Abstract
Background
Choosing effective devices (inhaled corticosteroid [ICS]-long-acting β2 agonist [LABA] combination inhalers) as maintenance treatment is critical for managing patients with asthma. We aimed to compare ICS/LABA combination efficacy, safety, and adherence across inhaler types and components in patients newly diagnosed with asthma.
Methods
Utilizing South Korea’s National Health Insurance Service data, we conducted a population-based cohort study involving patients aged 18–80 years, newly diagnosed with asthma who received ICS/LABA combination therapy between January 2016 and December 2020. Outcomes assessed included treatment adherence, asthma exacerbations, hospitalizations, emergency-department visits, mortality, and safety outcomes within 3-month and 1-year post-index periods.
Results
Overall, 13,850 eligible patients were included, with subgroups categorized and compared according to inhaler type and component (metered dose inhalers [MDIs] vs. dry powder inhalers [DPIs], budesonide vs. fluticasone, and formoterol vs. salmeterol). Efficacy and safety profiles did not significantly differ across device types or ICS/LABA combination components during the 3-month and 1-year follow-up periods. However, the DPI group exhibited a significantly higher mean proportion of days covered (0.67 ± 0.23 vs. 0.62 ± 0.23; P < 0.001) and a lower risk of discontinuation (adjusted hazard ratio, 0.867; 95% confidence interval, 0.804–0.927; P < 0.001) than did the MDI group, with no significant differences observed between the other subgroups.
Conclusions
The choice of inhaler device (MDI vs. DPI) and specific ICS/LABA combination components does not significantly impact efficacy and safety profiles in patients newly diagnosed with asthma. However, DPI use may be associated with improved adherence. These results provide valuable insights for clinicians in selecting appropriate and individually tailored inhaler therapies in real-world settings.
Graphical abstract
Supplementary Information
The online version contains supplementary material available at 10.1186/s12931-024-03084-7.
Keywords: Adherence, Asthma, Efficacy and safety, ICS/LABA combinations, Inhaler types, Real-world outcomes
Background
Asthma remains a global public health challenge, impacting millions worldwide and imposing substantial strains on healthcare systems [1]. Inhaled corticosteroids (ICSs) combined with long-acting beta-agonists (LABAs) constitute the cornerstone of maintenance therapy for moderate-to-severe asthma [2]. However, choosing between inhaler devices, specifically the types and components among various ICS/LABA combinations, is a critical consideration for clinicians aiming to improve symptoms, prevent exacerbations, and minimize medication side effects for individual patients.
Despite considerable research comparing the efficacy and safety between metered dose inhalers (MDIs) and dry powder inhalers (DPIs), as well as different ICS and LABA components, the findings remain inconsistent [3–12]. These discrepancies in research outcomes present challenges in establishing evidence-based guidelines, particularly regarding the impact of specific device types and medication components on treatment effectiveness, safety profiles, and patient adherence in real-world settings. Furthermore, concerns surrounding potential adverse events, such as pneumonia and oral candidiasis, associated with specific ICS components, along with systemic effects related to beta-2 agonists, such as tremors and arrhythmia, underscore the need for more definitive evidence to guide clinical practice [13–15].
To address the lack of real-world guidance on ICS/LABA selection, we aimed to analyze the efficacy, safety, and adherence across inhaler types and components (MDIs vs. DPIs, budesonide vs. fluticasone, and formoterol vs. salmeterol) in patients newly diagnosed with asthma. Leveraging a large-scale population-based cohort from the National Health Insurance Service (NHIS) in South Korea, we aimed to provide valuable insights into the real-world implications of inhaler selection for asthma management outcomes.
Methods
Data sources
This study utilized data from the NHIS in South Korea, providing a comprehensive dataset covering nearly the country’s entire population. This comprehensive database encompasses diverse health-related information, including healthcare utilization, diagnosis codes (based on the International Classification of Diseases, 10th Revision [ICD-10]), prescription details, sociodemographic information, and causes of death. Specifically, the analysis focused on NHIS claims data spanning from January 2008 to December 2020. This study was approved by the Institutional Review Board of the Chungnam National University Hospital (IRB No. 2022-04-114). As this was a retrospective study, written informed consent was not required; all data were extracted from existing records and handled in accordance with ethical standards to ensure participant confidentiality.
Definitions
This study incorporated ICS/LABA combination medications approved by the Korean Food and Drug Administration, categorizing them based on their components and device types (Table 1). Participants were identified as having asthma based on the ICD-10 codes J45–J46. Systemic steroids evaluated in this study included prednisolone, methylprednisolone, hydrocortisone, triamcinolone, dexamethasone, deflazacort, and betamethasone. Demographic variables, such as age, sex, income, region of residence, and comorbidities, were assessed at the cohort entry. Individuals were classified into three income classes, and their regions of residence were categorized as urban or rural areas, as described in a previous study [16]. Comorbidities considered in this study were defined using ICD-10 codes and included acute respiratory disease, chronic liver disease, dementia, depressive disorder, diabetes mellitus, gastro-esophageal reflux disease, hyperlipidemia, hypertensive disorders, osteoarthritis, pneumonia, renal impairment, rheumatoid arthritis, schizophrenia, ulcerative colitis, and urinary tract infections (Supplementary Table 1, Additional File). Additionally, our study utilized the Charlson Comorbidity Index to evaluate the mortality risk attributable to comorbid diseases before the index date.
Table 1.
List of ICS/LABA combinations used in this study
| Budesonide | Fluticasone | Beclomethasone | |
|---|---|---|---|
| Formoterol |
Duoresp spiromax 16/4.5 [DPI] Duoresp spiromax 320/9 [DPI] Symbicort turbuhaler 80/4.5 [DPI] Symbicort turbuhaler 160/4.5 [DPI] Symbicort turbuhaler 320/9 [DPI] Symbicort rapihaler 160/4.5 [MDI] |
Flutiform inhaler 50/5 [MDI] Flutiform inhaler 125/5 [MDI] Flutiform inhaler 250/10 [MDI] |
Foster nexthaler [DPI] Foster 100/6 HFA [MDI] |
| Salmeterol |
Zephirus cap 150/25 [DPI] Zephirus cap 300/25 [DPI] |
Seretide 100 diskus [DPI] Seretide 250 diskus [DPI] Seretide 500 diskus [DPI] Airflusal forspiro 100 [DPI] Airflusal forspiro 250 [DPI] Airflusal forspiro 500 [DPI] Compona compact 100/50 [DPI] Compona compact 250/50 [DPI] Compona compact 500/50 [DPI] Fluterol inhalation powder 100/50 [DPI] Fluterol inhalation powder 250/50 [DPI] Fluterol inhalation powder 500/50 [DPI] Seretide evohaler 50 [MDI] Seretide evohaler 125 [MDI] Seretide evohaler 250 [MDI] |
|
| Vilanterol |
Relvar 100 ellipta [DPI] Relvar 200 ellipta [DPI] |
DPI, dry powder inhaler; ICS, inhaled corticosteroid; LABA, long-acting
2 agonist; MDI, metered dose inhaler
Study population and design
Patients newly diagnosed with asthma who initiated ICS/LABA combination therapy between January 2016 and December 2019, with data available through December 31, 2020, were enrolled in this study (Fig. 1). Patients with at least one asthma-related diagnostic code (ICD-10 codes J45–46) or at least one prescription for an ICS or ICS/LABA between January 2008 and December 2015 were excluded. The index date was defined as the date of the first prescription of ICS/LABA combinations in patients aged 18–80 years. Patients were included if they received at least three prescriptions of the same ICS/LABA combination during the 3-month post-index date and were excluded if they switched to different inhalers during this period. This approach ensured that the study population comprised patients who consistently used the same inhaler, which we considered as a sufficient period to assess the clinical impact of the device. The 3-month period ensured consistent exposure to the same inhaler, allowing for an initial assessment of clinical impact. The 1-year period allowed for a comprehensive evaluation of long-term efficacy, safety, and adherence, providing a robust analysis of ICS/LABA therapies. Patients who received systemic steroids within 60 days before the index date were excluded. Patients diagnosed with chronic obstructive pulmonary disease, malignant diseases, or cystic fibrosis throughout the entire study period, as well as those who had used biologics, were also excluded from the study.
Fig. 1.
Schematic of the study design. COPD, chronic obstructive pulmonary disease; DPI, dry powder inhaler; ICS, inhaled corticosteroid; LABA, long-acting
2 agonist; MDI, metered dose inhaler
Outcomes
Asthma exacerbation (AE) was defined as the prescription of systemic corticosteroids at a dosage of 15 mg/day or its equivalent for at least 3 consecutive days to manage asthma symptoms. However, participants who used systemic corticosteroids within 14 days of the outpatient visit when asthma was diagnosed, were excluded from the asthma exacerbation group. Asthma-related hospitalizations were defined as inpatient admissions with asthma-related diagnostic codes, including those admitted via the emergency department (ED) or from outpatient visits. Asthma-related ED visits were defined as emergency department encounters with asthma-related diagnostic codes. Patients were excluded from these categories if they received an initial asthma diagnosis during hospitalization or an ED visit. All-cause mortality was defined as death from any cause.
The safety outcomes of interest included the occurrence of pneumonia, oropharyngeal candidiasis, diabetes, hypertension, arrhythmia, and tremors, identified using the ICD-10 diagnostic codes (Supplementary Table 1, Additional File). These outcomes were defined as those occurring when the first diagnosis was made on the index date.
The proportion of days covered (PDC), used as an indicator of medication adherence, was determined by dividing the total number of days the medication was available by the length of the observation period. The study evaluated both the average PDC and percentage of patients who attained PDC values of ≥ 0.5 and ≥ 0.8, consistent with the standards of the Healthcare Effectiveness Data and Information Set. Persistence in the study was defined as the period from the index date until therapy discontinuation, defined as a gap of ≥ 120 days between subsequent prescription fills. After meeting these discontinuation criteria, the patients were no longer followed up.
Statistical analyses
To address potential measured confounding factors and enhance the balance between the two groups, we employed propensity score matching. Propensity scores were calculated using logistic regression, modelling the probability of receiving treatment as a function of observed baseline covariates, including age, sex, income, residence region, and comorbidities. Subsequently, we applied a greedy matching algorithm to pair treated and control units based on the closest propensity scores, without replacement. The caliper width was set at 0.5 standard deviations of the logit of the propensity score; this width is recommended to maintain an adequate sample size while ensuring that matched pairs are closely aligned, thereby reducing bias and improving the accuracy of estimates.
The χ2 test and t test were used to compare categorical and continuous variables, respectively, between the two groups. Cox proportional hazards models were used to estimate the hazard ratios (HRs) for the risk associated with the outcomes of efficacy and safety stratified by age, sex, income, and region of residence. Logistic regression analyses were used to determine treatment adherence, with PDC thresholds set at ≥ 50% and ≥ 80%. Cox proportional hazards models were employed to analyze the rates of treatment discontinuation, thereby measuring persistence. Kaplan–Meier survival analysis illustrated the cumulative incidence rates across the two groups. We conducted a complete case analysis wherein instances of missing data in any variable of interest were excluded from the analysis. The magnitude of the association was denoted by the HR along with the 95% confidence intervals (CIs). P < 0.05 was considered indicative of statistical significance. SAS version 9.4 (SAS Institute Inc., Cary, NC, USA) was used for all statistical computations.
Results
Study participants and baseline characteristics
Figure 2 shows a detailed flowchart of the study population. Initially, the cohort comprised 230,680 patients aged 18–80 years, who were initiated on combination therapy with ICSs/LABAs following their asthma diagnosis between January 1, 2016, and December 31, 2019. Subsequent exclusions were applied based on specific criteria: switching to another inhaler device during the post-index period; receiving < 3 prescriptions of ICSs/LABAs during the post-index period; using systemic steroids 60 days before the index date; and having a diagnosis of chronic obstructive pulmonary disease or malignant diseases or using biologics. After these exclusions, the final cohort comprised 13,850 patients.
Fig. 2.
Flow chart of the selection and exclusion of study participants. ICS, inhaled corticosteroid; LABA, long-acting
2 agonist
Within this cohort, we compared outcomes between the MDI and DPI, budesonide and fluticasone, and formoterol and salmeterol subgroups, with baseline characteristics presented in Supplementary Table 2, Additional File. After propensity score matching, all variables were well-balanced, with baseline characteristics of each comparison cohort detailed in Table 2.
Table 2.
Baseline characteristics of the study cohorts after the propensity score matching
| Types subcohort | ICS subcohort | LABA subcohort | |||||||
|---|---|---|---|---|---|---|---|---|---|
| DPI (n = 4525) |
pMDI (n = 4525) |
P-value | Budesonide (n = 3124) |
Fluticasone (n = 3124) |
P-value | Formoterol (n = 1459) |
Salmeterol (n = 1459) |
P-value | |
| Age (years) | 49.0 ± 15.3 | 49.3 ± 15.2 | 0.495 | 47.7 ± 15.2 | 47.7 ± 15.5 | 0.989 | 50.9 ± 14.9 | 51.6 ± 15.1 | 0.187 |
| Female (n,%) | 1979 (43.7) | 2006 (44.3) | 0.567 | 1485 (47.5) | 1506 (48.2) | 0.594 | 563 (38.5) | 589 (40.3) | 0.324 |
| Income | |||||||||
| Low | 1259 (27.8) | 1262 (27.8) | 0.995 | 883 (28.2) | 896 (28.6) | 0.935 | 474 (32.4) | 468 (32.0) | 0.879 |
| Mid | 1472 (32.5) | 1468 (32.4) | 1036 (33.1) | 1031 (33.0) | 493 (33.7) | 486 (33.3) | |||
| High | 1794 (39.6) | 1795 (39.6) | 1205 (38.5) | 1197 (38.3) | 492 (33.7) | 505 (34.6) | |||
| Region | |||||||||
| Urban | 4172 (92.2) | 4171 (92.1) | 0.968 | 2904 (92.9) | 2898 (92.7) | 0.768 | 1350 (92.5) | 1352 (92.6) | 0.887 |
| Rural | 353 (7.8) | 354 (7.8) | 220 (7.0) | 226 (7.2) | 109 (7.47) | 107 (7.33) | |||
| Comorbidities | |||||||||
| Hypertensive disorder | 1557 (34.4) | 1557 (34.4) | 1.00 | 948 (30.3) | 953 (30.5) | 0.890 | 553 (37.9) | 570 (39.0) | 0.517 |
| Diabetes mellitus | 1476 (32.6) | 1506 (33.2) | 0.502 | 1007 (32.2) | 999 (31.9) | 0.828 | 503 (34.4) | 523 (35.8) | 0.438 |
| Hyperlipidemia | 2523 (55.7) | 2602 (57.5) | 0.093 | 1701 (54.4) | 1675 (53.6) | 0.509 | 792 (54.2) | 788 (54.0) | 0.881 |
| Pneumonia | 1915 (42.3) | 1947 (43.0) | 0.496 | 1294 (41.4) | 1272 (40.7) | 0.571 | 533 (36.5) | 544 (37.2) | 0.673 |
| Renal impairment | 180 (3.9) | 183 (4.0) | 0.872 | 114 (3.6) | 113 (3.6) | 0.946 | 40 (2.7) | 55 (3.7) | 0.117 |
| Liver disease | 2744 (60.6) | 2790 (61.6) | 0.321 | 1864 (59.6) | 1873 (59.9) | 0.816 | 897 (61.4) | 890 (61.0) | 0.790 |
| Acute respiratory disease | 4437 (98.0) | 4447 (98.2) | 0.433 | 3070 (98.2) | 3072 (98.3) | 0.844 | 1419 (97.2) | 1410 (96.6) | 0.332 |
| Gastro-esophageal disease | 3611 (79.8) | 3618 (79.9) | 0.854 | 2477 (79.2) | 2497 (79.9) | 0.530 | 1003 (68.7) | 1031 (70.6) | 0.259 |
| Urinary tract infection | 584 (12.9) | 598 (13.2) | 0.662 | 419 (13.4) | 394 (12.6) | 0.347 | 168 (11.5) | 174 (11.9) | 0.729 |
| Rheumatoid arthritis | 76 (1.6) | 81 (1.7) | 0.687 | 53 (1.7) | 50 (1.6) | 0.765 | 24 (1.6) | 18 (1.2) | 0.351 |
| Osteoarthritis | 685 (15.1) | 700 (15.4) | 0.661 | 455 (14.5) | 458 (14.6) | 0.914 | 197 (13.5) | 213 (14.6) | 0.394 |
| Dementia | 84 (1.8) | 88 (1.9) | 0.758 | 48 (1.5) | 45 (1.4) | 0.754 | 19 (1.3) | 19 (1.3) | 1.00 |
| CCI scores | 1.71 ± 1.11 | 1.72 ± 1.11 | 0.671 | 1.65 ± 1.05 | 1.66 ± 1.05 | 0.800 | 1.74 ± 1.12 | 1.77 ± 1.16 | 0.494 |
CCI, Charlson Comorbidity Index; DPI, dry powder inhaler; ICS, inhaled corticosteroid; LABA, long-acting
2 agonist; MDI, metered dose inhaler
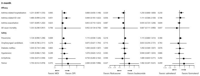
Outcome 1: efficacy and safety of ICS/LABA combinations during the 3-month post-index period
There were no significant differences between the DPI and MDI groups in terms of asthma-related hospitalizations, ED visits, AEs, or all-cause mortality (P = 0.065, P = 0.051, P = 0.625 and P = 0.706, respectively) (Fig. 3 and Supplementary Table 3, Additional File). Upon comparing the safety profiles of the DPI and MDI groups, the incidence of diseases, such as pneumonia, oropharyngeal candidiasis, diabetes mellitus, hypertension, arrhythmia, and tremors, was found to be similar between the two groups.
Fig. 3.
Comparative analysis of efficacy and safety outcomes of ICS/LABA combinations during a 3-month post-index period. DPI, dry powder inhaler; ED, emergency-department; ICS, inhaled corticosteroid; LABA, long-acting
2 agonist; MDI, metered dose inhaler
In our comparative analysis, we assessed the efficacy and safety profiles of the budesonide and fluticasone groups, as well as the formoterol and salmeterol groups. Our findings revealed no significant differences in AEs, asthma-related hospitalization/ED visits, or all-cause mortality across both comparisons. Furthermore, the safety profiles, which included occurrences of pneumonia, oropharyngeal candidiasis, diabetes mellitus, hypertension, arrhythmia, and tremors, showed no significant differences in the incidence rates in the budesonide vs. fluticasone and formoterol vs. salmeterol comparisons.
Outcome 2: efficacy and safety of ICS/LABA combinations during the 1-year post-index period
An extended 1-year efficacy and safety analysis showed no significant differences between the DPI and MDI groups in asthma-related hospitalizations, ED visits, AEs, or all-cause mortality (P = 0.072, P = 0.058, P = 0.770 and P = 0.612, respectively) (Fig. 4 and Supplementary Table 4, Additional File).
Fig. 4.
Comparative analysis of efficacy and safety outcomes of ICS/LABA combinations during a 1-year post-index period. DPI, dry powder inhaler; ED, emergency-department; ICS, inhaled corticosteroid; LABA, long-acting
2 agonist; MDI, metered dose inhaler
In our extended 1-year analysis comparing the efficacy and safety profiles between the budesonide and fluticasone groups, as well as the formoterol and salmeterol groups, we consistently observed no significant differences. Furthermore, no significant differences were observed in the incidence rates of AEs, asthma-related hospitalizations/ED visits, all-cause mortality, pneumonia, oropharyngeal candidiasis, diabetes mellitus, hypertension, arrhythmia, and tremors, indicating similar efficacy and safety profiles across both comparisons. These findings underscore the consistency in both efficacy and safety outcomes over an extended period.
Outcome 3: adherence to ICS/LABA combinations
Patients were more likely to discontinue the use of MDIs than that of DPIs, with a HR of 1.133 (95% CI, 1.073–1.196; P < 0.001) (Fig. 5A). Additionally, the mean PDC during the post-index period was significantly higher in the DPI group than in the MDI group (0.67 ± 0.23 vs. 0.62 ± 0.23; P < 0.001) (Table 3). A significantly higher proportion of patients using DPIs achieved a PDC of ≥ 0.5 and ≥ 0.8, compared with those using MDIs (all P < 0.001). However, the time to discontinuation in the follow-up period was not significantly different between the budesonide and fluticasone groups (HR, 0.948; 95% CI, 0.889–1.011; P = 0.103) or between the formoterol and salmeterol groups (HR, 0.898; 95% CI, 0.784–1.029; P = 0.121) (Fig. 5B, C). Furthermore, comparisons between the budesonide and fluticasone groups, as well as the formoterol and salmeterol groups, showed no significant differences in the means and percentages of patients achieving a PDC of ≥ 0.5 and ≥ 0.8 (Supplementary Table 5, Additional File).
Fig. 5.
Kaplan–Meier analysis of persistence to therapy. CI, confidence interval; DPI, dry powder inhaler; HR, hazard ratio; MDI, metered dose inhaler
Table 3.
Means and percent that achieved each threshold for MDI vs. DPI
| Types subcohort | |||
|---|---|---|---|
| Adherence | DPI (n = 3193) |
MDI (n = 3196) |
P-value |
PDC, mean SD |
0.67 ± 0.23 | 0.62 ± 0.23 | < 0.001 |
0.5, % |
3253 (71.9) | 2854 (63.1) | < 0.001 |
0.8, % |
1518 (33.6) | 1115 (24.6) | < 0.001 |
| Adjusted HR (95% CI) | |||
| Time to discontinuation | 1 |
1.133 (1.073–1.196) |
< 0.001 |
CI, confidence interval; DPI, dry powder inhaler; HR, hazard ratio; MDI, metered dose inhaler; PDC, proportion of days covered
Discussion
This study, leveraging the extensive database from the NHIS in South Korea, provides a comprehensive analysis of the efficacy, safety, and adherence profiles of ICS/LABA combinations in patients with asthma. In this cohort of patients newly diagnosed with asthma who were beginning treatment with ICSs/LABAs, we observed no significant differences in the efficacy and safety among device types and inhaler compositions. Notably, the specific composition of ICS/LABA combinations did not affect the adherence rates, although DPIs were associated with higher adherence, compared to that by MDIs. Through rigorous methodology and extensive data analysis, our findings provide robust insights into the real-world application of ICS/LABA combination therapies for the initial treatment of asthma, helping clinicians make more informed decisions tailored to individual patient needs, thereby optimizing asthma management and improving patient outcomes.
Our adherence outcomes revealed a higher persistence rate in patients using DPIs than in those using MDIs, suggesting a superior adherence to DPIs among the study population. To the best of our knowledge, there are no data comparing the real-world adherence to ICS/LABA combinations among different inhaler types in adult patients with asthma. Although controlled trials are conducted under stringent conditions, they often fail to reflect real-world adherence patterns, whereas our study provides valuable insights by assessing adherence within an actual clinical practice setting. Our findings align with those of a previous research indicating that patients using a DPI demonstrate superior adherence to treatment with inhaled corticosteroids, compared with those using an MDI, although the study was limited to a sample size of only 270 adult patients with asthma undergoing ICS monotherapy [17]. Our study results may have been influenced by several factors reported in previous research, indicating that DPIs are easier to use, less complex, and offer a higher rate of proper administration technique than are MDIs [7, 18, 19]. Our stringent selection criteria, requiring patients to be prescribed the same inhaler type three times over a 3-month post-index period and ensuring continuous prescription within 120 days, strengthen the reliability of our adherence outcomes. Despite the inherent limitations associated with using the NHIS database, such as the lack of detailed clinical parameters, our study’s methodology enhances the understanding of adherence behaviors in asthma management. Consequently, our findings highlight the importance of considering inhaler type in initial asthma management strategies, potentially attributable to factors, such as ease of use, device complexity, patient preference, and environmental impact of inhaler devices.
Our results indicated that the efficacy and safety profiles of MDIs and DPIs, when used in ICS/LABA combinations, did not differ significantly. This finding is consistent with those of previous studies demonstrating no notable variation in the effectiveness of different types of inhaler devices [3–6, 11]. The comparable efficacy and safety of MDIs and DPIs in asthma treatment can be attributed to their comparable drug delivery efficiency [20]. Although inhaler adherence is recognized to impact clinical outcomes in patients with asthma, our findings indicate that adherence might not be directly correlated with efficacy. Asthma exacerbations are influenced by a variety of factors beyond adherence, including inflammatory phenotypic traits, asthma severity, airway remodeling, and environmental exposure [21]. However, it is noteworthy that for severe AE, as indicated by asthma-related hospitalizations and ED visits, the DPIs consistently demonstrated lower rates than MDIs during both the 3-month and 1-year periods, although these differences did not reach significance. These trends suggest that DPIs might offer a potential advantage in preventing severe exacerbations, warranting further investigation in larger cohorts with longer follow-up periods.
Our results indicated that the efficacy and safety profiles of budesonide and fluticasone, when used within ICS/LABA combinations, did not differ significantly. This finding, consistent with that of a randomized controlled trial involving Chinese adult patients with asthma, indicates no significant differences in lung function improvement and safety profiles between the two treatments, suggesting that both are equally viable for asthma management [8]. In a systematic review, fluticasone, compared with budesonide and beclomethasone, was found to offer benefits in patients with severe asthma owing to its higher anti-inflammatory potency, despite it carrying a potential for increased side effects depending on the dose [10]. Notably, our results comparing between the budesonide and fluticasone subgroups, neither revealed an increased risk of infections, such as pneumonia or oral candidiasis, associated with either agent nor a difference in the incidence of newly diagnosed diabetes mellitus. Concerns regarding pneumonia, candidiasis, and new-onset diabetes in patients with asthma using ICSs have been highlighted; however, a notable lack of research based on real-world clinical practice on the effects of specific ICS components exists. Our results underscore the importance of our research within the context of existing literature and provide valuable insights for clinical decisions in real-world settings.
Additionally, our comprehensive comparison of formoterol and salmeterol revealed no significant differences in their efficacy or safety profiles. A previous study comparing formoterol and salmeterol in asthma management found that both drugs offer comparable bronchodilatory effectiveness [22]. Another study highlighted formoterol’s superior efficacy and quicker onset, despite its greater risk of systemic side effects, such as tremors and hypokalemia [12]. A systematic review and meta-analysis comparing formoterol and salmeterol in asthma treatment found them to be similarly effective, although salmeterol might be superior in reducing post-methacholine inhalation forced expiratory volume in 1 s and enhancing asthma-free days [9]. Thus, prior research on formoterol and salmeterol has yielded diverse outcomes regarding their comparative efficacy and safety in asthma management. However, our study, which utilized an extensive cohort, significantly contributes by offering a detailed comparison of the effectiveness and safety profiles of formoterol and salmeterol. Taken together, our findings indicate that the overall efficacy and safety of these ICS/LABA combinations (budesonide vs. fluticasone and formoterol vs. salmeterol) are comparable, suggesting that no specific agent can be universally recommended as superior for asthma management. This reinforces the concept that the choice of an ICS/LABA combination can be tailored to individual patient needs without concern regarding varying risk profiles.
The appropriate selection of inhalation devices plays a crucial role in managing asthma effectively. Although extensive research has been conducted on inhalers, with a focus on device types and components, inconsistencies remain across the studies. Our study has several strengths compared with previous investigations. First, our research focused on patients newly diagnosed with asthma who were beginning treatment with ICS/LABA combinations. We collected data from January 2008 to December 2020, excluding those of patients who were diagnosed with asthma or prescribed inhalers before 2016. This approach ensures that our study provides relevant insights into the initial inhaler therapy selection for asthma management. Second, our study cohort included patients who initiated treatment with ICS/LABA combinations between January 2016 and December 2019. It is important to note that most inhalers presently used in clinical settings were approved and subsequently introduced to the market after 2016. Consequently, prior research, predominantly centered on inhalers available from the late 1990 through the 2000s, may not accurately represent the features of present-day inhalers. Therefore, our research offers a more pertinent assessment of the inhaler options available in contemporary clinical practice. Third, we established more stringent methodological criteria by including only patients prescribed the same ICS/LABAs at least three times within a 3-month period following their initial asthma diagnosis. This approach significantly enhanced the reliability of our results concerning the effect of inhaler choice on treatment outcomes, offering a methodological advancement over prior research. Fourth, to the best of our knowledge, this is the first real-world comparison of prescription persistence across various device types and components of ICS/LABA combinations. In summary, our study presents significant advantages over previous studies by providing valuable insights for clinicians regarding inhaler selection for patients newly diagnosed with asthma who are beginning treatment with ICS/LABA combinations.
Despite its strengths, this study has some limitations inherent to retrospective cohort studies utilizing insurance claims databases. Relying on ICD-10 codes for diagnosing asthma and identifying outcomes may result in potential misclassification errors. The study’s applicability is further limited by its exclusive focus on the South Korean population, omitting potential ethnic variations in the efficacy of asthma treatment. Additionally, assessing medication adherence and exposure solely through prescription records does not confirm the actual medication consumption, leading to possible exposure misclassification. This retrospective design inherently restricts control over all potential biases, including selection and lead-time biases. Although statistical methods were employed to minimize measured confounding factors, the risk of residual confounding from unmeasured factors, including inhaler technique, environmental exposure, and inflammatory phenotypic traits, persisted. These limitations highlight the need for cautious interpretation of our results and underscore the value of future prospective research in this area.
Conclusion
Our study demonstrated comparable efficacy and safety profiles between different inhaler types and compositions in patients newly diagnosed with asthma. These findings reinforce the notion that clinicians can confidently choose from the available ICS/LABA therapies without concern regarding significant differences in treatment outcomes.
Electronic supplementary material
Below is the link to the electronic supplementary material.
Acknowledgements
We did not receive any financial support from Hanmi Pharm. Co., Ltd. The company had no role in the study design, data collection process, or the decision to publish the results. Their involvement was limited to providing data analytics expertise through their Data Science Team.
Abbreviations
- CI
Confidence Interval
- DPI
Dry Powder Inhaler
- ED
Emergency-Department
- HR
Hazard Ratio
- ICD-10
International Classification of Diseases, 10th Revision
- ICS
Inhaled Corticosteroid
- LABA
Long-Acting β2 Agonist
- MDI
Metered Dose Inhaler
- PDC
Proportion of Days Covered
Author contributions
Hee Sun Park led the design and data analysis of the study. Jungkuk Lee and Hasung Kim assisted with the data analysis. Seong-Dae Woo contributed to the study’s design and data analysis, and also wrote the manuscript.
Funding
This study was supported by Chungnam National University Hospital Research Fund, 2022. Additionally, this work was supported by a research fund from the Chungnam National University and the National Research Foundation of Korea through a grant funded by the Korean government (2022R1C1C1013204).
Data availability
No datasets were generated or analysed during the current study.
Declarations
Ethics approval and consent to participate
This study was approved by the Institutional Review Board of the Chungnam National University Hospital (IRB No. 2022-04-114). As this was a retrospective study, written informed consent was not required.
Consent for publication
All authors have read and consented to the publication of this manuscript. This study does not include any identifying images or other personal or clinical details of participants that compromise anonymity, and therefore, patient consent for publication is not required.
Competing interests
The authors declare no competing interests.
Footnotes
Publisher’s note
Springer Nature remains neutral with regard to jurisdictional claims in published maps and institutional affiliations.
References
- 1.Porsbjerg C, Melén E, Lehtimäki L, Shaw D, Asthma. Lancet. 2023;401:858–73. 10.1016/S0140-6736(22)02125-0. [DOI] [PubMed] [Google Scholar]
- 2.GINA report. Global strategy for asthma management and prevention. GINA Main Report; 2023.
- 3.Woodcock A, Janson C, Rees J, Frith L, Löfdahl M, Moore A, et al. Effects of switching from a metered dose inhaler to a dry powder inhaler on climate emissions and asthma control: post-hoc analysis. Thorax. 2022;77:1187–92. 10.1136/thoraxjnl-2021-218088. [DOI] [PMC free article] [PubMed] [Google Scholar]
- 4.Woo SD, Ye YM, Lee Y, Lee SH, Shin YS, Park JH, et al. Efficacy and safety of a pressurized metered-dose inhaler in older asthmatics: comparison to a dry powder inhaler in a 12-week randomized trial. Allergy Asthma Immunol Res. 2020;12:454–66. 10.4168/aair.2020.12.3.454. [DOI] [PMC free article] [PubMed] [Google Scholar]
- 5.Rhee CK, van Boven JFM, Yau Ming SW, Park HY, Kim DK, Park HS, et al. Does changing inhaler device impact real-life asthma outcomes? Clinical and economic evaluation. J Allergy Clin Immunol Pract. 2019;7:934–42. 10.1016/j.jaip.2018.09.027. [DOI] [PubMed] [Google Scholar]
- 6.Park HS, Yoon D, Lee HY, Ban GY, Wan Yau Ming S, Jie JLZ, et al. Real-life effectiveness of inhaler device switch from dry powder inhalers to pressurized metred-dose inhalers in patients with asthma treated with ICS/LABA. Respirology. 2019;24:972–9. 10.1111/resp.13559. [DOI] [PubMed] [Google Scholar]
- 7.Ramadan WH, Sarkis AT. Patterns of use of dry powder inhalers versus pressurized metered-dose inhalers devices in adult patients with chronic obstructive pulmonary disease or asthma: an observational comparative study. Chron Respir Dis. 2017;14:309–20. 10.1177/1479972316687209. [DOI] [PMC free article] [PubMed] [Google Scholar]
- 8.Lin J, Chen P, Liu C, Kang J, Xiao W, Chen Z, et al. Comparison of fluticasone propionate with budesonide administered via nebulizer: a randomized controlled trial in patients with severe persistent asthma. J Thorac Dis. 2017;9:372–85. 10.21037/jtd.2017.02.51. [DOI] [PMC free article] [PubMed] [Google Scholar]
- 9.Cates CJ, Wieland LS, Oleszczuk M, Kew KM. Safety of regular formoterol or salmeterol in adults with asthma: an overview of Cochrane reviews. Cochrane Database Syst Rev. 2014;2014:CD010314. 10.1002/14651858.CD010314.pub2. [DOI] [PMC free article] [PubMed] [Google Scholar]
- 10.Adams N, Lasserson TJ, Cates CJ, Jones PW. Fluticasone versus beclomethasone or budesonide for chronic asthma in adults and children. Cochrane Database Syst Rev. 2007;2007:CD002310. 10.1002/14651858.CD002310.pub4. [DOI] [PMC free article] [PubMed] [Google Scholar]
- 11.Brocklebank D, Wright J, Cates C. Systematic review of clinical effectiveness of pressurised metered dose inhalers versus other hand held inhaler devices for delivering corticosteroids in asthma. BMJ. 2001;323:896–900. 10.1136/bmj.323.7318.896. [DOI] [PMC free article] [PubMed] [Google Scholar]
- 12.Palmqvist M, Ibsen T, Mellén A, Lötvall J. Comparison of the relative efficacy of formoterol and salmeterol in asthmatic patients. Am J Respir Crit Care Med. 1999;160:244–9. 10.1164/ajrccm.160.1.9901063. [DOI] [PubMed] [Google Scholar]
- 13.Heffler E, Madeira LNG, Ferrando M, Puggioni F, Racca F, Malvezzi L, et al. Inhaled corticosteroids safety and adverse effects in patients with asthma. J Allergy Clin Immunol Pract. 2018;6:776–81. 10.1016/j.jaip.2018.01.025. [DOI] [PubMed] [Google Scholar]
- 14.Cazzola M, Calzetta L, Matera MG. β(2) -adrenoceptor agonists: current and future direction. Br J Pharmacol. 2011;163:4–17. 10.1111/j.1476-5381.2011.01216.x. [DOI] [PMC free article] [PubMed] [Google Scholar]
- 15.Cepelis A, Brumpton BM, Malmo V, Laugsand LE, Loennechen JP, Ellekjær H, et al. Associations of asthma and asthma control with atrial fibrillation risk: results from the Nord-Trøndelag Health Study (HUNT). JAMA Cardiol. 2018;3:721–8. 10.1001/jamacardio.2018.1901. [DOI] [PMC free article] [PubMed] [Google Scholar]
- 16.Kim JH, Wee JH, Choi HG, Park JY, Hwang YI, Jang SH, et al. Association between statin medication and asthma/asthma exacerbation in a National Health Screening Cohort. J Allergy Clin Immunol Pract. 2021;9:2783–91. 10.1016/j.jaip.2021.04.014. [DOI] [PubMed] [Google Scholar]
- 17.Roy A, Battle K, Lurslurchachai L, Halm EA, Wisnivesky JP. Inhaler device, administration technique, and adherence to inhaled corticosteroids in patients with asthma. Prim Care Respir J. 2011;20:148–54. 10.4104/pcrj.2011.00022. [DOI] [PMC free article] [PubMed] [Google Scholar]
- 18.Khassawneh BY, Al-Ali MK, Alzoubi KH, Batarseh MZ, Al-Safi SA, Sharara AM, et al. Handling of inhaler devices in actual pulmonary practice: metered-dose inhaler versus dry powder inhalers. Respir Care. 2008;53:324–8. [PubMed] [Google Scholar]
- 19.Lee SM, Chang YS, Kim CW, Kim TB, Kim SH, Kwon YE, et al. Skills in handling turbuhaler, Diskus, and pressurized metered-dose inhaler in Korean asthmatic patients. Allergy Asthma Immunol Res. 2011;3:46–52. 10.4168/aair.2011.3.1.46. [DOI] [PMC free article] [PubMed] [Google Scholar]
- 20.Rau JL. The inhalation of drugs: advantages and problems. Respir Care. 2005;50:367–82. [PubMed] [Google Scholar]
- 21.Holgate ST, Polosa R. The mechanisms, diagnosis, and management of severe asthma in adults. Lancet. 2006;368:780–93. 10.1016/S0140-6736(06)69288-X. [DOI] [PubMed] [Google Scholar]
- 22.van Noord JA, Smeets JJ, Raaijmakers JA, Bommer AM, Maesen FP. Salmeterol versus formoterol in patients with moderately severe asthma: onset and duration of action. Eur Respir J. 1996;9:1684–8. 10.1183/09031936.96.09081684. [DOI] [PubMed] [Google Scholar]
Associated Data
This section collects any data citations, data availability statements, or supplementary materials included in this article.
Supplementary Materials
Data Availability Statement
No datasets were generated or analysed during the current study.









