Abstract
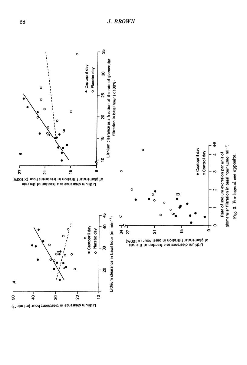
1. Twelve normal volunteers were studied on 2 separate days, having taken a range of diets providing 50-300 mmol sodium per day for 3 days and having been dehydrated overnight. Each volunteer received a background intravenous infusion of arginine vasopressin (5 x 10(-7) i.u. kg-1 min-1) on both days, and also received 6 mg captopril orally on one day and a placebo tablet on the other. The ensuing changes in arterial pressure, and in urinary solute and solute-free water excretion were recorded. 2. Captopril did not significantly alter arterial pressure. It increased the rate of excretion of sodium but not of potassium, and it did not significantly change urinary osmolality or creatinine clearance. 3. Captopril increased the rate of solute-free water reabsorption and did so in direct proportion to its effect of increasing sodium excretion. 4. A further twelve normal, dehydrated volunteers on free diets were studied on each of 2 days, after taking 500 mg lithium carbonate on the previous evening. On each day, they also received a loading dose and maintenance infusion of inulin. On one day they received 50 mg captopril orally, and, on the other, they received a placebo tablet. The arterial pressure, urinary excretion of electrolytes, and inulin clearance were recorded. 5. Captopril increased the rates of excretion of sodium, lithium and potassium, but there were no significant changes in inulin clearance or arterial pressure. 6. The natriuretic effect of captopril in either group of twelve volunteers was not significantly less in those volunteers who were already excreting more sodium, at least over the range of dietary sodium loading to which the volunteers were subjected. 7. Six normal volunteers were studied on a further 2 days, having taken a diet supplying 30 mmol sodium per day for 3 days and being dehydrated overnight. Each volunteer received a background intravenous infusion of arginine vasopressin (5 x 10(-7) i.u. kg-1 min-1) on both days and also received an intravenous infusion of saralasin acetate (50 ng kg-1 min-1) plus carrier on one day and carrier alone on the other. The ensuing changes in arterial pressure, and in urinary solute and solute-free water excretion were recorded. 8. There was a small but significant fall in systolic arterial pressure during the infusion of saralasin.(ABSTRACT TRUNCATED AT 400 WORDS)
Full text
PDF























Selected References
These references are in PubMed. This may not be the complete list of references from this article.
- BARGER A. C., BERLIN R. D., TULENKO J. F. Infusion of aldosterone, 9-alpha-fluorohydrocortisone and antidiuretic hormone into the renal artery of normal and adrenalectomized, unanesthetized dogs: effect on electrolyte and water excretion. Endocrinology. 1958 Jun;62(6):804–815. doi: 10.1210/endo-62-6-804. [DOI] [PubMed] [Google Scholar]
- Bonjour J. P., Malvin R. L. Renal extraction of PAH, GFR, and UNaV in the rat during infusion of angiotensin. Am J Physiol. 1969 Mar;216(3):554–558. doi: 10.1152/ajplegacy.1969.216.3.554. [DOI] [PubMed] [Google Scholar]
- Brown J., Corr L. Renal mechanisms of human alpha-atrial natriuretic peptide in man. J Physiol. 1987 Jun;387:31–46. doi: 10.1113/jphysiol.1987.sp016560. [DOI] [PMC free article] [PubMed] [Google Scholar]
- Case D. B., Atlas S. A., Laragh J. H., Sealey J. E., Sullivan P. A., McKinstry D. N. Clinical experience with blockade of the renin-angiotensin-aldosterone system by an oral converting-enzyme inhibitor (SQ 14,225, captopril) in hypertensive patients. Prog Cardiovasc Dis. 1978 Nov-Dec;21(3):195–206. doi: 10.1016/0033-0620(78)90025-7. [DOI] [PubMed] [Google Scholar]
- Chou S. Y., Faubert P. F., Porush J. G. Contribution of angiotensin to the control of medullary hemodynamics. Fed Proc. 1986 Apr;45(5):1438–1443. [PubMed] [Google Scholar]
- Diezi J., Michoud P., Aceves J., Giebisch G. Micropuncture study of electrolyte transport across papillary collecting duct of the rat. Am J Physiol. 1973 Mar;224(3):623–634. doi: 10.1152/ajplegacy.1973.224.3.623. [DOI] [PubMed] [Google Scholar]
- Duchin K. L., Singhvi S. M., Willard D. A., Migdalof B. H., McKinstry D. N. Captopril kinetics. Clin Pharmacol Ther. 1982 Apr;31(4):452–458. doi: 10.1038/clpt.1982.59. [DOI] [PubMed] [Google Scholar]
- Erdös E. G. Angiotensin I converting enzyme. Circ Res. 1975 Feb;36(2):247–255. doi: 10.1161/01.res.36.2.247. [DOI] [PubMed] [Google Scholar]
- Fagard R. H., Cowley A. W., Jr, Navar L. G., Langford H. G., Guyton A. C. Renal responses to slight elevations of renal arterial plasma angiotensin II concentration in dogs. Clin Exp Pharmacol Physiol. 1976 Nov-Dec;3(6):531–538. doi: 10.1111/j.1440-1681.1976.tb00634.x. [DOI] [PubMed] [Google Scholar]
- Fagard R., Amery A., Lijnen P. Angiotensin II and sodium as determinants of the agonistic--antagonistic balance of saralasin's actions. Clin Sci (Lond) 1981 Apr;60(4):377–385. doi: 10.1042/cs0600377. [DOI] [PubMed] [Google Scholar]
- Ferguson R. K., Turini G. A., Brunner H. R., Gavras H., McKinstry D. N. A specific orally active inhibitor of angiotensin-converting enzyme in man. Lancet. 1977 Apr 9;1(8015):775–778. doi: 10.1016/s0140-6736(77)92958-0. [DOI] [PubMed] [Google Scholar]
- GANONG W. F., MULROW P. J. Rate of change in sodium and potassium excretion after injection of aldosterone into the aorta and renal artery of the dog. Am J Physiol. 1958 Nov;195(2):337–342. doi: 10.1152/ajplegacy.1958.195.2.337. [DOI] [PubMed] [Google Scholar]
- Hall J. E., Coleman T. G., Guyton A. C., Balfe J. W., Salgado H. C. Intrarenal role of angiotensin II and [des-Asp1]angiotensin II. Am J Physiol. 1979 Mar;236(3):F252–F259. doi: 10.1152/ajprenal.1979.236.3.F252. [DOI] [PubMed] [Google Scholar]
- Hall J. E., Guyton A. C., Smith M. J., Jr, Coleman T. G. Blood pressure and renal function during chronic changes in sodium intake: role of angiotensin. Am J Physiol. 1980 Sep;239(3):F271–F280. doi: 10.1152/ajprenal.1980.239.3.F271. [DOI] [PubMed] [Google Scholar]
- Hall J. E., Guyton A. C., Trippodo N. C., Lohmeier T. E., McCaa R. E., Cowley A. W., Jr Intrarenal control of electrolyte excretion by angiotensin II. Am J Physiol. 1977 Jun;232(6):F538–F544. doi: 10.1152/ajprenal.1977.232.6.F538. [DOI] [PubMed] [Google Scholar]
- Hayslett J. P., Kashgarian M. A micropuncture study of the renal handling of lithium. Pflugers Arch. 1979 Jun 12;380(2):159–163. doi: 10.1007/BF00582152. [DOI] [PubMed] [Google Scholar]
- Hollenberg N. K., Meggs L. G., Williams G. H., Katz J., Garnic J. D., Harrington D. P. Sodium intake and renal responses to captopril in normal man and in essential hypertension. Kidney Int. 1981 Aug;20(2):240–245. doi: 10.1038/ki.1981.126. [DOI] [PubMed] [Google Scholar]
- Hollenberg N. K., Swartz S. L., Passan D. R., Williams G. H. Increased glomerular filtration rate after converting-enzyme inhibition in essential hypertension. N Engl J Med. 1979 Jul 5;301(1):9–12. doi: 10.1056/NEJM197907053010103. [DOI] [PubMed] [Google Scholar]
- Hollenberg N. K., Williams G. H., Taub K. J., Ishikawa I., Brown C., Adams D. F. Renal vascular response to interruption of the renin-angiotensin system in normal man. Kidney Int. 1977 Oct;12(4):285–293. doi: 10.1038/ki.1977.113. [DOI] [PubMed] [Google Scholar]
- Johnson M. D., Malvin R. L. Stimulation of renal sodium reabsorption by angiotensin II. Am J Physiol. 1977 Apr;232(4):F298–F306. doi: 10.1152/ajprenal.1977.232.4.F298. [DOI] [PubMed] [Google Scholar]
- Khuri R. N., Strieder N., Wiederholt M., Giebisch G. Effects of graded solute diuresis on renal tubular sodium transport in the rat. Am J Physiol. 1975 Apr;228(4):1262–1268. doi: 10.1152/ajplegacy.1975.228.4.1262. [DOI] [PubMed] [Google Scholar]
- Kimbrough H. M., Jr, Vaughan E. D., Jr, Carey R. M., Ayers C. R. Effect of intrarenal angiotensin II blockade on renal function in conscious dogs. Circ Res. 1977 Feb;40(2):174–178. doi: 10.1161/01.res.40.2.174. [DOI] [PubMed] [Google Scholar]
- Kripalani K. J., McKinstry D. N., Singhvi S. M., Willard D. A., Vukovich R. A., Migdalof B. H. Disposition of captopril in normal subjects. Clin Pharmacol Ther. 1980 May;27(5):636–641. doi: 10.1038/clpt.1980.90. [DOI] [PubMed] [Google Scholar]
- Landwehr D. M., Schnermann J., Klose R. M., Giebisch G. Effect of reduction in filtration rate on renal tubular sodium and water reabsorption. Am J Physiol. 1968 Sep;215(3):687–695. doi: 10.1152/ajplegacy.1968.215.3.687. [DOI] [PubMed] [Google Scholar]
- Levens N. R., Freedlender A. E., Peach M. J., Carey R. M. Control of renal function by intrarenal angiotensin II. Endocrinology. 1983 Jan;112(1):43–49. doi: 10.1210/endo-112-1-43. [DOI] [PubMed] [Google Scholar]
- Levens N. R., Peach M. J., Vaughan E. D., Jr, Carey R. M. Demonstration of a primary antidiuretic action of angiotensin II: effects of intrarenal converting enzyme inhibition in the conscious dog. Endocrinology. 1981 Jan;108(1):318–330. doi: 10.1210/endo-108-1-318. [DOI] [PubMed] [Google Scholar]
- Lohmeier T. E., Cowley A. W., Jr Hypertensive and renal effects of chronic low level intrarenal angiotensin infusion in the dog. Circ Res. 1979 Feb;44(2):154–160. doi: 10.1161/01.res.44.2.154. [DOI] [PubMed] [Google Scholar]
- MacGregor G. A., Markandu N. D., Roulston J. E., Jones J. C., Morton J. J. The renin--angiotensin--aldosterone system in the maintenance of blood pressure, aldosterone secretion and sodium balance in normotensive subjects. Clin Sci (Lond) 1980 Dec;59 (Suppl 6):95s–99s. doi: 10.1042/cs059095s. [DOI] [PubMed] [Google Scholar]
- Malnic G., Klose R. M., Giebisch G. Micropuncture study of distal tubular potassium and sodium transport in rat nephron. Am J Physiol. 1966 Sep;211(3):529–547. doi: 10.1152/ajplegacy.1966.211.3.529. [DOI] [PubMed] [Google Scholar]
- Mendelsohn F. A., Dunbar M., Allen A., Chou S. T., Millan M. A., Aguilera G., Catt K. J. Angiotensin II receptors in the kidney. Fed Proc. 1986 Apr;45(5):1420–1425. [PubMed] [Google Scholar]
- Myers B. D., Deen W. M., Brenner B. M. Effects of norepinephrine and angiotensin II on the determinants of glomerular ultrafiltration and proximal tubule fluid reabsorption in the rat. Circ Res. 1975 Jul;37(1):101–110. doi: 10.1161/01.res.37.1.101. [DOI] [PubMed] [Google Scholar]
- Olsen M. E., Hall J. E., Montani J. P., Guyton A. C., Langford H. G., Cornell J. E. Mechanisms of angiotensin II natriuresis and antinatriuresis. Am J Physiol. 1985 Aug;249(2 Pt 2):F299–F307. doi: 10.1152/ajprenal.1985.249.2.F299. [DOI] [PubMed] [Google Scholar]
- Pelayo J. C., Blantz R. C. Analysis of renal denervation in the hydropenic rat: interactions with angiotensin II. Am J Physiol. 1984 Jan;246(1 Pt 2):F87–F95. doi: 10.1152/ajprenal.1984.246.1.F87. [DOI] [PubMed] [Google Scholar]
- Ploth D. W., Navar L. G. Intrarenal effects of the renin-angiotensin system. Fed Proc. 1979 Aug;38(9):2280–2285. [PubMed] [Google Scholar]
- SCHREINER G. E. Determination of inulin by means of resorcinol. Proc Soc Exp Biol Med. 1950 May;74(1):117–120. doi: 10.3181/00379727-74-17827. [DOI] [PubMed] [Google Scholar]
- Schuster V. L., Kokko J. P., Jacobson H. R. Angiotensin II directly stimulates sodium transport in rabbit proximal convoluted tubules. J Clin Invest. 1984 Feb;73(2):507–515. doi: 10.1172/JCI111237. [DOI] [PMC free article] [PubMed] [Google Scholar]
- Shoback D. M., Williams G. H., Moore T. J., Dluhy R. G., Podolsky S., Hollenberg N. K. Defect in the sodium-modulated tissue responsiveness to angiotensin II in essential hypertension. J Clin Invest. 1983 Dec;72(6):2115–2124. doi: 10.1172/JCI111176. [DOI] [PMC free article] [PubMed] [Google Scholar]
- Steiner R. W., Tucker B. J., Blantz R. C. Glomerular hemodynamics in rats with chronic sodium depletion. Effect of saralasin. J Clin Invest. 1979 Aug;64(2):503–512. doi: 10.1172/JCI109488. [DOI] [PMC free article] [PubMed] [Google Scholar]
- Thomsen K., Holstein-Rathlou N. H., Leyssac P. P. Comparison of three measures of proximal tubular reabsorption: lithium clearance, occlusion time, and micropuncture. Am J Physiol. 1981 Oct;241(4):F348–F355. doi: 10.1152/ajprenal.1981.241.4.F348. [DOI] [PubMed] [Google Scholar]
- Thomsen K. Lithium clearance: a new method for determining proximal and distal tubular reabsorption of sodium and water. Nephron. 1984;37(4):217–223. doi: 10.1159/000183252. [DOI] [PubMed] [Google Scholar]
- Thomsen K., Olesen O. V. Renal lithium clearance as a measure of the delivery of water and sodium from the proximal tubule in humans. Am J Med Sci. 1984 Nov;288(4):158–161. doi: 10.1097/00000441-198411000-00002. [DOI] [PubMed] [Google Scholar]
- Thomsen K., Schou M. Renal lithium excretion in man. Am J Physiol. 1968 Oct;215(4):823–827. doi: 10.1152/ajplegacy.1968.215.4.823. [DOI] [PubMed] [Google Scholar]
- Thomsen K. The renal handling of lithium: relation between lithium clearance, sodium clearance and urine flow in rats with diabetes insipidus. Acta Pharmacol Toxicol (Copenh) 1977 Apr;40(4):491–496. [PubMed] [Google Scholar]
- Usberti M., Di Minno G., Ungaro B., Cianciaruso B., Federico S., Ardillo G., Gargiulo A., Martucci F., Pannain M., Cerbone A. M. Angiotensin II inhibition with captopril on plasma ADH, PG synthesis, and renal function in humans. Am J Physiol. 1986 Jun;250(6 Pt 2):F986–F990. doi: 10.1152/ajprenal.1986.250.6.F986. [DOI] [PubMed] [Google Scholar]
- Williams G. H., Hollenberg N. K. Accentuated vascular and endocrine response to SQ 20881 in hypertension. N Engl J Med. 1977 Jul 28;297(4):184–188. doi: 10.1056/NEJM197707282970404. [DOI] [PubMed] [Google Scholar]
- Willis L. R., Ludens J. H., Hook J. B., Williamson H. E. Mechanism of natriuretic action of bradykinin. Am J Physiol. 1969 Jul;217(1):1–5. doi: 10.1152/ajplegacy.1969.217.1.1. [DOI] [PubMed] [Google Scholar]
