Abstract
The hydrogen 21-cm signal is predicted to be the richest probe of the young Universe, including those eras known as the cosmic Dark Ages, the Cosmic Dawn (when the first star and black hole formed) and the Epoch of Reionization. This signal holds the key to deciphering processes that take place at the early stages of cosmic history. In this opinion piece, we discuss the potential scientific merit of lunar observations of the 21-cm signal and their advantages over more affordable terrestrial efforts. The Moon is a prime location for radio cosmology which will enable precision observations of the low-frequency radio sky. The uniqueness of such observations is that they will provide an unparalleled opportunity to test cosmology and the nature of dark matter using the Dark Ages 21-cm signal. No less enticing is the opportunity to obtain a much clearer picture of the Cosmic Dawn than that currently achievable from the ground, which will allow us to determine the properties of the first stars and black holes.
This article is part of a discussion meeting issue ‘Astronomy from the Moon: the next decades (part 2)’.
Keywords: first stars, nature of dark matter, radio astronomy
1. The present-day landscape
We are fortunate to live in an era of spectacular successes in observational cosmology. Large-scale imaging surveys like BOSS [1], DES [2], DESI [3] and the recently launched Euclid [4] are able to scan the nearby Universe in great detail and map out the positions of billions of galaxies. At the same time, intensity-mapping experiments such as MeerKAT [5,6], CHIME [7] and Tianlai [8] aim to provide complementary information by probing the large-scale distribution of neutral hydrogen in galaxies [5,6,9]. Combined, all these surveys provide expansive maps of our cosmic neighbourhood, covering the observable Universe all the way out to redshift , when the Universe was merely 2 Gyr old. In addition to these low-redshift probes, observations of the cosmic microwave background (CMB), e.g. with the Planck satellite, provide a comprehensive picture of the Universe when it was only 0.38 Myr () old [10].
The era between low-redshift observations and the much higher-redshift CMB last-scattering surface is less well probed. Epochs such as the Cosmic Dawn and the Dark Ages, forming the first few 100 Myr of cosmic history, remain largely unobserved. These epochs host a large number of cosmological milestones and landmark astronomical events, such as the build-up of the first dark-matter halos massive enough to hold gas, the birth of the first stars and black holes and the onset of reionization of neutral gas by UV stellar photons, which is often referred to as ‘the last phase transition’ of the Universe [11]. The promise of exciting scientific discoveries sparks the enormous interest of the observational community in probing these epochs and motivates the launch and design of new telescopes.
However, the high-redshift Universe is notoriously difficult to observe. The high required sensitivity of galactic surveys [12–14], the presence of bright Galactic [15,16] and extragalactic [17,18] foregrounds in the radio sky (see [19] for a recent review) and systematics (e.g. [20–22]) prove to be a significant challenge. Despite this, the scientific community is actively pushing the observational frontier to earlier cosmic times. The recent launch and subsequent observations by the JWST have begun probing the bright-galaxy population deep into the Epoch of Reionization at , pushing the limits of its predecessor, the Hubble Space Telescope. Large JWST fields such as CEERS [23], GLASS and JADES have revealed hundreds of candidate galaxies at such early epochs, with the current record holder for the most distant spectroscopically confirmed object at being JADES-GS-z13-0 [24,25]. Furthermore, we are beginning to see the ‘monsters’ inhabiting the early Universe: supermassive black holes [26,27], high-redshift quasars [28,29] with a record-breaking X-ray luminous quasar UHZ1 at [30,31] and Active Galactic Nuclei (AGN) all the way out to the exceptionally luminous GN-z11 at [32,33].
Despite these successes, we are merely probing the tip of the iceberg. The observations by the JWST leave out the most typical galaxies, which are dimmer than the threshold JWST sensitivity. Such galaxies are expected to be numerous and collectively may have had a strong influence on the state of the early Universe. The 21-cm signal of neutral hydrogen is expected to probe this population of galaxies by measuring their effect on the thermal and ionization histories.
2. The science-rich 21-cm signal
The 21-cm signal of neutral hydrogen from the intergalactic medium (IGM) is predicted to be the most sensitive probe of the Universe at the Epoch of Reionization, the Cosmic Dawn and the sole probe of the Dark Ages. Once detected, this signal will provide a three-dimensional map of the Universe at the broad redshift range [11,34,35] (note that contrary to the common assumption, although the signal at very high redshifts is weak, it is non-vanishing owing to the departure of colour temperature from gas temperature [36,37]), corresponding to redshifted radio signals at approximately frequencies.
This signal, demonstrated in figure 1, is a rich probe of astrophysics and cosmology. Panel () shows the sky-averaged (or global) 21-cm signal which can be used to determine the timing of cosmic milestones (e.g. the onset of star formation, the moment when X-ray binaries (XRBs) re-heated the IGM to the temperature of the CMB and the end of reionization). Panel () shows the lightcone, i.e. spatial and temporal structure of the signal. We see that the 21-cm signal is highly non-uniform at most stages of cosmic history with the fluctuation pattern changing in time as the Universe evolves and new processes dominate the signal. The figure covers several key stages in the evolution of temperature and the ionization state of the IGM including (from left to right) the Dark Ages (), the Cosmic Dawn (), and the entirety of the Epoch of Reionization (, with the process of reionization completed by in this specific simulation).
Figure 1.
The 21-cm signal across cosmic time. The demonstrated timeline covers (from left to right) the Dark Ages, the Cosmic Dawn and the Epoch of Reionization, with the process of reionization completed by . We show the sky-averaged (global) signal () and a lightcone map of spatial fluctuations () as a function of time (horizontal) and space (vertical). The post-Dark Ages signal is generated using the semi-numerical code 21 CMSPACE [38–54], while the Dark Ages global signal is generated using the analytic code RECFAST++ ([55], for model details). The colourbar on the right shows the differential brightness temperature of the 21-cm line in mK. The simulations assume the standard CDM cosmology with cosmological parameters from the Planck 2018 analysis [56]. In this simulation, stars are assumed to form in halos with circular velocity above 4.2 km s. The adopted astrophysical model assumes Population III star formation with fixed 0.2% efficiency and log-flat IMF [52], an intermediate time-delay transition between Population III and Population II star-forming halos [51] and Population II star formation with a simple power-law efficiency [57]. XRBs are assumed to produce X-rays with efficiency and have soft SEDs with power-law exponent of above 0.1 keV [41], while galaxies produce radio emission with an efficiency of [48]. Cosmic ionization efficiency is assumed to be of [58]. The simulations also include various feedback processes such as Lyman–Werner feedback [39], photo-heating [44] and baryon-dark matter relative motion [38].
The Dark Ages 21-cm signal is largely determined by structure formation and dark matter physics. This signal probes fluctuations in the baryon density, peculiar velocity and baryon temperature. Precision modeling of the 21-cm signal from the Dark Ages requires the inclusion of cosmological phenomena such as redshift evolution (light-cone), the Alcock–Paczynski effect, the relative velocity between dark matter and gas, collisions of hydrogen atoms with various species, the colour temperature of the residual photons left over from Recombination and the distribution of mildly (at the level of approx. ) ionized gas [36,37,59–61].
Collisional coupling between the hydrogen atoms and all existing particles throughout the cosmic dark ages guarantees that the 21-cm signal is driven by the kinetic temperature of the gas, resulting in a non-vanishing but faint radio signal visible in absorption against the CMB background [34]. Within the conventionally considered ‘standard’ models of cosmology and astrophysics, the observable absorption feature has differential brightness at [61, fig. 1]. This signal is typically much weaker than the Cosmic Dawn absorption trough which we discuss in the following paragraph (centred at for the model demonstrated in figure 1), but is roughly of the same brightness as the reionization emission peak which occurs in models with strong enough heating (at for the model shown in figure 1). Note that in scenarios with inefficient heating [41], the neutral IGM might be colder than the CMB for the entirety of cosmic history (including the Epoch of Reionization) thus resulting in the 21-cm signal seen in absorption at any redshift (i.e. with no emission feature) and ‘cold reionization’. As the Universe expands and collisions become less efficient, the 21-cm signal fades away becoming practically undetectable (around in figure 1).
The next milestone in the history of the Universe is the formation of the first sources of light which ushers the Universe into the Cosmic Dawn era (). As the first stars emerge at [62], they produce photons that couple the 21-cm spin temperature to the kinetic temperature of the gas [39,40,52,63,64]. Owing to the different adiabatic cooling rates, the gas temperature is colder than the CMB, resulting in an observable absorption signal. As the Universe expands and adiabatically cools down further, the absorption deepens—a process that continues until the first population of heating sources emerges. The onset of cosmic heating defines the so-called ‘absorption trough’, the global minimum of the sky-averaged 21-cm signal, clearly shown in figure 1 at . One of the most widely considered types of heating sources are the first XRBs [65,66]. These astrophysical objects are natural endpoints of stellar evolution [67,68]; as the first stars die, some end up as compact objects in binary systems (e.g. the first astrophysical black holes). These systems produce X-rays in the process of accretion [66] or decretion [69] of gas. The X-ray background contributes to reheating of the IGM in a non-uniform manner (figure 1, [41,45,70]) and the contrast between the gas temperature and the CMB decreases. The gas can also be heated by other astrophysical sources, e.g. via cosmic rays [54,71] or scattering [49,72,73]. As we mentioned above, depending on the efficiency of the first heating sources, the neutral gas temperature might either rise above that of the background radiation resulting in an emission 21-cm signal (as shown in figure 1 at the low-redshift end), or remain colder than that of the CMB resulting in an absorption 21-cm signal until the end of reionization [41]. Finally, the signal vanishes as the neutral hydrogen in the IGM is ionized by galaxies and quasars.
The Cosmic Dawn global 21-cm trough ( in figure 1) might be a few hundred mK deep ([47,49,74], with the exact location and depth being model-dependent) and the spatial structure of the signal is predicted to have a rich fluctuation pattern that could inform us of some of the earliest astrophysical processes [41,54,70,75]. This deep absorption is the target of many ground-based missions such as the radiometers EDGES [76], MIST [77], REACH [78] and SARAS [79], and the interferometers which target fluctuations in the 21-cm signal such as HERA [80], LOFAR [81,82], NenuFAR [83,84], MWA [85], LWA [86] and LEDA [87] as well as the future SKA [88,89].
In addition to the commonly considered astrophysical and cosmological processes described above, the signal will depend on other processes if it is to affect the growth of structure, star and black hole formation or heating and ionization of the Universe. For instance, dark matter cooling [46,90–93] or excess radio background above the CMB level [47,48,53,94–96] will affect the structure, magnitude and features of the signal.
3. Science with ground-based 21-cm observations
The science-rich 21-cm signal outlined above is hard to measure owing to its intrinsic faintness, the brightness of overlaying foreground signals and the uncertainty in instrumental systematics.
Terrestrial observations of the Dark Ages are made particularly difficult by the ionosphere which corrupts low radio frequencies. Owing to the electromagnetic properties of the ionosphere, signals at frequencies below (plasma frequency of the F-layer peak) are reflected into space and cannot be observed from the ground, while radio waves approximately below are refracted and partially absorbed [97–99]. As a result, the cosmic Dark Ages, which are encoded in the lowest radio frequencies owing to the expansion of the Universe, can only be measured from above the ionosphere, providing the most compelling science case for lunar and space missions.
Although the remaining parts of cosmic history, including the signals from the Cosmic Dawn and the Epoch of Reionization, are accessible from the ground, the ionosphere acts as a lens creating chromatic distortions of the incoming low-frequency radio waves ([99,100], figure 2). Shen et al. [101] showed that more than 5% error in a time-dependent ionospheric model will corrupt the global 21-cm measurement (figure 2). The ionosphere, naturally, also creates a problem for interferometric observations of fluctuations in the 21-cm signal. Ionospheric propagation delays are a major contributor to phase errors at low radio frequencies and can pose a significant challenge even for the Epoch of Reionization experiments [103]. Although currently, the effect of the ionosphere is often left untreated, these effects can be (at least partially) removed, e.g. LOFAR is using direction-dependent calibration [104].
Figure 2.
(a) Refraction and absorption of homogeneous ionospheric layers, not-to-scale, adapted from [100]. The illustration shows two layers (F-layer and D-layer) of the ionosphere that have the most important effect on radio wave propagation: the F-layer is the highest region of the ionosphere and has the highest density of free electrons thus providing the dominant contribution to refraction. Although its average degree of ionization does not vary significantly through the night, the ion distribution might vary. The D-layer dominates absorption. (b) Measuring the global 21-cm signal in the presence of time-varying ionosphere. The signal is extracted using a Bayesian pipeline of the REACH experiment [102]. The data include an injected/true cosmic signal (grey dashed), residuals with the fitted foreground removed are shown in red, and the best-fit reconstructed global 21-cm signal posterior is shown in blue. Plot adapted from Shen et al. [101]. Time-varying ionosphere is implemented using the real data collected from Lowell GIRO Data Center at station Louisvale, South Africa. Shen et al. [101] conclude that more than 5% error in the ionospheric (time-dependent) model will impede the global 21-cm measurement.
In addition to the ionospheric distortions, human-made radio frequency interference (RFI) contaminates the signal making the ground-based observations harder to interpret. These issues lead us to think that lunar observations of the Cosmic Dawn and the Epoch of Reionization (especially from the lunar dark side to avoid RFI) would provide a much clearer view of the epochs and allow us to robustly extract some of the most interesting details of primordial-star and black-hole formation as well as shedding light on the nature of dark matter and structure formation at early times.
Despite the difficulties, many of the existing ground-based low-frequency radio telescopes provide competitive upper limits that are, in some cases, strong enough to rule out most extreme theoretical models.
A fully Bayesian analysis conducted by Bevins et al. [105] showed that, at the time of writing, HERA provides the tightest constraints on the 21-cm power spectrum from the Epoch of Reionization [106], followed closely by LOFAR [107] and MWA [108]. The latest publicly available HERA limits (at 95% confidence) are at and and at and , derived using 94 nights of observing with HERA Phase I. In addition to the constraints obtained using the interferometric data, residuals of the global-signal experiments SARAS 2 and EDGES High-Band appear to be low enough to rule out some of the standard astrophysical scenarios at the reionization redshifts [109–112].
Observations of the Cosmic Dawn are more controversial. The EDGES collaboration reported a tentative detection of a deep absorption trough at with the EDGES Low-Band antenna [76]. This detection has not been confirmed and is in tension with SARAS 3 measurements at [79]. Exploration of the Cosmic Dawn is also being conducted with interferometers including the ‘AARTFAAC Cosmic Explorer’ (ACE) program of LOFAR [113], NenuFAR [84], MWA [114], LWA [86] and LEDA [87]. However, the published the Cosmic Dawn power spectra limits are very weak and do not constrain any astrophysical scenarios.
The constraining data (e.g. from HERA at [106] and SARAS 3 at [79]) are being used to restrict standard and exotic astrophysical scenarios, including models with enhanced 21-cm signals boosted by the extra radio background present in addition to the CMB [47,48,53]. Such models, originally designed to explain the anomalous EDGES Low-Band detection, provide an interesting theoretical test case. In a Bayesian analysis, limits on the 21-cm power spectrum at from HERA and global signal constraints at from SARAS 3 were shown to limit the astrophysical parameter space of these models [105]. Bevins et al. [105] showed that in synergy, the two experiments leave only % of the explored prior space to be consistent with the joint dataset. The strongest joint constraints are in the space of the radio and X-ray luminosities of the first galaxies. The joint analysis disfavours at 68% confidence a combination of galaxies with X-ray emission that is and radio emission that is times as efficient as present-day galaxies. In addition, weak trends in constraints of star formation efficiency and minimum halo mass for star formation are seen.
The synergetic constraints by HERA and SARAS 3 can be further supplemented by the unresolved X-ray background measurements from the Chandra X-ray satellite [115,116] and the radio background detected by ARCADE2 [117] and LWA1 [118]. In their work, Pochinda et al. [119] considered a model that differentiates between the primordial stars (Population III, see more discussion in §4a) formed out of chemically pristine gas (at the Big Bang nucleosynthesis level) and second-generation stars (Population II) formed out of chemically-enriched gas. This study indicates that SARAS 3 data are (weakly) sensitive to the properties of Population III star-forming regions, while the other experiments mostly constrain the properties of X-ray and radio sources. Although very weak and model-dependent, these limits are one of the first to test the properties of primordial star-forming regions. This analysis illustrates that even the existing data, despite being plagued by systematic effects, ionospheric distortions and foreground uncertainties, can be used to advance our understanding of astrophysics at the Cosmic Dawn.
4. Science from the moon
Observations from the lunar surface or space will provide the only way to probe the state of neutral hydrogen during the Dark Ages as this radio signal is inaccessible from the ground. Moreover, these observations are expected to supersede terrestrial observations of the Cosmic Dawn bypassing the issues of ionospheric distortions and RFI (if performed from the lunar dark side). Owing to the cleaner radio environment, measurements of the Cosmic Dawn 21-cm signal from the Moon might allow us to test some of the most intriguing properties of first stars and black holes.
(a) . Crisp observations of the Cosmic Dawn
Precise 21-cm signal measurements of the Cosmic Dawn are probably our best chance to probe the first generation of stars (also called Population III or Pop III stars) and the successive population of first X-ray binaries (XRBs). Little is known for certain about these objects [62,66], but it is widely believed that the first metal-free stars form in small numbers in dark-matter mini-halos from the hydrogen and helium gas produced in Big-Bang nucleosynthesis. Despite making up only a tiny fraction of the stars that will ever form, these stars should have had a profound effect on the history of the Universe, producing the first metals, and starting the reionization of the IGM. Properties of the first population of XRBs, which are responsible for the onset of the IGM heating, are tightly linked to the properties of the stars themselves (such as the stellar initial mass function (IMF) [66]).
The sensitivity of the Cosmic Dawn 21-cm signal to the first stars and XRBs, via the photon emission of the former and X-rays generated by the latter, allows it to probe these first sources of light. At the most basic level, detecting global features associated with the Cosmic Dawn in the 21-cm signal, like the rapid drop in the 21-cm global signal and the subsequent rise as a result of heating (demonstrated in figure 1), will reveal the timing and efficiency of the formation of the first stars and XRBs. Further high signal-to-noise measurements of the 21-cm signal from the Cosmic Dawn should provide additional details and insights into the properties of the first sources.
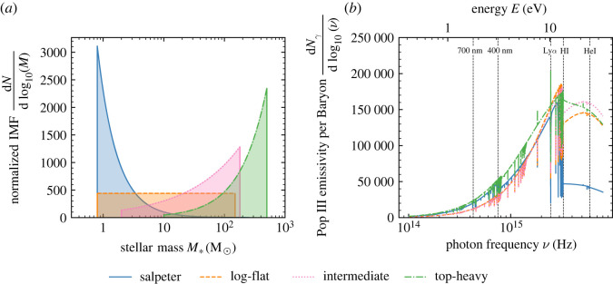
For example, emissivity of a Pop III star in the Lyman band depends on the mass of the star [52,120]. As a result, the combined signature of the first stellar population in the 21-cm signal depends on the distribution of stellar masses, the so-called IMF (figure 3). Different IMFs result in small, but potentially measurable, variations in the predicted the Cosmic Dawn 21-cm signal [52]. If first-star formation was efficient, these signatures may be just measurable by the SKA [89], though at low signal-to-noise ratios. However, if first-star formation is inefficient or occurs earlier than anticipated (e.g. in the case of rare overdense regions) these differences will require precise low-frequency 21-cm signal measurements that are only feasible from the lunar dark side.
Figure 3.
The emissivity of the first stars varies with their mass distribution. Panel (a) depicts four truncated power-law IMFs that may describe the mass distribution of the first stars. Panel (b) shows the corresponding prediction for the population-averaged emissivity per baryon of the first stars given these IMFs. The line (), hydrogen ionizing energy (HI) and helium ionizing energy (HeI) are highlighted as the emissivity above these lines has particular importance in determining the evolution of the 21-cm signal. Moderate differences are seen in emission between and HI between IMFs and significant variations in ionizing emissivity. The Lyman band emissivity variations produce potentially observable differences in the 21-cm signal [52], suggesting the possibility of probing the mass distribution of the first stars using the 21-cm signal.
(b) . The unseen Dark Ages
The ability to probe the Dark Ages provides a unique science case for space and lunar observations of the 21-cm signal. Uncontaminated by astrophysics, it provides a new probe of fundamental physics over the unprecedentedly large range of scales and unseen cosmic time. By performing a mode counting exercise, Cole & Silk [121] found that lunar observations of the three-dimensional (nearly linear) 21-cm power spectrum from will probe approximately modes, which is considerably larger than the amount of information contained in the CMB (approx. modes) and large scale structure ( modes at ).
The Dark Ages are marked by the first ever infall of gas into newly assembled deep dark matter potential wells and, thus, provide an unprecedented opportunity to study the birth-places of first stars and the onset of structure formation [75,122]. Low-frequency radio experiments with arcminute angular resolution will be able to probe non-Gaussianity produced by nonlinear collapse, e.g. using the 21-cm bispectrum [123]. Beyond these exciting prospects is the highly compelling case of early cosmology [61]. The large number of linear modes probed by the Dark Ages 21-cm signal will provide an unparalleled test of primordial non-Gaussianity of the initial density field [123–126]. The signal from will test the inflationary paradigm on small scales (down to approx. ) inaccessible to the CMB experiments, allowing us to probe theories with primordial non-Gaussianity of [123,125,127]. This constraint improves () when cross-correlations between 21-cm fluctuations and the CMB T- and E-mode anisotropies are considered [126].
If deviations of the Dark Ages 21-cm signal from the predictions of the standard CDM cosmology are observed, this could be a signature of dark matter physics [128–133], or other exotic processes [55,134–137]. In any theory in which new phenomena contribute to structure formation, heating or ionization at early times, these signatures will be directly imprinted in the 21-cm signal. Some examples include ultra-light axions which would affect the 21-cm signal by changing the matter power spectrum and thus affecting the collapse of early structures [133], dark matter annihilation or decay which could change temperature and ionization state of the gas [129,132], primordial black holes which effect the signal through Hawking radiation (evaporation) or emitting radiation in the process of accretion [55,134,136] and superconducting cosmic strings (e.g. [135]).
(c) . Caveats
Undoubtedly, the scientific merits of the low-frequency radio observations from the lunar farside are great, with exciting prospects to probe fundamental physics, cosmology and high-redshift astrophysics. The advantages of dark-side lunar observations are clear: the lack of ionosphere and RFI, as well as environmental stability during the two-week lunar night which permits long uninterrupted integration times [138]. However, such observations are technically challenging (see the white paper by Koopmans et al. [139] for more details).
Low-frequency radio astronomy is plagued by the presence of bright foregrounds [16] which are several orders of magnitude stronger than the intrinsically weak 21-cm signal. This problem is a challenge for 21-cm observations from the ground and the Moon alike. The foregrounds are stronger at lower frequencies and, therefore, will be a more serious obstacle for the robust identification of the Dark Ages 21-cm signal compared to the Cosmic Dawn or Epoch of Reionization eras. A viable solution is to marginalize over the foreground parameters when inferring cosmological properties [102].
Operating from the Moon also involves unfamiliar technical challenges [138,139]. For example, reflections from the lunar subsurface are not well understood [140] and could corrupt the observation if not modelled adequately. Physical properties of the lunar regolith such as density and porosity [141] could effect mission operation. Other environmental challenges include the large temperature gradients (approx. during the day and at night) which can destabilize instrumentation, the charged lunar-dust environment [142] and micrometeoroid flux which can affect the longevity of experiments. For interferometry, to achieve the required high spatial resolution and sensitivity it is estimated that an array of individual antennas distributed over is needed [61,139,143] with integration times of up to 10 000 hours required for precision cosmology [61]. To host such large experiments, very few suitable shadowed craters exist on the lunar farside [144] adding to the need for urgent international policy in protecting these environments for astronomical research.
5. Conclusion
In this opinion piece, we reviewed the physics and the observational status of 21-cm cosmology. We provided a short discussion of the scientific merit of lunar observations at low radio frequencies, arguing that the Moon, indeed, is expected to provide a unique environment for 21-cm cosmology. A plethora of exciting scientific questions can only be answered by doing 21-cm science from space or the lunar surface. In particular, observations of the 21-cm signal from the cosmic Dark Ages are only possible from either space or the Moon. These unique measurements will open up a new window to study cosmology and structure formation in the unexplored regime when the first bound dark-matter objects (e.g. halos) were forming. If measured, deviations from the predictions assuming the standard CDM cosmology could point to the presence of ‘exotic’ processes such as non-cold dark matter. Additionally, free from ionospheric distortions and human-made interference, observations from the Moon or from space are also expected to provide a clearer view of the epoch of the first star and XRB formation than that possible from the ground, enabling precision science at the Cosmic Dawn. Specifically, robustly determining the typical masses (and hopefully the full mass distribution) of the first generation of stars is one of the most exciting scientific questions that can be answered with 21-cm cosmology from the Moon or from space.
Acknowledgements
We thank the two anonymous referees for their constructive comments which helped improve the paper. A.F. is grateful to the Royal Society for its continuous and generous support in the form of a URF. T.G.-J. acknowledges the support of the Science and Technology Facilities Council (STFC) through grant no. ST/V506606/1. J.D. acknowledges support from the Boustany Foundation and Cambridge Commonwealth Trust in the form of an Isaac Newton Studentship. A.F. thanks C. J. O’Connell for the careful proofreading of this manuscript.
Data accessibility
This article has no additional data.
Declaration of AI use
We have not used AI-assisted technologies in creating this article.
Authors' contributions
A.F.: conceptualization, funding acquisition, investigation, methodology, project admini-stration, resources, software, supervision, writing—original draft, writing—review and editing; T.G.-J.: data curation, formal analysis, methodology, software, validation, visualization, writing—review and editing; J.D.: data curation, methodology, software, visualization, writing—review and editing.
All authors gave final approval for publication and agreed to be held accountable for the work performed therein.
Conflict of interest declaration
We declare we have no competing interests.
Funding
T.G.-J. supported by the Science and Technology Facilities Council (STFC) through grant no. ST/V506606/1. J.D. supported by the Boustany Foundation and Cambridge Commonwealth Trust in the form of an Isaac Newton Studentship.
References
- 1.Dawson KS et al. 2013. The baryon oscillation spectroscopic survey of SDSS-III. Astron. J. 145, 10. ( 10.1088/0004-6256/145/1/10) [DOI] [Google Scholar]
- 2.Sevilla-Noarbe I et al. 2021. Dark energy survey year 3 results: photometric data set for cosmology. Astrophys. J., Suppl. 254, 24. ( 10.3847/1538-4365/abeb66) [DOI] [Google Scholar]
- 3.DESI Collaboration, Adame AG et al. 2023. The early data release of the dark energy spectroscopic instrument. (http://arxiv.org/abs/2306.06308).
- 4.Laureijs R et al. 2011. Euclid definition study report. (http://arxiv.org/abs/1110.3193).
- 5.Cunnington S et al. 2023. H I intensity mapping with MeerKAT: power spectrum detection in cross-correlation with WiggleZ galaxies. Mon. Not. R. Astron. Soc. 518, 6262-6272. ( 10.1093/mnras/stac3060) [DOI] [Google Scholar]
- 6.Paul S, Santos MG, Chen Z, Wolz L. 2023. A first detection of neutral hydrogen intensity mapping on Mpc scales at and . (http://arxiv.org/abs/2301.11943).
- 7.CHIME Collaboration, Amiri M et al. 2022. An overview of chime, the canadian hydrogen intensity mapping experiment. Astrophys. J. Suppl. Ser. 261, 29. ( 10.3847/1538-4365/ac6fd9) [DOI] [Google Scholar]
- 8.Chen X. 2012. The Tianlai Project: a 21CM Cosmology Experiment. In Int. J. of Modern Physics Conf. Series, vol. 12, pp. 256–263. ( 10.1142/S2010194512006459) [DOI]
- 9.Amiri M et al. 2023. Detection of cosmological 21 cm emission with the canadian hydrogen intensity mapping experiment. Astrophys. J. 947, 16. ( 10.3847/1538-4357/acb13f) [DOI] [Google Scholar]
- 10.Planck Collaboration, Aghanim N et al. 2020. Planck 2018 results. VI. Cosmological parameters. Am. Acad. Pediatrics 641, A6. ( 10.1051/0004-6361/201833910) [DOI] [Google Scholar]
- 11.Barkana R. 2016. The rise of the first stars: supersonic streaming, radiative feedback, and 21-cm cosmology. Phys. Rep. 645, 1-59. ( 10.1016/j.physrep.2016.06.006) [DOI] [Google Scholar]
- 12.Madau P, Dickinson M. 2014. Cosmic star-formation history. Annu. Rev. Astron. Astrophys. 52, 415-486. ( 10.1146/annurev-astro-081811-125615) [DOI] [Google Scholar]
- 13.Zackrisson E, Rydberg CE, Schaerer D, Östlin G, Tuli M. 2011. The spectral evolution of the first galaxies. I. James webb space telescope detection limits and color criteria for population III galaxies. Astrophys. J. 740, 13. ( 10.1088/0004-637X/740/1/13) [DOI] [Google Scholar]
- 14.Steinhardt CL, Jespersen CK, Linzer NB. 2021. Finding high-redshift galaxies with JWST. Astrophys. J. 923, 8. ( 10.3847/1538-4357/ac2a2f) [DOI] [Google Scholar]
- 15.Davies RD, Wilkinson A. 1998. Synchrotron emission from the galaxy. (http://arxiv.org/abs/astro-ph/9804208).
- 16.de Oliveira-Costa A, Tegmark M, Gaensler BM, Jonas J, Landecker TL, Reich P. 2008. A model of diffuse Galactic radio emission from 10 MHz to 100 GHz. Mon. Not. R. Astron. Soc. 388, 247-260. ( 10.1111/j.1365-2966.2008.13376.x) [DOI] [Google Scholar]
- 17.Best PN et al. 2023. The LOFAR two-metre sky survey: deep fields data release 1. V. Survey description, source classifications, and host galaxy properties. Mon. Not. R. Astron. Soc. 523, 1729-1755. ( 10.1093/mnras/stad1308) [DOI] [Google Scholar]
- 18.Hurley-Walker N et al. 2017. GaLactic and Extragalactic All-sky Murchison Widefield Array (GLEAM) survey - I. A low-frequency extragalactic catalogue. Mon. Not. R. Astron. Soc. 464, 1146-1167. ( 10.1093/mnras/stw2337) [DOI] [PMC free article] [PubMed] [Google Scholar]
- 19.Chapman E, Jelić V. 2019. Foregrounds and their mitigation. (http://arxiv.org/abs/1909.12369).
- 20.Steinhardt CL, Kokorev V, Rusakov V, Garcia E, Sneppen A. 2023. Templates for fitting photometry of ultra-high-redshift galaxies. Astrophys. J., Lett. 951, L40. ( 10.3847/2041-8213/acdef6) [DOI] [Google Scholar]
- 21.Arrabal Haro P et al. 2023. Confirmation and refutation of very luminous galaxies in the early Universe. Nature 622, 707-711. ( 10.1038/s41586-023-06521-7) [DOI] [PubMed] [Google Scholar]
- 22.Hills R, Kulkarni G, Meerburg PD, Puchwein E. 2018. Concerns about modelling of the EDGES data. Nature 564, E32-E34. ( 10.1038/s41586-018-0796-5) [DOI] [PubMed] [Google Scholar]
- 23.Finkelstein SL et al. 2023. CEERS key paper. i. an early look into the first 500 Myr of galaxy formation with JWST. Astrophys. J. Lett. 946, L13. ( 10.3847/2041-8213/acade4) [DOI] [Google Scholar]
- 24.Curtis-Lake E et al. 2023. Spectroscopic confirmation of four metal-poor galaxies at . Nat. Astron. 7, 622-632. ( 10.1038/s41550-023-01918-w) [DOI] [Google Scholar]
- 25.Robertson BE et al. 2023. Identification and properties of intense star-forming galaxies at redshifts . Nat. Astron. 7, 611-621. ( 10.1038/s41550-023-01921-1) [DOI] [Google Scholar]
- 26.Larson RL et al. 2023. A CEERS discovery of an accreting supermassive black hole 570 Myr after the big bang: identifying a progenitor of massive Quasars. Astrophys. J. Lett. 953, L29. ( 10.3847/2041-8213/ace619) [DOI] [Google Scholar]
- 27.Furtak LJ et al. 2023. A supermassive black hole in the early universe growing in the shadows. (http://arxiv.org/abs/2308.05735).
- 28.Yue M et al. 2023. EIGER V. Characterizing the host galaxies of luminous quasars at . (http://arxiv.org/abs/2309.04614).
- 29.Christensen L et al. 2023. Metal enrichment and evolution in four quasar sightlines observed with JWST/NIRSpec. Astron. Astrophys. 680, A82. ( 10.1051/0004-6361/202347943) [DOI] [Google Scholar]
- 30.Bogdán Á et al. 2023. Evidence for heavy-seed origin of early supermassive black holes from a X-ray quasar. Nat. Astron. 8, 1-8. ( 10.1038/s41550-023-02111-9) [DOI] [Google Scholar]
- 31.Goulding AD et al. 2023. UNCOVER: the growth of the first massive black holes from JWST/NIRSpec-spectroscopic redshift confirmation of an X-ray luminous AGN at . Astrophys. J. Lett. 955, L24. ( 10.3847/2041-8213/acf7c5) [DOI] [Google Scholar]
- 32.Tacchella S et al. 2023. JADES imaging of GN-z11: revealing the morphology and environment of a luminous galaxy 430 Myr after the Big Bang. Astrophys. J. 952, 74. ( 10.3847/1538-4357/acdbc6) [DOI] [Google Scholar]
- 33.Bunker AJ et al. 2023. JADES NIRSpec Spectroscopy of GN-z11: Lyman- emission and possible enhanced nitrogen abundance in a luminous galaxy. Astron. Astrophys. 677, A88. ( 10.1051/0004-6361/202346159) [DOI] [Google Scholar]
- 34.Furlanetto SR, Oh SP, Briggs FH. 2006. Cosmology at low frequencies: the 21 cm transition and the high-redshift Universe. Phys. Rep. 433, 181-301. ( 10.1016/j.physrep.2006.08.002) [DOI] [Google Scholar]
- 35.Mesinger A. 2019. The Cosmic 21-cm revolution; charting the first billion years of our universe. IoP Publishing. [Google Scholar]
- 36.Fialkov A, Loeb A. 2013. The 21-cm Signal from the cosmological epoch of recombination. J. Cosmol. Astropart. Phys. 2013, 066. ( 10.1088/1475-7516/2013/11/066) [DOI] [Google Scholar]
- 37.Breysse PC, Ali-Haïmoud Y, Hirata CM. 2018. Ultimate frontier of 21-cm cosmology. Phys. Rev. D 98, 043520. ( 10.1103/PhysRevD.98.043520) [DOI] [Google Scholar]
- 38.Visbal E, Barkana R, Fialkov A, Tseliakhovich D, Hirata CM. 2012. The signature of the first stars in atomic hydrogen at redshift 20. Nature 487, 70-73. ( 10.1038/nature11177) [DOI] [PubMed] [Google Scholar]
- 39.Fialkov A, Barkana R, Visbal E, Tseliakhovich D, Hirata CM. 2013. The 21-cm signature of the first stars during the Lyman-Werner feedback era. Mon. Not. R. Astron. Soc. 432, 2909-2916. ( 10.1093/mnras/stt650) [DOI] [Google Scholar]
- 40.Fialkov A, Barkana R, Pinhas A, Visbal E. 2014. Complete history of the observable 21 cm signal from the first stars during the pre-reionization era. Mon. Not. R. Astron. Soc. 437, L36-L40. ( 10.1093/mnrasl/slt135) [DOI] [Google Scholar]
- 41.Fialkov A, Barkana R, Visbal E. 2014. The observable signature of late heating of the Universe during cosmic reionization. Nature 506, 197-199. ( 10.1038/nature12999) [DOI] [PubMed] [Google Scholar]
- 42.Fialkov A, Barkana R. 2014. The rich complexity of 21-cm fluctuations produced by the first stars. Mon. Not. R. Astron. Soc. 445, 213-224. ( 10.1093/mnras/stu1744) [DOI] [Google Scholar]
- 43.Fialkov A, Barkana R, Cohen A. 2015. Reconstructing the nature of the first cosmic sources from the anisotropic 21-cm signal. Phys. Rev. Lett. 114, 101303. ( 10.1103/PhysRevLett.114.101303) [DOI] [PubMed] [Google Scholar]
- 44.Cohen A, Fialkov A, Barkana R. 2016. The 21-cm BAO signature of enriched low-mass galaxies during cosmic reionization. Mon. Not. R. Astron. Soc. 459, L90-L94. ( 10.1093/mnrasl/slw047) [DOI] [Google Scholar]
- 45.Fialkov A, Cohen A, Barkana R, Silk J. 2017. Constraining the redshifted 21-cm signal with the unresolved soft X-ray background. Mon. Not. R. Astron. Soc. 464, 3498-3508. ( 10.1093/mnras/stw2540) [DOI] [Google Scholar]
- 46.Fialkov A, Barkana R, Cohen A. 2018. Constraining baryon-dark-matter scattering with the cosmic dawn 21-cm signal. Phys. Rev. Lett. 121, 011101. ( 10.1103/PhysRevLett.121.011101) [DOI] [PubMed] [Google Scholar]
- 47.Fialkov A, Barkana R. 2019. Signature of excess radio background in the 21-cm global signal and power spectrum. Mon. Not. R. Astron. Soc. 486, 1763-1773. ( 10.1093/mnras/stz873) [DOI] [Google Scholar]
- 48.Reis I, Fialkov A, Barkana R. 2020. High-redshift radio galaxies: a potential new source of 21-cm fluctuations. Mon. Not. R. Astron. Soc. 499, 5993-6008. ( 10.1093/mnras/staa3091) [DOI] [Google Scholar]
- 49.Reis I, Fialkov A, Barkana R. 2021. The subtlety of Ly photons: changing the expected range of the 21-cm signal. Mon. Not. R. Astron. Soc. 506, 5479-5493. ( 10.1093/mnras/stab2089) [DOI] [Google Scholar]
- 50.Reis I, Barkana R, Fialkov A. 2022. Shot noise and scatter in the star formation efficiency as a source of 21-cm fluctuations. Mon. Not. R. Astron. Soc. 511, 5265-5273. ( 10.1093/mnras/stac411) [DOI] [Google Scholar]
- 51.Magg M, Reis I, Fialkov A, Barkana R, Klessen RS, Glover SC, Chen LH, Hartwig T, Schauer AT. 2022. Effect of the cosmological transition to metal-enriched star formation on the hydrogen 21-cm signal. Mon. Not. R. Astron. Soc. 514, 4433-4449. ( 10.1093/mnras/stac1664) [DOI] [Google Scholar]
- 52.Gessey-Jones T, Sartorio NS, Fialkov A, Mirouh GM, Magg M, Izzard RG, de Lera Acedo E, Handley WJ, Barkana R. 2022. Impact of the primordial stellar initial mass function on the 21-cm signal. Mon. Not. R. Astron. Soc. 516, 841-860. ( 10.1093/mnras/stac2049) [DOI] [Google Scholar]
- 53.Sikder S, Barkana R, Fialkov A, Reis I. 2023. Strong 21-cm fluctuations and anisotropy due to the line-of-sight effect of radio galaxies at cosmic dawn. Mon. Not. R. Astron. Soc. 527, 10 975-10 985. ( 10.1093/mnras/stad3847) [DOI] [Google Scholar]
- 54.Gessey-Jones T, Fialkov A, Acedo E, Handley WJ, Barkana R. 2023. Signatures of cosmic ray heating in 21-cm observables. Mon. Not. R. Astron. Soc. 526, 4262-4284. ( 10.1093/mnras/stad3014) [DOI] [Google Scholar]
- 55.Acharya SK, Dhandha J, Chluba J. 2022. Can accreting primordial black holes explain the excess radio background? Mon. Not. R. Astron. Soc. 517, 2454-2461. ( 10.1093/mnras/stac2739) [DOI] [Google Scholar]
- 56.Planck Collaboration, Aghanim N et al. 2020. Planck 2018 results. VI. Cosmological parameters. Astron. Astrophys. 641, A6. ( 10.1051/0004-6361/201833910) [DOI] [Google Scholar]
- 57.Park J, Mesinger A, Greig B, Gillet N. 2019. Inferring the astrophysics of reionization and cosmic dawn from galaxy luminosity functions and the 21-cm signal. Mon. Not. R. Astron. Soc. 484, 933-949. ( 10.1093/mnras/stz032) [DOI] [Google Scholar]
- 58.Furlanetto SR, Zaldarriaga M, Hernquist L. 2004. The growth of H II regions during reionization. Astrophys. J. 613, 1-15. ( 10.1086/423025) [DOI] [Google Scholar]
- 59.Lewis A, Challinor A. 2007. 21 cm angular-power spectrum from the dark ages. Phys. Rev. D 76, 083005. ( 10.1103/PhysRevD.76.083005) [DOI] [Google Scholar]
- 60.Ali-Haïmoud Y, Meerburg PD, Yuan S. 2014. New light on 21 cm intensity fluctuations from the dark ages. Phys. Rev. D 89, 083506. ( 10.1103/PhysRevD.89.083506) [DOI] [Google Scholar]
- 61.Mondal R, Barkana R. 2023. Prospects for precision cosmology with the 21 cm signal from the dark ages. Nat. Astron. 7, 1025-1030. ( 10.1038/s41550-023-02057-y) [DOI] [Google Scholar]
- 62.Klessen RS, Glover SCO. 2023. The first stars: formation, properties, and impact. Annu. Rev. Astron. Astrophys. 61, 65-130. ( 10.1146/annurev-astro-071221-053453) [DOI] [Google Scholar]
- 63.Wouthuysen SA. 1952. On the excitation mechanism of the 21-cm (radio-frequency) interstellar hydrogen emission line. Astron. J. 57, 31-32. ( 10.1086/106661) [DOI] [Google Scholar]
- 64.Field GB. 1958. Excitation of the hydrogen 21-CM Line. Proc. IRE 46, 240-250. ( 10.1109/JRPROC.1958.286741) [DOI] [Google Scholar]
- 65.Fragos T, Lehmer BD, Naoz S, Zezas A, Basu-Zych A. 2013. Energy feedback from X-ray binaries in the early universe. Astrophys. J. Lett. 776, L31. ( 10.1088/2041-8205/776/2/L31) [DOI] [Google Scholar]
- 66.Sartorio NS et al. 2023. Population III X-ray binaries and their impact on the early universe. Mon. Not. R. Astron. Soc. 521, 4039-4055. ( 10.1093/mnras/stad697) [DOI] [Google Scholar]
- 67.Madau P, Rees MJ. 2001. Massive black holes as population III remnants. Astrophys. J. Lett. 551, L27-L30. ( 10.1086/319848) [DOI] [Google Scholar]
- 68.Haiman Z, Loeb A. 2001. What is the highest plausible redshift of luminous quasars?. Astrophys. J. 552, 459-463. ( 10.1086/320586) [DOI] [Google Scholar]
- 69.Liu B, Sartorio NS, Izzard RG, Fialkov A. 2024. Population synthesis of Be X-ray binaries: metallicity dependence of total X-ray outputs. Mon. Not. R. Astron. Soc. 527, 5023-5048. ( 10.1093/mnras/stad3475) [DOI] [Google Scholar]
- 70.Pritchard JR, Furlanetto SR. 2007. 21-cm fluctuations from inhomogeneous X-ray heating before reionization. Mon. Not. R. Astron. Soc. 376, 1680-1694. ( 10.1111/j.1365-2966.2007.11519.x) [DOI] [Google Scholar]
- 71.Sazonov S, Sunyaev R. 2015. Preheating of the Universe by cosmic rays from primordial supernovae at the beginning of cosmic reionization. Mon. Not. R. Astron. Soc. 454, 3464-3471. ( 10.1093/mnras/stv2255) [DOI] [Google Scholar]
- 72.Chen X, Miralda-Escudé J. 2004. The spin-kinetic temperature coupling and the heating rate due to scattering before reionization: predictions for 21 centimeter emission and absorption. Astrophys. J. 602, 1-11. ( 10.1086/380829) [DOI] [Google Scholar]
- 73.Chuzhoy L, Shapiro PR. 2007. Heating and cooling of the early intergalactic medium by resonance photons. Astrophys. J. 655, 843-846. ( 10.1086/510146) [DOI] [Google Scholar]
- 74.Cohen A, Fialkov A, Barkana R, Lotem M. 2017. Charting the parameter space of the global 21-cm signal. Mon. Not. R. Astron. Soc. 472, 1915-1931. ( 10.1093/mnras/stx2065) [DOI] [Google Scholar]
- 75.Barkana R, Loeb A. 2005. Probing the epoch of early baryonic infall through 21-cm fluctuations. Mon. Not. R. Astron. Soc. 363, L36-L40. ( 10.1111/j.1745-3933.2005.00079.x) [DOI] [Google Scholar]
- 76.Bowman JD, Rogers AE, Monsalve RA, Mozdzen TJ, Mahesh N. 2018. An absorption profile centred at 78 megahertz in the sky-averaged spectrum. Nature 555, 67-70. ( 10.1038/nature25792) [DOI] [PubMed] [Google Scholar]
- 77.Monsalve RA et al. 2023. Mapper of the IGM spin temperature (MIST): instrument overview. (http://arxiv.org/abs/2309.02996).
- 78.de Lera Acedo E et al. 2022. The REACH radiometer for detecting the 21-cm hydrogen signal from redshift . Nature Astron. 6, 984-998. ( 10.1038/s41550-022-01709-9) [DOI] [Google Scholar]
- 79.Singh S et al. 2022. On the detection of a cosmic dawn signal in the radio background. Nature Astron. 6, 607-617. ( 10.1038/s41550-022-01610-5) [DOI] [Google Scholar]
- 80.Abdurashidova Z et al. 2022. First results from HERA Phase I: upper limits on the epoch of reionization 21 cm power spectrum. Astrophys. J. 925, 221. ( 10.3847/1538-4357/ac1c78) [DOI] [Google Scholar]
- 81.Gehlot BK et al. 2019. The first power spectrum limit on the 21-cm signal of neutral hydrogen during the Cosmic Dawn at from LOFAR. Mon. Not. R. Astron. Soc. 488, 4271-4287. ( 10.1093/mnras/stz1937) [DOI] [Google Scholar]
- 82.Mertens FG et al. 2020. Improved upper limits on the 21 cm signal power spectrum of neutral hydrogen at from LOFAR. Mon. Not. R. Astron. Soc. 493, 1662-1685. ( 10.1093/mnras/staa327) [DOI] [Google Scholar]
- 83.Mertens FG, Semelin B, Koopmans LVE. 2021. Exploring the cosmic dawn with NenuFAR. In SF2A-2021: Proc. of the Annual meeting of the French Society of Astronomy and Astrophysics (eds A Siebert, K Baillié, E Lagadec, N Lagarde, J Malzac, JB Marquette, M N’Diaye, J Richard,O Venot), pp. 211–214. ( 10.48550/arXiv.2109.10055) [DOI]
- 84.Munshi S et al. 2023. First upper limits on the 21-cm signal power spectrum from the Cosmic Dawn from one night of observations with NenuFAR. (http://arxiv.org/abs/2311.05364).
- 85.Ewall-Wice A et al. 2016. First limits on the 21,cm power spectrum during the Epoch of X-ray heating. Mon. Not. R. Astron. Soc. 460, 4320-4347. ( 10.1093/mnras/stw1022) [DOI] [Google Scholar]
- 86.Eastwood MW et al. 2019. The 21 cm power spectrum from the cosmic dawn: first results from the OVRO-LWA. Astron. J. 158, 84. ( 10.3847/1538-3881/ab2629) [DOI] [Google Scholar]
- 87.Garsden H, Greenhill L, Bernardi G, Fialkov A, Price DC, Mitchell D, Dowell J, Spinelli M, Schinzel FK. 2021. A 21-cm power spectrum at 48 MHz, using the owens valley long wavelength array. Mon. Not. R. Astron. Soc. 506, 5802-5817. ( 10.1093/mnras/stab1671) [DOI] [Google Scholar]
- 88.Dewdney PE, Hall PJ, Schilizzi RT, Lazio TJ. 2009. The square kilometre array. IEEE Proceedings 97, 1482-1496. ( 10.1109/JPROC.2009.2021005) [DOI] [Google Scholar]
- 89.Koopmans L et al. 2015. The cosmic dawn and epoch of reionisation with SKA. In Advancing Astrophysics with the Square Kilometre Array (AASKA14), p. 1. ( 10.22323/1.215.0001) [DOI]
- 90.Barkana R. 2018. Possible interaction between baryons and dark-matter particles revealed by the first stars. Nature 555, 71-74. ( 10.1038/nature25791) [DOI] [PubMed] [Google Scholar]
- 91.Muñoz JB, Loeb A. 2018. A small amount of mini-charged dark matter could cool the baryons in the early Universe. Nature 557, 684-686. ( 10.1038/s41586-018-0151-x) [DOI] [PubMed] [Google Scholar]
- 92.Kovetz ED, Poulin V, Gluscevic V, Boddy KK, Barkana R, Kamionkowski M. 2018. Tighter limits on dark matter explanations of the anomalous EDGES 21 cm signal. Phys. Rev. D 98, 103529. ( 10.1103/PhysRevD.98.103529) [DOI] [Google Scholar]
- 93.Liu H, Outmezguine NJ, Redigolo D, Volansky T. 2019. Reviving millicharged dark matter for 21-cm cosmology. Phys. Rev. D 100, 123011. ( 10.1103/PhysRevD.100.123011) [DOI] [Google Scholar]
- 94.Feng C, Holder G. 2018. Enhanced global signal of neutral hydrogen due to excess radiation at cosmic dawn. Astrophys. J., Lett. 858, L17. ( 10.3847/2041-8213/aac0fe) [DOI] [Google Scholar]
- 95.Ewall-Wice A, Chang TC, Lazio J, Doré O, Seiffert M, Monsalve RA. 2018. Modeling the radio background from the first black holes at cosmic dawn: implications for the 21 cm absorption amplitude. Astrophys. J. 868, 63. ( 10.3847/1538-4357/aae51d) [DOI] [Google Scholar]
- 96.Ewall-Wice A, Chang TC, Lazio TJW. 2020. The Radio Scream from black holes at Cosmic Dawn: a semi-analytic model for the impact of radio-loud black holes on the 21 cm global signal. Mon. Not. R. Astron. Soc. 492, 6086-6104. ( 10.1093/mnras/stz3501) [DOI] [Google Scholar]
- 97.Bale SD et al. 2023. LuSEE ’Night’: the lunar surface electromagnetics experiment. (http://arxiv.org/abs/2301.10345).
- 98.Bilitza D, Pezzopane M, Truhlik V, Altadill D, Reinisch BW, Pignalberi A. 2022. The international reference ionosphere model: a review and description of an ionospheric benchmark. Rev. Geophys. 60, e2022RG000792. ( 10.1029/2022RG000792) [DOI] [Google Scholar]
- 99.Vedantham HK, Koopmans LV, de Bruyn AG, Wijnholds SJ, Ciardi B, Brentjens MA. 2014. Chromatic effects in the 21 cm global signal from the cosmic dawn. Mon. Not. R. Astron. Soc. 437, 1056-1069. ( 10.1093/mnras/stt1878) [DOI] [Google Scholar]
- 100.Shen E, Anstey D, de Lera Acedo E, Fialkov A, Handley W. 2021. Quantifying ionospheric effects on global 21-cm observations. Mon. Not. R. Astron. Soc. 503, 344-353. ( 10.1093/mnras/stab429) [DOI] [Google Scholar]
- 101.Shen E, Anstey D, de Lera Acedo E, Fialkov A. 2022. Bayesian data analysis for sky-averaged 21-cm experiments in the presence of ionospheric effects. Mon. Not. R. Astron. Soc. 515, 4565-4573. ( 10.1093/mnras/stac1900) [DOI] [Google Scholar]
- 102.Anstey D, de Lera Acedo E, Handley W. 2021. A general Bayesian framework for foreground modelling and chromaticity correction for global 21 cm experiments. Mon. Not. R. Astron. Soc. 506, 2041-2058. ( 10.1093/mnras/stab1765) [DOI] [Google Scholar]
- 103.Mevius M et al. 2016. Probing ionospheric structures using the LOFAR radio telescope. Radio Sci. 51, 927-941. ( 10.1002/2016RS006028) [DOI] [Google Scholar]
- 104.Edler HW, de Gasperin F, Rafferty D. 2021. Investigating ionospheric calibration for LOFAR 2.0 with simulated observations. Astron. Astrophys. 652, A37. ( 10.1051/0004-6361/202140465) [DOI] [Google Scholar]
- 105.Bevins HT, Heimersheim S, Abril-Cabezas I, Fialkov A, de Lera Acedo E, Handley W, Singh S, Barkana R. 2023. Joint analysis constraints on the physics of the first galaxies with low frequency radio astronomy data. Mon. Not. R. Astron. Soc. 527, 813-827. ( 10.1093/mnras/stad3194) [DOI] [Google Scholar]
- 106.Abdurashidova Z et al. 2023. Improved constraints on the 21 cm EoR power spectrum and the X-ray heating of the IGM with HERA phase I observations. Astrophys. J. 945, 124. ( 10.3847/1538-4357/acaf50) [DOI] [Google Scholar]
- 107.Ghara R et al. 2020. Constraining the intergalactic medium at using LOFAR Epoch of Reionization observations. Mon. Not. R. Astron. Soc. 493, 4728-4747. ( 10.1093/mnras/staa487) [DOI] [Google Scholar]
- 108.Trott CM et al. 2020. Deep multiredshift limits on Epoch of Reionization 21 cm power spectra from four seasons of Murchison Widefield Array observations. Mon. Not. R. Astron. Soc. 493, 4711-4727. ( 10.1093/mnras/staa414) [DOI] [Google Scholar]
- 109.Bevins HT, de Lera Acedo E, Fialkov A, Handley WJ, Singh S, Subrahmanyan R, Barkana R. 2022. A comprehensive Bayesian reanalysis of the SARAS2 data from the epoch of reionization. Mon. Not. R. Astron. Soc. 513, 4507-4526. ( 10.1093/mnras/stac1158) [DOI] [Google Scholar]
- 110.Monsalve RA, Rogers AE, Bowman JD, Mozdzen TJ. 2017. Results from EDGES High-band. I. Constraints on phenomenological models for the global 21 cm signal. Astrophys. J. 847, 64. ( 10.3847/1538-4357/aa88d1) [DOI] [Google Scholar]
- 111.Monsalve RA, Greig B, Bowman JD, Mesinger A, Rogers AE, Mozdzen TJ, Kern NS, Mahesh N. 2018. Results from EDGES High-band. II. Constraints on parameters of early galaxies. Astrophys. J. 863, 11. ( 10.3847/1538-4357/aace54) [DOI] [Google Scholar]
- 112.Monsalve RA, Fialkov A, Bowman JD, Rogers AE, Mozdzen TJ, Cohen A, Barkana R, Mahesh N. 2019. Results from EDGES High-Band. III. New constraints on parameters of the early universe. Astrophys. J. 875, 67. ( 10.3847/1538-4357/ab07be) [DOI] [Google Scholar]
- 113.Gehlot BK et al. 2020. The AARTFAAC cosmic explorer: observations of the 21-cm power spectrum in the EDGES absorption trough. Mon. Not. R. Astron. Soc. 499, 4158-4173. ( 10.1093/mnras/staa3093) [DOI] [Google Scholar]
- 114.Yoshiura S et al. 2021. A new MWA limit on the 21 cm power spectrum at redshifts 13–17. Mon. Not. R. Astron. Soc. 505, 4775-4790. ( 10.1093/mnras/stab1560) [DOI] [Google Scholar]
- 115.Hickox RC, Markevitch M. 2006. Absolute measurement of the unresolved cosmic C-ray background in the 0.5–8 keV band with chandra. Astrophys. J. 645, 95-114. ( 10.1086/504070) [DOI] [Google Scholar]
- 116.Harrison FA et al. 2016. The NuSTAR extragalactic surveys: the number counts of active galactic nuclei and the resolved fraction of the cosmic X-ray background. Astrophys. J. 831, 185. ( 10.3847/0004-637X/831/2/185) [DOI] [Google Scholar]
- 117.Fixsen DJ et al. 2011. ARCADE 2 measurement of the absolute sky brightness at 3–90 GHz. Astrophys. J. 734, 5. ( 10.1088/0004-637X/734/1/5) [DOI] [Google Scholar]
- 118.Dowell J, Taylor GB. 2018. The radio background below 100 MHz. Astrophys. J. Lett. 858, L9. ( 10.3847/2041-8213/aabf86) [DOI] [Google Scholar]
- 119.Pochinda S et al. 2023. Constraining the properties of Population III galaxies with multi-wavelength observations. (http://arxiv.org/abs/2312.08095).
- 120.Schaerer D. 2002. On the properties of massive Population III stars and metal-free stellar populations. Astron. Astrophys. 382, 28-42. ( 10.1051/0004-6361:20011619) [DOI] [Google Scholar]
- 121.Cole PS, Silk J. 2021. Small-scale primordial fluctuations in the 21 cm Dark Ages signal. Mon. Not. R. Astron. Soc. 501, 2627-2634. ( 10.1093/mnras/staa3638) [DOI] [Google Scholar]
- 122.Cumberbatch DT, Lattanzi M, Silk J. 2010. Signatures of clumpy dark matter in the global 21 cm background signal. Phys. Rev. D 82, 103508. ( 10.1103/PhysRevD.82.103508) [DOI] [Google Scholar]
- 123.Pillepich A, Porciani C, Matarrese S. 2007. The bispectrum of redshifted 21 centimeter fluctuations from the dark ages. Astrophys. J. 662, 1-14. ( 10.1086/517963) [DOI] [Google Scholar]
- 124.Cooray A. 2006. 21-cm background anisotropies can discern primordial non-gaussianity. Phys. Rev. Lett. 97, 261301. ( 10.1103/PhysRevLett.97.261301) [DOI] [PubMed] [Google Scholar]
- 125.Flöss T, de Wild T, Meerburg PD, Koopmans LV. 2022. The Dark Ages’ 21-cm trispectrum. J. Cosmol. Astropart. Phys. 2022, 020. ( 10.1088/1475-7516/2022/06/020) [DOI] [Google Scholar]
- 126.Orlando G, Flöss T, Meerburg PD, Silk J. 2023. Local non-Gaussianities from cross-correlations between the CMB and 21-cm. (http://arxiv.org/abs/2307.15046).
- 127.Muñoz JB, Ali-Haïmoud Y, Kamionkowski M. 2015. Primordial non-gaussianity from the bispectrum of 21-cm fluctuations in the dark ages. Phys. Rev. D 92, 083508. ( 10.1103/PhysRevD.92.083508) [DOI] [Google Scholar]
- 128.Tashiro H, Kadota K, Silk J. 2014. Effects of dark matter-baryon scattering on redshifted 21 cm signals. Phys. Rev. D 90, 083522. ( 10.1103/PhysRevD.90.083522) [DOI] [Google Scholar]
- 129.Hiroshima N, Kohri K, Sekiguchi T, Takahashi R. 2021. Impacts of new small-scale N -body simulations on dark matter annihilations constrained from cosmological 21-cm line observations. Phys. Rev. D 104, 083547. ( 10.1103/PhysRevD.104.083547) [DOI] [Google Scholar]
- 130.Slatyer TR, Wu CL. 2018. Early-Universe constraints on dark matter-baryon scattering and their implications for a global 21 cm signal. Phys. Rev. D 98, 023013. ( 10.1103/PhysRevD.98.023013) [DOI] [Google Scholar]
- 131.Short K, Bernal JL, Raccanelli A, Verde L, Chluba J. 2020. Enlightening the dark ages with dark matter. J. Cosmol. Astropart. Phys. 2020, 020. ( 10.1088/1475-7516/2020/07/020) [DOI] [Google Scholar]
- 132.Mondal R, Barkana R, Fialkov A. 2023. Constraining exotic dark matter models with the dark ages 21-cm signal. (http://arxiv.org/abs/2310.15530).
- 133.Vanzan E, Raccanelli A, Bartolo N. 2023. Dark ages, a window on the dark sector. Hunting for ultra-light axions. (http://arxiv.org/abs/2306.09252).
- 134.Mack KJ, Wesley DH. 2008. Primordial black holes in the dark ages: observational prospects for future 21 cm surveys. (http://arxiv.org/abs/0805.1531).
- 135.Thériault R, Mirocha JT, Brandenberger R. 2021. Global 21 cm absorption signal from superconducting cosmic strings. J. Cosmol. Astropart. Phys. 2021, 046. ( 10.1088/1475-7516/2021/10/046) [DOI] [Google Scholar]
- 136.Yang Y. 2022. Impact of radiation from primordial black holes on the 21-cm angular-power spectrum in the dark ages. Phys. Rev. D 106, 123508. ( 10.1103/PhysRevD.106.123508) [DOI] [Google Scholar]
- 137.Kobayashi T, Takahashi F. 2011. Running spectral index from inflation with modulations. J. Cosmol. Astropart. Phys. 2011, 026. ( 10.1088/1475-7516/2011/01/026) [DOI] [Google Scholar]
- 138.Burns J et al. 2021. Global 21-cm cosmology from the farside of the moon. (http://arxiv.org/abs/2103.05085).
- 139.Koopmans LVE et al. 2021. Peering into the dark (ages) with low-frequency space interferometers. Exp. Astron. 51, 1641-1676. ( 10.1007/s10686-021-09743-7) [DOI] [PMC free article] [PubMed] [Google Scholar]
- 140.Grimm RE. 2018. New analysis of the Apollo 17 surface electrical properties experiment. Icarus 314, 389-399. ( 10.1016/j.icarus.2018.06.007) [DOI] [Google Scholar]
- 141.Gamsky JN, Metzger PT. 2023. The physical state of Lunar soil in the permanently shadowed craters of the moon. (http://arxiv.org/abs/2305.20007).
- 142.Grün E, Horanyi M, Sternovsky Z. 2011. The lunar dust environment. Planet. Space Sci. 59, 1672-1680. ( 10.1016/j.pss.2011.04.005) [DOI] [Google Scholar]
- 143.Klein Wolt M et al. 2013. Low-frequency cosmology from the moon. In European Planetary Science Congress, pp. EPSC2013–152.
- 144.Le Conte ZA, Elvis M, Gläser PA. 2023. Lunar far-side radio arrays: a preliminary site survey. RAS Techniques and Instruments 2, 360-377. ( 10.1093/rasti/rzad022) [DOI] [Google Scholar]
Associated Data
This section collects any data citations, data availability statements, or supplementary materials included in this article.
Data Availability Statement
This article has no additional data.



