Abstract
Background
As one of the most challenging fractures to orthopedic surgeons, acetabular fractures show a wide range of incidence among countries and regions with even more variance in the treatment modalities. In this study, we aimed to investigate the epidemiology of acetabular fractures, and to compare the rate of subsequent total hip arthroplasty (THA) between nonoperative and operative treatments in South Korea using a medical claims database.
Methods
This was a retrospective study using the Korean Health Insurance Review and Assessment database. Patients admitted for acetabular fractures from January 2007 to December 2018 were identified using International Classification of Diseases-10 codes. Kaplan-Meier survival analysis was used to compare the cumulative incidence of THA between two groups. We also evaluated the survivorship of operative group according to the type of institutions.
Results
The incidence rate of acetabular fractures increased by 28% between 2007 and 2018. Acetabular fractures were more common in men (62%) than women (38%), and most common in the patients older than 80 years. The number of acetabular fractures was estimated to increase 1.7-fold in 2030 compared to 2018. Operative treatment accounted for 16% of cases, and nonoperative treatment for 84%. The incidence of subsequent THA was higher in the operative treatment group than in the nonoperative group (P < 0.001). The higher rate in the operative treatment group is probably related with the severity of the fracture type. The rate of subsequent THA was higher in patients who initially treated in general hospitals compared with those who were initially treated in tertiary hospitals.
Conclusion
The incidence of acetabular fractures is increasing in South Korea, in line with global trends. Most acetabular fractures are treated conservatively, and those who receive surgery are more likely to require a subsequent THA. Patients who were operated in general hospitals had highest possibility of subsequent THA after acetabular fractures.
Keywords: Acetabular Fractures, Epidemiology, Treatment, Clinical Outcomes, Survivorship
Graphical Abstract

INTRODUCTION
Acetabular fractures are one of the most challenging fractures for orthopedic surgeons because of the complex three-dimensional anatomical configuration of the acetabulum and pelvis and the limited visualization of the fracture fragment.1,2 As it is an intra-articular fracture of the weight bearing hip joint, suboptimal management of acetabular fracture often results in advanced osteoarthritis and loss of ambulatory function.3,4,5
For the elderly, the cause of acetabular fractures is low-energy trauma in 50%, while it is high-energy trauma in more than 80% of the young patients.6 Therefore, the acetabular fractures affect all ages throughout different mechanisms, becoming a serious medical and healthcare burden in aging society.7
Acetabular fractures are currently treated with either conservative or surgical treatment. Nonoperative treatments are usually indicated in nondisplaced or minimally displaced (less than 2 mm) fractures.8,9 Skeletal tractions are occasionally used for reduction in nonoperative treatment but previous results showed successful reduction in only 56% and high rate of residual pain.10,11 Operative treatments are mainly open reduction of the fractured fragment and internal fixation using plate or screws. For some patients who are at risk of poorer prognosis after open reduction and internal fixation (ORIF), acute total hip arthroplasty (THA) could be indicated.12,13
The reported incidence of acetabular fractures vary among countries and regions with even more variance in the proportion of the treatment modalities.7,14,15,16,17 Furthermore, after the treatment of acetabular fractures, subsequent THA due to post-traumatic osteoarthritis of the hip joint is reported from 8% to 35%, depending on the regional differences, surgeon expertise, and treatment modalities.3,4,5,18 However, the recent incidence of acetabular fractures and its future estimation, trend of treatments and their outcomes have not been described on the national level in the East Asia.
It is still controversial whether conservative or surgical treatment of acetabular fractures would yield better outcomes especially in terms of subsequent THA.19 Therefore, the purpose of this study was to determine risk factors of subsequent THA according to the treatment method and the type of institution in South Korea using medical claims database.
METHODS
Database
This was a retrospective registry study using the Korean Health Insurance Review and Assessment (HIRA) database. The strength of this database is that it receives medical claims data from entire South Korean patients—97% by the Korea National Health Insurance Program, and 3% by the medical aid program from South Korean government. Medical data in HIRA database is coded with International Classification of Diseases-10 (ICD-10) codes. The HIRA database contains both diagnosis codes and the procedural codes of the involved patients.
Patients and operational definitions
Patients who were hospitalized with diagnosis of acetabular fracture from January 2007 to December 2018 were identified using the ICD-10 code for acetabular fracture (S324).20 In cases of repeated acetabular fractures in the same patient during the study period, only the first fracture was counted. The procedures used for treatment of acetabular fractures including traction, closed reduction, ORIF, external fixation, and THA were defined using procedural codes for reimbursement. The patients who were treated operatively were defined as those who had procedural codes of ORIFs for treatment of acetabular fractures. Patients who underwent nonoperative treatment were defined as those who did not have procedural codes of ORIF for treatment of acetabular fractures even though patients were admitted for acetabular fractures. The level of medical institutions was categorized into tertiary hospitals (≥ 500 beds), general hospitals (100–499 beds), hospitals (30–99 beds), and clinics (< 30 beds). The presence of traction (N0652, N0654, and N0655) and external fixation (N0981) were not regarded as operational treatment but analyzed as separate variables. Concurrent injuries were defined as those who had procedural codes for ORIF in other sites (N0601, N0602, N0604, N0607, and N0966). The length of hospital stay was also compared between ORIF group and nonoperative group. Charlson comorbidity index (CCI) and medical comorbidities using ICD-10 diagnostic codes were compared between two groups.21
Outcomes
Subsequent THA was defined when the procedure codes for THA (N0711, N2070) were found after diagnosis of the acetabular fracture (S324).20,22
Statistical analysis
Continuous variables were compared using student t-tests, and categorical variables were compared using χ2 tests. Age group was categorized with the incremental ranges of 10 years. Quasi-Poisson regression model was used to project the future number of acetabular fractures in 2030.
Cox proportional hazard analyses was performed to determine the risk factors of subsequent THA. As confounding factors, age, sex, and CCI were included.
Cumulative incidence of subsequent THA was also analyzed by 1 year, 5 years, and 10 years after the diagnosis of the acetabular fracture. Kaplan-Meier survival analysis with subsequent THA as the endpoint was performed in both groups.
We included the patients who received initial THA for the treatment of acetabular fractures for calculating the incidence of acetabular fractures but excluded those patients in the Cox proportional hazard analyses to determine the risk factors of subsequent THA. All analyses were carried out with R software (version 3.5.3; R Foundation, Vienna, Austria) and probability values of 0.05 were deemed significant.
Ethics statement
This study was exempted by the Institutional Review Board (IRB) of Seoul National University Bundang Hospital because it did not include any information of individuals (IRB number Z-2022-234).
RESULTS
Epidemiology of acetabular fractures in Korea
From January 2007 to December 2018, 14,088 patients had acetabular fractures in South Korea. The number of patients with acetabular fractures in South Korea increased from 888 patients in 2007 to 1,526 patients in 2018. The crude incidence rate of acetabular fractures increased from 1.81 per 100,000 person-year to 2.97 per 100,000 person-year during the same period (Fig. 1). The age-standardized incidence per 100,000 patient-year showed similar increase from 2.45 to 3.14 (Fig. 1, Table 1).
Fig. 1. Incidence rate of acetabular fractures in South Korea from 2007 to 2018.
Table 1. The number and incidence rate of acetabular fractures from 2007 to 2018 in South Korea.
| Year | 2007 | 2008 | 2009 | 2010 | 2011 | 2012 | 2013 | 2014 | 2015 | 2016 | 2017 | 2018 | |
|---|---|---|---|---|---|---|---|---|---|---|---|---|---|
| Total | 888 | 1,008 | 997 | 1,063 | 1,082 | 1,110 | 1,136 | 1,177 | 1,206 | 1,386 | 1,509 | 1,526 | |
| Sex | |||||||||||||
| Men | 531 | 658 | 624 | 658 | 688 | 700 | 724 | 703 | 750 | 873 | 898 | 897 | |
| Women | 357 | 350 | 373 | 405 | 394 | 410 | 412 | 474 | 456 | 513 | 611 | 629 | |
| Incidence rate (per 100,000) | 1.81 | 2.04 | 2.01 | 2.13 | 2.16 | 2.20 | 2.25 | 2.32 | 2.37 | 2.71 | 2.95 | 2.97 | |
| Men | 2.16 | 2.66 | 2.51 | 2.63 | 2.74 | 2.78 | 2.86 | 2.77 | 2.95 | 3.42 | 3.51 | 3.50 | |
| Women | 1.46 | 1.42 | 1.51 | 1.63 | 1.57 | 1.63 | 1.63 | 1.87 | 1.79 | 2.01 | 2.38 | 2.45 | |
Acetabular fractures were more common in men (8,704 patients, 62%) compared to women (5,384 patients, 38%) during the entire study period (Fig. 2).
Fig. 2. Incidence rate of acetabular fractures by sex in South Korea from 2007 to 2018.
Among the several age groups, patients aged over 80 years showed the highest incidence of acetabular fractures followed by those aged 70 years to 79 years (Fig. 3). The incidence of acetabular fractures increased prominently in the patients older than 70 years during the study period (Fig. 4).
Fig. 3. The age-specific incidence rate of acetabular fractures between 2007 and 2018.
Fig. 4. Incidence rate of acetabular fractures by age in South Korea from 2007 to 2018.
Future projection of acetabular fractures in South Korea
The number of acetabular fractures was estimated to be 2,581 (95% confidence interval [CI], 2,237–2,925) in 2030 (Fig. 5).
Fig. 5. Future projection of acetabular fractures in South Korea.
Demographics of patients with acetabular fractures by treatment modality
The number of patients who received ORIF for acetabular fractures was 2,166 (16%), while number of those who were treated conservatively was 11,769 (84%).
The patients in nonoperative treatment group were relatively older (P < 0.001), showed female preponderance (P < 0.001). Patients who received nonoperative treatment tended to be treated in lower level of medical institution (P < 0.001) with shorter hospital stays (P < 0.001) compared to those who were surgically treated. The use of traction, use of external fixator, and concurrent injuries were applied more commonly in operative group. Nonoperative group showed higher comorbidities (Table 2). The mean follow-up periods for nonoperative treatment group and operative treatment group were 5.4 ± 3.5 years and 4.9 ± 3.5 years, respectively.
Table 2. Patient demographics by treatment method for acetabular fractures in South Korea.
| Variables | Nonoperative (n = 11,769) | ORIF (n = 2,166) | P value | |
|---|---|---|---|---|
| Age | 59.14 ± 19.78 | 49.45 ± 6.22 | < 0.001 | |
| Sex (male) | 6,825 (57.99) | 1,791 (82.69) | < 0.001 | |
| Type of hospital stay | < 0.001 | |||
| Tertiary hospital | 1,371 (11.65) | 884 (40.81) | ||
| General hospital | 4,399 (37.38) | 705 (32.55) | ||
| Hospital | 4,140 (35.18) | 438 (20.22) | ||
| Clinics | 1,859 (15.80) | 139 (6.42) | ||
| Hospital stay, days | 30.87 ± 44.49 | 49.58 ± 41.13 | < 0.001 | |
| Traction | 2,049 (17.41) | 1,265 (58.40) | < 0.001 | |
| External fixator | 69 (0.59) | 42 (1.94) | < 0.001 | |
| Concurrent injuries | 545 (4.63) | 300 (13.85) | < 0.001 | |
| Charlson comorbidity index | 0.76 ± 1.18 | 0.47 ± 0.92 | < 0.001 | |
| Myocardial infarction | 76 (0.65) | 6 (0.28) | 0.039 | |
| Congestive heart failure | 290 (2.46) | 19 (0.88) | < 0.001 | |
| Peripheral vascular disease | 200 (1.70) | 18 (0.83) | 0.003 | |
| Cerebrovascular disease | 831 (7.06) | 74 (3.42) | < 0.001 | |
| Dementia | 84 (0.71) | 4 (0.18) | 0.004 | |
| Chronic pulmonary disease | 1,558 (13.24) | 191 (8.82) | < 0.001 | |
| Rheumatologic disease | 211 (1.79) | 12 (0.55) | < 0.001 | |
| Peptic ulcer disease | 811 (6.89) | 111 (5.12) | 0.002 | |
| Mild liver disease | 559 (4.75) | 93 (4.29) | 0.356 | |
| Diabetes without chronic complication | 1,291 (10.97) | 179 (8.26) | 0.000 | |
| Diabetes with chronic complication | 667 (5.67) | 80 (3.69) | 0.000 | |
| Hemiplegia or paraplegia | 76 (0.65) | 4 (0.18) | 0.009 | |
| Renal disease | 225 (1.91) | 21 (0.97) | 0.002 | |
| Any malignancy | 471 (4.00) | 53 (2.45) | 0.001 | |
| Moderate or severe liver disease | 11 (0.09) | 1 (0.05) | 0.490 | |
| Metastatic solid tumor | 20 (0.00) | 0 (0.00) | 0.055 | |
| Mean FU duration, yr | 5.4 (3.50) | 4.9 (3.50) | < 0.001 | |
ORIF = open reduction and internal fixation, FU = follow-up.
Outcomes of nonoperative treatment vs. operative treatment in acetabular fractures
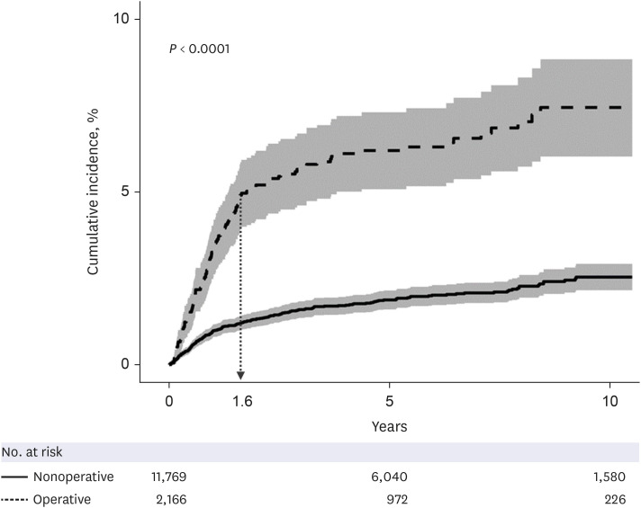
The cumulative incidence of THA at 1 year, 5 years, and 10 years were 0.1%, 1.9%, 2.5% for nonoperative group and 3.3%, 6.2%, 7.5% in the ORIF group, respectively. The cumulative incidence of subsequent THA increased markedly in the first 1.6 year especially in the operative treatment group (Fig. 6).
Fig. 6. The cumulative incidence of subsequent total hip arthroplasty after acetabular fractures according to the treatment methods.
Risk of subsequent THA was significantly higher after operative treatment on acetabular fractures in Cox proportional hazard analyses both with and without adjustments (Table 3).
Table 3. Cox proportional hazard analyses on the risk of subsequent THA.
| Outcome | Unadjusted HR (95% CI) | Adjusted HR (95% CI) | ||
|---|---|---|---|---|
| Model 1 | Model 2 | |||
| THA | ||||
| Nonoperative | 1.00 (ref.) | |||
| Operative | 3.36 (2.69–4.18)* | 3.51 (2.78–4.43)* | 3.54 (2.80–4.47)* | |
Model 1: adjusted for age and sex. Model 2: adjusted for age, sex, Charlson comorbidity index.
HR = hazard ratio, CI = confidence interval, THA = total hip arthroplasty.
*P < 0.05.
The survivorship with the subsequent THA as an endpoint was 97.2% (95% CI, 96.9–97.5%) in nonoperative treatment group and 91.2% (95% CI, 90.0–92.4%) for operative treatment group at 10 years (P < 0.001) (Fig. 7).
Fig. 7. Kaplan-Meier survival curve with subsequent total hip arthroplasty as an endpoint between nonoperative and operative treatment.
Outcomes of operative treatment in acetabular fractures by the type of institutions
Among the 2,166 acetabular fractures treated with ORIF, 884 were treated in tertiary hospital, 705 in general hospital, 438 in hospital, and 139 in clinic. The survivorship with the subsequent THA as an endpoint was significantly lowest at 10 years when it was initially treated in general hospitals (Fig. 8).
Fig. 8. Survivorship curve with subsequent total hip arthroplasty as an endpoint according to the type of institution.
DISCUSSION
In this study, we found that the incidence rate of acetabular fractures has increased 28% from 2.45 per 100,000 person-year in 2007 to 3.14 per 100,000 person-year in 2018 in South Korea. The number of acetabular fractures was estimated to be projected to 2,581 in 2030. Acetabular fractures were more common in men (62% vs. 38%), and in the elderly. Conservative therapy accounted for 84%, while operative treatment accounted for 16% of the acetabular fractures. Subsequent THA was performed in 2.5% of patients who received nonoperative treatment and 7.5% of patients who received operative treatment at 10 years after the acetabular fracture (P < 0.001). Operative treatment in the tertiary hospitals were related to more favorable outcome compared to general hospitals and hospitals.
There are several limitations to this study. First, it was a retrospective registry study using the claim database. The national health insurance database lacks information on the type or severity of acetabular fractures, making it difficult to gauge the need for surgical intervention based solely on diagnostic codes. In addition, as the laterality of the acetabular fractures and the THA were not provided in the registry some of the patients that had subsequent THA were in fact treated with THA on the opposite side or due to reasons unrelated to acetabular fractures. Second, we could not evaluate the radiographs of acetabular fracture, because the database did not include them. Because the patterns of fracture could affect the choice of treatment, it could make a selection bias. Moreover, the specific surgical approaches for the acetabular fractures were not analyzed because they were not provided from the database.
The incidence rate of acetabular fractures in the literature ranges from 2 to 40 per 100,000.7,14,17,23,24,25 Most of previous studies agree to that the incidence of acetabular fracture is rising. In the registry study of Finland, Rinne et al.24 reported that the incidence rate of acetabular fractures increased by 30% between 1997 and 2014. In France, the incidence rate of acetabular fractures increased by 34% between 2006 and 2016.17 In a single center study in Qatar, the incidence rate of acetabular fracture increased by 21% between 2008 and 2010. Our results concur with the previous findings.14,17,24 The average annual increment is approximately 1.8% in Finland,24 3.5% in France,17 10.6% in Qatar,14 1.8% in Sweden,16 and 5.8% in South Korea (Table 4). The aging population and enhancement of activity levels in the elderly seems to be causing the increase of acetabular fractures worldwide.6 However, even the age-adjusted incidence rate of acetabular fracture has increased in the current study and the previous study in USA.23 This might be due to the rise of age-adjusted incidence of osteoporosis,26 or the application of more sensitive diagnostic imaging including computed tomography and magnetic resonance imaging in diagnosing the “occult” acetabular fractures.27,28,29 Using the French registry, Melhem et al.17 estimated 19% increase of acetabular fractures in 2030 compared to 2016. This is especially in line with the projected increase of the acetabular fractures to 2030 found in this study.
Table 4. The change of annual incidence of acetabular fractures in national registry studies.
| Authors | Study period | Country | Annual incidence rate (/100,000 person-year) | Mean annual change of incidence rate |
|---|---|---|---|---|
| Rinne et al.24 | 1997–2014 | Finland | 6.4–8.1 | +1.6% |
| Best et al.23 | 1990–2010 | USA | 7.8–9.5 | +1.1% |
| Ahmed et al.14 | 2008–2010 | Qatar | 2.01 | +10.6% |
| Melhem et al.17 | 2006–2016 | France | 4.35 | +3.5% |
| Lundin et al.16 | 2001–2016 | Sweden | 10.09 | +1.8% |
| Alvarez-Nebreda et al.25 | 2007–2014 | USA | 40 | N/A |
| Current study | 2007–2018 | South Korea | 2.33 | +5.8% |
N/A = not applicable.
Moreover, male predominance is also commonly found in acetabular fractures.6,7,14,17,24 Interestingly, Ferguson et al.6 reported male predominance of acetabular fractures both in patients younger than 60 years (70% male) and those older than 60 years (68% male). We also found that the male patients consisted of 62% of entire patients with acetabular fractures. Osteoporotic fractures tend to be more common in women compared to men because of lower bone mineral density in women and the difference in the size, strength and the geometry of the bone.30 In acetabular fractures, however, male predominance in found unlike in cases of hip fractures or pelvic bone fractures where female proportion is dominant in line with the most of the osteoporotic fractures.6,17 There is currently lack of evidence to reveal the cause of male predominance but men are more likely to experience high-energy trauma that would cause acetabular fractures. Furthermore, it may be related to the different mechanism of fracture compared to the hip fracture. If the proximal femur is fractured, acetabular fracture is less likely to occur as the stress is concentrated in the fracture site, causing fragility hip fracture. If the proximal femur is not fractured, the force could be transmitted to the femoral head and cause the secondary injury inside the hip joint socket, eventually creating acetabular fracture.6 Regardless of the mechanism, it is concerning that the prognosis of the known osteoporotic fractures are reported to be worse in men, and thus careful follow-up is recommended in patients with acetabular fractures.31,32
The treatment strategy of acetabular fractures depends on the severity, morphology, and location of the fracture as well as the patient factors which would allow the surgery.3,6 We found that 84% of patients with acetabular fractures in South Korea underwent conservative treatment and showed better outcome compared to those who received operative treatment. This result should not be taken as nonoperative treatment is a better strategy because the indications are different between two treatment modalities. In the patients who require ORIF, the possibility of subsequent THA would be greater. After ORIF on acetabular fractures, 38% is reported to develop osteoarthritis at a mean of 3.8 years.3 The rate of subsequent THA ranged from 8.5% to 22% with the mean interval of 24.8 months.5,18 These previous studies, however, had a limitation that it was a single center study or with small number of patients. In current study, we used the national registry data that covers the entire population of South Korea. The higher rate of subsequent THA in ORIF group is probably due to more severe condition of the fracture in these patients, which increases the possibility arthritic change and subsequent THA.33,34
In this study, we found consistent finding that 9.9% of patients who underwent ORIF for acetabular fractures eventually received THA. In contrast to previous studies, we also compared the rate of subsequent THA in nonoperative treatment group (3.2% at 10 years) and found statistically significant difference. We also found that the risk of subsequent THA increases most abruptly in the first year after the injury, reaching 5.1% in operation group and 1.3% in nonoperative treatment group. It is imperative to closely follow-up these patients especially until the year after the injury.
In terms of the type of institution in which ORIF was performed for acetabular fractures, the survival was better for tertiary hospitals and clinics, while it was most inferior in the general hospitals. The better outcomes in clinics seem to be because patients with less severe fractures tend to be treated in clinics and the number of patients treated were small. However. it is noteworthy that the better outcomes in tertiary hospitals compared to general hospitals even with comparable number of patients may indicate that acetabular fractures are complex in nature and require high volume surgeons to treat.
In conclusion, the incidence of acetabular fractures has increased in South Korea with men and older age groups being more commonly affected. It was estimated to increase in future, Conservative therapy accounted for 84% of acetabular fractures, about 2.5% patients with non-operative treatment underwent subsequent THA, and 7.5% with ORIF underwent THA. Acetabular fracture treated in general hospital showed a relatively higher rate of subsequent THA. Based on current study, surgeons could inform the patients with acetabular fractures about the general rate of subsequent THA after the conservative or surgical treatment, emphasizing the complicated and challenging nature of the fracture. These findings have implications for the management of acetabular fractures and highlight the need for further research and educational programs in South Korea.
Footnotes
Funding: This research was supported by a grant No. 02-2022-0030 from the SNUBH (Seoul National University Bundang Hospital) Research Fund.
Disclosure: The authors have no potential conflicts of interest to disclose.
- Conceptualization: Lee YK.
- Data curation: Lee DH.
- Formal analysis: Kim SH.
- Funding acquisition: Park JW.
- Investigation: Park EK.
- Methodology: Won J.
- Software: An JH.
- Validation: Park EK.
- Visualization: Kim SH.
- Writing - original draft: Park KT.
- Writing - review & editing: Park JW, Lee YK.
References
- 1.Dalal SA, Burgess AR, Siegel JH, Young JW, Brumback RJ, Poka A, et al. Pelvic fracture in multiple trauma: classification by mechanism is key to pattern of organ injury, resuscitative requirements, and outcome. J Trauma. 1989;29(7):981–1000. [PubMed] [Google Scholar]
- 2.Giannoudis PV, Pohlemann T, Bircher M. Pelvic and acetabular surgery within Europe: the need for the co-ordination of treatment concepts. Injury. 2007;38(4):410–415. doi: 10.1016/j.injury.2007.01.026. [DOI] [PubMed] [Google Scholar]
- 3.Briffa N, Pearce R, Hill AM, Bircher M. Outcomes of acetabular fracture fixation with ten years’ follow-up. J Bone Joint Surg Br. 2011;93-B(2):229–236. doi: 10.1302/0301-620X.93B2.24056. [DOI] [PubMed] [Google Scholar]
- 4.Gary JL, Lefaivre KA, Gerold F, Hay MT, Reinert CM, Starr AJ. Survivorship of the native hip joint after percutaneous repair of acetabular fractures in the elderly. Injury. 2011;42(10):1144–1151. doi: 10.1016/j.injury.2010.08.035. [DOI] [PubMed] [Google Scholar]
- 5.Giannoudis PV, Grotz MR, Papakostidis C, Dinopoulos H. Operative treatment of displaced fractures of the acetabulum. A meta-analysis. J Bone Joint Surg Br. 2005;87-B(1):2–9. [PubMed] [Google Scholar]
- 6.Ferguson TA, Patel R, Bhandari M, Matta JM. Fractures of the acetabulum in patients aged 60 years and older: an epidemiological and radiological study. J Bone Joint Surg Br. 2010;92-B(2):250–257. doi: 10.1302/0301-620X.92B2.22488. [DOI] [PubMed] [Google Scholar]
- 7.Laird A, Keating JF. Acetabular fractures: a 16-year prospective epidemiological study. J Bone Joint Surg Br. 2005;87-B(7):969–973. doi: 10.1302/0301-620X.87B7.16017. [DOI] [PubMed] [Google Scholar]
- 8.Olson SA, Matta JM. The computerized tomography subchondral arc: a new method of assessing acetabular articular continuity after fracture (a preliminary report) J Orthop Trauma. 1993;7(5):402–413. doi: 10.1097/00005131-199310000-00002. [DOI] [PubMed] [Google Scholar]
- 9.Matta JM, Anderson LM, Epstein HC, Hendricks P. Fractures of the acetabulum. A retrospective analysis. Clin Orthop Relat Res. 1986;(205):230–240. [PubMed] [Google Scholar]
- 10.Spencer RF. Acetabular fractures in older patients. J Bone Joint Surg Br. 1989;71-B(5):774–776. doi: 10.1302/0301-620X.71B5.2584245. [DOI] [PubMed] [Google Scholar]
- 11.Sen RK, Veerappa LA. Long-term outcome of conservatively managed displaced acetabular fractures. J Trauma. 2009;67(1):155–159. doi: 10.1097/TA.0b013e31819db092. [DOI] [PubMed] [Google Scholar]
- 12.Jauregui JJ, Weir TB, Chen JF, Johnson AJ, Sardesai NR, Maheshwari AV, et al. Acute total hip arthroplasty for older patients with acetabular fractures: a meta-analysis. J Clin Orthop Trauma. 2020;11(6):976–982. doi: 10.1016/j.jcot.2020.01.003. [DOI] [PMC free article] [PubMed] [Google Scholar]
- 13.Rickman M, Young J, Trompeter A, Pearce R, Hamilton M. Managing acetabular fractures in the elderly with fixation and primary arthroplasty: aiming for early weightbearing. Clin Orthop Relat Res. 2014;472(11):3375–3382. doi: 10.1007/s11999-014-3467-3. [DOI] [PMC free article] [PubMed] [Google Scholar]
- 14.Ahmed M, Abuodeh Y, Alhammoud A, Salameh M, Hasan K, Ahmed G. Epidemiology of acetabular fractures in Qatar. Int Orthop. 2018;42(9):2211–2217. doi: 10.1007/s00264-018-3824-z. [DOI] [PubMed] [Google Scholar]
- 15.Hsieh SL, Lin TL, Lo YS, Chen CY, Chang HW, Chen HT, et al. Trends and treatments of pelvic and acetabular fractures in Taiwan: facing an aging society. Arch Osteoporos. 2023;18(1):66. doi: 10.1007/s11657-023-01255-5. [DOI] [PMC free article] [PubMed] [Google Scholar]
- 16.Lundin N, Huttunen TT, Berg HE, Marcano A, Felländer-Tsai L, Enocson A. Increasing incidence of pelvic and acetabular fractures. A nationwide study of 87,308 fractures over a 16-year period in Sweden. Injury. 2021;52(6):1410–1417. doi: 10.1016/j.injury.2021.03.013. [DOI] [PubMed] [Google Scholar]
- 17.Melhem E, Riouallon G, Habboubi K, Gabbas M, Jouffroy P. Epidemiology of pelvic and acetabular fractures in France. Orthop Traumatol Surg Res. 2020;106(5):831–839. doi: 10.1016/j.otsr.2019.11.019. [DOI] [PubMed] [Google Scholar]
- 18.Daurka JS, Pastides PS, Lewis A, Rickman M, Bircher MD. Acetabular fractures in patients aged > 55 years: a systematic review of the literature. Bone Joint J. 2014;96-B(2):157–163. doi: 10.1302/0301-620X.96B2.32979. [DOI] [PubMed] [Google Scholar]
- 19.Shaker F, Esmaeili S, Nakhjiri MT, Azarboo A, Shafiei SH. The outcome of conversion total hip arthroplasty following acetabular fractures: a systematic review and meta-analysis of comparative studies. J Orthop Surg. 2024;19(1):83. doi: 10.1186/s13018-024-04561-x. [DOI] [PMC free article] [PubMed] [Google Scholar]
- 20.Dias MV, Goldsztajn F, Guimarães JM, Grizendi JA, Correia M, Rocha TH. Epidemiology of acetabulum fractures treated at the Instituto Nacional De Traumatologia E Ortopedia (INTO) Rev Bras Ortop. 2010;45(5):474–477. doi: 10.1016/S2255-4971(15)30438-9. [DOI] [PMC free article] [PubMed] [Google Scholar]
- 21.Quan H, Li B, Couris CM, Fushimi K, Graham P, Hider P, et al. Updating and validating the Charlson comorbidity index and score for risk adjustment in hospital discharge abstracts using data from 6 countries. Am J Epidemiol. 2011;173(6):676–682. doi: 10.1093/aje/kwq433. [DOI] [PubMed] [Google Scholar]
- 22.Park JW, Won SH, Moon SY, Lee YK, Ha YC, Koo KH. Burden and future projection of revision total hip arthroplasty in South Korea. BMC Musculoskelet Disord. 2021;22(1):375. doi: 10.1186/s12891-021-04235-3. [DOI] [PMC free article] [PubMed] [Google Scholar]
- 23.Best MJ, Buller LT, Quinnan SM. Analysis of Incidence and outcome predictors for patients admitted to US hospitals with acetabular fractures from 1990 to 2010. Am J Orthop (Belle Mead NJ) 2018;47(9) doi: 10.12788/ajo.2018.0083. [DOI] [PubMed] [Google Scholar]
- 24.Rinne PP, Laitinen MK, Huttunen T, Kannus P, Mattila VM. The incidence and trauma mechanisms of acetabular fractures: a nationwide study in Finland between 1997 and 2014. Injury. 2017;48(10):2157–2161. doi: 10.1016/j.injury.2017.08.003. [DOI] [PubMed] [Google Scholar]
- 25.Alvarez-Nebreda ML, Weaver MJ, Uribe-Leitz T, Heng M, McTague MF, Harris MB. Epidemiology of pelvic and acetabular fractures in the USA from 2007 to 2014. Osteoporos Int. 2023;34(3):527–537. doi: 10.1007/s00198-022-06636-z. [DOI] [PubMed] [Google Scholar]
- 26.Kannus P, Palvanen M, Niemi S, Parkkari J, Järvinen M. Epidemiology of osteoporotic pelvic fractures in elderly people in Finland: sharp increase in 1970-1997 and alarming projections for the new millennium. Osteoporos Int. 2000;11(5):443–448. doi: 10.1007/s001980070112. [DOI] [PubMed] [Google Scholar]
- 27.Guerado E, Cano JR, Cruz E. Occult acetabular fracture in elderly patients. Open Orthop J. 2012;6(1):582–586. doi: 10.2174/1874325001206010582. [DOI] [PMC free article] [PubMed] [Google Scholar]
- 28.Kakar R, Sharma H, Allcock P, Sharma P. Occult acetabular fractures in elderly patients: a report of three cases. J Orthop Surg (Hong Kong) 2007;15(2):242–244. doi: 10.1177/230949900701500225. [DOI] [PubMed] [Google Scholar]
- 29.Lee MJ, Ho SW, Kwek EB. Occult acetabular fractures in the elderly: a report of three cases and review of literature. Ann Acad Med Singapore. 2017;46(10):404–409. [PubMed] [Google Scholar]
- 30.Cawthon PM. Gender differences in osteoporosis and fractures. Clin Orthop Relat Res. 2011;469(7):1900–1905. doi: 10.1007/s11999-011-1780-7. [DOI] [PMC free article] [PubMed] [Google Scholar]
- 31.Haentjens P, Magaziner J, Colón-Emeric CS, Vanderschueren D, Milisen K, Velkeniers B, et al. Meta-analysis: excess mortality after hip fracture among older women and men. Ann Intern Med. 2010;152(6):380–390. doi: 10.1059/0003-4819-152-6-201003160-00008. [DOI] [PMC free article] [PubMed] [Google Scholar]
- 32.Hawkes WG, Wehren L, Orwig D, Hebel JR, Magaziner J. Gender differences in functioning after hip fracture. J Gerontol A Biol Sci Med Sci. 2006;61(5):495–499. doi: 10.1093/gerona/61.5.495. [DOI] [PubMed] [Google Scholar]
- 33.Tornetta P., 3rd Displaced acetabular fractures: indications for operative and nonoperative management. J Am Acad Orthop Surg. 2001;9(1):18–28. doi: 10.5435/00124635-200101000-00003. [DOI] [PubMed] [Google Scholar]
- 34.Walley KC, Appleton PT, Rodriguez EK. Comparison of outcomes of operative versus non-operative treatment of acetabular fractures in the elderly and severely comorbid patient. Eur J Orthop Surg Traumatol. 2017;27(5):689–694. doi: 10.1007/s00590-017-1949-1. [DOI] [PubMed] [Google Scholar]








