Abstract
Direct encounters, in which two or more individuals are physically close to one another, are a topic of increasing interest as more and better movement data become available. Recent progress, including the development of statistical tools for estimating robust measures of changes in animals’ space use over time, facilitates opportunities to link direct encounters between individuals with the long-term consequences of those encounters. Working with movement data for coyotes (Canis latrans) and grizzly bears (Ursus arctos horribilis), we investigate whether close intraspecific encounters were associated with spatial shifts in the animals’ range distributions, as might be expected if one or both of the individuals involved in an encounter were seeking to reduce or avoid conflict over space. We analyze the movement data of a pair of coyotes in detail, identifying how a change in home range overlap resulting from altered movement behavior was apparently a consequence of a close intraspecific encounter. With grizzly bear movement data, we approach the problem as population-level hypothesis tests of the spatial consequences of encounters. We find support for the hypotheses that (1) close intraspecific encounters between bears are, under certain circumstances, associated with subsequent changes in overlap between range distributions and (2) encounters defined at finer spatial scales are followed by greater changes in space use. Our results suggest that animals can undertake long-term, large-scale spatial changes in response to close intraspecific encounters that have the potential for conflict. Overall, we find that analyses of movement data in a pairwise context can (1) identify distances at which individuals’ proximity to one another may alter behavior and (2) facilitate testing of population-level hypotheses concerning the potential for direct encounters to alter individuals’ space use.
Supplementary Information
The online version contains supplementary material available at 10.1186/s40462-024-00501-w.
Keywords: GPS tracking data, Canis latrans, Ursus arctos horribilis, Spatial overlap, Perceptual range, Continuous-time movement modeling
Introduction
Animals’ use of space can be affected by many factors [55], including physical features (waterbodies, highways), food resources [8, 43], social systems [22], and escape cover and travel routes [45]. These factors can affect the intensity of space use within home ranges as well as the location of home range boundaries. In some cases, memory-based movement processes can lead to non-territorial spatial segregation in the absence of interactions between individuals (e.g., [48]), but in other scenarios, perhaps the most important factor determining territoriality is the presence of nearby conspecifics [4, 50]. Species might actively defend their territories [46], avoid areas in which they have a high probability of encountering neighboring individuals [34], or be more alert when they move through possible encounter areas [54]. The importance of intraspecific interactions is well demonstrated by mechanistic home range analysis, which accurately predicts spatial conformation of individual home ranges by modelling the impact of indirect interactions, such as scent marking, on the formation, structure and maintenance of home range boundaries [36, 37]. That these deterministic, interaction-based models can accurately predict the spatial configuration of individual home ranges highlights the importance of interactions in governing patterns of space use [11].
Studies of encounters between animals has a long history in ecology, with Doncaster [10] providing early key insights via methods for quantifying overlap and encounters from tracking data. More recently, Joo et al. [25] reviewed approaches for studying species exhibiting collective motion, scenarios in which pairwise encounters may be more common but also highly dynamic in time. Yet, for many animal species and ecological contexts, direct encounters are relatively rare and difficult to study. However, identifying encounters and quantifying their consequences have become a topic of increasing interest in spatial ecology as more and better movement data become available [5, 7, 9, 26, 42, 44, 51]. Direct encounters between individuals also play a central role in evolutionary theory regarding territoriality, including considerations of the influence of cost-avoidance on behavior [32, 52]. Tests of such ideas have historically been difficult to evaluate on the spatial scales typical of the home ranges of large mammals. This difficulty stems from the joint needs to first, identify that an encounter between individuals has taken place, and second, observe individuals long enough both before and after the encounter to have a clear view of the consequences. Relatively recent developments in movement ecology, such as the widespread availability of movement tracks with high temporal resolution [38] and the development of statistical tools for estimating robust measures of changes in space use over time [53], hold promise for resolving this knowledge gap. Ecologists are now in a better position to identify encounter events, quantify the impacts of encounters on the individuals involved, and interpret those results in the context of theoretical predictions regarding space use.
Some work in this direction has already begun. For example, working in a landscape with several species of mammalian carnivores, Ruprecht et al. [49] demonstrated how scavenging at kill sites increased opportunities for interspecific encounters, resource-transfer, and mortality events. Klauder et al. [28] and Périquet et al. [42] also explored encounters between individual predators in association with carrion, with the latter study discussing how encounters between individuals of different carnivore species at carrion or waterholes may lead to local-scale displacement of one or more of the individuals involved in the encounter. Noonan et al. [40] developed methods for analyzing animal movement data to identify the locations within a set of nearby home ranges at which individuals were likely to encounter one another and further demonstrated that known encounters fell within zones of heightened encounter probability.
Several models have examined the likelihood and location of encounters taking place as a function of animal movement behaviors. For example, Gurarie and Ovaskainen [20] examined scenarios involving encounters between foragers and stationary prey, leading to a taxonomy of encounter processes. Laidre et al. [29] identified sex-based differences in the movement patterns of polar bears, finding that males’ more tortuous movements reduced the rate of male–male encounters, while having little impact on male–female encounters. Martinez-Garcia et al. [31] analyzed stochastic models of pairs of moving animals, demonstrating how range-residency and a non-local perceptual range can alter the probability of pairwise encounters.
Despite progress on both theoretical and empirical fronts, much remains to be explored concerning the relationship between direct encounters and home range usage in animals [40]. Here, we examine the connection between close intraspecific encounters and home range dynamics. Working with movement track data for two species of mammalian carnivores, we investigate whether close intraspecific encounters were associated with any changes in the spatial overlap between range distributions. To do this, we leverage recently developed methods for population-level analyses of home range distributions [19] demonstrating two different approaches to the question of whether close encounters lead to changes in range overlap. First, we analyze the movement data of one such encounter pair in detail, identifying how a change in home range overlap resulting from altered movement behavior was apparently a consequence of a close intraspecific encounter. Second, in a separate analysis, we approach the problem in the context of population-level hypothesis tests. Working with a set of encounter pairs within a population, we (1) test the hypothesis that close intraspecific encounters are, on average, associated with changes in overlap between range distributions, (2) explore how seasonality, sex, and the presence of young influence the spatial consequences of such encounters, and (3) gauge the importance of the encounter threshold distance that defines an encounter.
Materials and methods
Tracking data
To investigate evidence for changes in the overlap between animals’ home ranges before and after direct encounters, we used available GPS tracking data from Movebank.org [60]. We considered two datasets, each for a different purpose. First, for a detailed analysis of movement and space use associated with an encounter in a dataset with high temporal resolution for an extended duration, we considered movement tracks for a pair of adult (1 ♂, 1 ♀) coyotes (Canis latrans) from Ontario, Canada [58] (Table S1). This pair of coyotes was specifically chosen from among the much larger set of data collected by Wheeldon [58] because it included both a close encounter and sufficient ecological context to facilitate illustration and interpretation of the consequences of the encounter. Second, to illustrate how movement data for a large number of individuals in a population can be used to investigate whether encounters were, on average, associated with altered patterns of space use, we used a hypothesis testing framework working with a population of animal pairs, and considered data for N = 40 grizzly bears (Ursus arctos horribilis; 22 ♀; 18 ♂) living near Fernie in southwestern Canada near the border of British Columbia and Alberta [30] (Table S2). Roughly 21 to 29% of the adult grizzly population was collared in each year of the study. Grizzly bears are generally considered non-territorial in the sense that they do not actively defend spatial boundaries between individuals and allow spatial overlap with conspecifics at times [33]. In what follows, we explore the connection between encounters and space use, without any assumptions about territorial defense.
Identification of encounters and estimation of range distributions
Working with pairs of tracks, we used the distances() function in the R package ctmm [6] to estimate distances between pairs of individuals that resided near each other in the same geographic area over an extended period of time. The function ctmm:distances() is a robust distance estimation method that yields point estimates that are relatively unbiased due to effects of mismatched sampling times between tracks, irregular sampling rates, and location error. For our core analyses, two individuals were said to “encounter” one another if they came within 100 m of each other, and the time of the encounter was defined as the time at which there was the shortest distance between the pair of animals involved in the encounter. Our 100 m threshold for defining encounters, though ultimately arbitrary, is informed by previous studies. Specifically, 100 m is a highly conservative threshold compared to previous studies of carnivore encounter dynamics (800 m in [26], 500 m in [5] and [9], and 200 m in [42]). Though we focused the bulk of our results and discussion on this 100 m threshold, we also conducted a comparative analysis in which we considered encounter thresholds ranging from 50 to 500 m.
Once encounters were identified, we fit a series of continuous-time movement models to the tracking data for each individual in each pair before, and separately, after, the encounter. The fitted models included the Independent and Identically Distributed (IID) process, which features uncorrelated positions and velocities; the Ornstein–Uhlenbeck (OU) process, which features correlated positions but uncorrelated velocities (Uhlenbeck and Ornstein 1930); and an OU-Foraging (OUF) process, which features both correlated positions and correlated velocities [13, 14].
We followed procedures developed in Fleming et al. [18] and summarized in Silva et al. [53] for fitting these models using different maximum likelihood-based approaches depending on the amount of information that the movement tracks provided about space use. Movement tracks can be distinguished in terms of their home range effective sample size (hereafter, ESS, but not to be confused with evolutionarily stable strategy), which measures the information content in a tracking dataset with autocorrelation in comparison to the information content of a dataset with the same number of observations, but where all observations are independent. With analogies to the conceptual distinction between population size and effective population size in population genetics, the ESS of a range-resident movement track is always less (and sometimes dramatically less) than the number of observations in the movement track, with the magnitude of the decrease in ESS (relative to the same number of independent observations) being proportional to the strength of autocorrelation in the data. Thus, in the context of home range analysis, ESS is not a ‘number of datapoints’ measure, but is instead interpretable as the number of ‘home range crossing equivalents’ that occurred over the duration of the track. Roughly speaking, ESS is approximately the total duration of the tracking dataset divided by the characteristic home range crossing time. Following methods of Fleming et al. [18] and Silva et al. [53], bear encounters that resulted in one or more of the partial movement tracks (i.e., the portions of the track before or after the encounter) having ESS < 2 were excluded as data-deficient, whereas partial tracks with 2 < ESS < 5 were fit via bootstrapped perturbative hybrid residual maximum likelihood to reduce estimation biases as much as possible. We used AICc-based model selection to identify the best model for use in delineating each individual’s home range before versus after the encounter. Individuals that had an IID selected model were rechecked and refit.
We then used autocorrelated kernel density estimation (AKDE; [15, 16, 53]) to estimate each individual’s home range before versus after the encounter as the corresponding range distribution (RD) and uncertainty of that distribution for the best-fit movement model. As modern high-resolution animal tracking data have become increasingly available, traditional methods of home range estimation, such as calculation of minimum convex polygons or conventional kernel density estimation, have been demonstrated to be unsuitable [39]. AKDE is a statistically efficient method for estimation of home ranges of animals whose movement data includes autocorrelation, small sample size, and missing or irregular data [53].
Having obtained four RD estimates for each encounter (i.e., RDs for each individual in each pair both before and after the encounter), we sought to characterize differences between particular pairs of RDs. Specifically, we wanted to explore if (1) a given individual’s RD changed (by comparing the before encounter and after encounter RDs for that individual) and (2) if differences in space use between individuals changed in association with the encounter (by comparing the overlap between the two individuals’ RDs before the encounter against the overlap between the two individuals’ RDs after the encounter). We calculated differences between RDs using both the Bhattacharyya Distance [2, 61] and the proportional overlap. The Bhattacharyya Distance (BD,sometimes referred to as Bhattacharyya Affinity, which is equivalent is a unitless measure of dissimilarity between two probability distributions that takes values of zero for identical distributions and infinity for distributions with no shared support. Because of its probabilistic derivation, BD is readily incorporated into statistical tests. We also report results in terms of the Bhattacharyya Coefficient (BC) or ‘proportional overlap', which is zero for distributions with no shared support and 1 for identical distributions. In contrast to BD which has statistical utility, BC (proportional overlap) is more easily interpretable on both conceptual and visual grounds. Comparisons of individual distances, estimation of RDs, determination of BDs, and calculation of RD proportional overlaps were conducted using ctmm. Foundational code in ctmm for population-level analyses of RDs first appeared in association with Fleming et al. [19]. New code in ctmm created for this project allows for the propagation of individual-level uncertainties to calculations of population-mean BDs; these updates appear in ctmm version 1.1.0 involving the functions overlap() and meta().
Pair-level analysis: coyotes
We identified a pair of coyotes that, on 5/26/12, demonstrated a close (66 ± 1 m) encounter, which was about 1 order of magnitude closer than the animals came to each other at any other time during the 8 months that they were simultaneously tracked. Nominal sampling frequency for both individuals ranged from 15 min to 3 h during the tracking periods. Mean (± SD) realized sampling intervals for the two animals were 98 (± 85) minutes and 97 (± 85) minutes over tracking durations of 52 and 43 weeks, respectively. For the before and after encounter periods for both coyotes, effective sample size (ESS) values far exceeded the key estimability threshold of 5 [53]. These results and other tracking details for the two animals appear in Table S1. We then investigated aspects of the movement tracks and the spatial consequences that could be attributed to this encounter in detail.
We estimated RDs for each individual before and after the encounter, and determined the degree of spatial overlap between RDs as described above. To provide further support for a change in the spatial overlap between RDs as a consequence of the encounter, we estimated RD overlap at eight other times (12/19/11, 1/16/12, 2/13/12, 3/11/12, 4/8/12, 5/6/12, 6/3/2012, 6/30/2012, spanning the period over which both animals were simultaneously tracked) when the animals were actually far apart, which we termed “null encounters.” RDs for each individual and RD overlaps (both within and between individuals) were calculated before and after each null encounter as described above. This allowed us to verify that any change in RD overlap following the real encounter was a true signal different from any changes in RD that could be calculated for alternative time points at which the coyotes were much farther apart.
Lastly, we calculated the ballistic length scale for each individual as a running measure across 60 days of movement data. Ballistic length scale ( is a measure of linearity in movement [41, 57]. That is, quantifies the average distance over which linear (directed) motion is maintained by a moving animal, and is calculated by:
where the parameters (timescale of autocorrelation in velocity; seconds), (timescale of autocorrelation in position; seconds), and (spatial variance in movement; m2) are estimated via the ctmm package from an OUF model for range-resident movement (which was the best-fit model for these two coyotes). This allowed us to quantify the directedness of each individual’s movement [41] before and after the encounter.
Population-level analysis: Grizzly Bears
We next tested the hypothesis that changes in range overlap following encounters are consistent features of a population of grizzly bears. Range distributions (RDs) and changes in overlap associated with encounters were calculated for each pair of bears that came within 100 m of each other (N = 32 pairs, which includes two bear-pairs with encounters in different years). Nominal sampling frequency for individuals ranged from 2 min to 24 h with mean (± SD) realized sampling intervals of 17 (± 27) hours and tracking durations of 73 (± 67) days. Effective sample size (ESS) values exceeded the key threshold of 5 for all encounter-involved bears, for both the before and after encounter periods (Table S2). These data did not provide the level of pairwise detail that was available with the single pair of coyotes, but because we had access to many more pairs of bears and thus more resulting encounters, the grizzly dataset lent itself to population-level analyses.
We tested the statistical significance between RD overlaps before versus after encounters on the whole population using a χ2 inverse-Gaussian (χ2-IG) meta-analysis framework [19]. This approach employs a non-linear hierarchical model developed for estimating population-mean home-range parameters from individual home-range estimates, while propagating the individual-level uncertainties [19]. These methods are particularly useful for population-level hypothesis testing because any among-individual differences in the amount or quality of movement data available for estimating RDs is captured by the before and after uncertainty estimates of the individual pairs, which are then propagated into population-level estimates and used in making the final population-level comparison. That is, unlike simpler analyses conducted outside of a formal metanalysis framework (i.e., analyses conducted on point estimates), the uncertainty propagation employed here explicitly mitigates against problems stemming from the possibility that individuals (or the track components before versus after an encounter), differ in available data. The methods, available in the R package ctmm, model the individual parameters with an inverse-Gaussian population-level distribution and the individual parameter estimates with scaled-χ2 individual-level distributions, which are appropriate for individual-scale parameter estimates that could have large corresponding uncertainties (such as home-range size and distance). Analyses return a statistical comparison between models assuming that the before-encounter and after-encounter RDs are (or are not) distinguishable. The difference between RDs is measured via the BD, and the significance of any difference is quantified as a p-value.
Most analyses and graphics were completed on a laptop computer in the R statistical package (v.4.2.2; [47]) using the tidyverse (v. 1.3.2; [59]), ctmm (v.1.2.1; [17]) and geosphere (v. 1.5.18; [24]) packages. The only exception was the encounter overlap analyses, which were calculated on a high performance computing system using R (4.1.1 [47]) and the tidyverse (v. 1.3.0) and ctmm (v. 1.1.1) packages.
Results
Coyote analysis
Basic data on the movement tracks for coyotes PEC068 and PEC088 appear in Table S1. The coyotes encountered each other around 3:01 AM on 26 May 2012, coming within 66 m of each other. This is by far the closest they came to each other during an ~ 8-month window of simultaneous tracking (median distance: 7249 m, IQR: 5225–9056 m; Fig. 1A).
Fig. 1.
Detailed analyses of a close encounter between two coyotes. Aprovides inter-individual distances between coyote individuals PEC068 and PEC088 in Ontario, Canada, over an ~ 8-month period in 2011–2012. When missing data necessitated interpolation of coyote positions, estimated inter-individual distances (± 95% CI as gray shading) are plotted. GPS tracking data indicate that the coyotes’ movements brought them within 66 m of each other on 26 May 2012 (shown as day 0). Band C plot range distributions (RDs) (± 95% CI) for the coyotes before and after this encounter, respectively, calculated as range distributions in the R package ctmm. Note the spatial changes by PEC068, reducing overlap with PEC088 after versus before the encounter (ΔAICc = 24.04). D reveals that the two coyotes’ home ranges were completely disjunct after the encounter as judged by the 95% contours of their respective RD. Furthermore, a region in the western part of PEC068’s original RD had the greatest increase in utilization after the encounter, whereas a region in the eastern part of PEC068’s original RD had the greatest decrease in utilization (D). E provides the proportional overlap (Bhattacharyya Coefficient ± 95% CI) between individuals based on their RDs before (purple) and after (orange) the real encounter (denoted by solid symbols and the dashed vertical line) compared with similar overlaps measured, for comparative purposes, for alternative ‘null-encounter’ dates when encounters did not occur (open symbols). F provides the proportional overlap within individuals for the same real and null encounters dates as in E, revealing the RD of PEC088 was almost completely static, whereas the RD of PEC068 showed a nonsignificant 15% decrease in overlap for the real encounter date. G gives each individual’s ballistic length scale (± 95% CI) calculated on a running basis for 60-day windows. Note that the ballistic length scale of PEC068 (whose RD changed following the encounter, decreasing inter-individual RD overlap) decreased by ~ 50% in the 60 days after the encounter whereas that of PEC088 increased by ~ 60%
In the months prior to this encounter, the coyotes’ RDs overlapped by 12.1% (Fig. 1B); following the encounter, the RD of PEC068 changed substantially, reducing the overlap with the RD of PEC088 to only 1.1% (Fig. 1C). As measured by the 95% contours of the coyotes’ respective RDs, the reduction in overlap was even greater, with the animals’ 95% RDs after the encounter showing zero overlap (Fig. 1D). A region in the western part of PEC068’s home range showed the greatest increase in activity after the encounter, whereas an area in the eastern part of PEC068’s home range, near its area of overlap with PEC088’s home range, showed the greatest decrease in utilization (Fig. 1D). The 88% reduction in RD overlap following the encounter (Fig. 1E, for the real encounter date) is significant: a model in which the RDs overlap less after an encounter versus before the encounter is better supported by 24.04 ΔAICc units versus a model in which the before versus after distributions are not distinguishable. In contrast, several alternative ‘null encounter’ dates in the four months preceding the observed encounter yielded no evidence of changes in RD overlap (Fig. 1E), whereas the very low levels of overlap between the coyotes’ RD for two null encounter dates after the real encounter indicated that the changes in overlap occurring as a consequence of the real encounter were long-lasting. The two earliest null encounter dates actually show increases in before versus after RD overlap between individuals, which are attributable to increases in eastward foraying activity by PEC068 into the home range of PEC088 while that animal was far away from the zone of overlap between the two animals’ RDs (Fig. 1E).
Compared to the observed changes in between-individual RD overlap, within-individual range overlap changed relatively little, based on either the real encounter date or the null encounter dates (Fig. 1F). PEC068 exhibited less RD overlap after versus before the encounter (88%) than did PEC088 (96%), but with large confidence intervals. Given those intervals, we found no difference between the within-individual RD overlap values for the real encounter, nor for most of the null encounters (the first being the only exception). As noted above, the Bhattacharyya Coefficient values quantify overall overlap between the two probability distributions with respect to probability density. Consequently, this measure incorporates elements of both RD size (for instance, the area enclosed by the location of the 95% contours of the RDs) and the relative intensity of space use within the RDs. Both of these attributes provide perspectives on the animals’ space use. For example, comparing RDs before versus after the encounter within individuals provides context that is helpful for understanding the above-mentioned between-individual differences in RD. Specifically, the area enclosed by PEC068’s RD after the encounter was only 52.6% the size of the corresponding area before the encounter, whereas the area enclosed by PEC088’s RD effectively did not change following the encounter (increasing by only 0.74%). Thus, the observed reduction in RD overlap between individuals (Fig. 1E) derived largely from a 47.4% (i.e., 100–52.6%) shrinkage in the size of PEC068’s RD that involved only a modest 12% (i.e., 100–88%) change in the before versus after RD overlap for that individual (Fig. 1F). This result implies that the portion of PEC068’s RD that it used with intensity did not change much as a result of the encounter, but that the outer fringe area that it used with less intensity changed greatly, a result that was also evident in Fig. 1D. Similarly, in the 60 days after the encounter, the ballistic length scale (which is calculated over a 60d running window, see Methods) for PEC068 decreased by ~ 50% (Fig. 1G), implying a substantial reduction in longer distance linear movements (i.e., the aforementioned forays). In contrast, the ballistic length scale for PEC088 increased by ~ 60% after the encounter, implying more extensive linear movements (Fig. 1G).
Grizzly bear analysis
Evaluated at the population level, pairwise analyses of encounters between grizzly bears also demonstrated changes in RD overlap following encounters, but only in certain situations. Encounter-related changes in RD overlap were not significant for the entire set of 32 pairs of bears. However, provided at least one of the bears involved in an encounter within 100 m during late fall (1 September–30 November) was accompanied by one or more cubs (n = 9 pairs in the ‘cubs involved late fall’ category), the BD between the bears’ RDs increased significantly following the encounter (i.e., the overlaps between their respective RDs decreased; Fig. 2).
Fig. 2.
Mean (± 95% CI) relative change in RD overlap between pairs of Canadian grizzly bears that encountered each other at distances < 100 m. The y-axis plots the ratio of the RD overlap after an encounter versus RD overlap before the encounter; thus, values less than 1 indicate decreases in pairwise overlap. Results are shown for all pairs of bears exhibiting an encounter, all late fall encounters (1 September–30 November), all late fall encounters involving different-sex pairs, and all late-fall encounters in which at least one individual was accompanied by cubs. Asterisks above the error bars indicate significant (**p < 0.05) changes in overlap
Figure S1 provides plots of proportional overlap of RDs between the individuals in each pair of bears before versus after an encounter, and Figure S3 provides before versus after encounter RD maps for the 9 pairs of bears in the ‘cubs involved late fall’ category. We also visualized encounter-related changes in RD overlap within individuals in each pair before versus after an encounter to identify whether one bear involved in a given encounter altered its RD more than the other bear (Fig. S2). For the nine Late Fall encounters < 100 m involving cubs, we found no pattern as to whether individuals with cubs altered their RDs more or less than did individuals without cubs.
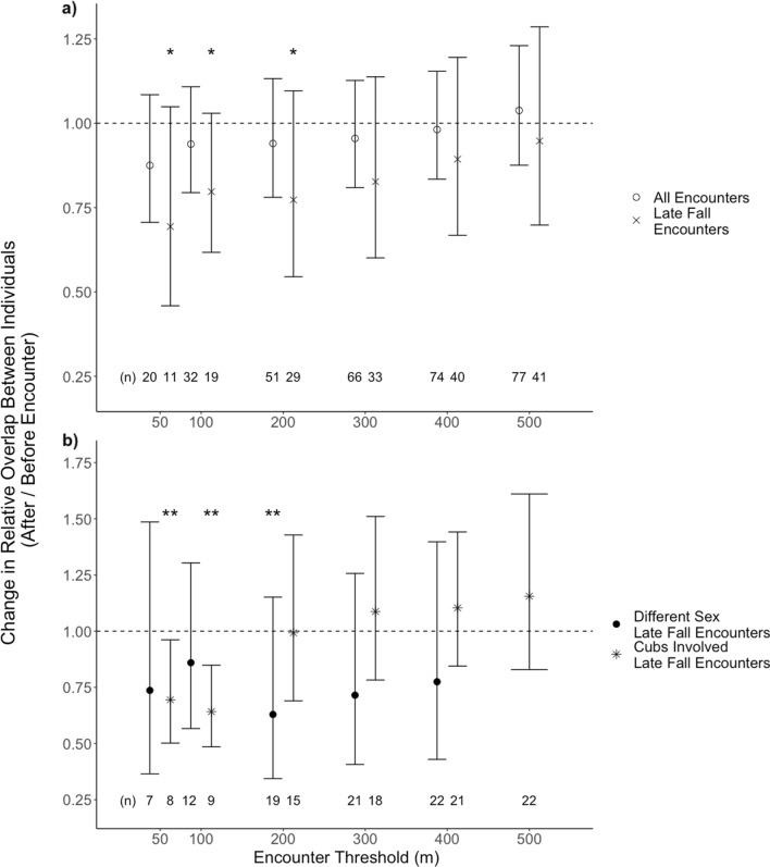
Repeating the above analyses using a distance threshold of < 50 m yielded a similarly strong effect for late fall encounters including cubs. However, with more liberal thresholds of 200–500 m, we found no population-level evidence for changes in RD overlap for late fall encounters including cubs (Fig. 3). For thresholds of 50–200 m, late fall encounters (including both those with and without cubs) showed marginal reductions in overlap (0.05 < p < 0.10). Late fall encounters between male and female bears also led to significantly reduced overlap for encounters < 200 m, but not for other encounter distances.
Fig. 3.
Mean (± 95% CI) relative change in RD overlap between pairs of Canadian grizzly bears for different definitions of what constitutes an encounter. The y-axis plots the ratio of the RD overlap after an encounter versus RD overlap before the encounter; thus, values less than 1 indicate decreases in pairwise overlap. Results in A are shown for all pairs exhibiting an encounter and all pairs involving an encounter in late fall (1 September – 30 November). B plots results for late fall encounters involving different-sex pairs and late fall encounters in which at least one individual was accompanied by cubs. Note that sample sizes in both panels depend on the definition of encounter distance. For late fall different sex encounters, no new encounters were identified after extending the radius from 400 to 500 m, so that duplicate result is not plotted. Asterisks above the error bars indicate marginally nonsignificant (*p < 0.1) and significant (**p < 0.05) changes in overlap
Encounters between pairs of bears, and especially encounters in late fall, occurred much closer to carcass pits (locations where road kill and hunters’ gut dumps were systematically deposited) than did generic non-encounter fixes between pairs of bears (Fig. S3).
Discussion
Here we have demonstrated how encounters, defined on the basis of spatial proximity in pairwise analyses of GPS tracks for mammalian carnivores, can be associated with changes in range distributions (RDs). Through a combination of detailed pairwise analysis and population-level hypothesis testing, we characterized changes in the overlap between individuals’ ranges and explored how seasonality, sex, and the presence of young influence the spatial consequences of encounters. Overall, we found evidence suggesting that animals can sometimes undertake long-term, large-scale spatial changes in their range distributions in response to close intraspecific encounters that have the potential for conflict, corroborating the use of home range overlap to quantify encounter potential (e.g., [40]).
Coyotes
The coyote data suggest a scenario whereby the encounter yielded an outcome in which, for the remainder of the tracking period, one individual, PEC068, was a clear ‘loser’ with respect to occupancy of contested space. Based on the 95% contour estimated by ctmm, the range distribution of PEC068 decreased by 47% following the encounter, and that coyote no longer used the easternmost part of the range it occupied before the encounter (Fig. 1B–D). In the context of a larger, regional study of coyote home ranges and territoriality [57], PEC068 was determined to have exhibited an ambiguous space use pattern, and herein is considered a “non-territorial resident,” exhibiting relatively weak range fidelity and undertaking multiple forays outside of its range that intruded on territories of other coyotes, including but not limited to PEC088. As such, the before versus after encounter RDs estimated for PEC068 would correspond to ‘undefended home ranges’ rather than territories per se, and the spatial changes in RD overlap observed for this animal (Fig. 1E,F) appear to have derived from a post-encounter reduction in its foray activity rather than contraction of a defended territory (Fig. 1D,G).
Detailed inspection of the coyotes’ tracking data revealed that the close encounter between the coyotes occurred near the intersection between two fields separated by a hedgerow, so it is almost certain that at least one of the coyotes detected the other. Indeed, accelerometer data from around the time of the coyotes’ encounter (Wheeldon, unpublished data) suggest that the encounter may have been a ‘close-call’ for PEC068 because that individual appeared to have gone undetected and thereby avoided a physical confrontation or direct aggression. More specifically, PEC068 was inactive for a period of ~ 50 min beginning shortly (~ 10 min) after the encounter, indicating that it may have bedded down to hide from PEC088, which continued to be active for ~ 35 min post-encounter and then became inactive, at which point PEC068 became active and eventually left the territory of PEC088.
The ballistic length scale results support the above interpretation in that PEC068 decreased the linearity of its movement following the encounter, presumably reflecting the reduction in its foray activity (i.e., out-and-back movements), whereas PEC088 increased the linearity of its movement following the encounter, which may partly reflect increased territorial behavior in the form of patrolling the perimeter (note the relative increase in the intensity of PEC088’s usage of the western part of its range following the encounter in Fig. 1C). The encounter occurred during the denning season and PEC088—based on its reproductive history—may have had pups at the time, which may have heightened the intensity of its encounter and subsequent activity.
Only PEC088 continued to use the disputed area over a period of more than three months following the encounter (Fig. 1C, D). This observation suggests that “ownership” of this area was being respected by the losing party (PEC068), reflecting a kind of low-conflict coexistence known as the “bourgeois strategy” [32, 51]). Theory has predicted that this strategy should be selected for in most natural environments, because it reduces the overall risk of injury for all parties involved [32, 51]. Further, theory also suggests that the “bourgeois strategy” should occur when animals have the liberty of reducing their activity while maintaining their energetic budget [35]. Considering that coyotes can substantially vary their daily activity and diet [27], PEC068’s reduction in foray activity following the encounter that resulted in decreased overlap with the territory of PEC088 (Fig. 1D), did not necessarily involve a loss of resources. Combining this support with previous studies indicating that coyotes forage optimally [23], there is mounting evidence suggesting current theory can contribute to the successful prediction of coyote behavior.
Grizzly bears
In general, encounters between bears were only associated with significant changes in RD overlap under certain circumstances, specifically in late fall, with cubs present, and at encounter distances ≤ 100 m (Figs. 2, 3). In contrast, when we broadened the definition of encounter to include proximity events occurring beyond this 100 m encounter threshold, or when we included encounters at other times of the year, we found little evidence for a population-level association between encounters and changes in RD overlap. Beyond the late-fall with cubs results, only male–female encounters within the 200 m threshold exhibited significant changes in RD overlap (Fig. 3). During late fall, encounters between bears occurred disproportionately close to carcass pits (Fig. S3), and may have involved heightened aggression during a period of increased resource competition in the weeks preceding hibernation.
Previous studies using animal movement data to investigate the consequences of encounters in other systems have relied upon a broad range of threshold distances, including some as great as 500–800 m. Our results suggest caution in relying upon such large distances to delineate encounters between tracked individuals. Here, very liberal definitions of encounters indicated the absence of encounter-associated changes in space use that were in fact observable with more restrictive assumptions (Figs. 2, 3). Moreover, shorter distance thresholds when defining encounters were associated with stronger spatial changes, likely because those shorter encounter thresholds were more apt to correspond to actual interactions (i.e., one or both individuals detecting the presence of the other and undertaking a behavioral change).
The importance of an encounter depends not just on proximity, but also on perceptual abilities (visual, olfactory, auditory) and spatial context (e.g., local conditions such as substrate, vegetation type and density, and other factors that can influence individuals’ movements, detection abilities, and decisions to interact). For example, in the case of the bears, the encounters occurred primarily in broken timber such that proximity may not always have led to mutual detection, which could have contributed to the heterogeneity in pairwise results even for encounter thresholds of 100 m (Figs. 2, S1, S2). Experimental work involving human proximity to wolves presents similar ideas, and emphasizes that encounters can be decidedly one-sided in terms of detection and spatial response [56]. Thus, proximity and perception together determine whether an encounter translates into an interaction with a behavioral component.
Caveats and limitations
Many possible explanations exist for temporal changes in an animal’s home range. Further, because RDs can only be calculated using movement data collected over an extended period of time, there exist increased opportunities for factors beyond a specific encounter to shape animals’ use of space during a tracking period. For example, resource-related events (e.g., the phenology of vegetation green-up, (un)successful hunting experiences) are widely known to influence how animals move and where they spend their time [1, 21]. A related issue is that, in almost all field studies, only a portion of a population will be monitored, so encounters between tracked and untracked individuals will go unobserved and remain unspecified with regard to time. When such events are unobserved, it is generally difficult to infer anything about the degree to which they shape movement. Consequently, we cannot exclude the possibility that other, unobserved factors beyond pairwise close encounters were responsible for the changes in RDs that we documented.
However, a distinct advantage of our approach is that we can evaluate potential changes in overlap that are tied specifically to temporally precise encounters between tracked individuals. Indeed, the null encounters approach that we implemented for the coyotes allowed testing whether time points other than that of the encounter event were associated with comparable changes in RDs. Thus, when detailed analyses of null encounter dates reveal no effect on overlap, they provide an extra level of confidence that any observed changes in overlap are associated with an observed encounter. Conversely, if a null encounter date were associated with a substantial change in overlap, it would suggest that some unobserved event other than a pairwise encounter between tracked individuals had an influence on their RDs. Satisfactory evaluation of the potential for long-term, gradual processes (rather than temporally precise events) to influence range overlaps seems unlikely using the breakpoint approach that we implemented here, and would necessitate alternative approaches such as those involving spatial correlates of movement.
Future applications
A variety of future directions are possible. For example, future encounter-based research could conduct sensitivity analyses to identify the encounter distances that are most strongly associated with changes in space use between tracked individuals that occur in close proximity. Such analyses could have the additional benefit of providing insight into just how big are the perceptual ranges of the animals involved [3, 12, 31, 62]. Likewise, one could use the same Bhattacharyya methods that we employed here to test a hypothesis that the range distribution for a given animal, or the range overlap between a pair of animals, changed in response to the timing of a particular event in their environment (e.g., the onset of berry availability). One would simply use a particular date (or range of dates) as a specific breakpoint for the movement tracks to evaluate whether the RD (or RDs) after the event differed from that before the event. Future work could also investigate to what extent multiple behavioral shifts are consistent within individuals (indicating winner/loser dynamics in the context of territorial interactions). For example, little-investigated theoretical issues, such as transitions between ideal free and ideal despotic distributions, could be investigated by connecting encounter data with assessments of resources lost and gained as a result of spatial changes in occupied ranges.
Conclusion
Increasing availability of high resolution movement data (e.g., [38] facilitates identification of putative encounters between individual animals based on proximity, necessitating methods for assessing the long-term consequences of such encounters. Here, we explored how statistical methods for population-level home range analysis [19] could be repurposed to gauge whether and to what extent the spatial overlap between individuals’ range distributions changed following an encounter compared to conditions prior to the encounter. We showed how different analytical approaches are possible depending on the type and amount of movement data available. Detailed analyses of a pair of high-resolution coyote tracks demonstrated how the overlap between the animals’ range distributions was reduced following the encounter when one of the coyotes altered its movement behavior. In contrast, when movement data were available for many grizzly bears in the same landscape, we framed the problem in terms of hypothesis tests, demonstrating that significant post-encounter changes in range distribution overlap occurred when females-with-cubs were involved in the encounter in late fall. We also demonstrated that smaller spatial thresholds for the delineation of encounters were associated with more frequent and greater changes in range overlap. With caveats and limitations, we suggest that encounter-based analyses can be used to interpret changes in space use, identify distances at which individuals’ proximity to one another may alter behavior, and test population-level hypotheses concerning the potential for direct encounters to alter individuals’ space use.
Supplementary Information
Author contributions
W.F.F., Q.L., and C.H.F conceptualized the study. A.K., Q.L., and D.L. conducted statistical analyses and visualization under guidance from W.F.F, with J.M.C. and C.H.F. providing additional suggestions regarding the statistical analyses. B.P., T.W, and C.L. provided data and biological insights. C.H.F. developed new computer code now included in the open-source R package ctmm. W.F.F. wrote the initial draft with input from A.K., Q.L., and J.S.F.M. All authors contributed to interpretation of results plus review and editing of later stages of the draft.
Funding
W.F.F., C.H.F., and J.M.C. were supported by NSF IIBR 1915347. The University of Maryland provided additional financial support. R.M-G. was supported by FAPESP BIOTA Young Investigator Research Grant no. 2019/05523-8457 and the Simons Foundation through grant no. 284558FY19. This work was partially funded by the Center of Advanced Systems Understanding (CASUS), which is financed by Germany's Federal Ministry of Education and Research (BMBF) and by the Saxon Ministry for Science, Culture, and Tourism (SMWK) with tax funds on the basis of the budget approved by the Saxon State Parliament. The authors acknowledge the University of Maryland supercomputing resources (http://hpcc.umd.edu) made available for conducting the research reported in this paper.
Availability of data and materials
Movement data for the coyotes and grizzly bears are posted on Movebank.org as datasets 1614661371 and 1044288582, respectively. Statistical tools for estimating, manipulating, and comparing home ranges from movement data are implemented in the open-source R package ctmm. R scripts used to carry out specific analyses for this study are openly available on GitHub at https://github.com/anagkrish/encounter_homerangeshift. Upon acceptance, movement data for the coyotes and grizzly bears will be provided via Movebank.org as datasets 1614661371 and 1044288582, respectively. Statistical tools for estimating, manipulating, and comparing home ranges from movement data are available in the open-source R package ctmm. Upon acceptance, R scripts used to carry out specific analyses for this study will be provided via https://zenodo.org/records/13529988.
Declarations
Ethical approval
Coyote collars were permitted under Ontario Ministry of Natural Resources and Forestry WACC permits nos. 10-219 through 12-219 and Trent University Animal Care Committee permit no. 10016. Grizzly collars were permitted under Province of British Columbia Capture Permit #CB17-119264200 and University of Alberta Animal Ethics Permit #AUP00002181.
Competing interests
The authors declare no conflicts of interest.
Footnotes
Publisher's Note
Springer Nature remains neutral with regard to jurisdictional claims in published maps and institutional affiliations.
Ananke Krishnan and Qianru Liao are joint second authors.
References
- 1.Aikens EO, Mysterud A, Merkle JA, Cagnacci F, Rivrud IM, Hebblewhite M, Hurley MA, Peters W, Bergen S, De Groeve J, Dwinnell SP. Wave-like patterns of plant phenology determine ungulate movement tactics. Curr Biol. 2020;30(17):3444–9. 10.1016/j.cub.2020.06.032 [DOI] [PubMed] [Google Scholar]
- 2.Bhattacharyya A. On a measure of divergence between two statistical populations defined by their probability distributions. Bull Calcutta Math Soc. 1943;35:99–109. [Google Scholar]
- 3.Boonman A, Bar-On Y, Cvikel N, Yovel Y. It’s not black or white—on the range of vision and echolocation in echolocating bats. Front Physiol. 2013;4:248. 10.3389/fphys.2013.00248 [DOI] [PMC free article] [PubMed] [Google Scholar]
- 4.Brashares JS, Werner JR, Sinclair ARE. Social ‘meltdown’ in the demise of an island endemic: Allee effects and the Vancouver Island marmot. J Anim Ecol. 2010;79(5):965–73. 10.1111/j.1365-2656.2010.01711.x [DOI] [PubMed] [Google Scholar]
- 5.Broekhuis F, Madsen EK, Keiwua K, Macdonald DW. Using GPS collars to investigate the frequency and behavioural outcomes of intraspecific interactions among carnivores: a case study of male cheetahs in the Maasai Mara, Kenya. PLoS ONE. 2019;14:e0213910-e213916. 10.1371/journal.pone.0213910 [DOI] [PMC free article] [PubMed] [Google Scholar]
- 6.Calabrese JM, Fleming CH, Gurarie E. CTMM: an R package for analyzing animal relocation data as a continuous-time stochastic process. Methods Ecol Evol. 2016;7(9):1124–32. 10.1111/2041-210X.12559 [DOI] [Google Scholar]
- 7.Cheraghi F, Delavar MR, Amiraslani F, Alavipanah K, Gurarie E, Hunter L, Ostrowski S, Jowkar H, Fagan WF (2019) Inter-dependent movements of Asiatic Cheetah and Persian Leopard in their environment. Zoology in the Middle East. 1–10.
- 8.Corriale MJ, Muschetto E, Herrera EA. Influence of group sizes and food resources in home-range sizes of capybaras from Argentina. J Mammal. 2013;94:19–28. 10.1644/12-MAMM-A-030.1 [DOI] [Google Scholar]
- 9.Courbin N, Loveridge AJ, Macdonald DW, Fritz H, Valeix M, Makuwe ET, Chamaillé-Jammes S. Reactive responses of zebras to lion encounters shape their predator–prey space game at large scale. Oikos. 2016;125(6):829–38. 10.1111/oik.02555 [DOI] [Google Scholar]
- 10.Doncaster CP. Non-parametric estimates of interaction from radio-tracking data. J Theor Biol. 1990;143(4):431–43. 10.1016/S0022-5193(05)80020-7 [DOI] [Google Scholar]
- 11.Ellison N, Hatchwell BJ, Biddiscombe SJ, Napper CJ, Potts JR. Mechanistic home range analysis reveals drivers of space use patterns for a non-territorial passerine. J Anim Ecol. 2020;89(12):2763–76. 10.1111/1365-2656.13292 [DOI] [PubMed] [Google Scholar]
- 12.Fagan WF, Gurarie E, Bewick S, Howard A, Cantrell S, Cosner C. Perceptual ranges, information gathering, and foraging success in dynamic landscapes. Am Nat. 2017;189:474–89. 10.1086/691099 [DOI] [PubMed] [Google Scholar]
- 13.Fleming CH, Calabrese JM, Mueller T, Olson KA, Leimgruber P, Fagan WF. From fine-scale foraging to home ranges: a semivariance approach to identifying movement modes across spatiotemporal scales. Am Nat. 2014;183(5):E154–67. 10.1086/675504 [DOI] [PubMed] [Google Scholar]
- 14.Fleming CH, Calabrese JM, Mueller T, Olson KA, Leimgruber P, Fagan WF. Non-Markovian maximum likelihood estimation of autocorrelated movement processes. Methods Ecol Evol. 2014;5(5):462–72. 10.1111/2041-210X.12176 [DOI] [Google Scholar]
- 15.Fleming CH, Fagan WF, Mueller T, Olson KA, Leimgruber P, Calabrese JM. Rigorous home range estimation with movement data: a new autocorrelated kernel density estimator. Ecology. 2015;96(5):1182–8. 10.1890/14-2010.1 [DOI] [PubMed] [Google Scholar]
- 16.Fleming CH, Calabrese JM. A new kernel density estimator for accurate home-range and species-range area estimation. Methods Ecol Evol. 2017;8(5):571–9. 10.1111/2041-210X.12673 [DOI] [Google Scholar]
- 17.Fleming CH, Calabrese JM (2023). CTMM: Continuous-time movement modeling, https://github.com/ctmm-initiative/ctmm.
- 18.Fleming CH, Noonan MJ, Medici EP, Calabrese JM. Overcoming the challenge of small effective sample sizes in home-range estimation. Methods Ecol Evol. 2019;10(10):1679–89. 10.1111/2041-210X.13270 [DOI] [Google Scholar]
- 19.Fleming CH, Deznabi I, Alavi S, Crofoot MC, Hirsch BT, Medici EP, Noonan MJ, Kays R, Fagan WF, Sheldon D, Calabrese JM. Population-level inference for home-range areas. Methods Ecol Evol. 2022;13(5):1027–41. 10.1111/2041-210X.13815 [DOI] [Google Scholar]
- 20.Gurarie E, Ovaskainen O. Towards a general formalization of encounter rates in ecology. Thyroid Res. 2013;6(2):189–202. [Google Scholar]
- 21.Gurarie E, Bracis C, Brilliantova A, Kojola I, Suutarinen J, Ovaskainen O, Potluri S, Fagan WF. Spatial memory drives foraging strategies of wolves, but in highly individual ways. Front Ecol Evol. 2022;10:768478. 10.3389/fevo.2022.768478 [DOI] [Google Scholar]
- 22.Harestad AS, Bunnel FL. Home range and body weight–A reevaluation. Ecology. 1979;60:389–402. 10.2307/1937667 [DOI] [Google Scholar]
- 23.Hernández L, Parmenter RR, Dewitt JW, Lightfoot DC, Laundré JW. Coyote diets in the Chihuahuan Desert, more evidence for optimal foraging. J Arid Environ. 2002;51(4):613–24. 10.1016/S0140-1963(01)90963-2 [DOI] [Google Scholar]
- 24.Hijmans R (2022) Geosphere: Spherical Trigonometry. R package version 1.5–14, https://CRAN.R-project.org/package=geosphere.
- 25.Joo R, Etienne MP, Bez N, Mahévas S. Metrics for describing dyadic movement: a review. Mov Ecol. 2018;6:1–17. 10.1186/s40462-018-0144-2 [DOI] [PMC free article] [PubMed] [Google Scholar]
- 26.Jordan NR, Buse C, Wilson AM, Golabek KA, Apps PJ, Lowe JC, Van der Weyde LK, Weldon McNutt J. Dynamics of direct inter-pack encounters in endangered African wild dogs. Behav Ecol Sociobiol. 2017;71(8):1–12. 10.1007/s00265-017-2338-9 [DOI] [Google Scholar]
- 27.Kitchen AM, Gese EM, Schauster ER. Changes in coyote activity patterns due to reduced exposure to human persecution. Can J Zool. 2000;78(5):853–7. 10.1139/z00-003 [DOI] [Google Scholar]
- 28.Klauder KJ, Borg BL, Sivy KJ, Prugh LR. Gifts of an enemy: scavenging dynamics in the presence of wolves (Canis lupus). J Mammal. 2021;102(2):558–73. 10.1093/jmammal/gyab020 [DOI] [Google Scholar]
- 29.Laidre KL, Born EW, Gurarie E, Wiig Ø, Dietz R, Stern H. Females roam while males patrol: divergence in breeding season movements of pack-ice polar bears (Ursus maritimus). Proc R Soc B: Biol Sci. 2013;280(1752):20122371. 10.1098/rspb.2012.2371 [DOI] [PMC free article] [PubMed] [Google Scholar]
- 30.Lamb CT, Smit L, Mowat G, McLellan B, Proctor M. Unsecured attractants, collisions, and high mortality strain coexistence between grizzly bears and people in the Elk Valley, southeast British Columbia. Conserv Sci Pract. 2023;5(10):e13012. 10.1111/csp2.13012 [DOI] [Google Scholar]
- 31.Martinez-Garcia R, Fleming CH, Seppelt R, Fagan WF, Calabrese JM. How range residency and long-range perception change encounter rates. J Theor Biol. 2020;498:110267. 10.1016/j.jtbi.2020.110267 [DOI] [PubMed] [Google Scholar]
- 32.Maynard Smith J. Evolution and the theory of games. Cambridge University Press; 1982. [Google Scholar]
- 33.Mcloughlin PD, Ferguson SH, Messier F. Intraspecific variation in home range overlap with habitat quality: a comparison among brown bear populations. Evol Ecol. 2000;14:39–60. 10.1023/A:1011019031766 [DOI] [Google Scholar]
- 34.Mech LD, Harper EK. Differential use of a wolf, Canis lupus, pack territory edge and core. Can Field-Nat. 2002;116:315–6. 10.5962/p.363444 [DOI] [Google Scholar]
- 35.Menezes JFS, Oliveira-Santos LGR. Cautious individuals have non-invadable territories, according to an evolutionary mechanistic model. Ecol Model. 2021;449:109551. 10.1016/j.ecolmodel.2021.109551 [DOI] [Google Scholar]
- 36.Moorcroft PR, Lewis MA, Crabtree RL. Mechanistic home range models capture spatial patterns and dynamics of coyote territories in Yellowstone. Proc R Soc B: Biol Sci. 2006;273(1594):1651–9. 10.1098/rspb.2005.3439 [DOI] [PMC free article] [PubMed] [Google Scholar]
- 37.Moorcroft PR, Lewis MA. Mechanistic home range analysis. (MPB-43). In Mechanistic Home Range Analysis. (MPB-43). Princeton University Press, 2013.
- 38.Nathan R, Monk CT, Arlinghaus R, Adam T, Alós J, Assaf M, Baktoft H, Beardsworth CE, Bertram MG, Bijleveld AI, Brodin T. Big-data approaches lead to an increased understanding of the ecology of animal movement. Science. 2022;375(6582):eabg1780. 10.1126/science.abg1780 [DOI] [PubMed] [Google Scholar]
- 39.Noonan MJ, Tucker MA, Fleming CH, Akre TS, Alberts SC, Ali AH, Altmann J, Antunes PC, Belant JL, Beyer D, Blaum N, Böhning-Gaese K, Cullen L, Paula RC, Dekker J, Drescher-Lehman J, FarwigN, Fichtel C, Fischer C, Ford AT, Goheen JR, Janssen R, Jeltsch F, Kauffman M, Kappeler PM, Koch F, LaPoint S, Markham AC, Medici EP, Morato RG, Nathan R, Oliveira-Santos LGR, Olson K, Patterson BD, Paviolo A, Ramalho EE, Rösner S, Schabo DG, Selva N, Sergiel A, Xavier da Silva M, Spiegel O, Thompson P, Ullmann W, Zieba F, Zwijacz-Kozica T, Fagan WF, Mueller T, Calabrese JM. A comprehensive analysis of autocorrelation and bias in home range estimation. Ecol Monograph. 2019;89(2):e01344.
- 40.Noonan MJ, Martinez-Garcia R, Davis GH, Crofoot MC, Kays R, Hirsh BT, Caillaud D, Payne E, Sih A, Sinn D, Spiegel O, Fagan WF, Fleming CH, Calabrese JM. Estimating encounter location distributions from animal tracking data. Methods Ecol Evol. 2021;12:1158–73. 10.1111/2041-210X.13597 [DOI] [Google Scholar]
- 41.Noonan MJ, Martinez-Garcia R, Fleming CH, De Figueiredo BG, Ali AH, Attias N, Belant JL, Beyer Jr DE, Berteaux D, Bidner LR, Boone R et al. The search behavior of terrestrial mammals. bioRxiv. 2022-12.
- 42.Périquet S, Fritz H, Revilla E, Macdonald DW, Loveridge AJ, Mtare G, Valeix M. Dynamic interactions between apex predators reveal contrasting seasonal attraction patterns. Oecologia. 2021;195(1):51–63. 10.1007/s00442-020-04802-w [DOI] [PubMed] [Google Scholar]
- 43.Pletenev A, Kruchenkova E, Mikhnevich Y, Rozhnov V, Goltsman M. The overabundance of resources leads to small but exclusive home ranges in Arctic fox (Vulpes lagopus) on Bering Island. Polar Biol. 2021;44:1427–43. 10.1007/s00300-021-02888-3 [DOI] [Google Scholar]
- 44.Polansky L, Wittemyer G. A framework for understanding the architecture of collective movements using pairwise analyses of animal movement data. J R Soc Interface. 2011;8(56):322–33. 10.1098/rsif.2010.0389 [DOI] [PMC free article] [PubMed] [Google Scholar]
- 45.Powell RA. Animal home ranges and territories and home range estimators. Res Tech Anim Ecol Controvers Conseq. 2000;442:65–110. [Google Scholar]
- 46.Powell RA, Mitchell MS. What is a home range? J Mammal. 2012;93:948–58. 10.1644/11-MAMM-S-177.1 [DOI] [Google Scholar]
- 47.R Core Team (2022). R: A language and environment for statistical computing. R Foundation for Statistical Computing, Vienna, Austria, https://www.R-project.org/.
- 48.Riotte-Lambert L, Benhamou S, Chamaillé-Jammes S. How memory-based movement leads to nonterritorial spatial segregation. Am Nat. 2015;185(4):E103–16. 10.1086/680009 [DOI] [PubMed] [Google Scholar]
- 49.Ruprecht J, Eriksson CE, Forrester TD, Spitz DB, Clark DA, Wisdom MJ, Bianco M, Rowland MM, Smith JB, Johnson BK, Levi T. Variable strategies to solve risk–reward tradeoffs in carnivore communities. Proc Natl Acad Sci. 2021;118(35):e2101614118. 10.1073/pnas.2101614118 [DOI] [PMC free article] [PubMed] [Google Scholar]
- 50.Schoepf I, Schmohl G, König B, Pillay N, Schradin C. Manipulation of population density and food availability affects home range sizes of African striped mouse females. Anim Behav. 2015;99:53–60. 10.1016/j.anbehav.2014.10.002 [DOI] [Google Scholar]
- 51.Schlägel UE, Signer J, Herde A, Eden S, Jeltsch F, Eccard JA, Dammhahn M. Estimating interactions between individuals from concurrent animal movements. Methods Ecol Evol. 2019;10(8):1234–45. 10.1111/2041-210X.13235 [DOI] [Google Scholar]
- 52.Sherratt TN, Mesterton-Gibbons M. The evolution of respect for property. J Evol Biol. 2015;28(6):1185–202. 10.1111/jeb.12648 [DOI] [PubMed] [Google Scholar]
- 53.Silva I, Fleming CH, Noonan MJ, Alston J, Folta C, Fagan WF, Calabrese JM. Autocorrelation-informed home range estimation: A review and practical guide. Methods Ecol Evol. 2022;13(3):534–44. 10.1111/2041-210X.13786 [DOI] [Google Scholar]
- 54.Tórrez-Herrera LL, Davis GH, Crofoot MC. Do monkeys avoid areas of home range overlap because they are dangerous? A test of the risk hypothesis in white-faced capuchin monkeys (Cebus capucinus). Int J Primatol. 2020;41:246–64. 10.1007/s10764-019-00110-0 [DOI] [Google Scholar]
- 55.Tucker MA, Ord TJ, Rogers TL. Evolutionary predictors of mammalian home range size: body mass, diet and the environment. Glob Ecol Biogeogr. 2014;23(10):1105–14. 10.1111/geb.12194 [DOI] [Google Scholar]
- 56.Versluijs E, Eriksen A, Fuchs B, Wikenros C, Sand H, Wabakken P, Zimmermann B. Wolf responses to experimental human approaches using high-resolution positioning data. Front Ecol Evol. 2022;10:279. 10.3389/fevo.2022.792916 [DOI] [Google Scholar]
- 57.Visser AW, Kiørboe T. Plankton motility patterns and encounter rates. Oecologia. 2006;148(3):538–46. 10.1007/s00442-006-0385-4 [DOI] [PubMed] [Google Scholar]
- 58.Wheeldon T. Population dynamics of eastern coyotes in southeastern Ontario. Ph.D. dissertation, Trent University, Peterborough, Ontario, Canada 2020.
- 59.Wickham H, Averick M, Bryan J, Chang W, McGowan LD, François R, Grolemund G, Hayes A, Henry L, Hester J, Kuhn M, Pedersen TL, Miller E, Bache SM, Müller K, Ooms J, Robinson D, Seidel DP, Spinu V, Takahashi K, Vaughan D, Wilke C, Woo K, Yutani H. Welcome to the tidyverse. J Open Source Softw. 2019;4(43):1686. 10.21105/joss.01686. 10.21105/joss.01686 [DOI] [Google Scholar]
- 60.Wikelski M, Kays R Movebank: archive, analysis and sharing of animal movement data (Hosted by theMax Planck Institute for Ornithology. www.movebank.org, accessed on July 15, 2022), 2022.
- 61.Winner K, Noonan MJ, Fleming CH, Olson KA, Mueller T, Sheldon D, Calabrese JM. Statistical inference for home range overlap. Methods Ecol Evol. 2018;9(7):1679–91. 10.1111/2041-210X.13027 [DOI] [Google Scholar]
- 62.Zollner PA, Lima SL. Landscape-level perceptual abilities in white-footed mice: perceptual range and the detection of forested habitat. Oikos. 1997;80:51–60. 10.2307/3546515 [DOI] [Google Scholar]
Associated Data
This section collects any data citations, data availability statements, or supplementary materials included in this article.
Supplementary Materials
Data Availability Statement
Movement data for the coyotes and grizzly bears are posted on Movebank.org as datasets 1614661371 and 1044288582, respectively. Statistical tools for estimating, manipulating, and comparing home ranges from movement data are implemented in the open-source R package ctmm. R scripts used to carry out specific analyses for this study are openly available on GitHub at https://github.com/anagkrish/encounter_homerangeshift. Upon acceptance, movement data for the coyotes and grizzly bears will be provided via Movebank.org as datasets 1614661371 and 1044288582, respectively. Statistical tools for estimating, manipulating, and comparing home ranges from movement data are available in the open-source R package ctmm. Upon acceptance, R scripts used to carry out specific analyses for this study will be provided via https://zenodo.org/records/13529988.



