Abstract
In Photosystem II, light-induced water splitting occurs via the S state cycle of the CaMn4O5-cluster. To understand the role of various possible conformations of the CaMn4O5-cluster in this process, the temperature dependence of the S1 → S2 and S2 → S3 state transitions, induced by saturating laser flashes, was studied in spinach photosystem II membrane preparations under different conditions. The S1 → S2 transition temperature dependence was shown to be much dependent on the type of the cryoprotectant and presence of 3.5% methanol, resulting in the variation of transition half-inhibition temperature by 50 K. No similar effect was observed for the S2 → S3 state transition, for which we also show that both the low spin g = 2.0 multiline and high spin g = 4.1 EPR configurations of the S2 state advance with similar efficiency to the S3 state, both showing a transition half-inhibition temperature of 240 K. This was further confirmed by following the appearance of the Split S3 EPR signal. The results are discussed in relevance to the functional and structural heterogeneity of the water oxidizing complex intermediates in photosystem II.
Keywords: Photosystem II, Water oxidation, S state transitions, Low spin S2 state, High spin S2 state, Temperature dependence, Electron paramagnetic resonance
Introduction
Photosynthesis is an important biological process which converts solar energy into chemical energy which then is widely used in the biosphere. Photosystem II (PSII) is one of the major transmembrane protein supercomplexes in the thylakoid membrane of oxygenic photosynthesis, which initiates the light-driven electron transport chain reaction (Shevela et al. 2023). The core of the system consists of more than 20 proteins (Umena et al. 2011; Wei et al. 2016) which hold all major cofactors that participate in reactions that lead to the water splitting in PSII.
Upon the transfer of light energy from the antenna pigments to the PSII core, a charge separation takes place between P680, the primary electron donor and pheophytin, the primary electron acceptor. The charge separation is then stabilized by further electron transfer to QA and to QB, the first and secondary quinone acceptors. After two consecutive charge separations, QB is protonated and released from its site to be replaced by the oxidized plastoquinole (Cardona et al. 2012; Müh et al. 2012; Kern et al. 2018). On the donor side of PSII, P680+ is reduced by the redox active tyrosine 161 on the D1 protein (TyrZ) which, in turn, is reduced by the electron transfer from the CaMn4O5-cluster, the site where water oxidation occurs (Dau and Zaharieva 2009; Vinyard and Brudvig 2017; Shevela et al. 2023). The time scale of these reactions ranges from a few psec for charge separation to a few msec for O2 release and QB binding (Dau and Zaharieva 2009; Cardona et al. 2012; Shevela et al. 2023).
The CaMn4O5-cluster together with TyrZ, H2O, H+ and O2 channels constitute the water oxidizing complex (WOC) in PSII. The WOC must cycle through the five intermediate states denoted Sn (n = 0–4) driven by TyrZ• with positive charges stored in the CaMn4O5-cluster. S0 is the most reduced state, S2 and S3 are metastable states, S4 is a transient state where O2 formation and release takes place, and S1 is the state which is most stable in the dark (Dau and Zaharieva 2009; Renger 2012; Vinyard and Brudvig 2017; Shevela et al. 2023). The mechanism of water oxidation has been studied to great detail by using a number of spectroscopic and computational methods and a complete understanding of O2 formation is near (Bhowmick et al. 2023; Greife et al. 2023). However, many issues still remain debated, including, for example, the molecular events during the S2 to the S3 state transition and the nature of the O=O bond formation (Suga et al. 2017; Kern et al. 2018; Bhowmick et al. 2023).
The S1 → S2 state transition is the simplest one, and it has been long established that this transition only involves an electron transfer event (Rappaport and Lavergne 1991; Bernat et al. 2002; Boussac et al. 2022). By contrast, in the subsequent S2 → S3 transition a proton is expelled into the lumen and the binding of one water molecule takes place and leads to the formation of a sixth oxo bridge (Ugur et al. 2016; Suga et al. 2017; Wang et al. 2017; Kern et al. 2018; Siegbahn 2018; Mäusle et al. 2020; Navarro et al. 2013; Ibrahim et al. 2020; Takemoto et al. 2019; Kim and Debus 2019; de Lichtenberg et al. 2021). The deprotonation event is believed to precede the electron transfer, see Pantazis (2018) for references and extensive discussion. In plant PSII, the starting S2 state exhibits two distinct electron paramagnetic resonance (EPR) signals: the low spin g = 2 multiline signal (Dismukes and Siderer 1981) and high spin g = 4.1 signal (Zimmermann and Rutherford 1984; Casey and Sauer 1984; Depaula et al. 1985) (Fig. 1) or more complex > high spin signals at higher g values (Boussac et al. 1998a, b; Boussac and Rutherford 2000; Pokhrel and Brudvig 2014).
Fig. 1.

The low and high spin EPR signals from the S2 state of the WOC in PSII and corresponding computed structures of the CaMn4O5-cluster (Pantazis et al. 2012; Bovi et al. 2013)
From computational studies, it has been proposed that these two electronic configurations of the S2 state, the low and high spin states, correspond to the two, structurally different but energetically similar arrangements of the CaMn4O5-cluster. The low spin S2 state corresponds to the open cubane structure and the high spin S2 state was proposed to have a closed cubane structure (Pantazis et al. 2012; Bovi et al. 2013) (Fig. 1). It was also proposed that the S2 → S3 state transition occurs via the high spin intermediate (closed cubane) which is triggered by the formation of the TyrZ• radical (Narzi et al. 2014; Retegan et al. 2016). In addition, it is important to mention that the nature of the high spin state EPR signal from the S2 state is different in cyanobacterial PSII where g = 4.24 and 4.75 forms of these EPR signal were reported (Boussac et al. 2000; Boussac 2019) and that other structural proposals were made for the S2 high spin state, including a proton shift isomer (Corry and O'Malley 2020) and early water binding (de Lichtenberg and Messinger 2020). Extensive pH and temperature studies in cyanobacteria support that the high spin intermediate is a required intermediate during the S2 → S3 transition (S2LS → [S2HS] → S3) (Boussac et al. 2018; Boussac 2019), while it was not detected by XFEL studies (Kern et al. 2018; Bhowmick et al. 2023).
In this study we apply EPR spectroscopy to study the S1 → S2 and S2 → S3 state transitions in plant PSII. For investigating the S2 → S3 transition, the S2 state was poised in both the low spin and high spin EPR configurations. We discuss our data with respect to and in mechanistic comparison with results obtained from cyanobacterial preparations.
Methods
PSII membranes and EPR samples preparation
Spinach (Spinacia oleracia) was grown hydroponically as described previously at 20 °C under cool white fluorescent light (Osram Powerstar HQI-400W/DV dysprosium lamp, intensity 300 μE/m2/s), with light–dark periods of 12 h (Danielsson et al. 2004). Oxygen evolving PSII enriched membranes (BBY-type) were prepared according to previously published procedures (Völker et al. 1985). The membrane particles were re-suspended in a buffer containing 400 mM sucrose, 15 mM NaCl, 3 mM MgCl2 and 25 mM MES–NaOH pH 6.1, frozen as beads and stored at − 80 °C, at a chlorophyll (Chl) concentration of 6 mg/ml before use. When indicated, this sucrose buffer was used during the measurements.
For EPR samples preparation, PSII membranes were thawed, washed and diluted to a final concentration of 2 mg Chl/ml. The washing and dilution were made either in the sucrose buffer or in the buffer without sucrose but supplemented with 50% of ethylene glycol. When indicated, 3.5% methanol was added (see details in the corresponding figure legends). The diluted PSII membranes were then transferred to calibrated EPR tubes and pre-flashed according to (Han et al. 2008, 2012, 2022) with addition of the electron acceptor PpBQ dissolved in DMSO (1 mM final concentration) in order to achieve full synchronization of samples in the S1 state. Then samples were immediately frozen first in the ethanol/dry ice bath at 200 K and then transferred to liquid nitrogen at 77 K and stored overnight.
Temperature dependence of the S1 → S2 and S2 → S3 state transitions
To study the S1 → S2 state transition at different temperatures, on the next day, frozen EPR tubes with PSII sample in the S1 state were quickly thawed and incubated for 30 s at the desired temperature and given one saturating laser flash to advance to the S2 state. Immediately after the flash, samples were frozen first within 1–2 s at 200 K and then transferred to 77 K. After that EPR spectra were measured (Fig. 2).
Fig. 2.

The pre-flash procedure, turnover flashes and temperature conditions employed in this study
To study the S2 → S3 state transition at different temperatures, frozen EPR tubes with PSII sample in the S1 state were quickly thawed to 273 K and given one laser flash to advance to the S2 state (100% of the S1 → S2 state transition, Han et al. 2008, Han et al. 2012, Han et al. 2022). Immediately after the first flash, samples were incubated for 30 s at the desired temperature. The second saturating laser flash was given at this temperature to advance PSII samples to the S3 state and were immediately frozen first at 200 K and then transferred to 77 K and EPR spectra were measured (Fig. 2).
In addition, to study the S2 → S3 state transition at different temperatures, the Split S3 EPR signal was induced by continuous near-infrared illumination for 30 min (830 nm LQC830-135 diode laser, Newport, USA, 160 W/m2) directly into the EPR cavity cooled to 5 K as described in (Han et al. 2008, 2012, 2022; Havelius et al. 2011). The complete flashing and temperature procedures are described in Fig. 2.
77 K temperature was achieved in the liquid N2 bath. Temperatures between 130 and 170 K were achieved in an isopentane bath and between 165 and 290 K in an ethanol bath (Styring and Rutherford 1988). Saturating laser flashes of 6 ns duration at 532 nm and 840 mJ power were provided by a Spectra Physics PRO-290 Q-switched Nd:YAG laser.
EPR spectroscopy
EPR spectra were recorded with an ELEXSYS E500 spectrometer equipped with a SuperX bridge and a SHQ-4122 cavity (Bruker Biospin GmbH). All measurements were performed at liquid helium temperatures which were achieved with an ESR-900 cryostat and ITC-503 temperature controller, Oxford Instrument Ltd. Spectrometer settings for each spectrum are indicated in the figure legends. The standard error in our EPR measurements was less than 5%. Analysis of the EPR spectra was carried out with the Bruker Xepr 2.4b software.
Results
Temperature dependence of the S1 → S2 state transition
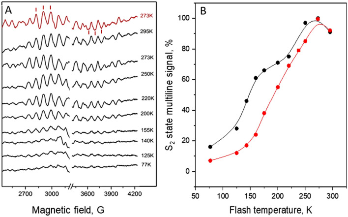
In the presence of a few percent methanol, the only S2 state EPR signal from the CaMn4O5-cluster which is observable is the S = multiline signal (Deak et al. 1999). Formation of this signal in a sucrose buffer at sample temperatures in the range of 77–295 K in the presence of 3.5% methanol and 1 mM PpBQ is shown in Fig. 3A and its temperature dependence is shown in Fig. 3B (red symbols). After application of one saturating laser flash to the S1 state synchronized EPR samples at 273 K, a complete transition to the S2 state took place resulting in 100% of the S2 state (Han et al. 2008, 2012, 2022) as also could be seen from the size of red spectrum. At 295 K the transition was less than 100% due to the faster recombination reaction at this temperature (Han et al. 2008, 2012, 2022). Upon lowering the temperature below 273 K, the transition was less and less efficient (Fig. 3A). The half-inhibition temperature (T0.5) for the S2 state multiline EPR signal formation was found to be 185 K (Fig. 3B; red symbols), which is about 30 K higher than in our recent report where the same measurements were done in ethylene glycol buffer containing methanol (Pavlou et al. 2023) and even 50 K higher than in the original study by Styring and Rutherford (1988) performed in ethylene glycol buffer in absence of methanol (see Table 1). These data suggest that while methanol increases T0.5, ethylene glycol appears to strongly decrease T0.5 as compared to samples in sucrose buffer, which is usually assumed to be benign. In order to confirm the ethylene glycol effect, we repeated our earlier experiments (Pavlou et al. 2023) with 50% of ethylene glycol and 3.5% of methanol. The results are shown in Fig. 3B, black symbols. The T0.5 for the S1 → S2 transition was decreased significantly to 154 K, similar to what we reported before, Table 1. It is worth to mention that, when a single saturating laser flash was given at 77 K, we still observed 10–20% of the multiline signal formation at this temperature (Fig. 3A).
Fig. 3.
A One flash minus dark S2 state multiline EPR difference spectra in a sucrose buffer in the presence of 3.5% methanol. The red spectrum was obtained after flash was given at 273 K and was additionally illuminated at 200 K for 4 min. The large intensity from TyrD• at g = 2.0 is removed for clarity. The red bars indicate peaks used for the signal quantification. EPR conditions: microwave frequency 9.46 GHz, microwave power 10 mW, modulation amplitude 20 G, temperature 7 K. B Temperature dependence of the S2 state multiline signal formation in a 50% ethylene glycol buffer (black symbols) and in a sucrose buffer (red symbols) both containing 3.5% methanol (see Table 1). Data were normalized to the signal obtained at 273 K where 100% of transition occurs
Table 1.
Half inhibition T0.5 and full inhibition Tinh temperatures for the S1 → S2 state transition in PSII membranes in the different buffer composition
Interestingly, the temperature dependence in the presence of ethylene glycol exhibits a plateau at 160–220 K (Fig. 3B, see also Fig. 2 in Pavlou et al. 2023), above which the temperature dependence becomes independent of the type of cryoprotectant present (Fig. 3B). This was not observed in the original study (Styring and Rutherford 1988) since the highest transition temperature point measured was 200 K. The presence of this plateau, may indicate that at this temperature range a membrane phase transition occurs in presence of ethylene glycol in the buffer, which influences the PSII complex and resulting in a change of the temperature dependence of the S2 state multiline EPR signal formation.
Temperature dependence of the S2 → S3 state transition in the presence of methanol
In our next step we investigated the temperature dependence of the S2 to S3 state transition in the sucrose buffer in the presence of 3.5% methanol (see Fig. 2 for the procedure). The first laser flash was given at 273 K, allowing formation of the S2 state in 100% of the PSII centers (Han et al. 2008, 2012, 2022). Formation of the S3 state was estimated from the disappearance of the S2 state multiline EPR signal (Fig. 4A) after the second flash was given at the desired temperature. The maximal transition was again observed when second flash was given at 273 K (Fig. 4A, B) where more than 70% of the PSII centers turned over to the S3 state. As expected, the transition was less efficient at lower temperatures displaying a T0.5 of about 240 K, which is only 10 K higher than reported for the ethylene glycol containing samples without methanol (230 K, Styring and Rutherford 1988). For comparison, the temperature dependence for the S1 → S2 transition, obtained under the same conditions (i.e. in the sucrose buffer with 3.5% methanol) is also shown in Fig. 4B, black symbols. It is clear that difference in T0.5 between the S1 → S2 and S2 → S3 transitions in the presence of only methanol is 55 K, much less than was reported for PSII membrane samples containing 50% ethylene glycol (90–95 K) (Styring and Rutherford 1988).
Fig. 4.
A Two flashes minus dark multiline difference EPR spectra showing the remaining S2 state in a sucrose buffer in the presence of 3.5% methanol after second flash was given at different temperatures. The red spectra represent the spectrum obtained after 1 flash at 273 K and followed by additional illumination at 200 K, i.e. the maximal S2 state signal. The large intensity from TyrD• at g = 2.0 is removed for clarity. EPR conditions: microwave frequency 9.46 GHz, microwave power 10 mW, modulation amplitude 20 G, temperature 7 K. B Temperature dependence of the S1 → S2 state transition (black symbols) and S2 → S3 state transition (red symbols) in a sucrose buffer in the presence of 3.5% methanol. Data were normalized to 100% at 273 K where the maximal transition occurs
Temperature dependence of the S2 → S3 state transition in the absence of methanol
EPR signals originated from the WOC are known to be very sensitive to the small structural alterations which could be induced by differences in the buffer composition (Boussac and Rutherford 2000; Pokhrel and Brudvig 2014). Addition of few percent of methanol is known to produce such effects; it enhances the low spin g = 2 multiline EPR signal and fully suppresses the high spin g = 4.1 EPR signal (Deak et al. 1999). It is also known to completely eliminate or modify the so-called Split S state EPR signals (Su et al. 2006). In order to investigate the S2 → S3 state transition where the starting S2 state contains both low and high spin electronic configurations of the CaMn4O5-cluster, we performed our next experiments in a sucrose containing buffer with 0% methanol. At these conditions, after the first flash given at 273 K, the S2 state exhibited both the g = 2 multiline and g = 4.1 EPR signals (Figs. 1, 5A, B). Estimation on the basis of the amplitude of the methanol containing multiline signal shows that, after one flash, 52% of the PSII centers were in the low spin configuration (S2 state multiline) and 48% in the high spin configuration (S2 state g = 4.1).
Fig. 5.
A Two flashes minus dark difference spectra showing remaining S2 state g = 4.1 and B multiline EPR signals in a sucrose buffer in the absence of methanol after the second flash was given at the indicated temperatures. The red spectra were obtained after one flash at 273 K, i.e. they show the maximal S2 state signal. C Light minus dark difference spectra of the Split S3 EPR signal induced after the second flash was given at the indicated temperatures. The signal was induced by NIR illumination at 830 nm for 30 min at 5 K. The large intensity in B and C from TyrD• at g = 2.0 is removed for clarity. The asterisks indicate peak and troughs used for the signal quantification. D Temperature dependence of the S2 → S3 transition in a sucrose buffer in the absence of methanol, based on spectra shown in A–C, the S2 multiline EPR signal (red symbols), g = 4.1 EPR signal (blue symbols) and the Split S3 EPR signal (black symbols). Data were normalized to 100% at 273 K where the maximal transition occurs. EPR conditions: microwave frequency 9.46 GHz, microwave power 32 mW in A and B and 25 mW in C; modulation amplitude 20 G in A and B; and 15 G in C, temperature 9 K in A and B and 5 K in C
After application of the second flash, the S2 → S3 transition took place and the efficiency of this transition with respect to the initial S2 state configuration was monitored by disappearance of the respective EPR signals. Figure 5A–B show the second flash minus dark difference spectra obtained at second flash temperatures in the range of 165–295 K. For the g = 4.1 signal, the maximum transition was achieved at 273 K where more than 75% of the signal disappeared (Fig. 5A). The signal amplitude, remaining after the second flash at this temperature, was only 23% of the maximal g = 4.1 EPR signal obtained after the first flash (Fig. 5A, red spectrum). At higher temperatures, the transition efficiency was lower and the remaining amplitude of the g = 4.1 signal was 36% and 40% after second flash was given at 285 and 295 K, respectively (Fig. 5A). Upon decreasing the temperature of the S2 → S3 transition from 273 K, the amplitude of the remaining g = 4.1 signal after the flash is gradually increased, indicating less and less efficient transition. The remaining g = 4.1 signal was found to be 77% at 235 K and reached 100% at 200 K (Fig. 5A). Thus, at 200 K and below the S2 → S3 transition was effectively blocked.
The temperature dependence of the S2 → S3 transition was also monitored by tracking the disappearance of the S2 state g = 2 multiline EPR signal (Fig. 5B). The results were essentially the same as for the g = 4.1 signal, as indicated by the comparison of their temperature dependences in Fig. 5D and similar to what was reported before in presence of ethylene glycol and absence of methanol (Styring and Rutherford 1988).
In order to further investigate the S2 → S3 transition at different temperatures, we also measured the formation of the S3 state. The S3 state of the WOC is characterized by several EPR signals (Boussac et al. 2009; Havelius et al. 2010; Petrouleas et al. 2005; Matsukawa et al. 1999; Ioannidis and Petrouleas 2000; Ioannidis et al. 2002). We used the so-called Split S3 signal, obtained by the infrared light illumination of the S3 state at 5 K. The signal originates from the magnetic interaction of the CaMn4O5-cluster in the S3 state and TyrZ• radical at cryogenic temperatures (Petrouleas et al. 2005; Havelius et al. 2010, 2011) and reports quantitatively on the amount of the S3 state (Han et al. 2008). The signal is characterized by the broad peak at g = 2.03 (~ 3200 G) and the double trough at g = 2.01 and 1.99 (~ 3390 and ~ 3410 G), Fig. 5C.
Above 230 K, the Split S3 signal formation followed very closely the temperature dependence of the disappearance of the S2HS and S2LS signals (Fig. 5C, D). Interestingly, below 230 K, the traces deviate (Fig. 5D) because the Split S3 signal was still observable at the level of 20–30% down to 77 K, while on the basis of both S2 signals the S2 → S3 transition appears to be fully blocked. Normalized temperature dependences of the S2 → S3 transition from all measurements are shown in Fig. 5C. It is clear that in all three cases the T0.5 was found to be about 240 K.
Discussion
Our data show that the inhibition temperature of the S1 → S2 state transition is strongly influenced by the buffer composition and the presence of methanol (Table 1). The lowering of its half-inhibition temperature by ethylene glycol is difficult to assign to the specific site and most probably is a general effect, possibly reflecting the greater ability of ethylene glycol compared to sucrose to keep protein motions and water mobility active down to lower temperatures. In contrast, methanol is a small molecule, which is known to interact with the CaMn4O5-cluster and change its spectroscopic properties (Messinger et al. 1997; Åhrling et al. 1997, 2006; Force et al. 1998; Deak et al. 1999; Su et al. 2006; Oyala et al. 2014; Retegan and Pantazis 2016; Nagashima and Mino 2017; Yata and Noguchi 2018; Zahariou et al. 2021; Kalendra et al. 2022). It has been suggested to bind close to either Mn1 or Mn4, thus disturbing the H-bonding network around the cluster (Retegan and Pantazis 2016; Nagashima and Mino 2017; Kalendra et al. 2022). Considering that the “dangling” Mn4 is oxidized during the S1 to S2 state transition (Mn3+ to Mn4+) (Kern et al. 2018), the possibility of methanol binding and disturbance of the water network around Mn4 is more plausible and could certainly shift the transition temperature of this oxidation step to a higher temperature. It is noted that while in the S1 → S2 transition no proton is released from PSII, an internal proton movement from for example water 2 to a protein site or oxo bridge have been proposed (Shoji et al. 2019; Corry and O'Malley 2019). The strong sensitivity of T0.5 on methanol is in line with these ideas.
Another interesting observation for the S1 → S2 transition, based on the multiline signal measurements is the formation of 10–15% of the signal at very low temperatures down to 77 K (Table 1; Figs. 3B, 4B) (Pavlou et al. 2023). The nature of this small fraction of PSII centers, capable of such low temperature electron transfer is unclear and requires further investigation. One speculation could be that it is connected to an S1 state heterogeneity, such as a flip of the Jan Teller axis of the Mn4 ion (Drosou et al. 2021) or the presence of a protonation isomer of the CaMn4O5-cluster. In the letter scenario it seems possible that PSII centers in which water 2 is deprotonated can transition to S2 even at 77 K, while those in which water 2 is protonated require conditions under which such transfer to a yet unknown internal base is possible.
The S2 → S3 transition is more complicated with a deprotonation event, substrate water binding, and insertion of Ox into the cluster (Ugur et al. 2016; Wang et al. 2017; Kern et al. 2018; Siegbahn 2018; Ibrahim et al. 2020; Hussein et al. 2021). Formation of TyrZ• initiates this reaction by prompting deprotonation, which precedes the electron transfer (see Pantazis 2018 and references therein). Surprisingly, our data and comparison to literature show that there is practically no effect of ethylene glycol or methanol addition on T0.5 of this transition (Figs. 4, 5). The different sensitivity of the two transitions to ethylene glycol and methanol is in qualitative agreement with methanol binding near Mn4, since water binding occurs at Mn1 and it may be more difficult for MeOH to alter this transition from the distance (Umena et al. 2011; Suga et al. 2017; Kern et al. 2018; Ibrahim et al. 2020; Hussein et al. 2021).
In the absence of methanol two different S2 state EPR signals are observed, the low spin g = 2 multiline and high spin g = 4.1 signal (Fig. 1) which allowed us to study the S2 → S3 state transition relying on two signals with different electronic configuration (Zimmermann and Rutherford 1984; Casey and Sauer 1984; Depaula et al. 1985). We studied the disappearance of these signals after the second flash was given at different temperatures (Fig. 5A, B). Both low and high spin signals disappeared with the same temperature dependence with T0.5 at 240 K (Fig. 5D). We assume that if there are any EPR visible intermediates during the transition to the S3 state, it would be possible to detect these intermediates at lower temperatures. However, we were unable to observe any such intermediates. Thus, our results favor the conclusion that, in PSII isolated from spinach, both low spin g = 2.0 and high spin g = 4.1 configurations independently proceed to the S3 state in a similar fashion.
An interesting result from the Split S3 signal measurements is that this signal was still inducible in samples where the second flash was given at temperatures below 200 K and no disappearance of the S2 state related signals was observed (Fig. 5). The fraction of PSII centers which showed this phenomenon was ca. 20% (Fig. 5D). To understand how this is possible we need to consider the nature of the Split S3 EPR signal. In contrast to split signals from other S states, which could be generated only by the visible light illumination at 5 K and require TyrZ oxidation by charge separation in PSII (Petrouleas et al. 2005; Havelius et al. 2010), the Split S3 signal is generated also by NIR light and is believed not to involve the primary charge separation (Havelius et al. 2011; Boussac et al. 2008; Koulougliotis et al. 2003). It was suggested that the near-infrared excitation of one of the Mn4+ ions in the CaMn4O5-cluster leads to a reverse electron transfer from TyrZ to the CaMn4O5-cluster in the S3 state and, thereby, to the formation of the modified TyrZ• state that gives rise to the Split S3 EPR signal (Havelius et al. 2011). Therefore, it is very likely that this ca. 20% fraction of PSII centers that we observe as a Split S3 signal without actually advancing to the S3 state reflects an H+ equilibrium at the site and originates from a deprotonated form of the S2 state, .
It is important to compare and discuss our findings regarding the S2 → S3 transition with respect to the published data from both spinach (Chrysina et al. 2010) and cyanobacterial PSII preparations from T. elongatus (Boussac et al. 2018; Boussac 2019). Using a similar spinach preparation and probing the S2 → S3 transition at 223 K and 243 K, Chrysina et al. (2010) reached the conclusion that the high spin g = 4.1 signal first converts to the low spin multiline signal which, in turn, proceeds to the S3 state. This conclusion was based on the accumulation of additional multiline signal at the expense of the g = 4.1 signal during a train of 1–2 ms xenon lamp flashes. In contrast, we used here saturating laser flashes and after the first flash given at 273 K all PSII centers have advanced to the S2 state (Fig. 5A, B) (Han et al. 2008, 2012, 2022). Additionally, we found that both spin states advance with similar efficiency in the range of 165–295 K. Further studies are required to understand this discrepancy.
Employing PSII core preparations from T. elongatus (now referred to T. vestitus) Boussac and coworkers concluded that the high spin S2 state is a deprotonated form of the low spin S2 state (working down to 230 K) and is most likely an intermediate on the way to the S3 state. They found that the deprotonated form can advance to S3 at temperatures down to 198 K (Boussac et al. 2018; Boussac 2019). This is different to what we observe in our plant PSII preparations where both forms of the S2 state, including the high spin form, don’t “move” forward at this temperature (Fig. 5). The reason for this discrepancy is unclear at the moment, but is most likely related to important differences in the S2HS states. The high spin S2 state from cyanobacterial PSII exhibits an EPR signal with a shifted g value at 4.75, if compared with plant signal at g = 4.1. The only report of a similar g value in plant was obtained with a spinach PSII preparation in which the three extrinsic subunits had been removed (PsbO, PsbP and PsbQ) and a high concentration of Ca2+ was present in the buffer. For this sample, a high spin signal at g = 4.9 displaying a hyperfine structure was observed (Taguchi et al. 2020). The g = 4.9 signal was assigned to the S = excited state and to the structure with deprotonated water bound to Mn4 (Corry and O'Malley 2020). These differences could reflect slightly different H-bonding environment around the CaMn4O5-cluster between the cyanobacterial and plant PSII, making straightforward comparison of temperature dependencies between two species difficult.
In summary, our present data provide clear evidence that al low temperatures the formation of the S2 state from the S1 state is sensitive to both methanol and ethylene glycol addition, possibly indicating an internal proton transfer near Mn4. Furthermore, our data do not support the need of forming the high spin S2 state for advancing to the S3 state, which is in line with XFEL data (Kern et al. 18; Hussein et al. 2021).
Acknowledgements
The Swedish Energy Agency is gratefully acknowledged for financial support. The authors also thank Dr. J. Messinger for fruitful discussions.
Author contributions
SS and MF designed experiments, AP conducted experiments, AP, SS and MF discussed experiments and wrote the paper.
Funding
Open access funding provided by Uppsala University.
Data Availability
Not applicable.
Declarations
Conflict of interest
The authors declare no competing interests.
Footnotes
Publisher's Note
Springer Nature remains neutral with regard to jurisdictional claims in published maps and institutional affiliations.
References
- Åhrling KA, Peterson S, Styring S (1997) An oscillating manganese electron paramagnetic resonance signal from the S0 state of the oxygen evolving complex in photosystem II. Biochemistry 36(43):13148–13152. 10.1021/bi971815w [DOI] [PubMed] [Google Scholar]
- Åhrling KA, Evans MCW, Nugent JHA, Ball RJ, Pace RJ (2006) ESEEM studies of substrate water and small alcohol binding to the oxygen-evolving complex of photosystem II during functional turnover. Biochemistry 45(23):7069–7082. 10.1021/bi052146m [DOI] [PubMed] [Google Scholar]
- Bernat G, Morvaridi F, Feyziyev Y, Styring S (2002) pH dependence of the four individual transitions in the catalytic S-cycle during photosynthetic oxygen evolution. Biochemistry 41(18):5830–5843. 10.1021/bi011691u [DOI] [PubMed] [Google Scholar]
- Bhowmick A, Hussein R, Bogacz I, Simon PS, Ibrahim M, Chatterjee R, Doyle MD, Cheah MH, Fransson T, Chernev P, Kim IS, Makita H, Dasgupta M, Kaminsky CJ, Zhang M, Gaetcke J, Haupt S, Nangca II, Keable SM, Aydin AO, Tono K, Owada S, Gee LB, Fuller FD, Batyuk A, Alonso-Mori R, Holton JM, Paley DW, Moriarty NW, Mamedov F, Adams PD, Brewster AS, Dobbek H, Sauter NK, Bergmann U, Zouni A, Messinger J, Kern J, Yano J, Yachandra VK (2023) Structural evidence for intermediates during O2 formation in photosystem II. Nature. 10.1038/s41586-023-06038-z [DOI] [PMC free article] [PubMed] [Google Scholar]
- Boussac A (2019) Temperature dependence of the high-spin S2 to S3 transition in Photosystem II: mechanistic consequences. Biochim Biophys Acta 1860(6):508–518. 10.1016/j.bbabio.2019.05.001 [DOI] [PubMed] [Google Scholar]
- Boussac A, Rutherford AW (2000) Comparative study of the g = 4.1 EPR signals in the S2 state of photosystem II. Biochim Biophys Acta 1457(3):145–156. 10.1016/s0005-2728(00)00073-6 [DOI] [PubMed] [Google Scholar]
- Boussac A, Kuhl H, Un S, Rogner M, Rutherford AW (1998a) Effect of near-infrared light on the S2-state of the manganese complex of photosystem II from Synechococcus elongatus. Biochemistry 37(25):8995–9000. 10.1021/bi980195b [DOI] [PubMed] [Google Scholar]
- Boussac A, Un S, Horner O, Rutherford AW (1998b) High-spin states (S >= 5/2) of the photosystem II manganese complex. Biochemistry 37(12):4001–4007. 10.1021/bi9728710 [DOI] [PubMed] [Google Scholar]
- Boussac A, Sugiura M, Inoue Y, Rutherford AW (2000) EPR study of the oxygen evolving complex in His-tagged photosystem II from the cyanobacterium Synechococcus elongatus. Biochemistry 39(45):13788–13799. 10.1021/bi001159r [DOI] [PubMed] [Google Scholar]
- Boussac A, Sugiura M, Lai TL, Rutherford AW (2008) Low-temperature photochemistry in photosystem II from Thermosynechococcus elongatus induced by visible and near-infrared light. Philos Trans R Soc B 363(1494):1203–1210. 10.1098/rstb.2007.2216 [DOI] [PMC free article] [PubMed] [Google Scholar]
- Boussac A, Sugiura M, Rutherford AW, Dorlet P (2009) Complete EPR spectrum of the S3-state of the oxygen-evolving photosystem II. J Am Chem Soc 131(14):5050–5051. 10.1021/ja900680t [DOI] [PubMed] [Google Scholar]
- Boussac A, Ugur I, Marion A, Sugiura M, Kaila VRI, Rutherford AW (2018) The low spin–high spin equilibrium in the S2-state of the water oxidizing enzyme. Biochim Biophys Acta 1859(5):342–356. 10.1016/j.bbabio.2018.02.010 [DOI] [PubMed] [Google Scholar]
- Boussac A, Sugiura M, Sellés J (2022) Probing the proton release by photosystem II in the S1 to S2 high-spin transition. Biochim Biophys Acta Bioenergetics 1863(5):148546. 10.1016/j.bbabio.2022.148546 [DOI] [PubMed] [Google Scholar]
- Bovi D, Narzi D, Guidoni L (2013) The S2 state of the oxygen-evolving complex of photosystem II explored by QM/MM dynamics: spin surfaces and metastable states suggest a reaction path towards the S3 state. Angew Chem Int Ed 52(45):11744–11749. 10.1002/anie.201306667 [DOI] [PMC free article] [PubMed] [Google Scholar]
- Cardona T, Sedoud A, Cox N, Rutherford AW (2012) Charge separation in photosystem II: a comparative and evolutionary overview. Biochim Biophys Acta 1817(1):26–43. 10.1016/j.bbabio.2011.07.012 [DOI] [PubMed] [Google Scholar]
- Casey JL, Sauer K (1984) Electron-paramagnetic-res detection of a cryogenically photogenerated intermediate in photosynthetic oxygen evolution. Biochim Biophys Acta 767(1):21–28. 10.1016/0005-2728(84)90075-6 [Google Scholar]
- Chrysina M, Zahariou G, Ioannidis N, Petrouleas V (2010) Conversion of the g = 4.1 EPR signal to the multiline conformation during the S2 to S3 transition of the oxygen evolving complex of photosystem II. Biochim Biophys Acta 1797(4):487–493. 10.1016/j.bbabio.2010.01.008 [DOI] [PubMed] [Google Scholar]
- Corry TA, O’Malley PJ (2019) proton isomers rationalize the high- and low-spin forms of the S2 state intermediate in the water-oxidizing reaction of photosystem II. J Phys Chem Lett 10(17):5226–5230. 10.1021/acs.jpclett.9b01372 [DOI] [PubMed] [Google Scholar]
- Corry TA, O’Malley PJ (2020) Molecular identification of a high-spin deprotonated intermediate during the S2 to S3 transition of nature’s water-oxidizing complex. J Am Chem Soc 142(23):10240–10243. 10.1021/jacs.0c01351 [DOI] [PubMed] [Google Scholar]
- Danielsson R, Albertsson P-Å, Mamedov F, Styring S (2004) Quantification of photosystem I and II in different parts of the thylakoid membrane from spinach. Biochim Biophys Acta 1608(1):53–61 [DOI] [PubMed] [Google Scholar]
- Dau H, Zaharieva I (2009) Principles, efficiency, and blueprint character of solar-energy conversion in photosynthetic water oxidation. Acc Chem Res 42(12):1861–1870. 10.1021/ar900225y [DOI] [PubMed] [Google Scholar]
- de Lichtenberg C, Messinger J (2020) Substrate water exchange in the S2 state of photosystem II is dependent on the conformation of the Mn4Ca cluster. Phys Chem Chem Phys 22(23):12894–12908. 10.1039/d0cp01380c [DOI] [PubMed] [Google Scholar]
- de Lichtenberg C, Kim CJ, Chernev P, Debus RJ, Messinger J (2021) The exchange of the fast substrate water in the S2 state of photosystem II is limited by diffusion of bulk water through channels—implications for the water oxidation mechanism. Chem Sci 12(38):12763–12775. 10.1039/d1sc02265b [DOI] [PMC free article] [PubMed] [Google Scholar]
- Deak Z, Peterson S, Geijer P, Ahrling KA, Styring S (1999) Methanol modification of the electron paramagnetic resonance signals from the S0 and S2 states of the water-oxidizing complex of photosystem II. Biochim Biophys Acta 1412(3):240–249. 10.1016/s0005-2728(99)00064-x [DOI] [PubMed] [Google Scholar]
- Depaula JC, Innes JB, Brudvig GW (1985) Electron-transfer in photosystem-II at cryogenic temperatures. Biochemistry 24(27):8114–8120. 10.1021/bi00348a042 [DOI] [PubMed] [Google Scholar]
- Dismukes GC, Siderer Y (1981) Intermediates of a polynuclear manganese center involved in photosynthetic oxidation of water. Proc Natl Acad Sci USA 78(1):274–278. 10.1073/pnas.78.1.274 [DOI] [PMC free article] [PubMed] [Google Scholar]
- Drosou M, Zahariou G, Pantazis DA (2021) Orientational Jahn-Teller isomerism in the dark-stable state of nature’s water oxidase. Angew Chem Int Ed 60:13493–13499. 10.1002/anie.202103425 [DOI] [PMC free article] [PubMed] [Google Scholar]
- Force DA, Randall DW, Lorigan GA, Clemens KL, Britt RD (1998) ESEEM studies of alcohol binding to the manganese cluster of the oxygen evolving complex of Photosystem II. J Am Chem Soc 120(51):13321–13333. 10.1021/ja982713b [Google Scholar]
- Greife P, Schönborn M, Capone M, Assunçao R, Narzi D, Guidoni L, Dau H (2023) The electron–proton bottleneck of photosynthetic oxygen evolution. Nature. 10.1038/s41586-023-06008-5 [DOI] [PMC free article] [PubMed] [Google Scholar]
- Han GY, Ho FM, Havelius KGV, Morvaridi SF, Mamedov F, Styring S (2008) Direct quantification of the four individual S states in photosystem II using EPR spectroscopy. Biochim Biophys Acta 1777(6):496–503. 10.1016/j.bbabio.2008.03.007 [DOI] [PubMed] [Google Scholar]
- Han GY, Mamedov F, Styring S (2012) Misses during water oxidation in photosystem II are S state dependent. J Biol Chem 287(16):13422–13429. 10.1074/jbc.M112.342543 [DOI] [PMC free article] [PubMed] [Google Scholar]
- Han GY, Chernev P, Styring S, Messinger J, Mamedov F (2022) Molecular basis for turnover inefficiencies (misses) during water oxidation in photosystem II. Chem Sci 13(29):8667–8678. 10.1039/d2sc00854h [DOI] [PMC free article] [PubMed] [Google Scholar]
- Havelius KGV, Sjoholm J, Ho FM, Mamedov F, Styring S (2010) Metalloradical EPR signals from the YZ• S-State intermediates in photosystem II. Appl Magn Res 37(1–4):151–176. 10.1007/s00723-009-0045-z [Google Scholar]
- Havelius KGV, Su JH, Han G, Mamedov F, Ho FM, Styring S (2011) The formation of the split EPR signal from the S3 state of Photosystem II does not involve primary charge separation. Biochim Biophys Acta 1807(1):11–21. 10.1016/j.bbabio.2010.09.006 [DOI] [PubMed] [Google Scholar]
- Hussein R, Ibrahim M, Bhowmick A, Simon PS, Chatterjee R, Lassalle L, Doyle M, Bogacz I, Kim IS, Cheah MH, Gul S, de Lichtenberg C, Chernev P, Pham CC, Young ID, Carbajo S, Fuller FD, Alonso-Mori R, Batyuk A, Sutherlin KD, Brewster AS, Bolotovsky R, Mendez D, Holton JM, Moriarty NW, Adams PD, Bergmann U, Sauter NK, Dobbek H, Messinger J, Zouni A, Kern J, Yachandra VK, Yano J (2021) Structural dynamics in the water and proton channels of photosystem II during the S2 to S3 transition. Nat Commun. 10.1038/s41467-021-26781-z [DOI] [PMC free article] [PubMed] [Google Scholar]
- Ibrahim M, Fransson T, Chatterjee R, Cheah MH, Hussein R, Lassalle L, Sutherlin KD, Young ID, Fuller FD, Gul S, Kim IS, Simon PS, de Lichtenberg C, Chernev P, Bogacz I, Pham CC, Orville AM, Saichek N, Northen T, Batyuk A, Carbajo S, Alonso-Mori R, Tono K, Owada S, Bhowmick A, Bolotovsky R, Mendez D, Moriarty NW, Holton JM, Dobbek H, Brewster AS, Adams PD, Sauter NK, Bergmann U, Zouni A, Messinger J, Kern J, Yachandra VK, Yano J (2020) Untangling the sequence of events during the S2–S3 transition in photosystem II and implications for the water oxidation mechanism. Proc Natl Acad Sci USA 117(23):12624–12635. 10.1073/pnas.2000529117 [DOI] [PMC free article] [PubMed] [Google Scholar]
- Ioannidis N, Petrouleas V (2000) Electron paramagnetic resonance signals from the S3 state of the oxygen-evolving complex. A broadened radical signal induced by low-temperature near-infrared light illumination. Biochemistry 39(18):5246–5254. 10.1021/bi000131c [DOI] [PubMed] [Google Scholar]
- Ioannidis N, Nugent JHA, Petrouleas V (2002) Intermediates of the S3 state of the oxygen-evolving complex of photosystem II. Biochemistry 41(30):9589–9600. 10.1021/bi0159940 [DOI] [PubMed] [Google Scholar]
- Kalendra V, Reiss KM, Banerjee G, Ghosh I, Baldansuren A, Batista VS, Brudvig GW, Lakshmi KV (2022) Binding of the substrate analog methanol in the oxygen-evolving complex of photosystem II in the D1–N87A genetic variant of cyanobacteria. Faraday Discuss 234:195–213. 10.1039/d1fd00094b [DOI] [PubMed] [Google Scholar]
- Kern J, Chatterjee R, Young ID, Fuller FD, Lassalle L, Ibrahim M, Gul S, Fransson T, Brewster AS, Alonso-Mori R, Hussein R, Zhang M, Douthit L, de Lichtenberg C, Cheah MH, Shevela D, Wersig J, Seuffert I, Sokaras D, Pastor E, Weninger C, Kroll T, Sierra RG, Aller P, Butryn A, Orville AM, Liang MN, Batyuk A, Koglin JE, Carbajo S, Boutet S, Moriarty NW, Holton JM, Dobbek H, Adams PD, Bergmann U, Sauter NK, Zouni A, Messinger J, Yano J, Yachandra VK (2018) Structures of the intermediates of Kok’s photosynthetic water oxidation clock. Nature 563(7731):421-443X. 10.1038/s41586-018-0681-2 [DOI] [PMC free article] [PubMed] [Google Scholar]
- Kim CJ, Debus RJ (2019) One of the Substrate Waters for O2 formation in photosystem II is provided by the water-splitting Mn4CaO5 cluster’s Ca2+ ion. Biochemistry 58(29):3185–3192. 10.1021/acs.biochem.9b00418 [DOI] [PubMed] [Google Scholar]
- Koulougliotis D, Shen JR, Ioannidis N, Petrouleas V (2003) Near-IR irradiation of the S2 state of the water oxidizing complex of photosystem II at liquid helium temperatures produces the metalloradical intermediate attributed to S1YZ•. Biochemistry 42(10):3045–3053. 10.1021/bi027051o [DOI] [PubMed] [Google Scholar]
- Matsukawa T, Mino H, Yoneda D, Kawamori A (1999) Dual-mode EPR study of new signals from the S3-state of oxygen-evolving complex in photosystem II. Biochemistry 38(13):4072–4077. 10.1021/bi9818570 [DOI] [PubMed] [Google Scholar]
- Mäusle SM, Abzaliyeva A, Greife P, Simon PS, Perez R, Zilliges Y, Dau H (2020) Activation energies for two steps in the S2 → S3 transition of photosynthetic water oxidation from time-resolved single-frequency infrared spectroscopy. J Chem Phys. 10.1063/5.0027995 [DOI] [PubMed] [Google Scholar]
- Messinger J, Nugent JHA, Evans MCW (1997) Detection of an EPR multiline signal for the S0 state in photosystem II. Biochemistry 36(37):11055–11060. 10.1021/bi9711285 [DOI] [PubMed] [Google Scholar]
- Müh F, Glockner C, Hellmich J, Zouni A (2012) Light-induced quinone reduction in photosystem II. Biochim Biophys Acta 1817(1):44–65. 10.1016/j.bbabio.2011.05.021 [DOI] [PubMed] [Google Scholar]
- Nagashima H, Mino H (2017) Location of methanol on the S2 state Mn cluster in photosystem II studied by proton matrix electron nuclear double resonance. J Phys Chem Lett 8(3):621–625. 10.1021/acs.jpclett.7b00110 [DOI] [PubMed] [Google Scholar]
- Narzi D, Bovi D, Guidoni L (2014) Pathway for Mn-cluster oxidation by tyrosine-Z in the S2 state of photosystem II. Proc Natl Acad Sci USA 111(24):8723–8728. 10.1073/pnas.1401719111 [DOI] [PMC free article] [PubMed] [Google Scholar]
- Navarro MP, Ames WM, Nilsson H, Lohmiller T, Pantazis DA, Rapatskiy L, Nowaczyk MM, Neese F, Boussac A, Messinger J, Lubitz W, Cox N (2013) Ammonia binding to the oxygen-evolving complex of photosystem II identifies the solvent-exchangeable oxygen bridge (μ-oxo) of the manganese tetramer. Proc Natl Acad Sci USA 110(39):15561–15566. 10.1073/pnas.1304334110 [DOI] [PMC free article] [PubMed] [Google Scholar]
- Oyala PH, Stich TA, Stull JA, Yu FT, Pecoraro VL, Britt RD (2014) Pulse electron paramagnetic resonance studies of the interaction of methanol with the S2 state of the Mn4O5Ca cluster of photosystem II. Biochemistry 53(50):7914–7928. 10.1021/bi501323h [DOI] [PMC free article] [PubMed] [Google Scholar]
- Pantazis DA (2018) Missing pieces in the puzzle of biological water oxidation. ACS Catal 8(10):9477–9507. 10.1021/acscatal.8b01928 [Google Scholar]
- Pantazis DA, Ames W, Cox N, Lubitz W, Neese F (2012) Two interconvertible structures that explain the spectroscopic properties of the oxygen-evolving complex of photosystem II in the S2 state. Angew Chem Int Ed 51(39):9935–9940. 10.1002/anie.201204705 [DOI] [PubMed] [Google Scholar]
- Pavlou A, Mokvist F, Styring S, Mamedov F (2023) Far-red photosynthesis: two charge separation pathways exist in plant Photosystem II reaction center. Biochim Biophys Acta. 10.1016/j.bbabio.2023.148994 [DOI] [PubMed] [Google Scholar]
- Petrouleas V, Koulougliotis D, Ioannidis N (2005) Trapping of metalloradical intermediates of the S-states at liquid helium temperatures. Overview of the phenomenology and mechanistic implications. Biochemistry 44(18):6723–6728. 10.1021/bi0503201 [DOI] [PubMed] [Google Scholar]
- Pokhrel R, Brudvig GW (2014) Oxygen-evolving complex of photosystem II: correlating structure with spectroscopy. Phys Chem Chem Phys 16(24):11812–11821. 10.1039/c4cp00493k [DOI] [PubMed] [Google Scholar]
- Rappaport F, Lavergne J (1991) Proton release during successive oxidation steps of the photosynthetic water oxidation process—stoichiometries and pH-dependence. Biochemistry 30(41):10004–10012. 10.1021/bi00105a027 [DOI] [PubMed] [Google Scholar]
- Renger G (2012) Mechanism of light induced water splitting in photosystem II of oxygen evolving photosynthetic organisms. Biochim Biophys Acta 1817(8):1164–1176. 10.1016/j.bbabio.2012.02.005 [DOI] [PubMed] [Google Scholar]
- Retegan M, Pantazis DA (2016) Interaction of methanol with the oxygen-evolving complex: atomistic models, channel identification, species dependence, and mechanistic implications. Chem Sci 7(10):6463–6476. 10.1039/c6sc02340a [DOI] [PMC free article] [PubMed] [Google Scholar]
- Retegan M, Krewald V, Mamedov F, Neese F, Lubitz W, Cox N, Pantazis DA (2016) A five-coordinate Mn(IV) intermediate in biological water oxidation: spectroscopic signature and a pivot mechanism for water binding. Chem Sci 7(1):72–84. 10.1039/c5sc03124a [DOI] [PMC free article] [PubMed] [Google Scholar]
- Shevela D, Kern JF, Govindjee G, Messinger J (2023) Solar energy conversion by photosystem II: principles and structures. Photosynth Res 156(3):279–307. 10.1007/s11120-022-00991-y [DOI] [PMC free article] [PubMed] [Google Scholar]
- Shoji M, Isobe H, Shen J-R, Suga M, Akita F, Miyagawa K, Shigeta Y, Yamaguchi K (2019) Elucidation of the entire Kok cycle for photosynthetic water oxidation by the large-scale quantum mechanics/molecular mechanics calculations: comparison with the experimental results by the recent serial femtosecond crystallography. Chem Phys Lett 730:416–425. 10.1016/j.cplett.2019.06.026 [Google Scholar]
- Siegbahn PEM (2018) The S2 to S3 transition for water oxidation in PSII (photosystem II), revisited. Phys Chem Chem Phys 20(35):22926–22931. 10.1039/c8cp03720e [DOI] [PubMed] [Google Scholar]
- Styring S, Rutherford AW (1988) Deactivation kinetics and temperature-dependence of the S-state transitions in the oxygen-evolving system of photosystem II measured by electron paramagnetic resonance spectroscopy. Biochim Biophys Acta 933(2):378–387. 10.1016/0005-2728(88)90046-1 [Google Scholar]
- Su JH, Havelius KGV, Mamedov F, Ho FM, Styring S (2006) Split EPR signals from photosystem II are modified by methanol, reflecting S state-dependent binding and alterations in the magnetic coupling in the CaMn4 cluster. Biochemistry 45(24):7617–7627. 10.1021/bi060333u [DOI] [PubMed] [Google Scholar]
- Suga M, Akita F, Sugahara M, Kubo M, Nakajima Y, Nakane T, Yamashita K, Umena Y, Nakabayashi M, Yamane T, Nakano T, Suzuki M, Masuda T, Inoue S, Kimura T, Nomura T, Yonekura S, Yu LJ, Sakamoto T, Motomura T, Chen JH, Kato Y, Noguchi T, Tono K, Joti Y, Kameshima T, Hatsui T, Nango E, Tanaka R, Naitow H, Matsuura Y, Yamashita A, Yamamoto M, Nureki O, Yabashi M, Ishikawa T, Iwata S, Shen JR (2017) Light-induced structural changes and the site of O=O bond formation in PSII caught by XFEL. Nature 543(7643):131–114X. 10.1038/nature21400 [DOI] [PubMed] [Google Scholar]
- Taguchi S, Noguchi T, Mino H (2020) Molecular structure of the S2 state with a g = 5 signal in the oxygen evolving complex of photosystem II. J Phys Chem B 124(27):5531–5537. 10.1021/acs.jpcb.0c02913 [DOI] [PubMed] [Google Scholar]
- Takemoto H, Sugiura M, Noguchi T (2019) Proton release process during the S2 to S3 transition of photosynthetic water oxidation as revealed by the pH dependence of kinetics monitored by time-resolved infrared spectroscopy. Biochemistry 58(42):4276–4283. 10.1021/acs.biochem.9b00680 [DOI] [PubMed] [Google Scholar]
- Ugur I, Rutherford AW, Kaila VRI (2016) Redox-coupled substrate water reorganization in the active site of photosystem II—the role of calcium in substrate water delivery. Biochim Biophys Acta 1857(6):740–748. 10.1016/j.bbabio.2016.01.015 [DOI] [PubMed] [Google Scholar]
- Umena Y, Kawakami K, Shen JR, Kamiya N (2011) Crystal structure of oxygen-evolving photosystem II at a resolution of 1.9 Angstrom. Nature 473(7345):55–65. 10.1038/nature09913 [DOI] [PubMed] [Google Scholar]
- Vinyard DJ, Brudvig GW (2017) Progress toward a molecular mechanism of water oxidation in photosystem II. Annu Rev Phys Chem 68:101–116. 10.1146/annurev-physchem-052516-044820 [DOI] [PubMed] [Google Scholar]
- Völker M, Ono T, Inoue Y, Renger G (1985) Effect of trypsin on PS II particles—correlation between hill activity, Mn abundance and peptide pattern. Biochim Biophys Acta 806(1):25–34. 10.1016/0005-2728(85)90078-7 [Google Scholar]
- Wang JM, Askerka M, Brudvig GW, Batista VS (2017) Crystallographic data support the carousel mechanism of water supply to the oxygen-evolving complex of photosystem II. ACS Energy Lett 2(10):2299–2306. 10.1021/acsenergylett.7b00750 [DOI] [PMC free article] [PubMed] [Google Scholar]
- Wei XP, Su XD, Cao P, Liu XY, Chang WR, Li M, Zhang XZ, Liu ZF (2016) Structure of spinach photosystem II-LHCII supercomplex at 3.2 Angstrom resolution. Nature 534(7605):69. 10.1038/nature18020 [DOI] [PubMed] [Google Scholar]
- Yata H, Noguchi T (2018) Mechanism of methanol inhibition of photosynthetic water oxidation as studied by Fourier transform infrared difference and time-resolved infrared spectroscopies. Biochemistry 57(32):4803–4815. 10.1021/acs.biochem.8b00596 [DOI] [PubMed] [Google Scholar]
- Zahariou G, Ioannidis N, Sanakis Y, Pantazis DA (2021) Arrested substrate binding resolves catalytic intermediates in higher-plant water oxidation. Angew Chem Int Ed 60(6):3156–3162. 10.1002/anie.202012304 [DOI] [PMC free article] [PubMed] [Google Scholar]
- Zimmermann JL, Rutherford AW (1984) Electron-paramagnetic-res studies of the oxygen-evolving enzyme of photosystem-II. Biochim Biophys Acta 767(1):160–167. 10.1016/0005-2728(84)90091-4 [Google Scholar]
Associated Data
This section collects any data citations, data availability statements, or supplementary materials included in this article.
Data Availability Statement
Not applicable.



