Abstract
Football is a team sport played worldwide and specific competition demands are needed since young categories. Several physiological and psychological aspects could influence the selection process, and adolescent investigations still be necessary. This retrospective study aims to compare anthropometric and performance features between selected and unselected adolescent footballers. The sample size was 78 players from U10 to U12 categories. Maturation, RAE, anthropometry, and physical performance (repeated sprint ability (RSA), 15-m sprint, countermovement jump (CMJ) and Harre's test) were evaluated (mean ± SD). 33.3 % of players were selected (height = 144.06 ± 6.74 cm, weight = 35.38 ± 4.56 kg) and 66.7 % were unselected (height = 143.06 ± 8.34 cm, weight = 35.94 ± 6.24 kg). Selected U10 were leaner and got the peak of height velocity (APHV) earlier (p < 0.05) than unselected U10 players, while U11 selected were faster than unselected (p < 0.05). Also, the RSA test, APHV and the humeral width well discriminated among the selection (χ2(3) = 12; p < 0.01). Football field technicians involved in scouting need quantitative and qualitative information that could help to predict talented players. Although physical performance test results and body height led to decisions, further anthropometric features and maturation could provide relevant support.
Keywords: Football selection, Young players, Maturation, Anthropometry, Performance
1. Introduction
Football is one of the most played team sports worldwide. To date, the Fédération Internationale de Football Association (FIFA) has encountered 4429 professional football clubs and more than 130,000 professional players [1]. Due to football's social, financial, and economic impact, clubs' competition has increased and talented players are already selected at the youth level. In Europe, the programs of talent identification are often integrated into “professional” academies, which spend considerable resources on identifying and developing talented young players. The goal of a club is to cultivate talent and then progress their first team [2] and/or trade them players to other for-profit clubs [3]. The opportunities for football players to become professionals are less likely for unselected players, underlying the primary role of decision-making [4,5].
Since football performance depends on several features such as body profile, functional abilities, psycho-social aspects, and technical-tactical skills, individuals’ characteristics provide an important multivariate framework to guide the selection process of young players and lead them to future success [[6], [7], [8], [9]]. In recent years, the role of genes in talent selection has also received an increased interest and football players who become professionals exhibited specific polymorphism-enhancing performance (PEPs) such as the angiotensin-converting enzyme (ACE) allele I that predisposes a better endurance performance [10]. In addition, the success of young footballers is affected by external factors, such as training facilities and coaching expertise, body conditioning and injury rate, as well as social, cultural, and private influences [11].
Football scouts generally monitor young players during friendly and seasonal matches, selecting the best ones [5,6]. However, due to the dynamic nature of talent, predicting future potential from current player characteristics is difficult, especially during periods of intense growth and development [[12], [13], [14]]. Collecting physiological, technical-tactical, and psychological traits resulted in a great strategy to help coaches differentiate and select talented players [5,6,[15], [16], [17], [18]]. Selected players have been detected to be taller, heavier, leaner, faster, and stronger than non-selected young footballers [5,16,[19], [20], [21]]. In addition, birth date and biological maturation strongly influence young football players’ selection process [17,22]. Adolescent players who matured earlier exhibited greater strength, speed, power and endurance capabilities than later maturer teammates, spreading the selection opportunities [[23], [24], [25]]. A common approach for identifying indicators of talent is to take a cross-section of players and to compare the characteristics of the players who are and are not selected into a talent development system, but without considering the biological maturity of the players. As football is a multifaceted sport that requires high levels of physical fitness and skill to succeed, the reasons behind progression to the elite level in youth football are multi-factorial. Therefore, identifying the characteristics that enable players to progress in football is of vital importance for coaches to optimize talent development programs. Additionally, talent identification and technical staff usually may select among already highly selected players with characteristics that may be similar [26]. In light of this evidence, it is crystal clear that the identification of parameters able to differentiate these players would be relevant.
Therefore, the present study aims to compare biological maturation, anthropometry and body composition, and physical performance of selected and unselected adolescent football players and to identify which are the most relevant characteristics of the multivariate profiles that could better discriminate between selected and unselected elite youth Italian football players. Furthermore, to our best knowledge, no study of this type has been conducted in Italy. Even if this scenario is only possible in professional or top-level clubs football academies, the potential conclusions drawn from the following study could also be valuable to lower-level football coaches’ teams with limited resources.
2. Materials and methods
2.1. Study sample and design
A retrospective experimental design was fulfilled with data collected on September 15, 2019 on a sample of 78 football players from the Under 10 to Under 12 age categories, registered in the professional Italian football team Bologna Football Club 1909 participating in the first division. During their young categories, the players trained for 6 h a week (four workouts of 1.5 h each). In 2021, 2022 and 2023 (Fig. 1), information on the selection process (Bernoulli outcome with selection and un-selection options) was gathered. Only twenty-six of them were selected for the juvenile (U18) professional team (age = 11.15 ± 0.74 years, height = 144.06 ± 6.74 cm, weight = 35.38 ± 4.56 kg), while 52 of them were unselected (age = 11.22 ± 0.83 years, height = 143.06 ± 8.34 cm, weight = 35.94 ± 6.24 kg).
Fig. 1.
Study design flowchart.
All participants and their parents received and filled out a written informed consent before the evaluations. The study followed the ethical principles provided by the Helsinki declarations and was approved by the Bioethics Committee of the University of Bologna (Approval code: 25027).
2.2. Anthropometry
All the anthropometrics features were evaluated by an expert anthropometrist following standard procedures [27]. Individual stature and sitting height have been measured to the nearest 0.1 cm by a GPM stadiometer (Zurich, Switzerland) and a rigid seating seat with noted height (40 cm). Then, the leg length was computed by subtracting the sitting height (excluding the seat height) from stature. Body mass was measured to the nearest 0.1 kg with the participant in a standing position on a calibrated electronic scale (Seca 878 dr, Hamburg, Germany), wearing light indoor clothing and no shoes. Upper (relaxed and contracted upper arm) and lower (thigh and calf) limb perimeters, such as hip and waist circumferences, were measured to the nearest 0.1 cm with a non-stretchable tape (Seca 201, Hamburg, Germany) at the following sites: midpoint between acromion and olecranon; midpoint between the inguinal fold and patellar; maximal bulk of calf; midpoint between the last rib and the iliac crest; maximal bulk of glutes. Humeral and femoral bone widths were respectively evaluated at elbow and knee condyles by a sliding calliper (GPM Feithierenstrasse, Susten) to the nearest 0.1 cm. Skinfold thicknesses were obtained on the left side of the body to the nearest 1 mm with a Lange caliper (Beta Technology Inc., Houston, TX, USA) with a pressure of 10 g/mm2. Each skinfold thickness assessment was the average of three site-specific values within 10 % of each other. The same trained operator took all measurements. The Technical Error of Measurement, assessed before the project, was <5 % for skinfolds and <1 % for other measurements.
Body Fat Percentage (%F) was calculated using the validated skinfold equations [28]. Then, Fat Mass (FM) was computed by multiplying participant body mass and %F; the FFM was derived by subtracting FM from body mass. The choice of the appropriate equation for each subject was based on his maturational status. The choice of the appropriate equation for each subject was based on his maturational status. In this case, for all the subjects the skinfold equation for prepubescent white males was chosen. The total area (cm2) of the upper arm (TUA), calf (TCA), and thigh (TTA), the muscle area (cm2) of the upper arm (UMA), calf (CMA), and thigh (TMA), and the fat area (cm2) of the upper arm (UFA), calf (CFA), and thigh (TFA) were calculated [29]. In addition, arm fat index (AFI), calf fat index (FCI), and thigh fat index (TFI) were derived.
Body mass index (BMI) was obtained as body mass (kg) and squared stature (m2) ratio.
2.3. Maturity status (MS)
An estimation of the years from peak height velocity (PHV), which is an indicator of the adolescent growth spurt, was made using the equation for boys developed by Mirwald et al. [30]. The participant year from PHV has been computed by subtracting the Maturity Offset (MO, computed through the Mirwald equation) from the chronological age, computed as the difference between birthdate and measurement date divided by 365.25.
To overcome the potential biases due to the age effect and subjective growth spurt [31], we followed the approach proposed by Rommers and colleagues [24], who used age-specific z-scores to classify players according to their maturity status. All the predicted APHVs were averaged and standardized around a 0 mean value ± 1 deviation, for each category respectively. Then, players who were farther than |0.5| were classified as “earlier” (negative value), or “later” (positive value) maturing, while they were considered “on time” if −0.5<z < 0.5 [24].
2.4. Relative age effect (RAE)
The RAE value was computed according to the month of birth of each participant, subdividing each year into 3-month quartiles: Q1 = January to March; Q2 = April to June; Q3 = July to September; Q4 = October to December.
2.5. Physical performance tests
We tested countermovement jump (CMJ), 15 m sprint and repeated sprint ability (RSA), and the HARRE test (Fig. 2). Sprint and RSA tests were performed on a football field during the morning, with about 20 °C and 40 % humidity, with no rain and about 2 km/h of wind. Photoelectric cells recorded tested trial times in both RSA and sprint (Fusion Sport Smart Speed Timing Gates, Brisbane, Australia).
Fig. 2.
Physical performance tests: A, CMJ; B, 15 m sprint; C, 20 m RSA; D, HARRE test.
CMJ and HARRE tests were performed during the afternoon in an indoor Gymnasium (∼21 °C, 45 % humidity). Photoelectric cells recorded the flight time (Optojump next, Micrograte, Bolzano, Italy). All tests were assessed with technical clothes. Parents were asked not to assist with the evaluations.
To assess explosive lower-body power, we used the CMJ test (Fig. 2, A). Each participant began the trial from an upright position, with the feet extra rotated by 15° and coinciding on the same acromion vertical line [32]. At the sound signal, the participant rapidly fell reaching a knee angle of about 90° where he was asked to perform the maximal push-off against the field, maintaining the hands on the waist for the entire jump. Three trials were performed, punctuated by 1 min of passive rest. Only the best jump was used for the analysis.
The 15-m sprint test (Fig. 2, B) was performed on a football field with a grass surface [33]. Three reference lines were marked on the field at 0 and after 15 m (for photocells), and 50 cm before the starting line (for player). Each participant was positioned at the first line and was asked to run at the maximal speed possible after hearing the acoustic signal. Photocells started to record when the participant got the first line and interrupted when he reached the last line. Three trials were performed within 2 min of passive recovery. The best result was used for the analysis.
RSA proposed test included six 40 m football field shuttled sprints (20 + 20 m sprints with 180° turns, Fig. 2, C) with passive recovery intervals of 20 s [34]. Starting from a fixed line, each participant might run at maximal speed for 20 m, where a second line was marked. After touching the 20 m line with a foot, he might return to the starting line (0 m) as fast as possible. A 20-s passive recovery was allowed between each shuttle. All players performed three trials and the only best time was considered for the final analysis.
The Harre test (Fig. 2, D) was assessed according to a standardized protocol [35]. All participants were asked to complete the original circuit at maximal speed. If a participant committed a mistake the test was repeated; in case of two mistakes the test was considered unsuccessful. Three trials were performed, and the best time was collected.
2.6. Bioelectric impedance analysis (BIA)
Bioelectrical impedance measurements were carried out with a body impedance analyser (BIA 101 Anniversary, Akern, Florence, Italy) using an electric current at a frequency of 50 kHz. Each participant was asked to lie on a massage bed in the supine position with a lower limb angle of 45° compared to the median line of the body and the upper limb angle of 30° from the trunk. After cleansing the skin with alcohol, two Ag/AgCl low-impedance electrodes (Biatrodes Akern Srl, Florence, Italy) were placed on the back of the right hand at the midpoint of the styloid process and 5 cm far away, and two electrodes were placed on the back of the right foot at the midpoint of the malleolus process [36]. Two days before the evaluation, athletes were instructed to abstain from food and drink assumption for at least 4 h before the test and avoid any form of physical effort. The evaluation was assessed in a quiet room, with a temperature between 20 and 22 °C and 40 % humidity.
2.7. Statistical analysis
Descriptive statistics such as mean, standard deviation (SD), and observed frequencies (%) were calculated. For continuous variables, residual curve distribution was checked by the Shapiro–Wilk test. Whether a variable did not meet the normality assumption, its skewness was verified, and a location-scale transformation was applied.
Differences in the frequencies were tested by the chi-squared (χ2) test, with Fisher's exact test. In addition, the contribution of each variable for the test statistic was reported. To compare continuous variables means between selected and unselected players for each category (U10-12), the One-Way ANOVA was assessed with the Bonferroni post hoc test. The type I error level (p) probability was settled at 5 % (0.05). To check the power of the statistical tests applied, the power analysis for one-way ANOVA was computed with the following criteria: the number of subjects in each group, the significance level selected, the group means and the error variance. The mean power achieved was 0.73.
Then, the linear discriminant function analysis (LDA) through stepwise criteria was performed on anthropometric, body composition variables and motor performance parameters to classify subjects into the different sports categories, according to Fisher's approach. The MANOVA statistic was performed, and Wilk's lambda (λ) values were reported. Also, the average posterior probability classification was estimated to see the percentage of observations correctly classified in each group. Since groups were selected and unselected players, only one discriminant function was produced, and the canonical correlation, eigenvalue, F, and p values were reported. Finally, the standardized coefficient of the discriminant function was calculated to obtain a projection of the data that explained the maximal separation between the two groups.
All the statistical analyses were performed with STATA® software for Windows 10, version 17 (Publisher: StataCorp. 2021. Stata Statistical Software: Release 17. College Station, TX, USA, StataCorp LP).
3. Results
Table 1 shows differences in frequencies of birth quartiles and maturity status between selected and unselected players. Generally, most players were born in the first six months of the year, for selected (n = 20, 76.92 %) and unselected (n = 35, 67.31 %) youths. As regards maturity status, boys on time were prevalent (n = 30, 40.54 %), while earlier youths were 21 (28.37 %). However, no significant differences appeared between selected and unselected players in both RAE (χ2 = 5.46, p = 0.14) and MS (χ2 = 0.74, p = 0.69).
Table 1.
Differences in RAE and Maturity status prevalence between selected and unselected players.
| Selected |
unselected |
|||||
|---|---|---|---|---|---|---|
| n | % | n | % | χ2(3) | p | |
| RAE | ||||||
| U10 | 6.12 | 0.11 | ||||
| Q1 | 8 | 88.89 | 8 | 47.06 | 1.70 | |
| Q2 | 0 | 0.00 | 7 | 41.18 | 3.70 | |
| Q3 | 0 | 0.00 | 1 | 5.88 | 0.52 | |
| Q4 |
1 |
11.11 |
1 |
5.88 |
0.20 |
|
| U11 | 2.40 | 0.49 | ||||
| Q1 | 7 | 63.64 | 5 | 33.30 | 1.30 | |
| Q2 | 1 | 9.09 | 2 | 13.30 | 0.10 | |
| Q3 | 2 | 18.18 | 5 | 33.30 | 0.50 | |
| Q4 |
1 |
9.09 |
3 |
20.00 |
0.50 |
|
| U12 | 0.06 | 0.99 | ||||
| Q1 | 2 | 33.33 | 7 | 35.00 | 0.01 | |
| Q2 | 2 | 33.33 | 6 | 30.00 | 0.02 | |
| Q3 | 1 | 16.67 | 3 | 15.00 | 0.00 | |
| Q4 |
1 |
16.67 |
4 |
20.00 |
0.03 |
|
| Maturity status | ||||||
| U10 | 6.33 | <0.05* | ||||
| E | 0 | 0.00 | 8 | 47.06 | 3.33 | |
| L | 5 | 71.43 | 7 | 23.53 | 3.00 | |
| OT |
2 |
28.57 |
1 |
29.41 |
0.00 |
|
| U11 | 1.16 | 0.56 | ||||
| E | 4 | 40.00 | 4 | 26.67 | 0.30 | |
| L | 2 | 20.00 | 6 | 40.00 | 0.80 | |
| OT |
4 |
40.00 |
5 |
33.33 |
0.06 |
|
| U12 | 0.38 | 0.83 | ||||
| E | 1 | 16.67 | 4 | 20.00 | 0.00 | |
| L | 1 | 16.67 | 6 | 30.00 | 2.00 | |
| OT | 4 | 66.67 | 10 | 50.00 | 1.80 | |
note: n, number of observations; χ2, chi-squared statistical test; p, p-value.
When clustered for categories, 88.89 % of U10 selected players were born in the first quartile and 88.24 % of U10 unselected footballers were born in quartile one or two. Regarding maturity status, significant differences appeared only in the youngest category. However, the percentage of players who matured later was double in U11 unselected players (40 % vs 20 %).
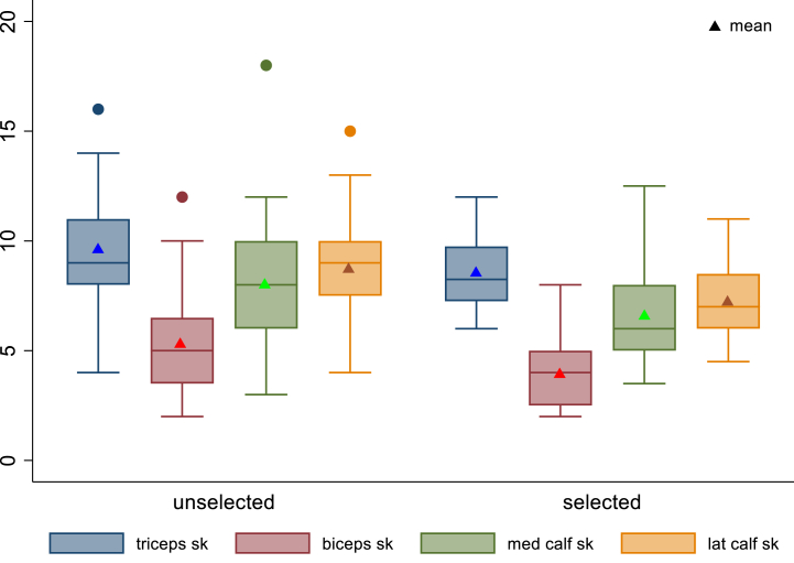
Fig. 3, Fig. 4 show some statistically significant differences that emerged in body fat between selected (right side) and unselected (left side) players. Specifically, Fig. 3 shows that selected players had a lower amount of skinfold on triceps (8.56 ± 1.62 vs 9.61 ± 2.28, p < 0.05), biceps (3.94 ± 1.68 vs 5.28 ± 2.19, p ≤ 0.01), medial (6.60 ± 2.25 vs 8.03 ± 2.73, p < 0.05) and lateral calf (7.27 ± 1.85 vs 8.62 ± 2.15, p ≤ 0.01).
Fig. 3.
Skinfolds comparisons between selected and unselected players.
Note: triangles represent mean values.
Fig. 4.
Fat areas comparisons between selected and unselected players.
Note: triangles represent mean values.
Fig. 4 shows that unselected players had higher fat areas in lower limbs than selected (ΔCFA = −2.05, p < 0.05; ΔTFA = −2.00, p ≤ 0.05). Also, significant differences emerged in percentage fat mass (selected = 13.02 % vs unselected = 14.80 %, p < 0.05).
Considering the differences within each age group (Table 2), in U10 the differences mainly concern trunk length, longer in the selected sample, maturity offset and age at PHV, which is most anticipated in the selected sample. Biceps and calf skinfolds and calf fat area were significantly thinner in the selected sample. In U11 significant differences were only observed for motor tests: the selected athletes presented a significantly better performance in 15 m sprint (s) and RSA. No significant differences were observed in U12.
Table 2.
Differences in anthropometric characteristics, body composition parameters and motor performance between selected and unselected players in the U10, U11 and U12 samples.
| Variable | selected U10 |
unselected U10 |
selected U11 |
unselected U11 |
selected U12 |
unselected U12 |
|||||||||
|---|---|---|---|---|---|---|---|---|---|---|---|---|---|---|---|
| mean | SD | mean | SD | t(1,24) | mean | SD | mean | SD | t(1,24) | mean | SD | mean | SD | t(1,24) | |
| Body mass (kg) | 32.46 | 4.05 | 31.44 | 3.60 | 0.66 | 36.83 | 4.92 | 35.07 | 4.21 | 0.96 | 40.43 | 6.36 | 37.37 | 2.37 | 1.14 |
| Stature (cm) | 139.21 | 6.03 | 137.05 | 6.23 | 0.85 | 146.40 | 6.79 | 142.80 | 3.95 | 1.68 | 148.37 | 8.98 | 147.43 | 3.16 | 0.25 |
| Trunk length (cm) | 70.30 | 2.60 | 66.61 | 2.78 | 3.01a | 60.21 | 39.69 | 70.83 | 2.94 | −1.04 | 73.37 | 4.25 | 72.68 | 2.59 | 0.37 |
| Leg length (cm) | 69.66 | 2.97 | 70.44 | 5.37 | −0.36 | 74.25 | 4.84 | 71.97 | 3.25 | 1.42 | 75.52 | 5.17 | 74.75 | 1.49 | 0.35 |
| BMI | 16.96 | 1.78 | 16.88 | 1.22 | 0.12 | 17.21 | 1.52 | 17.13 | 1.48 | 0.13 | 18.91 | 1.79 | 17.62 | 0.96 | 1.68 |
| PHV | −3.48 | 0.30 | −3.86 | 0.30 | 2.84b | −2.87 | 0.35 | −3.10 | 0.34 | 1.61 | −2.37 | 0.55 | −2.47 | 0.35 | 0.41 |
| APHV | 13.40 | 0.23 | 13.71 | 0.29 | −2.49a | 13.79 | 0.29 | 13.81 | 0.30 | −0.23 | 14.10 | 0.48 | 14.24 | 0.30 | −0.68 |
| Humeral w. (cm) | 5.61 | 0.36 | 5.37 | 0.32 | 1.63 | 5.66 | 0.31 | 5.69 | 0.27 | −0.19 | 5.92 | 0.40 | 5.62 | 0.24 | 1.59 |
| Femural w. (cm) | 8.35 | 0.35 | 8.14 | 0.35 | 1.33 | 8.63 | 0.33 | 8.47 | 0.42 | 1.01 | 9.07 | 0.52 | 8.62 | 0.36 | 1.81 |
| TUA (cm2) | 29.03 | 4.73 | 27.65 | 4.63 | 0.67 | 32.24 | 6.64 | 33.62 | 6.32 | −0.52 | 36.75 | 7.17 | 31.17 | 1.57 | 1.70 |
| UMA (cm2) | 21.72 | 3.56 | 19.91 | 3.35 | 1.19 | 24.06 | 5.10 | 24.51 | 4.31 | −0.24 | 26.58 | 5.28 | 22.65 | 1.60 | 1.62 |
| UFA (cm2) | 7.31 | 1.69 | 7.74 | 1.98 | −0.51 | 8.19 | 2.01 | 9.11 | 2.87 | −0.87 | 10.17 | 2.95 | 8.51 | 1.81 | 1.18 |
| UFI (%) | 25.11 | 3.53 | 27.93 | 4.47 | −1.52 | 25.41 | 3.06 | 26.77 | 5.80 | −0.67 | 27.56 | 4.82 | 27.24 | 5.26 | 0.13 |
| TCA (cm2) | 62.71 | 9.10 | 63.62 | 7.56 | −0.25 | 70.14 | 7.75 | 66.45 | 11.51 | 0.88 | 76.89 | 17.59 | 86.59 | 31.55 | −0.91 |
| CMA (cm2) | 54.78 | 7.62 | 52.93 | 5.19 | 0.68 | 59.95 | 7.29 | 55.42 | 9.45 | 1.27 | 63.62 | 15.41 | 74.29 | 32.01 | −1.07 |
| CFA (cm2) | 7.94 | 2.19 | 10.69 | 3.16 | −2.18a | 10.18 | 3.33 | 11.04 | 3.92 | −0.56 | 13.27 | 4.35 | 12.29 | 1.81 | 0.48 |
| CFI (%) | 12.53 | 2.39 | 16.56 | 3.63 | −2.79b | 14.52 | 4.52 | 16.65 | 5.11 | −1.05 | 17.41 | 4.12 | 15.42 | 4.45 | 0.94 |
| TTA (cm2) | 119.61 | 16.82 | 118.71 | 14.60 | 0.13 | 132.81 | 16.74 | 130.20 | 19.33 | 0.34 | 149.09 | 30.00 | 124.36 | 35.37 | 1.57 |
| TMA (cm2) | 101.85 | 14.20 | 98.43 | 11.77 | 0.61 | 112.44 | 13.41 | 107.06 | 13.70 | 0.96 | 124.31 | 23.04 | 104.01 | 31.07 | 1.62 |
| TFA (cm2) | 17.76 | 3.89 | 20.28 | 4.46 | −1.33 | 20.37 | 5.46 | 23.13 | 6.80 | −1.06 | 24.78 | 9.35 | 20.35 | 6.05 | 1.00 |
| TFI (%) | 14.78 | 2.27 | 17.01 | 2.86 | −1.88 | 15.23 | 3.09 | 17.49 | 3.25 | −1.71 | 16.32 | 3.85 | 16.83 | 3.67 | −0.26 |
| BF (%) | 12.15 | 2.07 | 13.10 | 2.29 | −0.97 | 13.23 | 2.58 | 14.47 | 3.65 | −0.92 | 16.37 | 4.06 | 14.02 | 2.67 | 1.21 |
| FM (kg) | 3.97 | 1.01 | 4.16 | 1.28 | −0.37 | 4.92 | 1.32 | 5.20 | 1.83 | −0.41 | 6.65 | 2.18 | 5.36 | 1.02 | 1.27 |
| FFM (kg) | 28.42 | 3.56 | 27.06 | 2.75 | 1.00 | 31.91 | 4.08 | 30.01 | 2.87 | 1.35 | 33.41 | 4.52 | 32.92 | 1.42 | 0.24 |
| RX (Ω) | 616.73 | 73.08 | 650.06 | 52.99 | −1.24 | 622.40 | 55.72 | 641.59 | 56.14 | −0.85 | 603.82 | 74.25 | 642.80 | 38.46 | −1.12 |
| XC (Ω) | 64.69 | 3.26 | 66.96 | 7.57 | −0.80 | 67.66 | 7.56 | 67.39 | 6.74 | 0.10 | 65.11 | 9.61 | 68.28 | 3.09 | −0.72 |
| PA | 6.07 | 0.59 | 5.91 | 0.57 | 0.62 | 6.25 | 0.62 | 6.02 | 0.34 | 1.15 | 6.18 | 0.55 | 6.10 | 0.31 | 0.32 |
| CMJ (cm) | 24.18 | 4.39 | 23.29 | 3.10 | 0.55 | 26.69 | 3.69 | 24.09 | 3.58 | 1.73 | 28.51 | 4.07 | 27.18 | 3.60 | 0.71 |
| 15 m sprint (s) | 2.97 | 0.13 | 3.02 | 0.07 | −1.12 | 2.71 | 0.11 | 2.83 | 0.12 | −2.52a | 2.67 | 0.14 | 2.64 | 0.06 | 0.44 |
| RSA (s) | 6.63 | 0.19 | 6.78 | 0.30 | −1.34 | 6.27 | 0.25 | 6.52 | 0.29 | −2.08a | 6.30 | 0.32 | 6.13 | 0.24 | 1.07 |
| HARRE test (s) | 14.47 | 1.01 | 14.59 | 0.71 | −0.33 | 13.63 | 1.06 | 13.96 | 1.82 | −0.54 | 13.50 | 0.91 | 13.34 | 0.84 | 0.36 |
note: w., width; sk, skinfold; SD, standard deviation; t, student's t statistical test.
, -value<0.05.
, p-value<0.01.
Table 3, Table 4 show the LDA results. The stepwise procedure identified three predictor variables (Table 3). Repeated Sprint Ability (RSA) entered the discriminant analysis first, followed by Age at PHV and, lastly, humerus width. By this function, 42.1 % of selected players and 85,3 % of unselected subjects were correctly classified.
Table 3.
Selected variables by LDA.
| Step | Variable | Wilks' λ | F(3, 74) | p | Tolerance |
|---|---|---|---|---|---|
| 1 | RSA | 0.939 | 10.13 | <0.01a | 0.752 |
| 2 | APHV | 0.864 | 5.81 | 0.02a | 0.886 |
| 3 | Humeral w. | 0.796 | 1.87 | 0.18 | 0.770 |
note: Humeral w., humeral width; F, Snedecor-Fisher statistic's test; p, p-value.
, statistically significant.
Table 4.
Standardized coefficients for canonical variables and test with successive roots removed.
| Function | Canonical corr. | Eigenvalue | Variance | Wilks' λ | χ2(3) | p |
|---|---|---|---|---|---|---|
| 1 | 0.49 | 0.31 | 1 | 0.76 | 12 | <0.01a |
| Standardized function coefficients | ||
|---|---|---|
| RSA | APHV | Humeral width |
| 1.03 | 0.75 | 0.47 |
note: corr., correlation; χ2, chi-squared statistical test; p, p-value.
statistically significant.
Table 4 shows the standardized coefficients for the canonical variable. The canonical correlation equals 0.49 and the RSA test reports the highest coefficient absolute value (1.03) that indicates the most contributory factor in discriminating between the teams, followed by APHV (0.75) and Humerus width (0.47).
4. Discussion
This study first aimed to compare maturation, body, and physical features between selected and unselected adolescent football players of an Italian elite football club, according to their age-related category. We have taken into consideration both biological (MS) and chronological (RAE) maturation methods and their prevalence in each age-related category (U10–U12).
Despite the total sample of groups did not report differences in RAE and MS prevalence, the percentage of all selected players who were born in the first quarter of the year was higher than in non-selected. Malina et al. reported that, since sport-specific skills are related to years of sports experience, footballers who were born in the first trimester could be advantaged in the selection process [37]. Also, despite the wider part of early footballers in the youngest category (U10) not being promoted to professional teams, the U10-selected players were predicted to get the peak height velocity earlier than unselected teammates. It is to be noticed that the age at the PHV indicates a specific moment in time, while the classification in maturity categories indicates broader groupings. Therefore, the two things could reflect different evaluations. In the present study, the age at PHV seems to be a more indicative parameter in the selection. Although the following findings could appear in contrast with previous research showing that selected players were more biologically mature than their unselected counterparts [38], the small sample size could have negatively affected our results.
Regarding anthropometry and body composition, we found that selected and unselected footballers exhibited different characteristics. Although some of our results were not statistically significant, we found characteristics that agree with previous studies [5,16,19,21]. Figueiredo and collaborators analysed data from players who were 11–12 and 13–14 years old and divided them into drop-out (players who abandoned), club (players selected for the same club), and elite (players who were selected from elite clubs) groups [16]. In their results, all elite players were heavier and taller than drop-out groups. Also, the sum of skinfolds appeared lower in both club and elite groups. In addition, a study in which the authors compared selected U11 players for elite vs non-elite teams of the same club showed that elite footballers were taller and had lower values for skinfold measurements [20]. Considering the club included in our study as an elite club, the selected players had less fat in the biceps, triceps, and medial and lateral calf skinfolds. Finally, the skinfold thickness in adolescent football players has been negatively correlated with cardiorespiratory fitness, especially for the triceps and calf anatomical sites [39]. Although we did not test the cardiorespiratory fitness in our sample, the above-mentioned results could justify discrepancies among selected and unselected footballers.
Differently, Gravina and colleagues analysed 66 footballers divided into first-team players and reserves of four categories (U11–U14). Despite no significant differences emerging, the first-team players were taller and heavier and presented lower levels of body fat than the reserves. These results are also in line with research that investigated older adolescents.
For example, Nughes and colleagues investigated U15–U17 categories and found that selected players were taller and heavier than non-selected ones [5]. Also, Gil and colleagues highlighted similar characteristics in 14-year-old players, who collectively presented lower levels of fat mass (especially in their lower limbs) as in our selected footballers [19]. In an 11-year study carried out in France, U16 players selected for international clubs were taller and heavier than footballers who did not acquire a professional contract [40]. Although no significant results appeared in body composition, players from all categories selected for international or professional clubs showed a lower level of body fat compared to amateurs. Anthropometric features such as height and weight remain relevant characteristics that could help in scouting and promotion. In addition, body composition should be more debated among football professionals. However, younger categories should be considered to better predict the anthropometric trend of talented players.
Concerning physical performance, only the U11 selected players resulted faster than unselected players in both sprint and RSA tests. Differently, no significant differences appeared in jumped height (lower limb power) and the coordination test. Considering the first evaluation assessed for assigning footballers to the first-time teams or the reserves, the results of Gravina [21] showed that the first teams' players (10–14 years) were faster than the reserves (flat sprint and sprint with cones). In contrast, no differences appeared in CMJ, squat jump and drop jump tests. Also, our results are in accordance with Figueredo et al., who found that U11-12 players selected for the elite clubs performed greater sprint and agility shuttle run tests than players who dropped out [16]. In addition, elite players did not significantly differ in CMJ when compared to club or drop-out categories. However, they found that both the squat jump and CMJ tests differed among elite and drop-out groups when players were older (U13-14). These discrepancies may reflect how conditional abilities development better emerges in adolescent maturation (>13 years old; 35). To the best of our knowledge, just one study reported power differences already from 11 years old, but the players assessed a broad jump performance (horizontal distance; 18). The speed may be more relevant in the youngest footballers’ field performance, and the power needed for vertical jump could be offset against height discrepancies and fewer situations with air tackles. Differently, when considering older categories, better strength and speed characteristics emerged in players selected for the elite than in recreational teams [9], in line with field-specific requests [18].
This study lastly aims to understand whether any anthropometric, performance or maturation feature could discriminate between selected and unselected players. According to the above-debated results, we found that the RSA test was the best predictor, followed by the age at the peak of height velocity (APHV) and the humeral width. To our knowledge, few studies computed the discriminant analysis in youth football players and age-specific-category comparisons are difficult. However, Nughes et al. who investigated U17 groups found that dribbling skills, 15-m sprint time and height were the best predictors for cub promotion [5]. Although the RSA test requests a change of direction, the players' speed seems to be a common ability among elite footballers worldwide. Accordingly, both the 15-m sprint and RSA performance were the best discriminants among U12–U15 of elite and non-elite football players [22]. Regarding APHV, it has been demonstrated that advanced or earlier maturity could be associated with functional capacities such as speed and power, which are considered the best predictors for classification as elite and non-elite football players [37]. Uncharacteristically, we found that the humeral width could be an additional useful parameter in predicting football selection. Although no previous results reported similar results for footballers, the humeral size has been correlated with stature and age development [41,42]. These characteristics are in line with Nughes’ study in which the stature discriminated by competitive player level. Anthropometric features such as the skeletal width could be considered for further investigation in juvenile sports.
The main strength of this study was the description of several anthropometrical and physical profiles among Italian younger football players, and the understanding of how they could contribute to the selection process. However, this paper presents some limitations such as the size dimension sampled from only one football club, and the estimation of maturity status by Mirwald equations that may underestimate APHV with a later observed APHV and overestimate with an earlier observed APHV [43]. Also, no football role information was investigated and the reasons why players were unselected have not been investigated. Finally, the statistical power achieved was lower than the desired value and the investigators did not evaluate the players' football experience due to a bias in measuring it.
5. Conclusion
Many aspects could influence the decision-making of football professionals in selecting talented players. Selected players could exhibit lower fat mass and greater physical abilities. Also, the ability to run speeder, the earlier age at growth spurt, and the humeral width discriminated among selection groups in elite football teams. These findings suggest that for adolescent categories run performance is still the best predictor, but other physical and biological features could support the selection process.
Data availability statement
The dataset “DATASET_selection.xlsx” is free-available on OSF (DOI 10.17605/OSF.IO/BNH6K).
CRediT authorship contribution statement
Stefania Toselli: Writing – original draft, Visualization, Validation, Supervision, Project administration, Investigation, Formal analysis, Conceptualization. Alessia Grigoletto: Writing – review & editing, Visualization, Supervision, Software, Resources, Investigation, Formal analysis. Mario Mauro: Writing – original draft, Validation, Software, Methodology, Investigation, Formal analysis, Data curation, Conceptualization.
Declaration of competing interest
The authors declare that they have no known competing financial interests or personal relationships that could have appeared to influence the work reported in this paper.
Acknowledgements
Thanks to F.C. Bologna and its staff for supporting this research project.
References
- 1.home_map | FIFA Professional Football Landscape, (n.d.). https://landscape.fifa.com/en/landscape (accessed November 30, 2023).
- 2.Williams A.M., Reilly T. Talent identification and development in soccer. J. Sports Sci. 2000;18:657–667. doi: 10.1080/02640410050120041. [DOI] [PubMed] [Google Scholar]
- 3.Neri L., Rossi G. Football players and asset manipulation: the management of football transfers in Italian Serie A. Eur. Sport Manag. Q. 2023;23:942–962. [Google Scholar]
- 4.Aquino R., Alves I.S., Padilha M.B., Casanova F., Puggina E.F., Maia J. Multivariate profiles of selected versus non-selected elite youth Brazilian soccer players. J. Hum. Kinet. 2017;60:113–121. doi: 10.1515/hukin-2017-0094. [DOI] [PMC free article] [PubMed] [Google Scholar]
- 5.Nughes E., Rago V., Aquino R., Ermidis G., Randers M.B., Ardigò L.P. Anthropometric and functional profile of selected vs. Non-selected 13-to-17-Year-Old soccer players. Sports. 2020;8:111. doi: 10.3390/sports8080111. [DOI] [PMC free article] [PubMed] [Google Scholar]
- 6.Huijgen B.C.H., Elferink-Gemser M.T., Lemmink K.A.P.M., Visscher C. Multidimensional performance characteristics in selected and deselected talented soccer players. Eur. J. Sport Sci. 2014;14:2–10. doi: 10.1080/17461391.2012.725102. [DOI] [PubMed] [Google Scholar]
- 7.Reilly T. An ergonomics model of the soccer training process. J. Sports Sci. 2005;23:561–572. doi: 10.1080/02640410400021245. [DOI] [PubMed] [Google Scholar]
- 8.Meylan C., Cronin J., Oliver J., Hughes M. Talent identification in soccer: the role of maturity status on physical, physiological and technical characteristics. Int. J. Sports Sci. Coach. 2010;5:571–592. doi: 10.1260/1747-9541.5.4.571. [DOI] [Google Scholar]
- 9.Gissis I., Papadopoulos C., Kalapotharakos V.I., Sotiropoulos A., Komsis G., Manolopoulos E. Strength and speed characteristics of elite, subelite, and recreational young soccer players. Res. Sports Med. 2006;14:205–214. doi: 10.1080/15438620600854769. [DOI] [PubMed] [Google Scholar]
- 10.Contrò V., Schiera G., Abbruzzo A., Bianco A., Amato A., Sacco A., Macchiarella A., Palma A., Proia P. An innovative way to highlight the power of each polymorphism on elite athletes phenotype expression. Eur. J. Transl. Myol. 2018;28:7186. doi: 10.4081/ejtm.2018.7186. [DOI] [PMC free article] [PubMed] [Google Scholar]
- 11.Reilly T., Williams A.M., Nevill A., Franks A. A multidisciplinary approach to talent identification in soccer. J. Sports Sci. 2000;18:695–702. doi: 10.1080/02640410050120078. [DOI] [PubMed] [Google Scholar]
- 12.Archer D.T., Drysdale K., Bradley E.J. Differentiating technical skill and motor abilities in selected and non-selected 3-5 year old team-sports players. Hum. Mov. Sci. 2016;47:81–87. doi: 10.1016/j.humov.2016.02.001. [DOI] [PubMed] [Google Scholar]
- 13.Unnithan V., White J., Georgiou A., Iga J., Drust B. Talent identification in youth soccer. J. Sports Sci. 2012;30:1719–1726. doi: 10.1080/02640414.2012.731515. [DOI] [PubMed] [Google Scholar]
- 14.Vaeyens R., Lenoir M., Williams A.M., Philippaerts R.M. Talent identification and development programmes in sport : current models and future directions. Sports Med. Auckl. NZ. 2008;38:703–714. doi: 10.2165/00007256-200838090-00001. [DOI] [PubMed] [Google Scholar]
- 15.Höner O., Votteler A., Schmid M., Schultz F., Roth K. Psychometric properties of the motor diagnostics in the German football talent identification and development programme. J. Sports Sci. 2015;33:145–159. doi: 10.1080/02640414.2014.928416. [DOI] [PubMed] [Google Scholar]
- 16.Figueiredo P., Seabra A., Brito M., Galvão M., Brito J. Are soccer and futsal affected by the relative age effect? The Portuguese football association case. Front. Psychol. 2021;12 doi: 10.3389/fpsyg.2021.679476. [DOI] [PMC free article] [PubMed] [Google Scholar]
- 17.Massa M., Moreira A., Costa R.A., Lima M.R., Thiengo C.R., Marquez W.Q., Coutts A.J., Aoki M.S. Biological maturation influences selection process in youth elite soccer players. Biol. Sport. 2022;39:435–441. doi: 10.5114/biolsport.2022.106152. [DOI] [PMC free article] [PubMed] [Google Scholar]
- 18.Rebelo A., Brito J., Maia J., Coelho-e-Silva M.J., Figueiredo A.J., Bangsbo J., Malina R.M., Seabra A. Anthropometric characteristics, physical fitness and technical performance of under-19 soccer players by competitive level and field position. Int. J. Sports Med. 2013;34:312–317. doi: 10.1055/s-0032-1323729. [DOI] [PubMed] [Google Scholar]
- 19.Gil S.M., Gil J., Ruiz F., Irazusta A., Irazusta J. Physiological and anthropometric characteristics of young soccer players according to their playing position: relevance for the selection process. J. Strength Condit Res. 2007;21:438–445. doi: 10.1519/R-19995.1. [DOI] [PubMed] [Google Scholar]
- 20.Hansen L., Bangsbo J., Twisk J., Klausen K. Development of muscle strength in relation to training level and testosterone in young male soccer players. J. Appl. Physiol. Bethesda Md. 1999;87:1141–1147. doi: 10.1152/jappl.1999.87.3.1141. 1985. [DOI] [PubMed] [Google Scholar]
- 21.Gravina L., Gil S.M., Ruiz F., Zubero J., Gil J., Irazusta J. Anthropometric and physiological differences between first team and reserve soccer players aged 10-14 years at the beginning and end of the season. J. Strength Condit Res. 2008;22:1308–1314. doi: 10.1519/JSC.0b013e31816a5c8e. [DOI] [PubMed] [Google Scholar]
- 22.Toselli S., Mauro M., Grigoletto A., Cataldi S., Benedetti L., Nanni G., Di Miceli R., Aiello P., Gallamini D., Fischetti F., Greco G. Maturation selection biases and relative age effect in Italian soccer players of different levels. Biology. 2022;11:1559. doi: 10.3390/biology11111559. [DOI] [PMC free article] [PubMed] [Google Scholar]
- 23.Coelho E Silva M.J., Figueiredo A.J., Simões F., Seabra A., Natal A., Vaeyens R., Philippaerts R., Cumming S.P., Malina R.M. Discrimination of u-14 soccer players by level and position. Int. J. Sports Med. 2010;31:790–796. doi: 10.1055/s-0030-1263139. [DOI] [PubMed] [Google Scholar]
- 24.Rommers N., Mostaert M., Goossens L., Vaeyens R., Witvrouw E., Lenoir M., D'Hondt E. Age and maturity related differences in motor coordination among male elite youth soccer players. J. Sports Sci. 2019;37:196–203. doi: 10.1080/02640414.2018.1488454. [DOI] [PubMed] [Google Scholar]
- 25.Itoh R., Hirose N. Relationship among biological maturation, physical characteristics, and motor abilities in youth elite soccer players. J. Strength Condit Res. 2020;34:382. doi: 10.1519/JSC.0000000000003346. [DOI] [PubMed] [Google Scholar]
- 26.Bidaurrazaga-Letona I., Lekue J.A., Amado M., Gil S.M. Progression in youth soccer: selection and identification in youth soccer players aged 13-15 years. J. Strength Condit Res. 2019;33:2548–2558. doi: 10.1519/JSC.0000000000001924. [DOI] [PubMed] [Google Scholar]
- 27.Lohman T.G., Roche A.F., Martorell R. Human Kinetics Books; Champaign, IL: 1988. Anthropometric Standardization Reference Manual. [Google Scholar]
- 28.Slaughter M.H., Lohman T.G., Boileau R.A., Horswill C.A., Stillman R.J., Van Loan M.D., Bemben D.A. Skinfold equations for estimation of body fatness in children and youth. Hum. Biol. 1988;60:709–723. [PubMed] [Google Scholar]
- 29.Frisancho A.R. University of Michigan Press; Ann Arbor: 2008. Anthropometric Standards: an Interactive Nutritional Reference of Body Size and Body Composition for Children and Adults. [Google Scholar]
- 30.Mirwald R.L., Baxter-Jones A.D.G., Bailey D.A., Beunen G.P. An assessment of maturity from anthropometric measurements. Med. Sci. Sports Exerc. 2002;34:689–694. doi: 10.1097/00005768-200204000-00020. [DOI] [PubMed] [Google Scholar]
- 31.Malina R.M., Kozieł S.M. Validation of maturity offset in a longitudinal sample of Polish boys. J. Sports Sci. 2014;32:424–437. doi: 10.1080/02640414.2013.828850. [DOI] [PubMed] [Google Scholar]
- 32.Ingebrigtsen J., Brochmann M., Castagna C., Bradley P.S., Ade J., Krustrup P., Holtermann A. Relationships between field performance tests in high-level soccer players. J. Strength Condit Res. 2014;28:942–949. doi: 10.1519/JSC.0b013e3182a1f861. [DOI] [PubMed] [Google Scholar]
- 33.Germano M.D., Mattos R.S.D., Sindorf M.A.G., Marchetti P.H., Verlengia R., Lopes C.R., Mota G.R.D., Crisp A.H. Effects of pre-season short-term daily undulating periodized training on muscle strength and sprint performance of under-20 soccer players. Int. J. Sport Cult. Sci. 2015;3:64–72. doi: 10.14486/IJSCS274. [DOI] [Google Scholar]
- 34.Rampinini E., Sassi A., Morelli A., Mazzoni S., Fanchini M., Coutts A.J. Repeated-sprint ability in professional and amateur soccer players. Appl. Physiol. Nutr. Metab. Physiol. Appl. Nutr. Metab. 2009;34:1048–1054. doi: 10.1139/H09-111. [DOI] [PubMed] [Google Scholar]
- 35.Harre D., Barsch J. first ed. Sportverlag; Berlin: 1982. Principles of Sports Training: Introduction to the Theory and Methods of Training. [Google Scholar]
- 36.Lukaski H., Piccoli A. Handb. Anthr. Phys. Meas. Hum. Form Health Dis., Victor R. Preedy, 233 Spring Street. 2012. Bioelectrical impedance vector analysis for assessment of hydration in physiological states and clinical conditions; pp. 287–305. New York, NY 10013, USA. [DOI] [Google Scholar]
- 37.Malina R.M., Ribeiro B., Aroso J., Cumming S.P. Characteristics of youth soccer players aged 13-15 years classified by skill level. Br. J. Sports Med. 2007;41:290–295. doi: 10.1136/bjsm.2006.031294. ; discussion 295. [DOI] [PMC free article] [PubMed] [Google Scholar]
- 38.Helsen W.F., Hodges N.J., Winckel J.V., Starkes J.L. The roles of talent, physical precocity and practice in the development of soccer expertise. J. Sports Sci. 2000;18:727–736. doi: 10.1080/02640410050120104. [DOI] [PubMed] [Google Scholar]
- 39.Nikolaidis P.T., Weiss K., Knechtle B. Skinfold thickness variation and associations with cardiorespiratory fitness in male soccer players of different ages. Eur. Rev. Med. Pharmacol. Sci. 2023;27:2200–2209. doi: 10.26355/eurrev_202303_31753. [DOI] [PubMed] [Google Scholar]
- 40.le Gall F., Carling C., Williams M., Reilly T. Anthropometric and fitness characteristics of international, professional and amateur male graduate soccer players from an elite youth academy. J. Sci. Med. Sport. 2010;13:90–95. doi: 10.1016/j.jsams.2008.07.004. [DOI] [PubMed] [Google Scholar]
- 41.Khan H.S., Hayes W., Saha S., Márquez S. A comparative biomechanical study of load bearing properties between the humerus and the femur. Faseb. J. 2011;25 doi: 10.1096/fasebj.25.1_supplement.867.13. 867.13-867.13. [DOI] [Google Scholar]
- 42.Rissech C., López-Costas O., Turbón D. Humeral development from neonatal period to skeletal maturity--application in age and sex assessment. Int. J. Leg. Med. 2013;127:201–212. doi: 10.1007/s00414-012-0713-7. [DOI] [PubMed] [Google Scholar]
- 43.Malina R.M., Rogol A.D., Cumming S.P., Coelho e Silva M.J., Figueiredo A.J. Biological maturation of youth athletes: assessment and implications. Br. J. Sports Med. 2015;49:852–859. doi: 10.1136/bjsports-2015-094623. [DOI] [PubMed] [Google Scholar]
Associated Data
This section collects any data citations, data availability statements, or supplementary materials included in this article.
Data Availability Statement
The dataset “DATASET_selection.xlsx” is free-available on OSF (DOI 10.17605/OSF.IO/BNH6K).




