Abstract
Background
The filamentous temperature-sensitive H protease (ftsH) gene family belongs to the ATP-dependent zinc metalloproteins, and ftsH genes play critical roles in plant chloroplast development and photosynthesis.
Results
In this study, we performed genome-wide identification and a systematic analysis of soybean ftsH genes. A total of 18 GmftsH genes were identified. The subcellular localization was predicted to be mainly in cell membranes and chloroplasts, and the gene structures, conserved motifs, evolutionary relationships, and expression patterns were comprehensively analyzed. Phylogenetic analysis of the ftsH gene family from soybean and various other species revealed six distinct clades, all of which showed a close relationship to Arabidopsis thaliana. The members of the GmftsH gene family were distributed on 13 soybean chromosomes, with intron numbers ranging from 3 to 15, 13 pairs of repetitive segment. The covariance between these genes and related genes in different species of Oryza sativa, Zea mays, and Arabidopsis thaliana was further investigated. The transcript expression data revealed that the genes of this family showed different expression patterns in three parts, the root, stem, and leaf, and most of the genes were highly expressed in the leaves of the soybean plants. Fluorescence-based real-time quantitative PCR (qRT-PCR) showed that the expression level of GmftsH genes varied under different stress treatments. Specifically, the genes within this family exhibited various induction levels in response to stress conditions of 4℃, 20% PEG-6000, and 100 mmol/L NaCl. These findings suggest that the GmftsH gene family may play a crucial role in the abiotic stress response in soybeans. It was also found that the GmftsH7 gene was localized on the cell membrane, and its expression was significantly upregulated under 4 ℃ treatment. In summary, by conducting a genome-wide analysis of the GmftsH gene family, a strong theoretical basis is established for future studies on the functionality of GmftsH genes.
Conclusions
This research can potentially serve as a guide for enhancing the stress tolerance characteristics of soybean.
Supplementary Information
The online version contains supplementary material available at 10.1186/s12864-024-10389-w.
Keywords: Soybean, ftsH gene family, Phylogenetic analysis, Expression analysis, Subcellular localization
Introduction
Chloroplast proteases play a vital role in maintaining the balance of proteins and regulating the remodeling of chloroplast proteins [1, 2]. Two significant types of chloroplast proteases, Clp and filamentous temperature-sensitive H (ftsH), are involved in the formation of multi-subunit complexes consisting of different gene products. They are associated with various biological functions of chloroplasts, resistance to stress conditions, and the degradation of chloroplasts in aging leaves [3]. A protease initially discovered in a heat-sensitive mutant of E. coli was named ftsH [4]. Recent studies have identified and analyzed the ftsH gene family, recognizing its significance in a variety of organisms. This includes prokaryotes like Lactobacillus plantarum and Escherichia coli [5–7], as well as several plant species such as Arabidopsis thaliana, tobacco, rice, corn, and peanuts [8–10]. The majority of genes in this gene family are present in the nucleus and chloroplast of plant cells [11, 12].
Under intense light conditions, the D1 protein in plants that is bound to the photosystem II reaction center will be damaged, leading to photoinhibition of photosystem II. Specific proteases will remove the damaged D1 protein, an d the metalloproteinase ftsH, located on the thylakoid membrane, participates in the proteolysis process, thereby reducing the damage to photosystem II caused by intense irradiation [13]. The ftsH genes are keys in regulating plant chloroplast development and photosynthesis. For example, a small amount of Arabidopsis thaliana ftsH protein accumulates during the seedling stage. After exposure to strong light treatment, the expression levels of most AtftsH genes are significantly increased [14]. The leaves of Arabidopsis thaliana ftsH deletion mutant var2-2 are more susceptible to photoinhibition than wild-type leaves, proving that ftsH is a necessary protease for the regular operation of the photoinhibition protection mechanism in plants [15].
The structural characteristics of the ftsH protein are the basis for its complex formation [16]. Most of the ftsH protein structures of E. coli contain two transmembrane regions at the N-terminus [17]. Studies have found that most ftsH molecules interact, and ftsH–ftsH binding requires the N-terminal transmembrane region [18]. The complexes formed by multiple ftsH homologs play a role in maintaining the normal biological activity of cells [9]. The accumulation of two proteins, AtFtsH2 and AtFtsH5, in Arabidopsis thaliana is coordinated. In mutants lacking one of these proteins, there is an observed increase in the accumulation of the other protein. Experimental results have confirmed that AtFtsH2 and AtFtsH5 proteins exist in heterogeneous complexes within the plant [19].
Studies have identified and analyzed various members of the ftsH gene family in plants. There are 12 AtftsHs genes in the Arabidopsis genome, among which AtftsH1, AtftsH5, and AtftsH2 are related to light dependence [20, 21]. In the tobacco genome, 20 NtftsHs genes have been identified, including 3 NtftsH genes each on chromosomes Nt17 and Nt24; 2 on chromosomes Nt12, Nt16, and Nt23; and one on Nt02, Nt05, Nt06, Nt08, Nt14, Nt18, Nt19, and Nt22 [22]. Kato et al. employed RNA interference (RNAi) to suppress the expression of the ftsH gene in tobacco. Their investigation revealed that tobacco plants with a knockout of the ftsH gene exhibited leaf discoloration. The extent of discoloration displayed a negative correlation with the expression level of ftsH gene [23]. Yue et al. isolated two genes, ZmftsH2A and ZmftsH2B, from maize. RT-PCR analysis showed that drought stress and ABA treatment significantly upregulated the expression of ZmftsH2B gene in maize [24].
Currently, research on functional verification of the ftsH gene family in plants is mainly focused on photosynthesis and abiotic stress [25, 26]. Ivashuta et al. found that in alfalfa seedlings grown under dark conditions, transcription of the ftsH gene was induced by low temperature, revealing the independent regulatory effects of low temperature and light on gene expression [27]. Rangan’s study found that wheat at 14 dpa under high-temperature stress in the early and late grain-filling stages triggered upregulation of the expression of genes related to ftsH protease and RuBisCO active enzymes. These proteins may be closely related to the continued grain-filling process of wheat grains [28]. Yin et al. study utilized a completely randomized design, setting up six replications to measure plant seed yield and photosynthesis-related parameters. A notable connection was observed between the expression level of the gene and the temporary parameters of chlorophyll fluorescence, suggesting that GmftsH9 might play a role in controlling PSII function [29].
In this genome-level study, we utilized bioinformatics techniques to identify GmftsH family genes. We investigated various aspects, such as the physical and chemical properties, gene structure, evolution, conserved structure, intraspecific collinearity, and tissue expression of GmftsH gene family members. The objective was to establish a theoretical basis for further understanding the involvement of GmftsH genes in soybean’s growth, development, and ability to withstand abiotic stress.
Materials and methods
Identification of GmftsH gene family
This study’s genome sequences, genome annotation files, and amino acid sequences were obtained from the Phytozome 13 plant genome database (https://phytozome-next.jgi.doe.gov/).
To identify members of the GmftsH gene family, a combination of methods was employed. Initially, the Arabidopsis thaliana ftsH family protein sequence was acquired from the online TAIR database (https://www.arabidopsis.org/) and subjected to BLASTp alignment. From the Pfam database (https://www.ebi.ac.uk/interpro/) [30], the ftsH gene family (PF06480; https://www.ebi.ac.uk/interpro/entry/pfam/PF06480/) was downloaded, and a hidden Markov model (HMM) using HMMER3.0 (http://hmmer.org/) with default parameters was applied to screen the GmftsH genes from soybean genome data. An e-value of le− 5 was set as the threshold for both HMMER and BLASTp searches, and the results were integrated to identify members of the ftsH family.
The molecular and chemical characteristics of GmftsH family members, including molecular weight (MW), isoelectric point (pl), and protein amino acid count, were analyzed using online ExPASy analysis software (https://web.expasy.org/protparam/). Prediction of subcellular localization was performed using Cell-Ploc2.0 (http://www.csbio.sjtu.edu.cn/bioinf/plant/).
Phylogenetic analysis
To align the ftsH protein sequences of soybean, rice, corn, and Arabidopsis thaliana, we employed the default parameters of ClustalW [31].The phylogenetic tree was constructed using the MEGA11 software [32] with the Maximum Likelihood method (ML) and default settings (BootStrap 1000). After we finished the analysis, we saved the file in NWK format and then used Chiplot (https://www.chiplot.online/) to enhance its appearance.
Gene structure and chromosomal location of GmftsH genes
For the prediction of conserved motifs in this study, the protein sequence of the GmftsH family was submitted to Multiple Expectation maximizations for Motif Elicitation (MEME; http://meme-suite.org/tools/meme). The number of predicted conserved motifs was set to 10, with a length of 650 aa. The sequence was also submitted to the Conserved Domains Database (CDD; https://www.ncbi.nlm.nih.gov/Structure/cdd/cdd.shtml) to predict the structural domain information, with the e-value set to le-5. The promoter sequence was obtained by extracting the 2000 bp sequence upstream of the start codon for each gene in the GmftsH gene family. To predict cis-acting components in the GmftsH promoter, PlantCARE (http://bioinformatics.psb.ugent.be/webtools/plantcare/html/) was used for modification. For visualization of the promoter cis-acting elements, ggplot2 package (https://github.com/tidyverse/ggplot2) was utilized. Finally, a diagram of the GmftsH family genes structure combination and chromosome distribution was visualized using TBtools software [33].
Collinearity analysis
MCScanX software [34] was used to analyze the duplication type of GmftsH gene family and the collinearity within its genome. Pairwise comparisons of genome-wide protein sequences of the four species were performed using BLAST, set the e-value to le-5, submitted the comparison results to MCScanX for inter-species and intra-species collinearity analysis, extracted the location of the ftsH gene from the results of collinear blocks, and counted the number of collinear gene pairs in order to further analyze the differentiation of repeated genes. Circos software (http://circos.ca/citations/) [35] was used to draw the diagram.
Expression and GO enrichment analysis of GmftsH
The expression profile data of different parts of soybean seedlings at the V2 stage were downloaded from the Plant Public RNA-Seq Database (PPRD; https://plantrnadb.com/), and used TBtools to draw a heatmap. Subsequently, g:Profiler (https://biit.cs.ut.ee/gprofiler/gost) was utilized to conduct an enrichment analysis of the identified 18 genes from the GmftsH family, allowing for an initial prediction of their gene functions.
Plant materials and stress treatment
Jilin Agricultural University’s Biotechnology Center supplied the JiNong74 variety of soybeans. Plump and well-developed soybean seeds were selected, sown in soil, and placed in an artificial culture room for cultivation at a temperature of 25 °C with a light/dark cycle of 16/8 hours. Soybean seedlings at the V2 stage were subjected to stress conditions including temperature of 4 °C, 20% PEG-6000, and 100 mmol/L NaCl. The leaves were gathered at various time points (0, 2, 4, 6, and 8 h) following treatment and promptly frozen in liquid nitrogen for future utilization in RNA extraction. Each experiment was replicated 3 times.
Quantitative real-time PCR (qRT-PCR)
The expression of the target genes was measured under different stress conditions. Total RNA was extracted from soybean roots, stems, and leaves at the V2 stage using RNAiso Plus (Takara Bio, Kyoto, Japan).The concentration of RNA was measured using a NanoDrop 2000 spectrophotometer (Thermo Fisher, Waltham, MA, USA). The RNA was then reverse transcribed into cDNA using an All-in-One First-Strand cDNA Synthesis Kit (GeneCopoeia Inc., USA) with a dilution factor of 5. The reverse transcription reaction was carried out at 95 °C for 30 s, 95 °C for 10 s, and 60 °C for 30 s, for a total of 40 cycles. The soybean β-actin gene (GenBank accession number: NM_001252731.2) was chosen as the internal reference gene. Primers were designed online (https://sg.IDTDNA.com/pages/tools; received on September 10, 2022. See Table S1). The specificity of primers was checked using the NCBI BLAST tool (https://www.ncbi.nlm.nih.gov/tools/primer-blast/). For the experimental evaluation, 3 biological replicates were selected. An RNA concentration of 412.5 ng/µL was used. To eliminate the potential for DNA contamination, DNase I (70µL Reaction + 10µL DNase I) buffer was added, and then the RNA was used for qRT-PCR experiments. qRT-PCR analysis was performed using Mx3000P (Agilent Technologies, Lexington, MA, USA). The expression levels were calculated using the 2-ΔΔCt formula [36]. GraphPad Prism 9.5.0 software (https://www.graphpad-prism.cn/) was employed to generate histograms.
GmftsH7 subcellular localization analysis
RNA was extracted from the tender leaves of soybeans, was reverse-transcribed into cDNA, and was used as a PCR template to clone the full-length coding region of GmftsH7. Nicotiana benthamiana leaves aged 6 ~ 8 weeks were selected for injection. Seamless cloning technology was used to construct the pCAMBIA1302-GmftsH7-GFP vector, which was then transferred into Escherichia coli, and the recombinant plasmid was extracted. The pCAMBIA1302-GFP and pCAMBIA1302-GmftsH7-GFP plasmids were transferred into Agrobacterium tumefaciens strain GAH105 recipient cells. Both types of bacterial cultures were propagated and were resuspended in infiltration buffer. After incubation at 28℃ for 3 h, a 1 mL syringe was used to gently pierce a small opening on the underside of the tobacco leaf (being careful not to puncture through) and then, with the needle removed, the syringe was used to draw up the bacterial solution and inject it into the leaf through the wound (supporting the front side of the leaf with fingers to allow the bacterial solution to permeate from the back). The wet areas on the tobacco leaf were marked with a marker. 48 h later, gene expression and localization were observed under a laser confocal microscope.
Results
Identification of GmftsH family
In this study, we identified 18 GmftsH gene family members (Table 1), analyzed their physical and chemical properties, and predicted their subcellular localization. GmftsH4 is a protein comprising 320 amino acids (aa), indicating a relatively shorter structure, whereas GmftsH15 is a notably longer protein, consisting of 848 aa. The protein has a molecular weight range of 35.85 Da (GmftsH4) to 99.55 Da (GmftH15), and the PI range is 5.41 (GmftsH12) to 10.05 (GmftsH16). Subcellular localization prediction results show that many members of the GmftsH gene family are expressed in chloroplasts and nucleus (GmftsH5, GmftsH6, GmftsH9, GmftsH13, GmftsH15, GmftsH16, and GmftsH18), and some are only expressed in chloroplasts (GmftsH2, GmftsH3, GmftsH8, GmftsH10, GmftsH11, GmftsH12, GmftsH14, and GmftsH17). On the other hand, GmftsH1 gene is only expressed in the nucleus, and GmftsH7 gene is expressed in the cell membrane.
Table 1.
List of 18 GmftsH gene family members identified in this study
| Gene | Gene ID | Chr | Start | End | Forward/ reverse strand |
Length | MolWt | pI | Subcellular localization |
|---|---|---|---|---|---|---|---|---|---|
| Glyma.04G213800 | GmftsH1 | Gm04 | 47,367,231 | 47,376,286 | + | 844 | 94795.31 | 5.66 | Nucleus. |
| Glyma.04G019100 | GmftsH2 | Gm04 | 1,495,640 | 1,499,745 | - | 695 | 74160.56 | 6.03 | Chloroplast. |
| Glyma.02G225300 | GmftsH3 | Gm02 | 43,089,646 | 43,098,031 | + | 804 | 86930.02 | 8.73 | Chloroplast |
| Glyma.12G061500 | GmftsH4 | Gm12 | 4,475,583 | 4,478,866 | + | 320 | 35864.88 | 9.06 |
Cell membrane. Cell wall. Chloroplast. |
| Glyma.12G061200 | GmftsH5 | Gm12 | 4,434,099 | 4,440,167 | + | 811 | 89316.76 | 8.1 | Chloroplast. Nucleus. |
| Glyma.12G061400 | GmftsH6 | Gm12 | 4,456,032 | 4,466,507 | + | 807 | 88528.65 | 7.17 | Chloroplast. Nucleus. |
| Glyma.08G086600 | GmftsH7 | Gm08 | 6,554,799 | 6,557,920 | - | 697 | 74980.52 | 5.7 | Cytomembrane. |
| Glyma.15G158900 | GmftsH8 | Gm15 | 13,376,352 | 13,381,817 | + | 691 | 74096.77 | 6.04 | Chloroplast. |
| Glyma.11G137700 | GmftsH9 | Gm11 | 10,453,054 | 10,458,893 | + | 811 | 89324.67 | 8.63 | Chloroplast. Nucleus. |
| Glyma.09G052600 | GmftsH10 | Gm09 | 4,575,415 | 4,579,489 | + | 696 | 74631.55 | 6.04 | Chloroplast. |
| Glyma.13G049800 | GmftsH11 | Gm13 | 13,638,595 | 13,644,343 | - | 639 | 70631.46 | 9.84 | Chloroplast. |
| Glyma.05G132000 | GmftsH12 | Gm05 | 32,540,663 | 32,544,287 | - | 696 | 74816.31 | 5.41 | Chloroplast. |
| Glyma.14G192100 | GmftsH13 | Gm14 | 46,553,229 | 46,561,347 | + | 813 | 88164.59 | 9.09 | Chloroplast. Nucleus. |
| Glyma.06G019400 | GmftsH14 | Gm06 | 1,461,094 | 1,465,242 | - | 697 | 74393.95 | 6.09 | Chloroplast. |
| Glyma.06G152500 | GmftsH15 | Gm06 | 12,379,423 | 12,388,055 | - | 848 | 95554.22 | 5.97 | Chloroplast. Nucleus. |
| Glyma.19G040200 | GmftsH16 | Gm19 | 5,780,996 | 5,786,677 | + | 632 | 69692.62 | 10.05 | Chloroplast. Nucleus. |
| Glyma.18G259700 | GmftsH17 | Gm18 | 54,853,317 | 54,857,662 | - | 679 | 73349.2 | 6.04 | Chloroplast. |
| Glyma.18G065600 | GmftsH18 | Gm18 | 5,942,975 | 5,951,508 | + | 793 | 86240.29 | 8.45 | Chloroplast. Nucleus. |
The 18 members of the GmftsH gene family are unevenly distributed on 13 chromosomes (Fig. 1). Among them, the GmftsH genes on chromosomes Gm06, Gm08, Gm09, Gm11, Gm12, Gm13, Gm15, and Gm19 are located at the front end of the chromosome, and those on chromosomes Gm02, Gm05, and Gm14 are located at the tail end of the chromosome. The positions of GmftsH4, GmftsH5, and GmftsH6 on chromosome Gm12 are close, similar to the proximity of GmftsH14 and GmftsH15 on chromosome Gm06.
Fig. 1.
Chromosome distribution of GmftsH gene family. Sliding window size set to 100 kb, with yellow to blue indicating gene density from high to low
Phylogenetic analysis of GmftsH gene family
A comparison of the ftsH genes in rice, maize, Arabidopsis thaliana, and soybean reveals homology among them. This phylogenetic analysis categorizes the 45 ftsH genes into six distinct subgroups, with the 18 GmftsH genes from soybean being distributed across various subfamilies. Group I is comprised exclusively of ftsH gene members from dicotyledonous plants. The largest of these subgroups is Group III, encompassing five members - GmftsH7, GmftsH8, GmftsH10, GmftsH12, and GmftsH17. Additionally, Group IV includes four soybean ftsH genes, which exhibit a close phylogenetic relationship with the ftsH genes found in Arabidopsis thaliana(Fig. 2). This pronounced homology between the Arabidopsis and soybean ftsH genes, in contrast to those in rice and maize, could be attributed to their commonality as dicotyledonous plants. Integrating this with subcellular localization predictions, it appears that genes expressed within similar cellular compartments are more likely to be closely related, potentially indicative of parallel functional roles. Consequently, this suggests a likelihood that GmftsH and AtftsH proteins may fulfill analogous biological functions within the cellular framework.
Fig. 2.
Phylogenetic tree of ftsH proteins from soybean, Arabidopsis, maize, and rice. Groups I–VI represent subgroups I–VI.
Structure and motif composition of GmftsH gene family
All GmftsH genes contain multiple exons and introns (Fig. 3D). The number and length of introns and exons of genes located on the same evolutionary tree branch are roughly similar. The number of exons in the genes ranges from 16 to 4, with GmftsH10, GmftsH8, GmftsH12, GmftsH7, GmftsH4, and GmftsH16 each comprising four exons. The presence of ftsH-related conserved domains is a common feature among all GmftsH genes, which is characteristic of the ftsH protein family. To determine the composition and number of these conserved motifs in the GmftsH gene family (Fig. 3A, C), we utilized online MEME software. This analysis identified a total of 10 conserved motifs, labeled Motif 1 to Motif 10 (Fig. 3B). All GmftsH genes share these conserved motifs, whereas GmftsH4, GmftsH11, and GmftsH16 lack Motifs 8 and 9. The diversity of the soybean ftsH gene family is related to the distribution and structure of conserved motifs, and it was observed that genes on the same branch possess the same number and type of motifs.
Fig. 3.
Phylogenetic tree, gene structure, protein conserved motifs, and conserved domain analysis of GmftsH gene family. (A) Phylogenetic tree constructed by maximum likelihood method (B) Motif analysis of protein encoded by GmftsH genes. (C) Conserved domain of GmftsH genes. (D) GmftsH genes structure
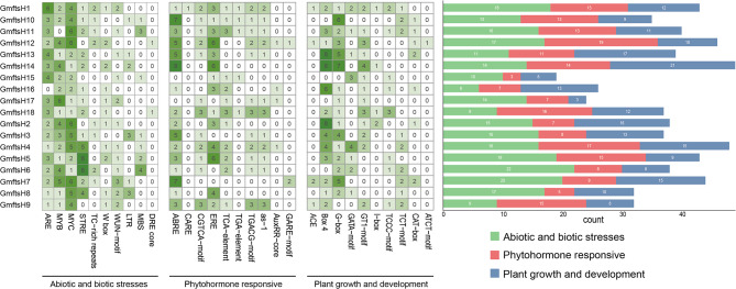
In order to investigate gene expression levels, the promoter regions located 2000 bp upstream of 18 genes in the GmftsH gene family were analyzed. The analysis results (Fig. 4) indicate that the upstream promoters of the 18 GmftsH genes contain multiple elements associated with abiotic and biotic stress, plant hormone response, and plant growth and development. Within these, the cis-acting elements related to abiotic and biotic stress were the most abundant, similar in number to those associated with plant hormone response and plant growth and development. Cis-acting elements such as MYB, ABRE, and G-box, which respond to biotic stress, have been identified in different experiments. GmftsH14, GmftsH4, and GmftsH6 contain drought-inducible, low-temperature-inducible, and abscisic acid response elements, as well as MYB binding sites, so these three genes are likely to play important roles in drought and low-temperature stress.
Fig. 4.
Analysis of cis-acting elements in promoter region of GmftsH gene family
Intraspecific collinearity analysis of GmftsH gene family
During plant evolution, gene duplication and retention of existing genes allow plant genomes to expand. As can be seen from Fig. 5, a total of 13 pairs of collinear soybean ftsH genes were detected across the 20 chromosomes of soybean, with the highest number of collinear gene pairs found on chromosomes 5, 8, 9, and 15. Among the 20 chromosomes (Gm1-Gm20), 18 GmftsH genes are unevenly distributed on the remaining chromosomes. Three GmftsH genes are located on chromosome Gm12; two on chromosomes Gm6, Gm4, and Gm18; and one each on chromosomes Gm2, Gm5, Gm8, Gm9, Gm11, Gm13, Gm14, Gm15, and Gm19. In the Circos diagram (Figs. 5), 13 gene pairs with segmental duplications are connected by red curves. From the gene position analysis, it can be seen that GmftsH6 is produced by tandem duplication, and no gene duplication event occurs in the GmftsH17 gene, indicating that in GmftsH gene amplification, the fragment replication ratio is greater than the tandem replication ratio. The expansion of the GmftsH gene family is associated with events of tandem and segmental duplication.
Fig. 5.

Collinearity analysis of GmftsH gene family. Repeated gene pair segments are connected by red lines, with red and yellow corresponding to high- and low-density values
Interspecific collinearity analysis of GmftsH gene family
The collinearity relationship between GmftsH gene family members and Arabidopsis, rice, and maize ftsH genes was further analyzed. There were 18 collinear fragments identified between Arabidopsis thaliana and soybean, 8 collinear fragments between rice and soybean, and 9 collinear fragments between rice and maize (Fig. 6). Based on these collinear relationships, a collinear plot was drawn to represent homologous gene pairs of soybean and other species, connected by blue lines in Fig. 6. Soybean and Arabidopsis have the most collinear fragments, located on chromosomes 1, 2, 3, and 5 of Arabidopsis. The abundance of homologous ftsH gene pairs indicates high homology between soybean and Arabidopsis.
Fig. 6.
Collinearity analysis of ftsH gene families in soybean, corn, rice, and Arabidopsis thaliana. Gray line indicates all syntenic blocks in genome; blue line indicates large fragment duplicated ftsH gene pairs
GO enrichment analysis of GmftsH gene family
The results show that the GmftsH genes are mainly involved in the response to abiotic and light stimuli, mitochondrial protein processing, regulation of light-responsive protein metabolism, and energy generation. The GmftsH genes exhibit diverse molecular functions as well, including ATP-dependent peptidase activity, catalytic enzyme activity, hydrolase activity, and metalloprotease activity (Fig. 7).
Fig. 7.
GO enrichment analysis of GmftsH gene family members
Analysis of tissue expression pattern of GmftsH gene family
It can be seen from Fig. 8 that GmftsH genes have different expression patterns. Most genes are expressed in three parts: roots, stems, and leaves. GmftsH9 is highly expressed in stems. GmftsH18 and GmftsH5 are highly expressed in roots, indicating their essential roles in root development. Except for GmftsH9 and GmftsH5, the remaining 16 genes are highly expressed in leaves and may play a role in the growth and photosynthesis of leaves (Fig. 8). In this study, the 18 GmftsH genes were expressed in at least one tissue, indicating that the GmftsH gene family functions in different soybean tissues and organs.
Fig. 8.
Expression patterns of GmftsH gene family members were analyzed in three tissue types. Expression level in terms of Log2FPKM is indicated in blue for low-abundance transcripts and pink for high-abundance transcripts
We analyzed gene expression under different stress conditions to investigate the potential involvement of GmftsH genes. The expression of 18 GmftsH genes in roots, stems, and leaves was evaluated using qRT-PCR. The genes exhibited distinct expression patterns under three abiotic stress conditions: 20% PEG-6000, 100 mmol/L NaCl, and 4 °C. The majority of genes showed significant changes in expression during the early stages of the response (Fig. 9). For example, under 20% PEG-6000 treatment, the expression of GmftsH8 in leaves increased significantly, reaching a peak at 8 h of treatment; both GmftsH8 and GmftsH14 had increased expression with different extended treatment times, but GmftsH8 The expression level was slightly lower than that of GmftsH14. The expression level of GmftsH7 increased by about three times compared with the expression level at 2 h under 4 °C treatment for 8 h.
Fig. 9.
Analysis of expression levels of GmftsH gene family members under different stresses. T-test was used; asterisks indicate statistically significant differences (* p < 0.05; ** p < 0.01)
Subcellular localization
The functional analysis of genes relies strongly on understanding where the expression products of genes are located within cells. In order to determine the expected subcellular location of GmftsH7, we analyzed the temporary expression of pCAMBIA1302-GFP and pCAMBIA1302-GmftsH7-GFP in N. benthamiana leaves. A green fluorescence signal of non-linked GFP could be observed in both the nucleus and cytoplasm, as shown in Fig. 10. However, the green fluorescence signal of GmftsH7-GFP was solely localized to the cell membrane. This confirms that GmftsH7 is indeed situated on the cell membrane.
Fig. 10.
Subcellular localization results of GmftsH7 gene. Note CK, pCAMBIA1302-GFP; GFP, green excitation light state; Bright, bright field; Merge, superposition state
Discussion
The ftsH genes is widely found in prokaryotes and eukaryotes, and plays important roles in plant growth and development and resistance to abiotic stress [37–39]. The ftsH gene families in Arabidopsis thaliana, maize, and rice have previously been identified and analyzed, but those in soybean have not been reported. In this study, based on the similarity of ftsH protein with that in Arabidopsis thaliana and the existence of the ftsH_ext domain, we performed genome-wide identification and a systematic analysis of Soybean ftsH gene family and identified a total of 18 genes, which were more similar than the ftsH genes in Arabidopsis, corn, rice, and tobacco [40–42]. This suggests that the ftsH genes may have experienced sustained, family-specific amplification throughout evolution [43, 44].
According to the phylogenetic relationship, the ftsH gene family in soybean, rice, maize, and Arabidopsis is divided into six subfamilies, with a greater number of soybean ftsH genes being distributed in Group III. Soybean is closely related to Arabidopsis thaliana (Fig. 2), and its gene structure, subcellular localization, conserved motifs, evolutionary relationships, and expression patterns were comprehensively analyzed. By studying the gene structure, we found a substantial presence of introns in soybean ftsH genes, numbering between 3 and 15. Genes on the same evolutionary branch have similar intron–exon composition and conserved domains (Fig. 3), suggesting that these genes may have similar functions in plants. GmftsH is similar in structure and conserved domain to ftsH gene members reported in tomato, pepper, and potato [45–47]. Typical ftsH features include an N-terminal transmembrane structure consisting of one or two transmembrane helices and a highly conserved AAA + ATPase domain [48, 49], which has been shown to function in the hydrolysis and transformation of ATP [50].
The results of prediction analysis of promoter cis-acting elements of GmftsH genes (Fig. 4) partially coincided with the GO enrichment results (Fig. 7). This gene family may be involved in abiotic stress response, photosynthesis, and mitochondrial protein processing in plants, suggesting that ftsH genes may be closely related to photosynthesis. This has been confirmed in organisms that perform photosynthesis, such as cyanobacteria and Arabidopsis. For example, plants with reduced FTSH12 gene expression will have pale leaves and malformed chloroplasts [41, 51]. The collinearity analysis showed that the soybean ftsH gene family has 13 gene pairs with segment repeats (Fig. 5), and the most collinear fragments among species were identified in Arabidopsis (Fig. 6).
We analyzed the expression patterns at different tissues of the GmftsH gene family genes to better understand their potential biological functions. In this study, most of the 18 GmftsH genes were highly expressed in leaves (Fig. 8), which may indicate that they have a similar function to the homologous Arabidopsis ftsH gene and play a role in photosynthesis [42]. GmftsH5 and GmftsH18 were highly expressed in roots, which may indicate that they have a similar function to the homologous rice ftsH genes and play a role in drought stress and root nutrient metabolism [52]. Previous studies found that the tomato LeftsH6 gene shows strong heat-induced GUS staining in ovary, stigma, anther, and sepal at different developmental stages, as well as pollen grains of mature anthers, and its heat induction is mediated by the interaction between HSEs of LeftsH6 promoter and heat shock factor [47]. Similarly, it was found that Arabidopsis FtsH6 can regulate the expression of HSP21. A lack of functional FtsH6 protein can promote the accumulation of HSP21 and increase the thermal memory capacity of Arabidopsis [53].
We also analyzed the gene expression patterns of the GmftsH gene family under three abiotic stress conditions (Fig. 9). The results show different expression levels of most GmftsH genes under different abiotic stress conditions. For example, the expression levels of GmftsH4, GmftsH8, and GmftsH10 were significantly increased under 20% PEG-6000 treatment. Under 100 mmol/LNaCl treatment, the expression level of GmftsH9 was higher than that of other genes, but the expression level of GMFTSH9 under induced drought was slightly higher than that under salt stress. At the same time, the expression level of GmftsH7 in leaves treated at 4 ℃ for 8 h was about three times higher than that at 2 h, and the expression level in leaves reached a very significant level. This is consistent with the results that the ftsH gene was induced to be expressed in alfalfa under low-temperature treatment [27]. Overexpression of ftsH can improve the heat and salt tolerance of plants, ftsH mutants reduce the capacity of biofilm formation [54]. Our research results show that GmftsH gene is involved in plant response to abiotic stress, which is consistent with the analysis results of cis-acting elements. It may be that these cis-acting elements are bound by transcription factors under stress and regulate the expression of target genes, thus they play a role in plant resistance to abiotic stress. There are few studies on low-temperature treatment of GmftsH genes, and the function of GmftsH in soybean in response to low-temperature stress needs to be further verified.
Conclusions
In this study, a total of 18 GmftsH genes were found in the soybean genome, and these genes were unequally distributed on 13 chromosomes. Among them, 17 GmftsH genes were generated by segment duplication and GmftsH6 was generated by tandem duplication, indicating that, in the amplification of GmftsH family genes, the proportion of segment duplication is greater than the proportion of tandem duplication. An analysis of the gene transcriptome data of the 18 GmftsH genes showed that these genes play a role in plant growth and development. qRT-PCR analysis of soybeans under abiotic stress showed that GmftsH family genes may be involved in the abiotic stress response. Among them, GmftsH7 was significantly upregulated under 4 ℃ treatment; thus, it may play a vital role in cold tolerance. Subcellular localization showed that GmftsH7 was localized in the cell membrane. The research results will help in analyzing the molecular mechanism of the ftsH gene family in the growth and development of soybeans and provide genetic resources for improving soybean stress resistance traits through molecular breeding.
Electronic supplementary material
Below is the link to the electronic supplementary material.
Acknowledgements
I want to extend my heartfelt appreciation to all individuals who provided invaluable assistance and support throughout the process of completing this thesis. Thanks to Dr. Mohamed A. S. Khalifa for polishing the language of the article.
Author contributions
P.W. F.L. was responsible for proposing the experimental ideas and providing guidance for the experiments. J.W. and L.L. were responsible for writing the manuscript and interpreting the data. R.L. and Q.Z. played a role in analyzing and interpreting the data.P.W.,F.L.,J.W.,L.L.,R.L.,Q.Z.,and X.W. participated in the revision of the article. All authors have read and approved the final version of the manuscript for publication.
Funding
This research project was funded by the Jilin Provincial Major Science and Technology Innovation Project, Project No. 20210302002NC. The main focus of the project is to improve the quality and yield of specialty soybeans through resource identification, functional gene discovery and material creation, and to improve the quality and yield of specialty soybeans through resource identification, functional gene discovery and material creation.
Data availability
The sequence information for the entire soybean genome was obtained from the Phytozome 13 Web site (https://phytozome-next.jgi.doe.gov/). obtained, which is open to all researchers. Soybean (JiNong 74) seeds provided by the Laboratory of Biotechnology Center of Jilin Agricultural University were used as experimental materials. The datasets supporting the conclusions of this paper are included in this paper and its additional files.
Declarations
Ethics approval and consent to participate
We ensure that the collection of plant material, as well as experimental and field research on plants, complies with relevant institutional, national and international guidelines and legislation.
Consent for publication
Not applicable.
Competing interests
The authors declare no competing interests.
Footnotes
Publisher’s Note
Springer Nature remains neutral with regard to jurisdictional claims in published maps and institutional affiliations.
Jiabao Wang and Lu Liu are the co-first authors.
Contributor Information
Fenglou Ling, Email: wangjiab2022@126.com.
Piwu Wang, Email: peiwuw@163.com.
References
- 1.Nishimura K, Kato Y, Sakamoto W. Chloroplast proteases: updates on Proteolysis within and across Suborganellar compartments. Plant Physiol. 2016;171:2280–93. doi: 10.1104/pp.16.00330. [DOI] [PMC free article] [PubMed] [Google Scholar]
- 2.Chi W, Sun X, Zhang L. The roles of Chloroplast proteases in the Biogenesis and maintenance of Photosystem II. Biochim et Biophys Acta (BBA) - Bioenergetics. 2012;1817:239–46. doi: 10.1016/j.bbabio.2011.05.014. [DOI] [PubMed] [Google Scholar]
- 3.Adam Z, Rudella A, van Wijk KJ. Recent advances in the study of Clp, FtsH and other proteases located in chloroplasts. Curr Opin Plant Biol. 2006;9:234–40. doi: 10.1016/j.pbi.2006.03.010. [DOI] [PubMed] [Google Scholar]
- 4.Santos D, De Almeida DF. Isolation and characterization of a New temperature-sensitive cell Division Mutant of Escherichia Coli K-12. J Bacteriol. 1975;124:1502–7. doi: 10.1128/jb.124.3.1502-1507.1975. [DOI] [PMC free article] [PubMed] [Google Scholar]
- 5.Nixon PJ. FtsH-Mediated repair of the Photosystem II Complex in response to light stress. J Exp Bot. 2004;56:357–63. doi: 10.1093/jxb/eri021. [DOI] [PubMed] [Google Scholar]
- 6.Ogura T, Tomoyasu T, Yuki T, Morimura S, Begg KJ, Donachie WD, Mori H, Niki H, Hiraga S. Structure and function of the ftsH gene in Escherichia Coli. Res Microbiol. 1991;142:279–82. doi: 10.1016/0923-2508(91)90041-8. [DOI] [PubMed] [Google Scholar]
- 7.Jayasekera MMK, Foltin SK, Olson ER, Holler TP. Escherichia Coli requires the protease activity of FtsH for growth. Arch Biochem Biophys. 2000;380:103–7. doi: 10.1006/abbi.2000.1903. [DOI] [PubMed] [Google Scholar]
- 8.Chen J, Burke JJ, Xin Z. Chlorophyll fluorescence analysis revealed essential roles of FtsH11 protease in regulation of the adaptive responses of Photosynthetic systems to high temperature. BMC Plant Biol. 2018;18:11. doi: 10.1186/s12870-018-1228-2. [DOI] [PMC free article] [PubMed] [Google Scholar]
- 9.FtsH4 Protease Controls Biogenesis of the PSII Complex by Dual Regulation of High Light-Inducible Proteins Plant Commun. 2023;4:100502. doi: 10.1016/j.xplc.2022.100502. [DOI] [PMC free article] [PubMed] [Google Scholar]
- 10.Wang J, Jiang Y, Sun T, Zhang C, Liu X, Li Y. Genome-wide classification and evolutionary analysis Reveal diverged patterns of Chalcone isomerase in plants. Biomolecules. 2022;12:961. doi: 10.3390/biom12070961. [DOI] [PMC free article] [PubMed] [Google Scholar]
- 11.Wagner R, Aigner H, Funk C. FtsH proteases located in the Plant Chloroplast. Physiol Plant. 2012;145:203–14. doi: 10.1111/j.1399-3054.2011.01548.x. [DOI] [PubMed] [Google Scholar]
- 12.Kato Y, Sakamoto W. FtsH protease in the Thylakoid membrane: physiological functions and the regulation of protease activity. Front Plant Sci 2018, 9. [DOI] [PMC free article] [PubMed]
- 13.Yoshioka-Nishimura M, Yamamoto Y. Quality Control of Photosystem II: the molecular basis for the action of FtsH protease and the dynamics of the Thylakoid membranes. J Photochem Photobiol B. 2014;137:100–6. doi: 10.1016/j.jphotobiol.2014.02.012. [DOI] [PubMed] [Google Scholar]
- 14.Zaltsman A, Feder A, Adam Z. Developmental and Light effects on the Accumulation of FtsH protease in Arabidopsis chloroplasts – implications for thylakoid formation and photosystem II maintenance. Plant J. 2005;42:609–17. doi: 10.1111/j.1365-313X.2005.02401.x. [DOI] [PubMed] [Google Scholar]
- 15.Bailey S, Thompson E, Nixon PJ, Horton P, Mullineaux CW, Robinson C, Mann NH. A critical role for the Var2 FtsH homologue of Arabidopsis Thaliana in the Photosystem II Repair cycle in Vivo*. J Biol Chem 2002, 277, 2006–11, 10.1074/jbc.M105878200. [DOI] [PubMed]
- 16.Bittner L-M, Westphal K, Narberhaus F. Conditional proteolysis of the membrane protein YfgM by the FtsH protease depends on a Novel N-Terminal Degron*. J Biol Chem. 2015;290:19367–78. doi: 10.1074/jbc.M115.648550. [DOI] [PMC free article] [PubMed] [Google Scholar]
- 17.Schumann W. FtsH – a single-chain charonin? FEMS Microbiol Rev. 1999;23:1–11. doi: 10.1111/j.1574-6976.1999.tb00389.x. [DOI] [PubMed] [Google Scholar]
- 18.Akiyama Y, Yoshihisa T, Ito K. FtsH, a membrane-bound ATPase, forms a Complex in the cytoplasmic membrane of Escherichia Coli. J Biol Chem. 1995;270:23485–90. doi: 10.1074/jbc.270.40.23485. [DOI] [PubMed] [Google Scholar]
- 19.Järvi S, Suorsa M, Tadini L, Ivanauskaite A, Rantala S, Allahverdiyeva Y, Leister D, Aro E-M. FtsH Facilitates Proper Biosynthesis of Photosystem I in Arabidopsis Thaliana. Plant Physiol. 2016, pp.00200.2016, 10.1104/pp.16.00200. [DOI] [PMC free article] [PubMed]
- 20.Yu F, Park S, Rodermel SR. Functional redundancy of AtFtsH metalloproteases in Thylakoid membrane complexes. Plant Physiol. 2005;138:1957–66. doi: 10.1104/pp.105.061234. [DOI] [PMC free article] [PubMed] [Google Scholar]
- 21.Yu F, Park S, Rodermel SR. The Arabidopsis FtsH metalloprotease Gene Family: interchangeability of subunits in Chloroplast Oligomeric complexes. Plant J. 2004;37:864–76. doi: 10.1111/j.1365-313X.2003.02014.x. [DOI] [PubMed] [Google Scholar]
- 22.Pu T, Mo Z, Su L, Yang J, Wan K, Wang L, Liu R, Liu Y. Genome-wide identification and expression analysis of the ftsH protein family and its response to abiotic stress in Nicotiana Tabacum L. BMC Genomics. 2022;23:503. doi: 10.1186/s12864-022-08719-x. [DOI] [PMC free article] [PubMed] [Google Scholar]
- 23.Kato Y, Kouso T, Sakamoto W. Variegated Tobacco leaves generated by Chloroplast FtsH suppression: implication of FtsH function in the maintenance of thylakoid membranes. Plant Cell Physiol. 2012;53:391–404. doi: 10.1093/pcp/pcr189. [DOI] [PubMed] [Google Scholar]
- 24.Yue G, Hu X, He Y, Yang A, Zhang J. Identification and characterization of two members of the FtsH Gene Family in Maize (Zea Mays L) Mol Biol Rep. 2010;37:855–63. doi: 10.1007/s11033-009-9691-3. [DOI] [PubMed] [Google Scholar]
- 25.Xu K, Li N, Zhang Y, Gao S, Yin Y, Yao M, Wang F. Silencing of Pepper CaFtsH1 or CaFtsH8 genes alters normal Leaf Development. Int J Mol Sci. 2023;24:4927. doi: 10.3390/ijms24054927. [DOI] [PMC free article] [PubMed] [Google Scholar]
- 26.Zhu X, Yu A, Zhang Y, Yu Q, Long R, Kang J, Yang Q, Guo C, Li M. Genome-wide identification and characterization of Filamentation temperature-sensitive H (FtsH) genes and expression analysis in response to multiple stresses in Medicago Truncatula. Mol Biol Rep. 2023 doi: 10.1007/s11033-023-08851-1. [DOI] [PubMed] [Google Scholar]
- 27.Ivashuta S, Imai R, Uchiyama K, Gau M, Shimamoto Y. Changes in Chloroplast FtsH-like gene during Cold Acclimation in Alfalfa (Medicago Sativa) J Plant Physiol. 2002;159:85–90. doi: 10.1078/0176-1617-00661. [DOI] [Google Scholar]
- 28.Rangan P, Furtado A, Henry R. Transcriptome Profiling of Wheat Genotypes under heat stress during grain-filling. J Cereal Sci. 2020;91:102895. doi: 10.1016/j.jcs.2019.102895. [DOI] [Google Scholar]
- 29.Yin Z, Meng F, Song H, Wang X, Chao M, Zhang G, Xu X, Deng D, Yu D. GmFtsH9 expression correlates with in vivo photosystem II function: Chlorophyll a fluorescence transient analysis and eQTL mapping in soybean. Planta. 2011;234:815–27. doi: 10.1007/s00425-011-1445-5. [DOI] [PubMed] [Google Scholar]
- 30.Mistry J, Chuguransky S, Williams L, Qureshi M, Salazar GA, Sonnhammer ELL, Tosatto SCE, Paladin L, Raj S, Richardson LJ, et al. Pfam: the protein families database in 2021. Nucleic Acids Res. 2021;49:D412–9. doi: 10.1093/nar/gkaa913. [DOI] [PMC free article] [PubMed] [Google Scholar]
- 31.Hung J-H, Weng Z. Sequence alignment and homology search with BLAST and ClustalW. Cold Spring Harb Protoc. 2016;2016. 10.1101/pdb.prot093088. [DOI] [PubMed]
- 32.Anwar A, Zhang S, Wang Y, Feng Y, Chen R, Su W, Song S. Genome-wide identification and expression profiling of the BcSNAT Family genes and their response to hormones and Abiotic stresses in Flowering Chinese Cabbage. Sci Hort. 2023;322:112445. doi: 10.1016/j.scienta.2023.112445. [DOI] [Google Scholar]
- 33.Chen C, Chen H, Zhang Y, Thomas HR, Frank MH, He Y, Xia R. TBtools: an integrative Toolkit developed for interactive analyses of big Biological Data. Mol Plant. 2020;13:1194–202. doi: 10.1016/j.molp.2020.06.009. [DOI] [PubMed] [Google Scholar]
- 34.Wang Y, Tang H, DeBarry JD, Tan X, Li J, Wang X, Lee T-h, Jin H, Marler B, Guo H, et al. MCScanX: a Toolkit for Detection and Evolutionary Analysis of Gene Synteny and Collinearity. Nucleic Acids Res. 2012;40:e49–49. doi: 10.1093/nar/gkr1293. [DOI] [PMC free article] [PubMed] [Google Scholar]
- 35.Krzywinski M, Schein J, Birol İ, Connors J, Gascoyne R, Horsman D, Jones SJ, Marra MA. Circos: an Information Aesthetic for Comparative Genomics. Genome Res. 2009;19:1639–45. doi: 10.1101/gr.092759.109. [DOI] [PMC free article] [PubMed] [Google Scholar]
- 36.Livak KJ, Schmittgen TD. Analysis of relative gene expression data using real-time quantitative PCR and the 2 – ∆∆CT method. Methods. 2001;25:402–8. doi: 10.1006/meth.2001.1262. [DOI] [PubMed] [Google Scholar]
- 37.Li H, Gao MQ, Xue RL, Wang D, Zhao HJ. Effect of Hydrogen Sulfide on D1 protein in wheat under Drought stress. Acta Physiol Plant. 2015;37:225. doi: 10.1007/s11738-015-1975-8. [DOI] [Google Scholar]
- 38.Xu K, Song J, Wu Y, Zhuo C, Wen J, Yi B, Ma C, Shen J, Fu T, Tu J. Brassica Evolution of essential BnaFtsH1 genes involved in the PSII Repair cycle and loss of FtsH5. Plant Sci. 2022;315:111128. doi: 10.1016/j.plantsci.2021.111128. [DOI] [PubMed] [Google Scholar]
- 39.Ai-Qing S, Jin-Ying Y, Shu-Ying Y, Chun-Mei Z, Jian L. Cloning and molecular characteristic of the metalloprotease gene LeftsH6 from Tomato. [PubMed]
- 40.Zhang J, Sun A. Genome-wide comparative analysis of the metalloprotease ftsH gene families between Arabidopsis Thaliana and Rice. Sheng Wu Gong Cheng Xue Bao. 2009;25:1402–8. [PubMed] [Google Scholar]
- 41.Mielke K, Wagner R, Mishra LS, Demir F, Perrar A, Huesgen PF, Funk C. Abundance of metalloprotease FtsH12 modulates Chloroplast Development in Arabidopsis Thaliana. J Exp Bot. 2021;72:3455–73. doi: 10.1093/jxb/eraa550. [DOI] [PMC free article] [PubMed] [Google Scholar]
- 42.Kato Y, Sakamoto W. Phosphorylation of the Chloroplastic metalloprotease FtsH in Arabidopsis characterized by Phos-Tag SDS-PAGE. Front. Plant Sci. 2019;10:1080. doi: 10.3389/fpls.2019.01080. [DOI] [PMC free article] [PubMed] [Google Scholar]
- 43.Jacquemin J, Ammiraju JSS, Haberer G, Billheimer DD, Yu Y, Liu LC, Rivera LF, Mayer K, Chen M, Wing RA. Fifteen million years of evolution in the Oryza Genus shows extensive Gene Family Expansion. Mol Plant. 2014;7:642–56. doi: 10.1093/mp/sst149. [DOI] [PubMed] [Google Scholar]
- 44.Lakhwani D, Pandey A, Dhar YV, Bag SK, Trivedi PK, Asif MH. Genome-wide analysis of the AP2/ERF family in Musa Species reveals divergence and neofunctionalisation during evolution. Sci Rep. 2016;6:18878. doi: 10.1038/srep18878. [DOI] [PMC free article] [PubMed] [Google Scholar]
- 45.Xiao J-J, Zhang R-X, Khan A, Ul Haq S, Gai W-X, Gong Z-H. CaFtsH06, a Novel Filamentous Thermosensitive protease gene, is involved in Heat, Salt, and Drought stress tolerance of Pepper (Capsicum Annuum L) IJMS. 2021;22:6953. doi: 10.3390/ijms22136953. [DOI] [PMC free article] [PubMed] [Google Scholar]
- 46.Hajibarat Z, Saidi A. Filamentation temperature-sensitive (FtsH); key player in response to multiple environmental stress conditions and Developmental stages in Potato. J Plant Growth Regul. 2023;42:4223–39. doi: 10.1007/s00344-022-10885-x. [DOI] [Google Scholar]
- 47.Sun A, Yi S, Yang J, Zhao C, Liu J. Identification and characterization of a heat-inducible ftsH gene from Tomato (Lycopersicon Esculentum Mill) Plant Sci. 2006;170:551–62. doi: 10.1016/j.plantsci.2005.10.010. [DOI] [Google Scholar]
- 48.Nixon PJ, Yu J, Chen F. Recent advances in understanding the structural and functional evolution of FtsH proteases. Front Plant Sci 2022, 13. [DOI] [PMC free article] [PubMed]
- 49.Karata K, Inagawa T, Wilkinson AJ, Tatsuta T, Ogura T. Dissecting the role of a conserved motif (the Second Region of Homology) in the AAA Family of ATPases. J Biol Chem. 1999;274:26225–32. doi: 10.1074/jbc.274.37.26225. [DOI] [PubMed] [Google Scholar]
- 50.Ryu J-K, Jahn R, Yoon T. Review: progresses in understanding N-ethylmaleimide sensitive factor (NSF) mediated disassembly of SNARE complexes. Biopolymers. 2016;105:518–31. doi: 10.1002/bip.22854. [DOI] [PubMed] [Google Scholar]
- 51.The Cyanobacterial FtsH 4 Protease Controls Accumulation of Protein Factors Involved in the Biogenesis of Photosystem i. Biochim et Biophys Acta Bioenergetics. 2023;1865:149017–149017. doi: 10.1016/j.bbabio.2023.149017. [DOI] [PubMed] [Google Scholar]
- 52.Kohli A, Narciso JO, Miro B, Raorane M. Root proteases: Reinforced Links between Nitrogen Uptake and mobilization and Drought Tolerance. Physiol Plant. 2012;145:165–79. doi: 10.1111/j.1399-3054.2012.01573.x. [DOI] [PubMed] [Google Scholar]
- 53.Sedaghatmehr M, Mueller-Roeber B, Balazadeh S. The Plastid metalloprotease FtsH6 and small heat shock protein HSP21 jointly regulate Thermomemory in Arabidopsis. Nat Commun. 2016;7:12439. doi: 10.1038/ncomms12439. [DOI] [PMC free article] [PubMed] [Google Scholar]
- 54.Inactivation of the ftsH Gene of Lactobacillus Plantarum WCFS1 Effects on growth, stress tolerance, cell Surface properties and Biofilm formation. Microbiol Res. 2012;167:187–93. doi: 10.1016/j.micres.2011.07.001. [DOI] [PubMed] [Google Scholar]
Associated Data
This section collects any data citations, data availability statements, or supplementary materials included in this article.
Supplementary Materials
Data Availability Statement
The sequence information for the entire soybean genome was obtained from the Phytozome 13 Web site (https://phytozome-next.jgi.doe.gov/). obtained, which is open to all researchers. Soybean (JiNong 74) seeds provided by the Laboratory of Biotechnology Center of Jilin Agricultural University were used as experimental materials. The datasets supporting the conclusions of this paper are included in this paper and its additional files.









