Abstract
The freezing and thawing cycle is one of the primary causes of damage and instability to buildings in seasonal frost regions. During this process, the mechanical properties of soil are affected, leading to settlement, cracking, or deformation of infrastructure. Mitigating or reducing the occurrence of building frost damage in seasonal frost regions has become an important subject of study. Freeze–thaw (F–T) action will influence the distribution of moisture inside the reinforced soil and change the strength of thawing soil, which is closely related to the main influencing factors, such as initial moisture content, compaction degree, reinforced spacing, number of freeze–thaw cycles (FTC), freezing temperature, and effective vertical stress. Cohesion is an important index to determine the shear strength of clay, which is important to analyze the change in cohesion after F–T. Meanwhile, cohesion is closely related to soil moisture content. This study conducted orthogonal experiments on these primary influencing factors (6 factors at 5 levels) through FTC tests, triaxial tests, and moisture content tests to determine the undrained cohesion and moisture content of the clay after FTC, thereby establishing the influence of reinforcement on soil strength under freeze–thaw conditions. Based on the experimental results, SPSS software was used to fit the regression equations of undrained cohesion and moisture content expressed by the main influencing factors at different heights of the clay. Optimization options for the main influencing factors were obtained with Matlab software when the highest undrained cohesion values 6.8, 10.6, 8.9 kPa and lowest moisture content values 24.0%, 24.3%, 26.2% appeared in upper, middle and lower parts of the testing clay structure respectively, in conditions of − 15 °C freezing temperature and 5 times FTC. And determined the optimal combinations of moisture content, reinforcement spacing, compaction density, and vertical load at different heights. Decreasing reinforced spacing in silty clay was beneficial for liquid underwater seepage after F–T. The redistribution of internal moisture in the soil sample strengthened its undrained cohesion, thereby increasing the soil's shear strength. Comparing reinforcement conditions at different locations, it was found that when there were 3 layers of reinforcement with a spacing of 150 mm between them, this spacing was optimal. It played a significant role in improving the soil's shear strength and enhancing its bearing capacity. For reinforced clay itself, the order of the main factors influencing the undrained cohesion of soil after F–T, from high to low, was initial moisture content, reinforced spacing, and compaction degree.
Keywords: Freeze–thaw cycle, Geogrid reinforcement, Silty clay, Undrained cohesion, Moisture content
Subject terms: Civil engineering, Composites
Introduction
In seasonal frozen regions, the cyclical process of freeze–thaw (F–T) induces rearrangement of the grain skeleton and damage of the soil microstructure1–4, which is one of the main reasons of engineering frost damage. The initial moisture content, freezing temperature, and number of freeze–thaw cycles (FTC) have significant effects on the shear strength of soil after F–T5–7,31,32. Liu et al.8 found that the change of moisture content had a more significant impact on the soil strength after FTC. F–T reduces soil shear strength by up to 50%, and the reasonable value of the initial moisture content is less than 20%9. FTC has a strong effect on the cohesion and relatively small effect on the internal friction angle of the soil10–12,34. Liu et al.8 performed experiment of F–T to soil samples with different soil texture, and determined that the change the boundary point of initial moisture content and freezing temperature was 17% and – 20 °C. The higher initial moisture content and a lower freezing temperature have a greater impact on the structure and cohesion of the clay13,14. Viran et al.16, Hotineanu et al.17 considered that the cohesion of high plastic clay and clay sand would decrease by about 38.54% and 95.9% after one FTC, respectively, and that the cohesion of cured kaolinite and bentonite will nearly lose 37% and 75%, respectively. Liu et al.33 found that the cohesion decreased with the increasing of number of FTC and which would trend to stable after 8 times FTC. Fang et al.18 discovered that the first F–T has the greatest decline in soil strength, and then the influence trend decreased gradually by testing the shear strength of different types of soil after F–T. The value of saturated, undisturbed clay’s cohesion will decrease significantly during the first FTC and tend to be stable after 5–7 times FTC15. The above phenomenon is primarily caused by a dramatic change in soil structure during the first several cycles of FTC and gradually tends to be stable19,20.
Researchers have investigated methods to enhance soil strength after FTC through chemical curing or fiber reinforcement. Mahya added varying proportions of nano-clay to soil samples, finding that a 1% nano-clay content increased compressive and tensile strengths by 1.7 and 3.4 times, respectively, after 28 days of curing. Following FTC, nano-clay concentrations of 2–3% significantly improved soil strength, with an optimal inclusion ratio identified21. Kakroudi conducted comprehensive testing and determined that soil samples treated with 10% nano-silica and 1% fiber achieved maximum cohesion (90 kPa) and internal friction angle (37.8°). SEM analysis revealed a dense microstructure in nano-silica stabilized specimens22. To explore more efficient soil reinforcement methods, researchers have turned their attention to geogrid reinforcement, known for its stable physical and chemical properties. Al-Omari et al. found that geogrids effectively increased soil strength and significantly reduced soil expansion when dealing with expansive soils23. Similarly, Nareeman et al.24 found that geogrids effectively reduce soil settlement and that different reinforcement angles result in varying improvements in soil shear strength. Meng et al.25 concluded from various reinforcement experiments that confinement provided by reinforcement materials helps restrain soil frost heave, weakening horizontal frost heaving forces and enhancing reinforced soil stability. Zhao et al., demonstrated through experiments that geogrid reinforcement uniformly distributes stress, effectively inhibiting roadbed deformation and adjusting uneven soil settlement26,27. Tang et al.28 conducted dynamic triaxial tests on geogrid-reinforced loess, finding that a two-layer geogrid reinforcement maximized the frictional benefits between the reinforcement material and soil, thereby limiting soil deformation. Hussain et al.29 utilized geogrids to enhance soil properties, noting that increasing the number of geogrid layers enhanced soil bearing capacity and reduced soil settlement. Wang et al.30 conducted indoor triaxial tests to study the macro-mechanical properties of clay with different layers of reinforcement. The results showed that the cohesion of the soil increased with an increasing number of reinforcement layers.
The interaction between geogrid and soil can improve the stability of the soil structure after FTC35,36. The change in the soil’s cohesion that is reinforced is related to the initial moisture content, compaction degree, reinforced spacing, and number of FTC37,38. In general, the cohesion of reinforced clay decreases as initial moisture content increases and compaction degree and reinforced layers decrease after F–T39–41. Ghazavi et al.42 found that the reduction in soil cohesion after multiple F–T decreased from 72.3 to 15.6% as the number of reinforcement layers increased and the reinforcement spacing decreased. Roustaei et al.43 reported that soil cohesion increased by about 67–100% after reinforcement. However, the increase amplitude in cohesion decreases gradually with the continuous reduction of reinforced spacing. Abdia and Zandieh44 concluded from large pullout tests that the pullout resistance of clay soils increased significantly under vertical loading and that its pullout resistance increased with increasing effective vertical stress. Wang et al.45 found that the larger the vertical load, the more significant the embedded effect of soil on the grating and the smaller the strain on the grating in the soil. The increase of vertical stress indirectly increases the compaction degree of soil, and enhances the pull-out resistance of reinforced materials46. Soil reinforcement can reduce the engineering freezing damage caused by FTC. However, there are few quantitative research on what kind of reinforcement method is more beneficial to improve the cohesion of soil, ensure structural strength, and reduce damage after F–T.
In this study, the effect of six factors (initial moisture content, compaction, reinforcement spacing, freezing temperature, number of FTC, and upper surface pressure) on the cohesion and moisture content of reinforced clay after FTC was analyzed. The six factors were designed as orthogonal experiments at five indoor controllable levels. Statistical software was used to fit the regression equations of the cohesion and moisture content of clay in the thawing state as expressed by these six factors. Matlab software was adopted to finish the optimal solution and obtain the values of six factors when the cohesion and moisture content have the highest and lowest values, respectively. The research conclusions will be used to lay the theoretical groundwork for the construction of reinforced soil in seasonal frozen regions.
Materials and methods
Experimental materials
The testing soil samples were drawn from the scientific research base of Shenyang Agricultural University. It is situated in the hills of Liaodong, which have a uniform, layered, carbonate-rich surface that is usually porous and collapsible. Its masterbatch is made of loess. The soil was collected 0.5–1.5 m beneath the natural surface. After the soil samples were treated, the particle analysis test was conducted according to the Code for Design of Building Foundations47, and then the particle analysis curve and compaction curve were drawn (shown in Fig. 1 and Fig. 2).
Figure 1.
Particle analysis curve.
Figure 2.

Soil compaction curve.
Based on particle size distribution (shown in Table 1), 58.7% of particles have diameters ranging from 0.005 to 0.075 mm, classifying the soil as silt. According to its plasticity characteristics, the liquid limit (LL) is 32% and the plastic limit (PL) is 17%, resulting in a plasticity index (PI) of 15% (PI = LL−PL). Using the Unified Soil Classification System (USCS)55, the soil sample is classified as low plasticity silty clay.
Table 1.
Basic physical property values of soil samples.
| Particle content of each particle size range (%) |
Liquid limit (%) |
Plastic limit (%) |
Plasticity index | Maximum dry density (g/cm3) |
Optimum moisture content (%) |
||
|---|---|---|---|---|---|---|---|
| < 0.005 mm | 0.005–0.075 mm | 0.075–0.25 mm | 32 | 17 | 15 | 1.69 | 20.1 |
| 28.1 | 58.7 | 13.2 | |||||
The reinforced material is bidirectionally stretched plastic geogrids (TGSG30-30, Lianyi Engineering Plastics Co., Ltd., Feicheng, Shandong, China), and the geogrids were cut into a rectangle shape with a size of 160 mm by 300 mm and laid horizontally in the clay. The properties of the geogrids were shown in Table 2.
Table 2.
Properties of the geogrid.
| Rib direction | Tensile strength (kN/m) | Aperture size (mm) | Density (g/cm3) | Polymer type |
|---|---|---|---|---|
| Longitudinal | 30 | 35 × 35 | 400 ± 40 | Polypropylene |
| Transverse | 30 |
Experiment equipment
In this study, powdered clay from the Shenyang area, where the winter temperature can reach below − 20 °C, was selected as the research object. To make the test conditions set closer to the actual situation, the test freezing temperature values of − 5 °C, − 10 °C, − 15 °C, − 20 °C, and − 25 °C were selected based on the actual temperatures from November 2019 to March 2020 (see Table 3). Considering the temperature fluctuations and seasonal freeze–thaw frequency in Northeast China, freeze–thaw cycle numbers of 1, 3, 5, 7, and 9 were selected based on the collective findings of researchers56–60. The study showed that the melting temperature has a relatively small effect on the post-freezing and thawing performance of the soil, and an average temperature of 6 °C in March in the Shenyang area in the calendar year was used in this study. The average annual precipitation in Shenyang is 721.9 mm.
Table 3.
Ten days average temperature in Shenyang area in winter 2019–2020.
| No. | Time | Average temperature/°C | No | Time | Average temperature/°C |
|---|---|---|---|---|---|
| 1 | 2019.11.01 ~ 11.10 | − 0.3 | 9 | 2020.1.21 ~ 1.31 | − 22.4 |
| 2 | 2019.11.11 ~ 11.20 | − 7.7 | 10 | 2020.2.01 ~ 2.10 | − 19.9 |
| 3 | 2019.11.21 ~ 11.30 | − 9.8 | 11 | 2020.2.11 ~ 2.20 | − 15.1 |
| 4 | 2019.12.01 ~ 12.10 | − 14 | 12 | 2020.2.21 ~ 2.28 | − 13.4 |
| 5 | 2019.12.11 ~ 12.20 | − 16.7 | 13 | 2020.3.01 ~ 3.10 | − 10.9 |
| 6 | 2019.12.21 ~ 12.31 | − 13.8 | 14 | 2020.3.11 ~ 3.20 | − 6.9 |
| 7 | 2020.1.01 ~ 1.10 | − 17.4 | 15 | 2020.3.21 ~ 3.31 | 1.8 |
| 8 | 2020.1.11 ~ 1.20 | − 15 |
Main instruments in this study were an automatic temperature control ice cabinet (internal temperature range is from − 35 to 20 °C, precision is 0.1 °C, studio size is 800 mm length, 450 mm width, and 600 mm height), TSZ30-2.0 type desktop triaxial apparatus (Nanjing Soil Instrument Factory Co.) (contained pressure range is from 0 to 2 MPa, volume range is from 0 to 50 ml, accuracy is 0.1 ml), 101-2 type electric blast drying oven (temperature range is from 50 to 300 °C, temperature uniformity is 7.5 °C, temperature deviation is no more than 1 °C), YP802N electronic balance (maximum range value of 800 g, accuracy of 0.01 g) and LG-100D digital display soil liquid plastic limit tester (maximum range of 22 mm, accuracy of 0.1 mm).
Sample preparation and installation
Before the F–T test, the soil was filled with a self-made, upper-side opened, white steel box measuring 300 mm, 200 mm, and 400 mm (length, width, and height) (shown in Fig. 3 and Fig. 4b). To prepare the reinforced clay experiment pieces, add the rectangle geogrids with a size of 340 mm by 180 mm (length by width) to the clay tamped in the box according to the designed reinforced spacing shown in Table 4.
Figure 3.
Schematic diagram of geogrid reinforced clay.
Figure 4.
Sketch of the location of the soil collection.
Table 4.
Factors and levels used in the orthogonal experiments.
| Levels | Factors | |||||
|---|---|---|---|---|---|---|
|
(%) |
(%) |
(mm) |
(times) |
(°C) |
(kPa) |
|
| 1 | 28 | 96 | 350 | 9 | − 5 | 50 |
| 2 | 24 | 93 | 300 | 7 | − 10 | 40 |
| 3 | 20 | 90 | 250 | 5 | − 15 | 30 |
| 4 | 16 | 87 | 200 | 3 | − 20 | 20 |
| 5 | 12 | 84 | 150 | 1 | − 25 | 10 |
where, is initial moisture content, %; is compaction degree, %; is reinforced spacing, mm; is number of FTC, times; is freezing temperature, ℃; is effective vertical stress, kPa.
After the completion of freezing and thawing, according to the relevant requirements of “Highway Geotechnical Test Procedure” (JTG 3430-2020), the soil is taken at the corresponding height of the soil, and the soil moisture content is measured by the drying method, using a straightedge to determine the height plane of 100 mm, 200 mm, and 300 mm from the top of the box. The specific location of the soil is shown in Fig. 4 (where point 2 is located in the center of the plane, and the distance between points 1, 3, and 2 is 100 mm), and the calculation formula is as follows:
| 1 |
where , , are the moisture content of the soil at different points at different heights after the completion of freezing and thawing, %.
According to Eqs. (2) and (3), the required masses of water and clay were calculated, respectively, and specimens were prepared with different initial moisture contents and compaction degrees according to the Technical Specifications for Construction of Highway Reinforced Earth Engineering48. The vibration compaction method was adopted in this study, and the self-made compaction device is shown in Fig. 5a. Soil samples were prepared according to different moisture content levels and their corresponding initial moisture content. Following preparation, the soil sample will be sealed and left for 24 h49 hours to ensure that the water is evenly distributed throughout the soil sample. Soil samples will be backfilled according to the compaction level requirements, evenly spread, and taken for manual compaction. This study met compaction degree requirements through calculations of mass and volume. The calculation formulas such as Eq. (3). In order to prevent the movement and deformation of the geogrid during the compaction of the upper fill, both ends of the geogrid were extended out of the box and fixed on the outside (shown as Figs. 5b and 6).
| 2 |
where, is the initial moisture content of the reinforced clay samples used for FTC experiment, %; is moisture content of the clay materials, %, the value is 9; is the water mass required for clay samples, g; is the soil mass with 9% moisture content, g.
| 3 |
where, is the compaction degree of the reinforced clay samples used for FTC experiment, %; is the mass of soil placed in the soil box, g; is the soil moisture content; is the volume of the test box used to load the soil, cm3, the value is 2.4 × 104; is the maximum dry density of the clay, g/cm3, the value is 1.69.
Figure 5.
Preparation of reinforced clay specimens.
Figure 6.
Reinforced clay preparation.
Experiment methods
The roadbed is always made of geogrid-reinforced soil structure. Under the instantaneous action of vehicle load, the silty clay with low permeability has no time to drain and consolidate50. The unconsolidated undrained triaxial shear test (UU) was used to determine the internal friction angle and cohesion of the reinforced soil before and after freezing and thawing, i.e., the specimens were installed without consolidation and the motor was started directly to start shearing (Shown as Fig. 7). In the test, the shear strain rate was controlled at 0.6% of the line strain per minute. Every 0.3% of the axial line strain is generated in the test piece, and the reading of the force gauge and the axial line strain value are measured and recorded once. When the axial line strain exceeds 3%, a reading is taken for every 0.7% of the strain value until the specimen is damaged. The test applied pressure (small main stress) is 100 kPa, 200 kPa, and 300 kPa, respectively.
Figure 7.

Reinforced clay testing processes.
Cohesion measurement
The measuring positions of cohesion were 100 mm, 200 mm, and 300 mm distant from the tops of the specimens. Three clay samples in each height plane were taken out with a self-made ring knife with a 39.1 mm diameter and 80 mm length. The Mohr strength theory51 provides a comprehensive reflection of the strength characteristics of rock and soil masses. By plotting the Mohr strength envelope with as the center and as the radius (Shown as Fig. 8), one can calculate the cohesion (c) and the internal friction angle values. Using the UU triaxial test to determine the undrained cohesion value, the average of the three values was determined as the undrained cohesion value of three different heights of clay after FTC. The shear strain rate is controlled at 0.6% linear strain per minute.
Figure 8.

Strength envelope of unconsolidated undrained shear test.
Moisture content determination
The change in clay's undrained cohesion after F–T was often related to the change in clay’s liquid moisture content. According to the 2017 Code for Design of Building Foundations47, the soil moisture content was determined at the end of F–T. In order to reflect the absorption of water from the bottom of the soil during F–T, a water refill device was used to simulate groundwater recharge.
Experiment design
In this study, the initial moisture content, compaction degree, reinforced spacing, number of FTC, freezing temperature, and effective vertical stress were selected as the six influencing factors of the clay’s undrained cohesion and moisture content after FTC. These six factors affecting the undrained cohesion and moisture content of clay after FTC were arranged in an orthogonal test with five indoor controllable levels. There were 25 sets of the FTC orthogonal test, and all influencing factors and setting levels are shown in Table 4.
Test results and analysis
The test results for reinforced clay after FTC are shown in Table 5. The values of the upper (above the surface layer geogrid), middle (in the middle height of reinforced clay), and lower (below the bottom layer geogrid) parts of the clay’s undrained cohesion ranged between 5.2 and 9.8 kPa, 3.2 and 10.2 kPa, and 3.0 and 8.9 kPa, respectively. Meanwhile, the upper, middle, and lower parts of the moisture content of the clay ranged from 22.5 to 27.3%, 21.1 to 27.5%, and 21.3 to 27.8%, respectively. For no reinforced clay, the undrained cohesion values of the upper, middle and lower parts clay after F–T were 5.3 kPa, 3.6 kPa and 5.8 kPa, respectively, and the moisture contents of the upper, middle and lower parts clay were 24.2%, 24.2% and 24.6% when the number of FTC, freezing temperature, and effective vertical stress were 5 times, − 15 °C and 30 kPa, respectively.
Table 5.
Undrained cohesion and moisture content results after FTC based on the orthogonal experiment.
| Runs |
(%) |
(%) |
(mm) |
(times) |
(℃) |
(kPa) |
(kPa) | (%) | ||||
|---|---|---|---|---|---|---|---|---|---|---|---|---|
| 0 | 20 | 90 | – | 5 | − 15 | 30 | 5.3 | 3.6 | 5.8 | 24.2 | 24.2 | 24.6 |
| 1 | 28 | 96 | 35 | 9 | − 5 | 50 | 6.4 | 3.3 | 3.3 | 27.3 | 27.6 | 27.6 |
| 2 | 28 | 93 | 30 | 7 | − 10 | 40 | 5.3 | 3.6 | 3.4 | 25.7 | 25.9 | 26.6 |
| 3 | 28 | 90 | 25 | 5 | − 15 | 30 | 6.5 | 4.3 | 6.6 | 23.2 | 24.6 | 24.2 |
| 4 | 28 | 87 | 20 | 3 | − 20 | 20 | 6.0 | 7.6 | 7.0 | 22.7 | 22.1 | 22.4 |
| 5 | 28 | 84 | 15 | 1 | − 25 | 10 | 8.6 | 8.1 | 7.6 | 23.1 | 22.5 | 22.8 |
| 6 | 24 | 96 | 30 | 5 | − 20 | 10 | 5.3 | 3.3 | 3.3 | 25.2 | 25.6 | 25.2 |
| 7 | 24 | 93 | 25 | 3 | − 25 | 50 | 7.7 | 8.1 | 7.6 | 25.4 | 24.7 | 25.3 |
| 8 | 24 | 90 | 20 | 1 | − 5 | 40 | 7.9 | 9.7 | 8.9 | 23.1 | 23.0 | 23.1 |
| 9 | 24 | 87 | 15 | 9 | − 10 | 30 | 5.3 | 4.6 | 4.4 | 24.9 | 26.5 | 26.8 |
| 10 | 24 | 84 | 35 | 7 | − 15 | 20 | 5.6 | 5.1 | 3.1 | 26.2 | 26.5 | 26.8 |
| 11 | 20 | 96 | 25 | 1 | − 10 | 20 | 6.4 | 7.5 | 6.4 | 23.7 | 23.3 | 23.7 |
| 12 | 20 | 93 | 20 | 9 | − 15 | 10 | 5.6 | 4.7 | 4.5 | 24.9 | 26.4 | 26.5 |
| 13 | 20 | 90 | 15 | 7 | − 20 | 50 | 5.3 | 5.0 | 4.9 | 25.8 | 25.9 | 27.3 |
| 14 | 20 | 87 | 35 | 5 | − 25 | 40 | 7.6 | 5.4 | 7.0 | 24.3 | 24.6 | 24.4 |
| 15 | 20 | 84 | 30 | 3 | − 5 | 30 | 5.3 | 5.0 | 5.1 | 22.6 | 22.4 | 22.5 |
| 16 | 16 | 96 | 20 | 7 | − 25 | 30 | 9.8 | 8.4 | 8.3 | 23.6 | 25.5 | 25.8 |
| 17 | 16 | 93 | 15 | 5 | − 5 | 20 | 8.5 | 7.4 | 6.3 | 24.8 | 25.2 | 25.9 |
| 18 | 16 | 90 | 35 | 3 | − 10 | 10 | 6.5 | 10.2 | 8.5 | 24.8 | 23.9 | 24.2 |
| 19 | 16 | 87 | 30 | 1 | − 15 | 50 | 6.5 | 7.5 | 6.6 | 25.7 | 25.1 | 25.7 |
| 20 | 16 | 84 | 25 | 9 | − 20 | 40 | 5.2 | 3.2 | 3.0 | 24.8 | 26.4 | 26.6 |
| 21 | 12 | 96 | 15 | 3 | − 15 | 40 | 6.5 | 8.5 | 7.1 | 23.2 | 23.0 | 23.2 |
| 22 | 12 | 93 | 35 | 1 | − 20 | 30 | 6.4 | 6.3 | 6.3 | 22.5 | 21.1 | 21.3 |
| 23 | 12 | 90 | 30 | 9 | − 25 | 20 | 9.7 | 8.2 | 7.8 | 25.3 | 26.4 | 27.8 |
| 24 | 12 | 87 | 25 | 7 | − 5 | 10 | 7.7 | 7.2 | 5.9 | 24.8 | 25.6 | 25.7 |
| 25 | 12 | 84 | 20 | 5 | − 10 | 50 | 6.4 | 4.2 | 4.1 | 23.5 | 24.0 | 25.4 |
where, is initial moisture content, %; is compaction degree, %; is reinforced spacing, mm; is number of FTC, times; is freezing temperature, ℃; is effective vertical stress, kPa; , and are the undrained cohesion of the upper, middle and lower parts of the clay after FTC, kPa; , and are the moisture content of the upper, middle and lower parts of the clay after FTC, %; There is no geogrid reinforcement of Run 0.
Effect of F–T on the clay’s undrained cohesion
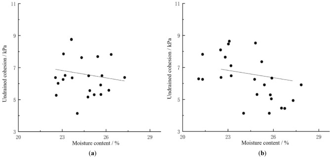
In order to explore how the reinforced spacing changes the undrained cohesion of clay after FTC, this study took the values of undrained cohesion and moisture content as the abscissa and ordinate to draw a scatter plot (shown in Fig. 9).
Figure 9.
Relation curve of moisture content and undrained cohesion.
According to the relationship between undrained cohesion and moisture content shown in Fig. 9, undrained cohesion and moisture content were negatively correlated. The test indices of reinforced soil at each height were compared with those of unreinforced soil. It could be concluded that the cohesive force at each height of reinforced soil was significantly enhanced and the corresponding moisture content decreased. As the reinforcement spacing decreased, the cohesion of the reinforced soil showed an increasing trend. Higher undrained cohesion and lower moisture content were conducive to enhancing the shear strength of soil, thus improving the stability of soil after F–T. This study took the values of undrained cohesion and moisture content as the abscissa and ordinate after FTC in conditions of two layers (reinforced spacing was 250 mm) and three layers (reinforced spacing was 150 mm) to draw a scatter plot (shown in Fig. 10). The trend line equations were shown as Eqs. (4) and (5).
| 4 |
| 5 |
where, is moisture content after FTC, %; , and are the undrained cohesion of the upper, middle and lower parts in the clay when there have two layers geogrids (reinforced spacing is 250 mm), and , and are the undrained cohesion of the upper, middle and lower parts in the clay when there have three layers geogrids (reinforced spacing is 150 mm), kPa.
Figure 10.
Relation curve of undrained cohesion and moisture content.
According to Eqs. (4) and (5), the undrained cohesion of clay with 150 mm reinforced spacing was better than another method when the moisture content values of the upper, middle, and lower parts of the clay were less than 24.6%, 25.8%, and 27.0%, respectively. Wang et al. reached the same conclusion: the cohesion of reinforced soil increased with the increase in the number of reinforcement layers, and three layers of reinforcement were able to synergistically enhance soil strength30. Therefore, reducing the reinforced spacing could increase the undrained cohesion of the clay when the moisture content was less than 24.6%, which was beneficial for enhancing the shear strength of the clay and ensuring the safety and stability of the engineering projects built in the seasonal frozen area. Demir et al.52 received a consistent conclusion that reinforcement could increase the strength of the soil structure and reduction of reinforced spacing was beneficial to improving the cohesion of soft clay.
Regression analysis
According to the results in Table 4, using SPSS software to fit regression equations for undrained cohesion and moisture content in each part of the clay after FTC, which are presented in Table 6,
| 6 |
where: is cohesive force, kPa; is internal friction angle, °; is moisture content, %; are in order of initial moisture content, %; initial compaction, %; reinforcement spacing, mm; number of freeze-thaws, times; freezing temperature, °C; upper load, kPa; are the regression coefficients of constant term, quadratic term and interaction term in turn.
Table 6.
Regression equations for undrained cohesion and moisture content after FTC.
| Physical properties | Regression equations | |
|---|---|---|
| Undrained cohesion after FTC | ||
| Upper | 0.801 | |
| Middle | 0.809 | |
| Lower | 0.815 | |
| Moisture content after FTC | ||
| Upper | 0.822 | |
| Middle | 0.928 | |
| Lower | 0.904 | |
According to the undrained cohesion regression equations, it could be concluded that the coefficients before compaction degree and freezing temperature in the lower and middle parts of the clay’s equations were opposite to those in the upper part of the clay’s equation. The reason for this might be that the lower and middle parts of the clay were more affected by the initial moisture content and experienced more intense water absorption than the upper part of the clay during the FTC, and higher compaction degree and freezing temperature were more conducive to water absorption. The redistribution of moisture within the soil leads to a decrease in undrained cohesion. In the process of F–T, inadequate thawing led to a decrease in the moisture content of the lower part clay, so there was a negative coefficient before the initial moisture content in the regression equation of the lower part clay’s moisture content after FTC.
Table 7 showed that the values of the model for undrained cohesion and moisture content after FTC were less than 0.01 and the values of the model for undrained cohesion and moisture content after FTC were bigger than 2 which meant that the regression analysis reached to a very significant level, and the equations for undrained cohesion and moisture content were statistically significant. The regression equations for optimization and prediction were considered reasonable. Then, analyzed the effect of each factor on undrained cohesion and moisture content, and showed the interaction between the influencing factors.
Table 7.
Significant analysis of the influence of six factors on undrained cohesion and moisture content of the clay.
| Response variable | Source | Coefficient | value | Significance |
|---|---|---|---|---|
| Model | 0.002 | ** | ||
| 0.615 | 0.000 | ** | ||
| 0.022 | 0.000 | ** | ||
| Model | 0.001 | ** | ||
| − 0.616 | 0.001 | ** | ||
| − 0.120 | 0.012 | * | ||
| − 0.577 | 0.000 | ** | ||
| − 0.373 | 0.001 | ** | ||
| 0.017 | 0.002 | ** | ||
| Model | 0.001 | ** | ||
| − 0.542 | 0.001 | ** | ||
| − 0.109 | 0.009 | ** | ||
| − 0.511 | 0.000 | ** | ||
| − 0.125 | 0.003 | ** | ||
| − 0.337 | 0.001 | ** | ||
| 0.016 | 0.001 | ** | ||
| Model | 0.001 | ** | ||
| 0.053 | 0.030 | * | ||
| 0.253 | 0.000 | ** | ||
| − 0.185 | 0.005 | ** | ||
| 0.003 | 0.002 | ** | ||
| Model | 0.000 | ** | ||
| 0.500 | 0.000 | ** | ||
| − 0.128 | 0.050 | * | ||
| 0.002 | 0.031 | * | ||
| Model | 0.000 | ** | ||
| 0.520 | 0.000 | ** | ||
| 0.003 | 0.021 | * |
where, “*” means generally significant difference at < 0.05 level; “**” means extremely significant difference at < 0.01 level; values of the model for undrained cohesion , , and moisture content , , were 5.703, 5.910, 6.090, 6.299, 11.719 and 9.940, respectively.
Based on the significant analysis of the influence of all factors on the undrained cohesion and moisture content of the clay after FTC, which is shown in Table 7. For undrained cohesion, the influence of freezing temperatures on the undrained cohesion of upper and lower parts of clay was extremely significant. The influence of the initial moisture content on the undrained cohesion of the middle and lower parts of the clay was extremely significant. The reinforced spacing had a significant influence on the undrained cohesion of the middle part of the clay and an extremely significant influence on the undrained cohesion of the lower part of the clay. The influence of the number of FTC and the interaction between the initial moisture content and effective vertical stress on the undrained cohesion of the middle and lower parts of the clay were extremely significant. For moisture content, the number of FTC had an extremely significant influence on the moisture content of the upper, middle, and lower parts of the clay. The effective vertical stress had an extremely significant influence on the upper part of the clay’s moisture content and a significant influence on the middle and lower parts of the clay’s moisture content. The reinforced spacing only had a significant influence on the upper part of the clay’s moisture content.
The coefficients before terms of reinforced spacing and number of FTC in the regression equations of undrained cohesion were less than zero, indicating that the clay’s undrained cohesion would increase as reinforced spacing and number of FTC decreased. These coefficients in the moisture content regression equations were greater than zero, confirming that the moisture content after FTC decreases with decrease of reinforced spacing and number of FTC. The same conclusions could be obtained from the influence of the initial moisture content on the upper and middle parts of clay, and the compaction degree and freezing temperature on the middle and lower parts of clay. This conclusion could be drawn from the influence of effective vertical stress on the middle and lower parts of clay when the initial moisture content was higher than 21.9%. Gandahl et al.37 and Viklander et al.53 concluded that changes in soil structure and particle composition result in a decrease in undrained cohesion as number of FTC increase. Liu et al.33 found that FTC caused the increase of moisture content and decrease of cohesion in clay. Hu et al.41 discovered that as freezing temperatures and number of FTC decreased, clay cohesion decreased, which was consistent with the preceding conclusions. Both the coefficients of initial moisture content and reinforced spacing were less than 0, which indicated that reducing the initial moisture content and the reinforced spacing could increase soil’s undrained cohesion after FTC.
The standardization coefficients in the regression analysis could be used to judge the influencing order of six factors on the undrained cohesion and moisture content of the clay after FTC. The influencing action of the factor was great when the absolute value of the standardization coefficients was large. On the basis of regression equations for upper, middle, and lower parts of clay’s undrained cohesion and moisture content, the standardized coefficients and the influencing order of six factors on the value of clay’s undrained cohesion and moisture content after FTC are shown in Table 8.
Table 8.
Ordination analysis of six factors on undrained cohesion and moisture content of the clay after FTC.
| Analysis results | Influencing factors | ||||||
|---|---|---|---|---|---|---|---|
| Standardized coefficients | − 0.259 | 0.142 | − 0.148 | − 0.114 | 3.219 | − 0.138 | |
| Influencing order | 2nd | 4th | 3rd | 6th | 1st | 5th | |
| Standardized coefficients | − 1.688 | − 0.12 | − 0.41 | − 0.79 | − 0.322 | − 2.554 | |
| Influencing order | 2nd | 6th | 4th | 3rd | 5th | 1st | |
| Standardized coefficients | − 1.705 | − 0.126 | − 0.43 | − 0.804 | − 0.494 | − 2.653 | |
| Influencing order | 2nd | 6th | 5th | 3rd | 4th | 1st | |
| Standardized coefficients | 0.143 | 0.149 | 0.302 | 0.581 | 0.073 | 2.128 | |
| Influencing order | 5th | 4th | 3rd | 2nd | 6th | 1st | |
| Standardized coefficients | 0.092 | 0.098 | 0.09 | 0.857 | 0.051 | − 1.098 | |
| Influencing order | 4th | 3rd | 5th | 2nd | 6th | 1st | |
| Standardized coefficients | − 0.008 | 0.062 | 0.02 | 0.832 | 0.019 | − 1.216 | |
| Influencing order | 6th | 3rd | 4th | 2nd | 5th | 1st | |
Consequently, for reinforced clay itself, the influencing order of these three factors on the undrained cohesion, from high to low, was initial moisture content, reinforced spacing, and compaction degree. It could be found that the effective vertical stress and number of FTC had a great effect on the moisture content. As the reinforcement spacing decreased, compaction increased, and initial moisture content decreased, it effectively enhanced the undrained cohesion of reinforced soil, thereby increasing soil strength and reducing damage caused by FTC. In the upper and lower parts of the clay, the influence of the reinforced spacing on the moisture content was more obvious than the action of the initial moisture content.
Optimal combination solutions
Reinforced clay would undergo many cycles of FTC at different freezing temperatures. As a result, it was unrealistic to use the same set of optimal influencing factor values to achieve the greatest clay undrained cohesion and the lowest moisture content in all possible FTC conditions. In this study, the freezing temperature and the number of FTC were − 15 °C and 5 times, respectively, using Matlab to calculate the optimized combinations of responses to the optimal combination of different parts. For the upper part of the clay, 12% initial moisture content, 96% compaction degree, 150 mm reinforced spacing, and 50 kPa effective vertical stress were chosen as the best reinforcement conditions due to high undrained cohesion of 6.8 kPa and low moisture content of 24.0%. For the middle and lower parts of the clay, high undrained cohesion of 10.6 kPa and 8.9 kPa, low moisture content of 24.3% and 26.2% could be achieved with reinforcement conditions of 28% initial moisture content, 84% compaction degree, 150 mm reinforced spacing, and 50 kPa effective vertical stress. For different clay heights, the optimal values of compaction degree and initial moisture content differ. However, the high effective vertical stress and small reinforced spacing were beneficial to obtaining the high undrained cohesion after FTC. These conclusions were consistent with the research results of Hu et al.41 and Roustaei et al.43.
We could infer that the liquid water was difficult to transfer to the upper part clay in the condition of low initial moisture content and high compaction degree compared to the high initial moisture content and low compaction degree, which realized the high undrained cohesion of upper part clay after FTC. Yu et al.15 and Li et al.54 recognized that the initial moisture content had significant negative effect on the strength of frozen soil, which was consistent with the above conclusion.
Conclusions
The orthogonal test (6 factors and 5 levels) and analysis of variance with the initial moisture content (%), compaction degree (%), reinforced spacing (mm), number of FTC (times), freezing temperature (°C), and effective vertical stress (kPa) as process parameters were used to predict undrained cohesion and moisture content of reinforced clay after FTC. The models were developed and subjected to an analysis of variance. The initial moisture content, reinforced spacing, number of FTC, and effective vertical stress significantly affected undrained cohesion in the middle and lower parts of the clay. The freezing temperature significantly affected the undrained cohesion in the upper and lower parts of the clay.
Matlab software was used to optimize all the reinforcement and FTC parameters for reinforced clay using selected response variables. Small initial moisture content (12%), high compaction degree (96%), small reinforced spacing (150 mm), and high effective vertical stress (50 kPa) constituted the upper part of the clay’s optimal combination value. A high initial moisture content (28%), low compaction degree (84%), small reinforced spacing (150 mm), and high effective vertical stress (50 kPa) were the best combinations of clay's middle and lower parts. Under the optimal reinforcement conditions, the undrained cohesion of the reinforced clay were 6.8 kPa for the upper part, 10.6 kPa for the middle part, and 8.9 kPa for the lower part. Based on the comprehensive findings, the introduction of reinforcement materials effectively improved the redistribution of moisture within the soil, with significant impacts on cohesion influenced by soil moisture content. As reinforcement spacing decreases, the cohesion of reinforced clay increased, enhancing soil strength and effectively mitigating FTC damage of geogried reinforced soils. The optimal combination values identified can serve as a reference for actual engineering projects in seasonal frozen area, and provided theoretical support for reducing the failure of engineering structures in seasonal frozen soil areas due to FTC.
Acknowledgements
The authors are grateful for the constructive advice received from the anonymous reviewers of this paper. The work described in this paper was partly supported by the Basic Research Project of Liaoning Provincial Department of Education (project approval No.:JYTYB2024064).
Author contributions
Rongfei Zhao was responsible for conceptualization and methodology. XinCheng Liu was responsible for data collation and writing-first draft preparation. Qi Li was in charge of visualization and investigation. Dan Jin was in charge of overseeing. Wei Gao was responsible for writing-proofreading and editing.
Funding
This study was supported by the Basic Research Project of Liaoning Provincial Department of Education (project approval No.:JYTYB2024064).
Data availability
The datasets generated during and/or analysed during the current study are available from the corresponding author on reasonable request.
Competing interests
The authors declare no competing interests.
Footnotes
Publisher's note
Springer Nature remains neutral with regard to jurisdictional claims in published maps and institutional affiliations.
These authors contributed equally to this work: Rongfei Zhao, Xincheng Liu, Qi Li, Dan Jin and Wei Gao.
References
- 1.Fan, W. H., Yang, P. & Wang, F. S. Study on meso-structure of silty clay before and after freeze-thaw. J. Forest Eng.39(3), 182–190. 10.3969/j.issn.1006-8023.2023.03.021 (2023). 10.3969/j.issn.1006-8023.2023.03.021 [DOI] [Google Scholar]
- 2.Kong, L. M., Wang, Y. S., Sun, W. J. & Qi, J. L. Influence of plasticity on unfrozen water content of frozen soils as determined by nuclear magnetic resonance. Cold Reg. Sci. Technol.172, 1–13. 10.1016/j.coldregions.2020.102993 (2020). 10.1016/j.coldregions.2020.102993 [DOI] [Google Scholar]
- 3.Tian, J. Y. Analysis of Mechanical Properties and Reinforcement Mechanism of Fiber Reinforced Soil under Freeze-Thaw Action (Northeast Forestry University, 2019). [Google Scholar]
- 4.Matsumura, S., Miura, S., Yokohama, S. & Kawamura, S. Cyclic deformation-strength evaluation of compacted volcanicsoil subjected to freeze-thaw sequence. Soils Found.55(1), 86–98. 10.1016/j.sandf.2014.12.007 (2015). 10.1016/j.sandf.2014.12.007 [DOI] [Google Scholar]
- 5.Huo, M., Wang, S. J., Zhang, J. Z. & Jin, L. Experimental study on influences of water content and temperature on mechanical properties of ice-rich frozen soil. J. Hydraul. Eng.41(10), 1165–1172. 10.1016/S1876-3804(11)60004-9 (2010). 10.1016/S1876-3804(11)60004-9 [DOI] [Google Scholar]
- 6.Qi, J. L. & Ma, W. State-of-art of research on mechanical properties of frozen soils. Rock Soil Mech.31(1), 133–143. 10.3969/j.issn.1000-7598.2010.01.025 (2010). 10.3969/j.issn.1000-7598.2010.01.025 [DOI] [Google Scholar]
- 7.Wang, E. L., Jiang, H. Q., Fu, Q., Cui, E. T. & Xie, F. Experiment on effect of freezing and thawing on physical and mechanical properties of saturated channel foundation soil. Trans. Chin. Soci. Agric. Mach.49(3), 288–294. 10.6041/j.issn.1000-1298.2018.03.034 (2018). 10.6041/j.issn.1000-1298.2018.03.034 [DOI] [Google Scholar]
- 8.Liu, J. Y., Huang, W., Gao, B. & Zhu, R. L. Experimental study on the compressive and shear strength of seasonal frozen soil in Dongning area, Heilongjiang province. J. Geol. and Resour.32(5), 592–598. 10.13686/j.cnki.dzyzy.2023.05.009 (2023). 10.13686/j.cnki.dzyzy.2023.05.009 [DOI] [Google Scholar]
- 9.De Guzman, E. M. B., Stafford, D., Alfaro, M. C., Doré, G. & Arenson, L. U. Large-scale direct shear testing of compacted frozen soil under freezing and thawing conditions. Cold Reg. Sci. Technol.3(11), 138–147. 10.1016/j.coldregions.2018.03.011 (2018). 10.1016/j.coldregions.2018.03.011 [DOI] [Google Scholar]
- 10.He, L. H., Wang, N. & Shi, X. F. Preliminary disussion of studying methods about frozen soil structural character. Rock Soil Mech.24(s2), 148–152. 10.16285/j.rsm.2003.s2.034 (2003). 10.16285/j.rsm.2003.s2.034 [DOI] [Google Scholar]
- 11.Wang, D. Y., Ma, W., Chang, X. X., Niu, Y. H. & Wen, Z. Effect of freezing and thawing cycle on physical and mechanical properties of Qingzang clay. Chin. J. Rock Mech. Eng.24(23), 4313–4319. 10.3321/j.issn:1000-6915.2005.23.018 (2005). 10.3321/j.issn:1000-6915.2005.23.018 [DOI] [Google Scholar]
- 12.Su, Q., Tang, D. J. & Liu, S. Test on physical-mechanical properties of Qinghai-Tibet slope clay under freezing- thawing cycles. Chin. J. Rock Mech. Eng.27(s1), 2990–2994 (2008). [Google Scholar]
- 13.Wang, X. B., Yang, P., Wang, H. B. & Dai, H. M. Experimental study on the effects of freezing and thawing on mechanical properties of clay. Chin. J. Geotech. Eng.31(11), 1768–1772. 10.1016/S1874-8651(10)60073-7 (2009). 10.1016/S1874-8651(10)60073-7 [DOI] [Google Scholar]
- 14.Tong, C. J. & Guan, F. N. Soil Freezing and Protective Measures of Freeze Injury of Construction (China Water & Power Press, 1985). [Google Scholar]
- 15.Yu, L. L., Xu, X. Y., Qiu, M. G., Yan, Z. L. & Li, P. F. Influence of freeze-thaw on shear strength properties of saturated silty clay. Rock Soil Mech.31(8), 2448–2452. 10.16285/j.rsm.2010.08.052 (2010). 10.16285/j.rsm.2010.08.052 [DOI] [Google Scholar]
- 16.Viran, P. A. G. & Binal, A. Effects of repeated freeze-thaw cycles on physico-mechanical properties of cohesive soils. Arab. J. Geosci.11, 250. 10.1007/s12517-018-3592-5 (2018). 10.1007/s12517-018-3592-5 [DOI] [Google Scholar]
- 17.Hotineanu, A., Bouasker, M., Aldaood, A. & Al-Mukhtar, M. Effect of freeze-thaw cycling on the mechanical properties of lime-stabilized expansive clays. Cold Reg. Sci. Technol.154, 155–165. 10.1016/j.coldregions.2015.08.008 (2018). 10.1016/j.coldregions.2015.08.008 [DOI] [Google Scholar]
- 18.Fang, Q. Y., Chai, X. S., Li, M. & Wei, L. Influence of freezing-thawing cycles on compressive strength and deformation of solidified saline soil. Chin. J. Rock Mech. Eng.35(5), 1041–1047. 10.13722/j.cnki.jrme.2015.1078 (2016). 10.13722/j.cnki.jrme.2015.1078 [DOI] [Google Scholar]
- 19.Shibi, T. & Kamei, T. Effect of freeze-thaw cycles on the strength and physical properties of cement-stabilized soil containing recycled bassanite and coal ash. Cold Reg. Sci. Technol.106, 36–45. 10.1016/j.coldregions.2014.06.005 (2014). 10.1016/j.coldregions.2014.06.005 [DOI] [Google Scholar]
- 20.Aldaood, A., Bouasker, M. & Mukhtar, M. Impact of freeze-thaw cycles on mechanical behavior of lime stabilized gypseous soils. Cold Reg. Sci. Technol.99, 38–45. 10.1061/(ASCE)MT.1943-5533.0001509 (2014). 10.1061/(ASCE)MT.1943-5533.0001509 [DOI] [Google Scholar]
- 21.Mahya, R., Mahdi, S., Ehsan, T. & Meysam, B. Compressive and tensile strength of nano-clay stabilised soil subjected to repeated freeze-thaw cycles. Stud. Geotech. Mech.45(3), 221–230. 10.2478/sgem-2023-0009 (2023). 10.2478/sgem-2023-0009 [DOI] [Google Scholar]
- 22.Kakroudi, H. A., Bayat, M. & Nadi, B. Static and dynamic characteristics of silty sand treated with nano-silica and basalt fiber subjected to freeze-thaw cycles. Geom. Eng.37(1), 85–95. 10.12989/gae.2024.37.1.085 (2024). 10.12989/gae.2024.37.1.085 [DOI] [Google Scholar]
- 23.Al-Omari, R. R., Fattah, M. Y. & Ali, H. A. Treatment of soil swelling using geogrid reinforced columns. Ital. J. Geosci.135(1), 83–94. 10.3301/IJG.2014.54 (2016). 10.3301/IJG.2014.54 [DOI] [Google Scholar]
- 24.Nareeman, B. J. & Fattah, M. Y. Effect of soil reinforcement on shear strength and settlement of cohesive- frictional soil. Int. J. Geomate.3(1), 308–313 (2012). [Google Scholar]
- 25.Meng, Y., Xu, C., Li, G. Y. & Du, C. X. Research status of the effect of freeze-thaw cycles on the pro-perties of reinforced soil structure. Sci. Technol. Eng.23(27), 11496–11504. 10.12404/j.issn.1671-1815.2023.23.27.11496 (2023). 10.12404/j.issn.1671-1815.2023.23.27.11496 [DOI] [Google Scholar]
- 26.Zhao, Y. F. & Du, Z. T. Numerical analysis of geogrid reinforcement to improve the strength of soil subgrade. Const. Mach.06, 250–253. 10.14189/j.cnki.cm1981.2024.06.033 (2024). 10.14189/j.cnki.cm1981.2024.06.033 [DOI] [Google Scholar]
- 27.Du, W., Nie, R. S., Qi, Y. L., Ruan, B. & Mo, F. Investigation on the static performance of geogrid reinforced aeolian sand railway embankment: Field test and discrete element simulation. Geotext. Geomembr.52(4), 736–752. 10.1016/J.GEOTEXMEM.2024.03.012 (2024). 10.1016/J.GEOTEXMEM.2024.03.012 [DOI] [Google Scholar]
- 28.Tang, F. C., Zhang, W. Y., Tang, X. & Liu, C. K. Study on the dynamic characteristics of geogrid reinforced loess under cyclic loading. Water Resour. Hydropow. Eng.55(03), 148–161. 10.13928/j.cnki.wrahe.2024.03.013 (2024). 10.13928/j.cnki.wrahe.2024.03.013 [DOI] [Google Scholar]
- 29.Hussain, S. M., Shaban, M. A. & Hussein, H. H. Geogrid reinforcement for improving bearing capacity and stability of square foundations. Open Eng.14(1), 20240021. 10.1515/eng-2024-0021 (2024). 10.1515/eng-2024-0021 [DOI] [Google Scholar]
- 30.Wang, X., Hu, Q. Z., Liu, Y. M. & Tao, G. L. Triaxial test and discrete element numerical simulation of geogrid-reinforced clay soil. Bldgs.14(5), 1422. 10.3390/buildings14051422 (2024). 10.3390/buildings14051422 [DOI] [Google Scholar]
- 31.Lv, Q. L. et al. Change of mechanical strength of lo-ess in Ili region underdifferent freeze-thaw cycles and moisture contents. J. Eng. Geol.31(4), 1269–1281. 10.13544/j.cnki.jeg.2023-0233 (2023). 10.13544/j.cnki.jeg.2023-0233 [DOI] [Google Scholar]
- 32.Yang, Z., Ji, H. L., Li, C., Mu, X. Y. & Li, P. S. Effect of freezing-thawing action on the macro-micro properties of bank slope soil and bank stability. J. Hydraul. Eng.54(6), 706–716. 10.13243/j.cnki.slxb.20220606 (2023). 10.13243/j.cnki.slxb.20220606 [DOI] [Google Scholar]
- 33.Liu, H. B., Zhang, H. Z. & Wang, J. Effect of freeze-thaw and water content on mechanical properties of compacted clayey soil. Rock Soil Mech.39(1), 158–164. 10.16285/j.rsm.2017.0546 (2018). 10.16285/j.rsm.2017.0546 [DOI] [Google Scholar]
- 34.Zheng, F., Shao, S. J. & Wang, S. H. Effect of freeze-thaw cycles on the strength behavior of recompacted loess in true triaxial tests. Cold Reg. Sci. Technol.181, 1–19. 10.1016/j.coldregions.2020.103172 (2021). 10.1016/j.coldregions.2020.103172 [DOI] [Google Scholar]
- 35.Noorzad, R. & Mirmoradi, S. H. Laboratory evaluation of the behavior of a geotextile reinforced clay. Geotext. Geomembranes.28(4), 386–392. 10.1016/j.geotexmem.2009.12.002 (2010). 10.1016/j.geotexmem.2009.12.002 [DOI] [Google Scholar]
- 36.Wu, J. J. et al. Reaearch progress on shallow instablility of expansive soil slopes and its prevention and treatment. Ind. Constr.2023, 1–13. 10.13204/j.gyjzG23011208 (2023). 10.13204/j.gyjzG23011208 [DOI] [Google Scholar]
- 37.Gandahl, R. The damaging effects of frost action in roads, overview of types of damage and preventive measures. In VTI Report No.230, 418-423, Linkoping, Sweden: Swedish Road and Traffic Research Institute (1980).
- 38.Zhao, R. F. et al. Factors effecting the freeze thaw process in soils and reduction in damage due to frosting with reinforcement: A review. B. Eng. Geol. Environ.78(7), 5001–5010. 10.1007/s10064-018-1430-3 (2019). 10.1007/s10064-018-1430-3 [DOI] [Google Scholar]
- 39.Chamberlain, E. J. & Gow, A. J. Effect of freezing and thawing on the permeability and structure of soils. Eng. Geol.13(1–4), 73–92. 10.1016/0013-7952(79)90022-X (1979). 10.1016/0013-7952(79)90022-X [DOI] [Google Scholar]
- 40.Zhao, R. F., Gao, W., Mi, Y. N. & Jin, D. Analysis of working performance of grid reinforced clay embankment after multiple freeze-thaw cycles. J. Glaciol. Geocryol.36(6), 1490–1495. 10.7522/j.issn.1000-0240.2014.0178 (2014). 10.7522/j.issn.1000-0240.2014.0178 [DOI] [Google Scholar]
- 41.Hu, T. F., Liu, J. K., Fang, J. H., Chang, D. & Liu, D. W. Experimental study on the effect of cyclic freezing-thawing on mechanical properties of silty clay with different degrees of compaction. Chin. J. Rock Mech. Eng.36(6), 1495–1503. 10.13722/j.cnki.jrme.2016.1051 (2017). 10.13722/j.cnki.jrme.2016.1051 [DOI] [Google Scholar]
- 42.Ghazavi, M. & Roustaei, M. Freeze-thaw performance of clayey soil reinforced with geotextile layer. Cold Reg. Sci. Technol.89, 22–29. 10.1016/j.coldregions.2013.01.002 (2013). 10.1016/j.coldregions.2013.01.002 [DOI] [Google Scholar]
- 43.Roustaei, M., Eslami, A. & Ghazavi, M. Effects of freeze-thaw cycles on a fiber reinforced fine grained soil in relation to geotechnical parameters. Cold Reg. Sci. Technol.120(1), 127–137. 10.1016/j.coldregions.2015.09.011 (2015). 10.1016/j.coldregions.2015.09.011 [DOI] [Google Scholar]
- 44.Abdia, M. R. & Zandieh, A. R. Experimental and numerical analysis of large scale pull out tests conducted on clays reinforced with geogrids encapsulated with coarse material. Geotext. Geomembranes.42(5), 494–504. 10.1016/j.geotexmem.2014.07.008 (2014). 10.1016/j.geotexmem.2014.07.008 [DOI] [Google Scholar]
- 45.Wang, J. Q., Zhou, Y. F., Lu, M. L. & Li, L. Pull-out test and analysis on geogrid mechanical characteristics. J. Guangxi Univ. Nat Sci. Ed.41(1), 134–140. 10.13624/j.cnki.issn.1001-7445.2016.0134 (2016). 10.13624/j.cnki.issn.1001-7445.2016.0134 [DOI] [Google Scholar]
- 46.Kravchenko, E., Liu, J. K., Niu, W. W. & Zhang, S. J. Performance of clay soil reinforced with fibers subjected to freeze-thaw cycles. Cold Reg. Sci. Technol.153(10), 18–24. 10.1016/j.coldregi-ons.2018.05.002 (2018). 10.1016/j.coldregi-ons.2018.05.002 [DOI] [Google Scholar]
- 47.China Academy of Architecture. Code for Design of Building Foundation (GB50007-2017) (Ministry of Housing and Urban-Rural Department of the People's Republic of China, 2017).
- 48.Department of Transport of Shaanxi Province. Technical Specifications for Construction of Highway Reinforced Earth Engineering (JTJ 035-91) (Ministry of Transport of the People’s Republic of China, 1991).
- 49.China Highway and Transportation Research Institute. Test Methods of Soils for Highway Engineering (JTG3430-2020) (Ministry of Transport of the People's Republic of China, 2020).
- 50.Hu, T. F., Liu, J. K., Fang, J. H., Chang, D. & Liu, D. W. Experimental study on the effect of cyclic freezing-thawing on mechanical properties of silty clay under different cooling temperatures. Chin. J. Rock Mech. Eng.36(7), 1757–1767. 10.13722/j.cnki.jrme.2016.1051 (2017). 10.13722/j.cnki.jrme.2016.1051 [DOI] [Google Scholar]
- 51.Lu, W. N. Research on the mohr theory of strength in the light of strain energy. J. Earth Sci. Environ.02, 47–52. 10.19814/j.jese.1985.02.006 (1985). 10.19814/j.jese.1985.02.006 [DOI] [Google Scholar]
- 52.Demir, A., Yildiz, A., Laman, M. & Ornek, M. Experimental and numerical analyses of circular footing on geogrid-reinforced granular fill underlain by soft clay. Acta. Geotech.9, 711–723. 10.1007/s11440-013-0207-x (2014). 10.1007/s11440-013-0207-x [DOI] [Google Scholar]
- 53.Viklander, P. Permeability and volume changes in till due to cyclic freeze/thaw. Can. Geotech. J.35(3), 471–477. 10.1139/cgj-35-3-471 (1998). 10.1139/cgj-35-3-471 [DOI] [Google Scholar]
- 54.Li, S. Q., Gao, L. X. & Chai, S. X. Significance and interaction of factors on mechanical properties of frozen soil. Rock Soil Mech.33(4), 1173–1177. 10.3969/j.issn.1000-7598.2012.04.031 (2012). 10.3969/j.issn.1000-7598.2012.04.031 [DOI] [Google Scholar]
- 55.ASTM. Standard Practice for Classification of Soils for Engineering Purposes D2487 (Unified Soil Classification System, 2010).
- 56.Meng, Y. & Xu, C. Effects of freeze-thaw cycles on the tensile properties of geogrids and shear beh-avior of geogrid-soil interface. IOP Conf. Ser. Earth Environ. Sci.1335(1), 012003. 10.1088/1755-1315/1335/1/012003 (2024). 10.1088/1755-1315/1335/1/012003 [DOI] [Google Scholar]
- 57.Wan, Q., Yang, X. H., Wang, R. & Zhu, Z. H. Dynamic deformation and meso-structure of coarse-grained saline soil under cyclic loading with freeze-thaw cycles. Front. Earth Sci.2024, 12. 10.3389/feart.2024.1361620 (2024). 10.3389/feart.2024.1361620 [DOI] [Google Scholar]
- 58.Chen, Q. M., Ghimire, B., Su, L. B. & Liu, Y. Micro-scale investigations on the mechanical properties of expansive soil subjected to freeze-thaw cycles. Cold Reg. Sci. Technol.219, 104–128. 10.1016/j.coldregions.2024.104128 (2024). 10.1016/j.coldregions.2024.104128 [DOI] [Google Scholar]
- 59.Zhu, J. S., Mohammad, S., Jie, L., Tariq, M. & Wei, Y. Performance of clay soil reinforced with PET plastic waste subjected to freeze-thaw cycles for pavement subgrade application. Cold Reg. Sci. Technol.214, 103957. 10.1016/j.coldregions.2023.103957 (2023). 10.1016/j.coldregions.2023.103957 [DOI] [Google Scholar]
- 60.Ma, Z., Xing, Z., Zhao, Y. Y. & Hu, Y. R. Dynamic strength characteristics of cement-improved silty clay under the effect of freeze-thaw cycles. Sustain15(4), 3333. 10.3390/SU15043333 (2023). 10.3390/SU15043333 [DOI] [Google Scholar]
Associated Data
This section collects any data citations, data availability statements, or supplementary materials included in this article.
Data Availability Statement
The datasets generated during and/or analysed during the current study are available from the corresponding author on reasonable request.







