Abstract
Aminothiazoles are the important class of chemical groups which have proven their broad range of biological activities. A novel aminothiazole (21MAT) was quantified in analytical solutions using a high-performance liquid chromatography (HPLC) approach that was developed and partially validated for the analysis of in vitro experimental samples. An isocratic elution on reverse phase Phenomenex® Luna C18 (50 mm × 4.6 mm, 5 μm) column with 55% 0.1% v/v orthophosphoric acid in water and 45% of orthophosphoric acid in acetonitrile at a flow rate of 1 mL/min was used. The analyte was detected at 272 nm. Similar to this, a robust bioanalytical technique, LC-mass spectrometry (LC-MS/MS) was created and verified to measure 21MAT in rat plasma for use in in vitro screening study samples and early-stage pharmacokinetic research. The protein precipitation method was used to extract 21MAT from plasma. The mixture of 95: 5% v/v methanol: acetonitrile and 0.1% v/v formic acid, along with 15% of 5 mM ammonium formate solution, was used to separate the mixture on a reverse phase Waters Xterra RP® C18 (150 mm × 4.6 mm, 5 μm) column at a flow rate of 1 mL/min. Using electro spray ionisation mode in multiple reaction monitoring mode, the analyte and internal standard (a structural analogue) were both identified. According to current criteria, all validation parameters (specificity, selectivity, accuracy, precision, recovery, matrix factor, hemolysis effect, and stability) were evaluated in rat plasma. The area response of 21MAT was found to be linear over the concentration range of 1.25–1250 ng/mL in rat plasma. Both techniques are suitable for use in any format of preclinical research and were sufficiently reliable to measure 21MAT precisely in various matrices. In silico prediction helped in understanding absorption, distribution, metabolism, excretion, and toxicity (ADMET) behaviour of the molecule. Both developed LC-MS/MS and HPLC-UV methods were successfully used to quantify the analyte in in vitro screening study samples.
Keywords: 2-Aminothiazole, HPLC-UV, LC-MS/MS, Isocratic, In silico, ADMET, ADMETLab2.0
Introduction
Drug discovery and development of a new drug are also extremely costly affairs which usually challenge the pharmaceutical industries. To firm their grip in the continuous growing pharma market, big pharma giants are always working towards improving the efficiency and effectiveness of their drug discovery and development strategies. In addition to the stringent regulatory guidelines, the new chemical entities (NCEs) of many pharma companies fail in their journey due to (i) improper target selection (lack of proof of concept in human), (ii) high attrition rates due to poor pharmacokinetics in development phases, (iii) poor toxicology and pharmacological properties, and (iv) lengthy discovery and development journey [1]. Experimental designs to evaluate and resolve early absorption, distribution, metabolism, excretion, and toxicity (ADMET) properties, toxicological profiles, and safety issues, will help in reducing the failure rates and may help to reach the end point of drug discovery and development journey, faster [1]. Even though the failure rates are high, the quest for discovering a new scaffold in drug discovery and development is the only way for pharmaceutical medicinal chemists to fulfil the need of a more effective drug [1]. Heterocyclic compounds are always important in the field of drug discovery due to their versatility and applications. Numerous heterocyclic compounds with nitrogen and sulphur in their structures are employed as therapeutic targets in a variety of therapeutic targets.
An essential pharmacophore in the research and development of new drugs is thiazole. Thiazole-containing heterocycles have numerous structural variants that target a variety of therapeutic applications, including but not limited to antibacterial, anticancer, anti-inflammatory, and anti-human immunodeficiency virus (HIV). Because of their demonstrated anti-allergic [2, 3], antibacterial [4–6], antifungal [7] anti-hypertensive [8], anti-inflammatory [9, 10], antioxidative [11], antiprotozoal [12], antipyretic [13], analgesic [14], antitumor [15–17], antitubercular [18, 19], antiviral [20–22], psychotropic [23], and pesticidal [24] properties, aminothiazole scaffolds are significant structural units in medicinal chemistry. A new class of 2-amino-4-phenylthiazole derivatives (11 a-o) were synthesized and evaluated by Zhang et al. against A549, HeLa, HT29, and Karpas299 human cancer cell lines for their in vitro antiproliferative activity. The study also reported that outstanding growth inhibition effect on HT29 cell line. The IC50 value of 2.01 µM has been shown by one of the synthesized derivatives. Additionally, they also demonstrated that the new compounds are having the potential growth inhibition activity by performing a molecular docking study [25].
According to Zhan et al., 2-amino substituted thiazolyl thioacetamide derivatives demonstrated EC50 of 0.73 and 0.97 µM and TI of 58 and 52, respectively, against the influenza A/H1N1 virus, indicating that they represent a novel class of potential antiviral drugs. A handful of the compounds were shown to have antiviral activity that was superior to that of the reference medications, ribavirin, amantadine, and rimantadine (oseltamivir carboxylate) [26]. Novelrel-(6R,7R)-2-oxo-7-phenyl-3,5,6,7-tetrahydro-2 H-thiopyrano[2,3-d]thiazole-6 carbaldehyde derivatives have been discovered by Lozynskyi et al. to have potential antiviral properties [27]. Lead-qualifying compounds were discovered; these compounds shown potency and pan-activity against the genotypes of the screened human rhinoviruses (HRV) as well as against other enteroviruses, including CV-B4 (anti-coxsackievirus B4) [28]. Thus, the exploration on more and more 2-aminothiazole scaffold will be continued to evaluate for many more biologically active 2-aminothiazoles to convert from pre-clinic labs to clinic [29]. Poor membrane permeation and poor absorption are few of the major probabilities the drug fail. Some of the other reasons based on the More than five H-bond donors, a molecular weight of more than 500, partition coefficients between n-octanol and water (log coctanol/cwater) of more than five, and a sum of Ns and Os of more than ten are the conditions that satisfy Lipinski’s rule. Thus, it is advised to evaluate structural features and calculate partition/distribution coefficients as early as possible to enable the selection of more “drug-like” drug candidates, as proposed by the rule of five [30].
Through literature survey on aminothizole compounds indicated several reports on their synthesis, characterization, and biological activities [25–30]. However, suitable analytical methodologies for their identification in analytical solutions, pharmaceutical products, and biological samples are scarce in the literature. A capillary electrophoresis with end-column amperometric detection has been reported for the simultaneous determination of 2-aminothiazole (2AT), 2-aminobenzothiazole (2ABT), and 2-mercaptobenzothiazole (2MBT) in analytical solutions. This method was applied for the simultaneous analysis of 2AT, 2ABT, and 2MBT in river water samples [31]. A liquid chromatography with tandem mass spectrometry (LC-MS/MS) method has also been reported for the determination of 2-aminothiazoline-4-carboxylic acid (ATCA) in rat plasma samples as a forensic biomarker for cyanide poisoning [32]. To the best of author’s knowledge, the LC-MS/MS and high-performance liquid chromatography (HPLC) with ultra-violet (UV) detection have not been reported for the determination of a novel aminothiazole (21MAT) in analytical solutions and biological samples. The present LC-MS/MS method was found to be superior over reported LC-MS/MS method, while the present HPLC-UV method was inferior over reported LC-MS/MS method in terms of linearity [32]. Synthesis of NCEs with good durable characters and their early screening is very much necessary in drug discovery area. To screen various newly synthesized aminothiazoles for their early in vitro and in vivo behaviour, development of sensitive bioanalytical method using modern day advanced LC-MS/MS systems are very much essential which comply with the regulatory guidelines or as per industrial standards [33, 34]. Similarly, an HPLC-UV method is also required to analyse and confirm the concentration of the testing molecule in various analytical solutions and preclinical dose formulations which should also be validated for its performance as per industrial acceptability [35]. Based on all these facts and evidences, the HPLC-UV method was developed and partially validated for the determination of a novel aminothiazole (21MAT). Current work also demonstrates the development and validation of a sensitive LC-MS/MS method to estimate 21MAT in rat plasma and its application in analysing various in vitro screening study samples. The developed HPLC-UV method can also be precisely applied to quantify this analyte in suitable sample solutions or formulation from any preclinical study. In silico prediction using an online tool was also used to understand the ADMET parameters before their actual evaluation, to get a preliminary information.
Experimental
Materials
MS-grade (≥ 99.0% pure) ammonium formate, formic acid, and dimethyl sulfoxide (DMSO) were obtained from Sigma Aldrich (Mumbai, India). HPLC-grade acetonitrile, methanol, orthophosphoric acid (OPA), HCl were purchased from E-Merck (Darmstadt, Germany). The in-house Milli-Q® water system (Lyon, France) provided the Milli-Q® water utilized to prepare the mobile phase, rinse solvent, and seal washes. Disodium hydrogen phosphate was from Loba Chemie Pvt. Ltd., (Mumbai, India), sodium hydrogen phosphate from Rankem (Mumbai, India), 1-octanol from Spectrochem (Mumbai, India), and NaOH from SD Fine Chemicals (Mumbai, India) were used in the experiments. The analyte 21MAT (C18H17N3O3S, 355.41, purity ≥ 97%) and the internal standard 19MAT (C18H17N3O2S, 339.41, purity ≥ 97%) used in this study were received from BITS (Ranchi, India). Microbalance (MYA 2.4Y) and semi-microbalance (AS 82/220.X2 PLUS) from Radwag (Mumbai, India) were used for weighing of compounds and buffers. The rat plasma samples were obtained from in-house animal laboratory of Vivo Biotech (Hyderabad, India). The human plasma samples were obtained from Bio Ally (Bangalore, India). The samples were provided by the healthy male human volunteers (aged between 24 and 40 years) to the Bio Ally (Bangalore, India). All human volunteers were disease-free and were not on medications. The plasma samples were collected in the heparinized vacutainers.
Chromatographic and mass spectrometric conditions
For the HPLC-UV method, Waters Alliance (Waters 2695/e2695 separations module) and Shimadzu Ai-series LC-2050 C HPLC equipped with UV Detector (Waters 2487 dual λ absorbance/2998 PDA and Shimadzu UV-VIS PDA) and PC based data system with Empower 3 Software (Waters Corporation, Milford, CT, USA) were used. UV-Visible spectrophotometer (UV-1900i) was from Shimadzu (Tokyo, Japan) was also used. HPLC separation of 21MAT was achieved by an isocratic elution on Phenomenex® Luna C18 (50 mm × 4.6 mm, 5 μm) column using 55% of 0.1% v/v OPA and 45% of acetonitrile at a flow rate of 1 mL/min. The analyte was detected at 272 nm (other ʎmax were at 197 and 328 nm). Figure 1 shows the structure and UV spectra of 21MAT.
Fig. 1.
Structure and UV absorption spectra of 21MAT
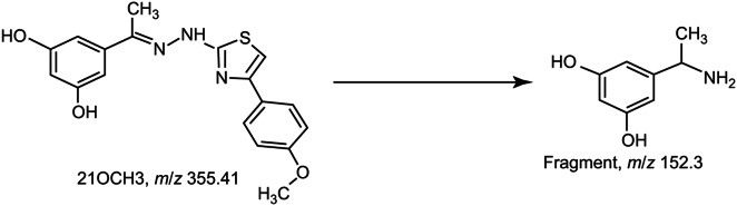
This study made use of a triple quadrupole mass spectrometer equipment, the SCIEX API4000TM LC/MS/MS, fitted with a positive electrospray ionisation (ESI) source. Analyst® 1.7 was used for data collecting, integration, and quantification. Liquid chromatographic separation of 21MAT and internal standard, 19MAT, in LC-MS/MS method were achieved by an isocratic elution on a reverse phase Waters Xterra RP® C18 (150 mm × 4.6 mm, 5 μm) analytical column, operating at 40 ºC column ovens. 85 parts of a 5 mM ammonium formate solution with 0.1% v/v formic acid (mobile phase A) and 15 parts of a 95:5% v/v combination of acetonitrile and methanol (mobile phase B) were used as the mobile phase mixture for isocratic elution. Flow rate of mobile phase was optimized at 1 mL/min. Multiple reaction monitoring (MRM) was used to identify the analytes when the mass spectrometer was run in positive ESI mode with unit mass resolution in a quadrupole analyzer with a dwell period of 200 ms. To obtain the necessary sensitivity, the compound parameters for 21MAT and 19MAT (internal standard) were optimised using MRM transition (m/z). A 25 psi curtain gas N2 flow (CUR), a 40 psi nebulizer gas (gas 1), an ion spray voltage of + 5500 V (IS), an auxiliary N2 gas of 60 psi (gas 2) with a 500 °C turbo spray temperature (TEMP), and a 10 psi collision-activated dissociation gas (CAD) were the optimised source parameters. The MRM transition (m/z) chosen for the analyte 21MAT and internal standard, 19MAT were m/z 357.2→152.3 and m/z 341.2→206.1, 341.2→136.1, respectively. Figure 2 represents the structure of 21MAT and its fragments. Figure 3 represents the structure of internal standard (19MAT) and its fragments.
Fig. 2.
21MAT and its fragment m/z: 152
Fig. 3.
Structure and fragments of 19MAT, internal standard
Calibration standards and quality controls (QCs)
A concentration of 1000 µg/mL of 21MAT was prepared in DMSO as stock solutions. 19MAT, an aminothiazole structural counterpart, served as the internal standard. Additionally, a stock solution of the internal standard was made in DMSO at a concentration of 1000 µg/mL. Using acetonitrile, the stock solution was diluted to provide a working solution of 1000 ng/mL. In order to create calibration standards, calibration standard solutions were spiked at 1.25, 2.50, 5.00, 10.0, 33.3, 55.5, 185, 403, 875, and 1250 ng/mL in the interference-free blank plasma. In a similar manner, another independent stock solution was used to prepare the QC samples, yielding plasma concentrations of 3.75, 500, and 1000 ng/mL, which correspond to low, medium, and high concentrations of QC samples. At + 2 to + 8 ◦C, the aqueous stocks, diluted standards, and QC solutions were kept. Before being used, the spiked plasma samples (QC and calibration standards) were kept at either at freezer of refrigerator (-20 ºC) or deep freezer (-70 ºC).
Extraction of drugs form plasma
Prior to the extraction process, all plasma samples (calibration standards, QCs, blank plasma samples, and samples of unknown drugs) that were kept either at freezer of refrigerator (-20 °C) or deep freezer (-70 °C) were brought to room temperature for two hours to thaw, and then vortexed for approximately thirty seconds. 21MAT was extracted from rat plasma using a protein precipitation technique [36, 37]. To a 50 µL aliquots of plasma samples [calibration standards (1.25–1250 ng/mL), blank plasma (without analytes), QCs (3.75–1000 ng/mL), and unknown drug samples (unknown concentrations)], 50 µL of internal standard, 19MAT (1000 ng/mL in acetonitrile) and 175 µL of acetonitrile were added. The samples were mixed thoroughly. Every sample was vortexed for ten minutes at 1500 rpm and then centrifuged for ten minutes at 14,000 rpm and 4 °C. After being separated, 150 µL of the organic supernatant was poured into polypropylene inserts that were placed within 1 mL shell vials and sealed with polyethylene plugs. The samples were injected into the LC-MS/MS apparatus in aliquots of 5 µL (for all concentrations investigated) each for analysis.
LC-MS/MS method validation
Using the peak area ratio method (peak area of analyte/internal standard), the analyte was measured in plasma samples. Using linear regression analysis (y = mx + C) of the spiked calibration standard and the reciprocal of the square of the concentration of 21MAT as a weighting factor (1/x2), peak area ratios of the calibration standards were displayed versus their nominal concentrations. Where C is the value of the y-axis intercept, m is the slope of the linear curve, x is concentration, and y is the peak area ratio.
Specificity and selectivity
Six lots of interference-free rat plasma were processed using the sample processing procedure in order to assess the specificity and selectivity. The end goal of the analysis was to ascertain the extent of potential endogenous components from the plasma that could potentially interfere with the retention time of each analyte and the corresponding internal standard. The method’s selectivity was assessed at 1.22 ng/mL, the lower limit of quantification (LLOQ) concentration. Six distinct lots of interference-free blank plasma spiked at LLOQ concentration were used to extract and analyse rat plasma samples. In these samples, the signal-to-noise ratio was calculated by comparing the mean baseline noise close to the analyte retention period with the analyte peak in the LLOQ sample.
Carryover
In order to ascertain the residual carryover of the internal standard, 19MAT, and analyte, 21MAT, from a high concentration sample to a subsequent sample, the carryover effect was assessed. Extracted samples from rat plasma were injected in the following order to find the carryover: extracted blank, upper limit of quantification (ULOQ) standard, LLOQ standard, and then another injection of the same extracted blank. The percentage of peak areas at analyte/internal standard retention times in standard blank compared to those of analyte/internal standard peak areas in LLOQ standard injection was used to calculate the analyte/internal standard carryover.
Linearity
Using calibration curves with back computed concentrations from ten non-zero standards (1.25, 2.50, 5.00, 10.0, 33.3, 55.5, 185, 403, 875, and 1250 ng/mL) ranging from 1.25 ng/mL to 1250 ng/mL, the linearity of 21MAT in the extracted rat plasma samples was ascertained.
Precision and accuracy
Rat plasma samples (three batches including robustness) were used to analyse 21MAT in order to assess the method’s precision and accuracy. Twelve non-zero calibration curve standards, a standard blank, a standard zero, and a total of twenty-four spiked QC samples (6 replicates for each of the lower quality control (LQC), middle quality control (MQC), and higher quality control (HQC) samples) were included in each batch. Accuracy and precision within and between batches were also assessed.
Matrix recovery
Rat plasma’s matrix recovery for the LC-MS/MS assay was assessed at three different QC levels: LQC, MQC, and HQC. The % recovery of 21MAT from rat plasma was calculated by dividing the peak area ratio of plasma spiked with analyte before extraction (A) by that of plasma spiked with analyte after extraction (B), or A/B × 100 [33].
Matrix factor
Rat plasma’s matrix factor for 21MAT was examined at both LQC and HQC concentrations. Aqueous LQC and HQC were used to spike six distinct sets of post-extracted blank plasma samples. The peak area of each post-extracted sample was compared to the comparator sample using the percentage CV method.
Hemolysis effect
Along with newly made calibration standards and batch QC samples (in non-haemolysed plasma), the analyte, 21MAT, was spiked at LQC and HQC in interference-free haemolysed plasma in six replicates. This will assist in evaluating how hemolysis, which may have occurred during sample collection in any animal study, affected the plasma concentration and its measurement.
Dilution check
The dilution QC (DQC) stock was spiked to create six replicates of the QC samples. The samples were then further diluted 100 times with interference-free blank rat plasma before being analysed against recently made calibration standards. The procedure to assess the integrity of the unknown quantity in research samples following any such dilution, if applied, is known as the dilution check.
Stock and working solution stability
The short- and long-term stability of 21MAT in prepared solutions (stocks, calibration standard, and QC solutions) was evaluated at room temperature and at refrigeration temperature. The stocks were analysed after the respective storage conditions against the freshly prepared comparator samples, at similar concentration level.
Plasma stability
By examining six replicates of QC samples spiked at LQC (3.75 ng/mL) and HQC (1000 ng/mL) concentration levels, under various storage conditions, thaw cycles, and storage durations, the stability of 21MAT in plasma was evaluated. A newly created 21MAT calibration curve was used to evaluate all stability parameters. After storing samples for five hours at 25 ± 5 °C, LQC (3.75 ng/mL) and HQC (1000 ng/mL) were processed and quantified to evaluate the bench-top stability of 21MAT. After freezing the spiked LQC and HQC samples at -70 °C and thawing them at 20 °C, the freeze-thaw stability was evaluated. The evaluation of freeze-thaw stability involved five freeze-thaw cycles. By examining the spiked LQC and HQC samples that had been kept at − 20 and − 70 °C for roughly 45 days, the long-term stability was evaluated. If the deviation in the mean concentrations of the LQC and HQC samples was found to be within the specified bounds of precision (≤ 15%) and accuracy (± 15%), the samples were deemed stable [33].
Reinjection reproducibility
Samples from an approved batch with acceptable precision and accuracy were reanalyzed after being stored at auto-sampler temperature (about 5 °C) for approximately 48 h. This was done to verify that the processed samples could be repeated after being stored.
HPLC-UV partial method validation
An HPLC-UV method was validated partially by evaluating the parameters like specificity, accuracy, precision, and linearity range. The analyte 21MAT was quantified in analytical solutions prepared at 0.5, 1 and 1.5 mg/mL concentrations. The solutions were analysed using Waters Alliance (Waters 2695/ e2695 separations module) HPLC with UV Detector (Waters 2487 dual λ absorbance/2998 PDA) and the data was captured using computer-based data system with Empower 3 Software (Waters Corporation, Milford, CT, USA).
Specificity
To evaluate the specificity of the analytical method, diluent (Acetonitrile: Milli-Q® water, 50:50 v/v) was injected into HPLC and absence of interference peak at the retention time of the analyte has ensured specificity of the method.
Linearity and range
For detector linearity, duplicate injections of six calibration standard solutions ranging from 2.06 to 20.60 µg/mL were injected to HPLC. A graph of detector response versus concentration was plotted (concentration on X-axis and detector response on Y-axis) and coefficient of determination (R2) was established, for the selected range.
Accuracy
A stock solution of 21MAT at 0.5 (50%), 1 (100%) and 1.5 mg/mL (150%) were prepared in diluent and six aliquots of 0.5, 0.25 and 0.125 mL each were diluted first to 25 mL in volumetric flasks with diluent, equivalent to the working standard concentration of 10 µg/mL for quantification.
Accuracy as percent recovery was calculated as given below:
![]() |
1 |
Precision
For evaluating the precision of the method, mean concentration from the six replicate injections at each concentration level from accuracy test were calculated along with % relative standard deviation (RSD).
Precision as % RSD was calculated as given below:
![]() |
2 |
In silico prediction of ADMET properties
As the test compound synthesised was a part of early-stage drug discovery screening process, an in silico prediction was performed using a tool available in the public domain ADMETLab2.0, to understand the ADMET and physicochemical properties, along with medicinal chemistry information before planning for in vivo and in vitro experiments.
In vitro screening
Buffer solubility
Kinetic solubility also called buffer solubility is an important parameter for evaluating the suitability of test compounds for high throughput assays in early drug discovery. The objective of this experiment was to determine kinetic solubility of 21MAT at room temperature using the range of concentrations in phosphate buffer at pH 7.4.
A 10 mM stock solution of 21MAT was prepared in DMSO serially diluted to get working stock solutions of 5, 2.5, 1.25, 0.625, 0.312, 0.156, and 0.078 mM concentration. Disodium hydrogen phosphate (7.1 g) and sodium dihydrogen phosphate (6.0 g) were separately dissolved in 1000 mL Milli-Q® water. The pH of disodium hydrogen phosphate solution was adjusted to 7.4 using sodium dihydrogen phosphate solution. Mixture of 1:1 ratio of acetonitrile and buffer was used for the preparation of calibration curve standards (100, 50, 25, 12.5, 6.25, 3.12, 1.56, and 0.78 µM) of 21MAT. The study was performed by spiking 10 µL working stock solutions into 990 µL buffer to obtain final concentrations of 100, 50, 25, 12.5, 6.25, 3.12, 1.56, and 0.78 µM. Spiked buffer samples were retained at room temperature (~ 24 °C) for 2 h. The samples were centrifuged at 4000 rpm for 20 min at room temperature to enable the insoluble particles/precipitates to settle down. To 100 µL aliquot of the supernatant, 100 µL acetonitrile as added mixed and analyzed using HPLC-UV method. The calibration standards were prepared by spiking 5 µL stock solutions into 995 µL acetonitrile-buffer (1:1) mixture. The concentration in samples were determined against the calibration curve by using the following equation:
![]() |
3 |
Where,
Y = peak area of samples.
m = Slope of calibration curve.
X = Concentration of test item (µM).
C = Intercept of calibration curve.
Log D and Log P
The objective of this experiment was to determine the distribution coefficient (logD) and partition coefficient (logP) of 21MAT in octanol and sodium phosphate (50 mM, pH 7.4) mixture, in octanol and water mixture, respectively. A 10 mM stock solution of 21MAT was prepared in DMSO. The stock was further serially diluted in DMSO to prepare working stock solutions of 5, 2.5, 1.25 and 0.625 mM. The experiment was conducted at final concentrations of 100, 50, 25, 12.5 and 6.25 µM. Disodium hydrogen phosphate (7.1 g) and sodium dihydrogen phosphate (6.0 g) were separately dissolved in 1000 mL Milli-Q® water. The pH of disodium hydrogen phosphate solution was adjusted to 7.4 using sodium dihydrogen phosphate solution.
Mixture of 1-octanol and sodium phosphate buffer prepared and used for the preparation of calibration curve standards. The mixture was kept in the plasma extractor for 24 h. After pre-saturation, the mixture was separated in a separating funnel to separate the two phases. The test solutions were prepared by spiking 10 µL of working stock solutions into 990 µL of pre-saturated 1-octanol: buffer (1:1) mixture to produce test item final concentrations of 6.25, 12.5, 25, 50 and 100 µM. The solutions will be kept in the plasma extractor for 1 h for mixing and partitioning at room temperature (24 °C). The samples from the both the organic (1-octanol) and aqueous layer (buffer) were separately used to read the using the UV-vis spectrophotometer at 272 nm (the λmax of 21MAT). Similarly, the pre-saturated 1-octanol: water (1:1) used for logP experiment. Verapamil and Atenolol were used as controls for the experiment. The logD/logP were calculated from the slope of the graph.
![]() |
4 |
Plasma protein binding
The protein binding evaluation was performed using high throughput (HT) Dialysis® 96-well apparatus. Dialysis membranes were regenerated by soaking in deionized water for 15 min followed by 15 min in 25% methanol. Membranes were soaked subsequently in sodium phosphate buffer (100 mM, pH 7.4) till use. The pH of the rat plasma was adjusted to 7.4 using 0.1 N HCl and 0.1 N NaOH. The experiment was conducted by spiking 2.5 mM stock of the compound in human (Caucasian; male, K2EDTA). The spiked plasma samples were mixed thoroughly by inverting the tube 4 to 5 times. Aliquots (5 µL) (n = 4) collected in 50 µL acetonitrile (C0 h samples) and stored below − 70 °C till analysis. About 120 µL of blank buffer of 100 mM sodium phosphate buffer pH 7.4 placed into one half-cell (receiver compartment) and 120 µL of test compound spiked plasma was placed in the other half cell (donor compartment). The HT Dialysis® plate was sealed and incubated at 37 °C for 5 h at 60 rpm under 5% CO2 atmosphere. An aliquot of test compound spiked plasma was also incubated in a 37 °C incubator for 5 h to assess the stability of the test compound in plasma. Diclofenac (Make: Sigma Aldrich) binding in human plasma at a final concentration of 3 µM was performed as a positive control. After completion of experiment, 50 µL receiver and 5 µL donor samples were mixed with 50 µL of acetonitrile and samples were analysed using LC-MS/MS.
![]() |
5 |
![]() |
6 |
![]() |
7 |
Results and discussion
LC-MS/MS method development
The chromatographic parameters for the LC-MS/MS method were carefully tuned to produce excellent peak shape, high sensitivity, and short retention times. The mobile phase’s composition could be changed to alter the detection of 21MAT in plasma samples. Initially, a variety of pure solvents were explored for the development of the LC-MS/MS technology, including methanol, acetonitrile, and water. The findings showed that poor chromatographic results were obtained when 21MAT was analysed using methanol, acetonitrile, and water. Next, various proportions of methanol to acetonitrile, as well as varying percentages of solutions containing ammonium formate and formic acid, were examined. We were able to achieve the assay selectivity, high peaks resolution, enhanced separation efficiency, reduced retention time, and solvent consumption by using Xterra RP® C18 (150 mm × 4.6 mm, 5 μm) column in conjunction with LC-MS/MS technology. The chromatographic conditions and ionisation responses of several mobile phases were assessed under isocratic elution at various compositions and flow rates in order to obtain a shorter run time with better separation. The best separation with good peaks shape and high resolution was achieved when the mixture of mobile phase A (0.1% formic acid and 15% of 5 mM ammonium formate solution, 50:50 v/v) and mobile phase B (methanol: acetonitrile, 95: 5 v/v) in the ratio of 85: 15 v/v was used (Fig. 4) at flow rate of 1.0 mL/min having Xterra RP® C18 (150 mm × 4.6 mm, 5 μm) column. Both 21MAT and internal standard (19MAT) were eluted at 2.09 ± 0.02 and 2.66 ± 0.04 min, respectively, with a total run time of 5.0 min only. After optimization, the values of the other parameters, which included column temperature, autosampler temperature, and injection volume, were determined to be 40 °C, 5 °C, and 5 µL, respectively. Parent ion signals in positive (ESI+) mode were obtained during MS tuning with an ESI source. A stable MRM transition for 21MAT was attempted using ESI-mode as a backup supply. An internal standard, 19MAT, also produced the most abundant molecular ions at m/z 341.2 and its fragment ions at m/z 206.1 and 136.1 in ESI-mode, which were selected as precursor and product ions, respectively. Finally precursor to product ion transitions at m/z 372.2 →152.3 for 21MAT and m/z 341.2→206.1 and 341.2→136.1 for 19MAT were used for MRM quantification. To achieve the ideal intensity of deprotonated molecular ions for both 21MAT and 19MAT, fine tuning was carried out by manual adjustment of source dependent parameters such as desolvation temperature, ESI source temperature, desolvation gas, and cone gas flow rate. To obtain the strong product ion signals, compound-specific parameters like capillary and cone voltage were further optimized. We were able to successfully identify and quantify 21MAT in rat plasma samples by using the ESI-mode.
Fig. 4.
Representative chromatograms of analyte and internal standard
LC-MS/MS method validation
System suitability
The representative chromatograms of analyte and internal standard are presented in Fig. 4. Using the % CV for the peak area ratio (analyte to internal standard) of six replicate injections at ULOQ concentration, the system’s suitability was evaluated throughout the validation phase. The analyte retention time was consistent within ± 0.5 min in every analytical run conducted during method validation, and the evaluation fulfils the acceptability requirements of % CV of ≤ 2% for both peak area ratio and retention time. The mean signal and the noise ratio for the analyte at LOQ was > 10 in the matrix has confirmed the accurate detection of the analyte without the matrix related interference.
Specificity and selectivity
Six distinct rat plasma lots’ retention times for the analyte and internal standard showed no discernible interference, confirming the method’s specificity. With a good detection at the LOQ level, the approach may identify the analyte peak selectively.
Carryover
After injecting the ULOQ calibration standard into the extracted blank sample again, no discernible carryover was seen at the analyte and internal standard retention times.
Linearity
The calibration curve was constructed using ten non-zero calibration standards that were taken from rat plasma. Table 1 presents the summary results for the linear regression analysis of calibration curve. The calibration curve for 21MAT was found to be linear in the range of 1.25–1250 ng/mL with the determination of coefficient (R2) value of 0.9970. The linearity was not obtained (R2 < 0.99) when the calibration standards were analysed below 1.25 ng/mL and beyond 1250 ng/mL concentrations. As a result, the linearity range of 1.25–1250 ng/mL was selected as the final linearity range in this work. When 21MAT concentrations were regressed using weighted least squares regression with a coefficient of 1/ x2, the calibration standard had the least amount of interference. For all calibrators, the percentage deviations of the back-calculated concentration were less than 15%. The results indicated that the calibration curve for the LC-MS/MS method had a clear relationship between analyte concentrations and chromatographic response and was consistent and reproducible across the studies.
Table 1.
Linear regression data for the calibration curve of 21MAT (mean ± SD, n = 5)
| Parameters | Values |
|---|---|
| Linearity range | 1.25–1250 ng/mL |
| R2 ± SD | 0.9970 ± 0.0017 |
| Slope ± SD | 0.00036 ± 0.00007 |
| Standard error of slope | 0.00003 |
| 95% CI of slope | 0.00021–0.00051 |
| Intercept ± SD | -0.00002 ± 0.00000 |
| Standard error of intercept | 0.00000 |
| 95% CI of intercept | 0.00003–0.00009 |
CI: Confidence interval
Accuracy and precision
Table 2 presents the findings for accuracy and precision. Accuracy and precision were assessed for both intra-day and inter-day batches. The % CV for intra-day batches ranged from 1.35 to 7.62%, while the percentage of accuracy (% RE) varied from 1.33 to -4.40%. In addition, the percent recovery was 98.66–104.40% for intra-day batch. Likewise, the inter-batch percentage CV varied from 6.10 to 13.21%, while the accuracy percentage varied from 0.80 to -9.84%. Moreover, the percent recovery was 99.00-109.83% for inter-day batch. Table 2 presents the findings. All these findings were suitable for the accurate and precise analysis of 21 MAT.
Table 2.
Accuracy and precision summary of the method
| Run type | Concentration (ng/mL) | LOQ–1.22 | LQC–3.75 | MQC–500 | HQ–1000 |
|---|---|---|---|---|---|
|
Intra-run (n = 6) |
Mean | 1.24 | 3.70 | 522 | 1020 |
| CV (%) | 6.21 | 7.62 | 1.40 | 1.35 | |
| RE (%) | -1.64 | 1.33 | -4.40 | -2.00 | |
| Recovery (%) | 101.63 | 98.66 | 104.40 | 102.00 | |
|
Inter-run (n = 18) |
Mean | 1.34 | 3.72 | 495 | 990 |
| CV (%) | 13.21 | 13.12 | 6.10 | 3.23 | |
| RE (%) | -9.84 | 0.80 | 1.00 | 1.00 | |
| Recovery (%) | 109.83 | 99.20 | 99.00 | 99.00 |
Matrix recovery
Extraction efficiency of the method for the analyte and internal standard from the rat plasma was calculated as percentage recovery; the mean % recovery values for analyte at LQC, MQC and HQC concentration levels were 47–56%. Likewise, the internal standard’s mean recovery value at its operating concentration was 57%.
Matrix factor
As the % CV was less than ± 15% and the matrix factor was within the allowed range of 1 ± 0.15, it can be said that the endogenous matrix had no discernible effect on the measurement of 21MAT in plasma.
Haemolysis effect
Analyte recovery from haemolyzed samples was shown to be within ± 15% when compared to normal plasma samples, suggesting that research samples with less than 5% haemolysis can be accurately quantified.
Dilution check
If the concentrations of the study samples are higher than the linearity range, dilution integrity testing verified that the samples can be diluted up to 100 times and reliably measured.
Stock and working solution stability
It was discovered that the analyte, 21MAT, and its internal standard, 19MAT, were stable for approximately 7 days (short-term) at room temperature or ambient temperature and for approximately 3 months (long-term) when refrigerated, with less than 10% variation from the initial concentration.
Plasma stability
After being held for five hours at room temperature at LQC and HQC levels, with percentage changes of 6.20 and 9.07%, it was discovered that the analyte spiked in plasma was stable. After five freeze-thaw cycles at LQC and HQC, the percentage change for analyte in freeze-thaw samples stored at 20 °C and − 70ºC was determined to be -4.40 and − 9.60% (at 20 °C) and − 7.20 and − 5.70% (at -70 °C), respectively. It was discovered that the analyte remained stable in plasma kept for up to 45 days at LQC and HQC at both − 20 °C and − 70 °C. The nominal at LQC kept at -20 °C and − 70 °C changed by a percentage of -0.27 and 3.2%, respectively. For HQC, the percent change in nominal was − 3.50% and − 5.87 for − 20 °C and − 70 °C, respectively. Table 3 presents the findings.
Table 3.
Stability summary in rat plasma
| Run type | Stability duration | Storage condition | Concentration (ng/mL) | LQC–3.75 | HQC–1000 |
|---|---|---|---|---|---|
| Bench top | 5 h | 25 ± 5 ºC | Mean | 4.09 | 1062 |
| Change (%) | 9.07 | 6.20 | |||
| Freeze-thaw | 5 Cycles | 20 ºC | Mean | 3.39 | 956 |
| Change (%) | -9.60 | -4.40 | |||
| 5 Cycles | -70 ºC | Mean | 3.48 | 898 | |
| Change (%) | -7.20 | -5.70 | |||
| Long-term | 45 days | -20 ºC | Mean | 3.74 | 1032 |
| Change (%) | -0.27 | 3.20 | |||
| 45 days | -70 ºC | Mean | 3.53 | 965 | |
| Change (%) | -5.87 | -3.50 |
HPLC-UV method development
Chromatographic parameters for the HPLC-UV method were also optimized to get excellent peak shape, low retention time, high sensitivity, and higher resolution. In order to create the HPLC-UV method, a number of pure solvents were first investigated, including methanol, acetonitrile, water, 0.1% OPA in water, and 0.1% OPA in acetonitrile. The findings indicated that poor chromatographic results were obtained when 21MAT was measured using methanol, acetonitrile, water, 0.1% OPA in water, and 0.1% OPA in acetonitrile. Then, different ratios of mobile phase A (0.1% OPA in water) and mobile phase B (0.1% OPA in acetonitrile) in different ratios were studied. The HPLC method in conjunction with a Phenomenex Luna® C18 (50 × 4.6 mm, 5 μm) column allows us to obtain high assay selectivity while maintaining reduced retention times and improved separation efficiency. The chromatographic conditions of various mobile phases were assessed under isocratic elution at various compositions and flow rates in order to obtain a shorter run time with improved separation. The best separation with good peaks shape and high resolution was achieved when the mixture of mobile phase A (0.1% OPA in water) and mobile phase B (0.1% OPA in acetonitrile) in the ratio of 55: 45 v/v was used (Fig. 5) at flow rate of 1.0 mL/min having Phenomenex Luna® C18 (50 × 4.6 mm, 5 μm) column. 21MAT was eluted at 2.16 ± 0.03 min with a total run time of 10 min. To achieve the best possible detection wavelength for 21MAT analysis, several 21MAT solutions were produced and tested at various wavelengths (200–400 nm). The 21MAT’s greatest absorbance was found to be at 272 nm after testing, and as a result, this wavelength was chosen as the analytical one for further research. After optimization, the values of other parameters, including sample temperature, injection volume, and column temperature, were determined to be 40 °C, 5 °C, and 10 µL, respectively.
Fig. 5.
Representative chromatogram of blank and calibration standard of 21MAT
HPLC-UV partial method validation
System suitability
The final chromatographic conditions for the HPLC-UV method are included in Table 4. System suitability was assessed throughout the validation study by evaluating the system precision with %CV for peak area of five replicate injections of working standard solution. The evaluation satisfies the acceptance criteria for analyte peak area and retention time, with %CV of ≤ 2%. The signal and the noise ratio for the analyte at LOQ was > 10 in the solutions, has confirmed the accurate detection of the analyte.
Table 4.
Finalised chromatographic conditions
| Parameter | Details |
|---|---|
| Wavelength | 272 nm |
| Column |
Phenomenex Luna® C18 (50 × 4.6 mm), 5 μm particle size |
| Mobile phase A | 0.1% v/v OPA in Milli-Q® water |
| Mobile phase B | 0.1% v/v OPA in acetonitrile |
| Isocratic | 55:45, v/v A: B |
| Flow rate | 1.0 mL/min |
| Column temperature | 40 °C |
| Sample temperature | 5 °C |
| Injection volume | 10 µL |
| Retention time | 2.16 min |
Specificity
The representative chromatograms of blank and calibration standard of 21MAT are included in Fig. 5. The specificity of the method was acceptable as the diluent did not show any interference at the retention time of 21MAT during the analysis.
Linearity
The calibration curve was constructed using six non-zero calibration standards. Table 5 presents the summary results for the linear regression analysis of calibration curve. The calibration curve for 21MAT was found to be linear in the range of 2.06–20.60 µg/mL with the R2 value of 1.0000. For all calibrators, the percentage deviations of the back-calculated concentration were less than 15%. The results showed that the calibration curve for the HPLC-UV method had a clear relationship between analyte concentrations and chromatographic response and was consistent and reproducible across the studies.
Table 5.
Linear regression data for the calibration curve of 21MAT (mean ± SD, n = 6)
| Parameters | Values |
|---|---|
| Linearity range | 2.06–20.60 µg/mL |
| R2 ± SD | 1.0000 ± 0.0018 |
| Slope ± SD | 86,253 ± 1450 |
| Standard error of slope | 591.96 |
| 95% CI of slope | 83,750–88,800 |
| Intercept ± SD | -1165 ± 25 |
| Standard error of intercept | 10.20 |
| 95% CI of intercept | 1121–1208 |
CI: Confidence interval
Accuracy
The accuracy of the method was acceptable, as the mean percent recovery for 21MAT at 0.5, 1 and 1.5 mg/mL concentration level was 101.67, 101.22 and 101.00%, respectively (Table 6).
Table 6.
Summary of accuracy and precision data
| Level | Sample replicate | Peak area | Calculated conc. (µg/mL) | Mean conc. (µg/mL) | Accuracy (%) | Precision (%RSD) |
|---|---|---|---|---|---|---|
| 50% | 1 | 456,002 | 0.50 | 0.51 | 101.67 | 1.48 |
| 2 | 463,902 | 0.51 | ||||
| 3 | 465,374 | 0.51 | ||||
| 4 | 455,768 | 0.50 | ||||
| 5 | 469,272 | 0.52 | ||||
| 6 | 459,038 | 0.51 | ||||
| 1 | 920,138 | 1.02 | 1.01 | 101.22 | 0.89 | |
| 2 | 915,491 | 1.01 | ||||
| 100% | 3 | 928,947 | 1.03 | |||
| 4 | 920,868 | 1.02 | ||||
| 5 | 904,859 | 1.00 | ||||
| 6 | 913,155 | 1.01 | ||||
| 150% | 1 | 1,399,098 | 1.54 | 1.52 | 101.00 | 1.99 |
| 2 | 1,355,568 | 1.50 | ||||
| 3 | 1,360,092 | 1.50 | ||||
| 4 | 1,402,982 | 1.55 | ||||
| 5 | 1,329,370 | 1.47 | ||||
| 6 | 1,389,721 | 1.53 |
Precision
Precision results assured the repeatability of the test results. The precision of the analytical method was acceptable, with a % RSD at 0.5, 1 and 1.5 mg/mL concentration levels were 1.48, 0.89 and 1.99%, respectively (Table 6).
Comparison of present methods’ validation parameters with reported analytical methods
A through literature survey revealed only two analytical methods for the determination of aminothiazoles [31, 32]. A capillary electrophoresis with end-column amperometric detection has been documented for the simultaneous analysis of 2AT, 2ABT, and 2MBT in analytical solutions. This method was applied for the simultaneous quantification of 2AT, 2ABT, and 2MBT in river water samples instead of preclinical in vitro samples [31]. A LC-MS/MS method has also been reported for the determination of ATCA in rat plasma samples as a forensic biomarker for cyanide poisoning [32]. Therefore, the present LC-MS/MS and HPLC-UV method’s validation parameters were compared to reported LC-MS/MS method. The results of the comparison are included in Table 7. Reported LC-MS/MS method was found to have better linear range than the present HPLC-UV method [32]. However, its linear range was much inferior to the present LC-MS/MS method [32]. The accuracy and precisions of literature LC-MS/MS method were not determined. However, the present LC-MS/MS and HPLC-UV methods were found to be precise and accurate for the determination of 21MAT. Overall, the literature LC-MS/MS was found to be superior over present HPLC-UV method and inferior to the present LC-MS/MS method in terms of linearity [32].
Table 7.
Comparison of the present methods with reported LC-MS/MS method
| Method | Linear range (ng/mL) | Accuracy (% recovery) | Precision (% CV) | Ref. |
|---|---|---|---|---|
| LC-MS/MS | 50-1000 | - | - | [32] |
| LC-MS/MS | 1.25–1250 | 98.66-109.83 | 1.35–13.21 | Present work |
| HPLC | 2060–20,600 | 101.00-101.67 | 0.89–1.99 | Present work |
In silico prediction
The ADMETLab2.0 tool has predicted a low permeability in both Caco-2 (− 5.036) and MDCK (Madin-Darby canine kidney cells) (1.6 × 10− 5) models with poor oral bioavailability (F20% of 0.99). The in silico prediction also predicted a plasma protein binding of 98.45%, with a low unbound fraction of 1.089%. The prediction related to metabolism has shown that 21MAT can be a substrate for few of the cytochrome P450 (CYP450) isozymes and an inhibitor. The predictor has also claimed a low clearance (Cl) value for the molecule of 6.487 and an elimination half-life (T1/2) of 0.299 h. The details of the in silico prediction from ADMETLab2.0 are reported in Table 8.
Table 8.
Summary of in-silico prediction by ADMETLab2.0
| Parameters | 21MAT | |
|---|---|---|
| Physicochemical Property | ||
| LogS | -3.743 | |
| LogP | 4.382 | |
| LogD | 4.169 | |
| Medicinal Chemistry | ||
| Lipinski Rule |
Accepted absorption or permeability is possible, |
|
| GSK Rule |
Rejected more favorable ADMET profile |
|
| Absorption | ||
| Caco-2 Permeability | -5.036 | |
| MDCK Permeability | 1.6 × 10− 5 | |
| Distribution | ||
| PPB | 98.45% | |
| Fu | 1.089% | |
| Metabolism | ||
| CYP1A2, CYP2C9, CYP2D6, CYP3A4 | Inhibitor | |
| Excretion | ||
| CL | 6.487 | |
| T1/2 | 0.299 | |
| Toxicity | ||
| AMES | Probably | |
|
Rat Oral Acute Toxicity Acute Toxicity |
0.031 | |
In vitro screening
Buffer solubility
The experimental data shown that, 21MAT was soluble in sodium phosphate buffer (pH 7.4) at 25 °C after 2 h at all the evaluated concentrations and the solubility was found to be > 12.5 µM in sodium phosphate buffer (pH 7.4) at 25 °C.
Log D and log P
The logD value for 21MAT was determined to be 1.50 indicating that 21MAT was partitioned more in organic phase (1-octanol) than the aqueous buffer phase. Similarly, the logP value of the molecule was 1.11. The values shows that the test compound has more lipophilicity and can expect a better permeability in the membranes. The determined logD for verapamil and atenolol which were used as controls were 3.10 and − 1.50, respectively.
Plasma protein binding
The protein binding experimental data shows that, 21MAT highly bound to human plasma (Avg. 99.82%) at the evaluated test concentration of 3 µM (Table 9). The unbound fraction was 0.18% ± 0.27. The % recovery 64–72% indicates that the compound has not showed any nonspecific binding to the HT Dialysis apparatus or membranes at the evaluated test concentration. The bound and unbound fraction data of positive control diclofenac run along with the 21MAT was comparable with the literature data with an unbound fraction of 1.01% ± 0.07 in human plasma.
Table 9.
Summary of protein binding experiment data
| Concentration | 3 µM, 21MAT | 3 µM, Diclofenac | ||||
|---|---|---|---|---|---|---|
| Species | Human Plasma | |||||
| Replicate | Unbound (%) | Bound (%) | Recovery (%) | Unbound (%) | Bound (%) | Recovery (%) |
| 1 | 0.04 | 99.96 | 71.78 | 0.99 | 99.01 | 80.60 |
| 2 | 0.59 | 99.41 | 65.71 | 0.93 | 99.07 | 94.07 |
| 3 | 0.10 | 99.90 | 67.81 | 1.09 | 98.91 | 119.11 |
| 4 | 0.00 | 100.00 | 64.79 | 1.01 | 98.99 | 83.10 |
| n | 4 | 4 | 4 | 4 | 4 | 4 |
| Mean | 0.18 | 99.82 | 67.52 | 1.01 | 99.00 | 94.22 |
| SD | 0.27 | 0.27 | 3.11 | 0.07 | 0.07 | 17.59 |
Conclusion
The validation of developed LC-MS/MS method was successful with a simple extraction procedure of protein precipitation, which has shown a uniform and reproducible recovery for the analyte, 21MAT and the internal standard, 19MAT, at all the tested concentration levels. Because the tested aminothiazole, 21MAT, is basic (has more nitrogen), it is fully ionised in the positive mode. Additionally, it was discovered that ESI has generated enough signal at the LLOQ level to enable accurate quantification of lower concentration levels. In order to obtain an adequate signal to noise ratio for detection and an interference-free analysis from the endogenous peaks at the analyte and internal standard retention times, the chromatographic settings were adjusted. During the method development process, a number of mobile phase additives were evaluated, and retention time and peak area were always regarded as the most important factors. Enough work was put into optimising resolution, total run time, reproducibility, sensitivity for detection and quantification, and overall run time. The method validation was accurate and met all the requirements of the regulatory guidelines. The validated method was also successfully adopted to analyse various preclinical experimental samples. The validation can also be extrapolated to different matrix of different preclinical experiments without much of trouble. Similarly, the partially validated HPLC-UV method was successful and can be used for quantification of the analyte in various analytical solutions or preclinical formulations, other than biological matrix. Based on the data in vitro experimental data it was also concluded that, the newly synthesized aminothiazole 21MAT has a good in vitro data and further evaluation of ADMET properties can be evaluated for drug ability evaluation.
Acknowledgements
The authors are thankful to the Researchers Supporting Project number (RSPD2024R1040), King Saud University, Riyadh, Saudi Arabia for supporting this work.
Author contributions
Vinay N. Basavanakatti: Methodology, Investigation, Software, Writing original draft; Mohammad Ali: Conceptualization, Visualization, Resources, Supervision, Project administration, Validation, Writing, review, and editing; Bharathi D.R.: Data curation, Formal aanlysis, Validation, Writing, review, and editing; Sheikh Murtuja: Data curation, Formal aanlysis, Software, Writing, review, and editing; Barij Nayan Sinha: Data curation, Formal aanlysis, Software, Validation, Writing, review, and editing; Venkatesan Jayaprakash: Data curation, Formal aanlysis, Validation, Writing, review, and editing; Faiyaz Shakeel: Funding acquisition, Visualization, Resources, Software, Validation, Writing, review, and editing.
Data availability
Data are available on reasonable request from the corresponding author.
Declarations
Competing interests
The authors declare no competing interests.
Footnotes
Publisher’s note
Springer Nature remains neutral with regard to jurisdictional claims in published maps and institutional affiliations.
References
- 1.Wang J, Urban L. The impact of early ADME profiling on drug discovery and development strategy. Drug Discov World Fall. 2004;5:73–86. [Google Scholar]
- 2.Elsadek MF, Ahmed BM, Farahat MF. An overview on synthetic 2-aminothiazole-based compounds associated with four biological activities. Molecules. 2021;26:E1449. [DOI] [PMC free article] [PubMed] [Google Scholar]
- 3.Nevagi RJ. Biological and medicinal significance of 2-aminothiazoles. Der Pharm Lett. 2014;6:134–50. [Google Scholar]
- 4.Alaraidh IA, Okla MK, Alamri SA, Al-Ghamdi AA, Soufan WH, Allam AA, Fouda MMG, Gaffer HE. Synthesis of bis-(2-thiazolyl)amine analogues and evaluation of their antibacterial, antioxidant and cytotoxic activities. ChemistrySelect. 2019;4:11726–34. [Google Scholar]
- 5.Elshaarawy RFM, Mustafa FHA, Sofy AR, Hmed AA, Janiak C. A new synthetic antifouling coatings integrated novel aminothiazole-functionalized ionic liquids motifs with enhanced antibacterial performance. J Environ Chem Eng. 2019;7:E102800. [Google Scholar]
- 6.Chen YY, Goodla L, Bheemanaboina RRY, Liu HB, Cheng Y, Geng RX, Zhou CH. Novel naphthalimide aminothiazoles as potential multitargeting antimicrobial agents. ACS Med Chem Lett. 2017;8:1331–5. [DOI] [PMC free article] [PubMed] [Google Scholar]
- 7.Prakash A, Malhotra R. Co(II), ni(II), Cu(II) and zn(II) complexes of aminothiazole-derived Schiff base ligands: synthesis, characterization, antibacterial and cytotoxicity evaluation, bovine serum albumin binding and density functional theory studies. Appl Organomet Chem. 2018;32:E4098. [Google Scholar]
- 8.De Logu A, Saddi M, Cardia MC, Borgna R, Sanna C, Saddi B, Maccioni E. In vitro activity of 2-cyclohexylidenhydrazo-4-phenyl-thiazole compared with those of amphotericin B and fluconazole against clinical isolates of Candida spp. and fluconazole-resistant Candida albicans. J Antimicrob Chemother. 2005;55:692–8. [DOI] [PubMed] [Google Scholar]
- 9.Gaffer HE, Fouda MMG, Khalifa ME. Synthesis of some novel 2-amino-5-arylazothiazole disperse dyes for dyeing polyester fabrics and their antimicrobial activity. Molecules. 2016;21:E122. [DOI] [PMC free article] [PubMed] [Google Scholar]
- 10.Sinha S, Doble M, Manju SL. Design, synthesis and identification of novel substituted 2-amino thiazole analogues as potential anti-inflammatory agents targeting 5-lipoxygenase. Eur J Med Chem. 2018;158:34–50. [DOI] [PubMed] [Google Scholar]
- 11.Vogt D, Wéber J, Ihlefeld K, Brüggerhoff A, Proschak E, Stark H. Design, synthesis and evaluation of 2-aminothiazole derivatives as sphingosine kinase inhibitors. Bioorg Med Chem. 2014;22:5354–67. [DOI] [PubMed] [Google Scholar]
- 12.Khan E, Khan A, Gul Z, Ullah F, Tahir MN, Khalid M, Asif HM, Asim S, Braga AAC. Molecular salts of terephthalic acids with 2-aminopyridine and 2-aminothiazole derivatives as potential antioxidant agents; base-acid-base type architectures. J Mol Str. 2020;1200:E127126. [Google Scholar]
- 13.Jadav SS, Badavath VN, Ganesan R, Ganta NM, Besson D, Jayaprakash V. Biological evaluation of 2-aminothiazole hybrid as antimalarial and antitrypanosomal agents: design and synthesis. Anti-infective Agents. 2020;18:101–8. [Google Scholar]
- 14.Panico AM, Geronikaki A, Mgonzo R, Cardile V, Gentile BC, Doytchinova I. Aminothiazole derivatives with antidegenerative activity on cartilage. Bioorg Med Chem. 2003;11:2983–9. [DOI] [PubMed] [Google Scholar]
- 15.Gouda MA, Sherif YE, Elsherbini MS. Synthesis, anti-inflammatory, and analgesic evaluation of some 2-amino-5-selenothiazoles. Phosphorus Sulfur Silicon Rel Elem. 2014;189:1633–43. [Google Scholar]
- 16.Suresh G, Nadh RV, Srinivasu N, Yennity D. Synthesis and antitumor activity evaluation of 2-aminothiazoles appended 5-methylisoxazoline and pyridine-piperazine hybrid molecules. Lett Org Chem. 2018;15:1070–7. [Google Scholar]
- 17.Das D, Sikdar P, Bairagi M. Recent developments of 2-aminothiazoles in medicinal chemistry. Eur J Med Chem. 2016;109:89–98. [DOI] [PubMed] [Google Scholar]
- 18.Alexandru MG, Veličković TĆ, Jitaru I, Grgurić-Šipka S, Drãghici C. Synthesis, characterization and antitumor activity of Cu(II), Co(II), zn(II) and mn(II) complex compounds with aminothiazole acetate derivative. Cent Eur J Chem. 2010;8:639–45. [Google Scholar]
- 19.Ran K, Gao C, Deng H, Lei Q, You X, Wang N, Shi Y, Liu Z, Wei W, Peng C, et al. Identification of novel 2-aminothiazole conjugated nitrofuran as antitubercular and antibacterial agents. Bioorg Med Chem Lett. 2016;26:3669–74. [DOI] [PubMed] [Google Scholar]
- 20.Al-Balas Q, Anthony NG, Al-Jaidi B, Alnimr A, Abbott G, Brown AK, Taylor RC, Besra GS, McHugh TD, Gillespie SH, et al. Identification of 2-aminothiazole-4-carboxylate derivatives active against Mycobacterium tuberculosis H37Rv and the β-ketoacyl-ACP synthase mtFabH. PLoS ONE. 2009;4:E5617. [DOI] [PMC free article] [PubMed] [Google Scholar]
- 21.Jalani HB, Pandya AN, Pandya DH, Sharma JA, Sudarsanam V, Vasu KK. An efficient one-pot synthesis of functionally diverse 2-aminothiazoles from isothiocyanates, amidines/guanidines and halomethylenes. Tetrahedron Lett. 2013;54:5403–6. [Google Scholar]
- 22.Stefańska J, Nowicka G, Struga M, Szulczyk D, Kozioł AE, Augustynowicz-Kopeć E, Napiórkowska A, Bielenica A, Filipowski W, Filipowska A, et al. Antimicrobial and anti-biofilm activity of thiourea derivatives incorporating a 2-aminothiazole scaffold. Chem Pharm Bull. 2015;63:225–36. [DOI] [PubMed] [Google Scholar]
- 23.Patil RV, Chavan JU, Beldar AG. Synthesis of aminothiazoles: polymer-supported approaches. RSC Adv. 2017;7:23765–78. [Google Scholar]
- 24.Kabra V, Mitharwal S, Singh S. Synthesis and insecticidal activity of novel dithiophosphonates. Phosphorus Sulfur Silicon Rel Elem. 2009;184:2431–42. [Google Scholar]
- 25.Zhang ZH, Wu HM, Deng SN, Cai XY, Yao Y, Mwenda MC, Wang JY, Cai D, Chen Y. Design, synthesis, and anticancer activities of novel 2-amino-4-phenylthiazole scaffold containing amide moieties. J Chem. 2018; 2018: E4301910.
- 26.Zhan P, Wang L, Liu H, Chen X, Li X, Jiang X, Zhang Q, Liu X, Pannecouque C, Naesens L, Clercq ED, Liu A, Du G. Arylazolyl(azinyl)thioacetanilide. Part 9: synthesis and biological investigation of thiazolylthioacetamides derivatives as a novel class of potential antiviral agents. Arch Pharm Res. 2012;35:975–86. [DOI] [PubMed] [Google Scholar]
- 27.Lozynskyi A, Golota S, Zimenkovsky B, Atamanyuk D, Gzella A, Lesyk R. Synthesis, anticancer and antiviral activities of novel thiopyrano[2,3-d]thiazole-6-carbaldehydes. Phosphorus Sulfur Silicon Rel Elem. 2016;191:1245–9. [Google Scholar]
- 28.Décor A, Grand-Maître C, Hucke O, O’Meara J, Kuhn C, Constantineau-Forget L, Brochu C, Malenfant E, Bertrand-Laperle M, Bordeleau J, et al. Design, synthesis and biological evaluation of novel aminothiazoles as antiviral compounds acting against human rhinovirus. Bioorg Med Chem Lett. 2013;23:3841–7. [DOI] [PubMed] [Google Scholar]
- 29.Singh IP, Gupta S, Kumar S. Thiazole compounds as antiviral agents: an update. Med Chem. 2020;16:4–23. [DOI] [PubMed] [Google Scholar]
- 30.Li AP. Preclinical in vitro screening assays for drug-like properties. Drug Discov Today Technol. 2005;2:179–85. [DOI] [PubMed] [Google Scholar]
- 31.Yu T, Wang X, Yang X, Wang E. Simultaneous determination of 2-aminothiazole, 2-aminobenzothiazole, and 2-mercaptobenzothiazole by capillary electrophoresis with end-column amperometric detection. Electroanalysis. 2000;12:821–4. [Google Scholar]
- 32.Yu JCC, Martin S, Nasr J, Stafford K, Thompson D, Petrikovics I. LC-MS/MS analysis of 2-aminothiazoline-4-carboxylic acid as a forensic biomarker for cyanide poisoning. World J Methodol. 2012;2:33–41. [DOI] [PMC free article] [PubMed] [Google Scholar]
- 33.Guidance for Industry, Validation BM, US Department of Health and Human Services Food and Drug Administration, Center for Drug Evaluation and Research (CDER)., Center for Veterinary Medicine (CVM), May 2018. Available online at: https://www.fda.gov/files/drugs/published/Bioanalytical-Method-Validation-Guidance-for-Industry.pdf
- 34.European Medicines Agency, Guideline on the validation of bioanalytical methods. Committee for Proprietary Medicinal Products for Human use (CHPMP), London, UK. 2011, EMEA/CHMP/EWP/192217/2009. Available online at:http://www.ema.europa.eu/docs/en_GB/document_library/Scientific_guideline/2011/08/WC500109686.pdf
- 35.Whitmire ML, Bryan P, Henry TR, Holbrook J, Lehmann P, Mollitor T, Ohorodnik S, Reed D, Wietgrefe HD. Nonclinical dose formulation analysis method validation and sample analysis. AAPS J. 2010;12:628–34. [DOI] [PMC free article] [PubMed] [Google Scholar]
- 36.Alam P, Iqbal M, Foudah AI, Alqarni MH, Shakeel F. Quantitative determination of canagliflozin in human plasma samples using a validated HPTLC method and its application to a pharmacokinetic study in rats. Biomed Chromatogr. 2020;34:E4929. [DOI] [PubMed] [Google Scholar]
- 37.Haq N, Alshehri S, Alam P, Ghoneim MM, Hasan Z, Shakeel F. Green analytical chemistry approach for the determination of emtricitabine in human plasma, formulations, and solubility study samples. Sus Chem Pharm. 2022;26:E100648. [Google Scholar]
Associated Data
This section collects any data citations, data availability statements, or supplementary materials included in this article.
Data Availability Statement
Data are available on reasonable request from the corresponding author.












