident biotechnological potential. The general near-absence of activity of these PADs towards SA has meant that the microbial synthesis of canolol has long remained an unmet challenge, despite although its high potential interest for industry. The increasing number of fungal genomes sequenced over the last decade has highlighted the presence of wild-type PADs that act on both FA and SA, thus opening up new perspectives for the fungal decarboxylation of SA into canolol. The species Neolentinus lepideus is a particularly promising candidate.
The PADs described in this review make attractive candidates for biotechnological applications, as they are cofactor-free and metal-independent enzymes. However, their intracellular localization remains the main bottleneck for a technological use. The proof-of-concept of the heterologous production of the N. lepideus PAD in the extracellular medium of the fungus Aspergillus niger is expected to ease this bottleneck.
It is noteworthy that the further microbial/enzymatic bioconversion of canolol into valuable compounds has so far been under-investigated and remains a fertile avenue for future exploration.
Acknowledgements
The authors wish to warmly thank and pay tribute here to the late Michèle Asther for her synthetic work on hydroxycinnamic acids in her dissertation for leading research accreditation. The authors thanks Dr. Jean-Luc Cayol (Aix-Marseille University, France) for helpful comments on the manuscript.
Abbreviations
- ABTS
2,2′-Azino-bis-3-ethylbenzothiazoline-6-sulfonic acid
- BHT
Butylated hydroxytoluene
- CafA
Caffeic acid
- pCA
p-Coumaric acid
- COX-2
Cyclooxygenase 2
- DES
Deep eutectic solvent
- DPPH
2,2-Diphenyl-1-picrylhydrazyl radical
- FA
Ferulic acid
- FRAP
Ferric reducing antioxidant power
- pHCA
p-Hydroxycinnamic acid
- IL
Interleukine
- iNOS
Induced oxide nitrate synthase
- PAD
Phenolic acid decarboxylase
- RSM
Rapeseed meal
- SA
Sinapic acid
- SFM
Sunflower meal
- SOD
Superoxide dismutase
- TNF
Tumor necrosis factor
- TPC
Total phenolic content
- 4-VC
4-Vinylcatechol
- 4-VG
4-Vinylguaiacol
- 4-VP
4-Vinylphenol
Author contributions
All authors substantially contributed to the analysis and the drafting of the manuscript. The manuscript was developed and written by AL, JL, EO. Writing-reviewing, supervising and editing was done by AL, JL and PV. All authors read and approved the final manuscript.
Funding
This bibliographic synthesis was written in the framework of the Ecocanolol project funded by the French 23rd Bpifrance i-Lab innovation competition.
Availability of data and materials
Not applicable.
Declarations
Ethics approval and consent to participate
Not applicable.
Consent for publication
Authors give their consent for the publication of this review paper.
Competing interests
Authors declared there are no competing interests.
Footnotes
Publisher's Note
Springer Nature remains neutral with regard to jurisdictional claims in published maps and institutional affiliations.
References
- 1.Flourat AL, Combes J, Bailly-Maitre-Grand C, Magnien K, Haudrechy A, Renault JH, Allais F. Accessing p-hydroxycinnamic acids: chemical synthesis, biomass recovery, or engineered microbial production? Chem Sus Chem. 2021;14:118–129. doi: 10.1002/cssc.202002141. [DOI] [PubMed] [Google Scholar]
- 2.Borja GM, Rodriguez A, Campbell K, Borodina I, Chen Y, Nielsen J. Metabolic engineering and transcriptomic analysis of Saccharomyces cerevisiae producing p-coumaric acid from xylose. Microb Cell Fact. 2019;18:191. doi: 10.1186/s12934-019-1244-4. [DOI] [PMC free article] [PubMed] [Google Scholar]
- 3.Liu Q, Yu T, Li X, Chen Y, Campbell K, Nielsen J, Chen Y. Rewiring carbon metabolism in yeast for high level production of aromatic chemicals. Nat Commun. 2019;10:4976. doi: 10.1038/s41467-019-12961-5. [DOI] [PMC free article] [PubMed] [Google Scholar]
- 4.Odinot E, Fine F, Sigoillot JC, Navarro D, Laguna O, Bisotto A, Peyronnet C, Ginies C, Lecomte J, Faulds CB, Lomascolo A. A two-step bioconversion process for canolol production from rapeseed meal combining an Aspergillus niger feruloyl esterase and the fungus Neolentinus lepideus. Microorganisms. 2017;5:67. doi: 10.3390/microorganisms5040067. [DOI] [PMC free article] [PubMed] [Google Scholar]
- 5.Strack D. Enzymes involved in hydrocinnamate metabolism. Methods Enz. 2001;335:70–81. doi: 10.1016/s0076-6879(01)35232-1. [DOI] [PubMed] [Google Scholar]
- 6.Scalbert A, Monties B, Lallemand J-Y, Guittet E, Rolando C. Ether linkage between phenolic acids and lignin fractions from wheat straw. Phytochem. 1985;24:1359–1362. doi: 10.1016/S0031-9422(00)81133-4. [DOI] [Google Scholar]
- 7.Friend J. Plant phenolics, lignification and plant disease. In: Reinhold L, Harborne JB, Swain T, editors. Progress in phytochemistry. Oxford UK: Pergamon Press; 1981. pp. 197–261. [Google Scholar]
- 8.Ralph J, Grabber JH, Hatfield RD. Lignin-ferulate cross-links in grasses: active incorporation of ferulate polysaccharide esters into ryegrass lignins. Carbohyd Res. 1995;275:167–178. doi: 10.1016/0008-6215(95)00237-N. [DOI] [Google Scholar]
- 9.Clifford MN. Chlorogenic acids and other cinnamates – nature, occurrence, dietary burden, absorption and metabolism. J Sci Food Agric. 2000;80:1033–1043. doi: 10.1002/(SICI)1097-0010(20000515)80:73.0.CO;2-T. [DOI] [Google Scholar]
- 10.Baumert A, Milkowski C, Schmidt J, Nimtz M, Wray V, Strack D. Formation of a complex pattern of sinapate esters in Brassica napus seeds, catalyzed by enzymes of a serine carboxypeptidase-like acyltransferase family? Phytochem. 2005;66:1334–1345. doi: 10.1016/j.phytochem.2005.02.031. [DOI] [PubMed] [Google Scholar]
- 11.Milkowski C, Strack D. Sinapate esters in brassicaceous plants: biochemistry, molecular biology, evolution and metabolic engineering. Planta. 2010;232:19–35. doi: 10.1007/s00425-010-1168-z. [DOI] [PubMed] [Google Scholar]
- 12.Siger A, Czubinski J, Dwiecki K, Kachlicki P, Nogala-Kalucka M. Identification and antioxidant activity of sinapic acid derivatives in Brassica napus L. seed meal extracts: main phenolic compounds in rapeseed. Eur J Lipid Sci Technol. 2013;115:1130–1138. doi: 10.1002/ejlt.201300077. [DOI] [Google Scholar]
- 13.Weisz GM, Kammerer DR, Carle R. Identification and quantification of phenolic compounds from sunflower (Helianthus annuus L.) kernels and shells by HPLC-DAD/ESI-MSn. Food Chem. 2009;115:758–765. doi: 10.1016/j.foodchem.2008.12.074. [DOI] [Google Scholar]
- 14.Guo S, Ge Y, J KN. A review of phytochemistry, metabolite changes, and medicinal uses of the common sunflower seed and sprouts (Helianthus annuus L.) Chem Cent J. 2017;11:95. doi: 10.1186/s13065-017-0328-7. [DOI] [PMC free article] [PubMed] [Google Scholar]
- 15.Szydłowska-Czerniak A, Rabiej D, Krzemiński M. Synthesis of novel octyl sinapate to enhance antioxidant capacity of rapeseed-linseed oil mixture. J Sci Food Agric. 2018;98:1625–1631. doi: 10.1002/jsfa.8637. [DOI] [PubMed] [Google Scholar]
- 16.Oueslati S, Ksouri R, Falleh H, Pichette A, Abdelly C, Legault J. Phenolic content, antioxidant, anti-inflammatory and anticancer activities of the edible halophyte Suaeda fruticosa Forssk. Food Chem. 2012;132:943–947. doi: 10.1016/j.foodchem.2011.11.072. [DOI] [Google Scholar]
- 17.Shahidi F, Ambigaipalan P. Phenolics and polyphenolics in foods, beverages and spices: antioxidant activity and health effects – a review. J Funct Foods. 2015;18:820–897. doi: 10.1016/j.jff.2015.06.018. [DOI] [Google Scholar]
- 18.Ouerghemmi I, Bettaieb Rebey I, Rahali FZ, Bourgou S, Pistelli L, Ksouri R, Marzouk B, Saidani TM. Antioxidant and antimicrobial phenolic compounds from extracts of cultivated and wild-grown Tunisian Ruta chalepensis. J Food Drug Anal. 2017;25:350–359. doi: 10.1016/j.jfda.2016.04.001. [DOI] [PMC free article] [PubMed] [Google Scholar]
- 19.Gullón B, Eibes G, Moreira MT, Herrera R, Labidi J, Gullón P. Yerba mate waste: a sustainable resource of antioxidant compounds. Ind Crops Prod. 2018;113:398–405. doi: 10.1016/j.indcrop.2018.01.064. [DOI] [Google Scholar]
- 20.Wang S, Tateyama S, Kaneko D, Ohki S, Kaneko T. Synthesis of well-defined hyperbranched polymers bio-based on multifunctional phenolic acids and their structure–thermal property relationships. Polym Degrad Stab. 2011;96:2048–2054. doi: 10.1016/j.polymdegradstab.2011.10.003. [DOI] [Google Scholar]
- 21.Aouf C, Lecomte J, Villeneuve P, Dubreucq E, Fulcrand H. Chemo-enzymatic functionalization of gallic and vanillic acids: synthesis of bio-based epoxy resins prepolymers. Green Chem. 2012;14:2328–2336. doi: 10.1039/C2GC35558B. [DOI] [Google Scholar]
- 22.Pion F, Ducrot PH, Allais F. Renewable alternating aliphatic-aromatic copolyesters derived from biobased ferulic acid, diols, and diacids: sustainable polymers with tunable thermal properties. Macromol Chem Phys. 2014;215:431–439. doi: 10.1002/macp.201300702. [DOI] [Google Scholar]
- 23.Reano AF, Chérubin J, Peru AMM, Wang Q, Clément T, Domenek S, Allais F. Structure–activity relationships and structural design optimization of a series of p-hydroxycinnamic acids-based bis- and tris phenols as novel sustainable antiradical/antioxidant additives. ACS Sustain Chem Eng. 2015;3:3486–3496. doi: 10.1021/acssuschemeng.5b01281. [DOI] [Google Scholar]
- 24.Zago E, Dubreucq E, Lecomte J, Villeneuve P, Fine F, Fulcrand H, Aouf C. Synthesis of bio-based epoxy monomers from natural allyl- and vinyl phenols and the estimation of their affinity to the estrogen receptor α by molecular docking. New J Chem. 2016;40:7701–7710. doi: 10.1039/C6NJ00782A. [DOI] [Google Scholar]
- 25.Diot-Néant F, Migeot L, Hollande L, Reano FA, Domenek S, Allais F. Biocatalytic synthesis and polymerization via ROMP of new biobased phenolic monomers: a greener process toward sustainable antioxidant polymers. Front Chem. 2017;5:126. doi: 10.3389/fchem.2017.00126. [DOI] [PMC free article] [PubMed] [Google Scholar]
- 26.Lee HE, Kim DH, Park SJ, Kim JM, Lee YW, Jung JM, Lee CH, Hong JG, Liu X, Cai M, Park KJ, Jang DS, Ryu JH. Neuroprotective effect of sinapic acid in a mouse model of amyloid β1–42 protein-induced Alzheimer’s disease. Pharm Biochem Behav. 2012;103:260–266. doi: 10.1016/j.pbb.2012.08.015. [DOI] [PubMed] [Google Scholar]
- 27.Silambarasan T, Manivannan J, Priya MK, Suganya N, Chatterjee S, Raja B. Sinapic acid protects heart against ischemia/reperfusion injury and H9c2 cardiomyoblast cells against oxidative stress. Biochem Biophys Res Commun. 2015;456:853–859. doi: 10.1016/j.bbrc.2014.12.022. [DOI] [PubMed] [Google Scholar]
- 28.Cuvelier ME, Richard H, Berset C. Comparison of the antioxidative activity of some acid-phenols: structure–activity relationship. Biosci Biotech Bioch. 1992;56:324–325. doi: 10.1271/bbb.56.324. [DOI] [Google Scholar]
- 29.Robbins RJ. Phenolic acids in foods: an overview of analytical methodology. J Agric Food Chem. 2003;51:2866–2887. doi: 10.1021/jf026182t. [DOI] [PubMed] [Google Scholar]
- 30.Nenadis N, Lazaridou O, Tsimidou MZ. Use of reference compounds in antioxidant activity assessment. J Agric Food Chem. 2007;55:5452–5460. doi: 10.1021/jf070473q. [DOI] [PubMed] [Google Scholar]
- 31.Zych M, Wojnar W, Dudek S, Kaczmarczyk-Sedlak I. Rosmarinic and sinapic acids may increase the content of reduced glutathione in the lenses of estrogen-deficient rats. Nutrients. 2019;11:803. doi: 10.3390/nu11040803. [DOI] [PMC free article] [PubMed] [Google Scholar]
- 32.Shahmohamady P, Eidi A, Mortazavi P, Panahi N, Minai-Tehrani D. Effect of sinapic acid on memory deficits and neuronal degeneration induced by intracerebroventricular administration of streptozotocin in rats. Pol J Pathol. 2018;69:266–277. doi: 10.5114/pjp.2018.79546. [DOI] [PubMed] [Google Scholar]
- 33.Cai D, Huff TW, Liu J, Yuan T, Wei Z, Qin J. Alleviation of cartilage destruction by sinapic acid in experimental osteoarthritis. Biomed Res Int. 2019 doi: 10.1155/2019/5689613. [DOI] [PMC free article] [PubMed] [Google Scholar]
- 34.Balaji C, Muthukumaran J, Vinothkumar R, Nalini N. Anticancer effects of sinapic acid on human colon cancer cell lines HT-29 and SW480. Int J Pharm Biol Arch. 2014;5:176–183. [Google Scholar]
- 35.Janakiraman K, Kathiresan S, Mariadoss AV. Influence of sinapic acid on induction of apoptosis in human laryngeal carcinoma cell line. Int J Mod Res Rev. 2014;2:165–170. [Google Scholar]
- 36.Balaji C, Muthukumaran J, Nalini N. Effect of sinapic acid on 1,2-dimethylhydrazine induced aberrant crypt foci, biotransforming bacterial enzymes and circulatory oxidative stress status in experimental rat colon carcinogenesis. Bratisl Lek Listy. 2015;116:560–566. doi: 10.4149/bll.2015.109. [DOI] [PubMed] [Google Scholar]
- 37.Singh AK, Bishayee A, Pandey AK. Targeting histone deacetylases with natural and synthetic agents: an emerging anticancer strategy. Nutrients. 2018;10:731. doi: 10.3390/nu10060731. [DOI] [PMC free article] [PubMed] [Google Scholar]
- 38.Kamiyama M, Horiuchi M, Umano K, Kondo K, Otsuka Y, Shibamoto T. Antioxidant/anti-inflammatory activities and chemical composition of extracts from the mushroom Trametes Versicolor. Int J Nutr Food Sci. 2013;2:85–91. doi: 10.11648/j.ijnfs.20130202.19. [DOI] [Google Scholar]
- 39.Koski A, Pekkarinen S, Hopia A, Wähälä K, Heinonen M. Processing of rapeseed oil: effects on sinapic acid derivative content and oxidative stability. Eur Food Res Technol. 2003;217:110–114. doi: 10.1007/s00217-003-0721-4. [DOI] [Google Scholar]
- 40.Wakamatsu D, Morimura S, Sawa T, Kida K, Nakai C, Maeda H. Isolation, identification, and structure of a potent alkyl-peroxyl radical scavenger in crude canola oil, canolol. Biosci Biotechnol Biochem. 2005;69:1568–1574. doi: 10.1271/bbb.69.1568. [DOI] [PubMed] [Google Scholar]
- 41.Galano A, Francisco-Marquez M, Alvarez-Idaboy JR. Canolol: a promising chemical agent against oxidative stress. J Phys Chem. 2011;115:8590–8596. doi: 10.1021/jp2022105. [DOI] [PubMed] [Google Scholar]
- 42.Kuwahara H, Kanazawa A, Wakamatu D, Morimura S, Kida K, Akaike T, Maeda H. Antioxidative and antimutagenic activities of 4-vinyl-2,6-dimethoxyphenol (canolol) isolated from canola oil. J Agric Food Chem. 2004;52:4380–4387. doi: 10.1021/jf040045+. [DOI] [PubMed] [Google Scholar]
- 43.Dong X, Li Z, Wang W, Zhang W, Liu S, Zhang X, Fang J, Maeda H, Matsukura M. Protective effect of canolol from oxidative stress-induced cell damage in ARPE-19 via an ERK mediated antioxidative pathway. Mol Vision. 2011;17:2040–2048. [PMC free article] [PubMed] [Google Scholar]
- 44.Fang J, Seki T, Tsukamoto T, Qin H, Yin H, Liao L, Nakamura H, Maeda H. Protection from inflammatory bowel disease and colitis-associated carcinogenesis with 4-vinyl-2-dimethoxyphenol (canolol) involves suppression of oxidative stress and inflammatory cytokines. Carcinogenesis. 2013;34:2833–2841. doi: 10.1093/carcin/bgt309. [DOI] [PubMed] [Google Scholar]
- 45.Cao X, Tsukamoto T, Seki T, Tanaka H, Morimura S, Cao L, Mizoshita T, Ban H, Toyoda T, Maeda H, Tatematsu M. 4-Vinyl-2,6-dimethoxyphenol (canolol) suppresses oxidative stress and gastric carcinogenesis in Helicobacter pylori-infected carcinogen-treated Mongolian gerbils. Int J Cancer. 2008;122:1445–1454. doi: 10.1002/ijc.23245. [DOI] [PubMed] [Google Scholar]
- 46.Maeda H, Kumamoto JP, Tsukamoto T, Tatematsu M, Nagoya-shi JP. Anti-inflammatory agent and cancer-preventive agent comprising canolol or prodrug thereof and pharmaceutical, cosmetic and food comprising the same. 2012. US Patent N°20122/0122995 A1.
- 47.Jiang J, Cao DH, Tsukamoto T, Wang GQ, Jia ZF, Suo J, Cao XY. Anticancer effects of 4-vinyl-2,6-dimetoxyphenol (canolol) against SGC-7901 human gastric carcinoma cells. Oncol Lett. 2013;5:1562–1566. doi: 10.3892/ol.2013.1230. [DOI] [PMC free article] [PubMed] [Google Scholar]
- 48.Terpinc P, Polak T, Segatin N, Hanzlowsky A, Ulrih NP, Abramovic H. Antioxidant properties of 4-vinyl derivatives of hydroxycinnamic acids. Food Chem. 2011;128:62–69. doi: 10.1016/j.foodchem.2011.02.077. [DOI] [PubMed] [Google Scholar]
- 49.Fujioka K, Shibamato T. Quantitation of volatiles and nonvolatile acids in an extract from coffee beverages: correlation with antioxidant activity. J Agric Food Chem. 2006;54:6054–6058. doi: 10.1021/jf060460x. [DOI] [PubMed] [Google Scholar]
- 50.Rahman MJ, Liang J, Eskin NAM, Eck P, Thiyam-Holländer U. Identification of hydroxycinnamic acid derivatives of selected canadian and foreign commercial beer extracts and determination of their antioxidant properties. LWT. 2020;122:109021. doi: 10.1016/j.lwt.2020.109021. [DOI] [Google Scholar]
- 51.Tańska M, Mikołajczak N, Konopka I. Comparison of the effect of sinapic and ferulic acids derivatives (4-vinylsyringol vs. 4-vinylguaiacol) as antioxidants of rapeseed, flaxseed, and extra virgin olive oils. Food Chem. 2018;240:679–685. doi: 10.1016/j.foodchem.2017.08.007. [DOI] [PubMed] [Google Scholar]
- 52.Shin JA, Jeong SH, Jia CH, Hong ST, Lee KT. Comparison of antioxidant capacity of 4-vinylguaiacol with catechin and ferulic acid in oil-in-water emulsion. Food Sci Biotechnol. 2018;28:35–41. doi: 10.1007/s10068-018-0458-2. [DOI] [PMC free article] [PubMed] [Google Scholar]
- 53.Jia CH, Shin JA, Lee KT. Effects of caffeic acid phenethyl ester and 4-vinylcatechol on the stabilities of oil-in-water emulsions of stripped soybean oil. J Agric Food Chem. 2015;63:10280–10286. doi: 10.1021/acs.jafc.5b02423. [DOI] [PubMed] [Google Scholar]
- 54.Jia CH, Wang XY, Qi JF, Hong ST, Lee KT. Antioxidant properties of caffeic acid phenethyl ester and 4-vinylcatechol in stripped soybean oil. J Food Sci. 2016;81:C35–C41. doi: 10.1111/1750-3841.13160. [DOI] [PubMed] [Google Scholar]
- 55.Senger DR, Hoang MV, Kim KH, Li CS, Cao SG. Anti-inflammatory activity of Barleria lupulina: identification of active compounds that activate the Nrf2 cell defense pathway, organize cortical actin, reduce stress fibers, and improve cell junctions in microvascular endothelial cells. J Ethnopharmacol. 2016;193:397–407. doi: 10.1016/j.jep.2016.09.017. [DOI] [PMC free article] [PubMed] [Google Scholar]
- 56.Senger DR, Li D, Jaminet SC, Cao SG. Activation of the Nrf2 cell defense pathway by ancient foods: disease prevention by important molecules and microbes lost from the modern western diet. PLoS ONE. 2016;11:e0148042. doi: 10.1371/journal.pone.0148042. [DOI] [PMC free article] [PubMed] [Google Scholar]
- 57.Pongprayoon U, Baeckström P, Jacobsson U, Lindström M, Bohlin L. Compounds inhibiting prostaglandin synthesis isolated from Ipomoea pes-caprae. Planta Med. 1991;57:515–518. doi: 10.1055/s-2006-960196. [DOI] [PubMed] [Google Scholar]
- 58.Jeong JB, Hong SC, Jeong HJ, Koo JS. Anti-inflammatory effect of 2-methoxy-4-vinylphenol via the suppression of NF-kappa B and MAPK activation, and acetylation of Histone H3. Arch Pharm Res. 2011;34:2109–2116. doi: 10.1007/s12272-011-1214-9. [DOI] [PubMed] [Google Scholar]
- 59.Luo Y, Wang CZ, Sawadogo R, Yuan JB, Zeng JX, Xu M, Tan T, Yuan CS. 4-Vinylguaiacol, an active metabolite of ferulic acid by enteric microbiota and probiotics, possesses significant activities against drug-resistant human colorectal cancer cells. ACS Omega. 2021;6:4551–4561. doi: 10.1021/acsomega.0c04394. [DOI] [PMC free article] [PubMed] [Google Scholar]
- 60.Jeong JB, Jeong HJ. 2-Methoxy-4-vinylphenol can induce cell cycle arrest by blocking the hyper-phosphorylation of retinoblastoma protein in benzo[a]pyrene-treated NIH3T3 cells. Biochem Biophys Res Commun. 2010;400:752–757. doi: 10.1016/j.bbrc.2010.08.142. [DOI] [PubMed] [Google Scholar]
- 61.Sudhagar S, Sathya S, Anuradha R, Gokulapriya G, Geetharani Y, Lakshmi BS. Inhibition of epidermal growth factor receptor by ferulic acid and 4-vinylguaiacol in human breast cancer cells. Biotechnol Lett. 2018;40:257–262. doi: 10.1007/s10529-017-2475-2. [DOI] [PubMed] [Google Scholar]
- 62.Kim DH, Han SI, Go B, Oh UH, Kim CS, Jung YH, Lee J, Kim JH. 2-Methoxy-4-vinylphenol attenuates migration of human pancreatic cancer cells via blockade of FAK and AKT signaling. Anticancer Res. 2019;39:6685–6691. doi: 10.21873/anticanres.13883. [DOI] [PubMed] [Google Scholar]
- 63.Rubab M, Chelliah R, Saravanakumar K, Barathikannan K, Wei S, Kim JR, Yoo D, Wang MH, Oh DH. Bioactive potential of 2-methoxy-4-vinylphenol and benzofuran from Brassica oleracea L. var. capitate f, rubra (Red Cabbage) on oxidative and microbiological stability of beef meat. Foods. 2020;9:568. doi: 10.3390/foods9050568. [DOI] [PMC free article] [PubMed] [Google Scholar]
- 64.Sarveswari HB, Kalimuthu S, Shanmugam K, Neelakantan P, Solomon AP. Exploration of anti-infectives from mangrove-derived Micromonospora sp. RMA46 to Combat Vibrio cholerae pathogenesis. Front Microbiol. 2020;11:1393. doi: 10.3389/fmicb.2020.01393. [DOI] [PMC free article] [PubMed] [Google Scholar]
- 65.Steinke RD, Paulson MC. The production of steam-volatile phenols during the cooking and alcoholic fermentation of grain. J Agric Food Chem. 1964;12:381–387. doi: 10.1021/JF60134A022. [DOI] [Google Scholar]
- 66.Payer SE, Faber K, Glueck SM. Non-oxidative enzymatic (de)carboxylation of (hetero)aromatics and acrylic derivatives. Adv Synth Catal. 2019;316:2401–2420. doi: 10.1002/adsc.201900275. [DOI] [PMC free article] [PubMed] [Google Scholar]
- 67.Huang Z, Dostal L, Rosazza JP. Purification and characterization of a ferulic acid decarboxylase from Pseudomonas fluorescens. J Bacteriol. 1994;176:5912–5918. doi: 10.1128/jb.176.19.5912-5918.1994. [DOI] [PMC free article] [PubMed] [Google Scholar]
- 68.Lee IY, Volm TG, Rosazza JPN. Decarboxylation of ferulic acid to 4-vinylguaiacol by Bacillus pumilus in aqueous-organic solvent two-phase systems. Enzyme Microb Technol. 1998;23:261–266. doi: 10.1016/S0141-0229(98)00044-1. [DOI] [Google Scholar]
- 69.Godoy L, Martinez C, Carrasco N, Ganga MA. Purification and characterization of a p-coumarate decarboxylase and a vinylphenol reductase from Brettanomyces bruxellensis. Int J Food Microbiol. 2008;127:6–11. doi: 10.1016/j.ijfoodmicro.2008.05.011. [DOI] [PubMed] [Google Scholar]
- 70.Gu W, Li X, Huang J, Duan Y, Meng Z, Zhang KQ, Yang J. Cloning, sequencing, and overexpression in Escherichia coli of Enterobacter sp. Px6–4 gene for ferulic acid decarboxylase. Appl Microbiol Biotechnol. 2011;89:1797–1805. doi: 10.1007/s00253-010-2978-4. [DOI] [PubMed] [Google Scholar]
- 71.Landete JM, Rodríguez H, Curiel JA, de las Rivas B, Mancheño JM, Muñoz R. Gene cloning, expression, and characterization of phenolic acid decarboxylase from Lactobacillus brevis RM84. J Ind Microbiol Biotechnol. 2012;37:617–624. doi: 10.1007/s10295-010-0709-6. [DOI] [PubMed] [Google Scholar]
- 72.Hu H, Li L, Ding S. An organic solvent-tolerant phenolic acid decarboxylase from Bacillus licheniformis for the efficient bioconversion of hydroxycinnamic acids to vinyl phenol derivatives. Appl Microbiol Biotechnol. 2015;99:5071–5081. doi: 10.1007/s00253-014-6313-3. [DOI] [PubMed] [Google Scholar]
- 73.Degrassi G, Polvrino de Laureto P, Bruschi CV. Purification and of ferulate and p-coumarate decarboxylase from Bacillus pumilus. Appl Environ Microbiol. 1995;61:326–332. doi: 10.1128/aem.61.1.326-332.1995. [DOI] [PMC free article] [PubMed] [Google Scholar]
- 74.Cavin JF, Dartois V, Divies C. Gene cloning, transcriptional analysis, purification, and characterization of phenolic acid decarboxylase from Bacillus subtilis. Appl Environ Microbiol. 1998;64:1466–1471. doi: 10.1128/AEM.64.4.1466-1471.1998. [DOI] [PMC free article] [PubMed] [Google Scholar]
- 75.Jung DH, Choi W, Choi KY, Jung E, Yun H, Kazlauskas RJ, Kim BG. Bioconversion of p-coumaric acid to p-hydroxystyrene using phenolic acid decarboxylase from B. amyloliquefaciens in biphasic reaction system. Appl Microbiol Biotechnol. 2013;97:1501–1511. doi: 10.1007/s00253-012-4358-8. [DOI] [PubMed] [Google Scholar]
- 76.Li L, Long L, Ding S. Bioproduction of high-concentration 4-vinylguaiacol using whole-cell catalysis harboring an organic solvent-tolerant phenolic acid decarboxylase from Bacillus atrophaeus. Front Microbiol. 2019;10:1798. doi: 10.3389/fmicb.2019.01798. [DOI] [PMC free article] [PubMed] [Google Scholar]
- 77.Edlin DAN, Narbad A, Gasson MJ, Dickinson JR, Lloyd D. Purification and characterization of hydroxycinnamate decarboxylase from Brettanomyces anomalus. Enzyme Microb Technol. 1998;22:232–239. doi: 10.1016/S0141-0229(97)00169-5. [DOI] [Google Scholar]
- 78.Huang HK, Tokashiki M, Maeno S, Onaga S, Taira T, Ito S. Purification and properties of phenolic acid decarboxylase from Candida guilliermondii. J Ind Microbiol Biotechnol. 2012;39:55–62. doi: 10.1007/s10295-011-0998-4. [DOI] [PubMed] [Google Scholar]
- 79.Lomascolo A, Odinot E, Sigoillot JC, Navarro D, Peyronnet C, Fine F. Process for preparing a vinylphenolic compound from a precursor hydroxycinnamic acid derived from an oilseed cake. International 2017. Patent WO2017/072450A1.
- 80.Maeda M, Tokashiki M, Tokashiki M, Uechi K, Ito S, Taira T. Characterization and induction of phenolic acid decarboxylase from Aspergillus luchuensis. J Biosci Bioeng. 2018;126:162–168. doi: 10.1016/j.jbiosc.2018.02.009. [DOI] [PubMed] [Google Scholar]
- 81.Detering T, Mundry K, Berger RG. Generation of 4-vinylguaiacol through a novel high-affinity ferulic acid decarboxylase to obtain smoke flavours without carcinogenic contaminants. PLoS ONE. 2020;15(12):e0244290. doi: 10.1371/journal.pone.0244290. [DOI] [PMC free article] [PubMed] [Google Scholar]
- 82.Matte A, Grosse F, Bergeron H, Abokitse K, Lau PCK. Structural analysis of Bacillus pumilus acid decarboxylase, a lipocalin-fold enzyme. Acta Cryst Section F: Struct Biol Cryst Comm. 2010;F66:1407–1414. doi: 10.1107/S174430911003246X. [DOI] [PMC free article] [PubMed] [Google Scholar]
- 83.Barthelmebs L, Diviès C, Cavin JF. Expression in Escherichia coli of native and chimeric phenolic acid decarboxylases with modified enzymatic activities and method for screening recombinant E. coli strains expressing these enzymes. Appl Environ Microbiol. 2001;67:1064–1069. doi: 10.1128/AEM.67.3.1063-1069.2001. [DOI] [PMC free article] [PubMed] [Google Scholar]
- 84.Rodriguez H, Angulo I, de las Rivas B, Campillo N, Páez JA, Muňoz R, Mancheňo JM. p-Coumaric acid decarboxylase from Lactobacillus plantarum: structural insights into the active site and decarboxylation catalytic mechanism. Proteins. 2010;78:1662–1676. doi: 10.1002/prot.22684. [DOI] [PubMed] [Google Scholar]
- 85.Frank A, Eborall W, Hyde R, Hart S, Turkenburg JP, Grogan G. Mutational analysis of phenolic acid decarboxylase from Bacillus subtilis (BsPAD), which converts bio-derived phenolic acids to styrene derivatives. Catal Sci Technol. 2012;2:1568–1574. doi: 10.1039/C2CY20015E. [DOI] [Google Scholar]
- 86.Morley KL, Grosse S, Leisch H, Lau PCK. Antioxidant canolol production from a renewable feedstock via an engineered decarboxylase. Green Chem. 2013;15:3312–3317. doi: 10.1039/C3GC40748A. [DOI] [Google Scholar]
- 87.Li Q, Xia Y, Zhao T, Gong Y, Fang S, Chen M. Improving the catalytic characteristics of phenolic acid decarboxylase from Bacillus amyloliquefaciens by the engineering of N-terminus and C-terminus. BMC Biotechnol. 2021;21:44. doi: 10.1186/s12896-021-00705-7. [DOI] [PMC free article] [PubMed] [Google Scholar]
- 88.Xie XG, Huang CY, Fu WQ, Dai CC. Potential of endophytic fungus Phomopsis liquidambari for transformation and degradation of recalcitrant pollutant sinapic acid. Fungal Biol. 2016;120:402–413. doi: 10.1016/j.funbio.2015.11.010. [DOI] [PubMed] [Google Scholar]
- 89.MycoCosm. The fungal genomics resource. http://genome.jgi.doe.gov/programs/fungi/index.jsf. Accessed 20 May 2023.
- 90.Salgado JM, Rodriguez-Solana R, Curiel JA, de las Rivas B, Muñoz R, Domínguez JM. Production of vinyl derivatives from alkaline hydrolysates of corn cobs by recombinant Escherichia coli containing the phenolic acid decarboxylase from Lactobacillus plantarum CECT 748. Biores Technol. 2012;117:274–285. doi: 10.1016/j.biortech.2012.04.051. [DOI] [PubMed] [Google Scholar]
- 91.Leisch H, Grosse S, Morley K, Abokitse K, Perrin F, Denault J, Lau PCK. Chemicals from agricultural biomass: chemoenzymatic approach for production of vinylphenols and polyvinylphenols from phenolic acids. Green Process Synth. 2013;2:7–17. doi: 10.1515/gps-2012-0082. [DOI] [Google Scholar]
- 92.Chen Y, Li L, Long L, Ding S. High cell density cultivation of phenolic acid decarboxylase-expressing Escherichia coli and 4-vinylguaiacol bioproduction from ferulic acid by whole-cell catalysis. J Chem Technol Biotechnol. 2018;93:2415–2421. doi: 10.1002/jctb.5590. [DOI] [Google Scholar]
- 93.Hou R, Wang Y, Yang J, Wie H, Yang F, Jin Z, Hu J, Gao M-T. Bioconversion of waste generated during ethanol production into value-added products for sustainable utilization of rice straw. Biochem Eng J. 2020;164:107761. doi: 10.1016/j.bej.2020.107761. [DOI] [Google Scholar]
- 94.Rodriguez A, Meadows JA, Sun N, Simmons BA, Gladden JM. Evaluation of bacterial hosts for conversion of lignin-derived p-coumaric acid to 4-vinylphenol. Microb Cell Fact. 2021;20:181. doi: 10.1186/s12934-021-01670-8. [DOI] [PMC free article] [PubMed] [Google Scholar]
- 95.Li L, Long L, Ding S. Direct affinity-immobilized phenolic acid decarboxylase by a linker peptide on zeolite for efficient bioconversion of ferulic acid into 4-vinylguaiacol. ACS Sustain Chem Eng. 2020;8:14732–14742. doi: 10.1021/acssuschemeng.0c03489. [DOI] [Google Scholar]
- 96.Schweiger AK, Rios-Lombardia N, Winkler CK, Schmidt S, Moris F, Kroutil W, Gonzalez-Sabin J, Kourist R. Using deep eutectic solvents to overcome limited substrate solubility in the enzymatic decarboxylation of bio-based phenolic acids. ACS Sustain Chem Eng. 2019;7:16364–16370. doi: 10.1021/acssuschemeng.9b03455. [DOI] [Google Scholar]
- 97.Mittmann E, Gallus S, Bitterwolf P, Oelschlaeger C, Willenbacher N, Niemeyer CM, Rabe KS. A phenolic acid decarboxylase-based all-enzyme hidrogel for Flow reactor technology. Micromachines. 2019;10:795. doi: 10.3390/mi10120795. [DOI] [PMC free article] [PubMed] [Google Scholar]
- 98.Contreras-Jácquez V, Grajales-Hernández DA, Armendáriz-Ruiz M, Rodríguez-González J, Valenzuela-Sotoa EM, Asaff-Torresa A, Mateos-Díaz JC. In-cell crosslinked enzymes: improving Bacillus megaterium whole-cell biocatalyst stability for the decarboxylation of ferulic acid. Process Biochem. 2021;110:71–84. doi: 10.1016/j.procbio.2021.07.020. [DOI] [Google Scholar]
- 99.Williamson JJ, Bahrin N, Hardiman EM, Bugg TDH. Production of substituted styrene bioproducts from lignin and lignocellulose using engineered Pseudomonas putida KT2440. Biotechnol J. 2020;15:1900571. doi: 10.1002/biot.201900571. [DOI] [PubMed] [Google Scholar]
- 100.Pudel F, Habicht V, Piofczyk T, Matthäus B, Quirin KW, Cawelius A. Fluidized bed treatment of rapeseed meal and cake as possibility for the production of canolol. Oilseeds Fats Crops Lipids. 2014;21:103. doi: 10.1051/ocl/2013049. [DOI] [Google Scholar]
- 101.Yang M, Zheng C, Zhou Q, Liu C, Li W, Huang F. Influence of microwaves treatment of rapeseed on phenolic compounds and canolol content. J Agric Food Chem. 2014;62:1956–1963. doi: 10.1021/jf4054287. [DOI] [PubMed] [Google Scholar]
- 102.Zago E, Lecomte J, Barouh N, Aouf C, Carré P, Fine F, Villeneuve P. Influence of rapeseed meal treatments on its total phenolic content and composition in sinapine, sinapic acid and canolol. Ind Crops Prod. 2015;76:1061–1070. doi: 10.1016/j.indcrop.2015.08.022. [DOI] [Google Scholar]
- 103.Li J, Guo Z. Concurrent extraction and transformation of bioactive phenolic compounds from rapeseed meal using pressurized solvent extraction system. Ind Crop Prod. 2016;94:152–159. doi: 10.1016/j.indcrop.2016.08.045. [DOI] [Google Scholar]
- 104.Darapureddi PR, Kumar BA, Deshpande SS, Dhevendar K, Misra S, Nayak RR. Synthesis and surface properties of anionic vinylguaiacol based surfactants. Tenside Surfactants Deterg. 2017;54:18–26. doi: 10.3139/113.110474. [DOI] [Google Scholar]
- 105.Darapureddi PR, Nayak RR. Synthesis, surface properties and effect of an amino acid head group of 11-(2-Methoxy-4-vinylphenoxy)undecanoicacid-based anionic surfactants. J Surfactants Deterg. 2016;19:1133–1142. doi: 10.1007/s11743-016-1869-9. [DOI] [Google Scholar]
- 106.Dai ZH, Li Q, Chen ZW, Shawon RK, Zhu YY, Lv HF, Fu FY, Zhu YF, Fu YQ, Liu XD. Reactive diluent derived from ferulic acid for the preparation of a fully biobased unsaturated polyester resin. ACS Sustain Chem Eng. 2020;8:17379–17386. doi: 10.1021/acssuschemeng.0c05187. [DOI] [Google Scholar]
- 107.Lou YJ, Zhao ZX, Chen ZW, Dai ZH, Fu FY, Zhang YY, Zhang L, Liu XD. Processability improvement of a 4-vinylguaiacol derived benzoxazine using reactive diluents. Polymer. 2019;160:316–324. doi: 10.1016/j.polymer.2018.11.056. [DOI] [Google Scholar]
- 108.McGuire TM, Miyajima M, Uchiyama M, Buchard A, Kamigaito M. Epoxy-functionalised 4-vinylguaiacol for the synthesis of bio-based, degradable star polymers via a RAFT/ROCOP strategy. Polym Chem. 2020;11:5844–5850. doi: 10.1039/D0PY00878H. [DOI] [Google Scholar]
- 109.Huang MQ, Bai D, Chen Q, Zhao CB, Ren TH, Huang CJ, North M, Xie HB. Facile preparation of polycarbonates from bio-based eugenol and 2-methoxy-4-vinylphenol. Polym Chem. 2020;11:5133–5139. doi: 10.1039/D0PY00291G. [DOI] [Google Scholar]
- 110.Takeshima H, Satoh K, Kamigaito M. R-Cl/SnCl4/n-Bu4NCl-induced direct living cationic polymerization of naturally-derived unprotected 4-vinylphenol, 4-vinylguaiacol, and 4-vinylcatechol in CH3CN. Polym Chem. 2019;10:1192–1201. doi: 10.1039/C8PY01831F. [DOI] [Google Scholar]
- 111.Takeshima H, Satoh K, Kamigaito M. Naturally-derived amphiphilic polystyrenes prepared by aqueous controlled/living cationic polymerization and copolymerization of vinylguaiacol with R-OH/BF3·OEt2. Polymers. 2018;10:1404. doi: 10.3390/polym10121404. [DOI] [PMC free article] [PubMed] [Google Scholar]
- 112.Youngblood JP, Sellars AB, Clark AJ, Coles SR. Replacing styrene with bioderived alternatives in polyesters. Green Mater. 2015;3:35–42. doi: 10.1680/gmat.14.00020. [DOI] [Google Scholar]
- 113.Zago E, Durand E, Barouh N, Lecomte J, Villeneuve P, Aouf C. Synthesis of lipophilic antioxidants by a lipase-B-catalyzed addition of peracids to the double bond of 4-vinyl-2-methoxyphenol. J Agric Food Chem. 2015;63:9069–9075. doi: 10.1021/acs.jafc.5b03551. [DOI] [PubMed] [Google Scholar]
- 114.Santamaria L, Reveron I, LopezdeFelipe F, de Rivas B, Munoz R. Ethylphenol formation by Lactobacillus plantarum: identification of the enzyme involved in the reduction of vinylphenols. Appl Environ Microbiol. 2018;84:e01064–e1118. doi: 10.1128/AEM.01064-18. [DOI] [PMC free article] [PubMed] [Google Scholar]
- 115.Saito T, Aono R, Furuya T, Kino K. Efficient and long-term vanillin production from 4-vinylguaiacol using immobilized whole cells expressing Cso2 protein. J Biosci Bioeng. 2020;130:260–264. doi: 10.1016/j.jbiosc.2020.04.012. [DOI] [PubMed] [Google Scholar]
- 116.Wuensch C, Gross J, Steinkellner G, Gruber K, Glueck SM, Faber K. Asymmetric enzymatic hydration of hydroxystyrene derivatives. Angew Chem Int Ed. 2013;52:2293–2297. doi: 10.1002/anie.201207916. [DOI] [PubMed] [Google Scholar]
- 117.Pesci L, Baydadr M, Glueck S, Faber K, Liese A, Kara S. Development and scaling-up of the fragrance compound 4-ethylguaiacol synthesis via a two-step chemo-enzymatic reaction. Org Process Res Dev. 2017;21:85–93. doi: 10.1021/acs.oprd.6b00362. [DOI] [Google Scholar]
Associated Data
This section collects any data citations, data availability statements, or supplementary materials included in this article.
Data Availability Statement
Not applicable.




