Abstract
Site-specific modification of the N1-position of purine was explored at the nucleoside and oligomer levels. 2′-Deoxyinosine was converted into an N1-2,4-dinitrophenyl derivative 2 that was readily transformed to the desired N1-substituted 2′-deoxyinosine analogues. This approach was used to develop a post-synthetic method for the modification of the endocyclic N1-position of purine at the oligomer level. The phosphoramidite monomer of N1-(2,4-dinitrophenyl)-2′-deoxyinosine 9 was prepared from 2′-deoxyinosine in four steps and incorporated into oligomers using an automated DNA synthesizer. The modified base, N1-(2,4-dinitrophenyl)-hypoxanthine, in synthesized oligomers, upon treatment with respective agents, was converted into corresponding N1-substituted hypoxanthines, including N1-15N-hypoxanthine, N1-methylhypoxanthine and N1-(2-aminoethyl)-hypoxanthine. These modified oligomers can be easily separated and high purity oligomers obtained. Melting curve studies show the oligomer containing N1-methylhypoxanthine or N1-(2-aminoethyl)-hypoxanthine has a reduced thermostability with no particular pairing preference to either cytosine or thymine. The developed method could be adapted for the preparation of oligomers containing mutagenic N1-β-hydroxyalkyl-hypoxanthines and the availability of the rare base-modified oligomers should offer novel tools for biological and structural studies.
INTRODUCTION
Maintenance of the structural integrity of DNA is essential for the existence and continuation of any species. However, the various components of DNA (bases, sugars and phosphodiesters) are highly susceptible to damage from both internal (e.g. enzymatic hydrolysis) and external sources (e.g. industrial pollutants). Damaged DNA, if left unrepaired, can result in serious consequences, such as gene mutation, cell death and even cancer (1,2). Among the various types of damage, base modification is of central importance, as the genetic information is encoded in the bases. In order to study the consequences of DNA base damage and repair at the molecular level, one must have the required base-modified DNA. In general, there are two routes to achieve this: (i) by isolation of the modified DNA from a biological system or (ii) by chemical synthesis of modified oligomers. The latter is the method of choice since the chemical synthesis approach can not only supply sufficient amount of base-modified oligomers but also offer unique access to DNA sequences with base modifications at predetermined positions.
There is an ongoing search for better approaches to the chemical synthesis of oligomers containing modified bases (3). The conventional approach involves the preparation of the required base-modified monomer (usually as a phosphoramidite derivative) followed by incorporation of the monomer into oligomers using a DNA synthesizer (4). This approach is best for the preparation of DNA containing stable modified bases, as the modified base and other DNA building blocks have to be subjected to various treatments, such as repeated capping and oxidation during DNA synthesis and alkaline deblocking after synthesis. However, in many cases, a modified base of biological interest is not stable enough to survive such conditions. To overcome this problem, post-synthetic substitution approaches have been developed by our group (5–8) and others (3,9–12). The common features in these approaches are (i) preparation of a versatile monomer containing a suitable leaving group on the base; (ii) incorporation of the monomer into oligomers; and (iii) replacement of the leaving group after DNA synthesis. The leaving group in the versatile monomer should be stable during DNA synthesis and subsequent deblocking and convertible by other chemicals to introduce the required functional group on the base after synthesis. Obviously, the post-synthetic approach has several advantages over the conventional approach. For example, the synthesis of a single oligomer containing a versatile base provides the source of different oligomers each containing a different modified base. Expensive isotopes, such as 15N, can be cost-effectively introduced onto the specified base by treatment with appropriate reagents in the final step (13,14). Such site-specific 15N labelling at the oligomer level can be viewed as a complementary approach with those used for initial synthesis of 15N-labelled nucleosides and subsequent preparation of labelled DNA (15,16).
The post-synthetic approach has been applied primarily to the modification of exocyclic positions, such as the 4-position of pyrimidines (5,6,9–11) or the 6-position of purines (7,8) or the 2-position of guanine (12). These positions are biologically important as they are directly involved in hydrogen bonding associated with DNA base pairings. Modifications of endocyclic positions require ring-opening and re-closure that are more complicated and challenging. To the best of our knowledge, no post-synthetic approach has been used to modify endocyclic positions at the oligomer level. The endocyclic positions that are directly involved in Watson–Crick hydrogen bonding are the N1-position of purines (adenine, guanine or hypoxanthine) and the N3-position of pyrimidines (thymine and cytosine). Obviously, any modification of these endocyclic positions would produce bases of varied pairing properties and such base-modified DNA would certainly offer interesting properties useful for DNA-related studies.
2′-Deoxyinosine (the deoxynucleoside of hypoxanthine) is the deamination product from 2′-deoxyadenosine. Recent studies suggested that N1-β-hydroxylalkyl-hypoxanthine in DNA, arising from the reaction of adenine with simple epoxides (such as ethylene oxide, 3,4-epoxy-1-butene and styrene oxide) and subsequent deamination, plays an important role in mutagenesis and carcinogenesis induced by these epoxides (17–19). Synthetic methods for oligomers having such N1-substituted hypoxanthine are required in order to establish the biological effects of the lesions. A method (19) has been recently developed for the synthesis of oligomers containing N1-adducted-hypoxanthine, in which 4-acetoxy-3-bromo-1-butene (the equivalent reagent for 3,4-epoxy-1-butene) was reacted with 3′,5′-protected deoxyinosine to prepare N1-substituted nucleoside. Owing to diverse activities of the reagent (reacting at C1- or C3-position) and various nucleophilic sites of the nucleoside (such as N1- and O6-positions), multiple products were formed. Thus, the target nucleosides were obtained in low yield (33%) and were irresolvable mixtures of diastereomers. Obviously, a better method is still required. With this in mind, we have therefore undertaken the challenge to modify the endocyclic N1-position of deoxyinosine by a post-synthetic approach. Here, we report (i) the transformations of N1-(2,4-dinitrophenyl)-2′-deoxyinosine 2 into various desired nucleosides; and (ii) the preparation of a versatile phosphoramidite monomer 9, its incorporation into oligomers and the conversion of the incorporated versatile base into various modified bases, including N1-15N-labelled hypoxanthine 3 as a NMR probe for structural studies, N1-methylhypoxanthine 4 as a novel base for mutagenic investigation, N1-(2-aminoethyl)-hypoxanthine 5 as a reactive group for site-specific cross-linking. It is envisaged that the developed method is adaptable to prepare oligomers containing other N1-substituted hypoxanthines (including hypoxanthines adducted by the above-mentioned epoxides) and that the availability of these base-modified oligomers will permit an exploration of their structural and biological properties.
RESULTS AND DISCUSSION
Synthetic exploitation of versatile N1-DNP-2′-deoxyinosine 2
In the search for a suitable approach for the direct modification of endocyclic positions in nucleosides or oligomers, it was noted that N1-(4-nitrophenyl)- or N1-(2,4-dinitrophenyl)-2′-deoxyinosine could be converted to N1-substituted 2′-deoxyinosine via nucleophilic substitution (20–22). We have re-investigated this reaction with a view to its use at the oligomer level. 2′-Deoxyinosine 1 was reacted with 1-chloro-2,4-dinitrobenzene to form N1-(2,4-dinitrophenyl)-2′-deoxyinosine 2 in excellent yield. The introduced 2,4-dinitrophenyl (DNP) group serves not only as a strong electron-withdrawing group to make the 2-position of 2 more susceptible to nucleophilic substitutions leading to the ring-opening but also as part of the good leaving group to facilitate the ring re-closure. We have exploited this reaction to prepare various N1-modified nucleosides (see Scheme 1).
Scheme 1.
Preparation of N1-DNP-deoxyinosine and its conversions into other modified deoxynucleosides, DNP: 2,4-dinitrophenyl; dR: 2′-deoxyribosyl.
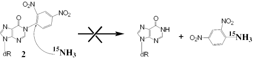
Reaction of 2 with 15N-labelled ammonia afforded N1-15N-labelled 2′-deoxyinosine 3. The isotopic difference between 1 and 3 was clearly demonstrated by the 1H NMR signals of the proton at the 2-position (2H): in 3 it is a doublet [3J(N,H) = 7.2 Hz] as shown at the middle panel of Figure 1. This splitting can only be attributed to the coupling of the 2H with the neighbouring 15N-atom. Between the doublet (peaks a and c) is a small resonance (peak b at 8.048 p.p.m.) that has the same chemical shift as that of the 2H of 1 (Figure 1, top and bottom panels). Integration of these three peaks (a, b and c) gives an estimated ratio of 49:2:49 (a:b:c), suggesting that ∼2% of unlabelled 2′-deoxyinosine 1 is co-existent with the product 3. The co-existence might arise from either, or both, of the following sources: (i) cleavage of the DNP group of the compound 2 by the alternative pathway as shown in Scheme 2 and (ii) isotopic impurity (14N atom) in the labelling agent (15N ammonia). The isotopic purity of the labelling agent used is quoted at 98+% and is, therefore, the probable source of most of the unlabelled deoxyinosine. It seems safe to conclude that the formation of the product 3 is almost exclusively via a ring-opening and re-closure mechanism.
Figure 1.
Selected parts of NMR spectra of 1, 3 and their mixture which demonstrate direct evidence that 3 has an 15N atom at its N1-position. Upper panel: signals from normal deoxyinosine 1; middle panel: signals from 3 (15N-labelled deoxyinosine); lower panel: signals from the mixture of 1 and 3 (equal ratio).
Scheme 2.
A possible, though unlikely, cleavage of the DNP group by 15NH3.
Reaction of 2 with methylamine produced N1-methylated deoxyinosine 4. This novel treatment offers a facile synthetic route to 4. In a recent paper (23), N1-methylated 2′-deoxyinosine was prepared by reacting 2′-deoxyinosine with diazomethane. The diazomethane reaction is non-specific, thus produced both 4 and its isomer (O6-methylated 2′-deoxyinosine), making its purification harder and its yield lower (only 48%). Our protocol presented above gave only the target compound in almost quantitative yield. The ready reaction with methylamine suggests that reacting 2 with other nucleophilic alkylamines (e.g. ethylamine) should produce corresponding N1-alkylated deoxyinosines.
From the above discussion, obviously 2 is a versatile intermediate and can be converted to other modified 2′-deoxyinosines by nucleophilic substitution. Besides simple alkylamines, we have also used bi-functional agents. For example, treated with ethylenediamine or hydroxylamine, 2 was readily transformed to the corresponding products: N1-(2-aminoethyl)-2′-deoxyinosine 5 or N1-hydroxy-2′-deoxyinosine 6, respectively. The protocol we developed for 6 uses commercially available hydroxylamine (50% aqueous solution at 55°C for 4 h) and is much simpler and milder than one previously reported (NH2OH–HCl + KOH at 80°C for 4 h) (20). Clearly, our protocol offers an improved method for the preparation of 6. In addition, 6 can be further transformed, via simple ultraviolet (UV) irradiation, to 2′-deoxyoxanosine 7 that is a known mutagenic product obtained from the nitrosation of guanine in DNA (24). Furthermore, all of the above-described modified nucleosides can be well separated from the intermediate 2 by high-performance liquid chromatography (HPLC) as shown in Figure 2a, thus these modified nucleosides of high purity can be made available.
Figure 2.
(a) The converted modified nucleosides [N1-hydroxy-2′-deoxyinsoine 6 (Rt = 4.2 min), N1-methyl-2′-deoxyinosine 4 (Rt = 10.3 min) and 2′-deoxyoxanosine 7 (Rt = 14.8 min)] can be easily separated from the starting material 2 (Rt = 23.5 min) by HPLC. HPLC conditions: Atlantis dC18 column (5 μm, 250 × 4.6 mm); mobile phase A was water; mobile phase B was CH3CN; and mobile phase C was 10 mM KH2PO4, pH 6.52. The mobile phase C was kept constant at 20%, while mobile phase B was increased from 5 to 30% over a period of 30 min. (b) These modified nucleosides have distinct UV spectra (λmax): N1-hydroxy-2′-deoxyinosine 6 (227, 252 and 294.6 nm); N1-methyl-2′-deoxyinosine 4 (265 nm); 2′-deoxyoxanosine 7 (247 and 285 nm) and N1-dinitrophenyl-2′-deoxyinosine 2 (245 nm) in H2O/CH3OH (1:1).
The underlying chemistry for the conversion of 2 to other nucleosides involves nucleophilic substitution; this is precisely that employed for the deprotection of synthesized oligomers by ammonia. This realization prompted us to explore a post-synthetic and site-specific modification of the N1-endocyclic position of hypoxanthine at the oligomer level. For this purpose, we first developed a synthetic route to the phosphoramidite monomer of N1-dinitrophenyl-2′-deoxyinosine 9, then incorporated it to DNA oligomers by automated DNA synthesis and finally converted into the oligomers containing various modified hypoxanthines.
Synthesis of N1-DNP-2′-deoxyinosine phosphoramidite monomer 9
The above-prepared N1-DNP-2′-deoxyinosine 2 was transformed to its phosphoramidite monomer 9 by standard tritylation with DMT–Cl under basic conditions and subsequent phosphitylation as shown in Scheme 3. Since it is the first report of this monomer, critical examinations were thus performed to assess the monomer and to develop its use in automated DNA synthesis.
Scheme 3.
Synthetic route to the versatile monomer 9. (i) DMT-C1/Et3N; (ii) Bis(diisopropylamino)cyanoethylphosphite/DIHT/TEA.
Synthesis of oligomers containing versatile base (N1-DNP-hypoxanthine)
Prior to synthesis
The stability of the monomer was first examined under DNA synthesis conditions. 3′,5′-Diacetyl-N1-2,4-dinitrophenyl-2′-deoxyinosine 10 was chosen as the test compound since 10 is structurally similar to the versatile monomer. Furthermore, with its hydroxyl groups being protected, 10 should behave chemically similar to the incorporated monomer in the oligomer. From various experiments, we did not observe any detectable change with 10 after its overnight treatment with each of the DNA synthesis regents, including the deblocking solution (3% trichloroacetic acid in CH2Cl2), the activator solution (0.45 M tetrazole in acetonitrile), the capping reagents (acetic anhydride/N-methylimidazole) and the oxidation solution (iodine/pyridine/water). The high stability of 10 under these conditions indicates that the versatile monomer 9 would be compatible with DNA synthesis. 
During synthesis
Oligomers were synthesized by an automated DNA synthesizer using the manufacturer's protocol for β-cyanoethyl phosphoramidite chemistry (1 μmol scale). The following modifications were made for optimum introduction and coupling of the versatile phosphoramidite monomer: (i) the monomer 9, once dissolved in the activator solution (for enhanced mixing of the monomer and the activator), was immediately manually injected directly onto the synthetic column to avoid the loss of the monomer in the delivery line; and (ii) the coupling time of the versatile monomer was increased to 5 min to offer sufficient time for it to be maximally incorporated into the oligomer. This modified protocol resulted in satisfactory coupling yields for the versatile monomer, mostly over 95%. No modification was made for the incorporation of normal monomers.
Post-synthetic conversion
The conversion requires the following three steps: (i) cleavage of the synthetic oligomer from its linked controlled porous glass (CPG) support; (ii) removal of all the protecting groups from bases and phosphates; and (iii) replacement of the N-DNP group on the versatile base in the oligomer by a suitable agent to produce the desired base-modified oligomers as illustrated in Scheme 4.
Scheme 4.
Post-synthetic conversion (R: H, Me, CH2CH2NH2).
In the standard protocol, the cleavage of synthetic oligomers from the support is commonly achieved by concentrated (30 M) aqueous ammonia solution at room temperature (RT) for half an hour. The linkage between the oligomer and the CPG support is an acyl bond similar to the acetyl bond in compound 10. We found the acetyl group in 10 was readily removed by various amines, including methylamine, ethylenediamine, concentrated (30 M) and diluted (6 M) aqueous ammonia solution, suggesting that these amino agents would be suitable to the cleavage of the oligomer.
In order to facilitate the removal of the protecting groups from normal bases, we chose the use of a set of base-labile monomers (Ultramild Monomers from Glen Research), in which dA is protected with the phenoxyacetyl (PAC) group, dG with the iso-propylphenoxyacetyl (iPr-PAC) group and dC with the acetyl group. This set of protecting groups can be readily removed by concentrated aqueous ammonia solution within 2 h at RT or 15 min at 55°C.
The conversion of the versatile base to a modified base within the synthesized oligomer is the most crucial step. We have demonstrated that such conversion was achievable at the nucleoside level (see Scheme 1). Here, we report that such conversion can also be achieved at the oligomer level by use of suitable amino agents, including methylamine, ethylenediamine and diluted ammonia as shown in Scheme 4.
With aqueous ammonia solution (concentrated NH3, diluted NH3 and dilute 15N-NH3). As discussed above, the production of oligomer containing hypoxanthine involves the three steps: cleavage, deprotection and replacement. As an example, we synthesized a pentamer containing the versatile base [i.e. AGXCT, X is the versatile base, N1-(2,4-dinitrophenyl)hypoxanthine] and subjected it to concentrated aqueous ammonia solution (∼30 M) for 24 h at RT, followed by purification by Nensorb cartridge. HPLC analysis of the oligomer showed one major peak. The modified pentamer was further purified by HPLC, and then digested with enzymes to its component nucleosides. HPLC analysis of the enzymatic digest showed five nucleoside peaks: 2′-deoxycytidine (dC), 2′-deoxyinosine (dI), 2′-deoxyguanosine (dG), thymidine (T) and 2′-deoxyadenosine (dA), confirming its correct composition.
Our aim is to prepare an oligomer containing N1-15N-labelled hypoxanthine. However, the most concentrated commercially available 15N-labelled ammonia solution is 5.9 M, a rather dilute solution. Therefore, we first tested the use of a 6 M ammonia solution at 55°C for 48 h. HPLC analysis showed that the produced oligomer is the same as that produced using the 30 M ammonia solution. Thus, we used 5.9 M 15N-labelled ammonia solution for the post-synthetic conversion of a synthesized pentamer (AGXCT). After purification and enzymatic digestion of the pentamer, HPLC analysis gave five peaks corresponding to dC, dI, dG, T and dA, indicating that the protocol was appropriate for the preparation of 15N-lablled pentamer. We have used the same protocol to make a nonamer (CCTGXGGAG, X: N1-15N hypoxanthine) for NMR studies.
With methylamine (MeNH2). Methylamine (aqueous solution) has been used as an effective cleaving and deprotecting agent for DNA synthesis (25,26) but has not been tested as a replacement agent for the N1-DNP group at the oligomer level. In Scheme 1, we demonstrated that N1-DNP-2′-deoxyinosine 2 could be converted into N1-methyl-2′-deoxyinosine 4 by use of methylamine (40% aqueous solution). Thus, the synthetic pentamer AGXCT was treated with aqueous methylamine solution. After isolation and purification, the major peak was enzymatically digested to its nucleoside composition. HPLC analysis of the digest showed N1-methylated deoxyinosine as well as the four standard deoxynucleosides. We have also prepared some longer oligomers (e.g. 11mer) containing N1-methylated hypoxanthine using the same protocol and examined their thermostability when paired with cytosine or thymine (see Table 1). Oligodeoxynucleotides containing N-methylated hypoxanthine have been recently prepared using a conventional approach (23), in which N1-methylated 2′-deoxyinosine was first synthesized and then transformed to its phosphoramidite that was finally incorporated into oligomers. Obviously, our protocol for oligomers containing N1-methylated hypoxanthine is much simpler and could be readily adapted for the preparation of oligomers containing other N1-alkylated hypoxanthine without the need to prepare the corresponding monomers.
Table 1.
The melting temperature (Tm) values of normal 11mer DNA duplexes and modified 11mer DNA duplexes containing N1-methyl hypoxanthine (4) or N1-aminoethyl hypoxanthine (5)
| 5′-CAGXAATTCGC-3′ | |||||
|---|---|---|---|---|---|
| 3′-GTCYTTAAGCG-5′ | |||||
| X | Y | Tm (°C) | X | Y | Tm (°C) |
| G | C | 52.3 | 4 | C | 32.8 |
| G | T | 40.6 | 4 | T | 31.5 |
| I | C | 48.8 | 5 | C | 33.7 |
| I | T | 40.2 | 5 | T | 32.6 |
With ethylenediamine (NH2CH2CH2NH2). As with ammonia, the production of N1-(2-aminoethyl)-hypoxanthine containing oligomer would involve the same three steps: (i) cleavage of the oligomer, (ii) removal of all protecting groups; and (iii) replacement of the N-DNP group with the incoming agent (ethylenediamine). A successful replacement (step iii) has been demonstrated (see Scheme 1). To investigate whether the first two steps (cleavage and deprotection) take place as desired, a normal pentamer (CGGAT) was treated with ethylenediamine for 48 h at RT. The resulting pentamer was found by HPLC analysis to be exactly the same as one produced with concentrated ammonia. This confirmed that ethylenediamine did not degrade the normal oligomers and that ethylenediamine can be safely used for cleavage and deprotection (27,28).
Subsequently, the pentamer containing the versatile base (CGXAT, X = N1-DNP-hypoxanthine) was synthesized and treated with ethylenediamine for 48 h for the cleavage of the oligomer, removal of the protecting groups and replacement of N-DNP group. HPLC analysis of the resulting oligomer showed a major peak with a retention time different from that of the pentamer CGIAT (I = hypoxanthine). Therefore, the modified base in the ethylenediamine-treated oligomer was definitely not hypoxanthine. Then, the modified pentamer was further purified by HPLC and digested with enzymes to its nucleosides. Analysis of the enzymatic digest showed an extra peak besides those corresponding to the four standard nucleosides (Figure 3). The extra peak has the same retention time and UV spectrum as the authentic N1-(2-aminoethyl)-2′-deoxyinosine prepared by a reported protocol (20). These data confirm that our post-synthetic protocol did produce oligomers containing N1-(2-aminoethyl)-hypoxanthine. We have also employed this protocol for the preparation of longer oligomers (11 and 25mer). The 11mer was used for thermostability study (see below) and the 25mer will be used for cross-linking with other macromolecules.
Figure 3.
HPLC profile of enzymatic digest of the pentamer CGXAT after the treatment with ethylenediamine (monitored at 260 nm). Peak X had the same Rt and UV spectral profile as N1-(2-aminoethyl)hypoxanthine deoxynucleoside 5. HPLC conditions are the same as those in Figure 2a.
Thus, three different base-modified oligomers have been prepared by post-synthetic approach using a single synthesis and simple amino agents. We believe this procedure is of general use.
For example, the above discussed reaction of adenine with epoxides (such as 3,4-epoxide-1-butene), leading to enhanced rates of deamination, results in mutagenic N1-β-hydroxyalkyl-hypoxanthine. The current method for the preparation of oligomers containing such N1-substituted hypoxanthine (19) involves multiple steps. One possible solution to this (Scheme 5) would be to use an amino equivalent of the epoxide, 2-amino-but-3-en-1-ol (29), to react directly with synthesized oligomers containing N1-DNP-hypoxanthine in the same manner as shown in Scheme 4. In addition, if an optically pure enantiomer of the amine is used, the chirality should be retained as attack of the amine at the hypoxanthine does not affect the attached chiral carbon. Another potential application of the post-synthetic approach would be to make oligomers containing oxanine by reacting with hydroxylamine followed by UV irradiation (see Scheme 1). Oxanine is a known mutagenic product arising from the nitrosation of guanine in DNA (24). Owing to the unstable nature of oxanine, chemical synthesis of oligomers containing oxanine has not been possible. The current method for the preparation of oligomers containing oxanine has relied on enzymatic incorporation of the triphosphate followed by elongation (30).
Scheme 5.
A proposed route to oligomers containing epoxide-adducted hypoxanthine. The chiral centre, marked with an asterisk, is not involved in the substitution.
Purification and application
We have shown the production of N1-substituted hypoxanthine oligomers. For structural or biological applications, it remains crucial to ensure the obtained modified oligomers are pure and free from their analogue oligomers, in particular, the parent oligomer (i.e. hypoxanthine oligomer in this case). Thus, the prepared modified oligomers require careful purification. For short-length oligomers containing modified base (e.g. pentamers), purification by reversed-phase HPLC is sufficient. But when the length of oligomers becomes longer, reversed-phase HPLC is often inadequate to achieve good separation. Previously, we developed a method for separation of oligomers of identical length with one base being different under alkaline conditions by use of Mono Q column (31). We now demonstrate that the N1-substituted hypoxanthine oligomers can also be well separated from their parent (hypoxanthine) oligomers. As an example, the separation of 11mer containing N1-(2-aminoethyl)-hypoxanthine from the same 11mer containing hypoxanthine is shown in Figure 4.
Figure 4.
Liquid chromatograms of synthetic 11mers with the sequence 5′-CAGXAATTCGC-3′ (X, hypoxanthine or N1-aminoethyl hypoxanthine). The top panel is the purified 11mer containing hypoxanthine, while the middle panel is the purified 11mer containing N1-(2-aminoethyl)-hypoxanthine. The lower panel is the co-injection of the both 11mers. Conditions: Mono Q column from Pharmacia Biotech; Gradients of eluant A: 0.4 M NaCl and 1 mM NaOH solution (pH 11). Gradients of eluant B: 1.2 M NaCl and 1 mM NaOH solution (pH 11). Programme: eluant B was kept at 0% for first 2 min, and then increased to 15% during the next 3 min, then to 30% during the following 20 min. Flow rate: 1 ml/min. Monitored at 260 nm.
The establishment of the synthesis and purification protocols has allowed us to explore these rarely available base-modified oligomers. As the first attempt, we examined base-pairing properties of these N1-substituted hypoxanthines using melting curve measurement. Table 1 lists Tm values of a series of complementary 11mers. Obviously, the presence of X [either N1-methylhypoxanthine 4 or N1-(2-aminoethyl)-hypoxanthine 5] in the duplex leads to substantially reduced Tm values (32–33°C) compared with that (48.8°C) of the duplex having hypoxanthine (I). It is worth noting that there is little difference between X:C pair and X:T pair. These data suggest that these N1-substituted hypoxanthines are likely to disrupt Watson–Crick hydrogen bonding and probably cause mutations. Our finding is in good agreement with a recent paper which reported a duplex containing N1-(1-hydroxy-3-butene-2-yl)-hypoxanthine has a sharply reduced Tm value (33°C) (19). Guanine has a similar structure to hypoxanthine, thus N1-methylated guanine, if formed, would be expected to behave similarly as N1-methylated hypoxanthine, disrupting base pairing and inducing mutagenesis.
CONCLUSIONS
We have developed a facile method to prepare various modified hypoxanthines at the nucleoside and oligomer levels by site-specific substitution of the N-DNP group of the constructed versatile base, N1-(2,4-dinitrophenyl)-hypoxanthine. The method affords rarely available modified nucleosides and their oligomers and should be useful for biological and structural exploitation of N1-substituted hypoxanthine nucleosides and their DNA. Our melting curve studies clearly indicate that N1-substituted hypoxanthines, if formed in DNA, would affect base pairing property and probably induce mutations.
MATERIALS AND METHODS
Chemicals and enzymes
All chemicals used on the DNA synthesizer were obtained from Glen Research. All other chemicals and solvents, unless stated otherwise, were either from Aldrich or from Sigma. All chemicals and solvents were used directly without further purification. Nuclease P1 (Penicillium citrinum) and alkaline phosphatase (bovine intestinal mucosa) were purchased from Sigma.
DNA synthesizer
An Expedite 8909 (Perspective Biosystems) machine was used to synthesize oligomers. The manufacturer's protocol for phosphoramidite on 1 μmol scale was employed. Synthesized oligomers were treated with concentrated ammonia or other stated agents [such as 15N-labelled 5.9 M ammonia in water, 98% of isotopic purity (Cambridge Isotope Laboratories) or ethylenediamine or methylamine (40% aqueous solution)] for specified periods, then purified with Nensorb cartridge (DuPont). For high purity oligomers, additional HPLC purification was generally employed.
Chromatography and instruments
Solvent systems for TLC and silica gel column chromatography were mixtures of chloroform/methanol in different ratios: 1–5% methanol (for the DMT nucleoside product), 30–50% methanol (for N1-hydroxy-2′-deoxyinosine) and dichloromethane/ethyl acetate/Et3N (95:5:2) (for the phosphoramidite product). Nucleosides on TLC were identified using p-anisaldehyde/ethanol/H2SO4 (5:90:5) solution converting the nucleosides into black spots on heating. For photochemical reaction, a carousel vessel was employed. The reaction solution was irradiated with a UV lamp (400 W, medium pressure). Other instruments used for the work are (i) Electrothermal digital melting point apparatus; (ii) HPLC from Waters 600S equipped with photodiode array detector and Preparative HPLC from Waters (Delta Prep 3000) for reversed-phase analysis and purification; and (iii) FPLC (Dionex BIOLC system) with Mono Q column (Pharmacia Biotech) for the purification of longer base-modified oligomers. NMR instruments: 300 MHz from JOEL (JNM-LA 300, FT NMR) and 400 MHz from JOEL (JNM-EX 400, FT NMR).
Preparation and synthesis
Preparation of N1-(2,4-dinitrophenyl)-2′-deoxyinosine 2
Compound 2 was prepared using a previously reported protocol (17). In brief, a mixture of 2′-deoxyinosine (0.5 g, 1.98 mmol), K2CO3 (0.694 g, 4.95 mmol) and 1-chloro-2,4-dinitrobenzene (0.56 g, 2.77 mmol) was suspended in anhydrous DMF at 100°C for 15 min under stirring. The reaction mixture was cooled to RT and filtered, and the filtrate was dried under vacuum. The resulting solid residue was then dissolved in acetone, adsorbed on silica gel and evaporated to dryness. The dried material was purified by column chromatography eluting with chloroform/methanol (1–5%) gave the product 2 (0.8 g, yield = 97%). Mp: 235°C (decomp.). 1H NMR (CD3OD): (δ 8.93 (dd, 1H, J = 2.55 Hz, 3H of 2,4-dinitrophenyl), 8.79 (dd, 1H, J = 8.6, 8.6 Hz, 5H of 2,4-dinitrophenyl), 8.63 (s, 1H, 8H), 8.46 (d, 1H, J = 4.38 Hz, 2H), 8.17 (dd, 1H, J = 8.6, 8.5 Hz, 6H of 2,4-dinitrophenyl), 6.40 (t, 1H, J = 6.6, 6.75 Hz, 1′H), 4.60 (m, 1H, J = 3.0, 3.1, 6.0 Hz, 3′H), 4.10 (m, 1H, J = 3.1, 5.4, 5.5 Hz, 4′H), 3.82 (m, 1H, J = 5.8, 11.6 Hz, 5′H), 2.77 (m, 1H, J = 6.6, 7.6, 13.7 Hz, 2′Ha), 2.54 (m, 1H, J = 3.0, 6.5, 13.3 Hz, 2′Hb). 13C NMR(CD3OD): δ 155.1 (C-6), 147.7 (C-2 of 2,4-dinitrophenyl), 147.4 (C-4 of 2,4-dinitrophenyl), 145.7(C-8), 139.9 (C-2), 133.4 (C-6 of 2,4-dinitrophenyl), 135.1 (C-4), 145.7 (C-1 of 2,4-dinitrophenyl), 122.0 (C-5), 89.5 (C-4′), 86.5 (C-1′), 72.4 (C-3′), 63.1 (C-5′), 41.9 (C-2′). MS m/z: 419 [MH+] and 302. UV λmax: 245 nm. Microanalysis: found, C: 45.65; H: 3.38; N: 19.33 (calculated for C16H14O8N6: C: 45.93; H: 3.35; N: 20.09).
Synthesis of 5′-O-dimethoxytrityl-N1-(2,4-dinitrophenyl)-2′-deoxyinosine 8
The prepared 2 (1 g, 2.4 mmol) was dissolved in pyridine (16 ml) under nitrogen atmosphere. Triethylamine (4 ml) was added dropwise. The reaction mixture was cooled in an ice-bath. DMT–Cl (1.21 g, 3.58 mmol) was added and the mixture stirred for ∼10 min. Stirring was continued at RT for 2 h, by which time the starting material was completely converted to a new product [by TLC, MeOH/CHCl3 (5:95)]. The reaction was quenched with 5 ml of MeOH and the solvents evaporated under vacuum. The residue was rinsed with hexane, filtered and dried under vacuum, then purified by column chromatography using MeOH/CHCl3 (1–5%). While running the column, some drops of triethylamine were added to the eluting solvents to reduce the risk of hydrolysis of the DMT product. The fractions containing the product (eluting with 3–5% of MeOH in CHCl3) were pooled together and evaporated to give the title product 8 (1.2 g, yield = 70%). Mp: 157°C. 1H NMR (DMSO-d6): δ 8.93 (d, 1H, J = 2.57 Hz, 3H of 2,4-dinitrophenyl), 8.77 (dd, 1H, J = 8.6, 8.6 Hz, 5H of 2,4-dinitrophenyl), 8.43 (s, 1H, 8H), 8.37(d, 1H, J = 4.38 Hz, 2H), 8.02 (dd, 1H, J = 8.6, 8.5 Hz, 6H of 2,4-dinitrophenyl), 6.7 to 7.7 (m, phenyl groups at 5′-O-position); 6.41 (dd, 1H, J = 6.6, 6.75 Hz, 1′H), 5.55 (m, 1H, 3′-OH), 4.41 (m, 1H, J = 3.0, 3.1, 6.0 Hz, 3′H), 4.10 (m, 1H, J = 3.1, 5.4, 5.5 Hz, 4′H), 3.82 (m, 2H, J = 5.3, 11.6 Hz, 5′H), 3.69 (2s, 6H, two OCH3's of DMT), 2.77 (m, 1H, J = 6.6, 7.6, 13.7 Hz, 2′Ha), 2.49 (m, 1H, J = 3.0, 6.5, 13.3 Hz, 2′Hb). MS m/z: 721 [MH+], 303 and 238. 13C NMR (CD3OD) δ 158.0 (C-6), 149.6 (C-2 of 2,4-dinitrophenyl), 147.5 (C-4 of 2,4-dinitrophenyl), 144.8 (C-8), 139.8 (C-2), 135.5 (C-6 of 2,4-dinitrophenyl), 129.7(C-4), 123.9 (C-1 of 2,4-dinitrophenyl), 120.8 (C-5), 155.1 (C-OCH3 of DMT group), 127.8, 123.9, 113.1 (phenyl groups of DMT), 87.6 (C-4′), 79.2 (C-1′), 70.6 (C-3′), 63.1 (C-5′), 40.3 (C-2′). HRMS (ESI) m/z: 721.2259 [M + H]+ (calculated for C37H33O10N6: 721.2253).
Synthesis of the versatile monomer [5′-O-dimethoxytrityl-N1-(2,4-dinitrophenyl)-2′-deoxyinosine-3′-(O-(2-cyanoethyl)-di-isopropylamidophosphite] 9
The above prepared 8 (100 mg, 0.13 mmol) was dissolved with anhydrous pyridine (20 ml) and the pyridine solution was evaporated under vacuum. This procedure was repeated twice. The residue was placed under vacuum overnight and dissolved in dry dichloromethane (20 ml). Then, anhydrous triethylamine (2 ml) and diisopropylammonium 1H tetrazolide (125 mg, 0.73 mmol) (32,33) were added to the solution of 8, followed by bis-(diisopropylamino) cyanoethylphosphite (200 μl) (34). The reaction mixture was stirred under inert atmosphere at RT for 3 h, then mixed with NaHCO3 (20 ml) and extracted with dichloromethane (3 × 20 ml). The combined organic layer was dried over sodium sulfate, filtered and concentrated under vacuum. The residue was purified by column chromatography with CH2Cl2/EtOAc (1–5%)/Et3N (2%) to afford pure phosphoramidite monomer 9 (100 mg, yield = 71%). 31P NMR data (in CDCl3): 151 and 150 p.p.m. (these two peaks represent two stereo isomers of the phosphoramidite monomer).
Preparation of N1-15N-2′-deoxyinosine 3
Compound 2 (0.5 g, 1.20 mmol) was treated with 3 ml of aqueous 15N-NH3 (5.9 M) (Cambridge Isotope Laboratories). The mixture was stirred at 55°C for 24 h in a sealed vial. The crude material, diluted with 10 ml of water, was filtered, and the solid washed with water. The filtrate was extracted with dichloromethane. The aqueous layer was concentrated and redissolved with MeOH/H2O (1:1) for crystallization. Pure compound (0.21 g, yield = 70%) was obtained. Mp: 221–224°C. UV λmax: 245 nm, MS: m/z = 254 [M + H+]. 1H NMR: (DMSO-d6) δ 8.35 (s, 1H, 8H), 8.09 (d, 1H, J = 11.8 Hz, 2H), 6.34 (dd, 1H, J = 6.5, 6.7 Hz, 1′H), 4.43 (m, 1H, J = 3.1, 3.2, 6.1 Hz, 3′H), 3.91 (m, 1H, J = 3.2, 5.5, 5.6 Hz, 4′H), 3.59 (m, 2H, J = 5.2, 11.5 Hz, 5′H), 2.67 (m, 1H, J = 6.5, 7.5, 13.6 Hz, 2′Ha), 2.36 (m, 1H, J = 3.0, 6.5, 13.2 Hz, 2′Hb). 13C NMR (DMSO-d6) δ 158.0 (JC-N = 11.2 Hz, C-6), 149.0 (C-4), 145.8 (JC-N = 9.2 Hz, C-2), 138.5 (C-8), 125.5 (C-5), 87.9 (C-4′), 83.5(C-1′), 70.6 (C-3′), 61.5 (C-5′) 39.4 (C-2′ overlapped by DMSO-d6). The data are in agreement with the literature (20). Microanalysis: found, C:47.33; H: 4.38; N: 21.98 (calculated for C10H12O4N315N1: C: 47.43; H: 4.74; N: 22.52).
Preparation of N1-methyl-2′-deoxyinosine 4
Compound 2 (0.25 g, 0.59 mmol) was dissolved in 15 ml of methylamine (40% aqueous solution) and the reaction was carried out at 55°C for 3 h. HPLC analysis of the reaction showed the starting material 2 (Rt = 16.2 min) was completely converted to a new peak 4 (Rt = 15.8 min). [HPLC conditions: Atlantis dC18 column, 5 μm, 250 × 4.6 mm. Mobile phase A: water; mobile phase B: CH3CN; mobile phase C: 10 mM KH2PO4 (pH 6.52). The mobile phase C was kept constant at 20%, while mobile phase B was kept at 0% for the first 4 min, then increased to 42% over next 20 min]. Then, the reaction mixture was filtered and the filtrate was evaporated to dryness, to which water (15 ml) was added and extracted with ether (3 × 20 ml). The aqueous layer was lyophilized and further purified by preparative HPLC using 50% methanol in 0.2 M ammonium acetate pH 7.0 (Isocratic) on Phenomenex Luna column (10 μm, 250 × 21.2 mm) to give the product 4 (120 mg, yield = 75%). Mp: 174°C. MS m/z: 266. UV λmax: 268 nm. 1H NMR (DMSO-d6): δ 8.47 (s, 1H, 8H), 8.36 (s, 1H, 2H), 3.42 (s, 3H, N-methyl), 6.31 (1H, dd, J = 6.8, 6.8 Hz, 1′H), 4.40 (m, 1H, J = 3.0, 3.1, 6.0 Hz, 3′H), 4.32 (m, 1H, J = 3.0, 5.3, 5.7 Hz, 4′H), 3.79 (m, 2H, J = 5.3, 11.6 Hz, 5′H), 2.68 (m, 1H, 2′Ha), 2.48 (m, 1H, 2′Hb). 13C NMR (DMSO-d6): 157.1 (C-6), 149.5 (C-2), 146.7 (C-4), 140.7 (C-8), 125.0 (C-5), 86.3 (C-4′), 85.2 (C-1′), 71.8 (C-3′), 63.0 (C-5′), 43.1 (C-2′) and 34.6 (N-CH3).
Preparation of N1-(2-aminoethyl)-2′-deoxyinosine 5
Compound 2 (100 mg, 0.55 mmol) was treated with ethylenediamine (3 ml) and the mixture was heated at 50°C for 4 h under stirring. The resulting solution was dried under vacuum and purified on preparative TLC, developed in MeOH/CHCl3/(3:7). The band (Rf = 0.15), scratched from the plates and eluted with MeOH/CHCl3 (1:1), afforded the title compound 5 (30 mg, yield = 33%). Mp: 114°C; UV λmax (MeOH): 251 nm; MS m/z: 296 (M + H+). 1H NMR (CD3OD) δ 8.35 (1H, s, 8H), 8.29 (1H, s, 2H), 6.34 (1H, dd, J = 6.5, 6.5 Hz, 1′H), 4.52 (1H, m, J = 3.0, 3.1, 6.0 Hz, 3′H), 4.14 (2H, t, α-CH2 (i.e. >N-CH2-), J = 6.3 Hz), 4.10 (1H, m, J = 3.0, 5.2, 5.3 Hz, 4′H), 3.71(m, 2H, 5′-CH2, J = 5.5, 11.3 Hz), 3.07 (2H, t, J = 6.2 Hz, β-CH2 (i.e. –CH2–NH2), 2.80 (1H, m, 2′Ha), 2.46 (1H, m, 2′Hb). 13C NMR (D2O): 157.9 (C-6), 149.5 (C-8), 147.6 (C-4), 141.7 (C-2), 123.2 (C-5), 86.2 (C-4′), 86.1 (C-1′), 71.6 (C-3′), 63.2 (C-5′), 42.0 (C-2′) and 38.6 (CH2–NH2).
Preparation of N1-hydroxy-2′-deoxyinosine 6
Via hydroxylamine hydrochloride–potassium hydroxide: a solution of KOH (1.2 g, 33.3 mmol) in EtOH (10 ml) was added to hydroxylamine hydrochloride (1.2 g, 17.3 mmol) in EtOH (25 ml) at reflux. After 10 min, a solution of 2 (1 g, 2.4 mmol) in dry DMF (25 ml) was added to the reaction mixture. The mixture was heated at 80°C and monitored by TLC MeOH/CHCl3 (2:8). After 4 h, the mixture was dried under vacuum and treated with concentrated NH4OH (25 ml) for 5 h. Then, the mixture was dried and purified on silica gel column eluting with MeOH in CHCl3 with increasing percentage of MeOH. The fractions containing the product (eluting with 30–50% MeOH/CHCl3) were collected and dried to give the title compound 6 (600 mg, yield = 93%). 1H NMR (D2O): δ 8.37, (1H, s, 8H), 8.19 (1H, s, 2H) 6.34 (1H, dd, J = 6.6, 6.6 Hz, 1′H), 4.70 (m, 1H, J = 3.0, 3.1, 6.0 Hz, 3′H), 4.50 (m, 1H, J = 3.1, 5.4, 5.5 Hz, 4′H), 3.73 (m, 2H, J = 5.8, 11.6 Hz, 5′H), 2.89 (m, 1H, J = 6.6, 7.6, 13.7 Hz, 2′Ha), 2.60 (m, 1H, J = 3.0, 6.5, 13.3 Hz, 2′Hb). 13C NMR (D2O): 160.0 (C-6), 149.5 (C-2), 146.7 (C-4), 140.7 (C-8), 125.0 (C-5), 88.1 (C-4′), 85.3 (C-1′), 71.8 (C-3′), 62.2 (C-5′) and 39.8 (C-2′). UV λmax = 227, 252 and 294 nm; MS m/z: 268 [M+]. The data are in agreement with the literature (20).
Via aqueous hydroxylamine solution: compound 2 (0.25 g, 0.59 mmol) was dissolved in 5 ml of hydroxylamine (50% aqueous solution) and the reaction was carried out at 55°C for 3 h. HPLC analysis of the reaction showed the starting material 2 (Rt = 16.2 min) was completely converted to a new peak 6 (Rt = 4.9 min). After a standard work-up procedure, the product was sufficiently pure as only a single peak was observed by HPLC analysis. When this product was co-chromatographed with the compound prepared by the above (i) protocol, HPLC gave a single peak. The yield (from 2 to 6) was almost quantitative.
Preparation of 2′-deoxyoxanosine 7
From N1-hydroxy-2′-deoxyinosine: compound 6 (300 mg, 1.12 mmol) was dissolved in H2O (12 ml) in quartz tube. The solution was irradiated using a UV lamp (400 W, medium pressure, Hg arc, 150–900 nm) for 2.5 h, during which the reaction mixture was monitored by HPLC. Three major peaks (Rt = 8.2, 8.7 and 9.4 min, respectively) were observed. The crude product was isolated on preparative HPLC on a Phenomenex Luna column (10 μm, 250 × 21.2 mm), eluting with 10% CH3CN in 2.5 mM TEAA (pH 5.0) and monitored at 260 nm. The peak at 9.4 min, having the same UV profile as reported in literature (24) for 2′-deoxyoxanosine, was collected and lyophilized to offer pure product 7 (100 mg, yield = 33%). The correct structure was confirmed by spectral analysis (see below).
From 2′-deoxyguanosine: 2′-Deoxyguanosine (1.0 g, 3.7 mmol) was dissolved in 100 ml sodium acetate buffer (3 M, pH 3.7), and NaNO2 (10 mmol, 0.7 g) was added and stirred at 37°C for 6 h. Four major peaks (Rt = 7.4, 8.8, 9.7 and 11.8 min, respectively) were observed using HPLC on a Phenomenex column (synergi 4 μm, max-RP-80A, 250 × 4.6 mm). The last eluting peak, which had the same UV profile as reported in literature (24) for 2′-deoxyoxanosine, was isolated on preparative HPLC as described above. The product peak was collected and freeze-dried to give 7 (100 mg, yield = 11%). 1H NMR (DMSO-d6): δ 7.94 (s, 1H, 8H), 7.89 (s, 2H, -NH2), 6.03 (dd, 1H, J = 6.7, 6.5 Hz 1′H), 5.34 (br, 1H, 3′-OH), 4.94 (br, 1H, 5′-OH), 4.32 (m, 1H, J = 4.0 Hz, 3′H), 3.82 (m, 1H, J = 3.6, 4.8 Hz, 4′H), 3.52 (m, 2H, J = 5.8, 11.5 Hz, 5′H), 2.49 (m, 1H, J = 7.6, 13.9 Hz, 2′Ha), 2.23 (m, 1H, 2′Hb). 13C NMR (DMSO-d6): δ 160.0 (C-6), 154.6 (C-2), 153.2 (C-8), 137.2 (C-5), 111.4 (C-4), 88.0 (C-4′), 83.4 (C-1′), 71.0 (C-3′), 61.9 (C-5′), 39.5 (C-2′); UV λmax: 247 and 285 nm; MS m/z: 268 [M+] and 152 [base fragment +1].
Stability test of 10 under the conditions for DNA synthesis
A small amount of 3′,5′-diacetyl-N1-(2,4-dinitrophenyl)-2′-deoxyinosine 10 was dissolved in each of the following DNA solutions: THF/pyridine/acetic anhydride (Capping A), 10% N-methylimidazole in THF (Capping B), 0.02 M iodine in THF/pyridine/water (oxidizing solution), 3% trichloroacetic acid in dichloromethane (deblocking solution) and 0.45 M tetrazole in acetonitrile (activator solution). The reaction mixtures were monitored by TLC (MeOH/CHCl3: 1:9). There was no detectable change with compound 10 even after 2 days.
Synthesis of oligomers containing the versatile base
The oligomers were synthesized on an automated DNA synthesizer using a modified manufacturer's standard protocol (1 μmol scale), in which a step was introduced for manual addition of the versatile monomer 9 (see details below). The Ultramild monomers (Glen Research) were used for the standard phosphoramidite monomers, in which the bases of the monomers are protected with base-labile protecting groups (PAC for dA, iPr-Pac for dG and Ac for dC). The general procedure was carried out as before (6). The portion of oligomer 3′ to the modified base was synthesized on the machine, and the versatile monomer 9 was added manually. This manual addition involves the following steps: (i) 10 mg of 9 was dissolved in 250 μl of the activator solution (0.5 M tetrazole in CH3CN); (ii) the bottom end of the cartridge containing the CPG-support and partially synthesized oligomer was disconnected from the machine; (iii) the mixture of the monomer and tetrazole was immediately injected from a gas tight syringe; (iv) the syringe was used to draw the solution in and out of the cartridge repeatedly over a period of 5 min; and (v) the cartridge was reconnected to the synthesizer to complete the synthesis.
Preparation of oligomer containing N1-(2-aminoethyl)-hypoxanthine
The CPG-support bearing a pentamer CGXAT (X = N1-DNP-hypoxanthine), with the 5′-DMT still on, was put into an Eppendorf tube, and ethylenediamine (2 ml) was added and left at 55°C for 48 h. The desired oligomer was separated from failure sequences and its DMT group removed using a Nensorb cartridge (DuPont) according to the manufacturer's instruction. The fraction was collected in 10 × 1 ml/tube and checked using UV spectrometer. The oligomer was generally located in fractions 3–5 and further purified by HPLC using a reverse-phase column (Phenomenex, Synergi 4 μm, max-RP-80A, 250 × 4.6 mm). Mobile phase A was water; mobile phase B was CH3CN; and mobile phase C was 10 mM KH2PO4, pH 6.52. The mobile phase C was kept constant at 20%, while mobile phase B was increased from 3 to 40% over a period of 30 min. The analytes were detected by UV absorbance at 260 nm. Nucleoside composition analysis was carried out as described below. A similar preparative protocol has been successfully used for longer oligomers (11 and 25mer) containing N1-(2-aminoethyl)-hypoxanthine.
Preparation of oligomer containing hypoxanthine
The CPG-support bearing the pentamer (AGXCT) [X: N1-DNP-hypoxanthine] was treated with concentrated aqueous ammonia (30 M) in a similar way as described above at RT for 24 h. The resulting oligomer was purified using Nensorb cartridge and then by HPLC as described above.
Preparation of oligomer containing N1-15N-labelled hypoxanthine
A pentamer (AGXCT) and a nonamer (5′-CCTGXGGAG) [X: N1-DNP-hypoxanthine] were synthesized in a similar way as described above and substituted and deprotected using 5.9 M 15NH3 aqueous solution at 55°C for 48 h, then purified using a Nensorb cartridge and further purified by HPLC. For NMR study of the nonamer, several syntheses (on 1 μmol scale) were carried out to produce required amount of the oligomers.
Preparation of oligomer containing N1-methylhypoxanthine
For the preparation of oligomer containing N1-methylhypoxanthine the CPG-support bearing a pentamer AGXCT (X = N1-DNP-hypoxanthine) was treated with methylamine (40% solution in water) at 55°C for 24 h. The oligomer was purified on a Nensorb cartridge. HPLC analysis of the Nensorb-purified oligomer showed a major peak of Rt = 12.9 min under the following conditions: Atlantis dC18 column, 5 μm, 250 × 4.6 mm. Mobile phase A was water; mobile phase B was CH3CN; and mobile phase C was 10 mM KH2PO4, pH 6.52. The mobile phase C was kept constant at 20%, while mobile phase B was kept at 0% for the first 4 min, then increased to 42% over next 20 min. The purified pentamer was digested and its nucleoside composition analysis was carried out as described below. The same preparative protocol was used for the preparation of a 11mer containing N1-methylhypoxanthine, but its purification was carried out using Mono Q column under alkaline conditions (pH = 11).
Nucleoside composition analysis of the modified oligomers
After purification by HPLC and desalting with Sep-Pac cartridge (Waters), each of the above prepared modified pentamers was digested to its constituent nucleosides. A typical protocol is as follows: a purified pentamer (∼0.5 OD) was dissolved in 150 μl of water, to which 25 μl of buffer (pH 4.5) and 20 μg of Nuclease P1 (Penicillium citrinum) were added. The mixture was incubated at 37°C for 30 min. Then, the pH of the solution was changed to 8 by adding a solution (pH 8) containing 600 mM of Tris–HCl and 60 mM of MgCl2, and 15 μl of alkaline phosphatase (Bovine intestinal mucosa) was added and the incubation was continued for another 30 min. [It was noted that 2′-deoxyadenosine was partially deaminated to 2′-deoxyinosine when phosphodiesterase II (Bovine spleen) was used instead of Nuclease P1]. The digest was analysed by HPLC on a reverse-phase column (Atlantis dC18 column, 5 μm, 250 × 4.6 mm). Mobile phase A was water; mobile phase B was CH3CN; and mobile phase C was 10 mM KH2PO4, pH 6.52. The mobile phase C was kept constant at 20%, while mobile phase B was increased from 5 to 30% over a period of 30 min. The analytes were detected by UV absorbance at 260 nm. The peaks appeared in nucleoside composition analysis were compared with the standard compounds (dC, dI, dG, T and dA) retention times and UV. Retention times of standard and modified deoxynucleosides were as follows: 6 (4.2 min); dC (5.2 min); dI (7.8 min); 5 (8.2 min); dG (8.8 min); 4 (10.3 min); T (10.5 min); and dA (13 min).
Melting curve measurement of base-modified oligomer duplexes
The measurements were performed in stoppered quartz cuvettes using a UVIKON spectrophotometer connected to a temperature control unit and a programmable heated cell holder capable of maintaining the temperature to within ±0.1°C over a range from 25 to 90°C in a 10 mm pathlength, 500 μl quartz cell. A typical example is as follows: a pair of 11mers with complementary sequences was annealed in 0.1M HEPES buffer (pH 7.0). The temperature-dependent change in absorbance at 260 nm of the solution was recorded. The rate of the temperature increase was 1°C/min. The Tm values were determined as the maximum values of the first derivative graph of the absorbance versus temperature.
Acknowledgments
The authors are most grateful to Dr Jim Iley for his critical reading and valuable comments and to Graham Jeffs, Pravin Patel and Gordon Howell for their excellent technical assistance. The work was supported by the Open University through a studentship to R.N. who also acknowledges Universities UK for an ORS award. High resolution mass spectra were obtained by the EPSRE Mass Spectrometry Service Centre, University of Swansea. Funding to pay the Open Access publication charges for this article was provided by the Open University.
Conflict of interest statement. None declared.
REFERENCES
- 1.Lindahl T. Instability and decay of the primary structure of DNA. Nature. 1993;362:709–715. doi: 10.1038/362709a0. [DOI] [PubMed] [Google Scholar]
- 2.Friedberg E.C. DNA damage and repair. Nature. 2003;421:436–440. doi: 10.1038/nature01408. [DOI] [PubMed] [Google Scholar]
- 3.Harris T.M., Harris C.M. Synthesis of oligodeoxynucleotides bearing structurally defined adducts of mutagens. ARKIVOC. 2001;2:16–29. doi: 10.1021/tx9501795. [DOI] [PubMed] [Google Scholar]
- 4.Xu Y.-Z. Synthetic chemistry of base-modified DNA. In: Loakes D., editor. Modified Nucleosides, Synthesis and Applications. Kerala, India: Research Signpost; 2002. pp. 1–16. [Google Scholar]
- 5.Xu Y.-Z., Swann P.F. Solid-phase synthesis of oligodeoxynucleotides containing O6-alkylguanine and O4-alkylthymine. Nucleosides Nucleotides. 1991;10:315–318. [Google Scholar]
- 6.Xu Y.-Z., Zheng Q., Swann P.F. Synthesis of DNA containing modified bases by postsynthetic substitution. Synthesis of oligomers containing 4-substituted thymine. O4-alkylthymine, 5-methylcytosine, N4-(dimethylamino)-5-methylcytosine, and 4-thiothymine. J. Org. Chem. 1992;57:3839–3845. [Google Scholar]
- 7.Xu Y.-Z., Zheng Q., Swann P.F. Synthesis by post-synthetic substitution of oligomers containing guanine modified at the 6-position with S-derivatives, N-derivatives, O-derivatives. Tetrahedron. 1992;48:1729–1740. [Google Scholar]
- 8.Xu Y.-Z., Zheng Q., Swann P.F. Synthesis and duplex stability of oligodeoxynucleotides containing 6-mercaptopurine. Tetrahedron Lett. 1992;33:5837–5840. [Google Scholar]
- 9.Macmillan A.M., Verdine G.L. Synthesis of functionally tethered oligodeoxynucleotides by the convertible nucleoside approach. J. Org. Chem. 1990;55:5931–5933. [Google Scholar]
- 10.Macmillan A.M., Verdine G.L. Engineering tethered DNA-molecules by the convertible nucleoside approach. Tetrahedron. 1991;47:2603–2616. [Google Scholar]
- 11.Coleman R., Kesicki E.A. Synthesis and postsynthetic modification of oligodeoxynucleotides containing 4-thio-2′-deoxyuridine (d(S4)U) J. Am. Chem. Soc. 1994;116:11636–11642. [Google Scholar]
- 12.Harris C.M., Zhou L., Strand E.A., Harris T.M. New strategy for the synthesis of oligodeoxynucleotides bearing adducts at exocyclic amino sites of purine nucleosides. J. Am. Chem. Soc. 1991;113:4328–4329. [Google Scholar]
- 13.Xu Y.-Z., Ramesh V., Swann P.F. Site-specific N-15-labelling of adenine in DNA for NMR studies. Bioorg. Med. Chem. Lett. 1996;6:1179–1182. [Google Scholar]
- 14.Ramesh V., Xu Y.-Z., Roberts G.C.K. Site-specific N-15-labeling of oligonucleotides for NMR—the TRP operator and its interaction with the TRP repressor. FEBS Lett. 1995;363:61–64. doi: 10.1016/0014-5793(95)00226-y. [DOI] [PubMed] [Google Scholar]
- 15.Shallop A.J., Gaffney B.L., Jones R.A. Use of C-13 as an indirect tag in N-15 specifically labeled nucleosides. Syntheses of [8-C-13-1, 7, NH2-N-15(3)] adenosine, -guanosine, and their deoxy analogues. J. Org. Chem. 2003;68:8657–8661. doi: 10.1021/jo0345446. [DOI] [PubMed] [Google Scholar]
- 16.Abad J.L., Gaffney B.L., Jones R.A. N-15-multilabeled adenine and guanine nucleosides. Syntheses of [1,3,NH2-N-15(3)]- and [2-C-13-1,3,NH2-N-15(3)]-labelled adenosine, guanosine, 2′-deoxyadenosine, and 2′-deoxyguanosine. J. Org. Chem. 1999;64:6575–6582. doi: 10.1021/jo982372k. [DOI] [PubMed] [Google Scholar]
- 17.Selzer R.R., Elfarra A.A. Characterization of N-1- and N-6-adenosine adducts and N-1-inosine adducts formed by the reaction of butadiene monoxide with adenosine: evidence for the N-1-adenosine adducts as major initial products. Chem. Res. Toxicol. 1996;9:875–881. doi: 10.1021/tx960039a. [DOI] [PubMed] [Google Scholar]
- 18.Rodriguez D.A., Kowalczyk A., Ward J.B., Harris C.M., Harris T.M., Lloyd R.S. Point mutations induced by 1,2-epoxy-3-butene N1 deoxyinosine adducts. Environ. Mol. Mutagen. 2001;38:292–296. doi: 10.1002/em.10026. [DOI] [PubMed] [Google Scholar]
- 19.Kowalczyk A., Harris C.M., Harris T.M. Synthesis and characterization of oligodeoxynucleotides containing an N1 beta-hydroxyalkyl adduct of 2′-deoxyinosine. Chem. Res. Toxicol. 2001;14:746–753. doi: 10.1021/tx010025r. [DOI] [PubMed] [Google Scholar]
- 20.De Napoli L., Messere A., Montesarchio D., Picialli G., Varra M. 1-Substituted 2′-deoxyinosine analogues. J. Chem. Soc. Perkin Trans. 1. 1997;14:2079–2082. [Google Scholar]
- 21.De Napoli L., Messere A., Montesarchio D., Piccialli G. Synthesis of [1-N-15]-labeled 2′-deoxyinosine and 2′-deoxyadenosine. J. Org. Chem. 1995;60:2251–2253. [Google Scholar]
- 22.Catalanotti B., De Napoli L., Galeone A., Mayol L., Oliviero G., Piccialli G., Varra M. Syntheses of [1-N-15]-2′-deoxyinosine, [4-N-15]-2′-deoxyAICAR, and [1-N-15]-2′-deoxyguanosine. Eur. J. Org. Chem. 1999;9:2235–2239. [Google Scholar]
- 23.Becker H.F., Corda Y., Mathews M.B., Fourrey J.-L., Grosjean H. Inosine and N-1-methylinosine within a synthetic oligomer mimicking the anticodon loop of human tRNA(Ala) are major epitopes for anti-PL-12 myositis autoantibodies. RNA. 1999;5:865–875. doi: 10.1017/s1355838299990118. [DOI] [PMC free article] [PubMed] [Google Scholar]
- 24.Suzuki T., Yamaoka R., Nishi M., Ide H., Makino K. Isolation and characterization of a novel product, 2′-deoxyoxanosine, from 2′-deoxyguanosine, oligodeoxynucleotide, and calf thymus DNA treated by nitrous acid and nitric oxide. J. Am. Chem. Soc. 1996;118:2515–2516. [Google Scholar]
- 25.Reddy M.P., Hanna N.B., Farooqui F. Ultrafast cleavage and deprotection of oligonucleotides synthesis and use of C-Ac derivatives. Nucleosides Nucleotides. 1997;16:1589–1598. [Google Scholar]
- 26.Pike A.R., Lie L.H., Eagling R.A., Ryder L.C., Patole S.N., Connolly B.A., Horrocks B.R., Houlton A. DNA on silicon devices: on-chip synthesis, hybridization, and charge transfer. Angew. Chem. Int. Ed. 2002;41:615. [Google Scholar]
- 27.Zhou Y.-Z., Ts'o P.O.P. Synthesis of oligodeoxyribonucleoside methylphosphonates containing 2-aminopurine. Nucleosides Nucleotides. 1996;15:1635–1648. [Google Scholar]
- 28.Hamma T., Miller P.S. 4-(2-aminooxyethoxy)-2-(ethylureido)-quinolineoligonucleotide conjugates: synthesis, binding interactions, and derivatization with peptides. Bioconjug. Chem. 2003;14:320–330. doi: 10.1021/bc025638+. [DOI] [PubMed] [Google Scholar]
- 29.Vyas D.M., Chiang Y., Doyle T.W. A practical synthesis of racemic vinylglycine from (Z)-2-butene-1,4-diol. J. Org. Chem. 1984;49:2037–2039. [Google Scholar]
- 30.Hitchcock T.M., Gao H.H., Cao W.G. Cleavage of deoxyoxanosine-containing oligodeoxyribonucleotides by bacterial endonuclease V. Nucleic Acids Res. 2004;32:4071–4080. doi: 10.1093/nar/gkh747. [DOI] [PMC free article] [PubMed] [Google Scholar]
- 31.Xu Y.-Z., Swann P.F. Chromatographic separation of oligodeoxynucleotides with identical length: application to purification of oligomers containing a modified base. Anal. Biochem. 1992;204:185–189. doi: 10.1016/0003-2697(92)90159-5. [DOI] [PubMed] [Google Scholar]
- 32.Zhou Y., Ts'o P.O.P. Solid-phase synthesis of oligo-2-pyrimidinone-2′-deoxyribonucleotides and oligo-2-pyrimidinone-2′-deoxyriboside methylphosphonates. Nucleic Acids Res. 1996;24:2652–2659. doi: 10.1093/nar/24.14.2652. [DOI] [PMC free article] [PubMed] [Google Scholar]
- 33.Bannwarth W., Trzeciak A. A simple and effective chemical phosphorylation procedure for biomolecules. Helv. Chim. Acta. 1987;70:175–186. [Google Scholar]
- 34.Schnetz-Boutaud N.C., Mao H., Stone M.P., Marnett L.J. Synthesis of oligonucleotides containing the alkali-labile pyrimidopurinone adduct, M(1)G. Chem. Res. Toxicol. 2000;13:90–95. doi: 10.1021/tx990141i. [DOI] [PubMed] [Google Scholar]









