Abstract
Background
NAT10 is the firstly recognized RNA acetyltransferase that participates in multiple cellular biological processes and human disease. However, the role of N-acetyltransferase 10 (NAT10) in ankylosing spondylitis (AS) is still poorly elaborated.
Methods
Fifty-six patients with New-Onset AS, 52 healthy controls (HC), 20 patients with rheumatoid arthritis (RA) and 16 patients with systemic lupus erythematosus (SLE) were recruited from The First Afliated Hospital of Nanchang University, and their clinical characteristics were recorded. The expression level of NAT10 in peripheral blood mononuclear cell (PBMC) was examined using reverse transcription-quantitative PCR analysis. The correlations between the expression level of NAT10 in the New-Onset AS patients and disease activity of AS were examined, and receiver operating characteristic (ROC) curves were built to evaluate predictive value in AS. Univariate analysis and multivariate regression analysis were used to analyze the risk factors and construct predictive model.
Results
The mRNA expressions of NAT10 in PBMC from new-onset AS patients were significantly low and there were negative correlation between mRNA NAT10 and ASDAS-CRP, BASDIA in new-onset AS patients. ROC analysis suggested that mRNA NAT10 has value in distinguishing new-onset AS patients from HC, RA and SLE. Furthermore, a novel predictive model based on mRNA NAT10 and neutrophil percentages (N%) was constructed for distinguishing new-onset AS patients from HC (AUC = 0.880, sensitivity = 84.62%, specificity = 76.92%) and the predictive model correlated with the activity of new-onset AS. Furthermore, the predictive model could distinguish new-onset AS patients from RA and SLE (AUC = 0.661, sensitivity = 90.38%, specificity = 47.22%). Moreover, the potential predictive value of the combination of predictive model-HLA-B27 for AS vs. HC with a sensitivity of 92.86% (39/42), a specificity of 100.00% (52/52) and an accuracy of 96.81% (91/94) was superior to that of HLA-B27, which in turn had a sensitivity of 84.44% (38/45), a specificity of 100.00% (52/52) and an accuracy of 92.78% (90/97).
Conclusion
The present study suggested that the decreased mRNA NAT10 may play a role in AS pathogenesis and predictive model based on mRNA NAT10 and N% act as bioindicator for forecast and progression of diseases.
Keywords: NAT10, Ankylosing spondylitis, Diagnosis
Introduction
Ankylosing spondylitis (AS) is a type of rheumatic disease that leads to systemic inflammation and osteogenesis, and is a highly disabling and destructive type of arthritis [1]. AS attack mostly young people and affect 0.09%-0.3% of the global population [2]. Although the AS pathogenesis is mainly involved in the combined effects of environmental triggers, infection, genetic susceptibility, and immune disorders, the concrete pathogenesis is still unclear [2]. Due to the limited understanding of disease pathogenesis, there is no diagnostic test specific to AS and there is still a lack of specific therapeutic targets for AS, which usually cause a delay in onset diagnosis for AS and cannot get effective treatment in time [3, 4].
N4-acetylcytidine (ac4C) is a highly conserved modification of RNA. N-acetyltransferase 10 (NAT10) increased the formation of ac4C on Erna, Erna, and mRNA, thereby maintaining the accuracy of protein translation and stabilizing the mRNA [5]. NAT10 involves in multiple biological function via its acetyltransferase activity, such as apoptosis, pyroptosis, proliferation, metastasis, and autophagy [6–11]. Interestingly, the prognostic and immunological role of NAT10 have been observed in multiple tumors [12]. Remarkably, aberrant NAT10 and the ac4C levels also contributes to infectious diseases including HIV and influenza A virus infection [13, 14]. Moreover, several studies also show that level of NAT10 are associated with inflammatory responses and systemic lupus erythematosus (SLE) [15, 16]. All these studies demonstrate the multi-functionality of NAT10. However, the role of NAT10 in AS pathogenesis is still poorly elaborated.
In the present study, we firstly determined the mRNA expression of NAT10 in peripheral blood mononuclear cell (PBMC) from patients with new onset AS and evaluated its clinical significance. We demonstrated that the mRNA level of NAT10 in PBMC from patients with new onset AS was significantly decreased than that in healthy controls (HC), rheumatoid arthritis (RA) and SLE, and decreased NAT10 negatively correlated with the activity of AS. Further research showed that the predictive model based on NAT10 and neutrophil percentages (N%) exhibited a better predictive value for distinguishing patients with new-onset AS from HC with the area under the curve (AUC) = 0.880 and the predictive model positively correlated with the activity of AS. And, the predictive model showed a certain predictive value for distinguishing patients with new-onset AS from RA + SLE. Furthermore, the combination of predictive model (mRNA NAT10-N%) and HLA-B27 could further improve the diagnostic value. Thus, our findings have proved that NAT10 involved in the pathogenesis and was an independent predictive biomarker of new-onset AS.
Materials and methods
Sample subjects
Potential sample subjects including AS who fulfilled the modified New York 1984 criteria for AS [17], and age or sex-matched healthy control (HC) without autoimmune diseases and free of other inflammatory conditions for this study were consecutively enrolled from the First Affiliated Hospital of Nanchang University. Those AS patients with other inflammatory, autoimmune, or hormonal diseases, cancers, or mental disorders, were excluded. All AS patients were new-onset that was diagnosed for the first time and had not yet used immunosuppressive agents or corticosteroids prior to recruitment. In addition, RA patients fulfilled the revised ACR criteria for RA [18] and SLE patients fulfilled the revised ACR criteria for SLE [19] were recruited from the First Affiliated Hospital of Nanchang University as autoimmune disease control. All study protocols complied with the principles outlined in the Declaration of Helsinki and was approved by the Ethics Committee of The First Affiliated Hospital of Nanchang University (approval no. (2023) CDYFYYLK(01–057)).
Collection of peripheral blood mononuclear cell samples and RNA extraction
Over the course of the study, the trained staff collected all subjects and their clinical and laboratorial information. To isolate peripheral blood mononuclear cell (PBMC), fasting blood (3 mL) was collected from the elbow vein into EDTA-coated tubes and then the PBMC was isolated using previously-reported protocols [20]. Thereafter, the determination of cell concentrations in each isolated sample, 2 × 106 PBMC/patient were incubated with a 0.75 ml TRIzol reagent (Invitrogen Bio, Waltham, MA, United States) and total RNA was then extracted according to manufacturer protocols. RNA integrity and quantity from AS patients and HC were determined (using A260/A280 and A260/A230 ratios) by a NanoDrop ND-1000 spectrophotometer (Invitrogen Bio, Waltham, MA, United States). The final isolates were each then stored at -80℃ until PCR analyses.
Reverse transcription-quantitative PCR analysis
The cDNA samples were acquired from 1 g total RNA/isolate by a reverse transcription reaction using a PrimeScript RT kit (Takara Bio Inc., Kyoto, Japan).
Thereafter, the product was used as a template for PCR in an ABI 7500 Real-time PCR System (Invitrogen, California, USA) that employed SYBR Premix Ex TaqTM II (Takara Bio Inc., Kyoto, Japan). And the protocol for the PCR assays was as follows: initial denaturation step at 95℃for 5 min, followed by 40 cycles of 15 s at 95℃ (denaturation), 1 min at 60℃ (annealing and elongation), and 2 min at 72℃ (final extension). The primers of NAT10 (F: 5’GGGATTGGCCTGCAGCATA3’, R: 5’GGCTCCATGACCACATCCTT3’) used in the present study were designed by Primers 5 software, verified by primer-BLAST and synthesized by Shanghai Shenggong. In each subject, GADPH (F: 5’TGCACCACCAACTGCTTAGC3’, R: 5’GGCATGGACTGTGGTCATGAG3’) was used as an internal control. For all subjects, relative NAT10 expression was derived using the 2−ΔΔCt comparative threshold cycle method [8, 21].
Clinical assessments and laboratory indexes
Blood samples from the EDTA tubes were used to detect blood routine parameters of AS patients and HC by a Sysmex XE-2100 analyzer (Sysmex Bio, Kobe, Japan), including the white blood cell counts (WBC), lymphocyte counts (L) and percentages (L%), monocyte counts (M) and percentages (M%), neutrophil counts (N) and percentages (N%), red blood cell counts (RBC), hemoglobin (HGB), hematocrit (HCT), platelet count (PLT), plateletcrit (PCT), mean platelet volume (MPV), and platelet distribution width (PDW). Erythrocyte sedimentation rate (ESR) was examined by an Automatic ESR analyzer TEST1 system (ALIFAX Bio, Udine, Italy). The IMMUNE 800 system (Beckman Coulter, San Jose, CA, United States) was used to evaluate serum levels of CRP from AS patients. The negative or positive results of human leukocyte antigen-B27 (HLA-B27) were acquired using HLA-B27 nucleic acid detection kit (fluorescent PCR method) (Suzhou Tianlong Biotechnology Co., LTD, China) on ABI 7300 Real-time PCR System (Invitrogen, California, USA). The disease activity of AS was evaluated by the AS Disease Activity Score-C reaction protein (ASDAS-CRP), the Bath AS Disease Activity Index (BASDAI), and the Bath AS Functional Index (BASFI) [22, 23].
Statistical analysis
All data are expressed in terms of means ± SE. Statistical analysis was performed using GraphPad Prism (version 5.0; GraphPad Software, Inc.) and SPSS (version 16.0; SPSS, Inc.). A Student’s t-test or a Mann–Whitney U-test was used to compare the differences in NAT10 expression and blood routine parameters between groups according to the normality. The Spearman method was used for correlation analysis. Risk factors analysis was performed using univariate analysis and multivariate regression analysis. Receiver operating characteristic (ROC) curves were performed to evaluate the predictive efficiency of NAT10, blood routine parameters and predictive model. A two-sided P < 0.05 was considered to indicate statistical significance.
Results
Characteristics of the study subjects
A total of 144 subjects were recruited in the present study from Jul 2020 to Nov 2023, including 56 patients with new-onset AS, 52 HC, 20 RA and 16 SLE subjects. The demographic characteristics of new-onset AS, HC and RA + SLE subjects are provided in Table 1. No significant differences were noted between patients with new-onset AS and HC subjects regarding age or sex. Autoimmune disease control (Patients with SLE and RA) and AS were not age or sex-matched due to the difference in age or sex of onset of the these diseases (the incidence of RA was high among women 50–60 years of age and the incidence of SLE was high among women 20–40 years of age, while that of AS was high among men of 10–40 years of age). Moreover, the WBC, PLT, PDW, N and N% were significantly increased in the new-onset AS as compared with those in HC subjects, while the HGB, HCT, MPV, L, L% and M% were significantly decreased (all P < 0.0500; Table 1). When compared to RA + SLE, the RBC, HGB, HCT, L and L% were significantly increased in the new-onset AS, while the PDW and N% were significantly decreased (all P < 0.0500; Table 1).
Table 1.
Demographic characteristics of new-onset AS, HC and RA + SLE subjects
| Demographic characteristics | HC | New-onset AS | RA + SLE |
|---|---|---|---|
| Age (years) | 32.56 ± 9.37 | 30.95 ± 10.55 | 50.67 ± 15.13# |
| Sex (male/female) | 35/17 | 38/18 | 4/32# |
| ASDAS-CRP | 2.87 ± 1.20 | ||
| BASDAI | 4.48 ± 1.80 | ||
| BASFI | 4.04 ± 1.51 | ||
| HLA-B27 positive/total | 0/52 | 38/45 | |
| CRP (mg/l) | 18.86 ± 31.68 | ||
| ESR (mm/h) | 20.87 ± 21.93 | ||
| WBC (109/l) | 6.39 ± 1.15 | 7.27 ± 1.63* | 7.26 ± 3.24 |
| RBC (1012/l) | 5.00 ± 0.45 | 4.87 ± 0.72 | 4.17 ± 0.47# |
| HGB (g/l) | 150.65 ± 12.34 | 139.5 ± 16.28* | 119.61 ± 17.88# |
| HCT (l/l) | 0.45 ± 0.04 | 0.43 ± 0.05* | 0.38 ± 0.05# |
| PLT (109/l) | 243.02 ± 42.30 | 288.73 ± 80.33* | 267.63 ± 114.89 |
| MPV (fl) | 10.55 ± 0.82 | 9.78 ± 1.07* | 10.12 ± 1.36 |
| PCT (%) | 0.25 ± 0.04 | 0.28 ± 0.07 | 0.26 ± 0.09 |
| PDW (fl) | 12.66 ± 1.69 | 14.43 ± 2.40* | 15.93 ± 0.89# |
| L (109/l) | 2.24 ± 0.50 | 1.90 ± 0.48* | 1.39 ± 0.67# |
| L (%) | 35.50 ± 7.25 | 26.81 ± 5.92* | 22.71 ± 7.02# |
| M (109/l) | 0.45 ± 0.15 | 0.44 ± 0.13 | 0.43 ± 0.18 |
| M (%) | 6.70 ± 1.76 | 6.18 ± 1.72* | 6.57 ± 2.34 |
| N (109/l) | 3.54 ± 0.91 | 4.78 ± 1.42* | 5.33 ± 2.76 |
| N (%) | 55.02 ± 7.32 | 65.02 ± 7.17* | 71.26 ± 8.64# |
AS ankylosing spondylitis, ASDAS AS Disease Activity Score, BASDAI Bath AS Disease Activity Index, BASFI Bath AS Functional Index, CRP C reaction protein, ESR erythrocyte sedimentation rate, HC healthy control, HCT hematocrit, HGB hemoglobin, HLA-B27 human leukocyte antigen-B27, L lymphocyte counts, L% lymphocyte percentages, M monocyte counts, M% monocyte percentages, MPV mean platelet volume, N neutrophils counts, N% neutrophil percentages, PCT plateletcrit, PDW platelet distribution width, PLT platelet count, RA rheumatoid arthritis, RBC red blood cell counts, SLE systemic lupus erythematosus, WBC white blood cell counts
*P < 0.05, AS compared to HC
#P < 0.05, AS compared to RA + SLE
The expression of mRNA NAT10 in peripheral blood mononuclear cell from patients with new-onset AS was low
The mRNA expression level of NAT10 in PBMC was first evaluated in patients with new-onset AS and the HC subjects using qRT-PCR. A significantly lower expression of NAT10 was observed in the patient group with new-onset AS compared to the HC group (P = 0.0003; Fig. 1A). No association was noted between mRNA expression level of NAT10 and age or sex in patients with new-onset AS or HC subjects (all P > 0.0500; Fig. 1B-E).
Fig. 1.
Expression of mRNA NAT 10 in HC, AS and their association with sex, age. A AS patients had decreased mRNA NAT10 compared with HC. B The expression of mRNA NAT10 was similar in female and male from AS patients. C The expression of mRNA NAT10 was similar in female and male from HC. D The expression of mRNA NAT10 was not associated with age in AS patients. E The expression of mRNA NAT10 was not associated with age in HC. AS: ankylosing spondylitis, HC: healthy control, NAT10: N-acetyltransferase 10
Decreased mRNA NAT10 expression in peripheral blood mononuclear cell correlates with disease activity of new-onset AS
To explore whether the mRNA expression level of NAT10 in PBMC from patients with new-onset AS could be used to assess disease activity, Spearman correlation test was used to investigate the relationship between the mRNA expression level of NAT10 and clinical characteristics including ASDAS-CRP, BASDAI, BASFI, CRP, ESR, ECR, WBC, RBC, HGB, HCT, PLT, MPV, PCT, PDW, L, L%, M, M%, N, N%. The decreased mRNA expression level of NAT10 in PBMC from patients with new-onset AS was found to correlate with ASDAS-CRP (rs = -0.3209, P = 0.0180; Fig. 2A), BASDIA (rs = -0.3358, P = 0.0114; Fig. 2B). However, the decreased mRNA expression level of NAT10 in PBMC from patients with new-onset AS did not correlate with other clinical characteristics that indicates the activity of the disease (data no shown).
Fig. 2.
Correlation between the expression of mRNA NAT10 in PBMC from AS patients with disease activity. A The expression of mRNA NAT10 in PBMC negatively correlated with ASDAS-CRP. B The expression of mRNA NAT10 in PBMC negatively correlated with BASDIA. AS: ankylosing spondylitis, ASDAS-CRP: AS Disease Activity Score-C reaction protein, BASDAI: Bath AS Disease Activity Index, NAT10: N-acetyltransferase 10, PBMC: peripheral blood mononuclear cell
HLA-B27 is the primary laboratory index to diagnose AS. Among the 56 patients with AS, 45 patients were tested for HLA-B27 and 38 patients were positive. Then, we explored the the association between the decreased mRNA expression level of NAT10 in PBMC from patients with new-onset AS and HLA-B27. However, no difference was found between HLA-B27 positive patients with new-onset AS and HLA-B27 negative patients with new-onset AS in the mRNA expression level of NAT10 (data no shown). Furthermore, the relationship between the mRNA expression level of NAT10 in HLA-B27 positive patients with new-onset AS and the above clinical characteristics was determined. The decreased mRNA expression level of NAT10 in PBMC from HLA-B27 positive patients with new-onset AS was found to correlate with ASDAS-CRP (rs = -0.3329, P = 0.0441; Fig. 3A), BASDIA (rs = -0.3332, P = 0.0409; Fig. 3B), BASFI (rs = -0.3383, P = 0.0378; Fig. 3C).
Fig. 3.
Correlation between the expression of mRNA NAT10 in PBMC from HLA-B27 positive AS patients with disease activity. A The expression of mRNA NAT10 in PBMC from HLA-B27 positive AS patients negatively correlated with ASDAS-CRP. B The expression of mRNA NAT10 in PBMC from HLA-B27 positive AS patients negatively correlated with BASDIA. C The expression of mRNA NAT10 in PBMC from HLA-B27 positive AS patients negatively correlated with BASFI. AS: ankylosing spondylitis, ASDAS-CRP: AS Disease Activity Score-C reaction protein, BASDAI: Bath AS Disease Activity Index, BASFI: Bath AS Functional Index, HLA-B27: human leukocyte antigen-B27, NAT10: N-acetyltransferase 10, PBMC: peripheral blood mononuclear cell
Using NAT10 and routine laboratory indicators for predicting patients with new-onset AS from HC
Therefore, a ROC curve was drawn to assess the potential predictive value of the mRNA expression level of NAT10 in PBMC for new-onset AS, and the values showed that the area under the ROC curve (AUC) for distinguishing new-onset AS from HC was up to 0.702 [95% CI = 0.604–0.800; P = 0.0003], with a cutoff value of < 0.5212, a sensitivity of 48.21%, and a specificity of 90.38% (Fig. 4).
Fig. 4.

ROC analysis for the predictive value of the expression of mRNA NAT10. NAT10: N-acetyltransferase 10, ROC: receiver operating characteristic
As shown in Table 2, in all routine laboratory indicators, the AUC of L% and N% for distinguishing new-onset AS from HC was higher than 0.800. To determine the predictive model based on the combination of mRNA NAT10 and routine laboratory indicators for distinguishing new-onset AS patients from HC, and with a view to the less number of subjects, we selected mRNA NAT10, L% and N% for further univariable and multivariable analyses. Based on multivariate analysis, mRNA NAT10 and N% were selected as variables for predictive model (Table 3). Based on regression coefficients, a model was built to predict new-onset AS patients from HC as follow: P = 0.229*N%-0.786*NAT10-12.902. P, predictive value. The value of each subject was reckoned, and a greater value would predict higher probability for new-onset AS (Fig. 5A).
Table 2.
The performance of routine indicators
| Indicator | AUC | Sensitivity (%) | Specificity (%) | Cutoff |
|---|---|---|---|---|
| WBC | 0.676 | 67.31 | 71.15 | 6.810 |
| HGB | 0.698 | 67.31 | 63.46 | 147.5 |
| HCT | 0.640 | 53.85 | 71.15 | 0.4345 |
| PLT | 0.688 | 44.23 | 94.23 | 302.5 |
| MPV | 0.723 | 59.62 | 80.77 | 9.950 |
| PDW | 0.743 | 63.46 | 92.31 | 15.35 |
| L | 0.699 | 57.69 | 78.85 | 1.885 |
| L (%) | 0.839 | 71.15 | 82.69 | 30.2 |
| M (%) | 0.653 | 67.31 | 63.46 | 6.35 |
| N | 0.769 | 71.15 | 80.77 | 4.02 |
| N (%) | 0.857 | 71.15 | 86.54 | 60.95 |
HCT hematocrit, HGB hemoglobin, L lymphocyte counts, L% lymphocyte percentages, M monocyte counts, M% monocyte percentages, MPV mean platelet volume, N neutrophils counts, N% neutrophil percentages, PCT plateletcrit, PDW platelet distribution width, PLT platelet count, RBC red blood cell counts, WBC white blood cell counts
Table 3.
Univariable and multivariable analysis of risk factors correalted with new-onset AS
| Univariate analysis | Multivariate analysis | |||||
|---|---|---|---|---|---|---|
| OR | 95% CI | P-value | OR | 95% CI | P-value | |
| L% | -0.209 | 0.745–0.884 | < 0.0001 | |||
| N% | 0.215 | 1.133–1.357 | < 0.0001 | 0.200 | 1.009–1.478 | 0.040 |
| NAT10 | -0.651 | 0.331–0.822 | < 0.0001 | -0.790 | 0.262–0.786 | 0.005 |
AS ankylosing spondylitis, L% lymphocyte percentages, NAT10 N-acetyltransferase 10, N% neutrophil percentages
Fig. 5.
The predictive value based mRNA NAT10 and N%, and the ROC analysis. A The predictive value between AS patients and HC. B ROC analysis of predictive model. NAT10: N-acetyltransferase 10, N%: neutrophil percentages, ROC: receiver operating characteristic
The predictive model based on combination of mRNA NAT10 and N% performed best in distinguishing new-onset AS patients from HC with AUC of 0.880 [95% CI, 0.816–0.944] (Fig. 5B), which was superior to mRNA NAT10 (Fig. 4) and N% (Table 2). When the cutoff value of predictive model as -0.1876, the sensitivity was 84.62% and the specificity was 76.92%.
In addition, 45 patients were tested for HLA-B27 and 38 patients were positive. All HC were tested for HLA-B27 and were negative. Using the cutoff value for predictive model as -0.1876 and the result of the HLA-B27 test, the potential predictive value of the combination of predictive model-HLA-B27 to distinguish patients with AS from HC was explored. It was showed that the combination model of predictive model-HLA-B27 was able to effectively discriminate patients with AS from HC with a sensitivity of 92.86% (39/42), a specificity of 100.00% (52/52) and an accuracy of 96.81% (91/94) (Table 4). The potential predictive value of the combination of predictive model-HLA-B27 for AS vs. HC was superior to that of HLA-B27, which in turn had a sensitivity of 84.44% (38/45), a specificity of 100.00% (52/52) and an accuracy of 92.78% (90/97).
Table 4.
Predictive efficiency of predictive model-HLA-B27 for AS
| A, predictive model > -0.1876 or HLA-B27 positive | |||||
| Categories | Positive | Negative | sensitivity | specificity | accuracy |
| AS (42) | 39 | 3 | 92.86% (39/42) | 100% (52/52) | 96.81% (91/94) |
| HC (52) | 0 | 52 | |||
| B, HLA-B27 positive | |||||
| Categories | Positive | Negative | sensitivity | specificity | accuracy |
| AS (45) | 38 | 7 | 84.44% (38/45) | 100% (52/52) | 92.78% (90/97) |
| HC (52) | 0 | 52 | |||
AS ankylosing spondylitis, HLA-B27 human leukocyte antigen-B27, HC healthy control
The predictive model based on NAT10 and N% correlated with disease activity
To explore whether the predictive model based on NAT10 and N% could be used to assess disease activity of new-onset AS, a Spearman’s analysis was used to investigate associations between predictive value of predictive model and clinical characteristics, including ASDAS-CRP, BASDAI, BASFI, CRP, ESR, ECR, WBC, RBC, HGB, HCT, PLT, MPV, PCT, PDW, L, L%, M, M%, N, N%. More importantly, the high value of predictive model was found positively correlated with the clinical activity, as indicated by the ASDAS-CRP (rs = 0.3422, P = 0.0140; Fig. 6A), CRP (rs = 0.4020, P = 0.0035; Fig. 6B), WBC (rs = 0.4387, P = 0.0011; Fig. 6C), L (rs = -0.3143, P = 0.0232; Fig. 6D), L% (rs = -0.8415, P < 0.0001; Fig. 6E), N (rs = 0.6894, P < 0.0001; Fig. 6F), N% (rs = 0.8814, P < 0.0001; Fig. 6G).
Fig. 6.
Correlation between predictive model and disease activity of AS. A The predictive model positively correlated with ASDAS-CRP. B The predictive model positively correlated with CRP. C The predictive model positively correlated with WBC. D The predictive model negatively correlated with L. E The predictive model negatively correlated with L%. F The predictive model negatively correlated with N. G The predictive model negatively correlated with N%. AS: ankylosing spondylitis, ASDAS: AS Disease Activity Score, CRP: C reaction protein, L lymphocyte counts, L%: lymphocyte percentages, N neutrophils counts, N%: neutrophil percentages, WBC: white blood cell counts
Using NAT10 and predictive model for predicting patients with new-onset AS from RA + SLE
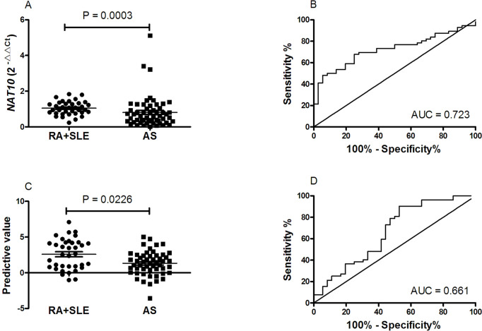
Compared to RA and SLE patients, the mRNA expression level of NAT10 in PBMC was clearly decreased in new-onset AS patients (P = 0.0003; Fig. 7A). Moreover, ROC curve was drawn to assess the potential predictive value of the mRNA expression level of NAT10 in PBMC for new-onset AS, and the results showed that the AUC for distinguishing new-onset AS from RA and SLE patients was up to 0.723 (95% CI = 0.620–0.826, P = 0.0003; Fig. 7B), with a cutoff value of < 0.8078, a sensitivity of 67.86%, and a specificity of 75.00%.
Fig. 7.
The expression of mRNA NAT10, the predictive value based mRNA NAT10 and N% in RA + SLE, and their ROC analysis. A The expression of mRNA NAT10 in PBMC between patients with AS and patients with RA, patients with SLE. B ROC analysis of the expression of mRNA NAT10. C The predictive value between patients with AS and patients with RA, patients with SLE. D ROC analysis of predictive model. AS: ankylosing spondylitis, NAT10: N-acetyltransferase 10, N%: neutrophil percentages, PBMC: peripheral blood mononuclear cell, RA: rheumatoid arthritis, ROC: receiver operating characteristic, SLE: systemic lupus erythematosus
Subsequently, the value of each RA and SLE subject was reckoned based on predictive model: P = 0.229*N%-0.786*NAT10-12.902, a lower value would predict higher probability for new-onset AS (Fig. 7C). And, the predictive model based on combination of mRNA NAT10 and N% could distinguish new-onset AS patients from RA and SLE patients with AUC of 0.661 (95% CI = 0.541–0.782, P = 0.0104; Fig. 7D), with a cutoff value of < 3.440, a sensitivity of 90.38%, and a specificity of 47.22%.
Discussions
To date, more and more number of RNA modifications have been reported such as N6 methyladenosine (m6A), 3 pseudouridine, 5-methylcytidine, and ac4C, which involve in mRNA stability, splicing, transport, transcription, and translation, affecting a variety of cellular and biological processes [24]. ac4C catalyzed by the NAT10 plays important roles in mRNA stability and translation [25]. NAT10 is the firstly recognized RNA acetyltransferase that participates in multiple cellular biological processes. Recently, the association of the dysregulation of NAT10 and human diseases have been discovered. It has been found that a specific NAT10 inhibitor Remodelin could be used as a potential remedy for the Hutchinson-Gilford progeria syndrome [26]. Moreover, NAT10 dysregulation is correlated with various types of tumors, infectious diseases and inflammatory diseases [8, 26–28]. However, the relationship between NAT10 dysregulation and the development of AS needs to be elucidated.
Guo et al. found that the mRNA expression of NAT10 in CD4+T from peripheral blood was expressed differentially in SLE patients versus HC [15]. However, little was known about the mRNA expression of NAT10 in peripheral blood in AS. The current study firstly examined mRNA expression of NAT10 in New-Onset AS patients and healthy counterparts by RT-PCR and found that NAT10 was significantly downregulated in PBMC from New-Onset AS patients. Our result and the study of Guo et al. [15] demonstrated the level of NAT10 in immune cell from autoimmune disease, such as AS and SLE were expressed differentially. It has been theorized that immune cell dysfunction that govern AS are linked to alteration in the level of NAT10.
In accordance with other reports showing that the expression of NAT10 in immune cell correlated with disease severity [8], our study found that the decreased mRNA expression of NAT10 in PBMC of patients with new-onset AS negatively correlated with ASDAS-CRP and BASDIA, which indicated the activity of AS. Moreover, the decreased mRNA expression of NAT10 in PBMC from HLA-B27 positive patients with new-onset AS negatively correlated with ASDAS-CRP, BASDIA and BASFI. These results indicated that the mRNA expression of NAT10 in PBMC may be used as markers for disease activity in new-onset AS, especially HLA-B27 positive patients with new-onset AS.
The early correct diagnosis of AS is important in order to decrease disease burden through early intervention to reduce disability experienced by many patients. It is well-known that the diagnosis of AS depended on the patient’s history, clinical presentation, laboratory findings (HLA-B27, ESR, CRP) and diagnostic imaging findings. However, early clinical presentation and imaging changes of many HLA-B27 (-) patients are atypical and acute phase reactants of these patients are not high, and HLA-B27 is present in healthy people [29], which brings enormous diagnostic challenges to us. Recently, some review identified NAT10 as a potential target for diagnosis, therapy, and prognosis in clinical application [11]. Furthermore, evidence from Tao et al. [30] have discovered that NAT10 was a significant player in Human head and neck squamous carcinoma (HNSCC) and a promising predictive biomarker for HNSCC patients. This present study examined the potential predictive value of NAT10 for AS and data showed that the AUC for distinguishing new-onset AS from HC was up to 0.702 (a sensitivity of 48.21%, and a specificity of 90.38%) and the AUC for distinguishing new-onset AS from RA + SLE was up to 0.723 (a sensitivity of 67.86%, and a specificity of 75.00%). The fact that NAT10 plays a role in distinguishing new-onset AS from HC, RA + SLE and NAT10 correlates with disease activity raises the possibility that NAT10 might be utilized as a diagnostic, prognostic and therapeutic target for AS.
Recently, some researches testified that the combination of blood routine parameters and immunological indicators may use as predictive indicator for state, development, and prognosis of diseases [31]. And our previous study manifested that the predictive model based on m6A RNA-binding proteins and blood routine parameters could be used to distinguish AS patients from HC [32]. Thus, we choose mRNA NAT10 and N% to set up a mathematical model for predicting AS according to univariable and multivariable analyses, and the predictive model based on mRNA NAT10 and N% exhibit best value in distinguishing AS patients from HC with a AUC of 0.880, with a sensitivity of 84.62% and a specificity of 76.92%, which was superior to mRNA NAT10 and N%. In addition, the predictive model based on mRNA NAT10 and N% could distinguish new-onset AS patients from RA and SLE (AUC = 0.661, sensitivity = 90.38%, specificity = 47.22%). Moreover, the predictive model based on mRNA NAT10 and N% correlated with clinical activity indicating by the ASDAS-CRP, CRP, WBC, L, L%, N, N%. These results indicated that mRNA NAT10 and N% have synergistic role on predicting AS and evaluating activity.
Since the most commonly used biomarker in AS is HLA-B27 for diagnosis. And the combination of newer genetic biomarkers and HLA-B27 can improve the diagnostic efficiency [33]. The potential predictive value of the combination of predictive model-HLA-B27 to distinguish patients with AS from HC was explored. And, the results showed that the combination model of predictive model-HLA-B27 was able to effectively discriminate patients with AS from HC with a sensitivity of 92.86% (39/42), a specificity of 100.00% (52/52) and an accuracy of 96.81% (91/94), which was superior to that of HLA-B27 with a sensitivity of 84.44% (38/45), a specificity of 100.00% (52/52) and an accuracy of 92.78% (90/97). These data indicated that the combination of predictive model (mRNA NAT10-N%) and traditional biomarkers could further improve the diagnostic value.
Finally, the study had some limitations needed to state. Firstly, we only recruited some subjects from one institution, which may generate some certain risk of deviation. Secondly, our study only recruited 20 patients with RA and 16 patients with SLE as autoimmune disease control may limit value of the predictive model based on mRNA NAT10 and N% in real clinical practice, due to N% also significantly rises in other inflammatory diseases excepts AS, RA, SLE. Thirdly, the level of ac4C modification and the functional role of decreased NAT10 in AS should be explored in future.
Conclusion
The current study firstly measured the mRNA expression of NAT10 in PBMC of AS, HC, RA, SLE and described that decreased mRNA NAT10 in PBMC correlated with disease activity of new-onset AS. Moreover, the predictive model based on mRNA NAT10 and N% may act as bioindicator for forecast and progression of diseases. Furthermore, the combination of predictive model (mRNA NAT10-N%) and B27 could further improve the diagnostic value. The precise mechanisms underlying the functions of NAT10 in AS still need to investigate. Therefore, the role of NAT10 in AS may provide insights into the pathogenesis of AS.
Acknowledgements
Not applicable.
Abbreviations
- ac4C
N4-acetylcytidine
- AS
Ankylosing spondylitis
- ASDAS-CRP
AS Disease Activity Score-C reaction protein
- AUC
Area under the curve
- BASDAI
Bath AS Disease Activity Index
- BASFI
Bath AS Functional Index
- ESR
Erythrocyte sedimentation rate
- HC
Healthy controls
- HCT
Hematocrit
- HGB
Hemoglobin
- HLA-B27
Human leukocyte antigen-B27
- HNSCC
Head and neck squamous carcinoma
- L
Lymphocyte counts
- L%
Lymphocyte percentages
- M
Monocyte counts
- M%
Monocyte percentages
- MPV
Mean platelet volume
- N
Neutrophil counts
- N%
Neutrophil percentages
- NAT10
N-acetyltransferase 10
- PCT
Plateletcrit
- PBMC
Peripheral blood mononuclear cell
- PDW
Platelet distribution width
- PLT
Platelet count
- RA
Rheumatoid arthritis
- RBC
Red blood cell counts
- ROC
Receiver operating characteristic
- SLE
Systemic lupus erythematosus
- WBC
White blood cell counts
Authors’ contributions
QL participated in designing the study, performed statistical analyses and drafted the manuscript. ZKH participated in the design of the study and helped to revise the manuscript. JXZ carried out RT-PCR analysis and drafted the manuscript. SQW performed statistical analyses and drafted the manuscript. PF carried out predictive model analysis and drafted the manuscript. BQF performed data acquisition of disease activity and drafted the manuscript. JML conceived of the study, and participated in its design and coordination and helped to draft the manuscript. All authors read and approved the final manuscript.
Funding
This work was sponsored by National Natural Science Foundation of China (No. 82160307), Jiangxi Provincial Natural Science Foundation of China (Nos. 20224BAB216038, 20212ACB216006), and Jiangxi Province Double Thousand Plan Science and Technology Innovation High-end Talents (Youth) Project of China (No. jxsq2019201094).
Availability of data and materials
All data generated or analysed during this study are included in this published article.
Declarations
Ethics approval and consent to participate
The research protocol complied with the principles outlined in the Declaration of Helsinki and were approved by the Ethics Committee of The First Affiliated Hospital of Nanchang University (approval no. (2023)CDYFYYLK(01–057)).
Informed consent was not required for this study because this study approved to exempt informed consent.
Consent for publication
Not applicable.
Competing interests
The authors declare no competing interests.
Footnotes
Publisher’s Note
Springer Nature remains neutral with regard to jurisdictional claims in published maps and institutional affiliations.
Qing Luo, Juxiang Zhu and Shiqian Wang contributed equally to this study.
Contributor Information
Zikun Huang, Email: 491353062@qq.com.
Junming Li, Email: lisir361@163.com.
References
- 1.Mauro D, Thomas R, Guggino G, Lories R, Brown MA, Ciccia F. Ankylosing spondylitis: An autoimmune or autoinflammatory disease? Nat Rev Rheumatol. 2021;17(7):387–404. doi: 10.1038/s41584-021-00625-y. [DOI] [PubMed] [Google Scholar]
- 2.Fang Y, Liu J. Novel regulatory role of non-coding RNAs in ankylosing spondylitis. Front Immunol. 2023;14:1131355. doi: 10.3389/fimmu.2023.1131355. [DOI] [PMC free article] [PubMed] [Google Scholar]
- 3.Ward MM, Deodhar A, Gensler LS, Dubreuil M, Yu D, Khan MA, Haroon N, Borenstein D, Wang R, Biehl A, Fang MA, Louie G, Majithia V, Ng B, Bigham R, Pianin M, Shah AA, Sullivan N, Turgunbaev M, Oristaglio J, Turner A, Maksymowych WP, Caplan L. 2019 Update of the American College of Rheumatology/Spondylitis Association of America/Spondyloarthritis Research and Treatment Network recommendations for the treatment of ankylosing spondylitis and nonradiographic axial spondyloarthritis. Arthritis Rheumatol. 2019;71(10):1599–1613. doi: 10.1002/art.41042. [DOI] [PMC free article] [PubMed] [Google Scholar]
- 4.Maksymowych WP. Biomarkers for diagnosis of axial spondyloarthritis, disease activity, prognosis, and prediction of response to therapy. Front Immunol. 2019;10:305. doi: 10.3389/fimmu.2019.00305. [DOI] [PMC free article] [PubMed] [Google Scholar]
- 5.Dominissini D, Rechavi G. N(4)-Acetylation of Cytidine in mRNA by NAT10 Regulates Stability and Translation. Cell. 2018;175(7):1725–1727. doi: 10.1016/j.cell.2018.11.037. [DOI] [PubMed] [Google Scholar]
- 6.Zi J, Han Q, Gu S, McGrath M, Kane S, Song C, et al. Targeting NAT10 induces apoptosis associated with enhancing endoplasmic reticulum stress in acute myeloid leukemia cells. Front Oncol. 2020;10:598107. doi: 10.3389/fonc.2020.598107. [DOI] [PMC free article] [PubMed] [Google Scholar]
- 7.Liu X, Cai S, Zhang C, Liu Z, Luo J, Xing B, et al. Deacetylation of NAT10 by Sirt1 promotes the transition from rRNA biogenesis to autophagy upon energy stress. Nucleic Acids Res. 2018;46(18):9601–9616. doi: 10.1093/nar/gky777. [DOI] [PMC free article] [PubMed] [Google Scholar]
- 8.Zhang H, Chen Z, Zhou J, Gu J, Wu H, Jiang Y, et al. NAT10 regulates neutrophil pyroptosis in sepsis via acetylating ULK1 RNA and activating STING pathway. Commun Biol. 2022;5(1):916. doi: 10.1038/s42003-022-03868-x. [DOI] [PMC free article] [PubMed] [Google Scholar]
- 9.Li Q, Liu X, Jin K, Lu M, Zhang C, Du X, et al. NAT10 is upregulated in hepatocellular carcinoma and enhances mutant p53 activity. BMC Cancer. 2017;17(1):605. doi: 10.1186/s12885-017-3570-4. [DOI] [PMC free article] [PubMed] [Google Scholar]
- 10.Zhang Y, Jing Y, Wang Y, Tang J, Zhu X, Jin W, et al. NAT10 promotes gastric cancer metastasis via N4-acetylated COL5A1. Signal Transduct Target Ther. 2021;6(1):173. doi: 10.1038/s41392-021-00489-4. [DOI] [PMC free article] [PubMed] [Google Scholar]
- 11.Liang P, Hu R, Liu Z, Miao M, Jiang H, Li C. NAT10 upregulation indicates a poor prognosis in acute myeloid leukemia. Curr Probl Cancer. 2020;44(2):100491. doi: 10.1016/j.currproblcancer.2019.06.006. [DOI] [PubMed] [Google Scholar]
- 12.Xie L, Zhong X, Cao W, Liu J, Zu X, Chen L. Mechanisms of NAT10 as ac4C writer in diseases. Mol Ther Nucleic Acids. 2023;32:359–368. doi: 10.1016/j.omtn.2023.03.023. [DOI] [PMC free article] [PubMed] [Google Scholar]
- 13.Tsai K, Jaguva Vasudevan AA, Martinez Campos C, Emery A, Swanstrom R, Cullen BR. Acetylation of cytidine residues boosts HIV-1 gene expression by increasing viral RNA stability. Cell Host Microbe. 2020;28(2):306–312.e6. doi: 10.1016/j.chom.2020.05.011. [DOI] [PMC free article] [PubMed] [Google Scholar]
- 14.Furuse Y. RNA modifications in genomic RNA of Influenza A Virus and the relationship between RNA modifications and viral infection. Int J Mol Sci. 2021;22:9127. doi: 10.3390/ijms22179127. [DOI] [PMC free article] [PubMed] [Google Scholar]
- 15.Guo G, Shi X, Wang H, Ye L, Tong X, Yan K, et al. Epitranscriptomic N4-acetylcytidine profiling in CD4+ T cells of systemic lupus erythematosus. Front Cell Dev Biol. 2020;8:842. doi: 10.3389/fcell.2020.00842. [DOI] [PMC free article] [PubMed] [Google Scholar]
- 16.Duan J, Zhang Q, Hu X, Lu D, Yu W, Bai H. N(4)-Acetylcytidine is Required for Sustained Nlrp3 Inflammasome Activation Via Hmgb1 Pathway in Microglia. Cell Signal. 2019;58:44–52. doi: 10.1016/j.cellsig.2019.03.007. [DOI] [PubMed] [Google Scholar]
- 17.van der Linden S, Valkenburg HA, Cats A. Evaluation of diagnostic criteria for ankylosing spondylitis. A proposal for modification of the New York criteria. Arthritis Rheum. 1984;27(4):361–8. doi: 10.1002/art.1780270401. [DOI] [PubMed] [Google Scholar]
- 18.Arnett FC, Edworthy SM, Bloch DA, McShane DJ, Fries JF, Cooper NS, et al. The American Rheumatism Association 1987 revised criteria for the classification of rheumatoid arthritis. Arthritis Rheum. 1988;31:315–324. doi: 10.1002/art.1780310302. [DOI] [PubMed] [Google Scholar]
- 19.Hochberg MC. Updating the American College of Rheumatology revised criteria for the classification of systemic lupus erythematosus. Arthritis Rheum. 1997;40:1725. doi: 10.1002/art.1780400928. [DOI] [PubMed] [Google Scholar]
- 20.Luo Q, Zhang L, Li X, Fu B, Guo Y, Huang Z, et al. Identification of circular RNA hsa_circ_0044235 and hsa_circ_0068367 as novel biomarkers for systemic lupus erythematosus. Int J Mol Med. 2019;44:1462–1472. doi: 10.3892/ijmm.2019.4302. [DOI] [PMC free article] [PubMed] [Google Scholar]
- 21.Livak KJ, Schmittgen TD. Analysis of relative gene expression data using realtime quantitative PCR and the 2(−Delta Delta C(T)) method. Methods. 2001;25:402–408. doi: 10.1006/meth.2001.1262. [DOI] [PubMed] [Google Scholar]
- 22.Machado P, Landewé R, Lie E, Kvien TK, Braun J, Baker D, et al. Assessment of spondyloarthritis international society: ankylosing spondylitis disease activity score (ASDAS): defining cut-off values for disease activity states and improvement scores. Ann Rheum Dis. 2011;70:47–53. doi: 10.1136/ard.2010.138594. [DOI] [PubMed] [Google Scholar]
- 23.Garrett S, Jenkinson T, Kennedy LG, Whitelock H, Gaisford P, Calin A. A new approach to defining disease status in ankylosing spondylitis: the bath ankylosing spondylitis disease activity index. J Rheumatol. 1994;21:2286–2291. [PubMed] [Google Scholar]
- 24.Roundtree IA, Evans ME, Pan T, He C. Dynamic RNA modifications in gene expression regulation. Cell. 2017;169(7):1187–1200. doi: 10.1016/j.cell.2017.05.045. [DOI] [PMC free article] [PubMed] [Google Scholar]
- 25.Arango D, Sturgill D, Alhusaini N, Dillman AA, Sweet TJ, Hanson G, et al. Acetylation of cytidine in mRNA promotes translation efficiency. Cell. 2018;175(7):1872–86.e24. doi: 10.1016/j.cell.2018.10.030. [DOI] [PMC free article] [PubMed] [Google Scholar]
- 26.Larrieu D, Britton S, Demir M, Rodriguez R, Jackson SP. Chemical inhibition of NAT10 corrects defects of laminopathic cells. Science. 2014;344:527–532. doi: 10.1126/science.1252651. [DOI] [PMC free article] [PubMed] [Google Scholar]
- 27.Wu J, Zhu H, Wu J, Chen W, Guan X. Inhibition of N-acetyltransferase 10 using remodelin attenuates doxorubicin resistance by reversing the epithelial-mesenchymal transition in breast cancer. Am J Transl Res. 2018;10:256–264. [PMC free article] [PubMed] [Google Scholar]
- 28.Tsai K, Jaguva Vasudevan AA, Martinez Campos C, Emery A, Swanstrom R, Cullen BR. Acetylation of cytidine residues boosts HIV-1 gene expression by increasing viral RNA stability. Cell Host Microbe. 2020;28:306–312. doi: 10.1016/j.chom.2020.05.011. [DOI] [PMC free article] [PubMed] [Google Scholar]
- 29.Elyan M, Khan MA. Diagnosing ankylosing spondylitis. J Rheumatol Suppl. 2006;78:12–23. [PubMed] [Google Scholar]
- 30.Tao W, Tian G, Xu S, Li J, Zhang Z, Li J. NAT10 as a potential prognostic biomarker and therapeutic target for HNSCC. Cancer Cell Int. 2021;21:413. doi: 10.1186/s12935-021-02124-2. [DOI] [PMC free article] [PubMed] [Google Scholar]
- 31.Tang G, Tong S, Yuan X, Lin Q, Luo Y, Song H, et al. Using Routine Laboratory Markers and Immunological Indicators for Predicting Pneumocystis jiroveci Pneumonia in Immunocompromised Patients. Front Immunol. 2021;12:652383. doi: 10.3389/fimmu.2021.652383. [DOI] [PMC free article] [PubMed] [Google Scholar]
- 32.Luo Q, Guo Y, Xiao Q, Fu B, Zhang L, Guo Y, et al. Expression and Clinical Significance of the m6A RNA-Binding Proteins YTHDF2 in Peripheral Blood Mononuclear Cells From New-Onset Ankylosing Spondylitis. Front Med (Lausanne) 2022;9:922219. doi: 10.3389/fmed.2022.922219. [DOI] [PMC free article] [PubMed] [Google Scholar]
- 33.Diaconu AD, Ceasovschih A, Șorodoc V, Pomîrleanu C, Lionte C, Șorodoc L, Ancuța C. Practical Significance of Biomarkers in Axial Spondyloarthritis: Updates on Diagnosis, Disease Activity, and Prognosis. Int J Mol Sci. 2022;23(19):11561. doi: 10.3390/ijms231911561. [DOI] [PMC free article] [PubMed] [Google Scholar]
Associated Data
This section collects any data citations, data availability statements, or supplementary materials included in this article.
Data Availability Statement
All data generated or analysed during this study are included in this published article.






