Abstract
Background and purpose
To analyse the long-term risk of ischaemic stroke and the clinical effects of antithrombotics on the risk of haemorrhagic stroke in patients with systemic lupus erythematosus (SLE).
Methods
A retrospective cohort study was conducted using a population-based database taken from Taiwan National Health Insurance Research Database. Patients with SLE between 2000 and 2008 were registered and matched with two controls by the index date, age, gender and Charlson Comorbidity Index (CCI). These subjects were followed until either stroke event or 31 December 2013. Adjusted HRs (aHRs) for strokes were estimated with Cox regression models, and the cumulative incidence of ischaemic stroke was analysed by log-rank test and Kaplan-Meier survival analysis.
Results
In total, 8310 patients with SLE and 16 620 patients without SLE were included. In general, patients with SLE had higher rates of ischaemic stroke (5.4% vs 3.3%) and haemorrhagic stroke (1.5% vs 0.6%) than in controls. In multivariate analysis adjusted to age, gender, CCI, urbanisation level and antithrombotics uses, aHRs of all strokes, ischaemic stroke and haemorrhagic stroke were 1.73 (95% CI: 1.54 to 1.94), 1.65 (95% CI: 1.45 to 1.87) and 2.24 (95% CI: 1.71 to 2.95), respectively, in patients with SLE. Patients with SLE were significantly more likely to suffer ischaemic stroke than patients without SLE, even 10 years after SLE diagnosis (6.12% vs 3.50%, p<0.001). Antiplatelet use increased the risk of haemorrhagic stroke in SLE group (aHR=1.74, 95% CI: 1.18 to 2.57).
Conclusions
Patients with SLE are at greater risk of developing ischaemic stroke that lasts for 10 years. Antiplatelets should be carefully administered to prevent cardiovascular events in patients with SLE due to the risk of haemorrhagic stroke.
Keywords: stroke, vasculitis, risk factors, cerebral infarction, cerebrovascular circulation
WHAT IS ALREADY KNOWN ON THIS TOPIC
Patients with systemic lupus erythematosus (SLE) are at higher risk of developing stroke, but few studies have examined the risk of ischaemic stroke in patients with SLE for more than 10 years. Furthermore, no studies have examined the associations of ischaemic and haemorrhagic stroke with antithrombotic use in patients with SLE.
WHAT THIS STUDY ADDS
The risk of ischaemic stroke in patients with SLE remains significant over 10 years, and patients with SLE taking antiplatelets are more likely to have haemorrhagic stroke.
HOW THIS STUDY MIGHT AFFECT RESEARCH, PRACTICE OR POLICY
Antiplatelets should be administered carefully and on an individualised basis for patients with SLE, particularly those with high-risk antiphospholipid antibody profiles, to prevent cardiovascular events.
Introduction
Systemic lupus erythematosus (SLE) is a complex autoimmune disease that involves inflammation, multiple organ damage and manifold clinical manifestations. Patients with SLE face a range of threats, including disease activity, infection, drug side effects and thrombotic events.1 Previous studies have discovered that thrombotic events are an important risk factor for mortality throughout the course of SLE.1–3
In patients with SLE, the incidence of strokes is higher.4–6 Furthermore, neuropsychiatric complications account for 10%–15% of deaths following stroke.1 Patients with SLE who have stroke have extensive morbidity, higher rates of premature mortality and higher hospitalisation costs.6–9 Consequently, stroke is a key thrombotic event in SLE.
Patients experiencing recent-onset autoimmune diseases are at an increased risk of thrombotic events. Among patients with SLE, most thrombotic events occur during the first 5 years of disease course.3 The risk of ischaemic stroke is greatest during the first year of SLE, with adjusted HR (aHR) of 6.47; however, the risk remains significant throughout the first 5 years.5 Research on the need for adequate prophylaxis is ongoing, but few large population-based cohort studies have examined the risk of ischaemic stroke in patients with SLE for over 10 years.
Along with the traditional risk factors for stroke, a number of different mechanisms relating to ischaemic stroke pathogenesis are common in SLE, including vasculitis, antibody alterations, endothelial dysfunction, cumulative steroid usage and premature atherosclerosis.10–14 However, there is inadequate knowledge of the correlation between SLE and haemorrhagic stroke.15 The primary prophylaxis for thrombotic events in patients with SLE is the administration of antiplatelets or anticoagulants.16 17 However, such treatment is associated with an increased risk of haemorrhagic stroke.18 No studies have evaluated the associations of ischaemic stroke and haemorrhagic stroke with simultaneous use of antiplatelets or anticoagulants by patients with SLE. Most previous studies have investigated the pathogenesis of stroke in SLE.
Because the risk of thrombosis is high throughout the course of SLE, studies investigating the long-term risk of ischaemic stroke are required. Antithrombotic is used to prevent thrombosis in patients with SLE; thus, association between haemorrhagic stroke and antithrombotics should also be evaluated. We conducted a retrospective cohort study using population databases, which had a follow-up period of over 10 years, to explore the long-term risk of ischaemic stroke and the clinical effects of antithrombotic (antiplatelet or anticoagulant) on the development of haemorrhagic stroke in patients with SLE.
Materials and methods
Data source
In 1995, the Taiwan National Health Insurance (NHI) programme was introduced, covering more than 99% of its 23 million inhabitants. Administrative claims data are kept within the National Health Insurance Research Database (NHIRD), including demographic information, diagnosis and the cost of medical services provided. For confidentiality, the NHIRD removes all traceable personal identifiers. The clinical diagnosis of NHIRD is made by using the diagnostic codes of International Classification of Diseases, 9th Revision, Clinical Modification (ICD-9-CM). Researchers may request data on no more than 10% of the patients in the NHIRD.19 Thus, the National Health Research Institute has produced subsets of data. The Longitudinal Health Insurance Database 2010 (LHID2010) includes the initial administrative claims data for one million randomly selected beneficiaries from the NHIRD from 2010. The age, gender and average insured payroll of the LHID2010 and NHIRD are not significantly different. The LHID2010 has been used for stroke-related studies.20–23
Study subjects
In LHID2010, patients with SLE (code 710.0) were first diagnosed during clinical visits or hospitalisation. Taiwan’s NHI permits patients with severe diseases to receive catastrophic illness certificates that exempt them from copayment. SLE is classified as a catastrophic illness, and certificates for SLE must be approved by an immuno-rheumatologist; therefore, the SLE diagnoses in the NHIRD are considered accurate.19 We confirmed the first SLE diagnosis by using Taiwan’s database of patients with catastrophic illness from 2000 to 2008. Other studies have used the same definition of SLE.6 24 25
Patients who had a stroke were identified by codes 430–438.26 Codes 430–432 indicate haemorrhagic stroke. Codes 433–437 indicate ischaemic stroke. In addition, ICD-9-CM code 438 indicating late effects of cerebrovascular disease was included. Stroke diagnoses in the NHIRD have been considered accurate,27 which was proved to be with sensitivity of 94.5%–97.3% and positive predictive value of 88.4%–97.9%,19 and have been used in other studies.28–31
Data regarding antiplatelet and anticoagulant use were retrieved from NHIRD on the basis of Anatomical Therapeutic Chemical (ATC) codes. The ATC code B01AC is for antiplatelets; we considered aspirin, cilostazol, clopidogrel, ticlopidine, dipyridamole, CoPlavix (aspirin+clopidogrel), ticagrelor and prasugrel. The ATC codes B01AA, B01AF and B01AF are for anticoagulants; we considered warfarin, rivaroxaban, dabigatran, apixaban and edoxaban.
Method
The index date was defined as the first date of SLE diagnosis. We excluded subjects aged less than 18 or older than 110 years, as well as those who had received a diagnosis of stroke, including haemorrhagic stroke and ischaemic stroke, prior to their index date. Besides, 95 patients in the SLE group did not have data on the urbanisation level and were subsequently excluded. We enrolled two controls for every one patient with SLE and matched them by index date, age, gender and Charlson Comorbidity Index (CCI). The CCI assesses 17 categories of comorbidities, which include multiple risk factors for stroke, such as diabetes, chronic kidney disease and myocardial infarction.32 The CCI has not only been validated as an indicator for the outcome of stroke32 but also proven to be an indicator of the risk of stroke.33 The patients with a first diagnosis of SLE from 2000 to 2008 were followed until 31 December 2013. In SLE group, the median follow-up years were 8.90, 9.10 and 8.85 for ischaemic stroke, haemorrhagic stroke and all strokes, respectively. In control group, the median follow-up years were 9.46, 9.54 and 9.46 for ischaemic stroke, haemorrhagic stroke and all strokes, respectively.
Statistical analyses
We used χ2 test to compare the categorical characteristics of the patients with and without SLE. Subsequently, we calculated the cumulative incidence of ischaemic and haemorrhagic stroke using Kaplan-Meier method and analysed the differences between groups using log-rank test. Using the Cox proportional hazards model, we adjusted age, gender, CCI and antithrombotic (anticoagulant or antiplatelet) use to determine the effects of SLE on stroke risk. For further evaluation of the effects of different antithrombotics (ie, anticoagulants vs antiplatelets) on stroke risk in SLE, we stratified the patients with SLE by stroke and antithrombotic type, with adjustments for age, gender and CCI. All statistical analyses were carried out using SAS V.9.4 software.
Results
Between 2000 and 2008, we identified 10 585 patients diagnosed with SLE for the first time. We then excluded 2275 patients whose age was <18 or >110 years, with missing values on urbanisation, or who had been diagnosed with a stroke before the index date. Ultimately, 8310 patients were enrolled. Subsequently, 16 620 patients without SLE were identified as control group by matching index date, age, gender and CCI (figure 1).
Figure 1.

Flow chart of patient selection. CCI, Charlson Comorbidity Index; ICD-9-CM, International Classification of Diseases, 9th Revision, Clinical Modification; LHID 2000, Longitudinal Health Insurance Database 2010; NHIRD, National Health Insurance Research Database; SLE, systemic lupus erythematosus.
Table 1 demonstrates the characteristics of SLE and control patients. In SLE group, the number of males was 947 (11.4% of the total); the mean age was 37.69 years, with an SD of 14.11 years. In total, 4721 (56.8%) patients had a CCI of 0, 2151 (25.9%) had a CCI of 1, 826 (9.9%) had a CCI of 2 and 612 (7.4%) had a CCI of ≥3; 5220 (62.8%), 1100 (13.2%) and 1990 (23.9%) lived in urban, suburban and rural areas, respectively. The characteristics of the SLE group and the control group did not differ significantly.
Table 1.
Characteristics of subjects in SLE group and control group
| Characteristic | SLE group (N=8310) | Control group (N=16 620) | Total | P value |
| N (%) | N (%) | N | ||
| Age, mean±SD | 37.69±14.11 | 38.34±14.95 | 1.000 | |
| 18–30 | 3039 (36.6) | 6078 (36.6) | 9117 | |
| 31–40 | 2114 (25.4) | 4228 (25.4) | 6342 | |
| 41–50 | 1628 (19.6) | 3256 (19.6) | 4884 | |
| >50 | 1529 (18.4) | 3058 (18.4) | 4587 | |
| Gender | 1.000 | |||
| Female | 7363 (88.6) | 14 726 (88.6) | 22 089 | |
| Male | 947 (11.4) | 1894 (11.4) | 2841 | |
| CCI | 1.000 | |||
| 0 | 4721 (56.8) | 9442 (56.8) | 14 163 | |
| 1 | 2151 (25.9) | 4302 (25.9) | 6453 | |
| 2 | 826 (9.9) | 1652 (9.9) | 2478 | |
| ≥3 | 612 (7.4) | 1224 (7.4) | 1836 | |
| Urbanisation | 0.767 | |||
| Urban | 5220 (62.8) | 10 370 (62.4) | 15 590 | |
| Suburban | 1100 (13.2) | 2203 (13.3) | 3303 | |
| Rural | 1990 (23.9) | 4047 (24.4) | 6037 |
CCI, Charlson Comorbidity Index; SLE, systemic lupus erythematosus.
In SLE group, 448 patients (5.4%) and 115 patients (1.4%) experienced ischaemic and haemorrhagic stroke, respectively. In addition, 34 patients had both ischaemic and haemorrhagic stroke and 19 patients had late effects of cerebrovascular disease. In control group, 548 patients (3.3%) and 101 patients (0.6%) experienced ischaemic and haemorrhagic stroke, respectively. In addition, 44 patients had both ischaemic and haemorrhagic stroke and 29 patients had late effects of cerebrovascular disease. Stroke was noted in 548 patients with SLE (6.6%) and 634 patients without SLE (3.8%) (table 2).
Table 2.
Stroke events in SLE group and control group
| Stroke type | SLE group (N=8310) | Control group (N=16 620) | ||
| No, N (%) | Yes, N (%) | No, N (%) | Yes, N (%) | |
| Ischaemic stroke | 7862 (94.6) | 448 (5.4) | 16 072 (96.7) | 548 (3.3) |
| Haemorrhage stroke | 8195 (98.6) | 115 (1.4) | 16 519 (99.4) | 101 (0.6) |
| Stroke of any type | 7762 (93.4) | 548* (6.6) | 15 986 (96.2) | 634† (3.8) |
*In total, 34 patients had both ischaemic stroke and haemorrhagic stroke, and 19 patients had late effects of cerebrovascular disease.
†A total of 44 patients had both ischaemic and haemorrhagic stroke, and 29 patients had late effects of cerebrovascular disease.
SLE, systemic lupus erythematosus.
After multivariate analysis adjusted to age, gender, CCI score, urbanisation level and antithrombotic use (including antiplatelets and anticoagulants), we discovered that SLE was associated with increased risks of ischaemic stroke (aHR=1.65, 95% CI: 1.45 to 1.87), haemorrhagic stroke (aHR=2.24, 95% CI: 1.71 to 2.95) and stroke (aHR=1.73, 95% CI: 1.54 to 1.94) (table 3).
Table 3.
The association between SLE and risk of stroke events
| Variables | Ischaemic stroke | Haemorrhage stroke | Stroke | |||
| aHR (95% CI) | P value | aHR (95% CI) | P value | aHR (95% CI) | P value | |
| SLE | 1.65 (1.45 to 1.87) | <0.001 | 2.24 (1.71 to 2.95) | <0.001 | 1.73 (1.54 to 1.94) | <0.001 |
| Age | ||||||
| 18–30 (ref) | 1.00 | 1.00 | 1.00 | |||
| 31–40 | 1.48 (1.15 to 1.92) | 0.003 | 1.18 (0.76 to 1.83) | 0.471 | 1.42 (1.14 to 1.78) | 0.002 |
| 41–50 | 3.29 (2.62 to 4.14) | <0.001 | 2.06 (1.37 to 3.11) | 0.001 | 2.81 (2.29 to 3.44) | <0.001 |
| >50 | 8.71 (7.06 to 10.74) | <0.001 | 3.53 (2.4 to 5.20) | <0.001 | 7.28 (6.06 to 8.76) | <0.001 |
| Gender | ||||||
| Female (ref) | 1.00 | 1.00 | 1.00 | |||
| Male | 1.32 (1.12 to 1.56) | 0.001 | 1.56 (1.10 to 2.21) | 0.012 | 1.33 (1.14 to 1.55) | <0.001 |
| CCI | ||||||
| 0 (ref) | 1.00 | 1.00 | 1.00 | |||
| 1 | 1.20 (1.03 to 1.40) | 0.019 | 1.01 (0.73 to 1.40) | 0.968 | 1.19 (1.04 to 1.37) | 0.014 |
| 2 | 1.09 (0.89 to 1.33) | 0.001 | 1.06 (0.69 to 1.62) | 0.801 | 1.16 (0.97 to 1.39) | 0.113 |
| ≥3 | 1.61 (1.34 to 1.94) | <0.001 | 1.26 (0.82 to 1.94) | 0.295 | 1.61 (1.36 to 1.92) | <0.001 |
| Urbanisation | ||||||
| Urban (ref) | 1.00 | 1.00 | 1.00 | |||
| Suburban | 1.11 (0.93 to 1.34) | 0.258 | 0.96 (0.64 to 1.44) | 0.835 | 1.10 (0.93 to 1.30) | 0.284 |
| Rural | 1.12 (0.97 to 1.30) | 0.120 | 0.90 (0.65 to 1.24) | 0.514 | 1.11 (0.97 to 1.27) | 0.137 |
| Antithrombotic | ||||||
| No (ref) | 1.00 | 1.00 | 1.00 | |||
| Yes | 2.14 (1.88 to 2.47) | <0.001 | 1.98 (1.46 to 2.67) | <0.001 | 2.16 (1.9 to 2.45) | <0.001 |
aHR, adjusted HR; CCI, Charlson Comorbidity Index; SLE, systemic lupus erythematosus.
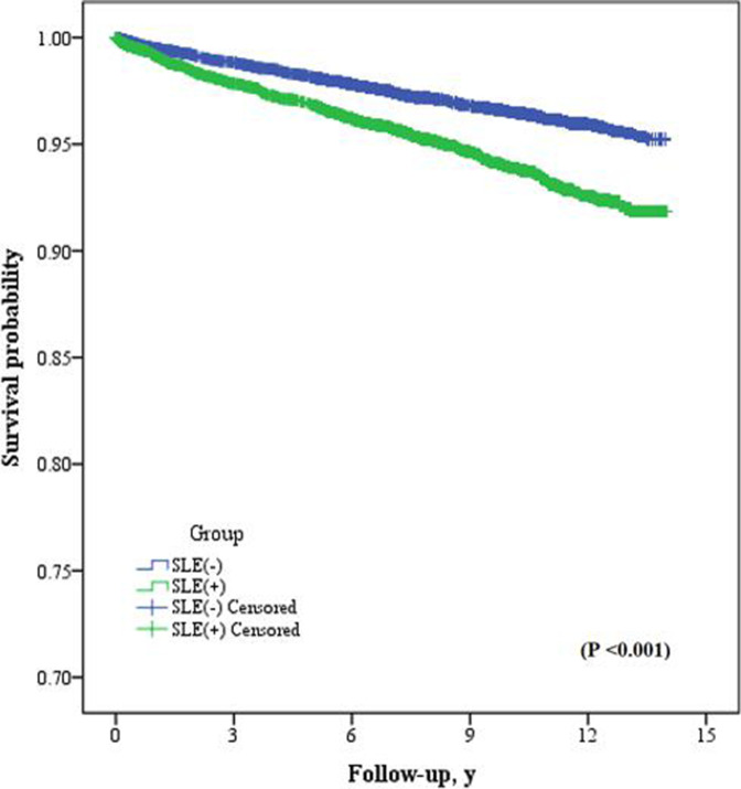
Ischaemic stroke risk in the control and SLE groups was compared with the Kaplan-Meier method. The results of the log-rank test are shown in figure 2. We disclosed a significant decrease in the SLE group. The follow-up periods for ischaemic stroke were 8.51±3.53 years in the SLE group and 9.22±2.97 years in the control group. The cumulative incidence of ischaemic stroke was higher in the SLE group at year 1 (0.88% vs 0.51%), year 3 (2.17% vs 1.18%), year 5 (3.19% vs 1.86%) and year 10 (6.12% vs 3.50%) than they were in the control group (table 4).
Figure 2.
Analysis of ischaemic stroke risk in patients with or without systemic lupus erythematosus (SLE).
Table 4.
Cumulative incidence of ischaemic stroke
| Years after SLE diagnosis | SLE group (%) | Control group (%) |
| 1 | 0.88 | 0.51 |
| 3 | 2.17 | 1.18 |
| 5 | 3.19 | 1.86 |
| 10 | 6.12 | 3.50 |
SLE, systemic lupus erythematosus.
Within the total of the 448 patients with SLE who had an ischaemic stroke, 33 used anticoagulants and 169 used antiplatelets. In addition, 22 patients used both anticoagulants and antiplatelets. Within the total of the 115 patients with SLE who had a haemorrhagic stroke, 7 used anticoagulants and 40 used antiplatelets. In addition, four patients used both anticoagulants and antiplatelets. We used another multivariable model to analyse the effect of antithrombotics on the stroke risk in patients with SLE after adjustments for age, gender, CCI and urbanisation level (table 5). The use of antithrombotics was found to increase the risk of stroke in SLE, with aHRs of 2.02 for antiplatelets (95% CI: 1.66 to 2.45), 2.56 for anticoagulants (95% CI: 1.79 to 3.66) and 2.06 for all antithrombotics (95% CI: 1.70 to 2.49). Additionally, the risk of haemorrhagic stroke increased when patients with SLE received antiplatelets (aHR=1.74, 95% CI: 1.18 to 2.57) and antithrombotics (aHR=1.79, 95% CI: 1.22 to 2.63). There was a non-significant trend of developing haemorrhagic stroke related to the use of anticoagulants (aHR=2.00, 95% CI: 0.91 to 4.20).
Table 5.
The association between antithrombotics and stroke risk*
| Antithrombotic type | Ischaemic stroke | Haemorrhagic stroke | ||||||
| No (N=7862) | Yes (N=448) | aHR* (95% CI) | P value | No (N=8195) N (%) |
Yes (N=115) N (%) |
aHR* (95% CI) | P value | |
| N (%) | N (%) | |||||||
| Antiplatelet | 1741 (22.1) | 169 (37.7) | 2.02 (1.66 to 2.45) | <0.001 | 1947 (23.8) | 40 (34.8) | 1.74 (1.18 to 2.57) | 0.005 |
| Anticoagulant | 238 (3.0) | 33 (7.4) | 2.56 (1.79 to 3.66) | <0.001 | 278 (3.4) | 7 (6.1) | 2.00 (0.91 to 4.20) | 0.086 |
| Antithrombotic | 1862 (23.7) | 180† (40.2) | 2.06 (1.70 to 2.49) | <0.001 | 2080 (25.4) | 43‡ (37.4) | 1.79 (1.22 to 2.63) | 0.003 |
*Adjusted for age, gender, CCI, and urbanisation level.
†In total, 22 patients used both anticoagulants and antiplatelets.
‡Four patients used both anticoagulants and antiplatelets.
Discussion
Our results show that patients with SLE are more likely to suffer from ischaemic and haemorrhagic strokes than patients with non-SLE are. The increased risk of ischaemic stroke remains significant over the 10-year follow-up period. In SLE group, the risk of haemorrhagic stroke is significantly associated with the use of antiplatelets or antithrombotics, while the risk of haemorrhagic stroke is not significantly associated with the anticoagulants use.
Patients with SLE had more stroke events (548 of 8310; 6.6%) than patients without SLE (634 of 16 620; 3.8%), a result consistent with those of other studies. In a previous longitudinal cohort study, the mean standardised incidence ratio of all strokes was 2.02 among patients with SLE.34 Additionally, Wang et al observed an approximately 3.2-fold (5.53 vs 1.74 per person-year) risk of stroke, with an aHR of 2.90, among 13 689 patients with SLE, compared with 54 756 patients with non-SLE.6
Patients who have recently been diagnosed with autoimmune diseases have an increased risk of thrombosis. In patients with SLE, thrombotic events are most prevalent in the first 5 years of the disease.3 Aviña-Zubieta et al observed that the risks of ischaemic stroke and myocardial infarction were highest in the first year after SLE diagnosis, with aHRs of 6.47 and 5.63, respectively.5 A similar finding was disclosed in a Swedish study, with an aHR of 3.70 for ischaemic stroke during the first year of SLE.35 However, the increased thrombotic risk persists throughout the disease course.3
Despite the lifelong persistence of thrombotic events, few long-term studies have examined the association of SLE with stroke. A retrospective cohort study using population database was conducted, and the results showed that SLE and ischaemic stroke are related over a 10 year period. In patients with SLE, even after 10 years, the cumulative incidence of ischaemic strokes was higher than in patients with non-SLE (6.12% vs 3.50%, p<0.001).
Studies have shown that diverse mechanisms, including vasculitis, premature atherosclerosis, antibody alteration, endothelial dysfunction and steroid usage, are involved in stroke pathogenesis in patients with SLE.4 10–14 Old age is also associated with an increased risk for atherosclerosis, while atherothrombotic stroke is the most common type of ischaemic stroke. Previous studies had demonstrated that the risk of thrombosis lasts throughout the course of SLE; although vasculitis-related events are predominant and occur most frequently in the first 5 years, increased risks of atherosclerosis and vessel calcification change are lifelong effects.2 3 Low-dose aspirin may be helpful as a preventive treatment in patients with SLE.17
This study showed that patients with SLE had a significantly increased risk of haemorrhagic stroke (HR=2.24), echoing the result of Wang et al (HR=3.23).6 SLE is independently associated with haemorrhagic stroke, but the pathophysiological relationship between SLE and haemorrhagic stroke remains ambiguous.12 18 36 Although the use of antithrombotics is a risk factor for haemorrhagic stroke, few studies have studied the association between haemorrhagic stroke and antithrombotic use in SLE. According to our findings, patients with SLE on antithrombotics had an increased risk of haemorrhagic stroke; aHRs of antiplatelets and antithrombotics were 1.74 and 1.79, respectively. The association between anticoagulants and haemorrhagic stroke was non-significant in patients with SLE.
Without a doubt, there are classic risk factors for ischaemic stroke. Our results demonstrated an association between the use of antithrombotics and an increased risk of ischaemic stroke, and Manolio et al obtained similar findings. Manolio et al found that aspirin users had increased risks of ischaemic stroke, in addition to haemorrhagic stroke.37 We believe this may be due to indication bias, which occurs when the risk of ischaemic stroke is related to the indication of antithrombotic for other conditions but not to the use of the antithrombotic itself. However, as Manolio et al pointed out, the mechanism underlying this association remains unclear.
Our study has several potential limitations. First, stroke in patients with SLE has multiple pathogeneses; thus, further analysis of each patient’s disease process, smoking habits, serum cholesterol levels and antiphospholipid antibodies may be useful.18 38 Data on the preceding items are unavailable from the NHIRD. In addition, various factors relating to ischaemic stroke pathogenesis are involved in patients with SLE, including vasculitis and long-term steroid use. We need further research to explore the relationship between stroke and SLE in patients with different risk factors or comorbidities. Second, the diagnoses of SLE and stroke in our study were determined entirely from ICD-9-CM codes. Because the NHIRD contains administrative claims data, the diagnostic codes must be reviewed by certified coding specialists for insurance purposes. Moreover, the definitions regarding the diagnoses of SLE and stroke have been validated, having a high sensitivity and positive predictive value,19 39 and have been broadly accepted for use in related research.6 24 25 28–31 However, we could not address unspecified stroke by using the administrative claims data. Finally, a study discovered that SLE flare-ups may be related to a greater number of comorbidities and worse prognosis.15 Our study did not consider disease activity of SLE; therefore, future studies may take disease activity into consideration.
In conclusion, patients with SLE have increased risks of both ischaemic and haemorrhagic stroke, and the increased risk of ischaemic stroke remains significant over 10 years. As far as we know, no previous study of a large population has investigated the associations among SLE, haemorrhagic stroke and the use of antithrombotics. According to our results, patients with SLE on antiplatelets are at a significantly increased risk of haemorrhagic stroke. Low-dose aspirin should be administered carefully and on an individualised basis for patients with SLE, particularly those with a high-risk antiphospholipid antibody profile, to prevent cardiovascular events.
Footnotes
Contributors: Study concept and design, interpretation of results and critical revision of the manuscript: J-AH. Data analysis and interpretation: C-HL. Interpretation of results and revision of the manuscript: M-JW, Y-HC and K-CC. Guarantor, interpretation of results and drafting and revision of the manuscript: C-WH. Final approval: all authors.
Funding: This study was supported in part by grants from Taichung Veterans General Hospital, Taiwan (TCVGH-NHRI10703).
Competing interests: None declared.
Provenance and peer review: Not commissioned; externally peer reviewed.
Data availability statement
Data are available upon reasonable request.
Ethics statements
Patient consent for publication
Consent obtained directly from patient(s).
Ethics approval
This study involves human participants. The institutional review board of Taichung Veterans General Hospital approved this study project (CE13152B-4). Participants gave informed consent to participate in the study before taking part.
References
- 1. Cervera R, Khamashta MA, Font J, et al. Morbidity and mortality in systemic lupus erythematosus during a 10-year period: a comparison of early and late manifestations in a cohort of 1,000 patients. Medicine (Baltimore) 2003;82:299–308. 10.1097/01.md.0000091181.93122.55 [DOI] [PubMed] [Google Scholar]
- 2. Radic M, Martinovic Kaliterna D, Radic J. Vascular manifestations of systemic lupus erythematosis. Neth J Med 2013;71:10–6. [PubMed] [Google Scholar]
- 3. Romero-Díaz J, García-Sosa I, Sánchez-Guerrero J. Thrombosis in systemic lupus erythematosus and other autoimmune diseases of recent onset. J Rheumatol 2009;36:68–75. 10.3899/jrheum.071244 [DOI] [PubMed] [Google Scholar]
- 4. Liou T-H, Huang S-W, Lin J-W, et al. Risk of stroke in patients with rheumatism: a nationwide longitudinal population-based study. Sci Rep 2014;4:1–6. 10.1038/srep05110 [DOI] [PMC free article] [PubMed] [Google Scholar]
- 5. Aviña-Zubieta JA, To F, Vostretsova K, et al. Risk of myocardial infarction and stroke in newly diagnosed systemic lupus erythematosus: a general population-based study. Arthritis Care Res (Hoboken) 2017;69:849–56. 10.1002/acr.23018 [DOI] [PubMed] [Google Scholar]
- 6. Wang I-K, Muo C-H, Chang Y-C, et al. Risks, subtypes, and hospitalization costs of stroke among patients with systemic lupus erythematosus: a retrospective cohort study in Taiwan. J Rheumatol 2012;39:1611–8. 10.3899/jrheum.111510 [DOI] [PubMed] [Google Scholar]
- 7. Tektonidou MG, Wang Z, Ward MM. Brief report: trends in hospitalizations due to acute coronary syndromes and stroke in patients with systemic lupus erythematosus, 1996 to 2012. Arthritis Rheumatol 2016;68:2680–5. 10.1002/art.39758 [DOI] [PMC free article] [PubMed] [Google Scholar]
- 8. Tsoi LK, Mok CC, Man BL, et al. Imaging pattern and outcome of stroke in patients with systemic lupus erythematosus: a case-control study. J Rheumatol 2021;48:533–40. 10.3899/jrheum.200664 [DOI] [PubMed] [Google Scholar]
- 9. Rossides M, Simard JF, Svenungsson E, et al. Mortality and functionality after stroke in patients with systemic lupus erythematosus. J Rheumatol 2017;44:1590–6. 10.3899/jrheum.170241 [DOI] [PubMed] [Google Scholar]
- 10. Asanuma Y, Oeser A, Shintani AK, et al. Premature coronary-artery atherosclerosis in systemic lupus erythematosus. N Engl J Med 2003;349:2407–15. 10.1056/NEJMoa035611 [DOI] [PubMed] [Google Scholar]
- 11. Blohorn A, Guegan-Massardier E, Triquenot A, et al. Antiphospholipid antibodies in the acute phase of cerebral ischaemia in young adults: a descriptive study of 139 patients. Cerebrovasc Dis 2002;13:156–62. 10.1159/000047769 [DOI] [PubMed] [Google Scholar]
- 12. Cavallaro M, Barbaro U, Caragliano A, et al. Stroke and systemic lupus erythematosus: a review. EMJ Rheumatol 2018:100–7. 10.33590/emjrheumatol/10311928 [DOI] [Google Scholar]
- 13. Vaudo G, Marchesi S, Gerli R, et al. Endothelial dysfunction in young patients with rheumatoid arthritis and low disease activity. Ann Rheum Dis 2004;63:31–5. 10.1136/ard.2003.007740 [DOI] [PMC free article] [PubMed] [Google Scholar]
- 14. Doria A, Shoenfeld Y, Wu R, et al. Risk factors for subclinical atherosclerosis in a prospective cohort of patients with systemic lupus erythematosus. Ann Rheum Dis 2003;62:1071–7. 10.1136/ard.62.11.1071 [DOI] [PMC free article] [PubMed] [Google Scholar]
- 15. Holmqvist M, Simard JF, Asplund K, et al. Stroke in systemic lupus erythematosus: a meta-analysis of population-based cohort studies. RMD Open 2015;1:e000168. 10.1136/rmdopen-2015-000168 [DOI] [PMC free article] [PubMed] [Google Scholar]
- 16. Fanouriakis A, Kostopoulou M, Alunno A, et al. 2019 update of the EULAR recommendations for the management of systemic lupus erythematosus. Ann Rheum Dis 2019;78:736–45. 10.1136/annrheumdis-2019-215089 [DOI] [PubMed] [Google Scholar]
- 17. Drosos GC, Vedder D, Houben E, et al. EULAR recommendations for cardiovascular risk management in rheumatic and musculoskeletal diseases, including systemic lupus erythematosus and antiphospholipid syndrome. Ann Rheum Dis 2022;81:768–79. 10.1136/annrheumdis-2021-221733 [DOI] [PubMed] [Google Scholar]
- 18. Guraieb-Chahín P, Cantú-Brito C, Soto-Mota A, et al. Stroke in systemic lupus erythematosus: epidemiology, mechanism, and long-term outcome. Lupus 2020;29:437–45. 10.1177/0961203320908947 [DOI] [PubMed] [Google Scholar]
- 19. Hsieh C-Y, Su C-C, Shao S-C, et al. Taiwan’s National health insurance research database: past and future. Clin Epidemiol 2019;11:349–58. 10.2147/CLEP.S196293 [DOI] [PMC free article] [PubMed] [Google Scholar]
- 20. Hong C-H, Tu H-P, Lin J-R, et al. An estimation of the incidence of tuberous sclerosis complex in a nationwide retrospective cohort study (1997-2010). Br J Dermatol 2016;174:1282–9. 10.1111/bjd.14415 [DOI] [PubMed] [Google Scholar]
- 21. Hsu P-S, Lin H-H, Li C-R, et al. Increased risk of stroke in patients with osteoarthritis: a population-based cohort study. Osteoarthritis Cartilage 2017;25:1026–31. 10.1016/j.joca.2016.10.027 [DOI] [PubMed] [Google Scholar]
- 22. Zhang L, Zhang Z-H, Wang Q-R, et al. Stroke and osteoporosis: a Taiwan cohort study. Postgrad Med J 2021;97:211–6. 10.1136/postgradmedj-2019-136959 [DOI] [PMC free article] [PubMed] [Google Scholar]
- 23. Chen C-S, Lin W-Y, Huang Y-C, et al. Risk of stroke in first-ever acute urinary retention: a 10-year population-based study. Urological Science 2016;27:71–5. 10.1016/j.urols.2016.01.001 [DOI] [Google Scholar]
- 24. Chung W-S, Lin C-L, Chang S-N, et al. Systemic lupus erythematosus increases the risks of deep vein thrombosis and pulmonary embolism: a nationwide cohort study. J Thromb Haemost 2014;12:452–8. 10.1111/jth.12518 [DOI] [PubMed] [Google Scholar]
- 25. Chiu C-C, Huang C-C, Chan W-L, et al. Increased risk of ischemic stroke in patients with systemic lupus erythematosus: a nationwide population-based study. Intern Med 2012;51:17–21. 10.2169/internalmedicine.51.6154 [DOI] [PubMed] [Google Scholar]
- 26. Manolio TA, Kronmal RA, Burke GL, et al. Short-term predictors of incident stroke in older adults. Stroke 1996;27:1479–86. 10.1161/01.STR.27.9.1479 [DOI] [PubMed] [Google Scholar]
- 27. Lin Y-S, Chen T-H, Chi C-C, et al. Different implications of heart failure, ischemic stroke, and mortality between nonvalvular atrial fibrillation and atrial flutter-a view from a national cohort study. J Am Heart Assoc 2017;6:e006406. 10.1161/JAHA.117.006406 [DOI] [PMC free article] [PubMed] [Google Scholar]
- 28. Lin H-C, Xirasagar S, Chen C-H, et al. Association between physician volume and hospitalization costs for patients with stroke in Taiwan: a nationwide population-based study. Stroke 2007;38:1565–9. 10.1161/STROKEAHA.106.474841 [DOI] [PubMed] [Google Scholar]
- 29. Ho JD, Hu CC, Lin HC. Open-Angle glaucoma and the risk of stroke development: a 5-year population-based follow-up study. Stroke 2009;40:2685–90. 10.1161/STROKEAHA.109.554642 [DOI] [PubMed] [Google Scholar]
- 30. Lin HC, Chien CW, Ho JD. Herpes zoster ophthalmicus and the risk of stroke: a population-based follow-up study. Neurology 2010;74:792–7. 10.1212/WNL.0b013e3181d31e5c [DOI] [PubMed] [Google Scholar]
- 31. Kang J-H, Kao L-T, Lin H-C, et al. Statin use increases the risk of depressive disorder in stroke patients: a population-based study. J Neurol Sci 2015;348:89–93. 10.1016/j.jns.2014.11.013 [DOI] [PubMed] [Google Scholar]
- 32. Jiménez Caballero PE, López Espuela F, Portilla Cuenca JC, et al. Charlson comorbidity index in ischemic stroke and intracerebral hemorrhage as predictor of mortality and functional outcome after 6 months. J Stroke Cerebrovasc Dis 2013;22:e214–8. 10.1016/j.jstrokecerebrovasdis.2012.11.014 [DOI] [PubMed] [Google Scholar]
- 33. Huang J-A, Lin C-H, Chang Y-T, et al. Nephrotic syndrome is associated with increased risk of ischemic stroke. J Stroke Cerebrovasc Dis 2019;28:104322. 10.1016/j.jstrokecerebrovasdis.2019.104322 [DOI] [PubMed] [Google Scholar]
- 34. Mok CC, Ho LY, To CH. Annual incidence and standardized incidence ratio of cerebrovascular accidents in patients with systemic lupus erythematosus. Scand J Rheumatol 2009;38:362–8. 10.1080/03009740902776927 [DOI] [PubMed] [Google Scholar]
- 35. Arkema EV, Svenungsson E, Von Euler M, et al. Stroke in systemic lupus erythematosus: a Swedish population-based cohort study. Ann Rheum Dis 2017;76:1544–9. 10.1136/annrheumdis-2016-210973 [DOI] [PubMed] [Google Scholar]
- 36. Feigin VL, Rinkel GJE, Lawes CMM, et al. Risk factors for subarachnoid hemorrhage: an updated systematic review of epidemiological studies. Stroke 2005;36:2773–80. 10.1161/01.STR.0000190838.02954.e8 [DOI] [PubMed] [Google Scholar]
- 37. Manolio TA, Kronmal RA, Burke GL, et al. Short-Term predictors of incident stroke in older adults. Stroke 1996;27:1479–86. 10.1161/01.STR.27.9.1479 [DOI] [PubMed] [Google Scholar]
- 38. Wigren M, Nilsson J, Kaplan MJ. Pathogenic immunity in systemic lupus erythematosus and atherosclerosis: common mechanisms and possible targets for intervention. J Intern Med 2015;278:494–506. 10.1111/joim.12357 [DOI] [PMC free article] [PubMed] [Google Scholar]
- 39. Cheng C-L, Kao Y-HY, Lin S-J, et al. Validation of the National health insurance research database with ischemic stroke cases in Taiwan. Pharmacoepidemiol Drug Saf 2011;20:236–42. 10.1002/pds.2087 [DOI] [PubMed] [Google Scholar]
Associated Data
This section collects any data citations, data availability statements, or supplementary materials included in this article.
Data Availability Statement
Data are available upon reasonable request.

