Abstract
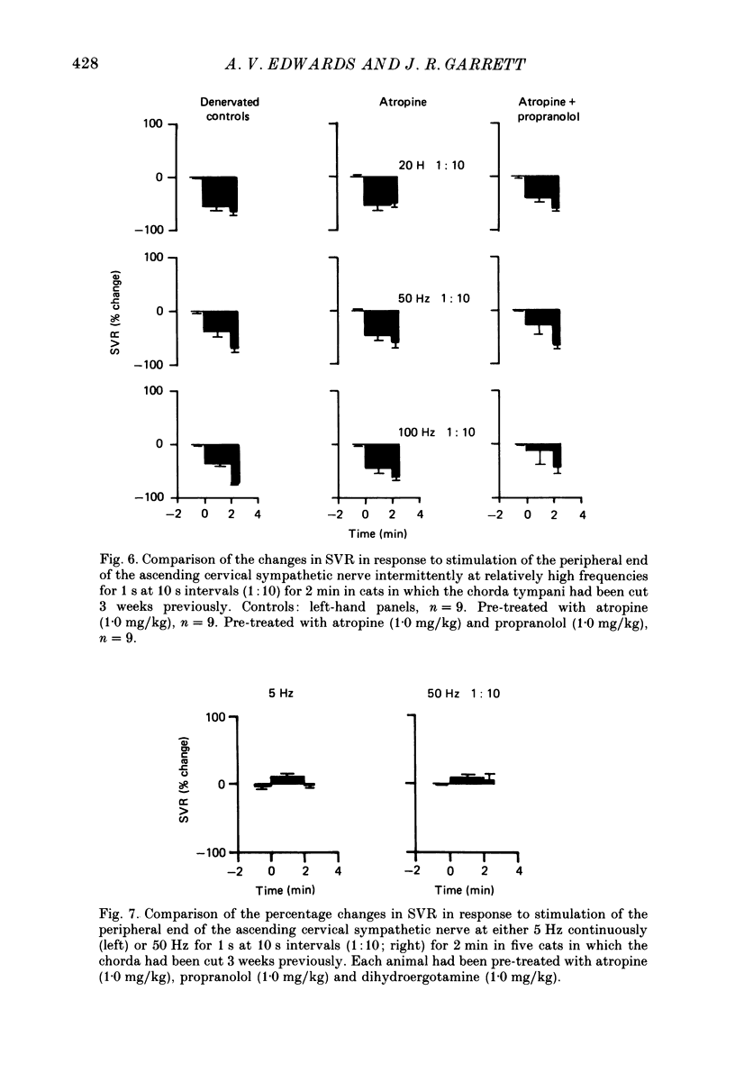
1. The effects of continuous stimulation of the ascending cervical sympathetic nerve were compared with those of intermittent stimulation in bursts, so arranged as to deliver the same total number of impulses, in cats under chloralose anaesthesia 3 weeks after excision of the chorda tympani. 2. Parasympathetic denervation of the gland in this way enhanced the vasodilator component of the vascular response during sympathetic stimulation in bursts. During continuous stimulation this was manifested as a reduced rise in submandibular vascular resistance (SVR). It also produced a profound increase in the secretory response to sympathetic stimulation at low intensity (2 Hz continuously). 3. Enhancement of the salivary secretory responses by stimulating intermittently at relatively high frequencies resembled that which developed following parasympathetic denervation in that there was no change in the secretory capacity during maximal or supramaximal stimulation. 4. Pre-treatment with atropine substantially reduced the flow of saliva in response to sympathetic stimulation at low frequencies (2 and 5 Hz continuously) and combined pre-treatment with atropine and propranolol effectively reversed the increase in secretory sensitivity due to parasympathetic denervation indicating that beta-adrenergic and muscarinic responses are involved. Additional pre-treatment with dihydroergotamine effectively abolished the secretory response to sympathetic stimulation. 5. Stimulation in bursts was found to have a significantly greater vasodilator effect than continuous stimulation at the corresponding frequency after parasympathetic denervation. 6. Neither pre-treatment with atropine nor combined pre-treatment with atropine and propranolol had any significant effect on the changes in mean SVR at any frequency tested during or after either pattern of stimulation. Additional pretreatment with dihydroergotamine effectively abolished the vascular responses to sympathetic stimulation both continuous (5 Hz) and in bursts (50 Hz), leaving a small vasoconstrictor response that may be due to release of neuropeptide Y (NPY). 7. These results suggest that cholinergic beta-adrenergic and NPY supersensitivities are not involved in the submandibular vascular changes that result from parasympathetic denervation, but that alpha-mediated secondary vasodilator mechanisms are thereby enhanced.
Full text
PDF










Selected References
These references are in PubMed. This may not be the complete list of references from this article.
- Andersson P. O., Bloom S. R., Edwards A. V., Järhult J. Effects of stimulation of the chorda tympani in bursts on submaxillary responses in the cat. J Physiol. 1982 Jan;322:469–483. doi: 10.1113/jphysiol.1982.sp014050. [DOI] [PMC free article] [PubMed] [Google Scholar]
- Bloom S. R., Edwards A. V., Garrett J. R. Effects of stimulating the sympathetic innervation in bursts on submandibular vascular and secretory function in cats. J Physiol. 1987 Dec;393:91–106. doi: 10.1113/jphysiol.1987.sp016812. [DOI] [PMC free article] [PubMed] [Google Scholar]
- EMMELIN N. ACTION OF TRANSMITTERS ON THE RESPONSIVENESS OF EFFECTOR CELLS. Experientia. 1965 Feb 15;21:57–65. doi: 10.1007/BF02144740. [DOI] [PubMed] [Google Scholar]
- EMMELIN N. Paralytic secretion of saliva; an example of supersensitivity after denervation. Physiol Rev. 1952 Jan;32(1):21–46. doi: 10.1152/physrev.1952.32.1.21. [DOI] [PubMed] [Google Scholar]
- Emmelin N. Nerve interactions in salivary glands. J Dent Res. 1987 Feb;66(2):509–517. doi: 10.1177/00220345870660022101. [DOI] [PubMed] [Google Scholar]
- Furchgott R. F. Role of endothelium in responses of vascular smooth muscle. Circ Res. 1983 Nov;53(5):557–573. doi: 10.1161/01.res.53.5.557. [DOI] [PubMed] [Google Scholar]
- Garrett J. R. The proper role of nerves in salivary secretion: a review. J Dent Res. 1987 Feb;66(2):387–397. doi: 10.1177/00220345870660020201. [DOI] [PubMed] [Google Scholar]
- Griffith T. M., Edwards D. H., Collins P., Lewis M. J., Henderson A. H. Endothelium derived relaxant factor. J R Coll Physicians Lond. 1985 Apr;19(2):74–79. [PMC free article] [PubMed] [Google Scholar]
- Kanno Y., Sasaki Y., Shiba Y. Effects of denervation on cell-to-cell communication between acinar cells of rat submandibular salivary gland. Arch Oral Biol. 1987;32(1):43–46. doi: 10.1016/0003-9969(87)90152-x. [DOI] [PubMed] [Google Scholar]
