Abstract
Background
Wilms tumor (WT) survival has been affected by the evolution in clinical and biological prognostic factors. Significant differences in survival rates indicate the need for further efforts to reduce these disparities. This study aims to evaluate the clinicopathological data impact on survival among patients after Wilm's diagnosis.
Methods
The study utilized the SEERStat Database to identify Wilms tumor patients, applying SEERStat software version 8.3.9.2 for data extraction. Selection criteria involved specific codes based on the International Classification of Diseases for Oncology (ICDO-3), excluding cases with unknown SEER stage, incomplete survival data, unknown size, or lymph node status. Statistical analyses, including Kaplan–Meier estimates and Cox regression models, were conducted using R software version 3.5. Standardized mortality ratios (SMR) were computed with SEER*Stat software, and relative and conditional survival analyses were performed to evaluate long-term survival outcomes.
Results
Of 2273 patients diagnosed with Wilms tumor, (1219 patients, 53.6% were females with an average age group of 3–8 years (50.2%). The overall mean survival after five years of diagnosis was 93.6% (2.6–94.7), and the overall mean survival rate was 92.5% (91.3–93.8) after ten years of diagnosis. Renal cancers were identified as the leading cause of death (77.3%), followed by nonrenal cancers (11%) and noncancer causes (11%). Additionally, robust relative survival rates of 98.10%, 92.80%, and 91.3% at one, five, and ten years, respectively, were observed, with corresponding five-year conditional survival rates indicating an increasing likelihood of survival with each additional year post-diagnosis. Univariate Cox regression identified significant prognostic factors: superior CSS for patients below 3 years (cHR 0.48) and poorer CSS for those older than 15 years (cHR 2.72), distant spread (cHR 10.24), regional spread (cHR 3.09), and unknown stage (cHR 4.97). In the multivariate model, age was not a significant predictor, but distant spread (aHR 9.22), regional spread (aHR 2.84), and unknown stage (aHR 4.98) were associated with worse CSS compared to localized tumors.
Conclusion
This study delving into WT survival dynamics reveals a multifaceted landscape influenced by clinicopathological variables. This comprehensive understanding emphasizes the imperative for ongoing research and personalized interventions to refine survival rates and address nuanced challenges across age, stage, and tumor spread in WT patients.
Impact Statement
What is already known regards this study?
Prognostic factors for survival in Wilms tumor are previously studied in different reports.
What does this study add?
This study may be one of the few studies that collectively investigate the impact of multiple risk factors together on the outcome and trace how these factors ultimately can affect the prognosis. Furthermore, this report enrolled a large sample size allowing for generalized validity of the study. In addition, the longer period of this study investigating the prognosis at 1, 5, and 10 years of diagnosis adds a significant value. Moreover, this study may be a guide for risk stratification of children with Wilms tumor allowing early intervention.
Introduction
Wilms tumor (WT), also known as nephroblastoma, is the most common type of kidney cancer in infants and children [1]. Along with other malignant renal tumors, WT accounts for around 7% of all childhood cancers [2, 3]. WT originates from embryonic cells during fetus development, which fail to develop properly and instead continue to grow and divide in an abnormal manner [4]. WT is characterized by disruptions in kidney embryogenesis at various stages, resulting in diverse combinations of epithelial, stromal, and blastemal cells that may even display myogenic differentiation [1]. WT typically affects only one kidney (unilateral) in most cases, but 5–10% of cases involve both kidneys (bilateral) and are more commonly seen in individuals with genetic syndromes [5]. Patients with Wilms tumor are commonly asymptomatic at the time of diagnosis, and the condition is usually identified by a parent who discovers an abdominal mass while dressing or bathing their child or by a pediatrician who palpates a mass during a routine well-child check-up. Previous reports have demonstrated that the incidence of WT varies internationally as well as with ethnicity [6–8]. The use of innovative clinical and biological prognostic factors has allowed for personalized therapy in the management of WT, resulting in significant progress in the clinical care and treatment of this disease over the last few years. The prognosis for children diagnosed with WT can vary considerably based on various factors, such as age, sex, race, chemotherapy status, laterality, and tumor [5, 9, 10]. The survival for patients with WT is strongly influenced by both their age and the stage of cancer at diagnosis, with survival rates decreasing significantly as the disease advances to higher stages (Clinic Oncol Educ) [9, 11–15]. The evolution of biological and clinical prognostic factors adopted for WT has raised the repercussions that call for assessing the [15]extent of the impact of these factors on WT. Moreover, significant differences in survival rates persist among different regions and nations, indicating the need for further efforts to reduce these disparities [16–18]. The present study aims to investigate the relevance and significance of prognostic factors previously reported in the literature, evaluate their respective impact on survival outcomes among patients with WT, and unveil the associated survival rates, relative survival, and conditional survival for a comprehensive understanding of the prognostic landscape in WT.
Materials and methods
Methods
We accessed the SEER*Stat Database: Incidence—SEER Research Plus Data, 17 Registries, Nov 2021 Sub (2000–2019) Using SEER*Stat software 8.3.9.2. to include patients who were diagnosed with Wilms tumor [19, 20]. We selected “Site and Morphology. Primary Site – labeled” = 'C64.9-Kidney, NOS' and “Site and Morphology. ICD-O-3 Hist/behave, malignant” = '8960/3: Nephroblastoma, NOS' based on the International Classification of Diseases for Oncology (ICDO-3) to identify patients with WT. Patients were excluded if they had an unknown SEER stage, incomplete survival data, unknown size, or unknown lymph node status.
Operational definitions
SEER*Stat Database: a statistical software which calculates raw data of statistics for cancer and its rates, and trends. This software provides an intuitive and convenient mechanism, for analysis of SEER and other cancer-related databases.
Survival period: Survival period is defined as the difference between the time of onset of diagnosis and last follow-up or death and was reported at 1-, 5-year intervals
Relative survival: Relative survival serves as a comprehensive metric for gauging cancer survival exclusive of other mortality factors. It is articulated as the ratio of the observed survivors among a group of cancer patients to the expected survivors within a corresponding cohort of cancer-free individuals (https://seer.cancer.gov/seerstat/WebHelp/Relative_Survival.htm). This calculation operates under the premise of independent and competing causes of death. By accounting for the overall survival rates within the targeted population based on factors such as race, sex, age, and the date on which age was recorded, relative survival offers a normalized perspective on cancer survival outcomes.
Conditional survival: Conditional survival refers to the likelihood of surviving a certain timeframe (e.g., 5 years) after having already survived a specific duration following a cancer diagnosis (e.g., 1 year, 3 years, or 5 years) [21]. In instances where feasible, the calculation of conditional survival in the analysis is derived utilizing the concept of relative survival [21].
Standardized mortality ratios (SMR): The SMR (O/E) ratio involves the comparison of the observed deaths (O) among patients diagnosed with WT over a defined period, against the expected deaths (E) in a demographic that shares age adjustments, over the same duration.
Localized cancer is characterized as being limited to the organ in which it originated, without evidence of spread.
Regional cancer refers to the condition where the cancer has spread beyond the primary site to nearby lymph nodes or organs and tissues.
Distant cancer is defined as the stage at which the cancer has spread from the primary site to distant organs or distant lymph nodes. [22, 23].
Statistical analysis
We used R software version 3.5 to calculate Kaplan–Meier estimates with 95% confidence intervals (CI) for 1- and 5-year survival. Also, we performed univariate and multivariate Cox regression models for the following factors: age, sex, race, summary stage, chemotherapy status, and laterality for Wilms cancer. We also divided age groups into < 3, > 3- < 9 years, > 9- < 15 years, and above 15 years. The computation of standardized mortality ratios (SMR) with corresponding 95% CI was performed using SEER*stat software version 8.3.9.2. The relative survival at 1, 5 and 10 years of diagnosis have been calculated with further categorization by different subgroups including age, sex and stage. Also, a five-year conditional analysis has been conducted for individuals who survived 1, 5 and 10 years after the initial diagnosis. All statistical tests were two-sided. A P value of less than 0.05 was considered statistically significant.
Data collection
The SEER database was used to gather the following clinicopathological information: age at diagnosis, sex, race, laterality, lymph node status, tumor size, summary stage, and chemotherapy taking.
Results
The study encompassed a cohort of 2273 patients. Predominantly, the study comprised females, accounting for 1219 patients (53.6%) of the total. The prevailing racial background among the participants was Caucasian, constituting 75.9% of the study population. The age distribution revealed that the most prevalent age group was < 3- > 9 years, encompassing 50.2% of the total. Tumors were localized in 980 patients, exhibited regional spread in 721 patients, and had spread to distant sites in 538 patients.
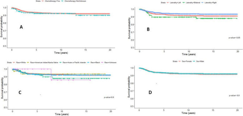
The overall survival (OS) rates for the entire cohort at the 5-year and 10-year marks were 93.6% (95% CI 92.6–94.7%) and 92.5% (95% CI 91.3–93.8%), respectively. Significantly poorer Cancer-Specific Survival (CSS) outcomes were observed in older age groups (log-rank p-value < 0.001). Patients aged 15 years and older exhibited a 10-year CSS of 73.4% (95% CI 53.8–100%), in contrast to patients aged 0–3 years who demonstrated a CSS of 95.5% (95% CI 94.1–97%, Fig. 1). Among patients with localized tumors, the 10-year CSS stood at 97.8% (95% CI 96.8–98.9%). However, a notable decline in CSS was observed with the increasing spread of tumors (log-rank p value < 0.001) (Fig. 2). Specifically, regionally spread tumors exhibited a 10-year CSS of 94.2% (95% CI 92.3–96%), while tumors with distant spread showed a 10-year CSS of 80.9% (95% CI 77.3–84.8%). Notably, factors such as chemotherapy, laterality, race, and sex did not significantly influence CSS (Table 1, Fig. 3).
Fig. 1.
Shows a Kaplan–Meier based survival for Age variable, SEER Database
Fig. 2.
Shows a Kaplan–Meier based survival for summary stage variable, SEER Database
Table 1.
Survival data sub-grouped by different variables in SEER Database
| Variable | Number | Survival % (95% CI) at 5 years | Survival % (95% CI) at 10 years |
|---|---|---|---|
| Overall survival | 2273 | 93.6(2.6–94.7) | 92.5(91.3–93.8) |
| Sex | |||
| Female | 1219 | 93.5(92.1–95) | 92.5(90.9–94.2) |
| Male | 1054 | 93.7(92.2–95.3) | 92.6(90.8–94.3) |
| Age | |||
| < 3 years | 1006 | 96.2(94.9–97.4) | 95.5 (94.1–97) |
| 3–8 years | 1142 | 91.8(90.1–93.5) | 90.4(99.5–92.3) |
| 9–15 years | 108 | 91.1(85.4–97) | 91.1(85.4–97.2) |
| > 15 years | 17 | 81.6(64.7–100) | 73.4(53.8–100) |
| Race | |||
| Asian/Pacific Islander | 107 | 93.4(88.4–98.7) | 87.8(80.3–96.1) |
| American Indian/Alaska Native | 33 | 93.6(85.4–100) | 93.6(85.4–100) |
| Black | 384 | 92.8(90.1–95.6) | 92.2(89.3–95.3) |
| White | 1725 | 93.8(92.5–95) | 92.9(91.5–94.2) |
| Unknown | 24 | 100(100–100) | 85.7(63.3–100) |
| Laterality | |||
| Left | 1085 | 93.3(91.7–94.9) | 91.7(90–93.6) |
| Right | 1029 | 94.6(93.1–96.1) | 93.9(92.2–95.5) |
| Bilateral | 159 | 89.7(84.7–95) | 89.7(84.7–95) |
| Summary stage | |||
| Distant | 538 | 83.8(80.5–87.2) | 80.9(77.3–84.8) |
| Regional | 721 | 94.7(92.9–96.5) | 94.2(92.3–96) |
| Localized | 980 | 98.2(97.2–99) | 97.8(96.8–98.9) |
| Unknown | 35 | 93.7(85.5–100) | 89.6(79.1–100) |
| Chemotherapy | |||
| Yes | 2091 | 93.7(92.6–94.8) | 92.5(91.3–93.8) |
| No | 182 | 92.5(88.5–96.7) | 92.5(88.5–96.7) |
Fig. 3.
A Shows a Kaplan–Meier-based survival for chemotherapy variable, SEER Database. B Shows a Kaplan–Meier-based survival for laterality variable, SEER Database. C Shows a Kaplan–Meier based survival for race variable, SEER Database. D Shows a Kaplan–Meier based survival for sex variable, SEER Database
Univariate Cox proportional hazard regression analyses were undertaken to identify significant prognostic factors for CSS in patients with Wilm’s tumor. Patients below the age of 3 demonstrated notably superior CSS compared to those aged 3–8 (crude hazard ratio (cHR) 0.48, 95% CI 0.33–0.69, p < 0.001). Conversely, CSS was significantly poorer in patients older than 15 years compared to those aged 3–8 years (cHR 2.72, 95% CI 1–7.42, p = 0.049). In comparison to patients with localized tumors, those with distant spread exhibited significantly worse CSS with a cHR of 10.24 (95% CI 6.09–17.23, p < 0.001). Similarly, patients with regional spread experienced a significantly lower CSS, with a cHR of 3.09 (95% CI 1.74–5.47, p < 0.001), as did those with an unknown stage, with a cHR of 4.97 (95% CI 1.46–16.95, p = 0.01).
Laterality, sex, chemotherapy, and race were found to have no significant impact on CSS as detailed in Table 2. All factors identified as significant in the univariate Cox regression were included in the multivariate model. Surprisingly, age did not emerge as a significant predictor of CSS. However, patients with distant spread had a markedly worse CSS (adjusted hazard ratio (aHR) 9.22, 95% CI 5.42–15.69, p < 0.001), as did those with regional spread (aHR 2.84, 95% CI 1.6–5.07, p < 0.001), and individuals with an unknown stage (aHR 4.98, 95% CI 1.46–17.01, p = 0.01) when compared to patients with localized tumors (Table 2).
Table 2.
Univariate and multivariate cox regression models for the different factors
| Univariate Regression | Multivariate Regression | |||||
|---|---|---|---|---|---|---|
| HRa | 95% CI | P value | HRa | 95% CI | P value | |
| Age (vs 3–8 years) | ||||||
| < 3 | 0.48 | (0.33–0.69) | < 0.001 | 0.72 | (0.49–1.05) | 0.08 |
| 9–15 | 0.92 | (0.45–1.90) | 0.83 | 0.86 | (0.42–1.77) | 0.68 |
| > 15 | 2.72 | (1–7.42) | 0.049 | 2.59 | (0.95–7.05) | 0.06 |
| Summary Stage (vs Localized) | ||||||
| Distant | 10.24 | (6.09–17.23) | < 0.001 | 9.22 | (5.42–15.69) | < 0.001 |
| Regional | 3.09 | (1.74–5.47) | < 0.001 | 2.84 | (1.6–5.07) | 0. < 0.001 |
| Unknown | 4.97 | (1.46–16.95) | 0.01 | 4.98 | (1.46–17.01) | 0.01 |
| Laterality (vs Left) | ||||||
| Right | 0.73 | (0.52–1.04) | 0.08 | |||
| Bilateral | 1.41 | (0.81–2.45) | 0.23 | |||
| Sex (vs Female) | ||||||
| Male | 0.96 | (0.7–1.34) | 0.83 | |||
| Chemotherapy (vs Yes) | ||||||
| NO | 1.18 | (0.67–2.09) | 0.57 | |||
| Race (vs White) | ||||||
| American Indian/Alaska Native | 0.95 | (0.23–3.85) | 0.94 | |||
| Asian/Pacific Islander | 1.42 | (0.72–2.8) | 0.31 | |||
| Black | 1.06 | (0.68–1.63) | 0.80 | |||
| Unknown | 0.85 | (0.12–6.08) | 0.87 | |||
aThis number represents the hazard ratio for Cancer-specific causes for the above co-variables. All statistical tests were two-sided
Causes of death in Wilms tumor patients
Among patients diagnosed with WT, the foremost cause of death was attributed to renal cancers [140; 77.3%, SMR = 10,396.70 (8745.9– 12,268.51)], followed by non-renal cancers [20; 11%, SMR = 43.07 (26.31– 66.52)], and non-cancer causes [20; 11%, SMR = 2.21 (1.35–3.41). However, it is noteworthy to mention that The SMR for non-cancer causes showed no significance in the initial 2 years but demonstrated a significant increase in subsequent years.
Relative survival and conditional survival analysis
The one-year, five-year, and ten-year relative survival for WT patients were 98.10%, 95%CI (97.50–98.60), 92.80%, 95%CI (91.60–93.90) and 91.3%, 95%CI (89.9–92.5) respectively. The five-year conditional survival after one year, five years and ten years of survival for WT were 94.0%%, 95%CI (92.9–95.0), 98.4%, 95%CI (97.5–98.9) and 99.0%, 95%CI (97.7–99.6) respectively. This means that the longer a person has already survived after diagnosis with cancer, the greater the likelihood that person will survive their cancer for another 5 years or more. Additional results regarding survival rates categorized by different subgroups, including age < 3, > 3- < 9 years, > 9- < 15 years, and above 15 years, and gender (male and female), can be found in Tables 3 and 4.
Table 3.
Relative Survival and Conditional Survival Analysis among Wilms cancer patients subgrouping by age
| Survival | N | Relative Survival | Relative cumulative CIs lower | Relative cumulative CIs upper |
|---|---|---|---|---|
| Cumulative summary/ < 3 | ||||
| 12 months | 1,080 | 98.20% | 97.20% | 98.90% |
| 60 months | 1,080 | 95.1%c | 93.5%c | 96.4%c |
| 120 months | 1,080 | 93.9%c | 92.0%c | 95.3%c |
| 5 yrs conditional at 1 year | 985 | 96.4%c | 94.9%c | 97.5%c |
| 5 yrs conditional at 5 year | 701 | 98.7%c | 97.3%c | 99.4%c |
| 5 yrs conditional at 10 years | 442 | 99.1%c | 96.7%c,a | 99.7%c,a |
| Cumulative summary/ > 15 | ||||
| 12 months | 19 | 94.8%c | 67.9%c,a | 99.3%c,a |
| 60 months | 19 | 83.7%c | 57.2%c | 94.5%c |
| 120 months | 19 | 76.3%c | 47.2%c | 90.7%c |
| 5 yrs conditional at 1 year | 18 | 88.3%c | 60.5%c | 97.0%c |
| 5 yrs conditional at 5 year | 13 | 91.0%c | 50.3%c,a | 98.7%c,a |
| 5 yrs conditional at 10 years | 7 | 100.0%b,c | c,d | c,d |
| Cumulative summary/3–8 yrs | ||||
| 12 months | 1,221 | 98.00% | 97.10% | 98.70% |
| 60 months | 1,221 | 91.00% | 89.10% | 92.60% |
| 120 months | 1,221 | 89.5%c | 87.3%c | 91.3%c |
| 5 yrs conditional at 1 year | 1,109 | 92.2%c | 90.3%c | 93.7%c |
| 5 yrs conditional at 5 year | 723 | 98.3%c | 96.9%c | 99.1%c |
| 5 yrs conditional at 10 years | 451 | 98.7%c | 96.6%c | 99.5%c |
| Cumulative summary/9–15 yrs | ||||
| 12 months | 119 | 98.3%c | 93.3%c,a | 99.6%c,a |
| 60 months | 119 | 91.3%c | 83.8%c | 95.4%c |
| 120 months | 119 | 88.5%c | 79.6%c | 93.7%c |
| 5 yrs conditional at 1 year | 106 | 91.6%c | 83.7%c | 95.8%c |
| 5 yrs conditional at 5 year | 73 | 97.0%c | 87.0%c,a | 99.3%c,a |
| 5 yrs conditional at 10 years | 49 | 100.0%b,c | c,d | c.d |
| Cumulative summary/overall | ||||
| 12 months | 2,439 | 98.10% | 97.50% | 98.60% |
| 60 months | 2,439 | 92.80% | 91.60% | 93.90% |
| 120 months | 2,439 | 91.3%c | 89.9%c | 92.5%c |
| 5 yrs conditional at 1 year | 2,218 | 94.0%c | 92.9%c | 95.0%c |
| 5 yrs conditional at 5 year | 1,510 | 98.4%c | 97.5%c | 98.9%c |
| 5 yrs conditional at 10 years | 949 | 99.0%c | 97.7%c | 99.6%c |
Actuarial method. Ederer II method used for cumulative expected
Confidence interval: Log(-Log()) Transformation. The level is 95%
aThe width of the confidence interval is more than 25% larger than if the normal approximation was applied
bThe relative cumulative survival is over 100 percent and has been adjusted
cThe relative cumulative survival increased from a prior interval and has been adjusted
d The statistic could not be calculated
Table 4.
Relative Survival and Conditional Survival Analysis among Wilms cancer patient’s subgrouping by sex
| Survival | N | Relative survival | Relative cumulative cis lower | Relative cumulative cis upper |
|---|---|---|---|---|
| Cumulative summary/male | ||||
| 12 months | 1,129 | 98.40% | 97.40% | 99.00% |
| 60 months | 1,129 | 92.80% | 90.90% | 94.20% |
| 120 months | 1,129 | 91.1%a | 89.1%a | 92.9%a |
| 5 yrs conditional at 1 year | 1,041 | 93.7%a | 92.0%a | 95.1%a |
| 5 yrs conditional at 5 year | 714 | 98.3%a | 96.8%a | 99.1%a |
| 5 yrs conditional at 10 years | 453 | 98.8%a | 96.3%a | 99.6%a |
| Cumulative summary/female | ||||
| 12 months | 1,310 | 97.90% | 96.90% | 98.60% |
| 60 months | 1,310 | 92.9%a | 91.2%a | 94.3%a |
| 120 months | 1,310 | 91.4%a | 89.5%a | 93.0%a |
| 5 yrs conditional at 1 year | 1,177 | 94.3%a | 92.6%a | 95.5%a |
| 5 yrs conditional at 5 year | 796 | 98.4%a | 97.1%a | 99.1%a |
| 5 yrs conditional at 10 years | 496 | 99.1%a | 97.6%a | 99.7%a |
Actuarial method. Ederer II method used for cumulative expected
Confidence interval: Log(-Log()) Transformation. The level is 95%
aThe relative cumulative survival increased from a prior interval and has been adjusted
Discussion
The main findings of our study
The younger age group predominated in our study with better outcomes. Locally spreading tumors have the best survival. Renal Cancer was the most common cause of death.
Analysis of the findings
A total of 2273 patients were included in our study; 53.6% of patients were females. The most common race was Caucasian (75.9%), and the most common age group was > 3- < 9 years (50.2%). The tumors were localized in 980 patients, had spread regionally in 721 patients, and had spread to distant sites in 538 patients. 5-year and 10-year OS for the entire cohort were 93.6% and 92.5%, respectively. Age was not a significant predictor of CSS. Patients with distant spread, regional spread, and those with unknown stage had worse CSS than those with localized tumors. According to our study, majority of the patients were female (53.6%). The percentage of female patients is comparable to those in previous studies; for example, a study conducted in 2014–2016 was 52% [24]; conducted in 1988–2010, it was 52.1% [25]. Likewise, male patients were 47.46% in another study conducted from 2004 to 2018 [26]. Male sex was the sole significant factor, where males have a lower hazard ratio [27]. But it is contradicted in a study conducted in 2006–2010 as the male-to-female ratio was 1.55:1 [28]. Also, a study conducted in 2000 -2021 showed fatal outcomes for male sex [29]. Another study was done recently in 2020, where PDL 1 ligands were studied, and the levels were higher in females, and it was associated with bad outcomes. These results support our study that females have more prevalence and worse outcome when compared to male patients [30].
Recent research in 2020 described the fact that the most important prognostic factor is the histological subtype of the tumor. This study showed that the survival was 100% for boys and 76.8% ± 1.6 for girls. So, sex has been an independent prognostic factor in determining the survival of children with Wilms tumor [31]. In our study, laterality, sex, chemotherapy, and race did not affect the outcome of the Wilms tumor. However, our results disagreed with a previous study done in 2016, according to which laterality of the tumor and sex has been affecting the outcome of the Wilms tumor along with the histological subtype and stage at presentation [32]. However, the late presentation can also affect the survival of WT, and recent research was done in 2019 to investigate the causes of this delayed presentation. Poor maternal education and inappropriate antenatal care were found to be associated with late presentation and hence less survival rates in WT [33].
In our study, average age group is > 3- < 9 years (50.2%). In the previously mentioned study, the average age was three years and two months, and the percentage of less than six years old patients was 88% [24, 25].
Undoubtedly, judging a patient's prognosis based on just a single variable may cause deviation. So, including multiple prognostic factors has always been the best approach towards this [25]. In our study, we include CSS as the prognostic factor as patients with distant spread, regional spread, and those with unknown stage had worse CSS when compared to patients with localized tumors. A total of 43.5% of patients had localized, 32.3% had regionally spread, and 24.02% had distant metastasis of tumor. 53.85% metastasis was noted in a study conducted in 2014–2016 [24]. It was stated to be 41.63% local, 36.27% regional, and 22.1% distant metastatic in another study which is very much comparable to the values found in our study [26]. It was found to be 45.3% local, 31.2% regional, and 23.5% metastatic in another study [25]. Metastatic disease has a poor outcome. Though therapeutic improvement has been made in the treatment of WT over the past decade, there is still a lot to be done to improve the outcome of patients with metastatic [34].
In our study, CSS is worse for patients older than 15 years of age, 73.4% for ten years old, and 95.5% for 0–3 years old patients. In a study conducted in 1988 -2010, it is 79% for three years old and 76% for five years old patient [25]. These results also showed a better outcome in young patients, as proved by our study.
Geographic and socioeconomic factors are still considered to have direct relationships with the prognosis of several diseases. When adopting contemporary pediatric oncology cooperative group methods, children with Wilms tumors have an overall survival rate of approximately 90% in countries with high incomes [35, 36]. However, whereas patient outcomes in high-income countries are outstanding, patient outcomes in low- and lower-middle-income countries are not as good, with survival rates of fewer than 50% [37, 38]. In low- and lower-middle-income countries, treatment abandonment, delayed diagnosis, delayed surgery, advanced disease at presentation, metastatic disease at diagnosis, unfavorable histology, larger tumor volume, malnourishment, recurrence of the disease, and subpar treatment are among the known poor prognostic factors [38–40]. Since several of these factors are modifiable its curcial to increase the effrots to overcome these challenges through the implementation of appropriate strategies.
However, some low- and lower-middle-income countries such as Eygpt has recorced a great progress despite all the mentioned obstacles. In 2020, a study conducted by Asfour et al., aimed to assess the clinical outcome and the different prognostic factors that influence the outcome of pediatric loco-regional WT cases treated at National Cancer Institute, Cairo University, Egypt. According to the results obtained from this study, Egypt had OS nearly the same as in developed countries [41].
Survival rates for children diagnosed with a WT are subject to diverse factors. These factors encompass the tumor's stage, the individual's age and overall health, as well as the efficacy of the treatment plan. The available data regarding WT survival rates in the literature is limited. The reported 5-year relative survival rate for children with a WT by the American Cancer Society is 93% [42]. They also reported that the risk of WT to come back after treatment is between 15 and 50%, and it is most likely to come back within the first 2 years following treatment [42]. Another study from Uganda reported that the one-year overall survival of WT was found to be 59.3% (95% CI: 40.7–73.3) [39]. Survival rates for included WT patients in this study showcase a strong trend, with impressive one-year (98.10%), five-year (92.80%), and ten-year (91.3%) relative survival rates. Also, the corresponding five-year conditional survival rates after 1 year, five years, and ten years are equally promising at 94.0%, 98.4%, and 99.0%, respectively. These findings underscore the encouraging prospect that the longer a person has successfully battled cancer, the more favorable their chances of extending their survival for an additional 5 years or more.
Future perspectives
Further studies examining the prognosis through longer periods may be needed to address other possible prognostic factors.
Strength of the study
Our study included a sample size of 2273 which was a pretty much large sample than most of the studies, so it adds to the strength of our study. It is based on a considerable period (19 years of study), making the result more generalized and reliable.
Conclusion
Management and follow-up should be tailored to the specific needs for each WT patient. Our findings provide an insightful way for monitoring future risk factors among WT patients. Staging has a significant impact on survival outcome.
Acknowledgements
The authors would like to express appreciation to Analytica research club for their support.
Abbreviations
- aHR
adjusted hazard ratio
- cHR
crude hazard ratio
- CSS
Cancer-Specific Survival
- ICDO-3
International Classification of Diseases for Oncology
- NOS
Nephroblastoma
- OS
Overall survival
- SEER
The Surveillance, Epidemiology, and End Results
- WT
Wilms tumor
Authors’ contributions
AE, KS, AMA, EG, HAAI, UK, OA, HAC, MEUR, AS, MA, MAE, MSE and AE designed the study and analyzed the data. MSE, ME, AMO, AEMH, HGD and DAG. drafted the manuscript. All authors were involved in the critical analysis of the final version of the manuscript. All authors approved the manuscript as submitted and agree to be accountable for all aspects of the work.
Funding
Open access funding provided by The Science, Technology & Innovation Funding Authority (STDF) in cooperation with The Egyptian Knowledge Bank (EKB). This research is self-funded.
Availability of data and materials
The datasets generated and analyzed during the current study are available in the SEER*Stat Database: Incidence—SEER Research Plus Data, 17 Registries, Using SEER*Stat software 8.4.0.1 http://www.seer.cancer.gov/seerstat repository.
Declarations
Ethics approval and consent to participate
This study was conducted in accordance with the ethical guidelines outlined by the World Medical Association’s Declaration of Helsinki. Approval for all procedures was obtained from the Ethical Committee of Al-Azhar Faculty of Medicine, Egypt (4–2024). All data were collected from the SEER database, which is anonymized. The study's execution did not need informed consent requirements (the need for consent was waived).
Consent for publication
Not applicable.
Competing interests
The authors declare that there are no competing interests.
Footnotes
Publisher’s Note
Springer Nature remains neutral with regard to jurisdictional claims in published maps and institutional affiliations.
Anas Elgenidy and Ahmed M. Afifi contributed equally to this work.
References
- 1.Spreafico F, Fernandez CV, Brok J, Nakata K, Vujanic G, Geller JI, et al. Wilms tumour. Nat Rev Dis Primers. 2021;7(1):75. 10.1038/s41572-021-00308-8 [DOI] [PubMed] [Google Scholar]
- 2.Steliarova-Foucher E, Colombet M, Ries LAG, Moreno F, Dolya A, Bray F, et al. International incidence of childhood cancer, 2001–10: a population-based registry study. Lancet Oncol. 2017;18(6):719–31. 10.1016/S1470-2045(17)30186-9 [DOI] [PMC free article] [PubMed] [Google Scholar]
- 3.PDQ Pediatric Treatment Editorial Board. Wilms Tumor and Other Childhood Kidney Tumors Treatment (PDQ®): Health Professional Version. PDQ Cancer Information Summaries. National Cancer Institute (US); 2023. (www.ncbi.nlm.nih.gov/books/NBK65842/). [PubMed]
- 4.Behjati S, Gilbertson RJ, Pfister SM. Maturation block in childhood cancer. Cancer Discov. 2021;11(3):542–4. 10.1158/2159-8290.CD-20-0926 [DOI] [PubMed] [Google Scholar]
- 5.Nelson MV, Van Den Heuvel-Eibrink MM, Graf N, Dome JS. New approaches to risk stratification for Wilms tumor. Curr Opin Pediatr. 2021;33(1):40–8. 10.1097/MOP.0000000000000988 [DOI] [PMC free article] [PubMed] [Google Scholar]
- 6.Pastore G, Znaor A, Spreafico F, Graf N, Pritchard-Jones K, Steliarova-Foucher E, et al. Malignant renal tumours incidence and survival in European children (1978–1997): Report from the Automated Childhood Cancer Information System project. Eur J Cancer. 2006;42(13):2103–14. 10.1016/j.ejca.2006.05.010 [DOI] [PubMed] [Google Scholar]
- 7.Siegel DA, King J, Tai E, Buchanan N, Ajani UA, Li J. Cancer incidence rates and trends among children and adolescents in the United States, 2001–2009. Pediatrics. 2014;134(4):e945–955. 10.1542/peds.2013-3926 [DOI] [PMC free article] [PubMed] [Google Scholar]
- 8.Nakata K, Ito Y, Magadi W, Bonaventure A, Stiller CA, Katanoda K, et al. Childhood cancer incidence and survival in Japan and England: a population-based study (1993–2010). Cancer Sci. 2018;109(2):422–34. 10.1111/cas.13457 [DOI] [PMC free article] [PubMed] [Google Scholar]
- 9.Dome JS, Perlman EJ, Graf N, et al. Risk stratification for wilms tumor: current approach and future directions. Am Soc Clin Oncol Educ Book. 2014;34:215–23. 10.14694/EdBook_AM.2014.34.215 [DOI] [PubMed] [Google Scholar]
- 10.Dome JS, Graf N, Geller JI, Fernandez CV, Mullen EA, Spreafico F, et al. Advances in wilms tumor treatment and biology: progress through international collaboration. J Clin Oncol. 2015;33:2999–3007. 10.1200/JCO.2015.62.1888 [DOI] [PMC free article] [PubMed] [Google Scholar]
- 11.Ehrlich P, Chi YY, Chintagumpala MM, Hoffer FA, Perlman EJ, Kalapurakal JA, et al. Results of the First Prospective Multi-institutional Treatment Study in Children with Bilateral Wilms Tumor (AREN0534): A Report from the Children’s Oncology Group. Ann Surg. 2017;266(3):470–8. 10.1097/SLA.0000000000002356 [DOI] [PMC free article] [PubMed] [Google Scholar]
- 12.Geller JI. Current standards of care and future directions for “high-risk” pediatric renal tumors: anaplastic Wilms tumor and Rhabdoid tumor. Urol Oncol. 2016;34(1):50–6. 10.1016/j.urolonc.2015.10.012 [DOI] [PubMed] [Google Scholar]
- 13.Daw NC, Chi YY, Kalapurakal JA, Kim Y, Hoffer FA, Geller JI, et al. Activity of Vincristine and Irinotecan in Diffuse Anaplastic Wilms Tumor and Therapy Outcomes of Stage II to IV Disease: Results of the Children’s Oncology Group AREN0321 Study. J Clin Oncol. 2020;38(14):1558–68. 10.1200/JCO.19.01265 [DOI] [PMC free article] [PubMed] [Google Scholar]
- 14.Pritchard-Jones K, Kelsey A, Vujanic G, Imeson J, Hutton C, Mitchell C. Older age is an adverse prognostic factor in stage I, favorable histology Wilms’ tumor treated with vincristine monochemotherapy: A study by the United Kingdom Children’s Cancer Study Group, Wilm’s Tumor Working Group. J Clin Oncol. 2003;21(17):3269–75. 10.1200/JCO.2003.01.062 [DOI] [PubMed] [Google Scholar]
- 15.Dome JS, Perlman EJ, Graf N. Risk stratification for Wilms tumor: current approach and future directions. Am Soc Clin Oncol educational book. 2014;33(27):215–23. 10.14694/EdBook_AM.2014.34.215 [DOI] [PubMed] [Google Scholar]
- 16.Neuzil K, Apple A, Sybenga A, Chen H, Zhao S, Whiteside M, et al. Health disparities among tennessee pediatric renal tumor patients. J Pediatr Surg. 2020;55(6):1081–7. 10.1016/j.jpedsurg.2020.02.029 [DOI] [PubMed] [Google Scholar]
- 17.Gatta G, Botta L, Rossi S, Aareleid T, Bielska-Lasota M, Clavel J, et al. Childhood cancer survival in Europe 1999–2007: Results of EUROCARE-5-a population-based study. Lancet Oncol. 2014;15(1):35–47. 10.1016/S1470-2045(13)70548-5 [DOI] [PubMed] [Google Scholar]
- 18.Cunningham ME, Klug TD, Nuchtern JG, Chintagumpala MM, Venkatramani R, Lubega J, et al. Global Disparities in Wilms Tumor. Journal of Surgical Research. 2020;247:34–51. 10.1016/j.jss.2019.10.044 [DOI] [PubMed] [Google Scholar]
- 19.Surveillance, Epidemiology, and End Results (SEER) Program (www.seer.cancer.gov) SEER*Stat Database: Incidence - SEER Research Plus Data, 17 Registries, Nov 2021 Sub (2000–2019) - Linked To County Attributes - Time Dependent (1990–2019) Income/Rurality, 1969–2020 Counties, National Cancer Institute, DCCPS, Surveillance Research Program, released April 2022, based on the November 2021 submission.
- 20.SEER*Stat Software Surveillance Research Program, National Cancer Institute (www.seer.cancer.gov/seerstat) version 8.3.9.2.
- 21.Yu XQ, Baade PD, O’Connell DL. Conditional survival of cancer patients: an Australian perspective. BMC Cancer. 2012;8(12):460. 10.1186/1471-2407-12-460. PMID: 23043308; PMCID: PMC3519618. 10.1186/1471-2407-12-460 [DOI] [PMC free article] [PubMed] [Google Scholar]
- 22.Ali AN, Diaz R, Shu HK, Paulino AC, Esiashvili N. A Surveillance, Epidemiology and End Results (SEER) program comparison of adult and pediatric Wilms’ tumor. Cancer. 2012;118(9):2541–51. 10.1002/cncr.26554 [DOI] [PubMed] [Google Scholar]
- 23.Surveillance, Epidemiology, and End Results Program (SEER) Program. National Cancer Institute. www.seer.cancer.gov. Accessed 29 Nov 2010.
- 24.Purnomo E, Rinonce HT, Ardianto B, Nugrahaningsih DAA. Clinicopathological Profile of Wilms Tumor of Pediatric Patients in Dr. Sardjito General Hospital, Yogyakarta, Indonesia. Malaysian Journal of Medicine and Health Sciences. 2020;16(3):32–6. [Google Scholar]
- 25.Tang F, Zhang H, Lu Z, Wang J, He C, He Z. Prognostic factors and nomograms to predict overall and cancer-specific survival for children with Wilms' tumor. Dis Markers. 2019;2019:1092769. 10.1155/2019/1092769. [DOI] [PMC free article] [PubMed]
- 26.Tan X, Wang J, Tang J, Tian X, Jin L, Li M, et al. A nomogram for predicting cancer-specific survival in children with Wilms tumor: a study based on SEER database and external validation in China. Front Public Health. 2022;10:829840. 10.3389/fpubh.2022.829840. [DOI] [PMC free article] [PubMed]
- 27.Andy A, Sigumonrong Y. Survival analysis of pediatric wilms tumor based on risk identification. Indonesian J Cancer. 2022;16(1):22. 10.33371/ijoc.v16i1.829 [DOI] [Google Scholar]
- 28.Salih HMA, Mekki SO, Elkhatib M, Abdelgalil HB, Ali AE, Salih MA, et al. A Clinicopathological study of Wilms’ tumor among Sudanese patients. Eur J Mol Clin Med. 2021;8(3):1462–80. [Google Scholar]
- 29.Brener PZ, Tannuri ACA, Teixeira RAP, Cristofani LM, Evangelista ABR, Sugiyama RM, et al. Wilms tumor in children: a multivariate analysis of prognostic factors, with emphasis on inferior vena cava/right atrium extension. Results from a single-center study. Surg Oncol. 2023;46:101896. 10.1016/j.suronc.2022.101896 [DOI] [PubMed] [Google Scholar]
- 30.Wilms T, Gu X, Boldrup L, Coates PJ, Fahraeus R, Wang L, et al. PD-L1 in squamous cell carcinoma of the oral tongue shows gender-specific association with prognosis. Oral Dis. 2020;26(7):1414–23. 10.1111/odi.13414 [DOI] [PubMed] [Google Scholar]
- 31.Bahoush G, Saeedi E. Outcome of children with wilms’ tumor in developing countries. J Med Life. 2020;13(4):484–9. 10.25122/jml-2019-0084 [DOI] [PMC free article] [PubMed] [Google Scholar]
- 32.Kumar NA, Bezawada S, Venkata Chaitanya S, Sree Gouri SR, Pulla P. A retrospective study of Wilms tumour in our institute. Int J Contemp Med Res ISSN. 2016;3(8):2393–915. [Google Scholar]
- 33.Eggi R, Yacobda S. Wilms tumor in children: results from a large Indonesian referral hospital’s experience over 5 years. J Med Clin Res Rev. 2019;3:1–3. 10.33425/2639-944X.1103 [DOI] [Google Scholar]
- 34.Irtan S, Ehrlich PF, Pritchard-Jones K. Wilms tumor: “State-of-the-art” update, 2016. Semin Pediatr Surg. 2016;25(5):250–6. 10.1053/j.sempedsurg.2016.09.003 [DOI] [PubMed] [Google Scholar]
- 35.Spreafico F, Biasoni D, Lo Vullo S, Gandola L, D’Angelo P, Terenziani M, Bianchi M, Provenzi M, Indolfi P, Pession A, Nantron M, Di Cataldo A, Morosi C, Perotti D, Catania S, Bellani FF, Collini P, AIEOP Wilms Tumor Working Group. Results of the Third AIEOP Cooperative Protocol on Wilms Tumor (TW2003) and Related Considerations. J Urol. 2017;198(5):1138–45. 10.1016/j.juro.2017.06.081. 10.1016/j.juro.2017.06.081 [DOI] [PubMed] [Google Scholar]
- 36.Koshinaga T, Takimoto T, Oue T, Okita H, Tanaka Y, Nozaki M, Tsuchiya K, Inoue E, Haruta M, Kaneko Y, Fukuzawa M. Outcome of renal tumors registered in Japan Wilms Tumor Study-2 (JWiTS-2): A report from the Japan Children’s Cancer Group (JCCG). Pediatr Blood Cancer. 2018;65(7):e27056. 10.1002/pbc.27056. 10.1002/pbc.27056 [DOI] [PubMed] [Google Scholar]
- 37.Paintsil V, David H, Kambugu J, Renner L, Kouya F, Eden T, Hesseling P, Molyneux E, Israels T. The Collaborative Wilms Tumour Africa Project; baseline evaluation of Wilms tumour treatment and outcome in eight institutes in sub-Saharan Africa. Eur J Cancer (Oxford, England : 1990). 2015;51(1):84–91. 10.1016/j.ejca.2014.10.030. 10.1016/j.ejca.2014.10.030 [DOI] [PubMed] [Google Scholar]
- 38.Ghafoor T, Bashir F, Ahmed S, Khalil S, Farah T. Predictors of treatment outcome of Wilms Tumour in low-income country; single centre experience from Pakistan. J Pediatr Urol. 2020;16(3):375.e1–375.e7. 10.1016/j.jpurol.2020.03.001. 10.1016/j.jpurol.2020.03.001 [DOI] [PubMed] [Google Scholar]
- 39.Ekuk E, Odongo CN, Tibaijuka L, Oyania F, Egesa WI, Bongomin F, Atwiine R, Acan M, Situma M. One year overall survival of wilms tumor cases and its predictors, among children diagnosed at a teaching hospital in South Western Uganda: a retrospective cohort study. BMC Cancer. 2023;23(1):196. 10.1186/s12885-023-10601-2. 10.1186/s12885-023-10601-2 [DOI] [PMC free article] [PubMed] [Google Scholar]
- 40.Cotton CA, Peterson S, Norkool PA, Takashima J, Grigoriev Y, Green DM, Breslow NE. Early and late mortality after diagnosis of wilms tumor. J Clin Oncol. 2009;27(8):1304–9. 10.1200/JCO.2008.18.6981. 10.1200/JCO.2008.18.6981 [DOI] [PMC free article] [PubMed] [Google Scholar]
- 41.Asfour HY, Khalil SA, Zakaria AS, Ashraf ES, Zekri W. Localized Wilms’ tumor in low-middle-income countries (LMIC): how can we get better? J Egypt Natl Canc Inst. 2020;32(1):32. 10.1186/s43046-020-00043-3. 10.1186/s43046-020-00043-3 [DOI] [PubMed] [Google Scholar]
- 42.Siegel RL, Miller KD, Wagle NS, Jemal A. Cancer statistics, 2023. CA Cancer J Clin. 2023;73(1):17–48. 10.3322/caac.21763. PMID: 36633525. 10.3322/caac.21763 [DOI] [PubMed] [Google Scholar]
Associated Data
This section collects any data citations, data availability statements, or supplementary materials included in this article.
Data Availability Statement
The datasets generated and analyzed during the current study are available in the SEER*Stat Database: Incidence—SEER Research Plus Data, 17 Registries, Using SEER*Stat software 8.4.0.1 http://www.seer.cancer.gov/seerstat repository.



