Abstract
Background
Recent studies highlighted that stress hyperglycemia ratio (SHR) is a potential predictor for future risk in heart failure (HF) patients. However, its implications specifically in HF with preserved ejection fraction (HFpEF) are not yet fully elucidated. We aimed to investigate the association between SHR and long-term clinical outcomes in HFpEF patients.
Methods
HFpEF patients enrolled between 2015 and 2023, were followed (mean 41 months) for a composite outcome of all-cause, cardiovascular mortality, and HF rehospitalization. SHR was established as the ratio of acute-chronic glycemia from admission blood glucose and glycated hemoglobin. The optimal cut-off for SHR to predict outcomes based on event prediction was determined through ROC analysis, and the cutoff was identified at 0.99. The effect of SHR on adverse risk was examined through the Cox hazards and Kaplan-Meier survival methods. A Pearson correlation analysis was conducted to assess the relationship between SHR and the severity of HF, as indicated by N-terminal pro-brain natriuretic peptide (NT-proBNP) levels. Furthermore, the incremental prognostic value of SHR was further assessed by the integrated discrimination improvement (IDI) and the net reclassification improvement (NRI).
Results
Among the 400 enrolled patients, 190 individuals (47.5%) encountered composite events over the 41-month follow-up period. SHR was significantly elevated in patients with events compared with those without (p < 0.001). All patients were stratified into high SHR (n = 124) and low SHR (n = 276) groups based on the SHR cutoff. The high SHR group had a significantly higher incidence of adverse events than the low SHR group (log-rank; p < 0.001). Additional analysis indicated a poorer prognosis in patients with low left ventricular EF (LVEF) levels (50 < LVEF < 60) and high SHR (SHR > 0.99) in comparison to the other groups (log-rank p < 0.001). In adjusted analysis, after accounting for age, sex, diabetes, and NT-proBNP, elevated SHR remained independently predictive of adverse outcomes (adjusted HR: 2.34, 95% CI 1.49–3.67; p < 0.001). Furthermore, adding SHR to a model with MAGGIC score provided an incremental improvement in predicting adverse events. Additionally, SHR displayed a slight correlation with NT-proBNP.
Conclusion
Elevated SHR was independently associated with an increased risk for composite events of all-cause, cardiovascular mortality, and HF readmission than those with lower SHR. SHR is a valuable tool for predicting and stratifying long-term adverse risks among HFpEF patients.
Supplementary Information
The online version contains supplementary material available at 10.1186/s12933-024-02157-7.
Keywords: Heart failure with preserved ejection fraction, Stress hyperglycemia ratio, Clinical outcomes
Introduction
Heart Failure (HF) with preserved ejection fraction (HFpEF) is a growing public health burden characterized by increased left ventricular (LV) filling pressures and impaired diastolic function [1]. Despite being a prevalent condition, the intricate interplay between various cardiac and non-cardiac factors contributing to HFpEF remains incompletely understood [2–4]. HFpEF persists as an unaddressed clinical demand, representing a multifaceted complex entity associated with a dire prognosis and substantial healthcare costs [5, 6]. Over 50% of these patients are at risk of rehospitalization and mortality within 5 years, demonstrating outcomes comparable to individuals with HF with reduced ejection fraction (HFrEF) [7]. Hence, there is a need for strategies to recognize high-risk individuals within the HFpEF patient population to prevent further decline and enhance overall well-being.
Emerging evidence suggests that metabolic disturbances, such as hyperglycemia may play a pivotal role in HFpEF [3, 8–10]. Stress hyperglycemia, a temporary rise in blood glucose levels due to physiological stressors, is often seen in acute clinical settings, including in patients with acute HF [11–14]. Elevated admission glucose levels, indicating stress hyperglycemia, independently predict adverse outcomes in individuals with potential cardiovascular diseases, including those with HFpEF [12, 15–17]. Nevertheless, stress hyperglycemia at admission can stem from either chronic hyperglycemia or an acute stress response and may not precisely indicate true acute glycemia. The stress hyperglycemia ratio (SHR), a new marker, estimates the true acute hyperglycemia state using acute admission glucose levels and background chronic glycemic values. Multiple studies have assessed its role across various cardiovascular diseases, indicating its potential as a predictor of future risk, regardless of diabetes presence [18–21]. While recent studies have explored the impact of SHR on short- and long-term outcomes in diabetic HF patients, there is no data on its specific impact on the long-term prognosis of HFpEF, encompassing both diabetic and non-diabetic individuals [22, 23]. Consequently, there is a need to clarify the potential role of SHR within clinical risk strategies for patients with HFpEF.
Hence, this study aims to examine the long-term effects of SHR for composite outcomes in individuals with HFpEF over a 41-month follow-up period and elucidate whether it can provide any clinical insights in the whole HFpEF population.
Methods
Study design and population
Participants referred to the Department of Cardiology at Shanghai 10th People’s Hospital were included in this observational-retrospective study. We enrolled individuals diagnosed with HFpEF between 2015 and 2023 based on the criteria established by the European Society of Cardiology for HF [1]. This diagnosis required the presence of HF signs/symptoms along with the following criteria: In brief, (1) preserved LVEF > 50% and (2) at least one major objective criterion for HF, i.e. raised levels of N-terminal pro-brain natriuretic peptide (NT-proBNP) and presence of cardiac functional and structural abnormalities as identified by echocardiography. Exclusion criteria encompassed patients < 18 years old, those with severe liver or kidney disease, significant valvular disease, a history of myocardial infarction, pulmonary disease, and obstructive coronary artery disease (stenosis > 50%) detected during angiography. Patients with missing SHR information and follow-up data were also excluded (Additional file 1: Figure S1). The study followed the Declaration of Helsinki principles, and all participants provided written informed consent. Study approval was granted by the Ethics Board of Shanghai Tenth People’s Hospital (Protocol No. 23K107).
Data collection
Comprehensive information for demographic data, baseline characteristics, comorbidities, such as sex, age, New York Heart Association (NYHA) class, body mass index (BMI), diabetes history, medication, laboratory, angiography, and echocardiography performed during admission were extracted from our centers’ electronic system database. Routine hematological and biochemical parameters, such as hemoglobin, fasting blood glucose, HbA1c, NT-proBNP, estimated glomerular filtration rate (eGFR), low-density lipoprotein cholesterol (LDL), thyroid stimulating hormone (TSH), C-reactive protein (CRP), and other biomarkers assessed through venous blood samples drawn from the cubital vein within the initial 24 h of admission, following a fasting period of at least 8 h. The analysis of blood glucose and biochemical parameters was conducted using Abbott Laboratories instrument (Chicago, US). Comprehensive echocardiography with tissue doppler imaging was performed by board-certified cardiologists according to recommended standards [24].
Assessment of SHR
The admission blood glucose (ABG) refers to the fasting blood glucose levels measured within the initial 24 h of hospital admission. SHR is computed by the formula: SHR = ABG (mmol/L)/ [1.59×HbA1c (%)-2.59] [18]. The optimal cut-off for SHR in predicting long-term events was identified as 0.99, determined through the area under the curve (AUC) in the receiver-operator characteristic (ROC), and is derived from Youden index. After determining the optimal SHR cut-off, patients were stratified into two groups; 124 patients were classified into the high SHR group (> 0.99), while 276 patients comprised the low SHR group (SHR ≤ 0.99).
Outcomes
The study participants were monitored for an average of 41 months to evaluate a composite outcome encompassing all-cause mortality (death resulting from any reason, encompassing cardiovascular reasons) and readmission for HF (hospitalization specifically for HF, necessitating an escalation in treatment). Two specialists, unbiased to the study, documented the follow-up information by examining the medical case files and conducting telephonic discussions.
Statistical analysis
The categorical variables are shown in percentages, while continuous variables are shown using either the mean ± standard deviation or the median (interquartile range). Baseline characteristics are compared between groups employing independent-sample t-tests, Mann-Whitney U tests, or Pearson’s chi-square as appropriate. Kaplan-Meier analysis was employed to assess the incidence rate of composite events and the influence of SHR, with differences compared by a log-rank test. To quantify the linear relationship between SHR and parameters reflecting HF severity, Pearson’s correlation coefficient (r) was employed. The Cox analysis is employed to evaluate the hazard ratios (HRs) with 95% confidence intervals (CIs) for composite outcomes and to identify the univariate and multivariate predictive factors. Essential and pivotal cardiovascular risk factors, clinically recognized for their role in facilitating the future risk of adverse outcomes in patients with HFpEF [25–27], including age, NYHA class, BMI, sex, atrial fibrillation (AF), hypertension, smoking, diabetes, chronic kidney disease (CKD), echocardiography values, and pertinent laboratory variables were imputed into the univariate analysis. Variables that attain statistical significance with a significance level of P < 0.10 in univariate testing are subsequently inserted in the multivariate model. The predictive value and optimal cut-off for SHR in predicting events were assessed using the AUC in the ROC and is calculated from the Youden index when sensitivity and specificity correspond to the maximum. Moreover, we assessed the predictive performance of SHR for composite events by incorporating it into the Meta-Analysis Global Group in Chronic HF (MAGGIC) risk model with clinical risk factors, using ROC analysis, and calculated the AUC. The incremental prognostic value of SHR was further assessed by the integrated discrimination improvement (IDI) and the net reclassification improvement (NRI) [28]. Statistical significance is determined when p-value < 0.05, and all tests are conducted with a 2-sided approach. The data is analyzed through SPSS (version; 24.0), while the GraphPad software (version; 8.0.1) was utilized for figure generation.
Results
Baseline characteristics
A total of 3060 patients admitted to the hospital for acute HF were consecutively recruited. Following the application of exclusion criteria, 400 patients with HFpEF were ultimately included in the final analysis for this study, of whom 56.5% were female, and had an average age of 71.0 ± 7.8 years.
Compared to patients without events, those with events were older and exhibited significantly elevated levels of SHR (0.94 ± 0.3 vs. 0.83 ± 0.2, p < 0.001) (Additional file 1: Table S1). The scatterplot of SHR across the two groups is shown in the Additional file 1: Figure S 2.
Subsequently, all patients were classified into two groups (high SHR > 0.99 and low SHR ≤ 0.99) based on the optimal cut-off from ROC analysis and Youden index, where sensitivity and specificity reached their maximum values (AUC:0.62; 95%CI; 0.56–0.67; p < 0.001, specificity: 0.82, sensitivity: 0.46). The distribution of baseline characteristics between the two groups (high and low SHR) is presented in Table 1. Individuals with a high SHR exhibited a higher burden of comorbidities, including AF and CKD, along with an elevated heart rate and a higher prevalence of NYHA class III-IV compared to those with a low SHR. Additionally, patients with high SHR had significantly elevated levels of NT-proBNP, serum creatinine, LDL cholesterol, CRP, and troponin, along with lower hemoglobin levels than those with low SHR. In echocardiography data, patients with a high SHR had larger left ventricular end-diastolic diameter (LVEDD), left ventricular end-diastolic diameter (LVESD), and a lower LVEF, compared to those with low SHR. Furthermore, parameters reflecting diastolic function, such as septal E/e’ was higher and e’ was lower, in the high SHR group. Medications, including beta blockers, mineral corticoid receptor antagonists (MCRA), and angiotensin-converting enzyme inhibitors/angiotensin receptor blockers (ACE + ARB), showed comparable distribution between the two groups except that diuretic use was more prevalent in the high SHR group.
Table 1.
Baseline characteristics of study population according to SHR cut-off
| All patients (n = 400) |
Patients with SHR > 0.99 (n = 124) |
Patients with SHR ≤ 0.99 (n = 276) |
P value | |
|---|---|---|---|---|
| Baseline variables | ||||
| Age (years) | 71.0 ± 7.8 | 71.1 ± 8.3 | 70.9 ± 7.6 | 0.896 |
| Female, n (%) | 226 (56.5) | 67 (54.0) | 159 (57.6) | 0.505 |
| BMI (kg/m2) | 25.2 ± 3.8 | 25.2 ± 4.3 | 25.2 ± 3.6 | 0.989 |
| NYHA class III-IV, n (%) | 201 (50.3) | 73 (58.9) | 128 (46.4) | 0.021 |
| Systolic BP (mmHg) | 140.9 ± 23.2 | 137.8 ± 24.2 | 142.3 ± 22.6 | 0.074 |
| Diastolic BP (mmHg) | 77.9 ± 13.5 | 77.3 ± 14.5 | 78.2 ± 13.0 | 0.538 |
| Heart rate | 80.8 ± 17.2 | 83.8 ± 19.6 | 79.5 ± 15.9 | 0.022 |
| Comorbidities, n (%) | ||||
| CHD | 162 (40.5) | 52 (41.9) | 110 (39.9) | 0.695 |
| Atrial fibrillation | 103 (25.8) | 40 (32.3) | 63 (22.8) | 0.046 |
| Alcohol | 43 (10.8) | 16 (12.9) | 27 (9.8) | 0.351 |
| Smoking | 86 (21.5) | 34 (27.4) | 52 (18.8) | 0.053 |
| Hypertension | 298 (74.5) | 86 (69.4) | 212 (76.8) | 0.114 |
| Diabetes | 166 (41.5) | 58 (46.8) | 108 (39.1) | 0.151 |
| Chronic Kidney Disease | 52 (13.0) | 24 (19.4) | 28 (10.1) | 0.011 |
| Hyperlipidemia | 124 (31.0) | 46 (37.1) | 78 (28.3) | 0.077 |
| Laboratory data | ||||
| HbA1c (g/L) (%) | 6.6 ± 1.3 | 6.7 ± 1.5 | 6.5 ± 1.1 | 0.059 |
| ABG (µmol/L) | 6.9 ± 2.7 | 9.4 ± 3.0 | 5.8 ± 1.5 | < 0.001 |
| Haemoglobin, g/dL | 126.9 ± 19.1 | 123.0 ± 22.3 | 128.7 ± 17.3 | 0.005 |
| TSH (mg/l) | 3.8 ± 9.0 | 4.1 ± 10.4 | 3.8 ± 8.4 | 0.795 |
| ALT | 26.5 ± 24.9 | 28.4 ± 20.6 | 25.6 ± 26.6 | 0.297 |
| Troponin T | 0.06 ± 0.1 | 0.08 ± 0.1 | 0.05 ± 0.1 | 0.032 |
| NT-proBNP (pg/mL) | 1127.0 (573.8-2216.3) | 1476.5 (774.5-2985.5) | 946.0 (485-2010.5) | < 0.001 |
| LDL | 2.1 ± 0.8 | 2.1 ± 0.8 | 2.1 ± 0.8 | 0.463 |
| Total cholesterol (mmol/L) | 3.9 ± 1.1 | 4.0 ± 1.2 | 3.9 ± 1.1 | 0.386 |
| Creatinine (mg/dl) | 90.3 ± 39.6 | 98.7 ± 48.3 | 86.7 ± 34.7 | 0.006 |
| eGFR | 70.5 ± 23.5 | 68.9 ± 22.2 | 71.2 ± 24.1 | 0.357 |
| Blood urea | 7.6 ± 6.4 | 8.6 ± 5.4 | 7.1 ± 6.7 | 0.036 |
| Potassium (mmol/L) | 4.0 ± 0.6 | 3.9 ± 0.7 | 4.0 ± 0.6 | 0.286 |
| C-reactive protein | 3.3 (3.0-6.3) | 4.7 (3.1–8.7) | 3.2 (3.0-5.8) | 0.001 |
| Medication data | ||||
| Beta-blockers | 242 (60.5) | 76 (61.3) | 166 (60.1) | 0.828 |
| Diuretics | 192 (48.0) | 70 (56.5) | 122 (44.2) | 0.023 |
| MCRA | 129 (32.3) | 45 (36.3) | 84 (30.4) | 0.247 |
| Calcium channel blockers | 124 (31.0) | 32 (25.8) | 92 (33.3) | 0.132 |
| ACEI + ARB | 197 (49.3) | 58 (46.8) | 139 (50.4) | 0.507 |
| Statins | 335 (83.8) | 99 (79.8) | 236 (85.5) | 0.155 |
| Echocardiography | ||||
| LAVI, mL/m2 | 42.6 ± 6.2 | 43.3 ± 6.4 | 42.3 ± 6.0 | 0.149 |
| LVEDD (mm) | 47.4 ± 5.6 | 48.2 ± 5.6 | 47.0 ± 5.6 | 0.038 |
| LVESD (mm) | 31.8 ± 6.8 | 33.4 ± 7.9 | 31.1 ± 6.1 | 0.002 |
| LVEF (%) | 60.5 ± 5.0 | 59.6 ± 4.6 | 60.9 ± 5.1 | 0.015 |
| e’, cm/s | 7.0 (6.0–8.0) | 6.0 (5.0–8.0) | 7.0 (6.0–8.0) | 0.020 |
| Septal E/e’ | 15.0 ± 3.0 | 15.6 ± 3.4 | 14.7 ± 2.8 | 0.006 |
| PASP | 38.7 ± 11.4 | 39.5 ± 13.3 | 38.3 ± 10.4 | 0.333 |
SHR: stress hyperglycemia ratio; BMI: body mass index; NYHA class: New York heart association; BP: blood pressure; CHD: coronary heart disease; HbA1c: glycated hemoglobin; ABG: admission blood glucose; TSH: thyroid stimulating hormone; ALT: alanine aminotransferase; NT-proBNP: N-terminal pro–B-type natriuretic peptide; LDL: low-density lipoprotein; eGFR: estimated glomerular filtration rate; MCRA: mineralocorticoid receptor antagonist; ACEI + ARB: angiotensin-converting enzyme inhibitors/angiotensin receptor blockers; LAVI: left atrial volume index; LVEDD: left ventricular end-diastolic diameter; LVESD: left ventricular end-systolic diameter; LVEF: left ventricular ejection fraction; e’: peak LV velocity; E/e’: mean septal velocity; PASP: pulmonary artery systolic pressure
Relationship between SHR and HF severity parameters
Additional file 1: Figure S3. shows the relationship between SHR and markers of HF severity. The correlation between SHR and NTproBNP values, SHR and LV early filling pressure e’, and SHR and E/e’ is investigated. SHR showed a weak positive correlation with NT-proBNP (r = 0.134, p = 0.007) and E/e’ (r = 0.131, p = 0.010). While, negative correlations were identified between SHR and e’ (r = − 0.123, p = 0.034).
SHR and clinical outcomes
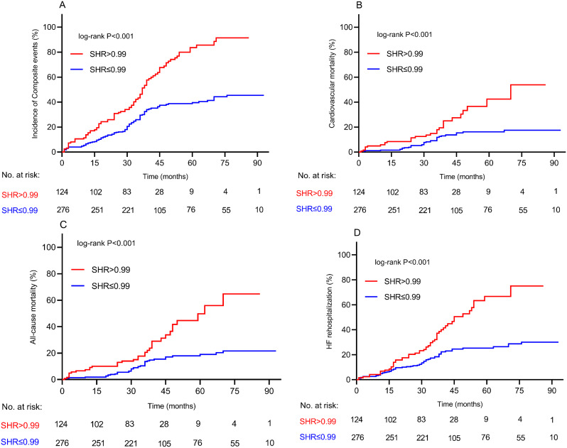
In the present study, over the follow-up (mean, 41.4 months), 190 patients (47.5%) experienced composite events of all-cause mortality (75/18.8), including cardiovascular mortality (62/15.5) and HF readmissions (115/28.8). The high SHR group was associated with a significantly higher risk of composite events as compared to low SHR group (71.0% vs. 37.0%, p < 0.001) (Additional file 1: Table S2). Additionally, Kaplan–Meier survival analyses results further demonstrated that patients in high SHR group were associated with a worse overall survival (log-rank, p < 0.001) (Fig. 1 A). Similarly, we observed consistent results when the high SHR group was tested against individual endpoints (cardiovascular mortality, all-cause mortality, and HF readmission, all p < 0.05) (Fig. 1. B, C, D). Upon subgroup analysis, the study cohort was stratified into four subgroups based on LVEF and SHR levels: 50 < LVEF < 60 with SHR ≤ 0.99, 50 < LVEF < 60 with SHR > 0.99, LVEF > 60 with SHR ≤ 0.99, and LVEF > 60 with SHR > 0.99. The findings indicated a notably poorer prognosis in patients with 50 < LVEF < 60 and SHR > 0.99 in comparison to the other groups (log-rank p < 0.001) (Fig. 2). Moreover, subgroup analyses were performed to examine the effects of SHR on outcomes based on the tertiles of SHR (SHR1: ≤0.74, SHR2: >0.74-≤0.98, and SHR3: >0.98). These analyses showed that the group with the highest SHR tertile (SHR3) encountered the most severe adverse events. Conversely, the group with the lowest SHR tertile (SHR1) also displayed a higher incidence of adverse events compared to the SHR2 group, as evidenced by the log-rank test (p < 0.001). (Additional file 1: Figure S4).
Fig. 1.
(A) Kaplan-Meier survival curves for incidence of composite events stratified by SHR cutoff among HFpEF patients; (B) Incidence of cardiovascular mortality (C) Incidence of All-cause mortality (D) Incidence of HF rehospitalization SHR: stress hyperglycemia ratio; HF: heart failure
Fig. 2.
Estimates of composite events stratified by LVEF (50 < LVEF < 60 and > 60) and SHR (SHR ≤ 0.99 and SHR > 0.99). LVEF: left ventricular ejection fraction; SHR: stress hyperglycemia ratio
Prognostic value of SHR
The Cox analyses, including predictive factors of clinical outcomes in both univariate and multivariate contexts, are documented in Table 2. Notably, SHR > 0.99 (HR:2.57,p < 0.001), advanced age (HR:1.04,p = 0.001), sex (HR = 1.44, p = 0.013), BMI (HR:1.04,p = 0.036), diabetes (HR = 1.45,p = 0.011), AF (HR:1.62,p = 0.002), smoking (HR:1.36,p = 0.062), CKD (HR:1.44,p = 0.076), elevated NT-proBNP (HR:1.00, p = 0.001), LAVI (HR:1.03,p = 0.028), LVEF (HR:0.96,p = 0.007), e’ (HR:0.87,p = 0.047), E/e’ (HR:1.06,p = 0.030), eGFR (HR:0.99,p = 0.001), CRP (HR:1.03,p = 0.010) and the use of calcium channel blockers (HR:0.73,p = 0.054), ACE/ARB (HR:0.73,p = 0.032) and statins (HR:0.74,p = 0.099), were identified as independent predictive factors of adverse outcomes through univariate analysis. In the multivariate analysis, after adjusting for potential confounders, the SHR > 0.99 (adjusted HR:2.34, p < 0.001) remained a significant predictor of long-term events along with age, sex, diabetes, NT-proBNP, and the use of ACE/ARB.
Table 2.
Univariate and Multivariate Cox regression analysis for clinical events
| Univariate | Multivariate | |||
|---|---|---|---|---|
| HR (95% CI) | P value | HR (95% CI) | P value | |
| Age | 1.04 (1.01–1.06) | 0.001 | 1.04 (1.01–1.08) | 0.018 |
| NYHA | 1.16 (0.87–1.54) | 0.310 | ||
| Sex | 1.44 (1.08–1.93) | 0.013 | 1.87 (1.07–3.27) | 0.027 |
| Smoking | 1.36 (0.98–1.89) | 0.062 | 1.47 (0.88–2.47) | 0.144 |
| BMI | 1.04 (1.00-1.08) | 0.036 | 1.00 (0.95–1.06) | 0.947 |
| Atrial fibrillation | 1.62 (1.20–2.18) | 0.002 | 0.92 (0.52–1.62) | 0.765 |
| Hypertension | 0.92 (0.66–1.28) | 0.630 | ||
| Chronic kidney disease | 1.44 (0.96–2.15) | 0.076 | 1.13 (0.60–2.12) | 0.704 |
| Hyperlipidemia | 1.08 (0.80–1.45) | 0.610 | ||
| CHD | 0.91 (0.68–1.22) | 0.521 | ||
| Diabetes | 1.45 (1.09–1.92) | 0.011 | 1.67 (1.07–2.61) | 0.024 |
| LDL | 1.07 (0.91–1.27) | 0.409 | ||
| Total cholesterol | 0.94 (0.83–1.06) | 0.315 | ||
| eGFR | 0.99(0.98-1.00) | 0.001 | 0.99 (0.98-1.00) | 0.132 |
| C-reactive protein | 1.03 (1.01–1.06) | 0.010 | 1.04 (0.99–1.07) | 0.056 |
| NT-proBNP | 1.00 (1.00–1.00) | 0.001 | 1.00 (1.00–1.00) | 0.014 |
| LVEF | 0.96 (0.93–0.99) | 0.007 | 1.01 (0.96–1.05) | 0.736 |
| LAVI | 1.03 (1.00-1.05) | 0.028 | 1.04 (0.99–1.11) | 0.097 |
| e’ | 0.87 (0.76–0.99) | 0.047 | 0.86 (0.72–1.03) | 0.110 |
| E/e’ | 1.06 (1.01–1.11) | 0.030 | 1.04 (0.97–1.12) | 0.212 |
| PASP | 1.01 (1.00-1.03) | 0.100 | ||
| LVEDD | 1.02 (1.00-1.05) | 0.059 | 0.98 (0.93–1.03) | 0.558 |
| Beta-blockers | 0.89 (0.67–1.19) | 0.445 | ||
| ACE + ARB | 0.73 (0.55–0.97) | 0.032 | 0.63 (0.39–0.99) | 0.048 |
| Diuretic | 0.93 (0.70–1.24) | 0.619 | ||
| MCRA | 0.99 (0.74–1.34) | 0.968 | ||
| Statins | 0.74 (0.52–1.06) | 0.099 | 0.59 (0.32–1.08) | 0.089 |
| Calcium channel blockers | 0.73 (0.53–1.01) | 0.054 | 0.80 (0.49–1.32) | 0.382 |
| Anticoagulant | 1.28 (0.89–1.85) | 0.180 | ||
| SHR > 0.99 | 2.57 (1.93–3.44) | < 0.001 | 2.34 (1.49–3.67) | < 0.001 |
NYHA: New York heart association; BMI: body mass index; CHD: coronary heart disease; LDL: low-density lipoprotein; eGFR: estimated glomerular filtration rate; NT-proBNP: N-terminal pro–B-type natriuretic peptide; LVEF: left ventricular ejection fractions; LAVI: left atrial volume index; e’: peak LV velocity; E/e’: mean septal velocity; PASP: pulmonary artery systolic pressure; LVEDD: left ventricular end-diastolic dimension; ACE + ARB: angiotensin-converting enzyme inhibitor/angiotensin receptor blocker; MCRA: mineralocorticoid receptor antagonist; SHR: stress hyperglycemia ratio; HR: hazard ratio; CI: confidence interval
Predictive accuracy of SHR for composite events
The prognostic accuracy of SHR, ABG, and HbA1c is depicted in Fig. 3. SHR, representing the combined ratio of ABG/HbA1c levels, was compared with stress hyperglycemia (ABG alone) and HbA1c. The findings demonstrated that SHR (AUC: 0.62; 95% CI: 0.56–0.67; p < 0.001) exhibited superior predictive ability for composite events compared to stress hyperglycemia (AUC: 0.59; 95% CI: 0.54–0.65; p = 0.002) or HbA1c (AUC: 0.53; 95% CI: 0.47–0.59; p = 0.321) (Fig. 3).
Fig. 3.
Receiver operating curves of SHR, stress hyperglycemia, and MAGGIC score for predicting adverse events AUC: area under the curve; SHR: stress hyperglycemia ratio; ABG: admission blood glucose; HbA1c: glycated hemoglobin; MAGGIC risk score; meta-analysis global group in chronic heart failure
Incremental value of SHR for predicting composite events
We further assessed the incremental value of SHR for composite events by incorporating it into the established HF risk score, the MAGGIC score (AUC: 0.60; 95% CI: 0.55–0.66; p < 0.001). The AUC was calculated for the combination of MAGGIC and SHR. The results indicated that the addition of SHR to the validated MAGGIC risk model slightly improved predictive accuracy for composite events (AUC: 0.65; 95% CI: 0.59–0.70; p < 0.001). This enhancement was substantiated by an increase in the IDI (0.04, 95% CI: 0.02–0.06, p = 0.044) and NRI (0.41, 95% CI: 0.22–0.60, p = 0.027) as illustrated in Fig. 3; Table 3.
Table 3.
Model improvement for MAGGIC risk score in combination with SHR
| Models | AUC (95% CI) | p value | cNRI (95% CI) | p value | IDI (95% CI) | p value |
|---|---|---|---|---|---|---|
| Model 1 | 0.60 (0.55–0.66) | < 0.001 | Reference | Reference | ||
| Model 2 | 0.65 (0.59–0.70) | < 0.001 | 0.41 (0.22–0.60) | 0.027 | 0.04 (0.02–0.06) | 0.044 |
Model 1 = MAGGIC risk score; Model 2 = MAGGIC risk score + SHR
AUC: area under curve; IDI: integrated discrimination improvement; cNRI: continuous net reclassification index; CI: confidence interval; MAGGIC risk score: meta-analysis global group in chronic heart failure; SHR: stress hyperglycemia ratio
Discussion
The findings of this study reveal potential associations between the SHR and long-term outcomes in HFpEF patients. We observed that elevated SHR was associated with a heightened risk of composite events and an optimal cut-off for risk prediction was SHR > 0.99. In addition, SHR demonstrated a slight correlation with key parameters indicating the HF severity, such as NT-proBNP, septal E/e’ ratio, and e’, highlighting its potential role as a prognostic indicator in this patient population.
HFpEF constitutes a significant portion of cases within the HF spectrum, with various studies highlighting its detrimental effects and severe short- and long-term prognosis [1]. HF registries across diverse regions among patients with HFpEF indicated an all-cause mortality and HF rehospitalization rate for 1-year ranging between 19 and 29%, whereas, the 5-year rate was as high as 75% [7, 25, 29]. Furthermore, in a recent 10-year prospective, multicenter study involving HFpEF individuals, the mortality rates at 1, 3, 5, and 10 years were 15%, 31%, 47%, and 74%, while the composite rates were 35%, 54%, 67%, and 84%, respectively [30]. In our study, after an average follow-up of 41-months, the composite event rate was 47.5%, aligning with earlier research, emphasizing the heightened burden of this entity on public health. Varied LVEF criteria in defining HFpEF, study design, and population characteristics may explain varying clinical event rates across HFpEF studies. Identifying additional risk factors in HFpEF is crucial to enhance risk stratification, tailor interventions, and improve outcomes.
Stress hyperglycemia is often seen in HF patients and is potentially associated with an elevated risk of adverse events and deteriorating cardiovascular outcomes [14, 15]. Stress hyperglycemia is linked to inflammation, oxidative stress, microvascular injury, endothelial dysfunction, and prothrombotic state, contributing to impaired myocardial blood flow, and diminished cardiac function [31]. In HFpEF patients, stress hyperglycemia was identified as a robust predictor of all-cause and cardiac mortality, specifically in those without diabetes [17]. While stress hyperglycemia may not potentially distinguish among diverse causes of absolute hyperglycemia, SHR is a combined measure of a patient’s acute-phase and chronic glycemia values, it reflects the true stress hyperglycemia state and has been found to be a potential determinant of adverse risk in multiple cardiovascular diseases [32]. Zhou et al. found that both high and low SHR indicate a poor prognosis in patients with HF and type 2 diabetes during hospitalization [22]. In a recent study, a U-shaped association was identified between the SHR and all-cause, cardiac death, and HF readmission in individuals with acute decompensated HF and diabetes after a 3-year follow-up. These authors in their subgroup analysis further showed that this association persisted even in diabetic patients with HFpEF [23]. While previous studies did not specify HF type [22], and primarily focused on diabetic patients [23], SHR is recognized to impact prognosis irrespective of diabetes status [18–20]. However, the prognostic role of SHR encompassing the whole HFpEF population has yet to be explored. The effectiveness of using SHR as an indicator for anticipating future risk in diabetic HF patients raises the question of its predictive applicability in the broader HFpEF population, encompassing both diabetic and non-diabetic individuals. In line with these findings, our study also established that HFpEF patients with a high SHR are at significantly greater risk of composite events. In adjusted analysis, after accounting for confounders, a high SHR remained independently predictive of worse survival after long-term follow-up. Furthermore, the inclusion of SHR to the validated MAGGIC risk model enhanced predictive accuracy for composite events. Additionally, on examining the effects of SHR on outcomes across tertiles, we noted that individuals in the highest SHR tertile (SHR3) experienced the most severe adverse events. Conversely, the group in the lowest SHR tertile (SHR1) also exhibited a higher incidence of events compared to the SHR2 group, suggesting a potential association between both low and high SHR levels and a worsened prognosis. Thus, our study provides meaningful evidence confirming the applicability of SHR and its prognostic significance across the broader HFpEF population, regardless of diabetes status. Notably, our findings indicate no interaction effect of SHR on patients with diabetes compared to those without diabetes in HFpEF, indicating SHR may affect both diabetic and non-diabetic HFpEF patients (interaction p = 0.114, data not shown).
Several studies have proposed that stress hyperglycemia may indicate the severity of the disease, revealing a potential correlation with various relevant factors, including vascular inflammation, worsening LV geometry, myocardial remodeling, and damage [33–35]. Our findings revealed that elevated SHR levels were associated with worse functioning status and unfavorable baseline characteristics, and patients with high SHR demonstrated a higher prevalence of comorbidities, including AF, CKD, and NYHA class III-IV. The high SHR group exhibited elevated levels of NT-proBNP, and serum creatinine, along with lower levels of hemoglobin and eGFR, as well as worse cardiac functional parameters in comparison to patients with lower SHR levels. Furthermore, we observed a correlation between SHR and markers of diastolic dysfunction such as E/e’, and e’. Interestingly, we found SHR correlated with NT-proBNP, which is a marker of HF severity. This association of high SHR with elevated NT-proBNP may reflect significant myocardial disease. Furthermore, our study revealed that patients with high SHR and low LVEF had a worse prognosis compared to other groups. This observation is supported by several studies where SHR was correlated with worse LV mechanics, myocardial damage, and disease severity [18, 22, 36]. This evidence implies that elevated SHR might play a pivotal role in the core pathological mechanisms of HFpEF, potentially serving as an indicator of disease severity.
The underlying mechanisms of HFpEF are multifactorial, encompassing systemic inflammation, endothelial dysfunction, myocardial stiffening, and diastolic dysfunction [3]. In HFpEF, comorbidities, including diabetes, obesity, AF, and CKD, drive a chronic low-grade inflammatory state, impairing vasodilation and causing cardiomyocyte injury and endothelial dysfunction. Elevated glucose levels intensify these effects, triggering inflammatory and fibrotic pathways, increasing extracellular matrix secretion, and contributing to myocardial stiffness. The persistent microvascular injury, driven by impaired vasodilation, pro-inflammatory processes, aggravated myocardial damage as seen in elevated SHR reflecting stress hyperglycemia, elevated filling pressures, and compromised contractility and perfusion, may create a ‘perfect storm’ for the development of myocardial fibrosis which is central to HFpEF [22, 23, 37, 38]. This convergence could contribute to the exacerbation of HF and adverse outcomes.
The identification of an optimal SHR cut-off value for distinguishing high-risk patients varies among studies, and is primarily influenced by the diversity in risk factors and pathophysiological mechanisms specific to each disease. In the investigation involving diabetic patients with HF, a SHR value of < 0.78 and > 1.09 demonstrated predictive capacity for cardiac, kidney, and infection events during hospitalization [22]. Additionally, Zhou et al. [23] described SHR values < 0.64 and > 1.14 were indicative of heightened risk in diabetic HF patients after a follow-up of 3-years. In a study conducted by Cui et al. among acute myocardial infarction patients, SHR cutoff values of 1.20 and 1.08 effectively predicted long-term mortality [19]. In patients with MINOCA, a cutoff value of 0.78 demonstrated predictive ability for adverse events during a long-term follow-up [18]. In the present study, we identified a cut-off value of 0.99 was predictive of adverse outcomes and was able to discriminate high-risk patients in whole the HFpEF population. The determination of a definitive SHR cut-off value for distinguishing high-risk patients prone to developing adverse events in HFpEF has not been thoroughly examined and requires further investigation.
Overall, our findings contribute valuable insights to existing knowledge, suggesting potential implications for clinical decision-making. The data propose that early intervention targeting SHR in HFpEF may mitigate future risks and enhance prognosis. However, further prospective studies are essential to validate and elaborate on these observations.
Limitations
Our study has several limitations that warrant consideration. First, its observational and retrospective design implies that the results should be interpreted as hypothesis-generating rather than definitive. Second, being conducted at a single center with a relatively small sample size and a short follow-up duration might introduce limitations to generalizability. Despite adjusting for potential confounders, the possibility of unmeasured factors, influencing the results cannot be entirely excluded. Additionally, the lack of information on other inflammatory markers, the use of hypoglycemic drugs, and serial changes in blood glucose/glycated hemoglobin during the hospitalization and subsequent follow-up period could impact long-term outcomes, limiting our comprehensive understanding of poor prognosis. Due to pre-specified clinical endpoints, we didn’t assess other unspecified outcomes like new-onset AF in relation to SHR and primary endpoints. Finally, the observational nature of our study design precludes the identification of causal mechanisms, additional research is essential to elucidate the mechanisms contributing to the deterioration of outcomes in HFpEF and its association with SHR. Further investigations are warranted to assess whether interventions targeting these mechanisms can enhance survival and improve outcomes in HFpEF patients.
Conclusion
SHR demonstrated a significant association with long-term outcomes in the entire HFpEF population. Elevated SHR is an independent predictor for poor survival in patients with HFpEF and seems to correlate with the marker of HF severity. These findings suggest that SHR could offer valuable insights for effective risk stratification in this patient population.
Electronic supplementary material
Below is the link to the electronic supplementary material.
Additional file 1: Table S1. Baseline characteristics of study population stratified by events vs non-events. Table S2. Outcomes of study population according to SHR cut-off. Figure S1. Flowchart of patients enrolled. Figure S2. The distribution of SHR among HFpEF patients with and without events. Figure S3. Relationship between SHR and HF parameters
Acknowledgements
We express our gratitude to all individuals who contributed to this project.
Abbreviations
- HF
heart failure
- HFpEF
heart failure with preserved ejection fraction
- SHR
stress hyperglycemia ratio
- NYHA class
New York Heart Association
- CHD
coronary heart disease
- AF
atrial fibrillation
- BMI
body mass index
- CKD
chronic kidney disease
- LAVI
left atrial volume index
- LVEDD
left ventricular end-diastolic diameter
- LVEF
left ventricular ejection fractions
- e’
peak LV velocity
- E/e’
mean septal velocity
- PASP
pulmonary artery systolic pressure
- ABG
admission blood glucose
- HbA1c
glycated hemoglobin
- LDL-cholesterol
low-density lipoprotein-cholesterol
- ALT
alanine aminotransferase
- eGFR
estimated glomerular filtration rate
- HR
hazard ratio
- BP
blood pressure
- NT-proBNP
N-terminal pro-brain natriuretic peptide
- MCRA
mineralocorticoid receptor antagonist
- ACEI + ARB
angiotensin-converting enzyme inhibitors/angiotensin receptor blockers
Author contributions
A.M., F.A., and W.C. conceptualized the study, Y.L., K.W., W.Z., and A.M. gathered the data. L.L., G.Y., Y.S., and R.M. participated in data cleaning, follow-up, and verification. F.A. and W.C. drafted the manuscript, with critical revisions for important intellectual content. W.C. and F.A. provided final approval for the manuscript. All authors contributed to manuscript revision, read, and endorsed the final version.
Funding
This work was supported in part by Chinese National Natural Science Foundation (82170521), Shanghai Natural Science Foundation of China (21ZR1449500), Foundation of Shanghai Municipal Health Commission (202140263), Tibet Natural Science Foundation of China (XZ2022ZR-ZY27(Z), XZ202301ZR0032G), Foundation of Chongming (CKY2021-21, CKY2020-29), Clinical Research Plan of Shanghai Tenth People’s Hospital (YNCR2A001), and Clinical Research Plan of SHDC (SHDC2020CR4065).
Data availability
The dataset examined in this study is available upon reasonable request from the corresponding author.
Declarations
Ethics approval and consent to participate
Our study adhered to the principles of the Helsinki Declaration and received approval from the ethical review board of Shanghai Tenth People’s Hospital. All participating individuals in this research provided written informed consent.
Consent for publication
Not applicable.
Competing interests
The authors declare no competing interests.
Footnotes
Publisher’s Note
Springer Nature remains neutral with regard to jurisdictional claims in published maps and institutional affiliations.
Contributor Information
Fuad A. Abdu, Email: 1691026@tongji.edu.cn
Wenliang Che, Email: chewenliang@tongji.edu.cn.
References
- 1.Ponikowski P, Voors AA, Anker SD, Bueno H, Cleland JGF, Coats AJS, Falk V, Gonzalez-Juanatey JR, Harjola VP, Jankowska EA, et al. 2016 ESC guidelines for the diagnosis and treatment of acute and chronic heart failure: the Task Force for the diagnosis and treatment of acute and chronic heart failure of the European Society of Cardiology (ESC)developed with the special contribution of the Heart Failure Association (HFA) of the ESC. Eur Heart J. 2016;37(27):2129–200. doi: 10.1093/eurheartj/ehw128. [DOI] [PubMed] [Google Scholar]
- 2.Dunlay SM, Roger VL, Redfield MM. Epidemiology of heart failure with preserved ejection fraction. Nat Rev Cardiol. 2017;14(10):591–602. doi: 10.1038/nrcardio.2017.65. [DOI] [PubMed] [Google Scholar]
- 3.Paulus WJ, Tschope C. A novel paradigm for heart failure with preserved ejection fraction: comorbidities drive myocardial dysfunction and remodeling through coronary microvascular endothelial inflammation. J Am Coll Cardiol. 2013;62(4):263–71. doi: 10.1016/j.jacc.2013.02.092. [DOI] [PubMed] [Google Scholar]
- 4.Pandey A, Vaduganathan M, Arora S, Qamar A, Mentz RJ, Shah SJ, Chang PP, Russell SD, Rosamond WD, Caughey MC. Temporal trends in Prevalence and Prognostic implications of comorbidities among patients with Acute Decompensated Heart failure: the ARIC Study Community Surveillance. Circulation. 2020;142(3):230–43. doi: 10.1161/CIRCULATIONAHA.120.047019. [DOI] [PMC free article] [PubMed] [Google Scholar]
- 5.Solomon SD, McMurray JJV, Anand IS, Ge J, Lam CSP, Maggioni AP, Martinez F, Packer M, Pfeffer MA, Pieske B, et al. Angiotensin-neprilysin inhibition in Heart failure with preserved ejection fraction. N Engl J Med. 2019;381(17):1609–20. doi: 10.1056/NEJMoa1908655. [DOI] [PubMed] [Google Scholar]
- 6.Lam CSP, Voors AA, de Boer RA, Solomon SD, van Veldhuisen DJ. Heart failure with preserved ejection fraction: from mechanisms to therapies. Eur Heart J. 2018;39(30):2780–92. doi: 10.1093/eurheartj/ehy301. [DOI] [PubMed] [Google Scholar]
- 7.Shah KS, Xu H, Matsouaka RA, Bhatt DL, Heidenreich PA, Hernandez AF, Devore AD, Yancy CW, Fonarow GC. Heart failure with preserved, Borderline, and reduced ejection fraction: 5-Year outcomes. J Am Coll Cardiol. 2017;70(20):2476–86. doi: 10.1016/j.jacc.2017.08.074. [DOI] [PubMed] [Google Scholar]
- 8.Sorop O, Heinonen I, van Kranenburg M, van de Wouw J, de Beer VJ, Nguyen ITN, Octavia Y, van Duin RWB, Stam K, van Geuns RJ, et al. Multiple common comorbidities produce left ventricular diastolic dysfunction associated with coronary microvascular dysfunction, oxidative stress, and myocardial stiffening. Cardiovasc Res. 2018;114(7):954–64. doi: 10.1093/cvr/cvy038. [DOI] [PMC free article] [PubMed] [Google Scholar]
- 9.Held C, Gerstein HC, Yusuf S, Zhao F, Hilbrich L, Anderson C, Sleight P, Teo K, Investigators OT. Glucose levels predict hospitalization for congestive heart failure in patients at high cardiovascular risk. Circulation. 2007;115(11):1371–5. doi: 10.1161/CIRCULATIONAHA.106.661405. [DOI] [PubMed] [Google Scholar]
- 10.Huang H, Liu J, Li Q, Qiao L, Chen S, Kang Y, Lu X, Zhou Y, He Y, Chen J et al. Relationship between stress hyperglycemia and worsening heart failure in patients with significant secondary mitral regurgitation. Atherosclerosis 2023:117306. [DOI] [PubMed]
- 11.Li L, Zhao M, Zhang Z, Zhou L, Zhang Z, Xiong Y, Hu Z, Yao Y. Prognostic significance of the stress hyperglycemia ratio in critically ill patients. Cardiovasc Diabetol. 2023;22(1):275. doi: 10.1186/s12933-023-02005-0. [DOI] [PMC free article] [PubMed] [Google Scholar]
- 12.Karakasis P, Stalikas N, Patoulias D, Pamporis K, Karagiannidis E, Sagris M, Stachteas P, Bougioukas KI, Anastasiou V, Daios S et al. Prognostic value of stress hyperglycemia ratio in patients with acute myocardial infarction: a systematic review with bayesian and frequentist meta-analysis. Trends Cardiovasc Med 2023. [DOI] [PubMed]
- 13.Itzhaki Ben Zadok O, Kornowski R, Goldenberg I, Klempfner R, Toledano Y, Biton Y, Fisman EZ, Tenenbaum A, Golovchiner G, Kadmon E, et al. Admission blood glucose and 10-year mortality among patients with or without pre-existing diabetes mellitus hospitalized with heart failure. Cardiovasc Diabetol. 2017;16(1):102. doi: 10.1186/s12933-017-0582-y. [DOI] [PMC free article] [PubMed] [Google Scholar]
- 14.de Miguel-Yanes JM, Gonzalo-Hernando C, Munoz-Rivas N, Mendez-Bailon M, Cava-Valenciano F, Torres-Macho J. First plasma glucose value after urgent admission and in-hospital mortality in acutely decompensated heart failure. Heart Lung. 2015;44(2):137–40. doi: 10.1016/j.hrtlng.2014.11.006. [DOI] [PubMed] [Google Scholar]
- 15.Chishiki T, Nagatomo Y, Saji M, Takei M, Goda A, Kohno T, Nakano S, Nishihata Y, Ikegami Y, Shiraishi Y, et al. Divergent effect of blood glucose dysregulation on long-term clinical outcome in acute decompensated heart failure: a reappraisal in contemporary practice. Int J Cardiol. 2022;365:91–9. doi: 10.1016/j.ijcard.2022.07.041. [DOI] [PubMed] [Google Scholar]
- 16.Mebazaa A, Gayat E, Lassus J, Meas T, Mueller C, Maggioni A, Peacock F, Spinar J, Harjola VP, van Kimmenade R, et al. Association between elevated blood glucose and outcome in acute heart failure: results from an international observational cohort. J Am Coll Cardiol. 2013;61(8):820–9. doi: 10.1016/j.jacc.2012.11.054. [DOI] [PubMed] [Google Scholar]
- 17.Yano M, Nishino M, Ukita K, Kawamura A, Nakamura H, Matsuhiro Y, Yasumoto K, Tsuda M, Okamoto N, Tanaka A, et al. Impact of admission hyperglycaemia on clinical outcomes in non-diabetic heart failure with preserved ejection fraction. ESC Heart Fail. 2021;8(5):3822–34. doi: 10.1002/ehf2.13501. [DOI] [PMC free article] [PubMed] [Google Scholar]
- 18.Abdu FA, Galip J, Qi P, Zhang W, Mohammed AQ, Liu L, Yin G, Mohammed AA, Mareai RM, Jiang R, et al. Association of stress hyperglycemia ratio and poor long-term prognosis in patients with myocardial infarction with non-obstructive coronary arteries. Cardiovasc Diabetol. 2023;22(1):11. doi: 10.1186/s12933-023-01742-6. [DOI] [PMC free article] [PubMed] [Google Scholar]
- 19.Cui K, Fu R, Yang J, Xu H, Yin D, Song W, Wang H, Zhu C, Feng L, Wang Z, et al. Stress hyperglycemia ratio and long-term mortality after acute myocardial infarction in patients with and without diabetes: a prospective, nationwide, and multicentre registry. Diabetes Metab Res Rev. 2022;38(7):e3562. doi: 10.1002/dmrr.3562. [DOI] [PubMed] [Google Scholar]
- 20.Luo J, Li Z, Qin X, Zhang X, Liu X, Zhang W, Xu W, Liu B, Wei Y, Investigators N-SR. Association of stress hyperglycemia ratio with in-hospital new-onset atrial fibrillation and long-term outcomes in patients with acute myocardial infarction. Diabetes Metab Res Rev 2023:e3726. [DOI] [PubMed]
- 21.Xie E, Ye Z, Wu Y, Zhao X, Li Y, Shen N, Gao Y, Zheng J. Predictive value of the stress hyperglycemia ratio in dialysis patients with acute coronary syndrome: insights from a multi-center observational study. Cardiovasc Diabetol. 2023;22(1):288. doi: 10.1186/s12933-023-02036-7. [DOI] [PMC free article] [PubMed] [Google Scholar]
- 22.Zhou Y, Liu L, Huang H, Li N, He J, Yao H, Tang X, Chen X, Zhang S, Shi Q, et al. Stress hyperglycemia ratio and in-hospital prognosis in non-surgical patients with heart failure and type 2 diabetes. Cardiovasc Diabetol. 2022;21(1):290. doi: 10.1186/s12933-022-01728-w. [DOI] [PMC free article] [PubMed] [Google Scholar]
- 23.Zhou Q, Yang J, Wang W, Shao C, Hua X, Tang YD. The impact of the stress hyperglycemia ratio on mortality and rehospitalization rate in patients with acute decompensated heart failure and diabetes. Cardiovasc Diabetol. 2023;22(1):189. doi: 10.1186/s12933-023-01908-2. [DOI] [PMC free article] [PubMed] [Google Scholar]
- 24.Lang RM, Badano LP, Mor-Avi V, Afilalo J, Armstrong A, Ernande L, Flachskampf FA, Foster E, Goldstein SA, Kuznetsova T, et al. Recommendations for cardiac chamber quantification by echocardiography in adults: an update from the American Society of Echocardiography and the European Association of Cardiovascular Imaging. Eur Heart J Cardiovasc Imaging. 2015;16(3):233–70. doi: 10.1093/ehjci/jev014. [DOI] [PubMed] [Google Scholar]
- 25.Cai A, Qiu W, Zhou Y, Feng Y, Chen J, Xia S, Li W, Liao Y, Li X, Zhou J, et al. Clinical characteristics and 1-year outcomes in hospitalized patients with heart failure with preserved ejection fraction: results from the China Cardiovascular Association Database-Heart Failure Center Registry. Eur J Heart Fail. 2022;24(11):2048–62. doi: 10.1002/ejhf.2654. [DOI] [PubMed] [Google Scholar]
- 26.Sharma K, Mok Y, Kwak L, Agarwal SK, Chang PP, Deswal A, Shah AM, Kitzman DW, Wruck LM, Loehr LR, et al. Predictors of mortality by sex and race in heart failure with preserved ejection fraction: ARIC Community Surveillance Study. J Am Heart Association. 2020;9(19):e014669. doi: 10.1161/JAHA.119.014669. [DOI] [PMC free article] [PubMed] [Google Scholar]
- 27.Pocock SJ, Ariti CA, McMurray JJ, Maggioni A, Kober L, Squire IB, Swedberg K, Dobson J, Poppe KK, Whalley GA, et al. Predicting survival in heart failure: a risk score based on 39 372 patients from 30 studies. Eur Heart J. 2013;34(19):1404–13. doi: 10.1093/eurheartj/ehs337. [DOI] [PubMed] [Google Scholar]
- 28.Pencina MJ, D’Agostino RB, Sr., Steyerberg EW. Extensions of net reclassification improvement calculations to measure usefulness of new biomarkers. Stat Med. 2011;30(1):11–21. doi: 10.1002/sim.4085. [DOI] [PMC free article] [PubMed] [Google Scholar]
- 29.Tribouilloy C, Rusinaru D, Mahjoub H, Souliere V, Levy F, Peltier M, Slama M, Massy Z. Prognosis of heart failure with preserved ejection fraction: a 5 year prospective population-based study. Eur Heart J. 2008;29(3):339–47. doi: 10.1093/eurheartj/ehm554. [DOI] [PubMed] [Google Scholar]
- 30.Shahim A, Hourqueig M, Donal E, Oger E, Venkateshvaran A, Daubert JC, Savarese G, Linde C, Lund LH, Hage C. Predictors of long-term outcome in heart failure with preserved ejection fraction: a follow-up from the KaRen study. ESC Heart Fail. 2021;8(5):4243–54. doi: 10.1002/ehf2.13533. [DOI] [PMC free article] [PubMed] [Google Scholar]
- 31.Timmer JR, Ottervanger JP, de Boer MJ, Dambrink JH, Hoorntje JC, Gosselink AT, Suryapranata H, Zijlstra F, van ’t Hof AW. Zwolle Myocardial Infarction Study G: hyperglycemia is an important predictor of impaired coronary flow before reperfusion therapy in ST-segment elevation myocardial infarction. J Am Coll Cardiol. 2005;45(7):999–1002. doi: 10.1016/j.jacc.2004.12.050. [DOI] [PubMed] [Google Scholar]
- 32.Roberts GW, Quinn SJ, Valentine N, Alhawassi T, O’Dea H, Stranks SN, Burt MG, Doogue MP. Relative hyperglycemia, a marker of critical illness: introducing the stress hyperglycemia ratio. J Clin Endocrinol Metab. 2015;100(12):4490–7. doi: 10.1210/jc.2015-2660. [DOI] [PubMed] [Google Scholar]
- 33.Stegenga ME, van der Crabben SN, Blumer RM, Levi M, Meijers JC, Serlie MJ, Tanck MW, Sauerwein HP, van der Poll T. Hyperglycemia enhances coagulation and reduces neutrophil degranulation, whereas hyperinsulinemia inhibits fibrinolysis during human endotoxemia. Blood. 2008;112(1):82–9. doi: 10.1182/blood-2007-11-121723. [DOI] [PMC free article] [PubMed] [Google Scholar]
- 34.Bauters C, Ennezat PV, Tricot O, Lauwerier B, Lallemant R, Saadouni H, Quandalle P, Jaboureck O, Lamblin N, Le Tourneau T, et al. Stress hyperglycaemia is an independent predictor of left ventricular remodelling after first anterior myocardial infarction in non-diabetic patients. Eur Heart J. 2007;28(5):546–52. doi: 10.1093/eurheartj/ehl546. [DOI] [PubMed] [Google Scholar]
- 35.Meng S, Zhu Y, Liu K, Jia R, Nan J, Chen M, Lei X, Zou K, Jin Z. The stress hyperglycaemia ratio is associated with left ventricular remodelling after first acute ST-segment elevation myocardial infarction. BMC Cardiovasc Disord. 2021;21(1):72. doi: 10.1186/s12872-021-01889-8. [DOI] [PMC free article] [PubMed] [Google Scholar]
- 36.Zhang Y, Song H, Bai J, Xiu J, Wu G, Zhang L, Wu Y, Qu Y. Association between the stress hyperglycemia ratio and severity of coronary artery disease under different glucose metabolic states. Cardiovasc Diabetol. 2023;22(1):29. doi: 10.1186/s12933-023-01759-x. [DOI] [PMC free article] [PubMed] [Google Scholar]
- 37.Shenouda SM, Widlansky ME, Chen K, Xu G, Holbrook M, Tabit CE, Hamburg NM, Frame AA, Caiano TL, Kluge MA, et al. Altered mitochondrial dynamics contributes to endothelial dysfunction in diabetes mellitus. Circulation. 2011;124(4):444–53. doi: 10.1161/CIRCULATIONAHA.110.014506. [DOI] [PMC free article] [PubMed] [Google Scholar]
- 38.Tuleta I, Frangogiannis NG. Fibrosis of the diabetic heart: clinical significance, molecular mechanisms, and therapeutic opportunities. Adv Drug Deliv Rev. 2021;176:113904. doi: 10.1016/j.addr.2021.113904. [DOI] [PMC free article] [PubMed] [Google Scholar]
Associated Data
This section collects any data citations, data availability statements, or supplementary materials included in this article.
Supplementary Materials
Additional file 1: Table S1. Baseline characteristics of study population stratified by events vs non-events. Table S2. Outcomes of study population according to SHR cut-off. Figure S1. Flowchart of patients enrolled. Figure S2. The distribution of SHR among HFpEF patients with and without events. Figure S3. Relationship between SHR and HF parameters
Data Availability Statement
The dataset examined in this study is available upon reasonable request from the corresponding author.



