Abstract
Background
The Stress hyperglycemia ratio (SHR) is a novel marker reflecting the true acute hyperglycemia status and is associated with clinical adverse events. The relationship between SHR and mortality in patients with diabetes or prediabetes is still unclear. This study aimed to investigate the predictive value of the SHR for all-cause and cardiovascular mortality in patients with diabetes or prediabetes.
Methods
This study included 11,160 patients diagnosed with diabetes or prediabetes from the National Health and Nutrition Examination Survey (2005–2018). The study endpoints were all-cause and cardiovascular mortality, and morality data were extracted from the National Death Index (NDI) up to December 31, 2019. Patients were divided into SHR quartiles. Cox proportion hazards regression was applied to determine the prognostic value of SHR. Model 1 was not adjusted for any covariates. Model 2 was adjusted for age, sex, and race. Model 3 was adjusted for age, sex, race, BMI, smoking status, alcohol use, hypertension, CHD, CKD, anemia, and TG.
Results
During a mean follow-up of 84.9 months, a total of 1538 all-cause deaths and 410 cardiovascular deaths were recorded. Kaplan-Meier survival analysis showed the lowest all-cause mortality incidence was in quartile 3 (P < 0.001). Multivariate Cox regression analyses indicated that, compared to the 1st quartile, the 4th quartile was associated with higher all-cause mortality (model 1: HR = 0.89, 95% CI 0.74–10.7, P = 0.226; model 2: HR = 1.24, 95% CI 1.03-1.49, P = 0.026; model 3: HR = 1.30, 95% CI 1.08–1.57, P = 0.006). The 3rd quartile was associated with lower cardiovascular mortality than quartile 1 (model 1: HR = 0.47, 95% CI 0.32–0.69, P < 0.001; model 2: HR = 0.66, 95% CI 0.45–0.96, P = 0.032; model 3: HR = 0.68, 95% CI 0.46–0.99, P = 0.049). There was a U-shaped association between SHR and all-cause mortality and an L-shaped association between SHR and cardiovascular mortality, with inflection points of SHR for poor prognosis of 0.87 and 0.93, respectively.
Conclusion
SHR is related to all-cause and cardiovascular mortality in patients with diabetes or prediabetes. SHR may have predictive value in those patients.
Keywords: Stress hyperglycemia ratio (SHR) , All-cause mortality, Cardiovascular mortality, Diabetes, Prediabetes
Background
The epidemic of diabetes mellitus (DM) and its complications pose a major global health threat. As estimated by the International Diabetes Federation (IDF), 1 in 10 adults aged ≥ 20–79 years had DM globally in 2021, and this estimate is expected to increase to 783.2 million by 2045 [1]. DM often has an onset years before it is diagnosed, especially if this DM includes prediabetes. The United States has the third highest prevalence of DM, and half of adults aged over 65 years have prediabetes [1]. The complications of DM are traditionally divided into microvascular and macrovascular complications, including coronary heart disease, peripheral vascular disease, cerebrovascular disease, renal failure, and diabetic retinopathy [2–4]. In addition, patients with DM have higher risk of all-cause and cardiovascular mortality [5]. Therefore, early identification of high-risk patients and the discovery of more risk factors are essential for improving patient prognosis.
Recently, numerous studies have shown that hyperglycemia in hospitalized patients is associated with increased morbidity and mortality in patients with myocardial infarction, heart failure, chronic obstructive pulmonary disease, cerebrovascular disease and critical illness [6–10]. However, the blood glucose level at admission cannot reveal the chronic glucose level. Glycosylated hemoglobin type A1c (HbA1c) is a well-established marker of glycemia over the previous 8 to 12 weeks, as it can reflect the estimated average glucose concentration. Therefore, a novel marker named the stress hyperglycemia ratio (SHR) was devised. It is calculated from the admission glucose and HbA1c levels [11]. A higher SHR was confirmed to be a risk factor for cardiovascular disease [8, 12, 13] in patients with or without DM. Recently, a meta-analysis of 26 cohort studies revealed that acute myocardial infarction patients with higher SHR had a significantly higher risk of major adverse cardiovascular and cerebrovascular events (MACCE), long-term all-cause mortality, and in-hospital all-cause mortality than patients with lower SHR. Subgroup analysis yielded the same conclusion regardless of diabetes status [14]. However, the relationship between the SHR and mortality risk has not been clearly investigated in diabetic or pre-diabetic patients.
Thus, this study aimed to investigate the relationship between SHR and all-cause and cardiovascular mortality in a large, nationally representative population of diabetes or prediabetes patients in the United States (US).
Methods
Study population
The data used in this study were extracted from the National Health and Nutrition Examination Survey (NHANES), which is a program managed by the Centers for Disease Control and Prevention (CDC) and the National Centers for Health Statistics (NCHS) in the US. This program follows the STROBE guidelines for reporting observational studies. The protocols of NHANES were approved by the Research Ethics Review Board of the NCHS, and informed written consent was obtained from all of the participants involved in the study. We downloaded the data from the NHANES website for 2005–2018 (https://www.cdc.gov/nchs/nhanes/index.htm), covering seven survey cycles. The data analysed in the current study included demographic data, examination data, laboratory data, and questionnaire data. According to the ADA’s diabetes diagnostic criteria [15], diabetes was defined as having any of the following conditions: (a) HbA1c concentration ≥ 6.5% or fasting plasma glucose (FPG) level ≥ 126 mg/dL; (b) a response ‘yes’ to the question: ‘Doctor told you have diabetes?’ or ‘Taking insulin now?’. Prediabetes status was defined as having any of the following: (a) HbA1c concentration between 5.7% and 6.4% or FPG level between 100 mg/dL and 125 mg/dL; (b) response ‘yes’ to the question: ‘Doctor told you have prediabetes?’. A total of 70,190 participants were screened in the NHANES cohort between 2005 and 2018. After excluding those with missing data on admission glucose (n = 48498), HbA1c (n = 46), mortality data (n = 19), patients younger than 20 years old (n = 4172), or without diabetes or prediabetes (n = 6295), we included 11,160 eligible patients with diabetes or prediabetes in the final analysis (Fig. 1).
Fig. 1.
Flowchart of the sample selection from NHANES 2005–2018
Study variables
Demographic, examination, laboratory and questionnaire data were downloaded from the NHANES website. BMI was calculated as weight in kilograms divided by the square of height in meters and was grouped into underweight (< 18.5), normal (18.5 to < 25), overweight (25 to < 30), and obese (≥ 30). Race was categorized as Mexican American, other Hispanic, non-Hispanic white, non-Hispanic black or other races. Smoking status was classified as never-smoker, former smoker or current smoker. Individuals were considered nondrinkers, 1 to < 5 drinks/month, 5 to < 10 drinks/month, or 10 + drinks/month. Hypertension status was determined from a self-reported medical history of high blood pressure, antihypertensive medicine, or non-same-day randomized records of 3 times of systolic blood pressure ≥ 140 mmHg or diastolic blood pressure ≥ 90 mmHg. Coronary heart disease (CHD) was diagnosed as self-reported CHD, angina pectoris or myocardial infarction. Chronic kidney disease was determined by a response of ‘yes’ to the question “Ever told you had weak/failing kidneys?”. Anemia was defined as hemoglobin < 120 g/L in males and < 110 g/L in females. Laboratory data assessed in this study including FPG, HbA1c, total cholesterol, low-density lipoprotein cholesterol (LDL-C), high-density lipoprotein cholesterol (HDL-C), triglycerides (TG), hemoglobin, were extracted from the NHANES website.
Calculation of SHR
SHR was calculated by the formula [FPG (mmol/L)]/[1.59 * HbA1c (%)-2.59] [11]. FPG was performed by the Fairview Medical Center Laboratory at the University of Minnesota. HbA1c measurements were done by the Diabetes Laboratory at the University of Minnesota using a Tosoh A1c 2.2 Plus Glycohemoglobin Analyzer (Tosoh Medics, Inc., San Francisco, CA). All patients were classified into four groups (Q1, Q2, Q3, and Q4) by quartile of SHR, with Q1 as the reference group.
Assessment of mortality
The mortality data were downloaded from the National Death Index (NDI) death certificate records provided by NCHS, and the mortality data were updated to December 31, 2019. The study endpoints were all-cause mortality and cardiovascular mortality. The reasons for death were determined by the International Statistical Classification of Diseases, 10th Revision (ICD-10). All-cause mortality was defined as death from any cause, including disease of heart (054–068), malignant neoplasms (019–043), accidents (unintentional injuries, 112–123), cerebrovascular diseases (070), DM (046), and other causes. During the follow-up, cardiovascular mortality was defined as death due to heart disease. The follow-up time was calculated from the baseline interview to the date of death or December 31, 2019.
Statistical analysis
R software (version 4.3.2) was used to perform the statistical analyses. As required to analyse the NHANES data, sample weights, clustering, and stratification were incorporated into all analyses [16]. The baseline characteristics are shown by quartile of SHR. Continuous variables are presented as mean ± standard deviation (SD). Categorical variables are shown as frequency counts and percentages. P values were calculated by one-way ANOVA for continuous variables and by Pearson’s chi-square test for categorical variables. The incidences of all-cause mortality and cardiovascular mortality were calculated during the follow-up. The log-rank test and Kaplan-Meier (K-M) survival analyses were performed to explore differences in event-free survival between the four groups. A multivariate Cox proportional hazards regression model was applied to calculate the prognostic value of SHR. Three Cox regression models adjusting for different confounding factors were built. Model 1 was not adjusted for any covariates. Model 2 was adjusted for age, sex, and race. Model 3 was adjusted for age, sex, race, BMI, smoking status, alcohol use, hypertension, CHD, CKD, anemia, and TG. We used multiple imputation for missing values. To explore the association between SHR and mortality, Cox proportional hazards regression models with restricted cubic spline (RCS) analyses were performed with four knots. In the RCS model, we also adjusted for confounding factors: age, sex, race, BMI, smoking status, alcohol use, hypertension, CHD, CKD, anemia, and TG. If the relationship was nonlinear, we estimated the threshold value and selected the inflection point with the highest likelihood. We used a two-piecewise Cox proportional hazards model on both sides of the inflection point to investigate the association between SHR and the risk of mortality. Subgroup analyses were also performed to assess the influence of SHR on all-cause mortality and cardiovascular mortality in different subgroups stratified by age (< 60 years, and ≥ 60 years), sex, race (Mexican American, other Hispanic, non-Hispanic white, non-Hispanic black, other races), BMI (underweight, normal, overweight, obese), and diabetes status (diabetes, prediabetes). A P value < 0.05 was defined as statistically significant.
Results
Baseline characteristics
A total of 11,160 patients with diabetes or prediabetes were included. Their baseline characteristics stratified by quartile of SHR are summarized in Table 1. The average age of the included patients was 57.4 years, and 55.2% of the patients were female. The mean SHR in the Q1, Q2, Q3, and Q4 quartiles was 0.78, 0.91, 0.99, and 1.15, respectively. Patients with a lower SHR were more likely to be older, female, non-Hispanic black, and never smokers than patients in the highest quartile. Among participants in Q1 group, 1622 (47.8%) had consumed 1–5 drinks per month, and 1248 (36.8%) were nondrinkers. Importantly, significant differences were observed between the different quartiles regarding laboratory data, patients in the highest quartiles having significantly lower total cholesterol, HDL-C and LDL-C.
Table 1.
Baseline demographic and clinical data of four groups
| Q1 (≤ 0.85) | Q2 (0.85–0.93) | Q3 (0.93–1.02) | Q4 (≥1.02) | Total | P | |
|---|---|---|---|---|---|---|
| SHR, mean (SD) | 0.78 (0.08) | 0.91 (0.02) | 0.99 (0.02) | 1.15 (0.16) | 0.94 (0.16) | < 0.001 |
| Age, years, mean (SD) | 57.4 (15.6) | 55.5 (16.1) | 52.8 (16.9) | 53.5 (17.4) | 55.0 (16.5) | < 0.001 |
| Female, n (%) | 1872 (55.2) | 1320 (48.4) | 1060 (43.3) | 980 (37.8) | 5232 (46.9) | < 0.001 |
| BMI, kg/m2, n (%) | 0.024 | |||||
| underweight (< 18.5) | 32 (0.9) | 24 (0.9) | 28 (1.1) | 25 (1.0) | 109 (1.0) | |
| normal (18.5–25) | 756 (22.3) | 514 (18.9) | 505 (20.6) | 527 (20.3) | 2304 (20.6) | |
| overweight (25–30) | 1081 (31.9) | 926 (34.0) | 864 (35.3) | 890 (34.3) | 3761 (33.7) | |
| obese (≥ 30) | 1522 (44.9) | 1262 (46.3) | 1050 (42.9) | 1152 (44.4) | 4986 (44.7) | |
| Race, n (%) | < 0.001 | |||||
| Mexican American | 370 (10.9) | 322 (12.2) | 330 (13.5) | 342 (13.2) | 1374 (12.3) | |
| Other Hispanic | 379 (1.2) | 312 (11.4) | 273 (11.2) | 291 (11.2) | 1255 (11.2) | |
| Non-Hispanic White | 1073 (31.6) | 1110 (40.7) | 1082 (44.2) | 1143 (44.1) | 4408 (39.5) | |
| Non-Hispanic Black | 1069 (31.5) | 528 (19.4) | 402 (16.4) | 482 (18.6) | 2481 (22.2) | |
| Other races | 502 (14.8) | 444 (16.3) | 360 (14.7) | 336 (13.0) | 1641 (14.7) | |
| Alcohol use, n (%) | < 0.001 | |||||
| Nondrinker | 1248 (36.8) | 859 (31.5) | 657 (48.3) | 693 (26.7) | 3457 (31.0) | |
| 1–5 drinks/month | 1622 (47.8) | 1339 (49.1) | 1187 (48.5) | 1220 (47.0) | 5368 (49.1) | |
| 5–10 drinks/month | 191 (5.6) | 170 (6.2) | 211 (8.6) | 212 (8.2) | 784 (7.0) | |
| ≥ 10 drinks/month | 332 (9.8) | 358 (13.1) | 392 (16.0) | 469 (18.1) | 1551 (13.9) | |
| Smoking status, n (%) | < 0.001 | |||||
| Never | 1797 (53.0) | 1453 (53.4) | 1253 (51.2) | 1267 (48.9) | 5770 (51.7) | |
| Former | 862 (25.4) | 746 (27.4) | 705 (28.8) | 823 (31.8) | 3136 (28.1) | |
| Current | 734 (21.6) | 522 (19.2) | 487 (19.9) | 502 (19.4) | 2245 (20.1) | |
| Hypertension, n (%) | 2027 (59.7) | 1445 (53.0) | 1269 (51.9) | 1495 (57.6) | 6236 (55.9) | < 0.001 |
| Coronary heart disease, n (%) | 277 (8.2) | 198 (7.3) | 163 (6.7) | 207 (8.0) | 845 (7.6) | 0.147 |
| Congestive heart failure, n (%) | 190 (5.6) | 111 (4.1) | 94 (3.8) | 125 (4.8) | 520 (4.7) | < 0.001 |
| Chronic kidney disease, n (%) | 165 (4.9) | 100 (3.7) | 93 (3.8) | 136 (5.2) | 494 (4.4) | 0.009 |
| Anemia, n (%) | 197 (5.8) | 72 (2.6) | 53 (2.2) | 98 (3.8) | 419 (3.8) | < 0.001 |
| TC, mmol/L, mean (SD) | 5.0 (1.1) | 5.2 (1.1) | 5.0 (1.0) | 5.0 (1.1) | 5.0 (1.1) | < 0.001 |
| LDL-C, mmol/L, mean (SD) | 3.0 (1.0) | 3.1 (1.0) | 3.0 (0.9) | 2.9 (0.9) | 3.0 (1.0) | < 0.001 |
| HDL-C, mmol/L, mean (SD) | 1.4 (0.4) | 1.3 (0.4) | 1.3 (0.4) | 1.3 (0.4) | 1.3 (0.4) | < 0.001 |
| TG, mmol/L, mean (SD) | 1.4 (1.0) | 1.5 (1.2) | 1.6 (1.4) | 1.8 (1.8) | 1.6 (1.4) | < 0.001 |
| HbA1c, %, mean (SD) | 6.5 (1.2) | 6.0 (0.9) | 5.9 (1.1) | 6.1 (1.7) | 6.1 (1.3) | < 0.001 |
| FPG, mmol/L, mean (SD) | 5.8 (1.3) | 6.3 (1.3) | 6.6 (1.8) | 8.3 (3.6) | 6.8 (2.3) | < 0.001 |
| HGB, mg/dl, mean (SD) | 13.7 (1.6) | 14.2 (1.5) | 14.4 (1.5) | 14.5 (1.6) | 14.2 (1.6) | < 0.001 |
| Diabetes, n (%) | 1002 (29.5) | 2197 (80.6) | 1878 (76.7) | 1357 (52.4) | 7824 (70.1) | < 0.001 |
| Prediabetes, n (%) | 2391 (70.5) | 529 (19.4) | 569 (23.3) | 1236 (47.6) | 3336 (29.9) | < 0.001 |
P values were calculated using either Student’s t-test or the chi-square test
BMI body mass index, FPG fasting plasma glucose, HbA1c glycosylated hemoglobin type A1c, HDL-C high-density lipoprotein cholesterol, LDL-C low-density lipoprotein cholesterol, TC total cholesterol, TG triglyceride, SD standard deviation.
Clinical outcomes for all-cause and cardiovascular mortality
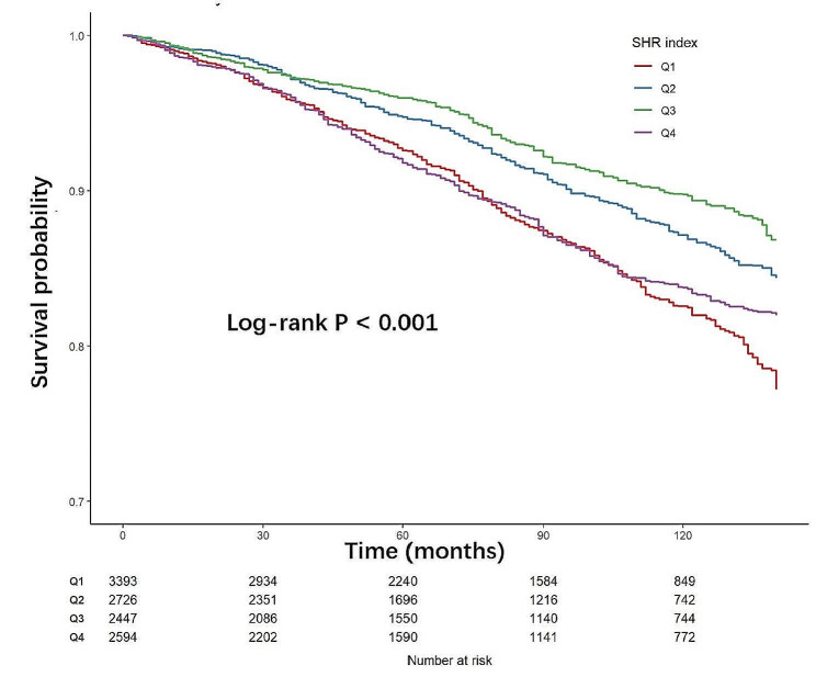
During a mean follow-up period of 84.9 months, a total of 1538 all-cause deaths were recorded, for an all-cause mortality rate of 1061/100,000 person-years, while 410 cardiovascular deaths were recorded, for a cardiovascular mortality rate of 33/100,000 person-years. K-M survival analyses showed a significant difference in the incidence of all-cause mortality between the four groups during follow-up, the lowest all-cause mortality being in quartile 3 (log-rank P < 0.001). The details of the of K-M survival analyses are presented in Fig. 2. Table 2 shows the three Cox regression models used to evaluate the correlation between SHR and all-cause mortality. Without adjusting for any covariates, the hazard ratios (HRs) and confidence intervals (CIs) from the first quartile to the fourth quartile were 1.00 (reference), 0.70 (0.57, 0.85), 0.60 (0.52–0.70), and 0.89 (0.74–10.7), respectively. In model 2, age, sex, and race were adjusted, and the HRs and 95% CIs were 1.00 (reference), 0.80 (0.67–0.96), 0.82 (0.71–0.96), and 1.24 (1.03–1.49), respectively (all P values < 0.05). In addition, in model 3, after adjusting for age, sex, race, BMI, smoking status, alcohol use, hypertension, CHD status, CKD status, anemia, and TG, the HRs and 95% CIs were 1.00 (reference), 0.83 (0.70–0.99), 0.85 (0.74–0.99), and 1.30 (1.08–1.57), respectively. Table 2 also shows the Cox regression models for cardiovascular mortality. Without adjusting for covariates, the HRs and 95% CIs were 1.00 (reference), 0.74 (0.50–1.08), 0.47 (0.32–0.69), and 0.67 (0.50–0.91). Model 2 was adjusted for age, sex, and race, and the HRs and 95% CIs were 1.00 (reference), 0.86 (0.60–1.23), 0.66 (0.45–0.96), and 0.94 (0.71–1.25). In model 3, we further adjusted for BMI, smoking status, alcohol use, hypertension, CHD, CKD, anemia, and TG beyond model 2. The HRs and 95% CIs were 1.00 (reference), 0.88 (0.62–1.25), 0.68 (0.46–0.99), and 0.95 (0.72–1.25).
Fig. 2.
K-M analyses for all-cause mortality among the four groups. Q1–Q4 quartiles 1–4, SHR stress hyperglycemia ratio
Table 2.
Cox regression models for the association between the SHR and mortality
| Quantiles of the SHR | |||||
|---|---|---|---|---|---|
| Q1 | Q2 | Q3 | Q4 | P for trend | |
| All-cause mortality | |||||
| Number of deaths | 510 | 332 | 280 | 416 | |
| Model 1 h (95% CI) P-value | 1 | 0.70 (0.57, 0.85) < 0.001 | 0.60 (0.52, 0.70) < 0.001 | 0.89 (0.74, 10.7) 0.226 | < 0.001 |
| Model 2 h (95% CI) P-value | 1 | 0.80 (0.67, 0.96) 0.017 | 0.82 (0.71, 0.96) 0.012 | 1.24 (1.03, 1.49) 0.026 | < 0.001 |
| Model 3 h (95% CI) P-value | 1 | 0.83 (0.70, 0.99) 0.037 | 0.85 (0.74, 0.99) 0.038 | 1.30 (1.08, 1.57) 0.006 | < 0.001 |
| CVD mortality | |||||
| Number of deaths | 150 | 93 | 69 | 98 | |
| Model 1 h (95% CI) P-value | 1 | 0.74 (0.50, 1.08) 0.117 | 0.47 (0.32, 0.69) < 0.001 | 0.67 (0.50, 0.91) 0.009 | < 0.001 |
| Model 2 h (95% CI) P-value | 1 | 0.86 (0.60, 1.23) 0.406 | 0.66 (0.45, 0.96) 0.032 | 0.94 (0.71, 1.25) 0.665 | 0.052 |
| Model 3 h (95% CI) P-value | 1 | 0.88 (0.62, 1.25) 0.489 | 0.68 (0.46, 0.99) 0.049 | 0.95 (0.72, 1.25) 0.693 | 0.096 |
BMI body mass index; CI confidence interval; HR hazard ratio; TG triglyceride; SHR stress hyperglycemia ratio.
Model 1: no covariates were adjusted for
Model 2: Adjusted for age, sex and race
Model 3: Adjusted for age, sex, race, BMI, smoking status, alcohol use, hypertension, coronary heart disease, chronic kidney disease, anemia, and TG
Non-linear relationships between the SHR and mortality
Cox proportional hazards regression models with RCS were used to evaluate the non-linear correlation between the SHR and mortality in patients with diabetes or prediabetes. RCS analysis indicated that there was a U-shaped association between SHR and all-cause mortality (Fig. 3A) even after adjustment for other confounding factors (all P values for nonlinearity < 0.05; Fig. 3). The adjusted confounding factors included age, sex, race, BMI, smoking status, alcohol use, hypertension, CHD, CKD, anemia, and TG. There was an L-shaped association between SHR and cardiovascular death (P for nonlinearity < 0.05); when SHR was < 0.93, the HR changed sharply, while it increased slowly when SHR was > 0.93, (Fig. 3B). The value of SHR corresponding to the lowest risk of all-cause mortality according to multivariate-adjusted RCS analyses was 0.87 for the population (Fig. 3). We fitted the association between SHR and mortality using a standard Cox proportional hazards regression model and a two-piecewise Cox proportional hazards regression model. Through these models, we identified the inflection points for all- cause and cardiovascular mortality as 0.87 and 0.93, respectively (Table 3). After adjusting for age, sex, race, BMI, smoking status, alcohol use, hypertension, CHD status, CKD status, anemia, and TG, the risk of all-cause mortality and cardiovascular mortality decreased by 91% (HR 0.09, 95% CI: 0.02–0.33) and 92% (HR 0.08, 95% CI: 0.01–0.44), respectively, as the SHR increased to the inflection points. The risk of all-cause mortality increased as SHR increased when SHR was > 0.87 (HR 2.80, 95% CI: 1.97–3.98). We next studied the diabetes and prediabetes populations separately. In patients with diabetes, there were still a U-shaped and L-shaped associations between the SHR and all-cause mortality and cardiovascular mortality, respectively (Fig. 4A and B). The SHR and all-cause mortality in patients with prediabetes were nearly U-shaped (Fig. 4C), while there was roughly J-shaped association with cardiovascular mortality (Fig. 4D).
Fig. 3.
Association between the SHR and all-cause (A) and cardiovascular mortality (B) in patients with diabetes or prediabetes. Adjusted for age, sex, race, BMI, smoking status, alcohol use, hypertension, coronary heart disease, chronic kidney disease, anemia, and TG. The solid line and purple area represent the estimated values and their corresponding 95% CIs, respectively. SHR stress hyperglycemia ratio; BMI body mass index; CI confidence interval; HR hazard ratio, TG triglyceride
Table 3.
Threshold effect analysis of the SHR on all-cause and cardiovascular mortality in patients with diabetes or prediabetes
| Adjusted HR (95%CI) | P-value | |
|---|---|---|
| All-cause mortality | ||
| Total | 1.77 (1.36, 2.31) | < 0.001 |
| Fitting by two-piecewise Cox proportional risk model | ||
| Inflection point | 0.87 | |
| SHR < 0.87 | 0.09 (0.02, 0.33) | < 0.001 |
| SHR ≥ 0.87 | 2.80 (1.97, 3.98) | < 0.001 |
| Cardiovascular mortality | ||
| Total | 1.60 (0.80, 3.20) | 0.182 |
| Fitting by two-piecewise Cox proportional risk model | ||
| Inflection point | 0.93 | |
| SHR < 0.93 | 0.08 (0.01, 0.44) | < 0.001 |
| SHR ≥ 0.93 | 1.67 (0.84, 3.31) | 0.141 |
The model was adjusted for age, sex, race, BMI, smoking status, alcohol use, hypertension, coronary heart disease, chronic kidney disease, anemia, and TG
BMI body mass index; CI confidence interval; HR hazard ratio; TG triglyceride; SHR stress hyperglycemia ratio.
Fig. 4.
Association between SHR and all-cause (A) and cardiovascular mortality (B) in patients with diabetes. Association between SHR and all-cause (C) and cardiovascular mortality (D) in patients with pre-diabetes. Adjusted for age, sex, race, BMI, smoking status, alcohol use, hypertension, coronary heart disease, chronic kidney disease, anemia, and TG. The solid line and purple area represent the estimated values and their corresponding 95% CIs, respectively. SHR stress hyperglycemia ratio; BMI body mass index; CI confidence interval; HR hazard ratio, TG triglyceride
Subgroup analysis
Subgroup analyses were performed to evaluate the associations of SHR with mortality in different populations according to age (< 60 years, ≥ 60 years), sex (female, male), race (Mexican American, other Hispanic, non-Hispanic white, non-Hispanic black, other races), BMI (underweight, normal, overweight, obese), and diabetes status (diabetes, prediabetes). The relationship between SHR and mortality among patients with diabetes or prediabetes was consistent across the various subgroups, as depicted in Tables 4 and 5. There was no significant interaction effect between SHR and stratified variables.
Table 4.
Subgroup analyses of the association between the SHR and all-cause mortality
| All-cause mortality | ||||
|---|---|---|---|---|
| HR 95% (CI) | P value | |||
| SHR | < 0.87 | ≥ 0.87 | P interaction | |
| Overall | ||||
| Age, years | 0.587 | |||
| < 60 | Reference | 0.92 (0.64, 1.32) | 0.631 | |
| ≥60 | Reference | 0.90 (0.78, 1.04) | 0.140 | |
| Sex | 0.052 | |||
| Female | Reference | 1.15 (0.95, 1.38) | 0.150 | |
| Male | Reference | 0.88 (0.73, 1.06) | 0.182 | |
| BMI | 0.145 | |||
| underweight (< 18.5) | Reference | 1.23 (0.20, 7.54) | 0.824 | |
| normal (18.5–25) | Reference | 1.29 (1.03, 1.60) | 0.027 | |
| overweight (25–30) | Reference | 1.04 (0.91, 1.33) | 0.772 | |
| obese (≥ 30) | Reference | 0.84 (0.65, 1.07) | 0.154 | |
| Race | 0.820 | |||
| Mexican American | Reference | 1.24 (0.79, 1.94) | 0.344 | |
| Other Hispanic | Reference | 1.08 (0.64, 1.59) | 0.680 | |
| Non-Hispanic white | Reference | 0.98 (0.82, 1.19) | 0.864 | |
| Non-Hispanic black | Reference | 1.15 (0.88, 1.50) | 0.318 | |
| Other races | Reference | 1.00 (0.66, 1.52) | 0.996 | |
| Diabetes status | 0.707 | |||
| Diabetes | Reference | 0.98 (0.80, 1.19) | 0.833 | |
| Prediabetes | Reference | 0.97 (0.92, 1.15) | 0.742 | |
Table 5.
Subgroup analyses of the association between the SHR and cardiovascular mortality
| Cardiovascular mortality | ||||
|---|---|---|---|---|
| HR 95%(CI) | P value | |||
| SHR | < 0.91 | ≥ 0.91 | P interaction | |
| Overall | ||||
| Age, years | 0.091 | |||
| < 60 | Reference | 1.28 (0.71, 2.30) | 0.420 | |
| ≥60 | Reference | 0.72 (0.53, 0.97) | 0.029 | |
| Sex | 0.622 | |||
| Female | Reference | 0.95 (0.68, 1.34) | 0.777 | |
| Male | Reference | 0.82 (0.58, 1.15) | 0.248 | |
| BMI | 0.279 | |||
| underweight (< 18.5) | Reference | 0.48 (0.07, 3.72) | 0.453 | |
| normal (18.5–25) | Reference | 1.24 (0.70, 2.22) | 0.462 | |
| overweight (25–30) | Reference | 0.76 (0.48, 1.21) | 0.242 | |
| obese (≥ 30) | Reference | 0.79 (0.55, 1.13) | 0.200 | |
| Race | 0.286 | |||
| Mexican American | Reference | 1.74 (0.65, 4.71) | 0.272 | |
| Other Hispanic | Reference | 1.10 (0.42, 2.86) | 0.846 | |
| Non-Hispanic white | Reference | 0.83 (0.58, 1.19) | 0.315 | |
| Non-Hispanic black | Reference | 0.79 (0.48, 1.29) | 0.348 | |
| Other races | Reference | 1.08 (0.42, 2.77) | 0.878 | |
| Diabetes condition | 0.510 | |||
| Diabetes | Reference | 0.75 (0.51, 1.11) | 0.149 | |
| Prediabetes | Reference | 0.93 (0.64, 1.34) | 0.700 | |
Discussion
To the best of our knowledge, this is the first study to evaluate the association between SHR and all-cause and cardiovascular mortality in patients with diabetes or prediabetes. The major findings of the current study were as follows: (1) SHR was independently associated with all-cause and cardiovascular mortality in patients with diabetes or prediabetes even after adjusting for potential confounding variables; (2) the association was U-shaped for all-cause mortality, the HRs significantly increasing when SHR was > 0.87; and (3) the association was L-shaped for cardiovascular mortality.
Stress-induced hyperglycemia is common in patients suffering critical illness and leads to insulin resistance (IR), inflammatory reactions, and severe dysfunction of glucose metabolism [17]. The admission blood glucose level cannot reflect the overall hyperglycemia status, as this does not evaluate the chronic glucose level. SHR is a simple and convenient measure for evaluating stress-induced hyperglycemia [11]. SHR has been independently associated with cerebral edema after acute cerebral infarction [6], risk of pulmonary infection during hospitalization [18], severity of coronary artery disease [19], and thrombus burden [20]. In addition to its strong correlation with various diseases, SHR has been used to predict clinical outcomes. In patients with acute myocardial infarction, elevated SHR is significantly associated with long-term all-cause mortality in both American and Chinese cohorts [21]. In patients with acute decompensated heart failure, there was a U-shaped association between SHR and mortality and rehospitalization rates [7]. SHR is also independently associated with the risk of major cardiovascular adverse events (MACE) [22]. The above evidences show that SHR could become a clinical indicator of prognosis.
The current study may be the first to focus on the diabetic or prediabetic populations and to find U-shaped or L-shaped association between SHR and mortality. We included 11,160 diabetic or prediabetic patients in the United States diagnosed from 2005 to 2018, and the median follow-up period was 84.9 months. The results showed that there was a U-shaped relationship between SHR and all-cause mortality and an L-shaped relationship between SHR and cardiovascular mortality. The HR for all-cause mortality increased significantly when the SHR was greater than 0.87 after adjusting for the potential confounding factors. A U-shaped association between SHR and poor prognosis has been seen in previous studies. Yang et al. [8] reported a U-shaped correlation between SHR and the MACE rate and a J-shaped correlation between SHR and in-hospital cardiac death in patients with acute coronary syndrome. Roberts et al. [11] reported a roughly J-shaped association between SHR and critical illness, which is in accordance with the results of our study to some extent. Karakasis et al. conducted a meta-analysis that demonstrated that higher SHR was associated with a significantly greater risk of MACCE and short-term and long-term mortality, which is in accordance with the outcomes of our study to some degree. Their conclusions were consistent between patients with and without diabetes [14]. The mechanisms underlying the U-shaped or L-shaped association remain uncertain, but they may encompass the following aspects.
First, a high SHR is indicative of stress hyperglycemia during both the acute and chronic periods and is associated with adverse outcomes. The mechanism by which a high SHR leads to increased mortality may be explained as follows: (1) Stress hyperglycemia can increase IR and the release of catecholamines, cortisol, glucagon and growth hormones [23–25]; catecholamines can inhibit insulin secretion, modulate glucose transport molecules leading to peripheral IR, and stimulate hepatic gluconeogenesis [26]; (2) hyperglycemia can prompt inflammation, endothelial dysfunction and oxidative stress [27–29]: the rapid increase in glucose causes the overproduction of reactive oxygen species (ROS), and also inflammatory conditions can cause numerous diabatic complications, including microvascular and macrovascular complications [29]. Monnier et al. [27] estimated oxidative stress using the 24-hour urinary excretion rate of free 8-iso prostaglandin F2α (8-iso PGF2α) and found that 8-iso PGF2α excretion rates were higher in patients with diabetes. These authors demonstrated that stress hyperglycemia triggers oxidative stress; (3) A high SHR could impair fibrinolysis: which is related to the breakdown of thrombosis. In patients with poorly controlled diabetes, extraordinarily high concentrations of plasminogen activator inhibitor-1 (PAI-1), which indicates hypofibrinolysis, were detected. After lowering the blood glucose, the PAI-1 concentration decreases, which suggests that the glucose level is related to fibrinolysis [30, 31]; (4) Endothelial dysfunction: in patients with high SHR, the balance between dilating factors (e.g. nitric oxide (NO), prostacyclin (PGI2)) and constricting factors (endothelin, angiotensin II, TX) shifts towards constriction [32]; (5) Platelet activation: Disturbances in endothelial function and coagulation may activate the initial process of platelet activation and adhesion and subsequent platelet aggregation [33].;(6) Uncontrolled glucose levels may cause harm, including deleterious effects on wound healing, increased risk of infection and prolonged hospitalization, which can lead to noncardiovascular death [34].
Previous studies have reported a J-shaped association between SHR and poor short-term and long-terms prognoses in different populations [8, 11]. Our study is the first to show an L-shaped association which emphasizes the dangerous impact of a low SHR on cardiovascular mortality. A low SHR is associated with a worse long-term prognosis in patients with diabetes or prediabetes. Patients with a very low SHR may experience more hypoglycemic episodes or chronic hyperglycemia (high HbA1c) with current good or excessive glycemic control (low admission glucose). Both situations could be harmful. As mentioned before, chronic hyperglycemia may contribute to adverse outcomes through oxidative stress, inflammation, or IR. The relationship between hypoglycemia and adverse clinical outcomes has been supported by previous studies [35–40]. Zoungas et al. [35] included diabetic patients, 231 of whom had at least one severe hypoglycemic episode. During the follow-up, hypoglycemia was associated with a significant increase in MACE (HR 2.88, 95% CI 2.01–4.12), all-cause mortality (HR 2.69, 95% CI 1.97–3.67), and cardiovascular mortality (HR 1.81, 95% CI 1.19–2.74). Another randomized study found that patients who experienced severe hypoglycemia had a higher incidence of heart failure and kidney disease. They were also more likely to experience MACE, all-cause death, and cardiovascular death than those without hypoglycemia [36]. Our study is consistent with the above studies to some extent. In addition, patients with diabetes or prediabetes are more likely to experience hypoglycemic episodes spontaneously or iatrogenically. This may be attributed to incorrect use of insulin or oral medications, extended periods of fasting, or digestive difficulties. The mechanism by which hypoglycemia increases cardiovascular mortality may involve the following: (1) Hypoglycemia induces platelet hyperactivity through the elevation of inflammatory and oxidative stress markers [41]; the concentration of fatty acids, including 10-nonadecenoate, linolenate and dihomo-linoleate increase; and molecules contributing to cardiovascular complications, such as fatty-acid-binding protein-3, are also altered during hypoglycemia [42]. (2) More cardiac arrhythmias: An in vitro study has shown that cardiac arrhythmias are often triggered by hypoglycemia through effects on cardiac repolarization and changes in cardiac autonomic activity. In patients with type 2 diabetes with cardiovascular risk, a heart rate-corrected QT interval, > 500ms and abnormal T-waves were observed during hypoglycemia [43]; (3) Causing the activation of the sympatho-adrenal system: acute hypoglycemia causes a pronounced physiological response, releases the epinephrine, and provokes hemodynamic changes. The hemodynamic changes lead to the an increase in heart rate, peripheral systolic blood pressure, myocardial contractility, stroke volume, and cardiac output [44]. Transient cardiac stress may have a dangerous impact on older people with diabetes especially individuals with CHD.
In summary, previous studies have demonstrated an association between stress hyperglycemia and clinical outcomes. These findings, in conjunction with our own, highlight the clinical significance of maintaining an optimal SHR, as deviations to either extremely high or low levels can result in detrimental health consequences.
Several limitations of our work should be noted. First, even after we adjusted for several potential confounding factors in the multivariate model, SHR still might have been affected by other factors. Second, this was an observational study based of patients with diabetes or prediabetes in the United States population. Prospectively studies are needed to further test this relationship and the underlying mechanisms involved. Third, the subgroup analyses did not meet the optimal information size criterion, which may have caused bias in the subgroup analyses.
Conclusions
In the present study, the index SHR was found to be a valuable index for predicting the risk of all-cause and cardiovascular mortality in patients with diabetes or prediabetes. There was a U-shaped association between SHR and all-cause mortality and an L-shaped associations between SHR and cardiovascular mortality, in which the inflection points of SHR for poor prognosis were 0.87 and 0.93, respectively. Large-scale, multicenter prospective studies should be performed to assess the predictive value of SHR and to investigate the underlying mechanisms of the U-shaped and L-shaped associations.
Acknowledgements
Not applicable.
Author contributions
Conceptualisation and formol analysis: L.D., H.Z., M.T.; Analysis and interpretation of data: L.D., H.Z. Writing-original draft: L.D., H.Z. Writing-review&editing: L.D., H.Z., F.Y., C.D., A.K.Z., L.J.M., Q.J.Q., M.T. Final approval of the article: L.D., H.D.Z., F.Y.Y., C.D., A.K.Z., L.J.M., Q.J.Q., M.T. Data curation and supervision: M.T. Software: L.D., H.Z. Funding acquisition: M.T. Methodology and project administration: L.D., H.Z. Investigation: L.D., H.Z.
Funding
The study was supported by the National Postdoctoral Foundation of China (GZC20230295). The funding source had no role in study design; in the collection, analysis, and interpretation of data; in writing the report; and in the decision to submit the article for publication.
Data availability
The datasets presented in this article are not readily available because research data is confidential. Requests to access the datasets should be directed to doctortangmin@yeah.net.
Declarations
Ethics approval and consent to participate
The National Center for Health Statistics and Ethics Review Board approved the protocol for NHANES, and all participants provided written informed consent.
Consent for publication
We confirm that we have obtained written informed consent to publish.
Competing interests
The authors declare that they have no competing interests.
Footnotes
Publisher’s Note
Springer Nature remains neutral with regard to jurisdictional claims in published maps and institutional affiliations.
Lei Ding and Hongda Zhang contributed equally to this work.
References
- 1.Sun H, Saeedi P, Karuranga S, Pinkepank M, Ogurtsova K, Duncan BB, Stein C, Basit A, Chan JCN, Mbanya JC, et al. IDF Diabetes Atlas: Global, regional and country-level diabetes prevalence estimates for 2021 and projections for 2045. Diabetes Res Clin Pract. 2022;183:109119. doi: 10.1016/j.diabres.2021.109119. [DOI] [PMC free article] [PubMed] [Google Scholar]
- 2.Chi ZS, Lee ET, Lu M, Bennett PH, Group tWMS Vascular disease prevalence in diabetic patients in China: standardised comparison with the 14 centres in the WHO multinational study of Vascular Disease in Diabetes. Diabetologia. 2001;44:82–S86. doi: 10.1007/PL00002944. [DOI] [PubMed] [Google Scholar]
- 3.Forouhi NG, Sattar N, Tillin T, McKeigue PM, Chaturvedi N. Do known risk factors explain the higher coronary heart disease mortality in South Asian compared with European men? Prospective follow-up of the Southall and Brent studies, UK. Diabetologia 2006, 49(11):2580–2588. [DOI] [PubMed]
- 4.van Susan D, Beulens JWJ, Yvonne T, van der Grobbee S, Nealb DE. The global burden of diabetes and its complications: an emerging pandemic. Eur J Cardiovasc Prev Rehabilitation. 2010;17(1suppl):3–s8. doi: 10.1097/01.hjr.0000368191.86614.5a. [DOI] [PubMed] [Google Scholar]
- 5.Raghavan S, Vassy JL, Ho YL, Song RJ, Gagnon DR, Cho K, Wilson PWF, Phillips LS. Diabetes Mellitus–related all-cause and Cardiovascular Mortality in a national cohort of adults. J Am Heart Association 2019, 8(4). [DOI] [PMC free article] [PubMed]
- 6.Deng Y, Wu S, Liu J, Liu M, Wang L, Wan J, Zhang S, Liu M. The stress hyperglycemia ratio is associated with the development of cerebral edema and poor functional outcome in patients with acute cerebral infarction. Front Aging Neurosci 2022, 14. [DOI] [PMC free article] [PubMed]
- 7.Zhou Q, Yang J, Wang W, Shao C, Hua X, Tang Y-D. The impact of the stress hyperglycemia ratio on mortality and rehospitalization rate in patients with acute decompensated heart failure and diabetes. Cardiovasc Diabetol 2023, 22(1). [DOI] [PMC free article] [PubMed]
- 8.Yang J, Zheng Y, Li C, Gao J, Meng X, Zhang K, Wang W, Shao C, Tang Y-D. The impact of the stress hyperglycemia ratio on short-term and long-term poor prognosis in patients with Acute Coronary Syndrome: insight from a large cohort study in Asia. Diabetes Care. 2022;45(4):947–56. doi: 10.2337/dc21-1526. [DOI] [PubMed] [Google Scholar]
- 9.Baker EH, Janaway CH, Phillips BJ, Brennan AL, Baines DL, Wood DM, Jones PW. Hyperglycaemia is associated with poor outcomes in patients admitted to hospital with acute exacerbations of chronic obstructive pulmonary disease. Thorax. 2006;61(4):284–9. doi: 10.1136/thx.2005.051029. [DOI] [PMC free article] [PubMed] [Google Scholar]
- 10.Zhang C, Shen H-C, Liang W-R, Ning M, Wang Z-X, Chen Y, Su W, Guo T-T, Hu K, Liu Y-W. Relationship between stress hyperglycemia ratio and allcause mortality in critically ill patients: results from the MIMIC-IV database. Front Endocrinol 2023, 14. [DOI] [PMC free article] [PubMed]
- 11.Roberts GW, Quinn SJ, Valentine N, Alhawassi T, O’Dea H, Stranks SN, Burt MG, Doogue MP. Relative hyperglycemia, a marker of critical illness: introducing the stress hyperglycemia ratio. J Clin Endocrinol Metabolism. 2015;100(12):4490–7. doi: 10.1210/jc.2015-2660. [DOI] [PubMed] [Google Scholar]
- 12.Song Y, Cui K, Yang M, Song C, Yin D, Dong Q, Gao Y, Dou K. High triglyceride-glucose index and stress hyperglycemia ratio as predictors of adverse cardiac events in patients with coronary chronic total occlusion: a large-scale prospective cohort study. Cardiovasc Diabetol 2023, 22(1). [DOI] [PMC free article] [PubMed]
- 13.Cui K, Fu R, Yang J, Xu H, Yin D, Song W, Wang H, Zhu C, Feng L, Wang Z et al. The impact of fasting stress hyperglycemia ratio, fasting plasma glucose and hemoglobin A1c on in-hospital mortality in patients with and without diabetes: findings from the China acute myocardial infarction registry. Cardiovasc Diabetol 2023, 22(1). [DOI] [PMC free article] [PubMed]
- 14.Karakasis P, Stalikas N, Patoulias D, Pamporis K, Karagiannidis E, Sagris M, Stachteas P, Bougioukas KI, Anastasiou V, Daios S et al. Prognostic value of stress hyperglycemia ratio in patients with acute myocardial infarction: a systematic review with bayesian and frequentist meta-analysis. Trends Cardiovasc Med 2023. [DOI] [PubMed]
- 15.Zou X, Zhou X, Zhu Z, Ji L. Novel subgroups of patients with adult-onset diabetes in Chinese and US populations. Lancet Diabetes Endocrinol. 2019;7(1):9–11. doi: 10.1016/S2213-8587(18)30316-4. [DOI] [PubMed] [Google Scholar]
- 16.NHANES Survey Methods and Analytic Guidelines. https://www.ncdcgov/nchs/nhanes/analyticguidelinesaspx 2023.
- 17.Sia C-H, Chan MH-H, Zheng H, Ko J, Ho AF-W, Chong J, Foo D, Foo L-L, Lim PZ-Y, Liew BW et al. Optimal glucose, HbA1c, glucose-HbA1c ratio and stress-hyperglycaemia ratio cut-off values for predicting 1-year mortality in diabetic and non-diabetic acute myocardial infarction patients. Cardiovasc Diabetol 2021, 20(1). [DOI] [PMC free article] [PubMed]
- 18.Lin Z, Liang X, Zhang Y, Dai Y, Zeng L, Chen W, Kong S, He P, Duan C, Liu Y. Positive association between stress hyperglycemia ratio and pulmonary infection in patients with ST-segment elevation myocardial infarction undergoing percutaneous coronary intervention. Cardiovasc Diabetol 2023, 22(1). [DOI] [PMC free article] [PubMed]
- 19.Zhang Y, Song H, Bai J, Xiu J, Wu G, Zhang L, Wu Y, Qu Y. Association between the stress hyperglycemia ratio and severity of coronary artery disease under different glucose metabolic states. Cardiovasc Diabetol 2023, 22(1). [DOI] [PMC free article] [PubMed]
- 20.Algül E, Özbeyaz NB, Şahan HF, Aydınyılmaz F, Sunman H, Tulmaç M. Stress hyperglycemia ratio is Associated with high Thrombus burden in patients with Acute Coronary Syndrome. Angiology 2023:000331972311670. [DOI] [PubMed]
- 21.Liu J, Zhou Y, Huang H, Liu R, Kang Y, Zhu T, Wu J, Gao Y, Li Y, Wang C et al. Impact of stress hyperglycemia ratio on mortality in patients with critical acute myocardial infarction: insight from American MIMIC-IV and the Chinese CIN-II study. Cardiovasc Diabetol 2023, 22(1). [DOI] [PMC free article] [PubMed]
- 22.Xu W, Yang Y-m, Zhu J, Wu S, Wang J, Zhang H, Shao X. -h: predictive value of the stress hyperglycemia ratio in patients with acute ST-segment elevation myocardial infarction: insights from a multi-center observational study. Cardiovasc Diabetol 2022, 21(1). [DOI] [PMC free article] [PubMed]
- 23.Paolisso P, Bergamaschi L, Rambaldi P, Gatta G, Foà A, Angeli F, Fabrizio M, Casella G, Barbieri M, Galiè N, et al. Impact of admission hyperglycemia on heart failure events and mortality in patients with Takotsubo Syndrome at Long-Term Follow-up: data from HIGH-GLUCOTAKO investigators. Diabetes Care. 2021;44(9):2158–61. doi: 10.2337/dc21-0433. [DOI] [PubMed] [Google Scholar]
- 24.SHAMOON HARRY, HENDLER ROSA. Synergistic interactions among Antiinsulin Hormones in the pathogenesis of stress hyperglycemia in humans. Clin Endocrinol Metab. 1981;52:1235–981. doi: 10.1210/jcem-52-6-1235. [DOI] [PubMed] [Google Scholar]
- 25.Dünser MW, Hasibeder WR. Sympathetic overstimulation during critical illness: adverse effects of adrenergic stress. J Intensive Care Med. 2009;24(5):293–316. doi: 10.1177/0885066609340519. [DOI] [PubMed] [Google Scholar]
- 26.Asfar P, Hauser B, Radermacher P, Matejovic M. Catecholamines and Vasopressin during critical illness. Crit Care Clin. 2006;22(1):131–49. doi: 10.1016/j.ccc.2005.08.007. [DOI] [PubMed] [Google Scholar]
- 27.Monnier Louis M, Emilie G, Christine M, Francoise V, Laetitia Cristol Jean-Paul, Colette Claude: activation of oxidative stress by acute glucose fluctuations compared with sustained chronic hyperglycemiain with type 2 diabetes. JAMA. 2006;295:1681–7. doi: 10.1001/jama.295.14.1681. [DOI] [PubMed] [Google Scholar]
- 28.Dungan Kathleen M, Braithwaite Susan S, Jean-Charles P. Stress hyperglycaemia. Lancet. 2009;373:1798–807. doi: 10.1016/S0140-6736(09)60553-5. [DOI] [PMC free article] [PubMed] [Google Scholar]
- 29.Yamamoto Y, Yamamoto H. RAGE-Mediated inflammation, type 2 diabetes, and Diabetic Vascular complication. Front Endocrinol 2013, 4. [DOI] [PMC free article] [PubMed]
- 30.Lemkes BA, Hermanides J, Devries JH, Holleman F, Meijers JCM, Hoekstra JBL. Hyperglycemia: a prothrombotic factor? J Thromb Haemost. 2010;8(8):1663–9. doi: 10.1111/j.1538-7836.2010.03910.x. [DOI] [PubMed] [Google Scholar]
- 31.CEFALU WILLIAMT, DAVID J. SCHNEIDER HAROLDE, CARLSON, PHYLLIS MIGDAL, LEONIL GAN LIM MERIAMP, IZON, ANOOP KAPOOR, AUDREY BELL-FARROW JAMESG, TERRY, BURTON E SOBEL: Effect of Combination Glipizide GITS/Metformin on fibrinolytic and metabolic parameters in poorly controlled type 2 Diabetic subjects. Diabetes Care. 2002;25:2123–8. doi: 10.2337/diacare.25.12.2123. [DOI] [PubMed] [Google Scholar]
- 32.Ferroni P, Basili S, Falco A, Davì G. Platelet activation in type 2 diabetes mellitus. J Thromb Haemost. 2004;2(8):1282–91. doi: 10.1111/j.1538-7836.2004.00836.x. [DOI] [PubMed] [Google Scholar]
- 33.AARON I. VINIK, TOMRIS ERBAS, TAE SUN PARK, ROGER NOLAN. PITTENGER: platelet dysfunction in type 2 diabetes. Diabetes Care. 2001;24:1476–85. doi: 10.2337/diacare.24.8.1476. [DOI] [PubMed] [Google Scholar]
- 34.CHARLES KODNER LA, KATHERINE POHLGEERS Glucose management in hospitalized patients. Am Fam Physician. 2017;96(10):648–54. [PubMed] [Google Scholar]
- 35.Sophia Z, Anushka P, John C, de Galan E, Bastiaan L, Qiang MB, Laurent B et al. Woodward Mark, Ninomiya Toshiharu, Neal Bruce : Severe Hypoglycemia and Risks of Vascular Events and Death. N Engl J Med 2010, 363:1410–1418. [DOI] [PubMed]
- 36.Zinman B, Marso SP, Christiansen E, Calanna S, Rasmussen S, Buse JB. Hypoglycemia, Cardiovascular outcomes, and death: the LEADER experience. Diabetes Care. 2018;41(8):1783–91. doi: 10.2337/dc17-2677. [DOI] [PubMed] [Google Scholar]
- 37.Bonds DE, Miller ME, Bergenstal RM, Buse JB, Byington RP, Cutler JA, Dudl RJ, Ismail-Beigi F, Kimel AR, Hoogwerf B, et al. The association between symptomatic, severe hypoglycaemia and mortality in type 2 diabetes: retrospective epidemiological analysis of the ACCORD study. BMJ. 2010;340(jan08 1):b4909–9. doi: 10.1136/bmj.b4909. [DOI] [PMC free article] [PubMed] [Google Scholar]
- 38.Cha S-A, Yun J-S, Lim T-S, Hwang S, Yim E-J, Song K-H, Yoo K-D, Park Y-M, Ahn Y-B, Ko S-H. Severe Hypoglycemia and Cardiovascular or all-cause mortality in patients with type 2 diabetes. Diabetes Metabolism J. 2016;40(3):202. doi: 10.4093/dmj.2016.40.3.202. [DOI] [PMC free article] [PubMed] [Google Scholar]
- 39.Qu F, Shi Q, Wang Y, Shen Y, Zhou K, Pearson ER, Li S. Visit-to-visit glycated hemoglobin A1c variability in adults with type 2 diabetes: a systematic review and meta-analysis. Chin Med J. 2022;135(19):2294–300. doi: 10.1097/CM9.0000000000002073. [DOI] [PMC free article] [PubMed] [Google Scholar]
- 40.Fadini GP. Perturbation of glucose homeostasis during Acute illness: stress hyperglycemia and relative hypoglycemia. Diabetes Care. 2022;45(4):769–71. doi: 10.2337/dci21-0069. [DOI] [PubMed] [Google Scholar]
- 41.Kahal H, Halama A, Aburima A, Bhagwat AM, Butler AE, Graumann J, Suhre K, Sathyapalan T, Atkin SL. Effect of induced hypoglycemia on inflammation and oxidative stress in type 2 diabetes and control subjects. Sci Rep 2020, 10(1). [DOI] [PMC free article] [PubMed]
- 42.Yamamoto K, Ito T, Nagasato T, Shinnakasu A, Kurano M, Arimura A, Arimura H, Hashiguchi H, Deguchi T, Maruyama I et al. Effects of glycemic control and hypoglycemia on Thrombus formation assessed using automated microchip flow chamber system: an exploratory observational study. Thromb J 2019, 17(1). [DOI] [PMC free article] [PubMed]
- 43.Chow E, Bernjak A, Williams S, Fawdry RA, Hibbert S, Freeman J, Sheridan PJ, Heller SR. Risk of Cardiac Arrhythmias during hypoglycemia in patients with type 2 diabetes and Cardiovascular Risk. Diabetes. 2014;63(5):1738–47. doi: 10.2337/db13-0468. [DOI] [PubMed] [Google Scholar]
- 44.Wright RJ, Frier BM. Vascular disease and diabetes: is hypoglycaemia an aggravating factor? Diab/Metab Res Rev. 2008;24(5):353–63. doi: 10.1002/dmrr.865. [DOI] [PubMed] [Google Scholar]
Associated Data
This section collects any data citations, data availability statements, or supplementary materials included in this article.
Data Availability Statement
The datasets presented in this article are not readily available because research data is confidential. Requests to access the datasets should be directed to doctortangmin@yeah.net.




