Abstract
Background
The risk of ectopic pregnancy (EP) is known to increase with assisted reproductive technology (ART), but the specific risk factors are unclear.
Methods
We screened 6872 cycles for clinical data that met our study’s inclusion criteria and conducted univariate and multivariate analyses to identify factors associated with EP and develop a nomogram prediction model for its incidence.
Results
The multivariate analysis demonstrated that women with polycystic ovary syndrome (PCOS) have an over two-fold increased risk of EP (aOR = 2.07, 95% CI: 1.27–3.36, P = 0.004). Frozen embryo transfer can significantly reduce the risk of EP compared to fresh embryo transfer (aOR = 2.17, 95% CI: 1.62–2.91, P < 0.001). Male infertility factor was associated with a 1.4-fold increased risk of EP (aOR = 1.39, 95% CI: 1.05–1.85,P = 0.021). Each 1 mm increase in endometrial thickness (EMT) is associated with a 15% reduction in the odds of EP(aOR = 0.86, 95% CI: 0.77–0.93, P < 0.001). Women with EP history was associated with 1.4-fold increased risk of EP (aOR = 1.41, 95% CI: 1.01–1.97, P = 0.046). A nomographic prediction model was established based on the results above. The area under the curve (AUC) for the model predicting EP following ART is 0.624, whereas in the external validation set, it is 0.618.
Conclusions
Our findings indicate that PCOS increases the risk of EP after ART, and fresh embryo transfer is also linked to higher EP rates. We developed a nomogram to predict and mitigate the incidence of EP.
Trial registration
Retrospectively registered.
Keywords: Ectopic pregnancy, Assisted reproductive technology, Polycystic ovary syndrome, Prediction model, Frozen embryo transfer
Background
The extrauterine implantation of an embryo, known as ectopic pregnancy (EP), is a serious complication of assisted reproductive technology (ART). EP is responsible for approximately 1% of maternal deaths in developing countries, while the incidence is even higher in developed countries, accounting for up to 5% of maternal deaths [1]. As ART has become increasingly common and advanced, the occurrence of ectopic pregnancy following ART has been found to range from 2.1–8.6%[2, 3], which is more frequent than 1–2% [3] observed in the natural pregnancy group. Therefore, it is crucial to better predict the occurrence of EP following ART to prevent the serious adverse outcomes it can lead to. Previous studies suggested that the risk of EP may be related to tubal factor [4], abnormal body mass index (BMI) [5], fresh or frozen-thawed embryo transfer(FET) [6], endometrial thickness (EMT) [7]and PCOS [8]. Thus, having a more accurate understanding of the association between these risk factors and EP secondary to ART would be very helpful in EP prediction.
There are currently prediction models available for adverse outcomes following ART, but the accuracy of their predictions may be limited due to the lack of risk factors such as PCOS, BMI and fresh or frozen-thawed embryos that are associated with ART-related EP [7]. Considering the high proportion of PCOS patients in the ART population, including PCOS as a predictive factor may improve the accuracy of the prediction model.
PCOS is a prevalent endocrine disorder in women of reproductive age and is the primary cause of anovulatory infertility[9, 10]. Besides, changes in oocyte competence (OC) are considered a potential cause of reduced fertility in women with PCOS. The impact of OC on the reproductive potential of women with PCOS varies significantly, largely depending on the phenotype of PCOS and the associated comorbidities [11]. According to the Rotterdam criteria, at least two conditions must be met for the diagnosis of PCOS: irregular ovulation, clinical or biochemical hyperandrogen, and polycystic ovary morphology [12]. Women with PCOS face an increased risk of both early and late pregnancy complications. They are more likely to experience late complications, including pregnancy-induced hypertension, pre-eclampsia, gestational diabetes mellitus, and preterm delivery [13], as well as early complications like miscarriage compared to matched controls without PCOS [14]. ART have provided a glimmer of hope for PCOS patients who struggle with infertility, but it has also brought about various negative effects to the patients, including ovarian hyperstimulation syndrome, miscarriage, gestational diabetes, preeclampsia, and very preterm birth[15, 16]. Wang.et al. found that the overall incidence of adverse pregnancy outcomes (including EP, miscarriage, preterm birth) was significantly higher in PCOS phenotype A and D groups than in control group after IVF/ICSI treatment [17]. Liu.et al. found PCOS was associated with an increased risk of EP after controlled ovarian hyperstimulation (COH) in fresh ET cycles [8]. Although PCOS has been considered as a risk factor for EP following ART [18], the exact relationship between them is still inconclusive. This study identified PCOS as an important factor by evaluating multiple risk factors affecting EP in ART population, and used these factors to establish a potential risk assessment model to reduce the incidence of EP in ART pregnancy, aiming at early prevention or identification of EP, ensuring the quality of early intervention and treatment, and avoiding serious consequences.
Materials and methods
The study designs
This retrospective cohort study was conducted at the International Peace Maternal and Child Health Hospital. Prior to the study, approval and consent were obtained from the Ethics Committee of the International Peace Maternity &Child Health Hospital. The approval number is (GKLW)2013-51. A total of 7622 cycles performed between 2010 and 2017 were enrolled in our study. Cycles with incomplete clinical data, preimplantation genetic testing (PGT) were excluded. At last, 6872 cycles were included in the study. The included patients did not have diabetes, thyroid dysfunction, pituitary dysfunction and other endocrinological diseases. Total of 6872 cycles was randomly split into a training set (80%, 5496 cycles) and a validation set (20%, 1376 cycles) using the random sampling (Fig. 1). The training set was used for risk factor screening. During this process, univariate and multivariate analysis were used to determine the factors associated with the predicted outcome.
Fig. 1.
Flow chart of study selection
Treatment protocol
All women underwent COH with either a standard long agonist protocol or antagonist protocol. The dosage of gonadotropins was adjusted based on the ovarian response, as monitored by ultrasound and serum sex hormone levels (including FSH, LH, E2, and progesterone). When at least two follicles reached a size of 18 mm or larger, human chorionic gonadotropin (HCG) was administered. Oocyte retrieval was conducted within 34–36h, guided by transvaginal ultrasound. Depending on sperm quality, either in vitro fertilization (IVF) or intracytoplasmic sperm injection(ICSI) was performed. Embryos were transferred on any day from day 2 to day 6 following oocyte retrieval, based on the patient’s condition, including embryo quality, abdominal distention, and endocrine examination results. Cycle cancellation was defined as the absence of fresh embryo transfer after oocyte retrieval, excluding cycles cancelled before HCG triggering. Luteal phase support was given for women planning to transfer fresh embryos as routine. For FET, endometrium was prepared using several protocols, including hormone replacement with or without down-regulation, ovarian stimulation, and natural cycles. Cleavage stage embryos were transferred on the second or third day after ovulation or progesterone administration, whereas blastocysts were transferred on the fifth or sixth day. One or two embryos were transferred according to the clinicians’ advice and patients’ preference. Serum HCG levels were measured 14 days after embryo transfer, and if conception occurred, the luteal phase support was continued. Transvaginal ultrasonography was performed 28 days after embryo transfer.
IVF/ICSI outcomes
In this study, the primary outcome measured was EP, while the secondary outcome measured was Intrauterine pregnancy (IUP). EP was defined as the implantation of a developing blastocyst outside of the endometrial cavity. IUP was defined as the successful implantation of at least one embryo in the uterus.
Definition of abnormal BMI, tubal factors and male factor infertility
According to the Chinese Adult BMI Grading Standard, the BMI for Chinese adults is classified into the following four levels: Underweight: BMI < 18.5; Normal weight: 18.5 ≤ BMI < 24; Overweight: 24 ≤ BMI < 28; Obesity: BMI ≥ 28. We collected underweight, overweight and obesity as abnormal BMI. Obstructive azoospermia, oligoasthenospermia, teratospermia, poor semen quality and other factors were identified as male infertility factors. Additionally, tubal factors have been incorporated into our risk assessment, which includes hydrosalpinx, tubal inflammation, and congenital or acquired tubal obstruction.
Statistical analysis and analyzed variables
R and SPSS were used for statistical analysis. The data with normal distribution were expressed as mean ± standard deviation (x ± s). Count data were expressed as rates or constituent ratios (%). Continuous variables were tested using t-tests, while categorical variables were assessed using chi-square tests. Both univariate and multivariate logistic regression analyses were conducted to examine the impact of different factors on EP. The prediction performance of the logistic regression model is evaluated using the area under the receiver operating characteristic curve (ROC) and calibration curve. The cut off value was derived from the ROC curve. P-value less than 0.05 was considered significant.
Results
A total of 6872 cycles were screened for clinical data who met the inclusion criteria of this study, The dataset was randomly split into a training set (5496 cycles) and a validation set (1376 cycles) at a rate of approximately four to one. The initial clinical characteristics of training and validation groups are presented in Table 1.
Table 1.
Baseline characteristics of the patients
| Validation sets(n = 1376) | Training sets(n = 5496) | t/χ2 value | p value | |||
|---|---|---|---|---|---|---|
| Female age | 31.67 | ± 3.97 | 31.56 | ± 4.03 | 0.853 | 0.245 |
| Year of treatment | ||||||
| 2010 | 69.00 | (5.00%) | 259.00 | (4.70%) | ||
| 2011 | 156.00 | (11.30%) | 649.00 | (11.80%) | ||
| 2012 | 214.00 | (15.60%) | 797.00 | (14.50%) | ||
| 2013 | 200.00 | (14.50%) | 873.00 | (15.90%) | ||
| 2014 | 240.00 | (17.40%) | 941.00 | (17.10%) | ||
| 2015 | 234.00 | (17.00%) | 957.00 | (17.40%) | ||
| 2016 | 240.00 | (17.40%) | 919.00 | (16.70%) | ||
| 2017 | 23.00 | (1.70%) | 101.00 | (1.80%) | ||
| EMT (mm) | 9.69 | ± 1.74 | 9.59 | ± 1.67 | 1.984 | 0.011 |
| BMI(kg/m2) | 21.75 | ± 3.40 | 21.79 | ± 2.95 | -0.414 | 0.179 |
| Underweight | 0.759 | 0.384 | ||||
| NO | 1251.00 | (90.90%) | 4954.00 | (90.10%) | ||
| YES | 125.00 | (9.10%) | 542.00 | (9.90%) | ||
| Infertility type | 0.712 | 0.399 | ||||
| primary | 780.00 | (56.70%) | 3046.00 | (55.40%) | ||
| secondary | 596.00 | (43.30%) | 2450.00 | (44.60%) | ||
| Endometriosis | 0.697 | 0.404 | ||||
| NO | 1304.00 | (94.80%) | 5238.00 | (95.30%) | ||
| YES | 72.00 | (5.20%) | 258.00 | (4.70%) | ||
| PCOS | 0.427 | 0.514 | ||||
| NO | 1307.00 | (95.00%) | 5196.00 | (94.50%) | ||
| YES | 69.00 | (5.00%) | 300.00 | (5.50%) | ||
| LH(mIU/ml) | 4.973 | ± 3.91 | 5.227 | ± 5.74 | -1.557 | 0.140 |
| FSH(mIU/ml) | 8.58 | ± 8.21 | 8.51 | ± 11.92 | 0.192 | 0.912 |
| T(ng/ml) | 0.58 | 0.29 | 0.61 | ± 0.35 | 0.827 | 0.410 |
| History of pelvic surgery | 0.075 | 0.784 | ||||
| NO | 859.00 | (62.40%) | 3409.00 | (62.00%) | ||
| YES | 517.00 | (37.60%) | 2087.00 | (38.00%) | ||
| Hydrotubation | 0.399 | 0.527 | ||||
| NO | 1170.00 | (85.00%) | 4710.00 | (85.70%) | ||
| YES | 206.00 | (15.00%) | 786.00 | (14.30%) | ||
| Caesarean section | 0.003 | 0.953 | ||||
| NO | 1358.00 | (98.70%) | 5423.00 | (98.70%) | ||
| YES | 18.00 | (1.30%) | 73.00 | (1.30%) | ||
| History of induced abortion | 1.723 | 0.189 | ||||
| NO | 1065.00 | (77.40%) | 4161.00 | (75.70%) | ||
| YES | 311.00 | (22.60%) | 1335.00 | (24.30%) | ||
| Type of infertility | 3.324 | 0.068 | ||||
| Non-tubal factor | 451.00 | (32.80%) | 1662.00 | (30.20%) | ||
| Tubal factor | 925.00 | (67.20%) | 3834.00 | (69.80%) | ||
| Fresh or frozen embryo transfer | 0.006 | 0.939 | ||||
| Fresh | 632.00 | (45.90%) | 2518.00 | (45.80%) | ||
| Frozen | 744.00 | (54.10%) | 2978.00 | (54.20%) | ||
| Male infertility | 4.330 | 0.037 | ||||
| NO | 828.00 | (60.20%) | 3474.00 | (63.20%) | ||
| YES | 548.00 | (39.80%) | 2022.00 | (36.80%) | ||
| Number of embryos transferred | 0.367 | 0.545 | ||||
| 1 | 744.00 | (54.10%) | 2978.00 | (54.20%) | ||
| > 1 | 632.00 | (45.90%) | 2518.00 | (45.80%) | ||
| IVF/ICSI | 3.707 | 0.054 | ||||
| IVF | 999.00 | (72.60%) | 4129.00 | (75.10%) | ||
| ICSI | 377.00 | (27.40%) | 1367.00 | (24.90%) | ||
| Outcome | 2.210 | 0.137 | ||||
| IUP | 1308.00 | (95.10%) | 5276.00 | (96.00%) | ||
| EP | 68.00 | (4.90%) | 220.00 | (4.00%) | ||
| Type of embryo transferred | 0.957 | |||||
| cleavage | 1254 | (91.10%) | 4989 | (91.10%) | 0.170 | |
| blastocyst | 122 | (8.90%) | 507 | (9.20%) | ||
| EP surgery history | 0.024 | 0.807 | ||||
| NO | 1168 | (84.90%) | 4656 | (84.70%) | ||
| YES | 208 | (15.10%) | 840 | (15.30%) | ||
| EP history | 0.060 | 0.877 | ||||
| NO | 1138 | (82.70%) | 4530 | (82.40%) | ||
| YES | 238 | (17.30%) | 966 | (17.60%) | ||
Ectopic pregnancy, EP; polycystic ovary syndrome, PCOS; body mass index, BMI; endometrial thickness, EMT; in vitro fertilization, IVF; intracytoplasmic sperm injection, ICSI
Univariate and multivariate analysis of the risk factors for EP in ART population
Univariate analysis revealed that EMT(OR = 0.90, 95% CI:0.83–0.99, P = 0.023), abnormal BMI(< 18.5,>23.9) (OR = 1.33, 95% CI: 1.01–1.77, P = 0.046), PCOS (OR = 1.78, 95% CI: 1.11–2.87, P = 0.017), fresh or frozen embryo transfer (OR = 0.56, 95% CI: 0.43–0.74, P < 0.001), male infertility (OR = 1.27, 95% CI: 0.97–1.67, P = 0.086), number of embryos transferred(OR = 1.78, 95% CI: 0.94–3.38, P = 0.079), EP history(OR = 1.33, 95% CI: 0.98–1.89, P = 0.063) were associated with EP (Table 2).
Table 2.
Univariate analysis of the risk factors for EP in ART population
| IUP(n = 5276) | EP(n = 220) | EP rate | OR | 95%CI | P-value | |||
|---|---|---|---|---|---|---|---|---|
| Female age | 31.58 | ± 4.02 | 31.26 | ± 4.23 | 0.981 | 0.948–1.014 | 0.259 | |
| Year of treatment | 0.353 | |||||||
| 2010 | 246 | (4.70%) | 13 | (5.90%) | 5.28% | |||
| 2011 | 613 | (11.60%) | 36 | (16.40%) | 5.87% | |||
| 2012 | 762 | (14.40%) | 35 | (15.90%) | 4.59% | |||
| 2013 | 842 | (16.00%) | 31 | (14.10%) | 3.68% | |||
| 2014 | 908 | (17.20%) | 33 | (15.00%) | 3.63% | |||
| 2015 | 937 | (17.80%) | 20 | (9.10%) | 2.13% | |||
| 2016 | 885 | (16.80%) | 34 | (15.50%) | 3.84% | |||
| 2017 | 83 | (1.60%) | 18 | (8.20%) | 21.69% | |||
| EMT (mm) | 9.60 | ± 1.69 | 9.34 | ± 1.32 | 0.904 | 0.828–0.986 | 0.023 | |
| BMI(kg/m2) | 21.70 | ± 3.33 | 21.67 | ± 3.07 | 0.998 | 0.958–1.039 | 0.913 | |
| Abnormal BMI | 1.333 | 1.005–1.768 | 0.046 | |||||
| NO | 3736 | (70.80%) | 142 | (64.50%) | 3.80% | |||
| YES | 1540 | (29.20%) | 78 | (35.50%) | 5.06% | |||
| Infertility type | 0.828 | 0.632–1.084 | 0.17 | |||||
| primary | 2934 | (55.60%) | 108 | (49.10%) | 3.68% | |||
| secondary | 2342 | (44.40%) | 112 | (50.90%) | 4.78% | |||
| Endometriosis | 0.977 | 0.573–1.665 | 0.827 | |||||
| NO | 5029 | (95.30%) | 209 | (95.00%) | 4.16% | |||
| YES | 247 | (4.70%) | 11 | (5.00%) | 4.45% | |||
| PCOS | 1.784 | 1.109–2.870 | 0.017 | |||||
| NO | 4996 | (94.70%) | 200 | (90.90%) | 4.00% | |||
| YES | 280 | (5.30%) | 20 | (9.10%) | 7.14% | |||
| LH(mIU/ml) | 5.22 | ± 5.76 | 5.32 | ± 5.13 | ||||
| FSH(mIU/ml) | 8.50 | ± 12.09 | 8.89 | ± 6.80 | ||||
| LH/FSH | 0.69 | ± 0.83 | 0.67 | ± 0.58 | ||||
| T(ng/ml) | 0.61 | ± 0.35 | ± 0.62 | 0.38 | 1.100 | 0.757–1.601 | 0.617 | |
| History of pelvic surgery | 0.814 | 0.619–1.069 | 0.139 | |||||
| NO | 3283 | (62.20%) | 126 | (57.30%) | 3.84% | |||
| YES | 1993 | (37.80%) | 94 | (42.70%) | 4.72% | |||
| Hydrotubation | 0.765 | 0.537-1.091 | 0.14 | |||||
| NO | 4529 | (85.80%) | 181 | (82.30%) | 4.00% | |||
| YES | 747 | (14.20%) | 39 | (17.70%) | 5.22% | |||
| Caesarean section | 0.33 | 0.046-2.386 | 0.272 | |||||
| NO | 5204 | (98.60%) | 219 | (99.50%) | 4.21% | |||
| YES | 72 | (1.40%) | 1 | (0.50%) | 1.39% | |||
| History of induced abortion | 0.938 | 0.682–1.291 | 0.696 | |||||
| NO | 3992 | (75.70%) | 169 | (76.80%) | 4.23% | |||
| YES | 1284 | (24.30%) | 51 | (23.20%) | 3.97% | |||
| Type of infertility | 1.059 | 0.787–1.425 | 0.705 | |||||
| Non-tubal factor | 1598 | (30.30%) | 64 | (29.10%) | 4.01% | |||
| Tubal factor | 3678 | (69.70%) | 156 | (70.90%) | 4.24% | |||
| Fresh or frozen embryo transfer | 0.561 | 0.427–0.739 | <0.001 | |||||
| Fresh | 2387 | (45.20%) | 131 | (59.50%) | 5.49% | |||
| Frozen | 2889 | (54.80%) | 89 | (40.50%) | 3.08% | |||
| Male infertility | 1.271 | 0.967–1.670 | 0.086 | |||||
| NO | 3347 | (63.40%) | 127 | (57.70%) | 3.79% | |||
| YES | 1929 | (36.60%) | 93 | (42.30%) | 4.82% | |||
| Number of embryos transferred | 1.779 | 0.936–3.381 | 0.079 | |||||
| 1 | 412 | (7.80%) | 10 | (4.50%) | 2.43% | |||
| > 1 | 4864 | (92.20%) | 210 | (95.50%) | 4.32% | |||
| IVF/ICSI | 1.112 | 0.820–1.508 | 0.496 | |||||
| IVF | 3968 | (75.20%) | 161 | (73.20%) | 4.06% | |||
| ICSI | 1308 | (24.80%) | 59 | (26.80%) | 4.51% | |||
| Type of embryo transferred | 0.927 | 0.574–1.498 | 0.758 | |||||
| cleavage | 4788 | (90.80%) | 201 | (91.40%) | 4.20% | |||
| blastocyst | 488 | (9.20%) | 19 | (8.60%) | 3.90% | |||
| EP surgery history | 1.283 | 0.907–1.817 | 0.159 | |||||
| NO | 4477 | (84.90%) | 179 | (81.40%) | 4.40% | |||
| YES | 799 | (15.10%) | 41 | (18.60%) | 5.13% | |||
| EP history | 1.326 | 0.984–1.886 | 0.063 | |||||
| NO | 4359 | (82.60%) | 171 | (77.70%) | 3.92% | |||
| YES | 917 | (17.40%) | 49 | (22.30%) | 5.34% | |||
IUP, Intrauterine pregnancy; EMT, endometrial thickness
The multivariate analysis demonstrated that EMT(mm), PCOS, EP history, fresh or frozen embryo transfer and male infertility factors were independently associated with EP (P < 0.05). Specifically, after adjusting for female age, BMI, EMT in mm, PCOS, history of EP, ET/FET, and male infertility factors, ART patients with PCOS were found to have an over two-fold increased risk of EP (aOR = 2.07, 95% CI: 1.27–3.36, P = 0.004). Furthermore, frozen embryo transfer can significantly reduce the risk of EP compared to fresh embryo transfer (aOR = 2.17, 95% CI: 1.62–2.91, P < 0.001). Male infertility factor was associated with 1.4-fold increased risk of EP (aOR = 1.39, 95% CI: 1.05–1.85,P = 0.021). Women with EP history was associated with 1.4-fold increased risk of EP (aOR = 1.41, 95% CI: 1.01–1.97, P = 0.046) (Table 3).
Table 3.
Multivariate analysis of the risk factors for EP in ART population
| OR | 95%CI | P value | |
|---|---|---|---|
| EMT (mm) | 0.86 | 0.77–0.93 | < 0.001 |
| PCOS | |||
| NO | 1.00 | ||
| YES | 2.07 | 1.27–3.36 | 0.004 |
| EP History | |||
| NO | 1.00 | ||
| YES | 1.41 | 1.01–1.97 | 0.046 |
| ET/FET | |||
| Frozen ET | 1.00 | ||
| Fresh ET | 2.17 | 1.62–2.91 | < 0.001 |
| Male infertile factors | |||
| NO | 1.00 | ||
| YES | 1.39 | 1.05–1.85 | 0.021 |
An increase of 1 mm in EMT is correlated with a 15% decrease in the odds of developing EP (aOR = 0.86, 95% CI: 0.77–0.93, P < 0.001) (Table 3). After adjusting for female age, BMI, methods of ART, tubal factor, PCOS and male infertility factors, we also found that there is a significant increase in the risk of EP when the EMT is less than 9.7 mm (aOR = 1.37, 95% CI: 1.03–1.82, P = 0.03).
Nomogram and evaluation of prediction model of EP
Risk predictors were identified through the utilization of the multivariate logistic regression model. In addition, although there was no statistical significance between abnormal BMI and the occurrence of EP, considering its high proportion (29.20% in IUP, 35.50% in EP), we included it as one of the risk factors in the prediction model. A predictive model in the form of a nomogram was developed by integrating the significant prognostic factors. The EMT (mm) prior to ET, PCOS, EP history, fresh or frozen embryo transfer were set as independent variables to predict the incidence of EP. The risk prediction model of EP was logit P =-2.282792 + 0.778825× (PCOS = 1) + 0.338919× (EP history = 1) + 0.337529 ×(male infertile factors = 1) + 0.754782×(frozen embryo transfer = 1)- 0.163352 × (endometrial thickness) (Fig. 2).
Fig. 2.
The nomogram presented in the modeling group provides a visual representation of the clinical prediction model. Each variable value for a patient can be determined by locating the corresponding point on the nomogram. By drawing a vertical line from the variable score to the total score axis, the total score can be determined. From the total score, a vertical line can be drawn down to the predicted EP rate line, providing the estimated probability of ectopic pregnancy (EP) for a patient. For example, a total score of 140 on the nomogram indicates a probability of more than 10% for EP
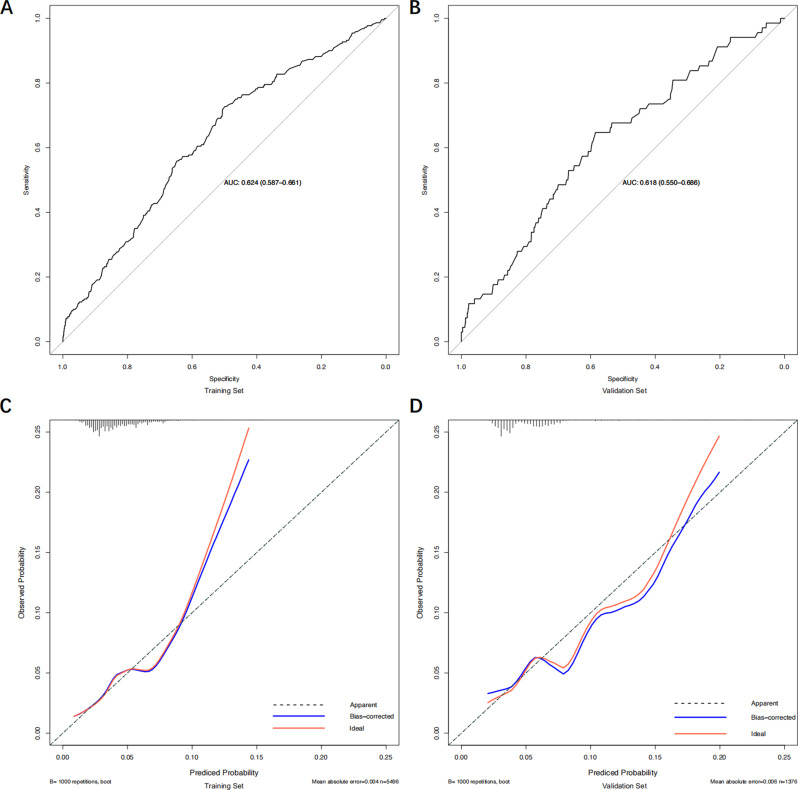
The model’s predictive performance was evaluated using Area Under the Curve (AUC), a commonly used metric for assessing the performance of binary classification models. AUC values range from 0.5 to 1, with higher values indicating better model performance. After validating the training and validation (Fig. 3) sets separately, it was observed that the AUC remained largely unchanged, indicating that the model is relatively stable. The calibration plot indicates that the predicted values and observed values in both the training and validation (Fig. 3) datasets are in good agreement.
Fig. 3.
ROC curves and calibration curves for the EP rate nomogram. The accuracy of our prediction model was validated on both the (A)training and (B)validation datasets. Calibration curve for (C) training set and (D)validation EP rate nomogram. On the calibration curve, X axis is nomogram predicted probability of EP and Y axis is actual probability of EP
Discussion
Main findings
This large retrospective cohort study of 6872 embryo transfer cycles has found that PCOS is an independent risk factor for EP after ART. Additionally, we also found EMT (mm) prior to ET, underweight, fresh or frozen embryo transfer were significantly correlated with the incidence of EP. In addition, this study established a predictive model for the incidence of EP to provide advice for each specific patient to evaluate the incidence of EP before embryo transfer.
Strengths and limitations
Though we found significant difference of EP risk between PCOS and non-PCOS group, the lack of data on certain factors related to PCOS, such as AMH level, blood glucose level, hypertension [19], makes it difficult to confirm whether PCOS is directly or indirectly related to EP. Therefore, more comprehensive research is needed to understand the mechanism behind this relationship. Moreover, since this study is based on a retrospective design from a single medical center, there may be many unknown confounding factors. Therefore, larger-scale multicenter prospective studies are needed to better address this issue.
Interpretation
PCOS is one of the leading causes of infertility in women of child-bearing age [20]. Our study demonstrated a significant increase of EP risk (aOR = 2.07, 95% CI: 1.27–3.36, P = 0.004) in PCOS patients following ART treatment. Our findings are consistent with the results reported by Wang et al. Their study showed a significantly higher incidence of adverse pregnancy outcomes in PCOS phenotype A and D groups compared to the control group after IVF/ICSI treatment. However, when ectopic pregnancy was analyzed separately, there were no significant differences between the PCOS group and the control group. This could be attributed to the limited sample size of ectopic pregnancy cases in both the PCOS and control groups (7/346 and 13/453) [17]. According to our study, the findings are also consistent with the research conducted by Liu et al. They found that PCOS was associated with an increased risk of EP after COH in fresh embryo transfer cycles (n = 3303, 7.0% vs. 2.4%; aOR, 3.06; 95% CI, 1.34–6.96). However, in cryo-thawed ET cycles, there was no significant association between PCOS and EP (n = 2036, 2.2% vs. 2.0%; aOR, 0.94; 95% CI, 0.22–4.07) [8]. Additionally, the impaired oocyte competence associated with PCOS may lead to a decline in embryo quality [11], which can affect implantation and consequently increase the risk of EP. Although the mechanism between PCOS and EP is unclear, clinical characteristics of PCOS can lead to dysregulation of endometrial sex hormone receptors, increased endometrial insulin resistance, chronic low-grade inflammation, immune dysfunction, altered uterine vascularity, abnormal endometrial gene expression, and cellular abnormalities and maybe the potential causes of the elevated risk of EP [21]. Women with PCOS were reported with higher levels of anti-Müllerian hormone (AMH) in their serum. Granulosa cells in these women have up to a 7.5-fold increase in AMH production [22], and anovulatory women with PCOS have AMH serum levels that are 18 times higher than the control group [23]. Considering previous research has shown that high levels of AMH are also associated with an increased risk of EP in fresh embryo transfer cycles [24], the underlying mechanism may correlate with elevated AMH level in PCOS patients. Additionally, this also highlights the importance of monitoring AMH level during ART cycles.
Many studies have shown that the incidence of EP is lower in FET cycles compared to fresh embryo transfer cycles, which is consistent with our results[6, 25, 26]. The reduced risk of EP in FET cycles compared to fresh ET cycles was first reported by Ishihara et al. through the analysis of the Japanese ART registry [27]. A recent meta-analysis systematically evaluated the risks of ectopic pregnancy (EP) associated with frozen-thawed versus fresh blastocyst ET by synthesizing data from fourteen retrospective studies (n = 251,762 cycles). The analysis demonstrated that the incidence of EP in fresh single blastocyst ET cycles (1.2%) was significantly higher compared to that observed in frozen-thawed blastocyst ET cycles (0.80%) [28]. Similarly, according to a systematic review conducted by Wang et al. in 2021, FET was found to yield better outcomes in IVF compared to fresh ET. This improvement could be attributed to the achievement of better synchronization between the embryo and the endometrium through FET cycles [29]. One notable distinction between fresh and frozen cycles lies in the ovarian stimulation protocols employed. A previous study investigated the impact of these protocols on the risk of EP and found that the EP rate for natural (unstimulated) IVF cycles was 0.47%, which was significantly lower than the rates observed in stimulated cycles (ranging from 1.47 to 2.18%). Notably, the EP rate for unstimulated fresh cycles (0.47%) was comparable to the EP rate for all frozen-thawed cycles (0.52%) analyzed in the current investigation. These findings suggest that ovarian stimulation may play a mediating role in the increased risk of EP associated with fresh cycles [30]. Although FET may lower EP rate, there are also reports suggesting a higher incidence of biochemical pregnancy and pregnancy loss following FET [31]. Thus, the advisability of freeze-all cycles remains a topic of controversy, and further research is needed to develop individualized treatment plans for patients.
The results of our study suggest that thinner EMT prior to embryo transfer was associated with higher EP rate, which is consistent with previous multiple studies[7, 32, 33]. Additionally, our results demonstrate that women with EMT less than 9.7 mm had 1.37-fold increased risk comparing with the women with thicker EMT. A recent systematic review finds that patients undergoing IVF/ICSI and having an EMT less than 8 mm are found to have an elevated risk of developing an EP [32]. According to another study, women who underwent ART and had an EMT more than 7.6 mm had a significantly lower risk of EP compared to women with an EMT of less than 7.6 mm [7]. Although there are various standards of thin endometrial thickness, the general trend of research results is consistent, which shows that the thinner the EMT, the higher the risk of EP. Besides, experimental and clinical data indicate that the endometrium of women with PCOS differs from that of healthy controls. The clinical features associated with this syndrome, either individually or in combination, may lead to dysregulation of sex hormone receptors and coreceptors in the endometrium of women with PCOS. This dysregulation can increase endometrial insulin resistance, accompanied by impaired glucose transport and utilization, resulting in chronic low-grade inflammation, immune dysfunction, altered uterine vasculature, abnormal endometrial gene expression, and cellular abnormalities [21]. While our study provides evidence, larger and more targeted multi-center clinical studies are needed to confirm the more accurate range of values for this relationship.
The results of this study suggest that male infertility factor is associated with a 1.4-fold increase in EP risk, which is consistent with previous studies [34]. Many authors have suggested that semen quality related with embryo quality [35, 36], which has also been considered as a significant aetiology for EP [37]. However, there is still limited research on the mechanism between male infertile factor and EP. While our study provided some evidence, further targeted research based on larger cohorts is still required to better understand the relationship between male infertility factors and EP.
Conclusions
In conclusion, our study demonstrated a strong correlation between PCOS and EP. In alternative ART cases, frozen embryo transfer may be a better choice for decreasing the incidence of EP in the treatment. The nomogram presented in this study and the included associated risk factors may provide new advice for the preparation phase of clinical ART cycles as well as early prediction and identification of EP.
Acknowledgements
This is a short text to acknowledge the contributions of specific colleagues, institutions, or agencies that aided the efforts of the authors.
Abbreviations
- EP
ectopic pregnancy
- ART
assisted reproductive technology
- PCOS
polycystic ovary syndrome
- HA
hyperandrogenism
- OD
ovulatory dysfunction
- OC
oocyte competence
- PCOM
polycystic ovarian morphology
- COH
controlled ovarian hyperstimulation
- HCG
human chorionic gonadotropin
- IVF
in vitro fertilization
- ICSI
intracytoplasmic sperm injection
- IUP
intrauterine pregnancy
- ROC
receiver operating characteristic curve
- AUC
Area Under the Curve
- AMH
anti-Müllerian hormone
- EMT
endometrial thickness
Author contributions
All authors were involved in the design and protocol. The statistical analyses were performed by JL. All authors were involved in the interpretation and writing of the manuscript. TTD and JL designed, conceptualized, and planned the study. Data collection was carried out by YYL, JL, TTD. All analyses were performed by CTL, JL and TTD. The manuscript was written up by JL and YL. The review and editing were conducted by XJC and LJ. The supervision was provided by both XJC and LJ. The funding acquisition was carried out by LJ. All authors contributed to, commented on, and approved the final version of the submitted manuscript.
Funding
This research was funded by the National Key R&D Program of China (2021YFC2700603, 2022YFC2702504), the National Natural Science Foundation of China (81871140).
Data availability
The data that support the findings of this study are available from the corresponding author upon reasonable request.
Declarations
Ethics approval and consent to participate
This study was performed following the ethical guidelines of the Declaration of Helsinki and was approved by the Ethics Committee of the International Peace Maternity &Child Health Hospital. The approval number is (GKLW)2013-51. Due to the retrospective nature of the study and the use of deidentified data, informed consent was waived by the Ethics Committee of the International Peace Maternity &Child Health Hospital.
Consent for publication
Not applicable.
Competing interests
The authors declare no competing interests.
Footnotes
Publisher’s note
Springer Nature remains neutral with regard to jurisdictional claims in published maps and institutional affiliations.
Jie Li, Tiantian Dai and Yang Liu contributed equally to this work.
Contributor Information
Xiaojun Chen, Email: cxj8012@sjtu.edu.cn.
Li Jin, Email: jinl@fudan.edu.cn.
References
- 1.Khan KS, Wojdyla D, Say L, Gülmezoglu AM, Van Look PF. WHO analysis of causes of maternal death: a systematic review. Lancet. 2006;367:1066–74. [DOI] [PubMed] [Google Scholar]
- 2.Santos-Ribeiro S, Tournaye H, Polyzos NP. Trends in ectopic pregnancy rates following assisted reproductive technologies in the UK: a 12-year nationwide analysis including 160 000 pregnancies. Hum Reprod. 2016;31:393–402. [DOI] [PubMed] [Google Scholar]
- 3.Juneau C, Bates GW. Reproductive outcomes after medical and surgical management of ectopic pregnancy. Clin Obstet Gynecol. 2012;55:455–60. [DOI] [PubMed] [Google Scholar]
- 4.Shaw JL, Dey SK, Critchley HO, Horne AW. Current knowledge of the aetiology of human tubal ectopic pregnancy. Hum Reprod Update. 2010;16:432–44. [DOI] [PMC free article] [PubMed] [Google Scholar]
- 5.Cai J, Liu L, Jiang X, Li P, Sha A, Ren J. Low body mass index is associated with ectopic pregnancy following assisted reproductive techniques: a retrospective study. BJOG. 2021;128:540–50. [DOI] [PubMed] [Google Scholar]
- 6.Zhang X, Ma C, Wu Z, Tao L, Li R, Liu P, Qiao J. Frozen-Thawed embryo transfer cycles have a lower incidence of ectopic pregnancy compared with fresh embryo transfer cycles. Reprod Sci. 2018;25:1431–5. [DOI] [PubMed] [Google Scholar]
- 7.Liu J, Kong H, Yu X, Zhou M, Liu X, Liu X, Zhang J, Liu Y, Wu S, Guan Y. The role of endometrial thickness in predicting ectopic pregnancy after in vitro fertilization and the establishment of a prediction model. Front Endocrinol (Lausanne). 2022;13:895939. [DOI] [PMC free article] [PubMed] [Google Scholar]
- 8.Wang J, Wei Y, Diao F, Cui Y, Mao Y, Wang W, Liu J. The association between polycystic ovary syndrome and ectopic pregnancy after in vitro fertilization and embryo transfer. Am J Obstet Gynecol. 2013;209:e1391–9. [DOI] [PubMed] [Google Scholar]
- 9.Teede H, Deeks A, Moran L. Polycystic ovary syndrome: a complex condition with psychological, reproductive and metabolic manifestations that impacts on health across the lifespan. BMC Med. 2010;8:41. [DOI] [PMC free article] [PubMed] [Google Scholar]
- 10.Azziz R, Carmina E, Chen Z, Dunaif A, Laven JS, Legro RS, Lizneva D, Natterson-Horowtiz B, Teede HJ, Yildiz BO. Polycystic ovary syndrome. Nat Rev Dis Primers. 2016;2:16057. [DOI] [PubMed] [Google Scholar]
- 11.Palomba S, Daolio J. La Sala, oocyte competence in women with polycystic ovary syndrome. Trends Endocrinol Metab. 2017;28:186–98. [DOI] [PubMed] [Google Scholar]
- 12.Teede HJ, Tay CT, Laven JJE, Dokras A, Moran LJ, Piltonen TT, Costello MF, Boivin J, Redman LM, Boyle JA, Norman RJ, Mousa A, Joham AE. Recommendations from the 2023 international Evidence-based guideline for the assessment and management of polycystic ovary syndrome. J Clin Endocrinol Metab. 2023;108:2447–69. [DOI] [PMC free article] [PubMed] [Google Scholar]
- 13.Palomba S. Is fertility reduced in ovulatory women with polycystic ovary syndrome? An opinion paper. Hum Reprod. 2021;36:2421–8. [DOI] [PubMed] [Google Scholar]
- 14.Bahri Khomami M, Joham AE, Boyle JA, Piltonen T, Silagy M, Arora C, Misso ML, Teede HJ, Moran LJ. Increased maternal pregnancy complications in polycystic ovary syndrome appear to be independent of obesity-A systematic review, meta-analysis, and meta-regression. Obes Rev. 2019;20:659–74. [DOI] [PubMed] [Google Scholar]
- 15.Beydoun HA, Stadtmauer L, Beydoun MA, Russell H, Zhao Y, Oehninger S. Polycystic ovary syndrome, body mass index and outcomes of assisted reproductive technologies. Reprod Biomed Online. 2009;18:856–63. [DOI] [PMC free article] [PubMed] [Google Scholar]
- 16.Leal CRV, Zanolla K, Spritzer PM, Reis FM. Assisted reproductive technology in the presence of polycystic ovary syndrome: current evidence and knowledge gaps. Endocr Pract. 2024;30:64–9. [DOI] [PubMed] [Google Scholar]
- 17.Wang Q, Wang H, Li P, Li X, Wang Z, Yan L, Shi Y. Association of polycystic ovary syndrome phenotypes with adverse pregnancy outcomes after In-Vitro fertilization/intracytoplasmic sperm injection. Front Endocrinol (Lausanne). 2022;13:889029. [DOI] [PMC free article] [PubMed] [Google Scholar]
- 18.Potdar N, Iyasere C. Early pregnancy complications including recurrent pregnancy loss and obesity. Best Pract Res Clin Obstet Gynaecol. 2023;90:102372. [DOI] [PubMed] [Google Scholar]
- 19.Osibogun O, Ogunmoroti O, Michos ED. Polycystic ovary syndrome and cardiometabolic risk: opportunities for cardiovascular disease prevention. Trends Cardiovasc Med. 2020;30:399–404. [DOI] [PubMed] [Google Scholar]
- 20.Bozdag G, Mumusoglu S, Zengin D, Karabulut E, Yildiz BO. The prevalence and phenotypic features of polycystic ovary syndrome: a systematic review and meta-analysis. Hum Reprod. 2016;31:2841–55. [DOI] [PubMed] [Google Scholar]
- 21.Palomba S, Piltonen TT, Giudice LC. Endometrial function in women with polycystic ovary syndrome: a comprehensive review. Hum Reprod Update. 2021;27:584–618. [DOI] [PubMed] [Google Scholar]
- 22.Pellatt L, Hanna L, Brincat M, Galea R, Brain H, Whitehead S, Mason H. Granulosa cell production of anti-Müllerian hormone is increased in polycystic ovaries. J Clin Endocrinol Metab. 2007;92:240–5. [DOI] [PubMed] [Google Scholar]
- 23.Pellatt L, Rice S, Mason HD. Anti-Müllerian hormone and polycystic ovary syndrome: a mountain too high? Reproduction. 2010;139:825–33. [DOI] [PubMed] [Google Scholar]
- 24.Hu KL, Li S, Hunt S, Yang R, Xu H, Li R. High anti-Müllerian hormone (AMH) is associated with increased risks of ectopic pregnancy in women undergoing fresh embryo transfer cycle, a cohort study. Reprod Biol Endocrinol. 2023;21:18. [DOI] [PMC free article] [PubMed] [Google Scholar]
- 25.Londra L, Moreau C, Strobino D, Garcia J, Zacur H, Zhao Y. Ectopic pregnancy after in vitro fertilization: differences between fresh and frozen-thawed cycles. Fertil Steril. 2015;104:110–8. [DOI] [PubMed] [Google Scholar]
- 26.Decleer W, Osmanagaoglu K, Meganck G, Devroey P. Slightly lower incidence of ectopic pregnancies in frozen embryo transfer cycles versus fresh in vitro fertilization-embryo transfer cycles: a retrospective cohort study. Fertil Steril. 2014;101:162–5. [DOI] [PubMed] [Google Scholar]
- 27.Ishihara O, Kuwahara A, Saitoh H. Frozen-thawed blastocyst transfer reduces ectopic pregnancy risk: an analysis of single embryo transfer cycles in Japan. Fertil Steril. 2011;95:1966–9. [DOI] [PubMed] [Google Scholar]
- 28.Zeng MF, Li LM. Frozen blastocyst transfer reduces incidence of ectopic pregnancy compared with fresh blastocyst transfer: a meta-analysis. Gynecol Endocrinol. 2019;35:93–9. [DOI] [PubMed] [Google Scholar]
- 29.Wang CH, Hu XQ. A systematic review of clinical efficacy of frozen-thawed embryos and fresh embryos in in-vitro fertilization cycles. Cryobiology. 2021;100:19–25. [DOI] [PubMed] [Google Scholar]
- 30.Jwa SC, Takamura M, Kuwahara A, Kajihara T, Ishihara O. Effect of endometrial Preparation protocols on the risk of ectopic pregnancy for frozen embryo transfer. Sci Rep. 2021;11:17453. [DOI] [PMC free article] [PubMed] [Google Scholar]
- 31.Wang ET, Kathiresan ASQ, Bresee C, Greene N, Alexander C, Pisarska MD. Abnormal implantation after fresh and frozen in vitro fertilization cycles. Fertil Steril. 2017;107:1153–8. [DOI] [PMC free article] [PubMed] [Google Scholar]
- 32.Mouhayar Y, Franasiak JM, Sharara FI. Obstetrical complications of thin endometrium in assisted reproductive technologies: a systematic review. J Assist Reprod Genet. 2019;36:607–11. [DOI] [PMC free article] [PubMed] [Google Scholar]
- 33.Yuan X, Saravelos SH, Wang Q, Xu Y, Li TC, Zhou C. Endometrial thickness as a predictor of pregnancy outcomes in 10787 fresh IVF-ICSI cycles. Reprod Biomed Online. 2016;33:197–205. [DOI] [PubMed] [Google Scholar]
- 34.Bhattacharya SM, Ghosh M. Abnormal sperm characteristics and risk of ectopic pregnancy. Int J Gynaecol Obstet. 2010;110:161–2. [DOI] [PubMed] [Google Scholar]
- 35.Mazzilli R, Cimadomo D, Vaiarelli A, Capalbo A, Dovere L, Alviggi E, Dusi L, Foresta C, Lombardo F, Lenzi A, Tournaye H, Alviggi C, Rienzi L, Ubaldi FM. Effect of the male factor on the clinical outcome of intracytoplasmic sperm injection combined with preimplantation aneuploidy testing: observational longitudinal cohort study of 1,219 consecutive cycles. Fertil Steril. 2017;108:961–e9723. [DOI] [PubMed] [Google Scholar]
- 36.McCallie BR, Parks JC, Griffin DK, Schoolcraft WB. Katz-Jaffe, infertility diagnosis has a significant impact on the transcriptome of developing blastocysts. Mol Hum Reprod. 2017;23:549–56. [DOI] [PubMed] [Google Scholar]
- 37.Revel A, Ophir I, Koler M, Achache H, Prus D. Changing etiology of tubal pregnancy following IVF. Hum Reprod. 2008;23:1372–6. [DOI] [PubMed] [Google Scholar]
Associated Data
This section collects any data citations, data availability statements, or supplementary materials included in this article.
Data Availability Statement
The data that support the findings of this study are available from the corresponding author upon reasonable request.



