Abstract
This study reports the first detection of the marine neurotoxin pinnatoxin-G (PnTX-G) in clams collected in the northwestern Adriatic Sea (Italy). It also represents the first report of the potential toxin-producing dinoflagellate, Vulcanodinium rugosum, in Italian seas. This result, from the coasts of the Emilia-Romagna Region, indicates a successful colonization process, reflecting conditions in France where V. rugosum was initially documented. In this case, the concentration of PnTXs was very low, making further sampling necessary to fully understand the extent of the phenomenon. Discussions on the need to obtain more data to support a proper risk assessment and the need to implement a monitoring program that includes emerging marine biotoxins are also included.
Keywords: emerging toxins, drug discovery, cyclic imines, Vulcanodinium rugosum
1. Introduction
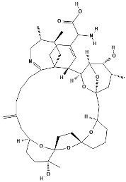
Pinnatoxins (PnTXs) are swift-acting neurotoxins, paralytic chemical compounds that inhibit neuronal and muscle-type nicotinic acetylcholine receptors. Eight different subtypes, designated pinnatoxin A–H, have been described, being PnTX-G the most commonly detected toxin in mollusks. A summary can be found in Table 1.
Table 1.
Chemical structure of pinnatoxins.
| Toxin | Two-Dimensional Structure |
|---|---|
| Pinnatoxin-A |
|
| Pinnatoxin-B, -C |
|
| Pinnatoxin-D |
|
| Pinnatoxin-E |
|
| Pinnatoxin-F |
|
| Pinnatoxin-G |
|
| Pinnatoxin-H |
|
Secreted by the dinoflagellate Vulcanodinium rugosum (Nézan and Chomérat, 2011) PnTXs have been observed to accumulate in bivalve mollusks since their discovery in 1990. PnTXs were first identified in the bivalve Pinna attenuata (Reeve, 1858) collected in 1990 in the Guangdong region, on the southeastern coast of China [1]. Isolates of PnTX-A to PnTX-D were obtained from another species of Pinna, P. muricata Linnaeus, in Japan [2,3,4].
The variants PnTX-E to PnTX-G have been located in oysters and various bivalves from New Zealand to Australia [5,6,7]. PnTX-H was traced to the South China Sea from a culture of V. rugosum [8]. Within Europe, PnTXs are deemed emerging marine biotoxins, alongside 40 other compounds, including spirolides, palytoxins, ciguatoxins, tetrodotoxins, and brevetoxins, whose activities are not yet fully understood [9,10]. V. rugosum, identified in 2011 [11,12,13], is currently the sole confirmed algal producer of PnTXs.
PnTX-G has been reported in various regions including Australia, New Zealand, Japan [12,14], southern Chilean waters [15,16], the Pacific coast of Mexico [17], the South China Sea [7], the Gulf of Thailand [18], the Arabian Gulf [19], and in Canadian mussels in 2012 [20]. The toxins were first noted in Europe in Norwegian mussels in 2009 [21].
In 2011, PnTXs were discovered in mollusks from the Mediterranean coast of France [11], with subsequent identifications in France [9,22,23,24] and Spain [25,26,27]. The first report of PnTXs in Italy was by Varriale et al. in 2021, involving Sardinian mussels [28].
PnTXs are highly toxic to mice via intraperitoneal injection, but their toxicity decreases when administered orally [6,29]; however, PnTXs are unusual in that the difference between their oral and intraperitoneal toxicity is less than other toxins [29]. Moreover, it has been demonstrated in rats that PnTX-G is rapidly cleared from the bloodstream, widely distributed across tissues, and capable of crossing the intestinal, blood–brain, and placental barriers [30]. The presence of PnTXs in mollusks could pose a risk to consumers and shellfish farmers, though no human intoxication cases have been reported to date [31]. Moreira-González et al. [32] reported 60 cases of dermatitis in swimmers following exposure to seawater during a V. rugosum bloom in Cienfuegos Bay, Cuba.
PnTXs pose a potential public health threat due to their neurotoxic effects, via interaction with nicotinic acetylcholine receptors [33,34]. The study of emerging toxins represents an interesting tool in the discovery of novel potential drugs, in view of their high potency and particular structure.
The aim of this study is to report the discovery of PnTXs and V. rugosum in a shellfish farming area in the northwestern Adriatic Sea, during routine monitoring activities.
2. Results
Table 2 shows various water and shellfish samples that tested positive for V.rugosum and PnTX-G respectively in August 2022. Subsequent samplings, from September to October, revealed no presence of V. rugosum in the water column, while traces of PnTx-G were found in clams (Table 2).
Table 2.
Determination of PnTX-G concentration in R. philippinarum and presence of V. rugosum in the collection water.
| Sampling Date | PnTX-G (µg/kg SM) |
V. rugosum (Presence/Absence) |
|---|---|---|
| 30 August 2022 | 6.7 | Presence |
| 13 September 2022 | <LOD | Absence |
| 11 October 2022 | <LOD | Absence |
| 21 June 2023 | <LOD | Absence |
| 27 June 2023 | <LOD | Absence |
| 25 July 2023 | <LOD | Absence |
| 22 August 2023 | 4.5 | Absence |
| 29 August 2023 | Trace | Absence |
| 04 October 2023 | Not collected | Absence |
| 12 December 2023 | Not collected | Absence |
LOD: limit of detection. SM: shellfish meat.
2.1. Toxin Analyses
Analysis of shellfish samples, specifically Manila clams (Ruditapes philippinarum), collected along the Emilia-Romagna coast of Italy, was performed at the Centro Ricerche Marine Laboratory in Cesenatico.
PnTX-G was detected in three samples, with maximum levels observed in August 2022 (6.7 µg/kg for PnTX-G).
In 2023, a total of five samples of Manila clams were analyzed from June to August. Figure 1 shows the chromatograms of the quantifiable sample for PnTX-G above the limit of quantification (4.5 µg/kg). Another was positive for the presence of PnTX-G but below the limit of quantification.
Figure 1.
Chromatograms of a sample collected on 22 August 2023. (a) PnTX-G: transition 694.4 > 458.0; (b) PnTX-G: transition 694.4 > 676.4; (c) standard PnTX-G: transition 694.4 > 458.0; (d) standard PnTX-G: transition 694.4 > 676.4.
2.2. Microscopy
Optical microscopy analysis, conducted with the epifluorescence technique, shows a characteristic arrangement of thecal plates (Figure 2).
Figure 2.
(a) Vegetative cell of V. rugosum (image captured in fluorescence technique) in ventral view (scale bar: 20 μm); (b) vegetative cell of V. rugosum (image captured in fluorescence technique) in dorsal view (scale bar: 20 μm).
Vulcanodinium rugosum (Nézan and Chomérat, 2011) is an armored dinoflagellate characterized by a trapezoidal to hemispherical hypotheca and a conical to hemispherical epitheca truncated at the apex (Figure 3). V. rugosum exhibits a characteristic large apical pore plate (Po), with a mucous matrix extruded from its center. The thecal surface is covered by longitudinal striae (Figure 4a), often with cross reticulations, and houses numerous golden-brown chloroplasts. The asexual life cycle of V. rugosum demonstrated an alternation between a coccoid stage (probably cyst stage) (Figure 4b) and a motile thecate stage [6].
Figure 3.
Vegetative cell of V. rugosum (fixed with Lugol’s solution) showing a mucoid matrix extruded at the apex (scale bar: 20 μm).
Figure 4.
(a) Vegetative cell of V. rugosum showing the characteristic reticulation of the thecal plates (image in fluorescence technique; ventral view; scale bar: 20 μm); (b) cell of V. rugosum probably showing transformation in a non-motile stage (cell fixed with Lugol’s solution; scale bar: 20 μm).
3. Discussion
This study reports the first detection of the marine neurotoxin PnTX-G in clams collected in the northwestern Adriatic Sea (Italy). It also represents the first report of the potential toxin-producing dinoflagellate, Vulcanodinium rugosum, in Italian seas.
The proposed life cycle for V. rugosum [7] involves an alternation of vegetative (motile and pelagic) phases and temporary cysts or non-motile (benthic) cells. To date, there is no specific monitoring for benthic species in bivalve mollusks production areas, and the pelagic stage of V. rugosum is difficult to find in the water column. In areas considered potentially at risk (i.e., shallow lagoon areas or otherwise with similar characteristics to those in which the presence of V. rugosum has already been described), it may be necessary to implement specific monitoring for benthic species (such as the monitoring already conducted for Ostreopsis cf. ovata [35]) and, at the same time, monitor PnTXs levels in bivalve mollusks.
The emergence of new biotoxins can be attributed to numerous factors, some of which are not fully understood. Global warming and anthropogenic interventions have facilitated the migration and establishment of emergent toxin producers into Europe’s temperate waters, posing a new threat to public health [10].
The Adriatic Sea is a closed sea that ends in a cul-de-sac to the north, with the only access to the Mediterranean Sea—another closed basin—being through the Strait of Gibraltar to the Atlantic Ocean and through the Suez Canal to the Red Sea in the southern segment (the Strait of Otranto). The introduction of new algal species into this basin is largely due to human activity. With 90% of global commercial transport occurring by sea, the likelihood of exotic aquatic species reaching distant locations from their origin is quite plausible.
As the size of commercial shipping vessels and the global shipping fleet expand, the risk of exotic organisms being introduced into foreign ports via ballast water is on the rise. The ballasting and deballasting of water and residuals by ships in multiple ports are estimated to be the largest contributors to nonindigenous aquatic invasions. In the United States alone, it is estimated that 70 million metric tons of ballast water are discharged into ports annually [36].
The growth of V. rugosum is positively correlated with the total concentration of nitrogen, phosphorus, and phosphates. Other factors influencing the development of this dinoflagellate are temperature and salinity [23,24]. Such conditions, which are favorable to the proliferation of V. rugosum and have been previously documented in France [23] or in Cuba [32], are also present along the coast of Emilia-Romagna.
The discovery occurred in a private marshland area (fed by seawater) between the provinces of Ferrara and Ravenna, a zone of bivalve mollusk production and, thus, subjected to periodic sampling, in accordance with the surveillance plan of the AUSL (Azienda unità sanitaria locale) of Ferrara.
Since 2022, in this area, in addition to the official monitoring of regulated marine biotoxins, cyclic imines (PnTX-G, gymodimines, spirolides) have also been monitored for research purposes.
From these observations, it can be concluded that both the benthic dinoflagellate V. rugosum and the toxins it produces are distributed globally. Specifically, Rambla et al. [37] reported the presence of PnTXs (maximum concentration: 12 µg/kg) in bivalves such as mussel, oyster, and clams from Slovenia, Spain, Ireland, Denmark, Norway, Portugal, and the Netherlands. Hort et al. [38] showed the presence of PnTXs (467.5 µg/kg) in mussels sampled in France (Mediterranean Lagoon), while Norambuena and Mardones [16] found a maximum concentration of 100 µg/kg in mussels from Chile.
It is necessary that a decision be made at the European level to regulate emerging marine biotoxins soon. While the toxic effects of some of these substances on humans are not known, the principle of precaution underpinning legislation, including the so-called Hygiene Package, Regulation (EC) No. 178/2002, should guide our approach. Despite the lack of international regulation for PnTX-G, the French Agency for Food, Environmental and Occupational Health and Safety has suggested that a risk to human consumers may exist if the accumulation of PnTX-G in shellfish exceeds 23 μg/kg [39].
4. Materials and Methods
4.1. Study Area and Sampling
The study area is located on the Emilia-Romagna coast, north of the mouth of the Reno River (Lat. N 44°37.798; Long. E 12°14.965), which marks the border between the provinces of Ferrara and Ravenna. It is a natural brackish water basin, fed by sea water through a canal (Gobbino canal) that connects the pond with the sea. The water exchange between the sea and the pond is regulated by a lock. To the south, the pond borders the Bellocchio Veins Nature Reserve (Figure 5).
Figure 5.
Study area with detail of the basin of drawdown.
Seawater samples were collected by a hose sampler to obtain an integrated sample, representative of the entire water column in which the shellfish were growing [40,41].
The harvest of benthic bivalve samples, specifically Manila clams (Ruditapes philippinarum) was carried out manually using a rake. For each sample, approximately 30–40 specimens were collected.
4.2. Solvent and Reagents
Methanol (MeOH) (LC-MS grade), ammonium acetate, and acetic acid were obtained from VWR (VWR International Srl, Milan, Italy). Water for analysis was supplied by a Millipore system. PnTX-G reference material (CRM) was purchased from NRC Canada (National Research Council, Halifax, NA, Canada).
4.3. Toxin Analyses
4.3.1. Extraction
Sample extraction and analysis were carried out according to the harmonized protocol EU-Harmonised-SOP-LIPO-LCMSMS_Version 5 [42].
Chemical analyses were performed at the National Reference Laboratory (NRL) for Marine Biotoxins (Cesenatico, Italy).
The samples were initially rinsed with fresh water and then dissected, before at least 100 g aliquots of mollusk flesh from each sample were homogenized. We added 10 mL of MeOH to an aliquot of shellfish tissue (2 g) and extraction was performed with a high-speed homogenizer (Ultraturrax, IKA, Breisgau, Germany) at 15,000 rpm for 1 min. After the separation of supernatants using a centrifuge (5810R; Eppendorf, Hamburg, Germany) at 4000× g for 10 min, extraction was repeated twice, and supernatants were collected in 20 mL volumetric flasks before being made up to 20 mL using MeOH. We filtered 5 µL of the extracts using a 0.2 µm membrane filter (nylon, 13 mm 0.2 µm; Agilent; Santa Clara, CA, USA), which were then were analyzed using LC-MS/MS.
4.3.2. Liquid Chromatography with Tandem Mass Spectrometry (LC-MS/MS)
Analyses of PnTX-G were performed using a UPLC (Infinity II, Agilent, Santa Clara, CA, USA) coupled with a triple-quadrupole mass spectrometer (6460, Agilent, Santa Clara, CA, USA).
Liquid chromatography was performed on a Poroshell120 EC18 (100 × 2.1 mm, 2.7 µm, Agilent, Santa Clara, CA, USA), and separation was achieved using a gradient elution as reported in Table 3, using a mobile phase A (2 mM ammonium acetate, 0.1% v/v acetic acid in 5.2% v/v MeOH) and mobile phase B (2 mM ammonium acetate in MeOH).
Table 3.
Details of the gradient.
| Time (Min) | A% | B% | Flow (mL/min) | Max. Pressure (bar) |
|---|---|---|---|---|
| 0 | 95 | 5 | 0.4 | 1000 |
| 1 | 95 | 5 | 0.4 | 1000 |
| 3 | 37 | 63 | 0.4 | 1000 |
| 6 | 13.8 | 86.2 | 0.4 | 1000 |
| 10 | 13.8 | 86.2 | 0.4 | 1000 |
| 10.01 | 0 | 100 | 0.4 | 1000 |
| 11.0 | 0 | 100 | 0.4 | 1000 |
| 11.01 | 95 | 5 | 0.4 | 1000 |
| 14 | 95 | 5 | 0.4 | 1000 |
The flow rate was 0.4 mL/min, the column temperature was 30 °C and samples were refrigerated at 4 °C. The total time was 14 min.
A six-point calibration curve, ranging from 0.4 µg/L to 40 µg/L, obtained by the dilution of CRM with MeOH, was used (R2 ≥ 0.998) for the quantification of the PnTX-G. The limit of quantification (LOQ) was 4 µg/kg.
The LOQ of 4 µg/kg and the LOD of 1,4 µg/kg were calculated based on the signal to noise ratio (for LOQ, S/N = 10; for LOD, S/N = 3), measured at the minimum concentration level. The identification of PnTX-G was achieved using LC-MS/MS in positive ionization and in the DMRM (dynamic multi reaction monitoring) mode, using the following transitions: 694.4 > 458; 694.4 > 676.4; and 694.4 > 164.1.
The most intense transition, giving the product ion m/z 458, was used to quantify toxin.
The ESI interface was operated using the following parameters: gas temperature, 200 °C; gas flow, 7 mL/min; nebulizer, psi 35; sheath gas heater, 400; sheath gas flow, 12; capillary (V), 4000; vcharing, 300; fragmentor, 225; and three collision energies that were applied (40, 54, and 54 eV).
4.4. Identification of Vulcanodinium rugosum
Water samples were concentrated on a nylon filter with a porosity of 20 µm without the use of a pump, so as not to damage any cells that might be present. The filtered material was then transferred (by washing with seawater) to an Utermöhl sedimentation chamber and was analyzed under an inverted light microscope (Nikon Eclipse Ti-U inverted microscope). The samples were inspected in both bright field and phase contrast, using the fluorochrome Fluorescent Brightener 28 (which replaced Calcofluor White), according to the method of Fritz and Triemer [43], for the better visualization of dinoflagellate thecal plates. The fluorochrome employed binds to the polysaccharide components between the plates of armored dinoflagellates. This technique (epifluorescence technique) is used to study the tabulation and structure of the thecate dinoflagellates.
A Nikon Eclipse Ti-U inverted microscope with differential interference contrast was used; the microscope was equipped with a digital camera and epifluorescence system (ultraviolet (UV) 100 W mercury lamp; the UV filter arrangement was 330–380 nm excitation and a 420 nm emission wavelength). The objectives used were 20×, 40×, and 100× (immersion oil).
Taxonomic identification of V. rugosum was supported by the previous literature [17,44,45].
Acknowledgments
S.M., S.V. and E.B. wish to thank Elisa Durini for technical support.
Author Contributions
Conceptualization, S.R. and S.M. (Stefano Manfredini); methodology, M.C., S.D., S.R. and S.M (Stefano Manfredini); validation, E.B. and S.V.; formal analysis, M.C. and S.D.; investigation, M.C., S.D., B.B., S.R., P.R. and G.D.; resources, S.V.; data curation, E.B.; writing—original draft preparation, E.B.; writing—review and editing, E.B., S.V. and S.M. (Stefano Manfredini); visualization, E.B. and S.M. (Stefania Milandri); supervision, S.R. and S.V.; project administration, S.R. All authors have read and agreed to the published version of the manuscript.
Institutional Review Board Statement
Not applicable.
Data Availability Statement
Data are contained within the article.
Conflicts of Interest
The authors declare no conflicts of interest.
Funding Statement
This research received no external funding.
Footnotes
Disclaimer/Publisher’s Note: The statements, opinions and data contained in all publications are solely those of the individual author(s) and contributor(s) and not of MDPI and/or the editor(s). MDPI and/or the editor(s) disclaim responsibility for any injury to people or property resulting from any ideas, methods, instructions or products referred to in the content.
References
- 1.Zheng S.Z., Huang F.L., Chem S.C., Tan X.F., Zuo J.B., Peng J., Xie R.W. The isolation and bioactivities of pinnatoxin. Chin. J. Mar. Drugs. 1990;9:33–55. [Google Scholar]
- 2.Chou T., Haino T., Kuramoto M., Uemura D. Isolation and structure of pinnatoxin D, a new shellfish poison from the okinawan bivalve Pinna muricata. Tetrahedron Lett. 1996;37:4027–4030. doi: 10.1016/0040-4039(96)00753-8. [DOI] [Google Scholar]
- 3.Uemura D., Chou T., Haino T., Nagatsu A., Fukuzawa S., Zheng S.Z., Chen H. Pinnatoxin A: A toxic amphoteric macrocycle from the Okinawan bivalve Pinna muricata. J. Am. Chem. Soc. 1995;117:1155–1156. doi: 10.1021/ja00108a043. [DOI] [Google Scholar]
- 4.Takada N., Umemura N., Suenaga K., Chou T., Nagatsu A., Haino T., Yamada K., Uemura D. Pinnatoxins B and C, the most toxic components in the pinnatoxin series from the Okinawan bivalve Pinna muricata. Tetrahedron Lett. 2001;42:3491–3494. doi: 10.1016/S0040-4039(01)00480-4. [DOI] [Google Scholar]
- 5.McNabb P.S., McCoubrey D.J., Rhodes L., Smith K., Selwood A.I., van Ginkel R., MacKenzie A.L., Munday R., Holland P.T. New perspectives on biotoxin detection in Rangaunu Harbour, New Zealand arising from the discovery of pinnatoxins. Harmful Algae. 2012;13:34–39. doi: 10.1016/j.hal.2011.09.013. [DOI] [Google Scholar]
- 6.Selwood A.I., Miles C.O., Wilkins A.L., van Ginkel R., Munday R., Rise F., McNabb P. Isolation, Structural Determination and Acute Toxicity of Pinnatoxins E, F and G. J. Agric. Food Chem. 2010;58:6532–6542. doi: 10.1021/jf100267a. [DOI] [PubMed] [Google Scholar]
- 7.Zeng N., Gu H., Smith K., Rhodes L., Selwood A., Yang W. The first report of Vulcanodinium rugosum (Dinophyceae) from the South China Sea with a focus on the life cycle. N. Z. J. Mar. Freshw. Res. 2012;46:511–521. doi: 10.1080/00288330.2012.719911. [DOI] [Google Scholar]
- 8.Selwood A.I., Wilkins A.L., Munday R., Gu H.F., Smith K.F., Rhodes L.L., Rise F. Pinnatoxin H: A new pinnatoxin analogue from a South China Sea Vulcanodinium rugosum isolate. Tetrahedron Lett. 2014;55:5508–5510. doi: 10.1016/j.tetlet.2014.08.056. [DOI] [Google Scholar]
- 9.Arnich N., Abadie E., Delcourt N., Fessard V., Fremy J.M., Hort V., Lagrange E., Maignien T., Molgó J., Peyrat M.B., et al. Health risk assessment related to pinnatoxins in French shellfish. Toxicon. 2020;180:1–10. doi: 10.1016/j.toxicon.2020.03.007. [DOI] [PubMed] [Google Scholar]
- 10.Otero P., Silva M. Emerging marine biotoxins in European waters: Potential risks and analytical challenges. Mar. Drugs. 2022;20:199. doi: 10.3390/md20030199. [DOI] [PMC free article] [PubMed] [Google Scholar]
- 11.Nezan E., Chomerat N. Vulcanodinium rugosum gen. Nov., sp. Nov.(dinophyceae): A new marine dinoflagellate from the French mediterranean coast. Cryptogam. Algol. 2011;32:3–18. doi: 10.7872/crya.v32.iss1.2011.003. [DOI] [Google Scholar]
- 12.Rhodes L., Smith K., Selwood A., McNabb P., Munday R., Suda S., Molenaar S., Hallegraeff G. Dinoflagellate Vulcanodinium rugosum identified as the causative organism of pinnatoxins in Australia, New Zealand and Japan. Phycologia. 2011;50:624–628. doi: 10.2216/11-19.1. [DOI] [Google Scholar]
- 13.Geiger M., Deslanglois G., Hogeveen K., Fessard V., Leprêtre T., Mondeguer F., Guitton Y., Hervé F., Séchet V., Grovel O., et al. Cellular models and cytotoxicity of pinnatoxin-G and extracts of the dinoflagellate Vulcanodinium rugosum recently isolated from the French mediterranean lagoon of Ingril. Toxicon. 2013;75:215–216. doi: 10.1016/j.toxicon.2013.08.030. [DOI] [Google Scholar]
- 14.Smith K.F., Rhodes L.L., Suda S., Selwood A.I. A dinoflagellate producer of pinnatoxin G, isolated from sub-tropical Japanese waters. Harmful Algae. 2011;10:702–705. doi: 10.1016/j.hal.2011.05.006. [DOI] [Google Scholar]
- 15.Möller K., Pinto-Torres M., Mardones J.I., Krock B. Distribution of phycotoxins in Última Esperanza Province during the PROFAN expedition 2019. Prog. Oceanogr. 2022;206:102851. doi: 10.1016/j.pocean.2022.102851. [DOI] [Google Scholar]
- 16.Norambuena L., Mardones J.I. Emerging phycotoxins in the Chilean coast: First localized detection of the neurotoxic cyclic imine Pinnatoxin-G in shellfish banks. Mar. Pollut. Bull. 2023;190:114878. doi: 10.1016/j.marpolbul.2023.114878. [DOI] [PubMed] [Google Scholar]
- 17.Hernández-Becerril D.U., Rodríguez-Palacio M.C., Lozano-Ramírez C. Morphology and life stages of the potentially pinnatoxin-producing thecate dinoflagellate Vulcanodinium rugosum from the tropical Mexican Pacific. Bot. Mar. 2013;56:535–540. doi: 10.1515/bot-2013-0079. [DOI] [Google Scholar]
- 18.Fu Z., Piumsomboon A., Punnarak P., Uttayarnmanee P., Leaw C.P., Lim P.T., Wang A., Gu H. Diversity and distribution of harmful microalgae in the Gulf of Thailand assessed by DNA metabarcoding. Harmful Algae. 2021;106:102063. doi: 10.1016/j.hal.2021.102063. [DOI] [PubMed] [Google Scholar]
- 19.Al Muftah A., Selwood A.I., Foss A.J., Al-Jabri H.M.S.J., Potts M., Yilmaz M. Algal toxins and producers in the marine waters of Qatar, Arabian Gulf. Toxicon. 2016;122:54–66. doi: 10.1016/j.toxicon.2016.09.016. [DOI] [PubMed] [Google Scholar]
- 20.McCarron P., Rourke W.A., Hardstaff W., Pooley B., Quilliam M.A. Identification of pinnatoxins and discovery of their fatty acid ester metabolites in mussels (Mytilus edulis) from Eastern Canada. J. Agric. Food Chem. 2012;60:1437–1446. doi: 10.1021/jf204824s. [DOI] [PubMed] [Google Scholar]
- 21.Rundberget T., Aasen J.A.B., Selwood A.I., Miles C.O. Pinnatoxins and spirolides in norwegian blue mussels and seawater. Toxicon. 2011;58:700–711. doi: 10.1016/j.toxicon.2011.08.008. [DOI] [PubMed] [Google Scholar]
- 22.Hess P., Abadie E., Hervé F., Berteaux T., Séchet V., Aráoz R., Molgó J., Zakarian A., Sibat M., Rundberget T., et al. Pinnatoxin G is responsible for atypical toxicity in mussels (Mytilus galloprovincialis) and clams (Venerupis decussata) from Ingril, a French Mediterranean lagoon. Toxicon. 2013;75:16–26. doi: 10.1016/j.toxicon.2013.05.001. [DOI] [PMC free article] [PubMed] [Google Scholar]
- 23.Abadie E., Chiantella C., Grottier A., Rhodes L., Masseret E., Berteaux T., Laabir M. What are the main environmental factors driving the development of the neurotoxic dinoflagellate Vulcanodinium rugosum in a Mediterranean ecosystem (Ingril lagoon, France)? Harmful Algae. 2018;75:75–86. doi: 10.1016/j.hal.2018.03.012. [DOI] [PubMed] [Google Scholar]
- 24.Bouquet A., Thébault A., Arnich N., Foucault E., Caillard E., Gianaroli C., Bellamy C., Rolland J.L., Laabir M., Abadie E. Modelling spatiotemporal distributions of Vulcanodinium rugosum and pinnatoxin G in French Mediterranean lagoons: Application to human health risk characterisation. Harmful Algae. 2023;129:102500. doi: 10.1016/j.hal.2023.102500. [DOI] [PubMed] [Google Scholar]
- 25.Satta C.T., Anglès S., Lugliè A., Guillén J., Sechi N., Camp J., Garcés E. Studies on dinoflagellate cyst assemblages in two estuarine Mediterranean bays: A useful tool for the discovery and mapping of harmful algal species. Harmful Algae. 2013;24:65–79. doi: 10.1016/j.hal.2013.01.007. [DOI] [Google Scholar]
- 26.McCarthy M., Bane V., García-Altares M., van Pelt F.N., Furey A., O’Halloran J. Assessment of emerging biotoxins (pinnatoxin G and spirolides) at Europe’s first marine reserve: Lough Hyne. Toxicon. 2015;108:202–209. doi: 10.1016/j.toxicon.2015.10.007. [DOI] [PubMed] [Google Scholar]
- 27.Lamas J.P., Arévalo F., Moroño Á., Correa J., Muñíz S., Blanco J. Detection and spatio-temporal distribution of pinnatoxins in shellfish from the Atlantic and Cantabrian coasts of Spain. Toxins. 2019;11:340. doi: 10.3390/toxins11060340. [DOI] [PMC free article] [PubMed] [Google Scholar]
- 28.Varriale F., Tartaglione L., Cinti S., Milandri A., Dall’Ara S., Calfapietra A., Dell’Aversano C. Development of a data dependent acquisition-based approach for the identification of unknown fast-acting toxins and their ester metabolites. Talanta. 2021;224:121842. doi: 10.1016/j.talanta.2020.121842. [DOI] [PubMed] [Google Scholar]
- 29.Munday R., Selwood A.I., Rhodes L. Acute toxicity of pinnatoxins E, F and G to mice. Toxicon. 2012;60:995–999. doi: 10.1016/j.toxicon.2012.07.002. [DOI] [PubMed] [Google Scholar]
- 30.Servent D., Malgorn C., Bernes M., Gil S., Simasotchi C., Hérard A.S., Delzescaux T., Thai R., Barbe P., Keck M., et al. First evidence that emerging pinnatoxin-G, a contaminant of shellfish, reaches the brain and crosses the placental barrier. Sci. Total Environ. 2021;790:148125. doi: 10.1016/j.scitotenv.2021.148125. [DOI] [PubMed] [Google Scholar]
- 31.Efsa European Food Safety Authority Scientific Opinion on marine biotoxins in shellfish—Cyclic imines (spirolides, gymnodimines, pinnatoxins and pteriatoxins) EFSA J. 2010;8:1628. [Google Scholar]
- 32.Moreira-González A.R., Comas-González A., Valle-Pombrol A., Seisdedo-Losa M., Hernández-Leyva O., Fernandes L.F., Chomérat N., Bilien G., Hervé F., Rovillon G.A., et al. Summer bloom of Vulcanodinium rugosum in Cienfuegos Bay (Cuba) associated to dermatitis in swimmers. Sci. Total Environ. 2021;757:143782. doi: 10.1016/j.scitotenv.2020.143782. [DOI] [PubMed] [Google Scholar]
- 33.Aráoz R., Barnes P., Séchet V., Delepierre M., Zinn-Justin S., Molgó J., Zakarian A., Hess P., Servent D. Cyclic imine toxins survey in coastal european shellfish samples: Bioaccumulation and mode of action of 28-O-palmitoyl ester of pinnatoxin-G. first report of portimine-A bioaccumulation. Harmful Algae. 2020;98:101887. doi: 10.1016/j.hal.2020.101887. [DOI] [PMC free article] [PubMed] [Google Scholar]
- 34.Estévez P., Leao J.M., Gago-Martinez A. Present Knowledge in Food Safety. Academic Press; Cambridge, MA, USA: 2023. Marine biotoxins as natural contaminants in seafood: European perspective; pp. 115–127. [Google Scholar]
- 35.Funari E., Manganelli M., Testai E. Ostreopsis cf. ovata: Linee Guida per la Gestione Delle Fioriture Negli Ambienti Marino-Costieri in Relazione a Balneazione e Altre Attività Ricrative, ISTISAN Reports. Istituto Superiore di Sanità; Rome, Italy: 2014. (full report only in Italian) [Google Scholar]
- 36.Garrett M.J., Puchulutegui C., Selwood A.I., Wolny J.L. Identification of the harmful dinoflagellate Vulcanodinium rugosum recovered from a ballast tank of a globally traveled ship in Port Tampa Bay, Florida, USA. Harmful Algae. 2014;39:202–209. doi: 10.1016/j.hal.2014.07.014. [DOI] [Google Scholar]
- 37.Rambla-Alegre M., Miles C.O., de la Iglesia P., Fernandez-Tejedor M., Jacobs S., Sioen I., Verbeke W., Samdal I.A., Sandvik M., Barbosa V., et al. Occurence of cyclic imines in European commercial seafood and consumers risk assessment. Environ. Res. 2018;161:392–398. doi: 10.1016/j.envres.2017.11.028. [DOI] [PubMed] [Google Scholar]
- 38.Hort V., Bastardo-Fernández I., Nicolas M. Exploration of Vulcanodinium rugosum toxins and their metabolism products in mussels from the Ingril Lagoon hotspot in France. Mar. Drugs. 2023;21:429. doi: 10.3390/md21080429. [DOI] [PMC free article] [PubMed] [Google Scholar]
- 39.ANSES Agence Nationale de Sécurité Sanitaire de L’alimentation, de L’environnement et du Travail, 2019. Risques Liés Aux Pinnatoxines dans les Coquillages. Avis de l’Anses et Rapport D’expertise Collective, p. 136. Mars 2019—Edition Scientifique. [(accessed on 27 February 2024)]. (Full Report only in French) Available online: https://www.anses.fr/fr/system/files/ERCA2016SA0013Ra.pdf.
- 40.Mendez S., Alonso R., Moreira A., Reguera B. Chapter 2, IOC Manuals and Guides. In: Reguera B., Alonso R., Moreira A., Méndez S., Dechraoui-Bottein M.-Y., editors. Guide for Designing and Implementing a Plan to Monitor Toxin-Producing Microalgae. 2nd ed. Intergovernmental Oceanographic Commission (IOC) of UNESCO; Paris, France: International Atomic Energy Agency (IAEA); Vienna, Austria: 2016. p. 66. [Google Scholar]
- 41.Anon 2019. Monitoring of Toxin-producing Phytoplankton in Bivalve Mollusc Harvesting Areas. Guide to Good Practice: Technical Application. Issue, 1. [(accessed on 27 February 2024)]. Available online: https://www.aesan.gob.es/en/CRLMB/web/home.html.
- 42.EU-Harmonised Standard Operating Procedure for Determination of Lipophilica Marine Biotoxins in Molluscs by LC-MS/MS. Version 5. [(accessed on 27 February 2024)]. Available online: https://www.aesan.gob.es/en/CRLMB/docs/docs/metodos_analiticos_de_desarrollo/EU-Harmonised-SOP-LIPO-LCMSMS_Version5.pdf.
- 43.Fritz L., Triemer E. A rapid simple technique utilizing calcofluor white M2R for the visualization of dinoflagellate thecal plates. J. Phycol. 1985;21:662–664. doi: 10.1111/j.0022-3646.1985.00662.x. [DOI] [Google Scholar]
- 44.Hoppenrath M., Murray S.A., Chomérat N., Horiguchi T. Marine benthic dinoflagellates—Unveiling their worldwide biodiversity. Kleine Senckenberg-Reihe Band. 2015;54:276. [Google Scholar]
- 45.Lassus P., Chomérat N., Hess P., Nézan E. Toxic and Harmful Microalgae of the World Ocean/Micro-Algues Toxiques et Nuisibles de L’océan Mondial. International Society for the Study of Harmful Algae; Dalian, China: Intergovernmental Oceanografiphic Commission of UNESCO; Copenhagen, Denmark: 2016. IOC Manuals and Gudes, 68 (Bilingual English/French) [Google Scholar]
Associated Data
This section collects any data citations, data availability statements, or supplementary materials included in this article.
Data Availability Statement
Data are contained within the article.





