Abstract
Sulfonyl fluoride EM12-SF was developed previously to covalently engage a histidine residue in the sensor loop of cereblon (CRBN) in the E3 ubiquitin ligase complex CRL4CRBN. Here, we further develop the structure–activity relationships of additional sulfonyl fluoride containing ligands that possess a range of cereblon binding potencies in cells. Isoindoline EM364-SF, which lacks a key hydrogen bond acceptor present in CRBN molecular glues, was identified as a potent binder of CRBN. This led to the development of the reversible molecular glue CPD-2743, that retained cell-based binding affinity for CRBN and degraded the neosubstrate IKZF1 to the same extent as EM12, but unlike isoindolinones, lacked SALL4 degradation activity (a target linked to teratogenicity). CPD-2743 had high permeability and lacked efflux in Caco-2 cells, in contrast to the isoindolinone iberdomide. Our methodology expands the repertoire of sulfonyl exchange chemical biology via the advancement of medicinal chemistry design strategies.
Histidine-targeting covalent chemical probes of the cereblon thalidomide binding domain enabled the discovery of an isoindoline molecular glue degrader.
Introduction
Covalent drugs have been developed possessing acrylamides and related electrophiles that target the cysteine thiol/thiolate, but the amino acid is rarely present in binding pockets.1 Sulfonyl exchange warheads, such as sulfur(vi) fluorides, site-specifically engage a greater variety of nucleophilic amino acid side chains in small molecule binding sites, that includes tyrosine, lysine, histidine, serine and threonine residues.2–6 For these reasons, sulfonyl exchange chemistry is ideally suited to the development of chemical biology probes and tools with a myriad of uses in drug discovery.7
The immunomodulatory imide drugs (IMiDs) thalidomide, lenalidomide and pomalidomide, bind cereblon (CRBN), a component of the E3 ubiquitin ligase complex CRL4CRBN.8 The IMiDs remodel the surface of CRBN, inducing interactions with neosubstrates such as zinc finger transcription factors and casein kinase 1α (CK1α), leading to their polyubiquitination and proteasomal degradation.9–11 Recently, we incorporated a sulfonyl fluoride warhead into the 6-position of the molecular glue degrader EM12 (the isoindolinone congener of thalidomide, Fig. 1) to covalently engage CRBN His353 in the so-called sensor loop12 of the thalidomide binding domain (TBD) (Fig. 2).13 EM12-SF blocked the TBD, preventing neosubstrate recruitment, resulting in the probe being used to validate the involvement of CRBN in mode-of-action perturbation studies.14 Since EM12-SF is a very potent binder of CRBN in cells (Fig. 1), which was assessed using our previously reported NanoBRET occupancy reporter assay,15 we hypothesized that the electrophile could be incorporated into other very weak CRBN-binding fragments causing a significant enhancement of their potency, with the objective of revealing new structure–activity relationships (SARs) for this therapeutically important E3 ligase complex.
Fig. 1. Structure–activity relationships of EM12 derivatives anchored to the binding pocket by sulfonyl fluoride warheads are shown. Orange arrows indicate changes made to the IMiD scaffold that reduce equilibrium binding interactions with CRBN. The successful discovery of the potent CRBN binder EM364-SF (CPD-2158) from EM12 via EM364 is boxed.
Fig. 2. Crystal structure of the CRBN/lenalidomide/CK1α (grey/green/magenta) ternary complex highlighting key interactions (PDB 5FQD).11 The tri-tryptophan cage (cyan) binds the glutarimide motif. Asn351 (orange) on the CRBN sensor loop makes a hydrogen bonding bridge from the isoindolinone carbonyl oxygen to the degron backbone carbonyl. The proximity of His353 to the 6-position of the IMiD scaffold, where the sulfonyl fluoride warhead was incorporated, is also highlighted.
Results and discussion
The synthesis of sulfonyl fluoride probes was achieved using previously reported procedures (details provided in the ESI†). Briefly, the key synthetic transformations required to incorporate the sulfonyl fluoride warhead included palladium-mediated conversion of an aryl bromide to the benzyl sulfide, that was subsequently oxidized using N-chlorosuccinimide to the sulfonyl chloride and converted to the desired fluoride using potassium fluoride.3
We have previously reported the incorporation of the sulfonyl fluoride warhead into ring-opened derivatives of EM12 that covalently bind the His353 residue and significantly enhance CRBN occupancy in cells (CPD-362 and CPD-363, Fig. 1).13 Interestingly, the same technique was unsuccessful for the related pyroglutamides (CPD-1963, CPD-1964, CPD-2004 and CPD-2005, Fig. 1), reflecting the context-dependent nature of sulfonyl fluoride labelling of His353, which requires a certain level of equilibrium binding to effect specific residue engagement. These results substantiate the importance of the glutarimide moiety to CRBN binding that is known to form important interactions within the tri-tryptophan cage of the TBD (Fig. 2).
We then asked if the sulfonyl fluoride warhead could also rescue the activity of reversible binding EM12 derivatives where changes to the scaffold were previously reported to considerably reduce CRBN affinity. Glutarimide N-methylation not only removes a hydrogen bonding interaction with the backbone carbonyl oxygen atom of His378, but the methyl group would also be expected to sterically clash within the tri-tryptophan cage of the TBD (Fig. 2). Additionally, the imidazole residue of His378 acts as a hydrogen-bond donor to a carbonyl group of the glutarimide. Consequently, removal of the carbonyl moiety, or N-methylation of the glutarimide, are known to considerably weaken CRBN binding, and these changes are often made to PROTACs for example to create negative control non-degraders with minimal changes in physicochemistry for target validation cell-based studies.16 Sulfonyl fluoride electrophiles were incorporated into these derivatives, and although the N-methyl glutarimide CPD-2129 bound CRBN weakly in cells, the 2-piperidone CPD-2130 was ∼3-fold more potent (Fig. 1). These results also reflect the importance of an intact glutarimide motif for potent CRBN binding. Based on our molecular understanding of glutarimide binding in the TBD it is intuitive that a clash with the protein caused by N-methylation would be more difficult to rescue using covalency than the removal of a productive interaction with the carbonyl oxygen atom of the imide, explaining the higher potency of CPD-2130.
Based on existing IMiD crystal structures, the carbonyl oxygen atom of the isoindolinone scaffold is known to be a hydrogen-bond acceptor from CRBN Asn351, a residue that also hydrogen bonds to a backbone carbonyl within the neosubstrate degron (Fig. 2), and removing these positive interactions would be expected to substantially reduce binding affinities. Indeed, the isoindoline EM364 (CPD-2380, Fig. 1) was reported previously in a patent as having >50% inhibition of CRBN at 200 μM.17 We confirmed that EM364 weakly bound CRBN in cells with an IC50 of 23 μM. Incorporating the sulfonyl fluoride warhead into the 6-position of the isoindoline furnished EM364-SF (CPD-2158), a remarkably potent binder of CRBN (IC50 71 nM) even though the key hydrogen bond acceptor carbonyl oxygen was removed (Fig. 1). Using quantitative MS proteomics we showed that EM364-SF lacked degradation activity in cells as expected (ESI†), potently blocking the recruitment of neosubstrates in a manner similar to EM12-SF. We reasoned that removal of the sulfonyl fluoride motif and optimization of equilibrium binding interactions elsewhere in the TBD, and potentially within a ternary complex, may rescue the neosubstrate degradation activity of a reversible binding isoindoline glutarimide.
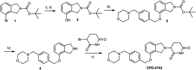
The CRBN modulator iberdomide (CC-220) is a highly potent molecular glue degrader of the zinc finger transcription factors IKZF1 and IKZF3, currently in clinical trials for the treatment of multiple myeloma.18 Using the NanoBRET CRBN occupancy assay we confirmed that the enhanced degradation of IKZF1/3 by iberdomide is indeed driven through higher cellular engagement of CRBN, a consequence of optimized hydrophobic interactions within the binding pocket made by its lipophilic tail.15 Therefore, as a preliminary exploration of the SAR, we prepared and screened the isoindoline congener, with the hope that the hydrophobic interactions with CRBN would ‘buy-back’ the loss in affinity resulting from carbonyl removal. Synthesis proceeded with the commercially available aryl bromide 1 that was converted in two steps via Pd-mediated borylation and oxidation to the phenol 2 (Fig. 3). Benzylation of the phenol furnished 3, and Boc-deprotection and alkylation to install the glutarimide yielded isoindoline CPD-2743 (details provided in the ESI†).
Fig. 3. Synthesis of isoindoline CRBN molecular glue CPD-2743. i) B2pin2, KOAc, Pd(dppf)Cl2, dioxane, 110 °C, 12 h; ii) NaBO3, THF/H2O, 20 °C, 16 h; iii) 4-[[4-(chloromethyl)phenyl]methyl]morpholine, K2CO3, DMF, 50 °C, 12 h; iv) HCl/EtOAc, 20 °C, 2 h; v) 3-bromopiperidine-2,6-dione, NaHCO3, DMF, 80 °C, 6 h.
We found that CPD-2743 retained binding of CRBN in cells, and although weaker than the parent iberdomide as expected, the isoindoline had similar potency to EM12 (Fig. 4). Pleasingly, CPD-2743 also retained IKZF1 degradation capacity, again, with weaker effects than the isoindolinone iberdomide, but similar to EM12 (DC50 193 ± 52 nM, Dmax 66%)19 in line with our original hypothesis (Fig. 4).
Fig. 4. CRBN molecular glue degrader CPD-2743, derived from molecular hybridization of iberdomide (CC-220) and EM364. HiBiT IKZF1 degradation data are also shown.
Interestingly, MS proteomics showed that CPD-2743 did not degrade SALL4, a neosubstrate linked to teratogenicity, in contrast to the isoindolinone iberdomide (ESI†).20 This observation may simply result from lower CRBN affinity because iberdomide was reported to be a weaker SALL4 degrader apparently due to a steric clash of the morpholine substituent with Lys389 in SALL4,21 a feature retained by CPD-2743. Notwithstanding, CPD-2743 has similar CRBN binding affinity to EM12, and yet the latter clearly degrades SALL4 (ESI†). Our results appear to be consistent with the recently disclosed binding mode and pharmacology of GSPT1 degrader MRT-2359.22 This molecular glue also lacks hydrogen bonding to Asn351, but has optimized hydrophobic interactions within the GSPT1-CRBN complex, and similarly does not appear to degrade SALL4.
Additionally, the isoindoline CPD-2743 possessed an orthogonal drug-like property profile compared to the isoindolinone iberdomide (Fig. 4). The removal of the hydrogen bonding carbonyl group translated to higher lipophilicity, moderate metabolic stability, but considerably higher permeability and no evidence of efflux compared to iberdomide. These structure–property relationships suggest the isoindoline scaffold may be useful for the development of CRBN degraders in the future.
Conclusions
Small structural changes to the scaffolds of fragment binders often lead to considerable reductions in binding affinity. As we show here for the IMiD EM12, carbonyl group removal, glutarimide methylation or isoindolinone ring opening furnished analogs with very weak to no potency for CRBN. For certain derivatives, the incorporation of a sulfonyl fluoride electrophile that covalently engages His353 in the sensor loop of CRBN rescues binding but negatively affects neosubstrate degradation. Sulfonyl fluoride EM364-SF retained potent CRBN binding in cells, leading to the preparation of the reversible binding isoindoline CPD-2743, which possessed IKZF1 degradation activity. Additionally, CPD-2743 did not degrade SALL4, a target linked to IMiD teratogenicity, and the isoindoline scaffold may provide a way to avoid such off-target toxicity in other CRBN-mediated degraders. The isoindoline possessed high permeability and lacked efflux, and so provides a property-based advantage over isoindolinones.
Our work also suggests that the isoindoline scaffold may be useful for the development of PROTACs,23 where lower binding affinity for CRBN is mitigated by the catalytic turnover of the degrader due to optimized ternary complex formation.24 Indeed, a patent recently disclosed a potent BRD9 degrader (DC50 < 10 nM) where a BRD9 inhibitor was linked to the 5-position of an isoindoline CRBN ligand.25 Conversely, a PROTAC in the related isoindolinone series lacking the glutarimide carbonyl group had a BRD9 DC50 > 1 μM,26 consistent with our results for 2-piperidone CPD-2130, which is >100-fold less potent at binding CRBN than isoindoline EM364-SF. It will be interesting to further profile the metabolic and chemical stability of the isoindoline scaffold to understand its broader utility to heterobifunctional degrader development.
Sulfonyl exchange warheads could also be incorporated into existing potent degraders such as CC-220 to enhance CRBN binding potency even further. However, we would expect the sulfonylated His353 to prevent neosubstrate recruitment as observed for related derivatives by clashing with the structural G-loop degron. Indeed, we recently developed a covalent BRD4 PROTAC using a fluorosulfate electrophile to engage His353 and this analog possessed considerably weaker neosubstrate degradation activity compared to the parent PROTAC as expected.27 Degron blocking strategies have been developed by others to improve PROTAC selectivity,28 and our covalent methodology has the advantage of improving degradation catalytic efficiency and pharmacodynamic duration.27 Our study also highlighted the enhanced CRBN binding potency of the ring-opened sulfonyl fluoride probe CPD-362 relative to the reversible ligand CPD-315. This work suggests that other weak CRBN ligands may be converted into covalent PROTACs in the future.
Sulfonyl exchange chemical biology continues to advance drug discovery and chemical biology research. Due to the remarkable versatility of sulfonyl exchange chemistry, based on site-specific labeling of a variety of amino acid side chains across diverse proteins, we anticipate these methods will be broadly applicable beyond the cereblon pilot study described here.
Author contributions
R. P. N. and F. H. developed the assays and screened compounds; K. A. D., R. J. M. and E. S. F. developed the proteomics profiling methods and screened compounds; Y. L., J. C., H. L. and L. H. J. designed the compounds; L. H. J. conceived and directed the project; L. H. J. wrote the manuscript with contributions from all authors.
Conflicts of interest
L. H. J. serves on the scientific advisory boards for, and holds equity in, Interline Therapeutics, Rapafusyn Pharmaceuticals, Ananke Therapeutics and Hyku Biosciences, consults for Matchpoint Therapeutics, and holds equity in Jnana Therapeutics. The Center for Protein Degradation at DFCI receives research funding from Deerfield. E. S. F. is a founder, member of the SAB, and equity holder of Civetta Therapeutics, Proximity Therapeutics, and Neomorph Inc. (also board of directors), SAB member and equity holder in Avilar Therapeutics and Photys Therapeutics, equity holder in Lighthorse therapeutics and a consultant to Astellas, Sanofi, Novartis, Deerfield, Ajax and EcoR1 capital. The Fischer laboratory receives or has received research funding from Novartis, Deerfield, Ajax, Interline, and Astellas. J. C. is a consultant for Soltego, Allorion and Matchpoint Therapeutics, and holds equity in Soltego, Allorion, Matchpoint and M3 Bioinformatics & Technology Inc. K. A. D. is a consultant for Kronos Bio and Neomorph Inc.
Supplementary Material
Acknowledgments
We thank Wuxi for compound synthesis, and for running the CRBN NanoBRET and degradation assays, and all members of the CPD past and present for useful discussions.
Electronic supplementary information (ESI) available. See DOI: https://doi.org/10.1039/d3md00652b
References
- Jones L. H. Annu. Rep. Med. Chem. 2021;56:95–134. [Google Scholar]
- Jones L. H., presented in part at the 248th ACS National Meeting, San Francisco, 2014 [Google Scholar]
- Dong J. Krasnova L. Finn M. G. Sharpless K. B. Angew. Chem., Int. Ed. 2014;53:9430–9448. doi: 10.1002/anie.201309399. [DOI] [PubMed] [Google Scholar]
- Narayanan A. Jones L. H. Chem. Sci. 2015;6:2650–2659. doi: 10.1039/C5SC00408J. [DOI] [PMC free article] [PubMed] [Google Scholar]
- Cuesta A. Taunton J. Annu. Rev. Biochem. 2019;88:365–381. doi: 10.1146/annurev-biochem-061516-044805. [DOI] [PubMed] [Google Scholar]
- Che J. Jones L. H. RSC Med. Chem. 2022;13:1121–1126. doi: 10.1039/D2MD00258B. [DOI] [PMC free article] [PubMed] [Google Scholar]
- Jones L. H. Kelly J. W. RSC Med. Chem. 2020;11:10–17. doi: 10.1039/C9MD00542K. [DOI] [PMC free article] [PubMed] [Google Scholar]
- Ito T. Ando H. Suzuki T. Ogura T. Hotta K. Imamura Y. Yamaguchi Y. Handa H. Science. 2010;327:1345–1350. doi: 10.1126/science.1177319. [DOI] [PubMed] [Google Scholar]
- Krönke J. Fink E. C. Hollenbach P. W. MacBeth K. J. Hurst S. N. Udeshi N. D. Chamberlain P. P. Mani D. R. Man H. W. Gandhi A. K. Svinkina T. Schneider R. K. McConkey M. Järås M. Griffiths E. Wetzler M. Bullinger L. Cathers B. E. Carr S. A. Chopra R. Ebert B. L. Nature. 2015;523:183–188. doi: 10.1038/nature14610. [DOI] [PMC free article] [PubMed] [Google Scholar]
- Sievers Q. L. Petzold G. Bunker R. D. Renneville A. Słabicki M. Liddicoat B. J. Abdulrahman W. Mikkelsen T. Ebert B. L. Thomä N. H. Science. 2018;362:eaat0572. doi: 10.1126/science.aat0572. [DOI] [PMC free article] [PubMed] [Google Scholar]
- Petzold G. Fischer E. S. Thomä N. H. Nature. 2016;532:127–130. doi: 10.1038/nature16979. [DOI] [PubMed] [Google Scholar]
- Watson E. R. Novick S. Matyskiela M. E. Chamberlain P. P. de la Peña A. H. Zhu J. Tran E. Griffin P. R. Wertz I. E. Lander G. C. Science. 2022;378:549–553. doi: 10.1126/science.add7574. [DOI] [PMC free article] [PubMed] [Google Scholar]
- Cruite J. T. Dann G. P. Che J. Donovan K. A. Ferrao S. Fischer E. S. Gray N. S. Huerta F. Kong N. R. Liu H. Marto J. Metivier R. J. Nowak R. P. Zerfas B. L. Jones L. H. RSC Chem. Biol. 2022;3:1105–1110. doi: 10.1039/D2CB00078D. [DOI] [PMC free article] [PubMed] [Google Scholar]
- Dann G. P. Liu H. Nowak R. P. Jones L. H. Methods Enzymol. 2023;681:155–167. doi: 10.1016/bs.mie.2022.08.056. [DOI] [PubMed] [Google Scholar]
- Zerfas B. L. Huerta F. Liu H. Du G. Gray N. S. Jones L. H. Nowak R. P. Methods Enzymol. 2023;681:169–188. doi: 10.1016/bs.mie.2022.08.013. [DOI] [PubMed] [Google Scholar]
- Němec V. Schwalm M. P. Müller S. Knapp S. Chem. Soc. Rev. 2022;51:7971–7993. doi: 10.1039/D2CS00478J. [DOI] [PubMed] [Google Scholar]
- Burnette P., Lawrence H. and Lawrence N. J., WO2017161119, 2017
- Matyskiela M. E. Zhang W. Man H. W. Muller G. Khambatta G. Baculi F. Hickman M. LeBrun L. Pagarigan B. Carmel G. Lu C. C. Lu G. Riley M. Satoh Y. Schafer P. Daniel T. O. Carmichael J. Cathers B. E. Chamberlain P. P. J. Med. Chem. 2018;61:535–542. doi: 10.1021/acs.jmedchem.6b01921. [DOI] [PubMed] [Google Scholar]
- Nowak R. P. Che J. Ferrao S. Kong N. R. Liu H. Zerfas B. L. Jones L. H. RSC Med. Chem. 2023;14:501. doi: 10.1039/D2MD00347C. [DOI] [PMC free article] [PubMed] [Google Scholar]
- Donovan K. A. An J. Nowak R. P. Yuan J. C. Fink E. C. Berry B. C. Ebert B. L. Fischer E. S. Elife. 2018;7:e38430. doi: 10.7554/eLife.38430. [DOI] [PMC free article] [PubMed] [Google Scholar]
- Ma X. Leon B. Ornelas E. Dovala D. Tandeske L. Luu C. Pardee G. Widger S. Solomon J. M. Beckwith R. E. J. Moser H. Clifton M. C. Wartchow C. A. Sci. Rep. 2023;13:22088. doi: 10.1038/s41598-023-48606-3. [DOI] [PMC free article] [PubMed] [Google Scholar]
- Wallace O., presented in part at the AACR 2023, Orlando, Florida, 2023 [Google Scholar]
- Sakamoto K. M. Kim K. B. Kumagai A. Mercurio F. Crews C. M. Deshaies R. J. Proc. Natl. Acad. Sci. U. S. A. 2001;98:8554–8559. doi: 10.1073/pnas.141230798. [DOI] [PMC free article] [PubMed] [Google Scholar]
- Gao Y. Jiang B. Kim H. Berberich M. J. Che J. Donovan K. A. Hatcher J. M. Huerta F. Kwiatkowski N. P. Liu Y. Liuni P. P. Metivier R. J. Murali V. K. Nowak R. P. Zhang T. Fischer E. S. Gray N. S. Jones L. H. J. Med. Chem. 2023;66:5524–5535. doi: 10.1021/acs.jmedchem.2c01864. [DOI] [PMC free article] [PubMed] [Google Scholar]
- Ruppel S. K., Yang Z., Lowe J. T., Voigt J. H., Netherton M., Brucelle F. and Vaswani R. G., WO2020160196, 2020
- Ruppel S. K., Yang Z., Lowe J. T., Voigt J. H. and Netherton M., WO2020160198, 2020
- Nowak R. P. Ragosta L. Huerta F. Liu H. Ficarro S. B. Cruite J. T. Metivier R. J. Donovan K. A. Marto J. A. Fischer E. S. Zerfas B. L. Jones L. H. RSC Chem. Biol. 2023;4:906–912. doi: 10.1039/D3CB00103B. [DOI] [PMC free article] [PubMed] [Google Scholar]
- Bouguenina H. Scarpino A. O'Hanlon J. A. Warne J. Wang H. Z. Wah Hak L. C. Sadok A. McAndrew P. C. Stubbs M. Pierrat O. A. Hahner T. Cabry M. P. Le Bihan Y. V. Mitsopoulos C. Sialana F. J. Roumeliotis T. I. Burke R. van Montfort R. L. M. Choudhari J. Chopra R. Caldwell J. J. Collins I. ChemBioChem. 2023;24:e202300351. doi: 10.1002/cbic.202300351. [DOI] [PubMed] [Google Scholar]
Associated Data
This section collects any data citations, data availability statements, or supplementary materials included in this article.




