Abstract
Background
The dinucleotide alarmone diadenosine tetraphosphate (Ap4A), which is found in cells, has been shown to affect the survival of bacteria under stress.
Results
Here, we labeled Ap4A with biotin and incubated the labeled Ap4A with the total proteins extracted from kanamycin-treated Escherichia coli to identify the Ap4A binding protein in bacteria treated with kanamycin. Liquid chromatography‒mass spectrometry (LCMS) and bioinformatics were used to identify novel proteins that Ap4A interacts with that are involved in biofilm formation, quorum sensing, and lipopolysaccharide biosynthesis pathways. Then, we used the apaH knockout strain of E. coli K12-MG1655, which had increased intracellular Ap4A, to demonstrate that Ap4A affected the expression of genes in these three pathways. We also found that the swarming motility of the apaH mutant strain was reduced compared with that of the wild-type strain, and under kanamycin treatment, the biofilm formation of the mutant strain decreased.
Conclusions
These results showed that Ap4A can reduce the survival rate of bacteria treated with kanamycin by regulating quorum sensing (QS). These effects can expand the application of kanamycin combinations in the treatment of multidrug-resistant bacteria.
Supplementary Information
The online version contains supplementary material available at 10.1186/s12866-023-03113-3.
Keywords: Kanamycin, Diadenosine tetraphosphate, Biofilm, apaH, Quorum sensing
Background
At present, antimicrobial resistance (AMR) is a global public health crisis. Kanamycin is a classical aminoglycoside antibiotic and has a good bactericidal effect and a very low rate of drug-resistance [1]. A high dose of kanamycin can even kill persistent or resistant bacteria that cannot be treated with other antibiotics [1, 2]. Recently, aminoglycoside antibiotics have been used in combination with other compounds in the clinic, which not only improved the bactericidal effects but also reduced adverse reactions [3, 4]. Thus, kanamycin has received renewed attention.
Diadenosine tetraphosphate is a dinucleotide metabolite that is found in both prokaryotes and eukaryotes. It is one of the most studied members of the NpnN family and consists of two adenosine moieties bridged by a polyphosphate chain of 2–7 phosphate groups [5]. Since the NpnN family was initially discovered more than 50 years ago, their function has long been thought to be secondary messengers or alarmones under stress [6–10]. Ap4A is mainly produced by aminoacyl-tRNA synthetases upon oxidative stress in Escherichia coli [11, 12] and degraded by Ap4A hydrolases, such as apaH [13, 14]. The apaH mutant strain could regulate bacterial biofilm formation [15], heat shock response sensitivity, oxidative stress, and bacterial drug resistance [16, 17]. Furthermore, the concentration of Ap4A in Escherichia coli was increased when bacteria were treated with kanamycin, and the increase in intracellular Ap4A could enhance the ability of kanamycin to kill many antibiotic-resistant bacteria, such as E. coli, Acinetobacter baumannii, and Pseudomonas aeruginosa [18].
In this study, we investigated the Ap4A binding proteins in kanamycin-treated bacteria by incubating biotin-labeled Ap4A with the proteins of treated E. coli; analysis was performed by liquid chromatography‒mass spectrometry (LCMS). According to the GO function, KEGG signaling pathway and protein interaction network analyses, 10 proteins were found to be enriched in signaling pathways related to biofilm formation, quorum sensing and LPS biosynthesis proteins. Bacteria have a quorum sensing (QS) mechanism that uses intercellular communication to promote bacterial biofilm formation and motility [19–23]. The biofilm formation of bacteria is associated with pathogenicity and virulence factors and causes fatal infections and antibiotic resistance [24, 25]. To investigate the effect of Ap4A on bacterial quorum sensing (QS), we used the apaH mutant strain of E. coli MG1655 to increase the concentration of Ap4A in bacteria and found that the biofilm formation ability of the apaH mutant strain was significantly reduced compared with that of the wild-type strain in the presence of kanamycin. At the same time, the accumulation of Ap4A in kanamycin-treated bacteria also changed the swarming motility ability of bacteria. Our findings show that Ap4A can affect the formation and movement of bacterial biofilms through quorum sensing, which further inhibits the viability of bacteria under adverse conditions. According to this mechanism, not only can the targets of kanamycin treatment be broadened but these findings also have important significance in alleviating the crisis of bacterial resistance.
Results
Enrichment of Ap4A-specific binding proteins
Based on the previous research on Ap4A binding proteins [26, 27], we prepared an Ap4A-biotin probe (Fig. 1) that bound with streptavidin-coated magnetic beads and found a suitable probe for the initial magnetic biopanning of cell lysates to identify prospective Ap4A binding proteins. The resulting magnetic beads of Ap4A-biotin were mixed with protein extracted from lyses of 100 μg/ml kanamycin-treated E. coli K12-MG1655, and after extensive washing, bound proteins were eluted with SDS sample buffer; the eluate fractions were subjected to SDS gel electrophoresis and stained with silver. As shown, several bands were detected in fractions from Ap4A-biotin magnetic beads of kanamycin-treated and untreated bacteria (Supplementary Fig. 1). These proteins were subjected to proteolytic digestion and MALDI-TOF–MS spectrometry. As a result, we identified several proteins that were unique in either kanamycin-treated or untreated strains (Fig. 2A). A total of 1240 proteins were identified by MALDI-TOF–MS proteomics, of which 204 different proteins were identified. Specifically, 166 proteins were released from Ap4A after kanamycin treatment, and 38 proteins bound to Ap4A after kanamycin treatment. Moreover, 1036 proteins were bound to both kanamycin-treated and untreated bacteria (Fig. 2B).
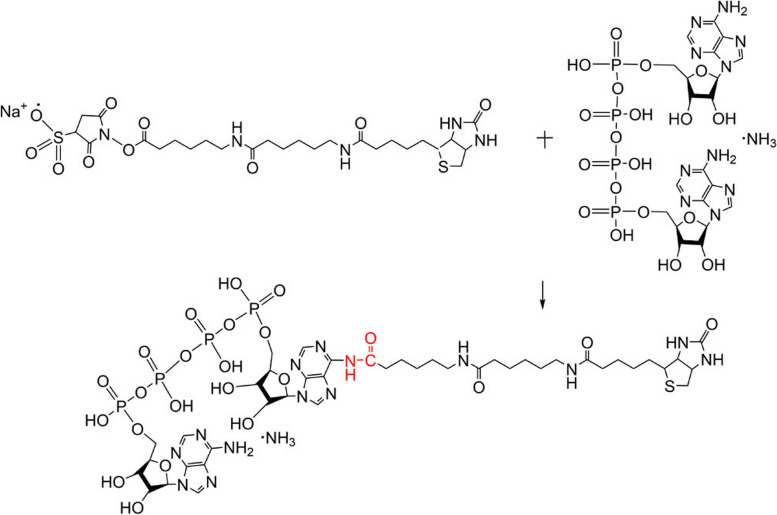
Fig. 1.
Biosynthetic protocol for the production of the biotin-conjugate product Ap4A-biotin
Fig. 2.
The Ap4A-interacting protein was screened in Escherichia coli K12-MG1655 treated with 100 μg/ml kanamycin by MALDI-TOF–MS proteomics. A Heatmap of Ap4A binding proteins in kanamycin-treated and untreated E. coli K12-MG1655. B Venn diagram of Ap4A binding proteins in kanamycin-treated and untreated E. coli K12-MG1655
Potential Ap4A binding proteins
To identify the key pathways altered by Ap4A in kanamycin-treated bacteria, we performed Gene Ontology (GO) analysis. GO analysis suggested that cytosol and cytoplasm pathways were enriched (Supplementary Fig. 2). Kyoto Encyclopedia of Genes and Genomes (KEGG) analysis showed that the ribosome biogenesis, peptidases and inhibitors, biofilm formation and quorum sensing pathways were regulated significantly (Fig. 3A). We used KEGG Brite analysis, and these pathways were correlated with biofilm formation proteins, including RpoS, CsrA and Ccr; quorum sensing proteins, including SdiA, Zur and RibA; and lipopolysaccharide biosynthesis proteins, including GmhB, WaaC, LpxC and KdsB (Fig. 3B). To explore the dynamic changes in the proteome of Ap4A binding proteins, we performed cluster and protein‒protein interaction (PPI) network analyses. Proteins in the cluster (n = 10) included RpoS, SdiA, CsrA, Uvr Y(CsrB), RelA(CsrC), LuxS, LpxD, LpxP, LpxC, and LpxA (Supplementary Fig. 3). These proteins were enriched in KEGG pathways, including biofilm formation, quorum sensing and lipopolysaccharide biosynthesis.
Fig. 3.
Enriched KEGG pathways of potential Ap4A-binding proteins following kanamycin treatment in E. coli K12-MG1655. A KEGG analysis of proteome data of Ap4A binding proteins. B The important enriched Ap4A-related pathways included biofilm formation, quorum sensing and lipopolysaccharide biosynthesis
Ap4A regulated biofilm formation, quorum sensing and lipopolysaccharide biosynthesis
To determine whether Ap4A regulated bacterial biofilm formation, quorum sensing and lipopolysaccharide biosynthesis pathways in kanamycin-treated bacteria, we measured the expression levels of important genes in these pathways in the wild-type strain and the apaH mutant strain, which had increased Ap4A. The results showed that when the wild-type and apaH mutant strains were not treated with kanamycin, the expression levels of quorum sensing genes, including sdiA and ribA, in the mutant strain significantly increased; expression of the biofilm formation gene csrC in the mutant strain was upregulated, and the expression of csrB was downregulated; and the expression of the lipopolysaccharide biosynthesis protein genes, including lpxC and gmhB, in the mutant strain were upregulated, and the expression of lpxP was downregulated (Fig. 4A, C and E). After kanamycin treatment, the expression of the quorum sensing gene sdiA in the apaH mutant was significantly upregulated; expression of the biofilm formation gene rpoS was upregulated, and the expression of csrB was downregulated; and the expression of lipopolysaccharide biosynthesis protein genes, including lpxA and lpxP, in the mutant strain were upregulated, and waaC expression was downregulated (Fig. 4B, D and F).
Fig. 4.
The effect of Ap4A on the expression of genes involved in quorum sensing, biofilm formation, and lipopolysaccharide biosynthesis in E. coli K12-MG1655. A The expression of genes in the quorum sensing pathway was affected by Ap4A; rpoD was used as a reference gene. B The expression of genes in the quorum sensing pathway was affected by Ap4A following kanamycin treatment; rpoD was used as a reference gene. C The expression of genes in the biofilm formation pathway was affected by Ap4A; rpoD was used as a reference gene. D The expression of genes in the biofilm formation pathway was affected by Ap4A following kanamycin treatment; rpoD was used as a reference gene. E The expression of genes in the lipopolysaccharide biosynthesis pathway was affected by Ap4A; rpoD was used as a reference gene. F The expression of genes in the lipopolysaccharide biosynthesis pathway was affected by Ap4A following kanamycin treatment; rpoD was used as a reference gene
Ap4A affected biofilm formation
According to our previous results, we hypothesized that Ap4A increases bacterial sensitivity to kanamycin by regulating bacterial biofilm formation. Thus, we used the apaH mutant strain to increase the cellular Ap4A concentration and compared the biofilm formation of this strain to that of the wild type. The results showed that there was no difference in biofilm formation between the wild-type and apaH mutant strains (Supplementary Fig. 5), but we observed that the biofilm formation of the apaH mutant strain was significantly reduced after bacteria were treated with the minimum inhibitory concentration of kanamycin (1.0728 × 10–5 M) (Fig. 5 and Supplementary Fig. 4). The completed allele of the apaH gene in the mutant strain rescued biofilm formation under the same concentration of kanamycin treatment as the wild-type strain received (Fig. 5 and Supplementary Fig. 5).
Fig. 5.

The role of Ap4A in E. coli K12-MG1655 biofilm formation. The biofilm of the wild-type MG1655 strains, the mutant strains ΔapaH and the complemented strains capaH was tested on Luria–Bertani (LB) with kanamycin at the MIC (1.0728 × 10–5 M)
Ap4A affected swimming and swarming motility
Bacterial motility is known to be linked to virulence and bacterial resistance to antibiotics. The swarming motility assay on soft agar plates showed that the apaH-defective mutant ΔapaH exhibited significantly decreased swarming motility compared to that of the wild-type strain (Fig. 6A-B), and this was inhibited more obviously when the apaH mutant strain was treated with kanamycin (Supplementary Fig. 6A-B). Partial recovery of swarming ability was observed in the apaH complement strain (Fig. 6A-B). However, the swimming motility of the wild-type and apaH mutant strains was not significantly different (Fig. 6C-D). When bacteria were treated with kanamycin, the swimming motility of both strains was inhibited (Supplementary Fig. 7A-B).
Fig. 6.
The role of Ap4A in E. coli K12-MG1655 swarming and swimming motilities. A The swarming motility diameter of the wild-type MG1655 strains, the mutant strains ΔapaH and the complemented strains capaH. B The swarming motility of the wild-type MG1655 strains and the mutant strains ΔapaH was tested on Luria–Bertani (LB) plates containing 0.5% agar. C The swimming motility diameter of the wild-type MG1655 strains, the mutant strains ΔapaH and the complemented strains capaH. D The swimming motility of the wild-type MG1655 strains and the mutant strains ΔapaH was tested on Luria–Bertani (LB) plates containing 0.3% agar
Discussion
The treatment of bacterial infections associated with biofilms is extremely difficult [28]. In this paper, we found that Ap4A can regulate bacterial biofilm formation and quorum sensing to enhance the bactericidal effect of kanamycin. When bacteria were treated with kanamycin, Ap4A bound to 10 proteins (RpoS, CsrA, Ccr, SdiA, Zur, RibA, GmhB, WaaC, LpxC, KdsB) of three related signaling pathways, including the biofilm formation, quorum sensing, and lipopolysaccharide biosynthesis pathways (Fig. 3B). RpoS, RibA, and SdiA directly regulate the expression of LuxR family proteins that influence quorum sensing in bacteria [29–31]. RpoS is a key sigma factor that bacteria use to form biofilms and is responsible for guiding the transcription of many genes that are expressed during the stable period and under various stress conditions [32–39]. The activation of these genes makes bacteria more resistant to environmental stress, and the loss of the stress adaptation base RpoS significantly affects bacterial stress resistance [40]. LpxA, LpxD, LpxC and LpxP are related to lipopolysaccharide biosynthesis, biofilm formation [41–43], and LpxA/LpxD/LpxC complex lipid A biosynthesis; LpxA/LpxD/LpxC mutation can lead to changes in the composition of lipid A biosynthesis in cell membranes, which makes Acinetobacter baumannii resistant to polymyxin [44]. CsrA, RpoS, WaaC and GmhB can affect biofilm formation, virulence and bacterial motility to regulate the quorum sensing of bacteria [45–47]. Monds found that increased Ap4A in Pseudomonas fluorescens inhibited biofilm formation [15], and the gene expression of signaling pathways in the wild-type strain and the apaH mutant strain that had increased Ap4A was consistent with previous conclusions. In addition, compared with wild-type strains, the biofilm-forming ability of the apaH mutant strain was reduced under kanamycin treatment (Fig. 5). Thus, we suggest that when Ap4A accumulates in bacteria, it can alter biofilm formation and quorum sensing pathways to increase bacterial sensitivity to kanamycin (Fig. 7).
Fig. 7.
A model of Ap4A regulation of E. coli K12-MG1655 biofilm formation and swarming motility. The treatment of bacteria with kanamycin leads to Ap4A binding to quorum sensing related proteins to regulate bacterial biofilm formation and swarming motility, thereby promoting bacterial cell death
Antibiotic resistance is a global problem. Many common pathogenic bacteria have serious resistance to classical antibiotics, such as aminoglycosides and β-lactams, and the rate of resistance is increasing yearly [48]. The main mechanism of aminoglycoside antibiotics, such as kanamycin, is that they bind to the bacterial ribosome and lead to protein misfolding [49]. These misfolded proteins not only cause the loss of bacterial protein homeostasis but also insert into the cell membrane and disrupt the bacterial membrane structure [49]. Bacterial resistance to antibiotics is inevitable, and bacteria have quorum sensing and biofilms not only as a protective barrier against antibiotics [48], making it difficult for antibiotics to reach effective concentrations in internal bacteria [50], but also to assist in the swimming and swarming motility of bacterial flagella to increase bacterial virulence and pathogenicity [51]. Breaking the drug penetration barrier is an effective way to address bacterial resistance [52]. We found that Ap4A could reduce bacterial biofilm formation and affect quorum sensing when bacteria were treated with kanamycin. These results will help us identify compounds that can be used in combination with kanamycin and provide new ideas and methods to address bacterial resistance.
Methods
Bacterial strains and plasmids
The strains used in this study are listed in Table 1. LB broth was used for all experiments. The antibiotics kanamycin (Fisher Scientific, BP906-5) and ampicillin (Fisher Scientific, BP1760) were used for the experiments described in this study.
Table 1.
Bacterial strains used in this study
| Name | Description | Reference |
|---|---|---|
| Escherichia coli MG1655 | Wild-type Escherichia coli, containing pBAD24 plasmid, ampr | [18] |
| Escherichia coli MG1655-ΔapaH | Escherichia coli; in-frame deletion of apaH (deleting amino acids from 1 to 280), containing pBAD24 plasmid, ampr | [18] |
| Escherichia coli MG1655-CΔapaH | MG1655-ΔapaH containing pBAD24-MG1655apaH plasmid, ampr | [18] |
Preparation of biotin-labeled Ap4A
DMF was added to NH2-Reactive-Biotin, the concentration was adjusted to 10 mM, and the mixture was incubated for 10 min at room temperature. NH2-Reactive-Biotin (10 mM) was mixed with Ap4A in a tube and the sample was incubated for 30 min at 37 ℃. The mixture was added to the Millipore Ultacel tubes and centrifuged at 12,000 × g for 10 min at 4 ℃. The remaining buffer was biotin-labeled Ap4A. The Ap4A-biotin concentration was measured with a colorimetric biotin assay kit (sigma, MAK171). Briefly, 20 μl of each biotin-containing sample, the negative control (ultrapure water), and the positive control (MAK171C) were added to the appropriate wells of a 96-well white/clear bottom microplate. 180 μl of HABA/avidin assay mixture was added into each well of the biotin-containing samples, the negative control, and the positive control to make the total assay volume 200 μl/well. The reaction mixture was incubated at room temperature for 5 min on a plate shaker at 100–200 rpm in the dark. The absorbance was monitored with a plate reader at 500 nm (A500).
Affinity purification of Ap4A-binding proteins
30 ml of fresh E. coli K12-MG1655 bacterial cultures were grown at 37 ℃ until the exponential phase and treated with 100 μg/ml kanamycin for 1 h. Bacteria without kanamycin treatment were used as controls. Total proteins were extracted from the bacterial lysates according to the manufacturer’s instructions (Sangon Biotech, C600596-0001). The protein concentration of the extracts was determined with a Micro BCA Protein Assay (Sangon Biotech, C503061-1250). Biotin binding beads were equilibrated with PBS (136.89 mM NaCl; 2.67 mM KCl; 8.1 mM Na2HPO4; 1.76 mM KH2PO4). 20 μl of 47.4 μM Ap4A-Biotin was incubated with 0.4 mg of beads for 30 min. The beads were washed twice with B&W buffer (5 mM Tris–HCl pH = 8.0, 0.5 mM EDTA, 1 M NaCl) and resuspended in 100 μl Tris–HCl buffer (50 mM Tris–HCl, 100 mM NaCl, 10 mM MgCl2, 10 mM KCl, pH = 8.0). Extract proteins were incubated with prepared Ap4A-biotin binding beads for 30 min. The beads were washed three times with PBS and resuspended in 50 μl Tris–HCl buffer. Eluted samples were separated by SDS‒PAGE and detected by silver.
Identification of Ap4A-binding proteins
The Ap4A-bound proteins were sent to Beijing Qinglian Boao Biotechnology for LC‒MS/MS. Briefly, the proteins were subjected to trypsin digestion. Peptides were analyzed with a matrix-assisted laser desorption ionization time-of-flight mass spectrometer (MALDI-TOF–MS, Bruker Daltonics, MI, USA) coupled with high-performance liquid chromatography (LC–MS/MS). The samples were analyzed with the following settings: Spray voltage: 2200 V; Capillary temperature: 350 °C; Ion Source: NSI; Full MS: Resolution: 120000FWHM; Full Scan AGC target: 2e5; Full Scan Max.IT: 100 ms; Scan range: 300–1400 m/z; dd-MS2: AGC target: 5e3; Maximum IT: 35 ms; and NCE: 32%. Data were analyzed by Proteome Discoverer 2.4 to identify proteins corresponding to each peak.
Bioinformatics analysis
We collected data from the following sources: UniProt_E. coli was used to collect the proteomes; the UniProt E. coli data were 2020.08.13 download (4391 sequence) with the following rules: static modification: C carboxyamidomethylation, dynamic modification: oxidation (M), and false discovery rate ≥ 0.01. Proteins unique sequence screening was performed as follows: score sequest HT: sequest HT > 0, and unique peptides ≥ 1. Pathway and biological function enrichment of clusters was performed using DAVID 6.8 (https://david.ncifcrf.gov/) and the Kyoto Encyclopedia of Genes and Genomes (KEGG, www.kegg.jp/). Cytoscape 3.8.2 and STRING 11.0 (https://www.string-db.org/) plug-ins were used for visual analysis of the protein‒protein interaction network.
Bacterial RNA extraction and qRT‒PCR
Overnight cultured bacteria were diluted 1:100 in LB medium with 0.02% arabinose and grown until OD600 = 0.5. Then, the bacteria were treated with 100 μg/ml kanamycin for 30 min. The treated bacteria were harvested, and the total RNA was extracted from bacteria using a bacterial RNA extraction kit (onrew, RNB481-02). Total RNA (1 μg) was reverse-transcribed to cDNA using the Prime Script™ RT Reagent Kit with gDNA Eraser Kit (TaKaRa, RR047Q). qRT‒PCR was performed on 10 ng cDNA using the ChamQ SYBR Color qPCR Master Mix (Low ROX Premixed) kit (Vazyme, Q431) in a StepOnePlus real-time PCR system (Applied Biosystems) with a two-step method as follows: initial denaturation at 95 ℃ for 30 s; 40 cycles of 95 ℃ for 10 s and 60 ℃ for 30 s. The transcription level of each gene was normalized to that of the reference gene, rpoD [53]. The primers utilized are listed in Table 2.
Table 2.
Primers used in this study
| Primers | Sequences(5' to 3') |
|---|---|
| rpoD-F | TCTGCGTATGCGTTTCGGTATC |
| rpoD-R | ACGGCTCGGGTGACGCAGTT |
| rpoS-F | CATAATCGCCCGTTCAATCG |
| rpoS-R | CGTTATGGCAATCGTGGTCTG |
| ribA-F | TTACGACCTTCCTGACGGTGAT |
| ribA-R | CCTGATGGTGGGATTTGAAGAAC |
| csrB-F | CGGTTCGTTTCGCAGCATTC |
| csrB-R | GGCCAGGGACACTTCAGG |
| csrC-F | GGACGCTAACAGGAACAATGAC |
| csrC-R | CCTTAACGGGTCTTACAATCCTTGC |
| sdiA-F | GATAATAACTAACCCACGCCTCAGG |
| sdiA-R | GAGGATGGAGACCGCAGAAGA |
| luxS-F | GGATCTGATTCTGATCCTGCACTT |
| luxS-R | ACCCTGGAGCACCTGTTTG |
| lpxA-F | GAGATTTATCAGTTCGCCTCCATCG |
| lpxA-R | TGCCCACCTTCGTCAATCCAC |
| lpxC-F | AAGATGGCGATAAGTGGGCTGA |
| lpxC-R | CACGCATGAAACCGAACGT |
| gmhB-F | CATCATCCGCAGGGTAGTGTTG |
| gmhB-R | CAGGCGTAATAGGTTTACCCG |
| lpxP-F | GGTTTGATGTTGAAGGGTTGGA |
| lpxP-R | CCATCAGCTGATTATTATGTGGACG |
| waaC-F | AGAACGGGCGAAACGACT |
| waaC-R | CTGATTCTTCCCATACCCACCAA |
| kdsB-F | GTGGGTATGGCGACTCTGG |
| kdsB-R | ACGTAACGACGGATAAAGCCTG |
Biofilm formation assay
E. coli K12-MG1655, E. coli K12-MG1655-ΔapaH and E. coli K12-MG1655-ΔapaH-apaH were incubated overnight at 37 ℃ in LB and diluted to OD600 = 0.02. 150 μl of diluted culture was added into a 96-well microtiter plate, and the tests were performed in three replicates. After incubation for 24 h, the plates were washed with distilled water and then dried. After the drying step, 180 μl of 0.1% crystal violet solution was added to each well. The plates were incubated at room temperature for 15 min and washed three times. After drying, 30% glacial acetic acid was added to the wells, and the absorbance was measured at 595 nm in a microplate reader (Bio Tek, Synergy H1).
Bacterial motility assays
To perform the swarming motility assay, overnight fresh bacterial culture samples were diluted to OD600 = 1.0 in a 1.5 ml tube containing 1 ml LB. 5 μl samples at OD 1 were spotted onto the center of LB soft agar plates (0.5% [w/v] agar, 25 g/liter LB broth, 5 g/L glucose). The plates were then incubated for 48 h at 37 ℃ and photographed, and the radius of the swarming was measured based on the average dendrite lengths.
To perform the swimming motility assay, overnight fresh bacterial culture samples were diluted to OD600 = 1.0 in a 1.5 ml tube containing 1 ml LB. Samples were tipped into the center of LB soft agar plates (0.3% [w/v] agar, 25 g/liter LB broth). The plates were then incubated for 24 h at 37 ℃ and photographed, and the radius of the swimming was measured based on the average dendrite lengths.
Statistical analyses
Statistical analyses were performed by the GraphPad Prism 8 analyses program with a t test to identify significant differences between samples and the control group. All experiments were performed in triplicate. Data are presented as the mean; biofilm error margins are presented as standard error (SE). P value below 0.05 was considered statistically significant.
Supplementary Information
Additional file 1: Supplementary Figure 1. Screening Ap4A binding candidate proteins. Silver stain of the Ap4A binding candidate proteins after Ap4A-biotin immunoprecipitation (IP) with the protein lysate of 100 μg/ml kanamycin treatment or not treatment with E. coli K12-MG1655. Supplementary Figure2. Gene ontology (GO) analysis of proteome data from Ap4A binding proteins under kanamycin treatment E. coli K12-MG1655. Supplementary Figure 3. The protein-protein interaction (PPI) network analyses of Ap4A binding proteins in E. coli K12 MG1655. Supplementary Figure 4. The kanamycin MIC of the wild-type, mutant strain ΔapaH, and complemented strain were tested on Luria-Bertani (LB) medium. Supplementary Figure5. The biofilm formation of the wild-type, apaH mutant, and complemented strains without kanamycin treatment. Supplementary Figure 6. The swarming motility of wild-type, apaH mutant and complemented strains with kanamycin treatment. (A)The swarming motility diameter of wild-type, apaH mutant, and complemented strains. (B)The swarming motility of wild-type, apaH mutant, and complemented strains were tested on Luria-Bertani (LB) plates containing 10 μg/ml kanamycin, 0.5% agar. Supplementary Figure 7. The swimming motility of wild-type, apaH mutant, and complemented strains with kanamycin treatment. (A)The swimming motility diameter of wild-type, apaH mutant, and complemented strains. (B) The swimming motility of wild-type, apaH mutant, and complemented strains were tested on Luria-Bertani (LB) plates containing 10 μg/ml kanamycin, 0.3% agar.
Acknowledgements
We would like to thank Mr. Ruipeng Li for his technical assistance.
Abbreviations
- Ap4A
Diadenosine tetraphosphate
- LCMS
Liquid chromatography-mass spectrometry
- QS
Quorum sensing
- GO
Gene Ontology
- KEGG
Kyoto Encyclopedia of Genes and Genomes
- PPI
Protein–protein interaction
- PBS
Phosphate-buffered saline
- SE
Standard error
Authors’ contributions
XJ designed this study. XJ, RY, CZ and MZ performed experiments, analyzed data, and interpreted results. XJ, RY, LZ, TC, WL wrote and approved the manuscript.
Funding
This study was supported by grants from the Applied Basic Research Programs of Science and Technology Commission Foundation of Guangdong Province (No. 2022A1515012602), Foundation of Guangdong Educational Committee for Youths (No. 2019KQNCX150), Foundation of Guangdong Educational Committee for Characteristic Innovation (2023KTSCX146) and Modern Agriculture and Biology Key Construction Discipline.
Availability of data and materials
The authors state that data supporting the findings of the study are included in the article and that materials are available upon request.
Declarations
Ethics approval and consent to participate
Not applicable.
Consent for publication
Not applicable.
Competing interests
The authors declare no competing interests.
Footnotes
Publisher's Note
Springer Nature remains neutral with regard to jurisdictional claims in published maps and institutional affiliations.
Xia Ji and Ruojing Yu contributed equally to this work.
References
- 1.Pagkalis S, Mantadakis E, Mavros MN, Ammari C, Falagas ME. Pharmacological considerations for the proper clinical use of aminoglycosides. Drugs. 2011;71:2277–2294. doi: 10.2165/11597020-000000000-00000. [DOI] [PubMed] [Google Scholar]
- 2.Aalap M, Titas S, Veetil R, Preethi R, Aswin Sai Narain S, Isono K. Genomic analysis reveals distinct concentration-dependent evolutionary trajectories for antibiotic resistance in Escherichia coli. DNA Res. 2014;21:711–26. doi: 10.1093/dnares/dsu032. [DOI] [PMC free article] [PubMed] [Google Scholar]
- 3.Dozzo P, Moser HE. New aminoglycoside antibiotics. Expert Opin Ther Pat. 2010;20:1321–1341. doi: 10.1517/13543776.2010.506189. [DOI] [PubMed] [Google Scholar]
- 4.Zembower TR, Noskin GA, Postelnick MJ, Nguyen C, Peterson LR. The utility of aminoglycosides in an era of emerging drug resistance. Int J Antimicrob Agents. 1998;10:95–105. doi: 10.1016/S0924-8579(98)00033-8. [DOI] [PubMed] [Google Scholar]
- 5.Ferguson F, McLennan AG, Urbaniak MD, Jones NJ, Copeland NA. Re-evaluation of Diadenosine Tetraphosphate (Ap4A) From a Stress Metabolite to Bona Fide Secondary Messenger. Front Mol Biosci. 2020;7:606807. [DOI] [PMC free article] [PubMed]
- 6.Finamore FJ, Warner AH. The Occurrence of P1, P4-Diguanosine 5’-Tetraphosphate in Brine Shrimp Eggs. J Biol Chem. 1963;238:344–348. doi: 10.1016/S0021-9258(19)84002-4. [DOI] [PubMed] [Google Scholar]
- 7.McLennan AG. Dinucleoside polyphosphates—friend or foe? Pharmacol Ther. 2000;87:73–89. doi: 10.1016/S0163-7258(00)00041-3. [DOI] [PubMed] [Google Scholar]
- 8.Sobotta MC, Barata AG, Schmidt U, Mueller S, Millonig G, Dick TP. Exposing cells to H2O2: A quantitative comparison between continuous low-dose and one-time high-dose treatments. Free Radic Biol Med. 2013;60:325–335. doi: 10.1016/j.freeradbiomed.2013.02.017. [DOI] [PubMed] [Google Scholar]
- 9.Marriott AS, Copeland NA, Cunningham R, Wilkinson MC, McLennan AG, Jones NJ. Diadenosine 5′, 5′′′-P1, P4-tetraphosphate (Ap4A) is synthesized in response to DNA damage and inhibits the initiation of DNA replication. DNA Repair (Amst) 2015;33:90–100. doi: 10.1016/j.dnarep.2015.06.008. [DOI] [PubMed] [Google Scholar]
- 10.Krüger L, Albrecht CJ, Schammann HK, Stumpf FM, Niedermeier ML, Yuan Y, et al. Chemical proteomic profiling reveals protein interactors of the alarmones diadenosine triphosphate and tetraphosphate. Nat Commun. 2021;12:5808. doi: 10.1038/s41467-021-26075-4. [DOI] [PMC free article] [PubMed] [Google Scholar]
- 11.Charlier J, Sanchez R. Lysyl-tRNA synthetase from Escherichia coli K12. Chromatographic heterogeneity and the lysU-gene product. Biochem J. 1987;248:43–51. doi: 10.1042/bj2480043. [DOI] [PMC free article] [PubMed] [Google Scholar]
- 12.Brevet A, Chen J, Lévêque F, Plateau P, Blanquet S. In vivo synthesis of adenylylated bis(5’-nucleosidyl) tetraphosphates (Ap4N) by Escherichia coli aminoacyl-tRNA synthetases. Proc Natl Acad Sci U S A. 1989;86:8275–8279. doi: 10.1073/pnas.86.21.8275. [DOI] [PMC free article] [PubMed] [Google Scholar]
- 13.Lévq̂ue F, Blanchin-Roland S, Fayat G, Plateau P, Blanquet S. Design and characterization of Escherichia coli mutants devoid of Ap4N-hydrolase activity. J Mol Biol. 1990;212:319–29. doi: 10.1016/0022-2836(90)90127-8. [DOI] [PubMed] [Google Scholar]
- 14.Farr SB, Arnosti DN, Chamberlin MJ, Ames BN. An apaH mutation causes AppppA to accumulate and affects motility and catabolite repression in Escherichia coli. Proc Natl Acad Sci U S A. 1989;86:5010–5014. doi: 10.1073/pnas.86.13.5010. [DOI] [PMC free article] [PubMed] [Google Scholar]
- 15.Monds RD, Newell PD, Wagner JC, Schwartzman JA, Lu W, Rabinowitz JD, et al. Di-adenosine tetraphosphate (Ap4A) metabolism impacts biofilm formation by Pseudomonas fluorescens via modulation of c-di-GMP-dependent pathways. J Bacteriol. 2010;192:3011–3023. doi: 10.1128/JB.01571-09. [DOI] [PMC free article] [PubMed] [Google Scholar]
- 16.Johnstone DB, Farr SB. AppppA binds to several proteins in Escherichia coli, including the heat shock and oxidative stress proteins DnaK, GroEL, E89, C45 and C40. EMBO J. 1991;10:3897–3904. doi: 10.1002/j.1460-2075.1991.tb04959.x. [DOI] [PMC free article] [PubMed] [Google Scholar]
- 17.Hansen S, Lewis K, Vulić M. Role of Global Regulators and Nucleotide Metabolism in Antibiotic Tolerance in Escherichia coli. Antimicrob Agents Chemother. 2008;52:2718–26. doi: 10.1128/AAC.00144-08. [DOI] [PMC free article] [PubMed] [Google Scholar]
- 18.Ji X, Zou J, Peng H, Stolle A-S, Xie R, Zhang H, et al. Alarmone Ap4A is elevated by aminoglycoside antibiotics and enhances their bactericidal activity. Proc Natl Acad Sci U S A. 2019;116:9578–9585. doi: 10.1073/pnas.1822026116. [DOI] [PMC free article] [PubMed] [Google Scholar]
- 19.Clatworthy AE, Pierson E, Hung DT. Targeting virulence: a new paradigm for antimicrobial therapy. Nat Chem Biol. 2007;3:541–548. doi: 10.1038/nchembio.2007.24. [DOI] [PubMed] [Google Scholar]
- 20.Costerton JW. Cystic fibrosis pathogenesis and the role of biofilms in persistent infection. Trends Microbiol. 2001;9:50–52. doi: 10.1016/S0966-842X(00)01918-1. [DOI] [PubMed] [Google Scholar]
- 21.Davies DG, Parsek MR, Pearson JP, Iglewski BH, Costerton JW, Greenberg EP. The Involvement of Cell-to-Cell Signals in the Development of a Bacterial Biofilm. Science. 1979;1998(280):295–298. doi: 10.1126/science.280.5361.295. [DOI] [PubMed] [Google Scholar]
- 22.Diggle SP, Heeb S, Dubern JF, Fletcher MP, Crusz SA, Williams P, et al. Quorum Sensing in Pseudomonads. Pseudomonas. 2008;1:167–94.
- 23.Zhao T, Liu Y. N-acetylcysteine inhibit biofilms produced by Pseudomonas aeruginosa. BMC Microbiol. 2010;10:140. doi: 10.1186/1471-2180-10-140. [DOI] [PMC free article] [PubMed] [Google Scholar]
- 24.Harmsen M, Yang L, Pamp SJ, Tolker-Nielsen T. An update on Pseudomonas aeruginosa biofilm formation, tolerance, and dispersal. FEMS Immunol Med Microbiol. 2010;59:253–268. doi: 10.1111/j.1574-695X.2010.00690.x. [DOI] [PubMed] [Google Scholar]
- 25.Whiteley M, Bangera MG, Bumgarner RE, Parsek MR, Teitzel GM, Lory S, et al. Gene expression in Pseudomonas aeruginosa biofilms. Nature. 2001;413:860–864. doi: 10.1038/35101627. [DOI] [PubMed] [Google Scholar]
- 26.Guo W, Azhar MA, Xu Y, Wright M, Kamal A, Miller AD. Isolation and identification of diadenosine 5’,5’’’-P1, P4-tetraphosphate binding proteins using magnetic bio-panning. Bioorg Med Chem Lett. 2011;21:7175–7179. doi: 10.1016/j.bmcl.2011.09.070. [DOI] [PubMed] [Google Scholar]
- 27.Azhar MA, Wright M, Kamal A, Nagy J, Miller AD. Biotin-c10-AppCH2 ppA is an effective new chemical proteomics probe for diadenosine polyphosphate binding proteins. Bioorg Med Chem Lett. 2014;24:2928–2933. doi: 10.1016/j.bmcl.2014.04.076. [DOI] [PubMed] [Google Scholar]
- 28.Omar A, Wright JB, Schultz G, Burrell R, Nadworny P. Microbial biofilms and chronic wounds. Microorganisms. 2017;5:1–15. doi: 10.3390/microorganisms5010009. [DOI] [PMC free article] [PubMed] [Google Scholar]
- 29.Lin J-W, Chao Y-F, Weng S-F. Riboflavin Synthesis Genes ribE, ribB, ribH, ribA Reside in the lux Operon of Photobacterium leiognathi. Biochem Biophys Res Commun. 2001;284:587–595. doi: 10.1006/bbrc.2001.5013. [DOI] [PubMed] [Google Scholar]
- 30.Sitnikov DM, Schineller JB, Baldwin TO. Control of cell division in Escherichia coli: regulation of transcription of ftsQA involves both rpoS and SdiA-mediated autoinduction. Proc Natl Acad Sci. 1996;93:336–341. doi: 10.1073/pnas.93.1.336. [DOI] [PMC free article] [PubMed] [Google Scholar]
- 31.Subramoni S, Venturi V. LuxR-family ‘solos’: bachelor sensors/regulators of signalling molecules. Microbiology (N Y) 2009;155:1377–1385. doi: 10.1099/mic.0.026849-0. [DOI] [PubMed] [Google Scholar]
- 32.Corona-Izquierdo FP, Membrillo-Hernández J. A mutation in rpoS enhances biofilm formation in Escherichia coli during exponential phase of growth. FEMS Microbiol Lett. 2002;211:105–110. doi: 10.1111/j.1574-6968.2002.tb11210.x. [DOI] [PubMed] [Google Scholar]
- 33.Hengge-Aronis R. Back to log phase: σ(S) as a global regulator in the osmotic control of gene expression in Escherichia coli. Mol Microbiol. 1996;21:887–893. doi: 10.1046/j.1365-2958.1996.511405.x. [DOI] [PubMed] [Google Scholar]
- 34.Loewen PC, Hengge-aronis R. the Role of the Sigma. Annu Rev Microbiol. 1994;48:53–80. doi: 10.1146/annurev.mi.48.100194.000413. [DOI] [PubMed] [Google Scholar]
- 35.Hengge-Aronis R, Lange R, Henneberg N, Fischer D. Osmotic regulation of rpoS-dependent genes in Escherichia coli. J Bacteriol. 1993;175:259–265. doi: 10.1128/jb.175.1.259-265.1993. [DOI] [PMC free article] [PubMed] [Google Scholar]
- 36.Muffler A, Traulsen DD, Lange R, Hengge-Aronis R. Posttranscriptional osmotic regulation of the σs subunit of RNA polymerase in Escherichia coli. J Bacteriol. 1996;178:1607–1613. doi: 10.1128/jb.178.6.1607-1613.1996. [DOI] [PMC free article] [PubMed] [Google Scholar]
- 37.Muffler A, Barth M, Marschall C, Hengge-Aronis R. Heat shock regulation of σ(S) turnover: A role for DnaK and relationship between stress responses mediated by σ(S) and σ32 in Escherichia coli. J Bacteriol. 1997;179:445–452. doi: 10.1128/jb.179.2.445-452.1997. [DOI] [PMC free article] [PubMed] [Google Scholar]
- 38.Lindqvist A, Membrillo-Hernández J, Poole RK, Cook GM. Roles of respiratory oxidases in protecting Escherichia coli K12 from oxidative stress. Antonie van Leeuwenhoek Int J Gen Mol Microbiol. 2000;78:23–31. doi: 10.1023/A:1002779201379. [DOI] [PubMed] [Google Scholar]
- 39.Xu J, Johnson RC. Identification of genes negatively regulated by fis: Fis and RpoS comodulate growth-phase-dependent gene expression in Escherichia coli. J Bacteriol. 1995;177:938–947. doi: 10.1128/jb.177.4.938-947.1995. [DOI] [PMC free article] [PubMed] [Google Scholar]
- 40.Ito A, May T, Kawata K, Okabe S. Significance of rpoS during maturation of Escherichia coli biofilms. Biotechnol Bioeng. 2008;99:1462–1471. doi: 10.1002/bit.21695. [DOI] [PubMed] [Google Scholar]
- 41.Schmidt H, Mesters JR, Wu J, Woodard RW, Hilgenfeld R, Mamat U. Evidence for a Two-Metal-Ion Mechanism in the Cytidyltransferase KdsB, an Enzyme Involved in Lipopolysaccharide Biosynthesis. PLoS One. 2011;6:e23231. doi: 10.1371/journal.pone.0023231. [DOI] [PMC free article] [PubMed] [Google Scholar]
- 42.Klein G, Raina S. Regulated assembly of LPS, its structural alterations and cellular response to LPS defects. Int J Mol Sci. 2019;20:356. doi: 10.3390/ijms20020356. [DOI] [PMC free article] [PubMed] [Google Scholar]
- 43.Chiu S-F, Teng K-W, Wang P-C, Chung H-Y, Wang C-J, Cheng H-C, et al. Helicobacter pylori GmhB enzyme involved in ADP-heptose biosynthesis pathway is essential for lipopolysaccharide biosynthesis and bacterial virulence. Virulence. 2021;12:1610–1628. doi: 10.1080/21505594.2021.1938449. [DOI] [PMC free article] [PubMed] [Google Scholar]
- 44.Moffatt JH, Harper M, Harrison P, Hale JDF, Vinogradov E, Seemann T, et al. Colistin resistance in Acinetobacter baumannii is mediated by complete loss of lipopolysaccharide production. Antimicrob Agents Chemother. 2010;54:4971–4977. doi: 10.1128/AAC.00834-10. [DOI] [PMC free article] [PubMed] [Google Scholar]
- 45.Romeo T. Global regulation by the small RNA-binding protein CsrA and the non-coding RNA molecule CsrB. Mol Microbiol. 1998;29:1321–1330. doi: 10.1046/j.1365-2958.1998.01021.x. [DOI] [PubMed] [Google Scholar]
- 46.Lee C, Mannaa M, Kim N, Kim J, Choi Y, Kim SH, et al. Stress Tolerance and virulence-related roles of lipopolysaccharide in burkholderia glumae. Plant Pathol J. 2019;35:445–458. doi: 10.5423/PPJ.OA.04.2019.0124. [DOI] [PMC free article] [PubMed] [Google Scholar]
- 47.Zhang C, Wang C, Jatt A-N, Liu H, Liu Y. Role of RpoS in stress resistance, biofilm formation and quorum sensing of Shewanella baltica. Lett Appl Microbiol. 2021;72:307–315. doi: 10.1111/lam.13424. [DOI] [PubMed] [Google Scholar]
- 48.Pang Z, Raudonis R, Glick BR, Lin TJ, Cheng Z. Antibiotic resistance in Pseudomonas aeruginosa: mechanisms and alternative therapeutic strategies. Biotechnol Adv. 2019;37(1):177–92. [DOI] [PubMed]
- 49.Kohanski MA, Dwyer DJ, Collins JJ. How antibiotics kill bacteria: from targets to networks. Nat Rev Microbiol. 2010;8:423–435. doi: 10.1038/nrmicro2333. [DOI] [PMC free article] [PubMed] [Google Scholar]
- 50.Ciofu O, Rojo-Molinero E, Macià MD, Oliver A. Antibiotic treatment of biofilm infections. APMIS. 2017;125:304–319. doi: 10.1111/apm.12673. [DOI] [PubMed] [Google Scholar]
- 51.Krukonis ES, DiRita VJ. From motility to virulence: Sensing and responding to environmental signals in Vibrio cholerae. Curr Opin Microbiol. 2003;6:186–190. doi: 10.1016/S1369-5274(03)00032-8. [DOI] [PubMed] [Google Scholar]
- 52.Langendonk RF, Neill DR, Fothergill JL. The Building Blocks of Antimicrobial Resistance in Pseudomonas aeruginosa: Implications for Current Resistance-Breaking Therapies. Front Cell Infect Microbiol. 2021;11:1–22. doi: 10.3389/fcimb.2021.665759. [DOI] [PMC free article] [PubMed] [Google Scholar]
- 53.Schütze A, Benndorf D, Püttker S, Kohrs F, Bettenbrock K. The Impact of ackA, pta, and ackA-pta Mutations on Growth, Gene Expression and Protein Acetylation in Escherichia coli K-12. Front Microbiol. 2020;11:233. doi: 10.3389/fmicb.2020.00233. [DOI] [PMC free article] [PubMed] [Google Scholar]
Associated Data
This section collects any data citations, data availability statements, or supplementary materials included in this article.
Supplementary Materials
Additional file 1: Supplementary Figure 1. Screening Ap4A binding candidate proteins. Silver stain of the Ap4A binding candidate proteins after Ap4A-biotin immunoprecipitation (IP) with the protein lysate of 100 μg/ml kanamycin treatment or not treatment with E. coli K12-MG1655. Supplementary Figure2. Gene ontology (GO) analysis of proteome data from Ap4A binding proteins under kanamycin treatment E. coli K12-MG1655. Supplementary Figure 3. The protein-protein interaction (PPI) network analyses of Ap4A binding proteins in E. coli K12 MG1655. Supplementary Figure 4. The kanamycin MIC of the wild-type, mutant strain ΔapaH, and complemented strain were tested on Luria-Bertani (LB) medium. Supplementary Figure5. The biofilm formation of the wild-type, apaH mutant, and complemented strains without kanamycin treatment. Supplementary Figure 6. The swarming motility of wild-type, apaH mutant and complemented strains with kanamycin treatment. (A)The swarming motility diameter of wild-type, apaH mutant, and complemented strains. (B)The swarming motility of wild-type, apaH mutant, and complemented strains were tested on Luria-Bertani (LB) plates containing 10 μg/ml kanamycin, 0.5% agar. Supplementary Figure 7. The swimming motility of wild-type, apaH mutant, and complemented strains with kanamycin treatment. (A)The swimming motility diameter of wild-type, apaH mutant, and complemented strains. (B) The swimming motility of wild-type, apaH mutant, and complemented strains were tested on Luria-Bertani (LB) plates containing 10 μg/ml kanamycin, 0.3% agar.
Data Availability Statement
The authors state that data supporting the findings of the study are included in the article and that materials are available upon request.






