Abstract
Neurosteroids (NS) are a class of steroids that are synthesized within the central nervous system (CNS). Various NS can either enhance or inhibit CNS excitability and they play important biological roles in brain development, brain function and as mediators of mood. One class of NS, 3α-hydroxy-pregnane steroids such as allopregnanolone (AlloP) or pregnanolone (Preg), inhibits neuronal excitability; these endogenous NS and their analogues have been therapeutically applied as anti-depressants, anti-epileptics and general anesthetics. While NS have many favorable properties as anesthetics (e.g. rapid onset, rapid recovery, minimal cardiorespiratory depression, neuroprotection), they are not currently in clinical use, largely due to problems with formulation. Recent advances in understanding NS mechanisms of action and improved formulations have rekindled interest in development of NS as sedatives and anesthetics. In this review, the synthesis of NS, and their mechanism of action will be reviewed with specific emphasis on their binding sites and actions on γ-aminobutyric acid type A (GABAA) receptors. The potential advantages of NS analogues as sedative and anesthetic agents will be discussed.
Keywords: Neurosteroids, GABAA receptor, Alphaxalone, Allopregnanolone
Introduction
In 1941, Hans Selye demonstrated that intraperitoneal administration of selected pregnane and androstane steroids produced sedation and anesthesia in rats [1]. About 40 years later, in the 1980s, investigations by Baulieu and colleagues demonstrated that bioactive steroids similar to those that produced anesthesia were synthesized from cholesterol in the CNS, and termed these endogenous steroids as “neurosteroids” [2]. Subsequently, NS were suggested to play important roles in both nervous system development and behavioral modulation [3]. The finding that endogenously produced steroids could produce anesthesia sparked interest in both the endogenous role of these steroids in behavior and their therapeutic potential as anesthetic agents. An active search for a clinically applicable steroid anesthetic (see “Neurosteroids as anesthetics”) resulted in the introduction of several NS analogue anesthetics into clinical practice, culminating with Althesin (Glaxo, London, UK), which was widely used as an intravenous anesthetic in the 1970’s. Althesin was ultimately removed from clinical practice because of toxicity resulting from the excipient used in its formulation, and while it is still used as a veterinary anesthetic, it has not been replaced with a newer formulation or analogue.
While anesthetic NS were withdrawn from clinical use, research over the ensuing decades has illuminated some of the targets and mechanisms of NS action and introduced new analogues and formulations. This work has led to the clinical introduction of NS anti-depressants and anti-epileptics, to exploration of their use as cognitive enhancers and therapeutics for neurodegenerative disorders (Table 1) and to renewed interest in NS as general anesthetics. Brexanolone, a new formulation of the NS allopregnanolone (AlloP (Fig. 1)), has demonstrated efficacy for treatment of postpartum depression (PPD) [4, 5] and was the first drug approved by the FDA for treatment of PPD (2019). Ganaxolone, a 3β-methylated analogue of AlloP, was approved by the FDA for treatment of seizures associated with CDKL5 deficiency disorder in 2022, making it the first NS to be approved for treatment of epilepsy [6]. However, NS have not been clinically reintroduced as anesthetics, in part because propofol served as an adequate replacement. NS do have potential advantages over current clinical anesthetics, notably their high therapeutic index (safety) and neuroprotective effects [7–9]. This review serves as an introduction to the NS field, describing the pathways of NS biosynthesis, their molecular targets and known binding sites and analyzing the historical experience with clinical use of NS as anesthetics with an emphasis on their development as anesthetics with significant advantages over currently available agents.
Table 1.
Therapeutic targets of neurosteroids
| Therapeutic target | Neurosteroids | References |
|---|---|---|
| Anxiety and depression | AlloP, Brexanolone | [4, 5, 139, 140] |
| Sedation/Anesthesia | AlloP, Progesterone, Alphaxalone | [1, 7–9, 45, 118, 141] |
| Epilepsy | AlloP, THDOC, Ganaxolone | [6, 61, 142, 143] |
| Neurodegenerative disorder | ||
| Alzheimer’s disease | AlloP, PS, DHEAS | [144–148] |
| Parkinson’s disease | AlloP | [149–151] |
| Multiple sclerosis | AlloP, DHEA, 17β-estradiol, estriol | [152–155] |
| Memory enhancement | PS, DHEAS | [156–158] |
| Neuropathic pain | AlloP | [159–161] |
Fig. 1.
Chemical structure of cholesterol, allopregnanolone, progesterone and the synthetic anesthetic neurosteroids (alphaxalone and hydroxydione). Cholesterol has 27 carbons with a hydrocarbon (isooctyl) tail, a central steroid nucleus composed of four hydrocarbon rings (A, B, C, and D), and a hydroxyl group. The numbering of the carbon atoms indicates their position on the steroid ring or hydrocarbon tail. C3 is a carbon located on the A ring (circled), and 3-OH indicates that the hydroxyl group is connected to C3. The stereochemical configuration of the groups at the 3, 17, 18, 19, and 21 positions are shown by a dashed wedge (α-configuration) or a solid wedge (β-configuration). Note that cholesterol has a 3β-OH, whereas allopregnanolone and alphaxalone have 3α-OH groups. Progesterone and hydroxydione have ketone groups at C3
Biosynthesis of neurosteroids
Steroids such as pregnenolone, dehydroepiandrosterone (DHEA), and their sulfated metabolites are present in higher concentrations in rat brain than in plasma [10, 11]. These steroids persist in the nervous system after gonadectomy and/or adrenalectomy, indicating that they are synthesized in the brain [12]. The endogenous synthesis of steroids in the nervous system has been confirmed in human brains [13, 14]. Steroids primarily synthesized by central nervous system tissue are referred to as “neurosteroids” to differentiate them from steroids derived from classical steroidogenic organs such as gonads, adrenals, and placenta [15].
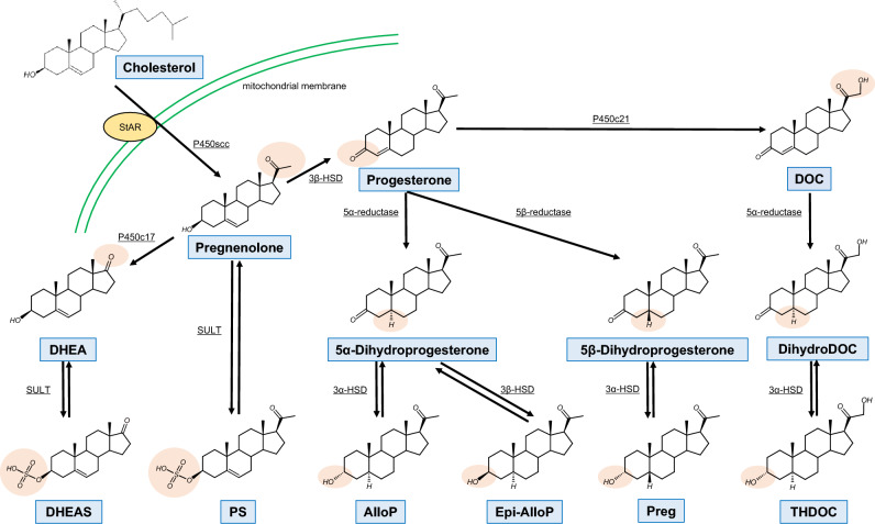
All steroids, including NS, are produced from cholesterol via several steps (Fig. 2). Cholesterol is a 27-carbon compound with a central polycyclic sterol structure composed of four hydrocarbon rings (A, B, C and D), a hydroxyl group attached at the 3-carbon on the A-ring and an 8-carbon isooctyl tail attached at the 17-carbon on the D-ring (Fig. 1). The first step of steroidogenesis begins with the transport of cholesterol into the mitochondria [16, 17]. Mitochondria are the critical site of neurosteroidogenesis, which involves multiple cytochrome P450 enzymes [18]. In this first step, the steroidogenic acute regulatory protein (StAR) on the outer mitochondrial membrane (OMM) plays an important role in transporting cholesterol into the mitochondrion [17, 19]. Other cholesterol transport proteins, such as translocator protein (TSPO) [20, 21] may also contribute to cholesterol transport across the OMM. A second step occurs on the inner mitochondrial membrane, where the isooctyl tail of cholesterol is cleaved to produce pregnenolone (3β-hydroxypregn-5-en-20-one). This reaction is catalyzed by P450 side-chain cleavage (P450scc) via a series of three distinct chemical reactions: 20α-hydroxylation, 22-hydroxylation, and scission of the C20–C22 carbon bond [22]. Homozygous deletion of the gene for P450scc eliminates all steroidogenesis [23, 24], confirming the critical role of this single enzyme [25].
Fig. 2.
Biosynthetic pathways of neurosteroids. Abbreviations: 3α-HSD: 3α hydroxysteroid dehydrogenase, 3β-HSD: 3β hydroxysteroid dehydrogenase, AlloP: allopregnanolone, DHEA: dehydroepiandrosterone, DHEAS: dehydroepiandrosterone sulfate, DOC: deoxycorticosterone, Epi-AlloP: epi-allopregnanolone, P450scc: P450 side-chain cleavage, Preg: pregnanolone, PS: pregnenolone sulfate, StAR: steroidogenic acute regulatory protein, SULT: sulfotransferase, THDOC: tetrahydrodeoxycorticosterone
Pregnenolone can be converted either to progesterone (Figs. 1 and 2) by the enzyme 3β-hydroxysteroid dehydrogenase (3β-HSD), or to DHEA through a series of reactions catalyzed by P450c17. Progesterone crosses into the cytosol via passive diffusion across the OMM [17]. From there, it can be either secreted as a hormone (e.g. in the ovaries) or further metabolized into pregnane NS, such as 3α-hydroxy-5α-pregnan-20-one (AlloP), 3α-hydroxy-5β-pregnan-20-one (Preg) and 3α,21-dihydroxy-5β-pregnan-20-one (THDOC). Specifically, progesterone is converted to 5α-dihydroprogesterone or 5β-dihydroprogesterone by the enzymes steroid 5α-reductase or 5β-reductase, respectively. Subsequently, 5α-dihydroprogesterone is converted to AlloP by 3α-hydroxysteroid dehydrogenase (3α-HSD) or epiallopregnanolone (Epi-AlloP, 3β-hydroxy-5β-pregnan-20-one) by 3β-HSD. Similarly, 5β-dihydroprogesterone is transformed to Preg by 3α-HSD. Progesterone can also be hydroxylated at C21 by P450c21 to yield 11-deoxycorticosterone (DOC), followed by conversion to THDOC by 3α-HSD. A critical point in understanding NS pharmacology is that the 3α- and 3β-HSD reactions are reversible, so that exogenously applied 3α and 3β-OH steroids can be interconverted in vivo.
Pregnenolone and DHEA can also be converted to pregnenolone sulfate (PS) and dehydroepiandrosterone sulfate (DHEAS) by cytosolic sulfotransferase enzymes (SULT). The sulfation reactions are reversible, and steroid sulfates can be desulfated by steroid sulfatase. In addition to their synthesis in the CNS, some steroid precursors, such as deoxycorticosterone, are synthesized in the gonads, adrenal gland, and fetoplacental unit. These steroid precursors synthesized in the periphery can cross the blood–brain barrier due to their lipophilic structures and be transformed to NS.
AlloP, Preg, and THDOC are positive allosteric modulatory neurosteroids (PAM-NS) of GABAA receptors, potentiating the GABA-induced gating of chloride currents [26–29]. In contrast, Epi-AlloP, PS and DHEAS are negative allosteric modulatory neurosteroids (NAM-NS) of GABAA receptors and inhibit GABA-gated currents [30–32]. Details are discussed later.
Neurosteroids as anesthetics
(1) Development of neurosteroid anesthetics
Selye demonstrated that progesterone and DOC produce anesthesia in rodents. The anesthetic effect of these steroids was greater in female than in male animals and the onset of anesthesia was slow [1]. Both of these points suggest that the active anesthetic molecule is a metabolite of the administered steroids. While the active metabolite was not yet identified and the molecular target of action was unknown, substantial effort was directed at identifying a safe and efficacious anesthetic steroid for clinical usage. The first challenge was to identify steroid anesthetics that were sufficiently soluble for parenteral use. In 1955, P’an reported that hydroxydione (21-hydroxy-5beta-pregnane-3,20-dione) (Fig. 1), a water-soluble ester of pregnanedione, was an effective anesthetic. While the onset of anesthesia was delayed in comparison to thiopental sodium, it had a higher therapeutic index (LD50/ED50) and was introduced as an anesthetic for humans [33]. Undesirable side effects including pain on injection, prolonged onset, slow recovery and thrombophlebitis led to the gradual disappearance of hydroxydione from clinical practice [34].
Subsequent research led to the introduction of alphaxalone (3α-hydroxy-5α-pregnane-11,20 dione) (Fig. 1) as an intravenous anesthetic in the 1970s. Alphaxalone is a 3α-OH analogue of progesterone that is devoid of progestational, estrogenic, glucocorticoid, mineralocorticoid and thermolytic activity [35]. Unlike hydroxydione, it produces rapid onset of anesthesia. This is consistent with the demonstration that 3α-OH steroids are the active anesthetic compounds [36, 37] and that the slow anesthetic onset of 3-keto steroids such as hydroxydione, progesterone or pregnanedione is a consequence of their metabolism to the active 3α-hydroxy derivative. For example, metabolism of progesterone to the 3α-OH PAM-NS, AlloP, (see “Biosynthesis of neurosteroids”) accounts for the delayed onset of anesthesia observed in Selye’s original experiments. This may also explain the preferential anesthetic effect of progesterone in female animals since females have higher levels of the critical enzyme 3α-HSD [38]. Alphaxalone was marketed as Althesin™ and was extensively used as a clinical anesthetic from 1972 to 1984. Alphaxalone has poor water solubility and was formulated as a mixture of alphaxalone and its 21-acetoxy derivative, alfadolone acetate, dissolved in a 20% solution of polyoxymethylene castor oil surfactant (Cremophor™ EL, BASF, Ludwigshafen, Germany). Althesin was a preferred anesthetic agent because of its rapid onset and offset of action, absence of irritating effects on blood vessels, and minor cardiovascular and respiratory effects [34, 39]. However, it was ultimately withdrawn from clinical use because Cremophor produced infrequent but serious anaphylactoid reactions [40]. Minaxolone was subsequently developed as a water-soluble NS anesthetic [41]. While it produced rapid onset and recovery from anesthesia and less depression of the cardio-respiratory system than Althesin, minaxolone was never used clinically, due to the finding of possible carcinogenicity in rats.
(2) A new neurosteroid anesthetic: Phaxan
The clinical experience with hydroxydione and Althesin highlight both the advantages and disadvantages of NS anesthetics. A major limitation of earlier NS anesthetics was formulation. Phaxan is a new formulation of alphaxalone using a cyclodextrin excipient (13% 7-sulfobutylether-β-cyclodextrin; Captisol™), rather than Cremophor. A study comparing Phaxan, Althesin, and propofol in rats demonstrated that Phaxan caused anesthesia with faster onset and recovery than propofol and had a therapeutic index significantly greater than either Althesin or propofol [7]. Phaxan also produced significantly less cardiovascular depression than propofol. These data indicate that a cyclodextrin formulation avoids the toxicity of Cremophor, and provides enhanced safety, perhaps by limiting the maximal free concentration of drug in plasma.
Phaxan has also been tested in humans. A randomized, double-blind, phase 1c human study showed similar recovery times, but significantly less cardiovascular depression with Phaxan than propofol. Furthermore, airway obstruction requiring intervention was observed in 9 of 12 subjects in the propofol group, but none in the Phaxan group. The mechanisms by which Phaxan and propofol produce significant differences in the cardiovascular and respiratory systems at equal hypnotic dose may involve different off-target actions of the two drugs. Alternatively, Phaxan and propofol might interact with different GABAA receptor subunit combinations or proteoforms.
The functional effect of neurosteroids on the GABAA receptors
While NS were used as clinical anesthetics from 1955 to 1984, their pharmacological mechanism of anesthetic action was unknown. In the early 1980s, Harrison and Simmonds showed that alphaxalone and pentobarbitone both produce enhancement of GABAA receptor currents [42], which is thought to be their mechanism of anesthetic action. NS have subsequently been shown to have specific interactions with a variety of proteins including GABAA receptors, glycine receptors, tubulin, voltage-dependent anion channel-1 and -2 (VDAC), liver X receptors (LXR), pregnane X receptors (PXR) and T-type Ca2+ channels. It has recently been suggested that 3β-OH NS may be anesthetics that act via T-type Ca2+ channels, rather than GABAA receptors [43, 44]. The effect of these agents is slow in onset and is more pronounced in female animals, reminiscent of the earlier work by Selye. It has subsequently been shown that the 3β-OH NS anesthetics are metabolized peripherally to 3α-OH NS which can act as GABA-ergic anesthetics [44]. Genetic knockout of T-type Ca2+ channels does produce some shift in NS anesthetic response, suggesting a possible minor contribution of these channels to NS anesthesia.
Additional evidence that GABAA receptors are a key target of NS anesthesia arises from their enantioselective actions. Wittmer et. al. showed that the 3α-OH, 5α-reduced NS, AlloP, potentiates GABAA currents and induces anesthesia in tadpoles and mice, whereas its enantiomer (ent-AlloP) has minimal effect on GABAA currents and does not produce anesthesia [45]. These data show that the actions of NS as GABAA receptor modulators and as anesthetics are correlated. Enantiomers of hydrophobic ligands have equal solubility in lipids and are equally effective at disrupting lipid bilayers. Thus, the demonstration of AlloP enantioselectivity also provides evidence that NS actions result from binding to specific protein sites rather than from a nonspecific interaction with the lipid bilayer. GABAA receptors are now thought to be the major target for NS anesthetic action. As background for a review of NS actions on GABAA receptors, we first provide a brief summary of GABAA receptor structure and function:
(1) Overview of GABAA receptors
GABAA receptors are the primary mediators of inhibitory neurotransmission in the CNS. They are members of the pentameric ligand-gated ion channel (pLGIC) superfamily, which includes nicotinic acetylcholine receptors, serotonin receptors, and glycine receptors. pLGICs consist of five subunits arranged around a central ion-conducting pore that increases its permeability to certain ions following neurotransmitter binding [46]. GABAA receptors are constituted from a family of 19 homologous subunit genes (α1–6, β1–3, γ1–3, δ, ε, θ, π, and σ1–3) [47, 48]. Although there are thousands of possible combinations of GABAA subunits, very few have been identified in situ [47]. GABAA receptors are usually composed of two α subunits, two copies of a single β subunit, and one additional subunit, such as γ, δ, or ε [47, 48] (Fig. 3a). The most abundant combination of subunits in the mammalian brain is α1β2γ2, which is estimated to account for 60% of all GABAA receptors [49, 50]. GABAA receptor isoforms differ in their regional expression throughout the nervous system, developmental expression, and even subcellular localization [51].
Fig. 3.
Model structures of GABAA receptor and neurosteroid binding sites. (a) Cryogenic-EM structure showing the side view and top view of GABAA receptor α1β3γ2 (PDB: 6I53). (b) α-subunits of GABAA receptor α1β3γ2 (PDB: 6I53) and pore. (c–e) X-ray crystallographic structures of GABAA receptor TMD intersubunit site with ligand. (c) GLIC-GABAA receptor—THDOC (PDB: 5OSB). (d) β3 ECD-α5 TMD GABAA receptor—Preg (PDB: 5O8F). (e) ELIC-GABAA receptor—alphaxalone (PDB: 6CDU). (f) GABAA receptor α1β2γ2—AlloP (PDB: 8SI9)
Each GABAA receptor subunit is composed of a large extracellular domain (ECD), a transmembrane domain (TMD) formed by four membrane-spanning helices (TM1–4), an intracellular domain (ICD) which contains a long intracellular loop between TM3 and TM4, and a short extracellular C terminus (Fig. 3a). Five subunits assemble in a circle around a pore formed by the TM2’s of each subunit, which functions as a chloride-selective ion channel. Binding sites for the activating ligand, GABA, are located at the interface between the ECDs of the β and α subunits [52, 53] (Fig. 3a). The portion of the GABA binding site containing the defined loops ‘A, B, and C’ is on the β subunit (designated as the ‘+’ or ‘principle’ subunit), while the loops ‘D, E, and F’ are on the α subunit (designated as the ‘−’ or ‘complementary’ subunit); the GABA binding site is described as the ‘β+/α−’ interface [47]. Interestingly, histamine selectively binds to the β–β interface acting as an agonist in β-homomeric receptors [54, 55] and extra-synaptic receptors in which there is a β–β interface [56]. Hence, GABAA receptors composed of various subunit combinations contain subunit interfaces that constitute distinct binding sites for GABA and histamine.
(2) Modulation of GABAA receptors
Presynaptically released GABA diffuses across the synaptic cleft and activates post-synaptic GABAA receptors. GABA binding leads to a series of conformational changes in GABAA receptors [57, 58]. First, GABA binding causes the closure of the β+/α− (binding site) interface and an anti-clockwise asymmetric rotation of all subunit ECDs, followed by a clockwise rotation of the TMD. This TMD movement tilts the TM2 helices, rotating the 9’ Leucine (this 9’ residue composes the gate responsible for opening and closing the pore, Fig. 3b) away from the pore. These conformational changes bring about pore opening and permit chloride ion (Cl−) flux. Notably, the direction of Cl− flow depends on the electrochemical gradient of Cl− [59, 60]. Immature neurons express high levels of Na–K–2Cl cotransporter isoform 1 (NKCC1) which mediates Cl− uptake and maintains high intracellular Cl− concentration. Therefore, GABAA receptor opening causes an efflux of Cl− and mediates depolarization. In mature neurons, NKCC1 is downregulated and replaced with K–Cl cotransporter isoform 2 (KCC2) [59, 60], which exports Cl− and keeps the intracellular Cl− concentration low. Thus, GABAA receptor opening leads to Cl− influx and causes hyperpolarization. This hyperpolarization prevents action potential generation by shunting the depolarization produced by excitatory neurotransmission.
αβγ-GABAA receptors are preferentially expressed in post-synaptic membranes. When GABA is released presynaptically, it rapidly reaches a high concentration in the synapse, maximally activating GABAA receptors. The concentration of GABA in the synaptic cleft decreases rapidly, due to binding to the receptor and diffusion and reuptake by membrane transporters [26, 61]. The synaptic current mediated by GABAA receptor rapidly decays due to the dual processes of desensitization (channel closing with GABA occupancy) and deactivation (channel closure due to GABA unbinding). This large, short-lived synaptic current is referred to as a phasic inhibitory current. Recent structural studies have provided some details regarding mechanisms of desensitization [57, 58, 62, 63]. In the desensitized state, unlike the resting or open state, the intracellular end of the pore (2ʹ and −2ʹ residues, Fig. 2b) is closed, preventing chloride flux. Desensitization is a negative feedback mechanism that prevents receptor overactivation in pathological states and decreases postsynaptic currents with consecutive synaptic neurotransmitter release [64, 65].
There are also extra-synaptic GABAA receptors located outside of the synapse on the neuronal plasma membrane, where they are exposed to low levels of GABA which leaks from the synapse [66]. Extra-synaptic receptors provide a persistent (non-desensitizing) conductance. These persistent currents are called tonic inhibitory currents and produce membrane hyperpolarization that serves to control neuronal excitability [66, 67]. Most extra-synaptic GABAA receptors contain δ subunits (rather than γ subunits) [66, 68], together with β2 or β3 and specific α subunit isoforms (often α4, α5, or α6). These combinations of subunits exhibit a high affinity to GABA and are activated with low concentrations of GABA [67, 69, 70]. These receptors are predominantly expressed in the hippocampus, thalamus, and cerebellum [70, 71]. GABAA receptors containing the α4 subunit are expressed in dentate gyrus granule cells and thalamic neurons, whereas receptors containing the α6 subunit present ubiquitously in cerebellar granule cells. In addition, α5 combines with γ subunits rather than δ in CA1/3 pyramidal cells [72–74].
(3) Neurosteroid modulation of GABAA receptors
NS such as AlloP, Preg, and THDOC activate GABAA receptors and are referred to as PAM-NS. At low concentrations, PAM-NS enhance the effect of GABA on GABAA receptor currents (referred to as potentiation) while at higher concentrations they can elicit GABAA currents in the absence of GABA (referred to as direct activation) [26–28]. Conversely, PS, DHEAS, and Epi-AlloP inhibit GABAA receptors and are referred to as NAM-NS [30, 31, 75].
Studies over the past twenty years have begun to reveal the mechanisms through which NS modulate GABAA receptor function. It has become clear that NS potentiation and direct activation of GABAA receptors are both the result of specific NS binding interactions with sites in the TMDs of the receptor protein [76–78]. This was initially demonstrated by site-directed mutagenesis studies in which the effect of amino acid substitutions in the TMDs of α1β2γ2 GABAA receptors on NS-mediated enhancement of GABAA currents was assessed [76, 79]. These studies identified several residues in the α1 and β2 subunits that were critical for NS action. Notably, mutations of residue Q241 (refers to the amino acid type of the residue and its number in the protein sequence) in TM1 of the α1 subunit markedly reduced the effects of PAM-NS. Subsequent X-ray crystallographic studies of homopentameric chimeric receptors in which the TMDs are all from α-subunits have shown that PAM-NS (Preg, THDOC, alphaxalone) bind between adjacent subunits forming a critical hydrogen bond between the 3α-OH group of the NS and residue Q241 (or 242) [80–82] (Fig. 3c–e). Recent Cryo-EM studies have demonstrated that in α1β2γ2 receptors [83], the PAM-NS, AlloP, selectively binds in the interface between the β2(+) and α1(−) subunits, forming a hydrogen bond with residue Q242 (Fig. 3f). Another cryo-EM study has demonstrated that the sulfated-NAM-NS, PS, has a unique site of action, binding within the ion channel pore, where it acts to block ion flux [83].
Photoaffinity labeling studies also show that PAM-NS bind in the interface between the β3(+) and α1(−) subunits [28, 84] and demonstrate that the enantioselectivity of AlloP results from differential binding to this site [85]. Photolabeling has identified additional intrasubunit NS binding sites contained within the TMDs of the α1 and β3 subunits [28]. Mutagenesis of residues in the α1-intrasubunit binding site shows that AlloP binding to this site potentiates GABA-elicited currents, albeit with less efficacy than binding to the β3(+)/α1(−) intersubunit site [86]. In contrast, AlloP binding to the β3-intrasubunit site inhibits GABA-elicited currents by promoting receptor desensitization [31]. Interestingly the 3β-OH NAM-NS, such as Epi-AlloP bind in the α1- and β3-intrasubunit sites but not in the β3( +)/α1(−) intersubunit site [31]. Epi-AlloP binding to either the α1- or β3-intrasubunit sites promotes desensitization, explaining its action as a NAM-NS. Collectively, these data demonstrate that there are multiple NS binding sites on the GABAA receptor, with overlapping subsets of sites for the 3α-OH and 3β-OH NS and a unique pore blocking site for the sulfated NS. These data are consistent with earlier findings that 3β-OH and sulfated NAM-NS are non-competitive inhibitors of PAM-NS action and that 3β-OH and sulfated NAM-NS act at distinct sites [26, 87]. These structural findings illustrate that small changes in NS structure can alter both the sites at which NS act and their functional effect on GABAA receptors, providing an opportunity for development of NS drugs with increased specificity.
Prospects for a neurosteroid anesthetic
While NS bind to different sites on the GABAA receptor than etomidate, propofol or barbiturates, they share a common mechanism of anesthetic action with these drugs, acting as positive allosteric modulators of GABAA function [88–91]. However, the side effect profile of NS is markedly different from the other intravenous anesthetics, suggesting major differences in off-target binding and or effect. For example, anesthetic doses of propofol produce respiratory and cardiovascular depression [92, 93], and prolonged high-dose infusion causes propofol infusion syndrome, a rare but fatal condition [94]. Although etomidate minimally perturbs cardiorespiratory function, it has a distinct off-target profile with adrenocortical suppression resulting from inhibition of the cytochrome P450 enzyme, 11β-hydroxylase [95, 96]. In contrast, NS elicit minimal cardiorespiratory depression and have beneficial off-target effects such as neuroprotective and anti-inflammatory actions [9, 97]. The beneficial effects of NS, coupled with minimal adverse effects, suggest that a NS scaffold provides an excellent basis for developing new anesthetics.
(1) Prevention of neurological complications
Peri-operative neurocognitive disorder (PND), traditionally described as post-operative delirium (POD) and postoperative cognitive dysfunction (POCD), is associated with increased post-operative complications, prolonged hospital stay, decreased quality of life and higher mortality [98–100]. Although the pathogenesis of PND remains unknown, neuroinflammation caused by surgical trauma or pain and manifest as over-activation of microglia is a proposed mechanism [101–103]. While it is unclear whether commonly used anesthetics directly cause or exacerbate neuroinflammation [104–107], there is substantial evidence that NS attenuate neuroinflammation. Indeed, NS are being developed as treatments for a variety of neurodegenerative disorders, based on their ability to regulate neuroinflammation (Table 1).
One mechanism through which NS might inhibit neuroinflammation is by activating microglial GABAA receptors and inhibiting inflammatory signaling [108]. However, other anesthetics also activate GABAA receptors and are not anti-inflammatory, suggesting different or additional targets. Indeed, ent-AlloP, which has minimal effect on GABAA currents, has been reported to attenuate neuroinflammation as effectively as AlloP [109]. There are several non-GABAergic molecular pathways through which neurosteroids have been shown to modulate neuroinflammation.
One pathway through which NS inhibit neuroinflammation is by stimulating the secretion of brain-derived neurotrophic factor (BDNF) [110, 111]. BDNF is a trophic factor involved in neuronal survival, regeneration, and synaptic function through its receptor, TrkB (129). BDNF and TrkB are expressed in microglia, and their upregulation attenuates microglial activation [112]. Thus, the levels of BDNF and TrkB in microglia are negatively correlated with neuroinflammation [113]. Furthermore, BDNF and TrkB expression decrease with age, suggesting an explanation for the increased incidence of PND in geriatric patients [98–100]. In neurodegenerative disease and brain injury, BDNF has also been reported as an important factor for neuroprotection [111, 114, 115]. NS activation of pregnane X receptor (PXR) has been suggested as a mechanism for increased BDNF secretion. PXR is an orphan nuclear receptor that is activated by pregnane and PXR activation enhances BDNF secretion [116]. AlloP and alphaxalone have been shown to both activate PXR and exert neuroprotective effects [109, 117]. Notably, in a human RCT comparing Phaxan, propofol, and sevoflurane in hip replacement surgery [118], patients in the Phaxan group exhibited better postoperative cognition accompanied by higher levels of plasma BDNF compared with propofol- and sevoflurane-treated patients.
NS can also inhibit neuroinflammation by stimulating autophagy. Autophagy is a process through which cells degrade and recycle cellular components and dysfunction of autophagy is associated with microglial activation and neurodegeneration [119–121]. AlloP has been shown to reduce neuroinflammation and neurodegeneration by activating autophagy [122]. Recent studies also indicate that NS can inhibit the innate immune system and microglial activation by inhibiting toll-like receptors (TLR) signaling [123]. TLRs are expressed in sentinel cells, including microglia, and are activated by pathogen-associated molecular patterns leading to the production of proinflammatory cytokines. Over-activation of TLRs has been associated with both depression and neurodegeneration [124, 125]. A recent study reported that surgical trauma activates TLRs, leading to neuroinflammation and PND [126]. While the precise mechanism(s) through which NS inhibit microglial activation and neuroinflammation is an active subject of investigation, the ability of NS to inhibit neuroinflammation indicates that a NS anesthetic may reduce the incidence and severity of PND observed with current anesthetics.
Anesthetic neurotoxicity in infants is also a serious clinical issue. While two large human studies [127, 128] have shown that a short duration of general anesthesia in infants and young children does not cause apparent developmental or persistent behavioral effects, there is substantial evidence that anesthetics cause neurotoxicity in the developing animal brain, leading to long-term learning and behavioral deficits [129–131]. Thus, concern remains that prolonged or repeated exposure to anesthetics may produce long-term behavioral effects in infants. Unlike other anesthetics, NS are not associated with neurotoxicity when administered to neonatal animals. In a study comparing the effects of NS and propofol anesthesia in neonatal mice, propofol produced significant neuronal apoptosis, whereas alphaxalone did not (9). Alphaxolone has also been reported to attenuate the neuronal injury caused by isoflurane administration in fetal and neonatal rats [132]. It is postulated that anesthetic GABAA receptor activation and/or NMDA receptor inhibition causes neuronal apoptosis [130, 133]. Since propofol and PAM-NS both produce anesthesia by enhancing GABAA receptors, their divergent effects on neonatal neurotoxicity are likely mediated by an off-target neuroprotective effect of NS. In this regard, there may be overlapping mechanisms between the protective effects of NS in the developing brain and the anti-neuroinflammatory effects of NS discussed above [134, 135]. An alternative explanation for the divergent neuroprotective effects of NS and propofol in neonatal animals has also been postulated. In their study comparing alphaxalone and propofol, Tesic et. al. observed that alphaxalone, but not propofol, reduced presynaptic GABA release [9]. They hypothesized that NS may thus prevent excessive activation of GABAA receptors and prevent neurotoxicity. While it remains mechanistically unclear how NS protect the neonatal and adult brain from injury, their neuroprotective effects provide a strong basis for development and use of a NS anesthetic.
(2) Anesthetic antagonists and partial agonists
An agent that antagonizes NS action could be useful as a reversal agent for a NS anesthetic and as a research probe to understand the effects of endogenous NS on behavior and mood. NS have more complex structures than propofol or barbiturates, allowing synthesis of a multitude of analogues each assuming a unique pose in its GABAA receptor binding site. Therefore, it may be possible to design analogues that are either general NS antagonists, or that bind to and/or act at specific NS binding sites on GABAA receptors. One such compound, (3α,5α)-17-phenylandrost-16-en-3-ol (17PA), has been synthesized and tested [136]. 17-PA antagonizes the positive allosteric effects of AlloP and other 3α5α-OH PAM-NS as well as their anesthetic actions in tadpoles and rats [137]. The antagonist actions of 17-PA are NS specific and do not affect barbiturate or benzodiazepine action. 17-PA is, however, a low-affinity antagonist and shows a perplexing preferential antagonism of 3α5α-OH vs 3α5β-OH NS. Nonetheless, it demonstrates the feasibility of developing an anesthetic NS antagonist.
Another area of clinical need is for agents that can produce a maximal level of sedation or depth of anesthesia, regardless of the dose infused. This type of agent would be particularly useful for safely providing moderate or deep sedation without risk of inadvertent general anesthesia or overdose. In principle, this could be accomplished using an anesthetic analogue that maximally increases GABAergic currents to a lesser extent than the parent compound; this is referred to as a partial agonist. There are numerous examples of NS that are partial GABAA receptor agonists. For example, various pregnanediols can enhance GABAergic currents to varying degrees [138]. The partial agonist effects of NS may be explained either by varying efficacy, or selective action at a subset of NS binding sites. NS present a particularly attractive for developing partial agonists because of their favorable off-target profile and because of the existence of multiple functional binding sites on the GABAA receptor.
Conclusion
NS bind to specific sites on GABAA receptors, thus modulating inhibitory signaling in the nervous system. Endogenous NS mediate changes in mood and behavior, whereas exogenously administered NS act as general anesthetics. NS have a favorable profile of off-target effects compared to other parenteral anesthetics, causing minimal cardiovascular or respiratory depression while providing anti-inflammatory and neuroprotective actions. This favorable adverse effect profile renders NS an excellent scaffold for development of anesthetic agents to fill unmet clinical needs. Multiple functional binding sites for NS have been identified on the GABAA receptor. Developing site-specific NS and/or NS varying in efficacy is an attractive approach for developing agents that can produce deep sedation without anesthesia. Development of a high affinity NS with minimal efficacy as a GABAA receptor PAM is also an avenue for developing an antagonist (reversal agent) for NS-anesthetics. Given all of these factors, NS provide a promising scaffold for the development of anesthetics with improved safety and efficacy.
Funding
This work was supported by grants from the National Institutes of Health (R01GM108799 and R35GM149287) to ASE and by the Taylor Family Institute for Innovative Psychiatry.
Declarations
Conflict of interest
The authors declared no conflict of interest.
Footnotes
Publisher's Note
Springer Nature remains neutral with regard to jurisdictional claims in published maps and institutional affiliations.
References
- 1.Selye H. Anesthetic Effect of Steroid Hormones. Proc Soc Exp Biol Med. 1941;46:116–121. doi: 10.3181/00379727-46-11907. [DOI] [Google Scholar]
- 2.Baulieu EE, Robel P. Neurosteroids: a new brain function? J Steroid Biochem Mol Biol. 1990;37(3):395–403. doi: 10.1016/0960-0760(90)90490-C. [DOI] [PubMed] [Google Scholar]
- 3.Baulieu EE. Neurosteroids: a novel function of the brain. Psychoneuroendocrinology. 1998;23(8):963–987. doi: 10.1016/S0306-4530(98)00071-7. [DOI] [PubMed] [Google Scholar]
- 4.Kanes S, Colquhoun H, Gunduz-Bruce H, Raines S, Arnold R, Schacterle A, Doherty J, Epperson CN, Deligiannidis KM, Riesenberg R, Hoffmann E, Rubinow D, Jonas J, Paul S, Meltzer-Brody S. Brexanolone (SAGE-547 injection) in post-partum depression: a randomised controlled trial. Lancet. 2017;390(10093):480–489. doi: 10.1016/S0140-6736(17)31264-3. [DOI] [PubMed] [Google Scholar]
- 5.Meltzer-Brody S, Colquhoun H, Riesenberg R, Epperson CN, Deligiannidis KM, Rubinow DR, Li H, Sankoh AJ, Clemson C, Schacterle A, Jonas J, Kanes S. Brexanolone injection in post-partum depression: two multicentre, doubleblind, randomised, placebo-controlled, phase 3 trials. Lancet. 2018;392(10152):1058–1070. doi: 10.1016/S0140-6736(18)31551-4. [DOI] [PubMed] [Google Scholar]
- 6.Knight EMP, Amin S, Bahi-Buisson N, Benke TA, Cross JH, Demarest ST, Olson HE, Specchio N, Fleming TR, Aimetti AA, Gasior M, Devinsky O. Marigold Trial Group. Safety and efficacy of ganaxolone in patients with CDKL5 deficiency disorder: results from the double-blind phase of a randomised, placebo-controlled, phase 3 trial. Lancet Neurol. 2022;21(5):417–427. doi: 10.1016/S1474-4422(22)00077-1. [DOI] [PubMed] [Google Scholar]
- 7.Goodchild CS, Serrao JM, Kolosov A, Boyd BJ. Alphaxalone reformulated: a water-soluble intravenous anesthetic preparation in sulfobutyl-ether-β-cyclodextrin. Anesth Analg. 2015;120(5):1025–1031. doi: 10.1213/ANE.0000000000000559. [DOI] [PubMed] [Google Scholar]
- 8.Monagle J, Siu L, Worrell J, Goodchild CS, Serrao JM. A Phase 1c trial comparing the efficacy and safety of a new aqueous formulation of alphaxalone with propofol. Anesth Analg. 2015;121(4):914–924. doi: 10.1213/ANE.0000000000000856. [DOI] [PMC free article] [PubMed] [Google Scholar]
- 9.Tesic V, Joksimovic SM, Quillinan N, Krishnan K, Covey DF, Todorovic SM, Jevtovic-Todorovic V. Neuroactive steroids alphaxalone and CDNC24 are effective hypnotics and potentiators of GABA(A) currents, but are not neurotoxic to the developing rat brain. Br J Anaesth. 2020;124(5):603–613. doi: 10.1016/j.bja.2020.01.013. [DOI] [PMC free article] [PubMed] [Google Scholar]
- 10.Corpéchot C, Robel P, Axelson M, Sjövall J, Baulieu EE. Characterization and measurement of dehydroepiandrosterone sulfate in rat brain. Proc Natl Acad Sci USA. 1981;78(8):4704–4707. doi: 10.1073/pnas.78.8.4704. [DOI] [PMC free article] [PubMed] [Google Scholar]
- 11.Corpechot C, Synguelakis M, Talha S, Axelson M, Sjovall J, Vihko R, Balieu EE, Robel P. Pregnenolone and its sulfate ester in the rat brain. Brain Res. 1983;270(1):119–125. doi: 10.1016/0006-8993(83)90797-7. [DOI] [PubMed] [Google Scholar]
- 12.Robel P, Bourreau E, Corpechot C, Dang DC, Halberg F, ClarkeC Haug M, Schlegel ML, Synguelakis M, Vourch C, Neuro-steroids Baulieu EE. 3 beta-hydroxy-delta 5-derivatives in ratand monkey brain. J Steroid Biochem. 1987;27(4–6):649–655. doi: 10.1016/0022-4731(87)90133-6. [DOI] [PubMed] [Google Scholar]
- 13.Lanthier A, Patwardhan VV. Sex steroids and 5-en-3 beta-hydroxysteroids in specific regions of the human brain and cranial nerves. J Steroid Biochem. 1986;25(3):445–449. doi: 10.1016/0022-4731(86)90259-1. [DOI] [PubMed] [Google Scholar]
- 14.Lacroix C, Fiet J, Benais JP, Gueux B, Bonete R, Villette JM, et al. Simultaneous radioimmunoassay of progesterone, androst-4-enedione, pregnenolone, dehydroepiandrosterone and 17-hydroxyprogesterone in specific regions of human brain. J Steroid Biochem. 1987;28(3):317–325. doi: 10.1016/0022-4731(87)91025-9. [DOI] [PubMed] [Google Scholar]
- 15.Payne AH, Hales DB. Overview of steroidogenic enzymes in the pathway from cholesterol to active steroid hormones. Endocr Rev. 2004;25(6):947–970. doi: 10.1210/er.2003-0030. [DOI] [PubMed] [Google Scholar]
- 16.Platt FM, Wassif C, Colaco A, Dardis A, Lloyd-Evans E, Bembi B, Porter FD. Disorders of cholesterol metabolism and their unanticipated convergent mechanisms of disease. Annu Rev Genomics Hum Genet. 2014;15:173–194. doi: 10.1146/annurev-genom-091212-153412. [DOI] [PMC free article] [PubMed] [Google Scholar]
- 17.Miller WL, Bose HS. Early steps in steroidogenesis: intracellular cholesterol trafficking. J Lipid Res. 2011;52(12):2111–2135. doi: 10.1194/jlr.R016675. [DOI] [PMC free article] [PubMed] [Google Scholar]
- 18.Omura T. Mitochondrial P450s. Chem Biol Interact. 2006;163(1–2):86–93. doi: 10.1016/j.cbi.2006.06.008. [DOI] [PubMed] [Google Scholar]
- 19.Castillo AF, Orlando U, Helfenberger KE, Poderoso C, Podesta EJ. The role of mitochondrial fusion and StAR phosphorylation in the regulation of StAR activity and steroidogenesis. Mol Cell Endocrinol. 2015;408:73–79. doi: 10.1016/j.mce.2014.12.011. [DOI] [PubMed] [Google Scholar]
- 20.Papadopoulos V, Baraldi M, Guilarte TR, Knudsen TB, LacapereJJ Lindemann P, Norenberg MD, Nutt D, Weizman A, Zhang MR, Gavish M. Translocator protein (18kDa): new nomenclature for the peripheral-type benzodiazepine receptor based on its structure and molecular function. Trends Pharmacol Sci. 2006;27(8):402–409. doi: 10.1016/j.tips.2006.06.005. [DOI] [PubMed] [Google Scholar]
- 21.Fan J, Campioli E, Midzak A, Culty M, Papadopoulos V. Conditional steroidogenic cell-targeted deletion of TSPO unveils a crucial role in viability and hormone-dependent steroid formation. Proc Natl Acad Sci U S A. 2015;112(23):7261–7266. doi: 10.1073/pnas.1502670112. [DOI] [PMC free article] [PubMed] [Google Scholar]
- 22.Tuckey RC, Cameron KJ. Catalytic properties of cytochrome P-450scc purified from the human placenta: comparison to bovine cytochrome P-450scc. Biochim Biophys Acta. 1993;1163(2):185–194. doi: 10.1016/0167-4838(93)90180-Y. [DOI] [PubMed] [Google Scholar]
- 23.Pang S, Yang X, Wang M, Tissot R, Nino M, Manaligod J, Bullock LP, Mason JI. Inherited congenital adrenal hyperplasia in the rabbit: absent cholesterol side-chain cleavage cytochrome P450 gene expression. Endocrinology. 1992;131(1):181–186. doi: 10.1210/endo.131.1.1611996. [DOI] [PubMed] [Google Scholar]
- 24.Yang X, Iwamoto K, Wang M, Artwohl J, Mason JI, Pang S. Inherited congenital adrenal hyperplasia in the rabbit is caused by a deletion in the gene encoding cytochrome P450 cholesterol side-chain cleavage enzyme. Endocrinology. 1993;132(5):1977–1982. doi: 10.1210/endo.132.5.7682938. [DOI] [PubMed] [Google Scholar]
- 25.Mellon SH, Deschepper CF. Neurosteroid biosynthesis: genes for adrenal steroidogenic enzymes are expressed in the brain. Brain Res. 1993;629(2):283–292. doi: 10.1016/0006-8993(93)91332-M. [DOI] [PubMed] [Google Scholar]
- 26.Akk G, Covey DF, Evers AS, Steinbach JH, Zorumski CF, Mennerick S. Mechanisms of neurosteroid interactions with GABA(A) receptors. Pharmacol Ther. 2007;116(1):35–57. doi: 10.1016/j.pharmthera.2007.03.004. [DOI] [PMC free article] [PubMed] [Google Scholar]
- 27.Akk G, Covey DF, Evers AS, Mennerick S, Zorumski CF, Steinbach JH. Kinetic and structural determinants for GABA-A receptor potentiation by neuroactive steroids. Curr Neuropharmacol. 2010;8(1):18–25. doi: 10.2174/157015910790909458. [DOI] [PMC free article] [PubMed] [Google Scholar]
- 28.Chen ZW, Bracamontes JR, Budelier MM, Germann AL, Shin DJ, Kathiresan K, Qian MX, Manion B, Cheng WWL, Reichert DE, Akk G, Covey DF, Evers AS. Multiple functional neurosteroid binding sites on GABAA receptors. PLoS Biol. 2019;17(3):e3000157. doi: 10.1371/journal.pbio.3000157. [DOI] [PMC free article] [PubMed] [Google Scholar]
- 29.Olsen RW. GABA(A) receptor: positive and negative allosteric modulators. Neuropharmacology. 2018;136(Pt A):10–22. doi: 10.1016/j.neuropharm.2018.01.036. [DOI] [PMC free article] [PubMed] [Google Scholar]
- 30.Akk G, Bracamontes J, Steinbach JH. Pregnenolone sulfate block of GABA(A) receptors: mechanism and involvement of a residue in the M2 region of the alpha subunit. J Physiol. 2001;532(Pt 3):673–684. doi: 10.1111/j.1469-7793.2001.0673e.x. [DOI] [PMC free article] [PubMed] [Google Scholar]
- 31.Sugasawa Y, Cheng WW, Bracamontes JR, Chen ZW, Wang L, Germann AL, Pierce SR, Senneff TC, Krishnan K, Reichert DE, Covey DF, Akk G, Evers AS. Site-specific effects of neurosteroids on GABA(A) receptor activation and desensitization. Elife. 2020;9:e55331. doi: 10.7554/eLife.55331. [DOI] [PMC free article] [PubMed] [Google Scholar]
- 32.Pierce SR, Germann AL, Steinbach JH, Akk G. The sulfated steroids pregnenolone sulfate and dehydroepiandrosterone sulfate inhibit the α1β3γ2L GABA(A) receptor by stabilizing a novel nonconducting state. Mol Pharmacol. 2022;101(2):68–77. doi: 10.1124/molpharm.121.000385. [DOI] [PMC free article] [PubMed] [Google Scholar]
- 33.Ditzler JW, Dumke PR. Experiences with hydroxydione. Anesth Analg. 1957;36(6):45–50. doi: 10.1213/00000539-195711000-00009. [DOI] [PubMed] [Google Scholar]
- 34.Prys-Roberts C, Sear J. Steroid anaesthesia. Br J Anaesth. 1980;52(4):363–365. doi: 10.1093/bja/52.4.363. [DOI] [PubMed] [Google Scholar]
- 35.Child KJ, English AF, Gilbert HG, Woollett EA. An endocrinological evaluation of Althesin (CT 1341) with special reference to reproduction. Postgrad Med J. 1972;48(Suppl 2):51–55. doi: 10.1136/pgmj.48.559.251. [DOI] [PubMed] [Google Scholar]
- 36.Mok WM, Krieger NR. Evidence that 5 alpha-pregnan-3 alpha-ol-20-one is the metabolite responsible for progesterone anesthesia. Brain Res. 1990;533(1):42–45. doi: 10.1016/0006-8993(90)91792-F. [DOI] [PubMed] [Google Scholar]
- 37.Mok WM, Herschkowitz S, Krieger NR. Evidence that 3 alpha-hydroxy-5 alpha-pregnan-20-one is the metabolite responsible for anesthesia induced by 5 alpha-pregnanedione in the mouse. Neurosci Lett. 1992;135(2):145–148. doi: 10.1016/0304-3940(92)90423-5. [DOI] [PubMed] [Google Scholar]
- 38.Mitev YA, Darwish M, Wolf SS, Holsboer F, Almeida OF, Patchev VK. Gender differences in the regulation of 3 alpha-hydroxysteroid dehydrogenase in rat brain and sensitivity to neurosteroid-mediated stress protection. Neuroscience. 2003;120(2):541–549. doi: 10.1016/S0306-4522(03)00287-2. [DOI] [PubMed] [Google Scholar]
- 39.Sear JW. Steroid anesthetics: old compounds, new drugs. J Clin Anesth. 1996;8(3 Suppl):91s–s98. doi: 10.1016/s0952-8180(96)90021-5. [DOI] [PubMed] [Google Scholar]
- 40.Moneret-Vautrin DA, Laxenaire MC, Viry-Babel F. Anaphylaxis caused by anti-cremophor EL IgG STS antibodies in a case of reaction to althesin. Br J Anaesth. 1983;55(5):469–471. doi: 10.1093/bja/55.5.469. [DOI] [PubMed] [Google Scholar]
- 41.Dundee JW. New i.v. anaesthetics. Br J Anaesth. 1979;51(7):641–648. doi: 10.1093/bja/51.7.641. [DOI] [PubMed] [Google Scholar]
- 42.Harrison NL, Simmonds MA. Modulation of the GABA receptor complex by a steroid anaesthetic. Brain Res. 1984;323(2):287–292. doi: 10.1016/0006-8993(84)90299-3. [DOI] [PubMed] [Google Scholar]
- 43.Stamenic TT, Feseha S, Manzella FM, Wallace D, WilkeyD Corrigan T, Fiedler H, Doerr P, Krishnan K, Raol YH, Covey DF, Jevtovic-Todorovic V, Todorovic SM. The T-type calcium channel isoform Ca(v)3.1 is a target for the hypnotic effect of the anaesthetic neurosteroid (3β,5β,17β)-3-hydroxyandrostane-17-carbonitrile. Br J Anaesth. 2021;126(1):245–255. doi: 10.1016/j.bja.2020.07.022. [DOI] [PMC free article] [PubMed] [Google Scholar]
- 44.Manzella FM, Cabrera OH, Wilkey D, Fine-Raquet B, KlawitterJ Krishnan K, Covey DF, Jevtovic-Todorovic V, Todorovic SM. Sex-specific hypnotic effects of the neuroactive steroid (3β,5β,17β)-3-hydroxyandrostane-17-carbonitrile are mediated by peripheral metabolism into an active hypnotic steroid. Br J Anaesth. 2023;130(2):154–164. doi: 10.1016/j.bja.2022.09.025. [DOI] [PMC free article] [PubMed] [Google Scholar]
- 45.Wittmer LL, Hu Y, Kalkbrenner M, Evers AS, Zorumski CF, Covey DF. Enantioselectivity of steroid-induced gamma-aminobutyric acidA receptor modulation and anesthesia. Mol Pharmacol. 1996;50(6):1581–1586. [PubMed] [Google Scholar]
- 46.Salari R, Murlidaran S, Brannigan G. Pentameric ligand-gated Ion channels : insights from computation. Mol Simul. 2014;40(10–11):821–829. doi: 10.1080/08927022.2014.896462. [DOI] [PMC free article] [PubMed] [Google Scholar]
- 47.Olsen RW, Sieghart W. International Union of Pharmacology. LXX. Subtypes of gamma-aminobutyric acid(A) receptors: classification on the basis of subunit composition, pharmacology, and function. Update. Pharmacol Rev. 2008;60(3):243–60. [DOI] [PMC free article] [PubMed]
- 48.Sigel E, Steinmann ME. Structure, function, and modulation of GABA(A) receptors. J Biol Chem. 2012;287(48):40224–40231. doi: 10.1074/jbc.R112.386664. [DOI] [PMC free article] [PubMed] [Google Scholar]
- 49.Fritschy JM, Mohler H. GABAA-receptor heterogeneity in the adult rat brain: differential regional and cellular distribution of seven major subunits. J Comp Neurol. 1995;359(1):154–194. doi: 10.1002/cne.903590111. [DOI] [PubMed] [Google Scholar]
- 50.McKernan RM, Whiting PJ. Which GABAA-receptor subtypes really occur in the brain? Trends Neurosci. 1996;19(4):139–143. doi: 10.1016/S0166-2236(96)80023-3. [DOI] [PubMed] [Google Scholar]
- 51.Sieghart W, Sperk G. Subunit composition, distribution and function of GABA(A) receptor subtypes. Curr Top Med Chem. 2002;2(8):795–816. doi: 10.2174/1568026023393507. [DOI] [PubMed] [Google Scholar]
- 52.Amin J, Weiss DS. GABAA receptor needs two homologous domains of the beta-subunit for activation by GABA but not by pentobarbital. Nature. 1993;366(6455):565–569. doi: 10.1038/366565a0. [DOI] [PubMed] [Google Scholar]
- 53.Smith GB, Olsen RW. Identification of a [3H]muscimol photoaffinity substrate in the bovine gamma-aminobutyric acidA receptor alpha subunit. J Biol Chem. 1994;269(32):20380–20387. doi: 10.1016/S0021-9258(17)32003-3. [DOI] [PubMed] [Google Scholar]
- 54.Saras A, Gisselmann G, Vogt-Eisele AK, Erlkamp KS, Kletke O, Pusch H, Hatt H. Histamine action on vertebrate GABAA receptors: direct channel gating and potentiation of GABA responses. J Biol Chem. 2008;283(16):10470–10475. doi: 10.1074/jbc.M709993200. [DOI] [PubMed] [Google Scholar]
- 55.Miller PS, Aricescu AR. Crystal structure of a human GABAA receptor. Nature. 2014;512(7514):270–275. doi: 10.1038/nature13293. [DOI] [PMC free article] [PubMed] [Google Scholar]
- 56.Kasaragod VB, Mortensen M, Hardwick SW, Wahid AA, DorovykhV Chirgadze DY, Smart TG, Miller PS. Mechanisms of inhibition and activation of extrasynaptic αβ GABA(A) receptors. Nature. 2022;602(7897):529–533. doi: 10.1038/s41586-022-04402-z. [DOI] [PMC free article] [PubMed] [Google Scholar]
- 57.Masiulis S, Desai R, Uchański T, Serna Martin I, Laverty D, KariaD Malinauskas KD, Zivanov J, Pardon E, Kotecha A, Steyaert J, Miller KW, Aricescu AR. GABA(A) receptor signalling mechanisms revealed by structural pharmacology. Nature. 2019;565(7740):454–459. doi: 10.1038/s41586-018-0832-5. [DOI] [PMC free article] [PubMed] [Google Scholar]
- 58.Liu S, Xu L, Guan F, Liu YT, Cui Y, Zhang Q, Zheng X, Bi GQ, Zhou ZH, Zhang X, Ye S. Cryo-EM structure of the human α5β3 GABA(A) receptor. Cell Res. 2018;28:958–961. doi: 10.1038/s41422-018-0077-8. [DOI] [PMC free article] [PubMed] [Google Scholar]
- 59.Löscher W, Puskarjov M, Kaila K. Cation-chloride cotransporters NKCC1 and KCC2 as potential targets for novel antiepileptic and antiepileptogenic treatments. Neuropharmacology. 2013;69:62–74. doi: 10.1016/j.neuropharm.2012.05.045. [DOI] [PubMed] [Google Scholar]
- 60.Wilson CS, Mongin AA. The signaling role for chloride in the bidirectional communication between neurons and astrocytes. Neurosci Lett. 2019;689:33–44. doi: 10.1016/j.neulet.2018.01.012. [DOI] [PMC free article] [PubMed] [Google Scholar]
- 61.Reddy DS. Neurosteroids: endogenous role in the human brain and therapeutic potentials. Prog Brain Res. 2010;186:113–137. doi: 10.1016/B978-0-444-53630-3.00008-7. [DOI] [PMC free article] [PubMed] [Google Scholar]
- 62.Laverty D, Desai R, Uchański T, Masiulis S, Stec WJ, MalinauskasT Zivanov J, Pardon E, Steyaert J, Kw Miller, Aricescu AR. Cryo-EM structure of the human α1β3γ2 GABA(A)receptor in a lipid bilayer. Nature. 2019;565(7740):516–520. doi: 10.1038/s41586-018-0833-4. [DOI] [PMC free article] [PubMed] [Google Scholar]
- 63.Kim JJ, Gharpure A, Teng J, Zhuang Y, Howard RJ, Zhu S, Noviello CM, Walsh RM, Lindahl E, Hibbs RE. Shared structural mechanisms of general anaesthetics and benzodiazepines. Nature. 2020;585(7824):303–308. doi: 10.1038/s41586-020-2654-5. [DOI] [PMC free article] [PubMed] [Google Scholar]
- 64.Changeux JP. The TiPS lecture. The nicotinic acetylcholine receptor: an allosteric protein prototype of ligand-gated ion channels. Trends Pharmacol Sci. 1990;11(12):485–492. doi: 10.1016/0165-6147(90)90049-E. [DOI] [PubMed] [Google Scholar]
- 65.Jones MV, Westbrook GL. The impact of receptor desensitization on fast synaptic transmission. Trends Neurosci. 1996;19(3):96–101. doi: 10.1016/S0166-2236(96)80037-3. [DOI] [PubMed] [Google Scholar]
- 66.Farrant M, Nusser Z. Variations on an inhibitory theme: phasic and tonic activation of GABA(A) receptors. Nat Rev Neurosci. 2005;6(3):215–229. doi: 10.1038/nrn1625. [DOI] [PubMed] [Google Scholar]
- 67.Arslan A. Extrasynaptic δ-subunit containing GABA(A) receptors. J Integr Neurosci. 2021;20(1):173–184. doi: 10.31083/j.jin.2021.01.284. [DOI] [PubMed] [Google Scholar]
- 68.Semyanov A, Walker MC, Kullmann DM, Silver RA. Tonically active GABA A receptors: modulating gain and maintaining the tone. Trends Neurosci. 2004;27(5):262–269. doi: 10.1016/j.tins.2004.03.005. [DOI] [PubMed] [Google Scholar]
- 69.Brown N, Kerby J, Bonnert TP, Whiting PJ, Wafford KA. Pharmacological characterization of a novel cell line expressing human alpha(4)beta(3)delta GABA(A) receptors. Br J Pharmacol. 2002;136(7):965–974. doi: 10.1038/sj.bjp.0704795. [DOI] [PMC free article] [PubMed] [Google Scholar]
- 70.Stell BM, Mody I. Receptors with different affinities mediate phasic and tonic GABA(A) conductances in hippocampal neurons. J Neurosci. 2002;22(10):Rc223. doi: 10.1523/JNEUROSCI.22-10-j0003.2002. [DOI] [PMC free article] [PubMed] [Google Scholar]
- 71.Majewska MD, Harrison NL, Schwartz RD, Barker JL, Paul SM. Steroid hormone metabolites are barbiturate-like modulators of the GABA receptor. Science. 1986;232(4753):1004–1007. doi: 10.1126/science.2422758. [DOI] [PubMed] [Google Scholar]
- 72.Pirker S, Schwarzer C, Wieselthaler A, Sieghart W, Sperk G. GABA(A) receptors: immunocytochemical distribution of 13 subunits in the adult rat brain. Neuroscience. 2000;101(4):815–850. doi: 10.1016/S0306-4522(00)00442-5. [DOI] [PubMed] [Google Scholar]
- 73.Glykys J, Mann EO, Mody I. Which GABA(A) receptor subunits are necessary for tonic inhibition in the hippocampus? J Neurosci. 2008;28(6):1421–1426. doi: 10.1523/JNEUROSCI.4751-07.2008. [DOI] [PMC free article] [PubMed] [Google Scholar]
- 74.Carver CM, Reddy DS. Neurosteroid interactions with synaptic and extrasynaptic GABA(A) receptors: regulation of subunit plasticity, phasic and tonic inhibition, and neuronal network excitability. Psychopharmacology. 2013;230(2):151–188. doi: 10.1007/s00213-013-3276-5. [DOI] [PMC free article] [PubMed] [Google Scholar]
- 75.Demirgören S, Majewska MD, Spivak CE, London ED. Receptor binding and electrophysiological effects of dehydroepiandrosterone sulfate, an antagonist of the GABAA receptor. Neuroscience. 1991;45(1):127–135. doi: 10.1016/0306-4522(91)90109-2. [DOI] [PubMed] [Google Scholar]
- 76.Hosie AM, Wilkins ME, da Silva HM, Smart TG. Endogenous neurosteroids regulate GABAA receptors through two discrete transmembrane sites. Nature. 2006;444(7118):486–489. doi: 10.1038/nature05324. [DOI] [PubMed] [Google Scholar]
- 77.Akk G, Shu HJ, Wang C, Steinbach JH, Zorumski CF, Covey DF, Mennerick S. Neurosteroid access to the GABAA receptor. J Neurosci. 2005;25(50):11605–11613. doi: 10.1523/JNEUROSCI.4173-05.2005. [DOI] [PMC free article] [PubMed] [Google Scholar]
- 78.Ueno S, Tsutsui M, Toyohira Y, Minami K, Yanagihara N. Sites of positive allosteric modulation by neurosteroids on ionotropic gamma-aminobutyric acid receptor subunits. FEBS Lett. 2004;566(1–3):213–217. doi: 10.1016/j.febslet.2004.04.030. [DOI] [PubMed] [Google Scholar]
- 79.Hosie AM, Clarke L, da Silva H, Smart TG. Conserved site for neurosteroid modulation of GABA A receptors. Neuropharmacology. 2009;56(1):149–154. doi: 10.1016/j.neuropharm.2008.07.050. [DOI] [PubMed] [Google Scholar]
- 80.Laverty D, Thomas P, Field M, Andersen OJ, Gold MG, BigginPC Gielen M, Smart TG. Crystal structures of a GABA(A)-receptor chimera reveal new endogenous neurosteroid-binding sites. Nat Struct Mol Biol. 2017;24(11):977–985. doi: 10.1038/nsmb.3477. [DOI] [PMC free article] [PubMed] [Google Scholar]
- 81.Miller PS, Scott S, Masiulis S, De Colibus L, Pardon E, SteyaertJ Aricescu AR. Structural basis for GABA(A) receptor potentiation by neurosteroids. Nat Struct Mol Biol. 2017;24(11):986–992. doi: 10.1038/nsmb.3484. [DOI] [PMC free article] [PubMed] [Google Scholar]
- 82.Chen Q, Wells MM, Arjunan P, Tillman TS, Cohen AE, XuY Tang P. Structural basis of neurosteroid anesthetic action on GABA(A) receptors. Nat Commun. 2018;9(1):3972. doi: 10.1038/s41467-018-06361-4. [DOI] [PMC free article] [PubMed] [Google Scholar]
- 83.Legesse DH, Fan C, Teng J, Zhuang Y, Howard RJ, Noviello CM, Lindahl E, Hibbs RE. Structural insights into opposing actions of neurosteroids on GABA(A) receptors. Nat Commun. 2023;14(1):5091. doi: 10.1038/s41467-023-40800-1. [DOI] [PMC free article] [PubMed] [Google Scholar]
- 84.Chen ZW, Manion B, Townsend RR, Reichert DE, Covey DF, Steinbach JH, Sieghart W, Fuchs K, Evers AS. Neurosteroid analog photolabeling of a site in the third transmembrane domain of the β3 subunit of the GABA(A) receptor. Mol Pharmacol. 2012;82(3):408–419. doi: 10.1124/mol.112.078410. [DOI] [PMC free article] [PubMed] [Google Scholar]
- 85.Tateiwa H, Chintala SM, Chen Z, Wang L, Amtashar F, BracamontesJ Germann AL, Pierce SR, Covey DF, Akk G, Evers AS. The mechanism of enantioselective neurosteroid actions on GABA(A) receptors. Biomolecules. 2023;13(2):341. doi: 10.3390/biom13020341. [DOI] [PMC free article] [PubMed] [Google Scholar]
- 86.Germann AL, Pierce SR, Tateiwa H, Sugasawa Y, Reichert DE, Evers AS, Steinbach JH, Akk G. Intrasubunit and intersubunit steroid bindingsites independently and additively mediate α1β2γ2L GABA(A)receptor potentiation by the endogenous neurosteroid allopregnanolone. Mol Pharmacol. 2021;100(1):19–31. doi: 10.1124/molpharm.121.000268. [DOI] [PMC free article] [PubMed] [Google Scholar]
- 87.Wang MD, Rahman M, Zhu D, Johansson IM, Bäckström T. 3Beta-hydroxysteroids and pregnenolone sulfate inhibit recombinant rat GABA(A) receptor through different channel property. Eur J Pharmacol. 2007;557(2–3):124–131. doi: 10.1016/j.ejphar.2006.11.071. [DOI] [PubMed] [Google Scholar]
- 88.Bonin RP, Orser BA. GABA(A) receptor subtypes underlying general anesthesia. Pharmacol Biochem Behav. 2008;90(1):105–112. doi: 10.1016/j.pbb.2007.12.011. [DOI] [PubMed] [Google Scholar]
- 89.Garcia PS, Kolesky SE, Jenkins A. General anesthetic actions on GABA(A) receptors. Curr Neuropharmacol. 2010;8(1):2–9. doi: 10.2174/157015910790909502. [DOI] [PMC free article] [PubMed] [Google Scholar]
- 90.Weir CJ, Mitchell SJ, Lambert JJ. Role of GABAA receptor subtypes in the behavioural effects of intravenous general anaesthetics. Br J Anaesth. 2017;119(suppl_1):i167–i175. doi: 10.1093/bja/aex369. [DOI] [PubMed] [Google Scholar]
- 91.Brohan J, Goudra BG. The role of GABA receptor agonists in anesthesia and sedation. CNS Drugs. 2017;31(10):845–856. doi: 10.1007/s40263-017-0463-7. [DOI] [PubMed] [Google Scholar]
- 92.Perel A. Non-anaesthesiologists should not be allowed to administer propofol for procedural sedation: a consensus statement of 21 European National Societies of Anaesthesia. Eur J Anaesthesiol. 2011;28(8):580–584. doi: 10.1097/EJA.0b013e328348a977. [DOI] [PubMed] [Google Scholar]
- 93.Sahinovic MM, Struys M, Absalom AR. Clinical pharmacokinetics and pharmacodynamics of propofol. Clin Pharmacokinet. 2018;57(12):1539–1558. doi: 10.1007/s40262-018-0672-3. [DOI] [PMC free article] [PubMed] [Google Scholar]
- 94.Hemphill S, McMenamin L, Bellamy MC, Hopkins PM. Propofol infusion syndrome: a structured literature review and analysis of published case reports. Br J Anaesth. 2019;122(4):448–459. doi: 10.1016/j.bja.2018.12.025. [DOI] [PMC free article] [PubMed] [Google Scholar]
- 95.Wagner RL, White PF, Kan PB, Rosenthal MH, Feldman D. Inhibition of adrenal steroidogenesis by the anesthetic etomidate. N Engl J Med. 1984;310(22):1415–1421. doi: 10.1056/NEJM198405313102202. [DOI] [PubMed] [Google Scholar]
- 96.Valk BI, Struys M. Etomidate and its analogs: a review of pharmacokinetics and pharmacodynamics. Clin Pharmacokinet. 2021;60(10):1253–1269. doi: 10.1007/s40262-021-01038-6. [DOI] [PMC free article] [PubMed] [Google Scholar]
- 97.Jolivel V, Brun S, Biname F, Benyounes J, Taleb O, Bagnard D, De Seze J, Patte-Mensah C, Mensah-Nyagan AG. Microglial cell morphology and phagocytic activity are critically regulated by the neurosteroid allopregnanolone: a possible role in neuroprotection. Cells. 2021;10(3):698. doi: 10.3390/cells10030698. [DOI] [PMC free article] [PubMed] [Google Scholar]
- 98.Sieber FE. Postoperative delirium in the elderly surgical patient. Anesthesiol Clin. 2009;27(3):451–464. doi: 10.1016/j.anclin.2009.07.009. [DOI] [PubMed] [Google Scholar]
- 99.Witlox J, Eurelings LS, de Jonghe JF, Kalisvaart KJ, Eikelenboom P, van Gool WA. Delirium in elderly patients and the risk of postdischarge mortality, institutionalization, and dementia: a meta-analysis. JAMA. 2010;304(4):443–451. doi: 10.1001/jama.2010.1013. [DOI] [PubMed] [Google Scholar]
- 100.Travica N, Lotfaliany M, Marriott A, Safavynia SA, LaneMM Gray L, Veronese N, Berk M, Skvarc D, Aslam H, Gamage E, Formica M, Bishop K, Marx W. Peri-operative risk factors associated withpost-operative cognitive dysfunction (POCD): an umbrellareview of meta-analyses of observational studies. J Clin Med. 2023;12(4):1610. doi: 10.3390/jcm12041610. [DOI] [PMC free article] [PubMed] [Google Scholar]
- 101.Kawano T, Eguchi S, Iwata H, Tamura T, Kumagai N, Yokoyama M. Impact of preoperative environmental enrichment on prevention of development of cognitive impairment following abdominal surgery in a rat model. Anesthesiology. 2015;123(1):160–170. doi: 10.1097/ALN.0000000000000697. [DOI] [PubMed] [Google Scholar]
- 102.Kawano T, Yamanaka D, Aoyama B, Tateiwa H, Shigematsu-Locatelli M, Nishigaki A, Iwata H, Locatelli FM, Yokoyama M. Involvement of acute neuroinflammationin postoperative delirium-like cognitive deficits inrats. J Anesth. 2018;32(4):506–517. doi: 10.1007/s00540-018-2504-x. [DOI] [PubMed] [Google Scholar]
- 103.Evered L, Atkins K, Silbert B, Scott DA. Acute peri-operative neurocognitive disorders: a narrative review. Anaesthesia. 2022;77(Suppl 1):34–42. doi: 10.1111/anae.15613. [DOI] [PubMed] [Google Scholar]
- 104.Lian F, Cao C, Deng F, Liu C, Zhou Z. Propofol alleviates postoperative cognitive dysfunction by inhibiting inflammation via up-regulating miR-223-3p in aged rats. Cytokine. 2022;150:155783. doi: 10.1016/j.cyto.2021.155783. [DOI] [PubMed] [Google Scholar]
- 105.Liu PF, Gao T, Li TZ, Yang YT, Xu YX, Xu ZP, Mi WD. Repeatedpropofol exposure-induced neuronal damage and cognitiveimpairment in aged rats by activation of NF-κB pathway andNLRP3 inflammasome. Neurosci Lett. 2021;740:135461. doi: 10.1016/j.neulet.2020.135461. [DOI] [PubMed] [Google Scholar]
- 106.Li N, Ma Y, Li C, Sun M, Qi F. Dexmedetomidine alleviates sevoflurane-induced neuroinflammation and neurocognitive disorders by suppressing the P2X4R/NLRP3 pathway in aged mice. Int J Neurosci. 2022:1–11. [DOI] [PubMed]
- 107.Zhang M, Yin Y. Dual roles of anesthetics in postoperative cognitive dysfunction: regulation of microglial activation through inflammatory signaling pathways. Front Immunol. 2023;14:1102312. doi: 10.3389/fimmu.2023.1102312. [DOI] [PMC free article] [PubMed] [Google Scholar]
- 108.Ardeshiri A, Kelley MH, Korner IP, Hurn PD, Herson PS. Mechanism of progesterone neuroprotection of rat cerebellar Purkinje cells following oxygen-glucose deprivation. Eur J Neurosci. 2006;24(9):2567–2574. doi: 10.1111/j.1460-9568.2006.05142.x. [DOI] [PMC free article] [PubMed] [Google Scholar]
- 109.Langmade SJ, Gale SE, Frolov A, Mohri I, Suzuki K, Mellon SH, Walkley Su, Covey DF, Schaffer JE, Ory DS. Pregnane X receptor (PXR) activation: a mechanism forneuroprotection in a mouse model of Niemann-Pick C disease. Proc Natl Acad Sci USA. 2006;103(37):13807–13812. doi: 10.1073/pnas.0606218103. [DOI] [PMC free article] [PubMed] [Google Scholar]
- 110.Naert G, Maurice T, Tapia-Arancibia L, Givalois L. Neuroactive steroids modulate HPA axis activity and cerebral brain-derived neurotrophic factor (BDNF) protein levels in adult male rats. Psychoneuroendocrinology. 2007;32(8–10):1062–1078. doi: 10.1016/j.psyneuen.2007.09.002. [DOI] [PubMed] [Google Scholar]
- 111.Meyer M, Garay LI, Kruse MS, Lara A, Gargiulo-MonachelliG Schumacher M, Guennoun R, Coirini H, De Nicola AF, Gonzalez Deniselle MC. Protective effects of the neurosteroidallopregnanolone in a mouse model of spontaneous motoneurondegeneration. J Steroid Biochem Mol Biol. 2017;174:201–216. doi: 10.1016/j.jsbmb.2017.09.015. [DOI] [PubMed] [Google Scholar]
- 112.Miao H, Li R, Han C, Lu X, Zhang H. Minocycline promotes posthemorrhagic neurogenesis via M2 microglia polarization via upregulation of the TrkB/BDNF pathway in rats. J Neurophysiol. 2018;120(3):1307–1317. doi: 10.1152/jn.00234.2018. [DOI] [PubMed] [Google Scholar]
- 113.Wu SY, Pan BS, Tsai SF, Chiang YT, Huang BM, Mo FE. Kuo YM.BDNF reverses aging-related microglial activation. J Neuroinflammation. 2020;17(1):210. doi: 10.1186/s12974-020-01887-1. [DOI] [PMC free article] [PubMed] [Google Scholar]
- 114.Azman KF, Zakaria R. Recent Advances on the Role of Brain-Derived Neurotrophic Factor (BDNF) in Neurodegenerative Diseases. Int J Mol Sci. 2022;23(12):6827. doi: 10.3390/ijms23126827. [DOI] [PMC free article] [PubMed] [Google Scholar]
- 115.Ateaque S, Merkouris S, Barde YA. Neurotrophin signalling in the human nervous system. Front Mol Neurosci. 2023;16:1225373. doi: 10.3389/fnmol.2023.1225373. [DOI] [PMC free article] [PubMed] [Google Scholar]
- 116.Frye CA, Koonce CJ, Walf AA. Involvement of pregnane xenobiotic receptor in mating-induced allopregnanolone formation in the midbrain and hippocampus and brain-derived neurotrophic factor in the hippocampus among female rats. Psychopharmacology. 2014;231(17):3375–3390. doi: 10.1007/s00213-014-3569-3. [DOI] [PMC free article] [PubMed] [Google Scholar]
- 117.Frye CA, Koonce CJ, Walf AA. Novel receptor targets for production and action of allopregnanolone in the central nervous system: a focus on pregnane xenobiotic receptor. Front Cell Neurosci. 2014;8:106. doi: 10.3389/fncel.2014.00106. [DOI] [PMC free article] [PubMed] [Google Scholar]
- 118.Serrao JM, Goodchild CS. Alfaxalone anaesthesia increases brain derived neurotrophic factor levels and preserves postoperative cognition by activating pregnane-X receptors: an in vitro study and a double blind randomised controlled trial. BMC Anesthesiol. 2022;22(1):401. doi: 10.1186/s12871-022-01940-x. [DOI] [PMC free article] [PubMed] [Google Scholar]
- 119.Cuervo AM, Stefanis L, Fredenburg R, Lansbury PT, Sulzer D. Impaired degradation of mutant alpha-synuclein by chaperone-mediated autophagy. Science. 2004;305(5688):1292–1295. doi: 10.1126/science.1101738. [DOI] [PubMed] [Google Scholar]
- 120.Bourdenx M, Martin-Segura A, Scrivo A, Rodriguez-NavarroJA Kaushik S, Tasset I, Diaz A, Storm NJ, Xin J, Juste YR, Stevenson E, Luengo E, Clement CC, Sj Choi, Krogan NJ, Mosharov EV, Santambrogio L, Grueninger F, Collin L, Swaney SL, Gavathiotis E, Cuervo AM. Chaperone-mediated autophagyprevents collapse of the neuronal metastable proteome. Cell. 2021;184(10):2696-714.e25. doi: 10.1016/j.cell.2021.03.048. [DOI] [PMC free article] [PubMed] [Google Scholar]
- 121.Wu J, Han Y, Xu H, Sun H, Wang R, Ren H, Wang G. Deficientchaperone-mediated autophagy facilitates LPS-induced microglialactivation via regulation of the p300/NF-κB/NLRP3 pathway. Sci Adv. 2023;9(40):eadi8343. doi: 10.1126/sciadv.adi8343. [DOI] [PMC free article] [PubMed] [Google Scholar]
- 122.Liao G, Cheung S, Galeano J, Ji AX, Qin Q, Bi X. Allopregnanolone treatment delays cholesterol accumulation and reduces autophagic/lysosomal dysfunction and inflammation in Npc1-/- mouse brain. Brain Res. 2009;1270:140–151. doi: 10.1016/j.brainres.2009.03.027. [DOI] [PMC free article] [PubMed] [Google Scholar]
- 123.Balan I, Aurelian L, Schleicher R, Boero G, O’Buckley T, Morrow AL. Neurosteroid allopregnanolone (3α,5α-THP) inhibits inflammatory signals induced by activated MyD88-dependent toll-like receptors. Transl Psychiatry. 2021;11(1):145. doi: 10.1038/s41398-021-01266-1. [DOI] [PMC free article] [PubMed] [Google Scholar]
- 124.Liu J, Buisman-Pijlman F, Hutchinson MR. Toll-like receptor 4: innate immune regulator of neuroimmune and neuroendocrine interactions in stress and major depressive disorder. Front Neurosci. 2014;8:309. doi: 10.3389/fnins.2014.00309. [DOI] [PMC free article] [PubMed] [Google Scholar]
- 125.Lehnardt S, Massillon L, Follett P, Jensen FE, Ratan R, RosenbergPA Volpe JJ, Vartanian T. Activation of innate immunity in the CNS triggersneurodegeneration through a Toll-like receptor 4-dependentpathway. Proc Natl Acad Sci USA. 2003;100(14):8514–8519. doi: 10.1073/pnas.1432609100. [DOI] [PMC free article] [PubMed] [Google Scholar]
- 126.Lin F, Shan W, Zheng Y, Pan L, Zuo Z. Toll-like receptor 2 activation and up-regulation by high mobility group box-1 contribute to post-operative neuroinflammation and cognitive dysfunction in mice. J Neurochem. 2021;158(2):328–341. doi: 10.1111/jnc.15368. [DOI] [PMC free article] [PubMed] [Google Scholar]
- 127.Davidson AJ, Disma N, de Graaff JC, Withington DE, DorrisL Bell G, Stargatt R, Bellinger DC, Schuster T, Arnup SJ, Hardy P, Hunt RW, Takagi MJ, Giribaldi G, Hartmann PL, Salvo I, Morton NS, von Ungern Sternberg BS, Locatelli BG, Wilton N, Lynn A, Thomas JJ, Polaner D, Bagshaw O, Szmuk P, Absalom AR, Frawley G, Berde C, Ormond GD, Marmor J, McCann ME. GAS consortium. Neurodevelopmental outcome at 2 years of age after general anaesthesia and awake-regional anaesthesiain infancy (GAS): an international multicentre, randomisedcontrolled trial. Lancet. 2016;387(10015):239–250. doi: 10.1016/S0140-6736(15)00608-X. [DOI] [PMC free article] [PubMed] [Google Scholar]
- 128.Sun LS, Li G, Miller TL, Salorio C, Byrne MW, Bellinger DC, Ing C, Park R, Radcliffe J, Hays SR, DiMaggio CJ, Cooper TJ, Rauh V, Maxwell LG, Youn A, McGowan FX. Association between a single general anesthesia exposure before age 36 months and neurocognitive outcomes in laterchildhood. JAMA. 2016;315(21):2312–2320. doi: 10.1001/jama.2016.6967. [DOI] [PMC free article] [PubMed] [Google Scholar]
- 129.Creeley C, Dikranian K, Dissen G, Martin L, Olney J, Brambrink A. Propofol-induced apoptosis of neurones and oligodendrocytes in fetal and neonatal rhesus macaque brain. Br J Anaesth. 2013;110(Suppl 1):i29–i38. doi: 10.1093/bja/aet173. [DOI] [PMC free article] [PubMed] [Google Scholar]
- 130.Jevtovic-Todorovic V, Hartman RE, Izumi Y, Benshoff ND, Dikranian K, Zorumski CF, Olney JW, Wozniak DF. Early exposure to common anesthetic agents causes widespread neurodegeneration in thedeveloping rat brain and persistent learning deficits. J Neurosci. 2003;23(3):876–882. doi: 10.1523/JNEUROSCI.23-03-00876.2003. [DOI] [PMC free article] [PubMed] [Google Scholar]
- 131.Istaphanous GK, Howard J, Nan X, Hughes EA, McCann JC, McAuliffe JJ, Danzer SC, Loepke AWL. Comparison of the neuroapoptotic properties of equipotent anesthetic concentrations of desflurane, isoflurane, or sevoflurane in neonatal mice. Anesthesiology. 2011;114(3):578–587. doi: 10.1097/ALN.0b013e3182084a70. [DOI] [PubMed] [Google Scholar]
- 132.Zhao X, Li Z, Guo Y, Liu Q, Qing M, Sheng Y, Chen Y, Xie L, Zhou Z. Alfaxalone alleviates neurotoxicity and cognitive impairment induced by isoflurane anesthesia in offspring rats. AnesthAnalg. 2023;136(6):1206–1216. doi: 10.1213/ANE.0000000000006420. [DOI] [PubMed] [Google Scholar]
- 133.Ikonomidou C, Bosch F, Miksa M, Bittigau P, Vockler J, Dikranian K, Tenkova TI, Stefovska V, Turski L, Olney JW. Blockade of NMDA receptors and apoptotic neurodegeneration in the developing brain. Science. 1999;283(5398):70–74. doi: 10.1126/science.283.5398.70. [DOI] [PubMed] [Google Scholar]
- 134.Zuo C, Ma J, Pan Y, Zheng D, Chen C, Ruan N, Su Y, Nan H, Lian Q, Lin H. Isoflurane and sevoflurane induce cognitive impairment in neonatal ratsby inhibiting neural stem cell development through microglialactivation, neuroinflammation, and suppression of VEGFR2signaling pathway. Neurotox Res. 2022;40(3):775–790. doi: 10.1007/s12640-022-00511-9. [DOI] [PMC free article] [PubMed] [Google Scholar]
- 135.Wang F, Li C, Shao J, Ma J. Sevoflurane induces inflammation of microglia in hippocampus of neonatal rats by inhibiting Wnt/β-Catenin/CaMKIV pathway. J Pharmacol Sci. 2021;146(2):105–115. doi: 10.1016/j.jphs.2021.02.004. [DOI] [PubMed] [Google Scholar]
- 136.Mennerick S, He Y, Jiang X, Manion BD, Wang M, Shute A, Benz A, Evers AS, Covery DF, Zorumski CF. Selective antagonism of 5alpha-reduced neurosteroid effects at GABA(A) receptors. Mol Pharmacol. 2004;65(5):1191–1197. doi: 10.1124/mol.65.5.1191. [DOI] [PubMed] [Google Scholar]
- 137.Kelley SP, Alan JK, O’Buckley TK, Mennerick S, KrishnanK Covey DF, Morrow LA. Antagonism of neurosteroid modulationof native gamma-aminobutyric acid receptors by(3alpha,5alpha)-17-phenylandrost-16-en-3-ol. Eur J Pharmacol. 2007;572(2–3):94–101. doi: 10.1016/j.ejphar.2007.06.028. [DOI] [PMC free article] [PubMed] [Google Scholar]
- 138.Belelli D, Lambert JJ, Peters JA, Gee KW, Lan NC. Modulation of human recombinant GABAA receptors by pregnanediols. Neuropharmacology. 1996;35(9–10):1223–1231. doi: 10.1016/S0028-3908(96)00066-4. [DOI] [PubMed] [Google Scholar]
- 139.Gunduz-Bruce H, Silber C, Kaul I, Rothschild AJ, RiesenbergR Sankoh AJ, Li H, Lasser R, Zorumski CF, Rubinow DR, Paul SM, Jonas J, Doherty JJ, Kanes SJ. Trial of SAGE-217 in patients with majordepressive disorder. N Engl J Med. 2019;381(10):903–911. doi: 10.1056/NEJMoa1815981. [DOI] [PubMed] [Google Scholar]
- 140.Zorumski CF, Paul SM, Covey DF, Mennerick S. Neurosteroids as novel antidepressants and anxiolytics: GABA-A receptors and beyond. Neurobiol Stress. 2019;11:100196. doi: 10.1016/j.ynstr.2019.100196. [DOI] [PMC free article] [PubMed] [Google Scholar]
- 141.Covey DF, Nathan D, Kalkbrenner M, Nilsson KR, Hu Y, Zorumski CF, Evers AS. Enantioselectivity of pregnanolone-inducedgamma-aminobutyric acid(A) receptor modulation and anesthesia. J Pharmacol Exp Ther. 2000;293(3):1009–1016. [PubMed] [Google Scholar]
- 142.Reddy DS, Gangisetty O, Briyal S. Disease-modifying activity of progesterone in the hippocampus kindling model of epileptogenesis. Neuropharmacology. 2010;59(7–8):573–581. doi: 10.1016/j.neuropharm.2010.08.017. [DOI] [PMC free article] [PubMed] [Google Scholar]
- 143.Reddy DS. Role of anticonvulsant and antiepileptogenic neurosteroids in the pathophysiology and treatment of epilepsy. Front Endocrinol (Lausanne) 2011;2:38. doi: 10.3389/fendo.2011.00038. [DOI] [PMC free article] [PubMed] [Google Scholar]
- 144.Yanase T, Fukahori M, Taniguchi S, Nishi Y, Sakai Y, TakayanagiR Alhaji M, Nawata H. Serum dehydroepiandrosterone (DHEA) and DHEAsulfate (DHEA-S) in Alzheimer’s disease and in cerebrovasculardementia. Endocr J. 1996;43(1):119–123. doi: 10.1507/endocrj.43.119. [DOI] [PubMed] [Google Scholar]
- 145.Wang JM, Singh C, Liu L, Irwin RW, Chen S, Chung EJ, Thompson RF, Brinton RD. Allopregnanolone reverses neurogenic and cognitive deficits inmouse model of Alzheimer’s disease. Proc Natl Acad Sci USA. 2010;107(14):6498–6503. doi: 10.1073/pnas.1001422107. [DOI] [PMC free article] [PubMed] [Google Scholar]
- 146.Farr SA, Banks WA, Uezu K, Gaskin FS, Morley JE. DHEAS improves learning and memory in aged SAMP8 mice but not in diabetic mice. Life Sci. 2004;75(23):2775–2785. doi: 10.1016/j.lfs.2004.05.026. [DOI] [PubMed] [Google Scholar]
- 147.Perez-Jimenez MM, Monje-Moreno JM, Brokate-Llanos AM, Venegas-Caleron M, Sanchez-Garcia A, Sansigre P, Valladares A, Esteban-García S, Suárez-Pereira I, Vitorica J, Ríos JJ, Artal-Sanz M, Carrión ÁM, Muñoz MJ. Steroid hormones sulfatase inactivation extends lifespan and ameliorates age-related diseases. Nat Commun. 2021;12(1):49. doi: 10.1038/s41467-020-20269-y. [DOI] [PMC free article] [PubMed] [Google Scholar]
- 148.Raikes AC, Hernandez GD, Matthews DC, Lukic AS, Law M, Shi Y, Schneider LS, Brinton RD. Exploratory imaging outcomes of a phase 1b/2a clinical trial of allopregnanolone as a regenerative therapeuticfor Alzheimer’s disease: structural effects and functional connectivity outcomes. Alzheimers Dement (N Y) 2022;8(1):e12258. doi: 10.1002/trc2.12258. [DOI] [PMC free article] [PubMed] [Google Scholar]
- 149.di Michele F, Longone P, Romeo E, Lucchetti S, Brusa L, PierantozziM Bassi A, Bernardi G, Stanzione P. Decreased plasma and cerebrospinal fluid content of neuroactive steroids in Parkinson’s disease. Neurol Sci. 2003;24(3):172–173. doi: 10.1007/s10072-003-0115-1. [DOI] [PubMed] [Google Scholar]
- 150.Nezhadi A, Sheibani V, Esmaeilpour K, Shabani M, Esmaeili-Mahani S. Neurosteroid allopregnanolone attenuates cognitive dysfunctions in 6-OHDA-induced rat model of Parkinson’s disease. Behav Brain Res. 2016;305:258–264. doi: 10.1016/j.bbr.2016.03.019. [DOI] [PubMed] [Google Scholar]
- 151.Sheibani V, Rajizadeh MA, Bejeshk MA, Haghparast E, NozariM Esmaeili-Mahani S, Nezhadi A. The effects of neurosteroid allopregnanolone on synaptic dysfunction in the hippocampus inexperimental parkinsonism rats: an electrophysiological andmolecular study. Neuropeptides. 2022;92:102229. doi: 10.1016/j.npep.2022.102229. [DOI] [PubMed] [Google Scholar]
- 152.Du C, Khalil MW, Sriram S. Administration of dehydroepiandrosterone suppresses experimental allergic encephalomyelitis in SJL/J mice. J Immunol. 2001;167(12):7094–7101. doi: 10.4049/jimmunol.167.12.7094. [DOI] [PubMed] [Google Scholar]
- 153.Matejuk A, Adlard K, Zamora A, Silverman M, Vandenbark AA, Offner H. 17 beta-estradiol inhibits cytokine, chemokine, and chemokine receptor mRNA expression in the central nervous system of female mice with experimental autoimmune encephalomyelitis. J Neurosci Res. 2001;65(6):529–542. doi: 10.1002/jnr.1183. [DOI] [PubMed] [Google Scholar]
- 154.Noorbakhsh F, Ellestad KK, Maingat F, Warren KG, Han MH, Steinman L, Baker GB, Power C. Impaired neurosteroid synthesis in multiplesclerosis. Brain. 2011;134(Pt 9):2703–2721. doi: 10.1093/brain/awr200. [DOI] [PMC free article] [PubMed] [Google Scholar]
- 155.Voskuhl RR, Wang H, Wu TC, Sicotte NL, Nakamura K, KurthF Itoh N, Bardens J, Bernard JT, Corboy JR, Cross AH, Dhib-Jalbut S, Ford CC, Frohman EM, Giesser B, Jacobs D, Kasper LH, Lynch S, Parry G, Racke MK, Reder AT, Rose J, Wingerchuk DM, MacKenzie-Graham AJ, Arnold DL, Tseng CH, Elashoff R. Estriol combined with glatiramer acetate for women with relapsing-remitting multiple sclerosis: a randomised, placebocontrolled, phase 2 trial. Lancet Neurol. 2016;15(1):35–46. doi: 10.1016/S1474-4422(15)00322-1. [DOI] [PubMed] [Google Scholar]
- 156.Mayo W, Dellu F, Robel P, Cherkaoui J, Le Moal M, BaulieuEE Simon H. Infusion of neurosteroids into the nucleus basalis magnocellularisaffects cognitive processes in the rat. Brain Res. 1993;607(1–2):324–328. doi: 10.1016/0006-8993(93)91524-V. [DOI] [PubMed] [Google Scholar]
- 157.Plescia F, Marino RA, Cannizzaro E, Brancato A, Cannizzaro C. The role of pregnenolone sulphate in spatial orientation-acquisition and retention: an interplay between cognitive potentiation and mood regulation. Behav Processes. 2013;99:130–137. doi: 10.1016/j.beproc.2013.07.001. [DOI] [PubMed] [Google Scholar]
- 158.Ratner MH, Kumaresan V, Farb DH. Neurosteroid actions in memory and neurologic/neuropsychiatric disorders. Front Endocrinol (Lausanne) 2019;10:169. doi: 10.3389/fendo.2019.00169. [DOI] [PMC free article] [PubMed] [Google Scholar]
- 159.Charlet A, Lasbennes F, Darbon P, Poisbeau P. Fast non-genomic effects of progesterone-derived neurosteroids on nociceptive thresholds and pain symptoms. Pain. 2008;139(3):603–609. doi: 10.1016/j.pain.2008.06.016. [DOI] [PubMed] [Google Scholar]
- 160.Svensson E, Persson J, Fitzsimmons B, Yaksh TL. Intrathecal neurosteroids and a neurosteroid antagonist: effects on inflammation-evoked thermal hyperalgesia and tactile allodynia. Neurosci Lett. 2013;548:27–32. doi: 10.1016/j.neulet.2013.05.027. [DOI] [PMC free article] [PubMed] [Google Scholar]
- 161.Patte-Mensah C, Meyer L, Taleb O, Mensah-Nyagan AG. Potential role of allopregnanolone for a safe and effective therapy of neuropathic pain. Prog Neurobiol. 2014;113:70–78. doi: 10.1016/j.pneurobio.2013.07.004. [DOI] [PubMed] [Google Scholar]



