Abstract
Background
The World Health Organization recommends standardised treatment durations for patients with tuberculosis (TB). We identified and validated a host-RNA signature as a biomarker for individualised therapy durations for patients with drug-susceptible (DS)- and multidrug-resistant (MDR)-TB.
Methods
Adult patients with pulmonary TB were prospectively enrolled into five independent cohorts in Germany and Romania. Clinical and microbiological data and whole blood for RNA transcriptomic analysis were collected at pre-defined time points throughout therapy. Treatment outcomes were ascertained by TBnet criteria (6-month culture status/l-year follow-up). A whole-blood RNA therapy-end model was developed in a multistep process involving a machine-learning algorithm to identify hypothetical individual end-of-treatment time points.
Results
50 patients with DS-TB and 30 patients with MDR-TB were recruited in the German identification cohorts (DS-GIC and MDR-GIC, respectively); 28 patients with DS-TB and 32 patients with MDR-TB in the German validation cohorts (DS-GVC and MDR-GVC, respectively); and 52 patients with MDR-TB in the Romanian validation cohort (MDR-RVC). A 22-gene RNA model (TB22) that defined cure-associated end-of-therapy time points was derived from the DS- and MDR-GIC data. The TB22 model was superior to other published signatures to accurately predict clinical outcomes for patients in the DS-GVC (area under the curve 0.94, 95% CI 0.9–0.98) and suggests that cure may be achieved with shorter treatment durations for TB patients in the MDR-GIC (mean reduction 218.0 days, 34.2%; p<0.001), the MDR-GVC (mean reduction 211.0 days, 32.9%; p<0.001) and the MDR-RVC (mean reduction of 161.0 days, 23.4%; p=0.001).
Conclusion
Biomarker-guided management may substantially shorten the duration of therapy for many patients with MDR-TB.
Shareable abstract (@ERSpublications)
A 22-gene RNA-based model predicts individual durations of antimicrobial therapy for patients treated for tuberculosis. Application of this model will potentially shorten treatment duration in the majority of patients with MDR-TB. https://bit.ly/36dZOq0
Introduction
Tuberculosis (TB) remains a major global health threat, with emerging Mycobacterium tuberculosis drug-resistance being particularly worrisome [1]. Multidrug-resistant (MDR)-TB, defined by bacillary resistance against rifampicin and isoniazid, and extensively drug-resistant TB, defined by MDR-TB plus resistance against at least one fluoroquinolone and one of the second-line injectable drugs amikacin, capreomycin and/or kanamycin) are associated with high treatment costs [2], frequently occurring adverse events [3] and discouragingly poor outcomes [4] despite prolonged treatment duration of ≥18 months [5, 6]. The World Health Organization (WHO) has endorsed a short-course MDR-TB treatment regimen lasting 9–12 months [7] for patients with fluoroquinolone-susceptible MDR-TB who also fulfil certain criteria. Nevertheless, the great majority of patients in several regions of the world, including Europe, are not eligible for the short-course regimen due to second-line M. tuberculosis drug resistance [8].
The treatment duration needed to achieve cure is highly variable between individual patients and depends on the host’s immune status, the severity of disease and the pathogen’s virulence and drug-resistance status, as well as drug availability [9, 10]. There is a growing interest and clinical need for a biosignature to guide individualised treatment duration [11]; this is especially relevant for the treatment of patients with drug-resistant TB in order to reduce the rate of adverse events and cost, and to improve compliance [9].
Due to rapid changes in expression profiles following the initiation of anti-TB drug treatment, host genome-wide RNA expression holds promise as a surrogate marker for the duration of treatment required for an individual to achieve cure [12]. RNA signatures that correlate with treatment response and predict individual patient outcome including disease recurrence have been described previously in patients with drug-susceptible (DS)-TB [13].
We piospectively analysed whole-blood RNA transcripts in patients from two identification cohorts including patients with DS- and MDR-TB. We developed an RNA-based model as a reference for relapse-free cure based on strict outcome criteria [14] in patients with DS-TB, which was then further applied to patients with MDR-TB to indicate individual end-of-therapy time points. Subsequently, this model was piospectively applied to three independent validation cohorts, one with DS-TB and two with MDR-TB.
Materials and methods
Study design and participants
Between March 2013 and March 2016, patients with culture-confirmed pulmonary DS-TB and MDR-TB identified by detection of M. tuberculosis DNA from sputum by the Xpert MTB/RIF test (Cepheid, Sunnyvale, CA, USA) were prospectively enrolled into the DS German identification cohort (GIC) and the MDR-GIC, at five clinical centres in Germany as described previously (supplementary material) [15, 16]. Between March 2015 and April 2018, patients with DS-TB and MDR-TB were prospectively enrolled into the DS German validation cohort (GVC) and MDR-GVC at the same centres and at two additional centres in Germany (supplementary material). Between May 2015 and March 2017, patients with MDR-TB were prospectively enrolled into the MDR Romanian validation cohort (RVC) at the Marius-Nasta-Institute in Bucharest, Romania.
Individuals were not included in the study if they were aged <18 years, under legal supervision or living with HIV.
In addition, adult healthy controls with no history of previous TB and without any known concurrent illnesses at the time point of blood sampling were enrolled at the Medical Clinic of the Research Center Borstel (Germany) between June 2015 and December 2015.
Study visits included clinical assessment and blood sampling for whole-blood RNA measurements from PAXgene tubes (Qiagen, Venlo, the Netherlands). Study visits were performed at (ideally) before treatment initiation, at 14 days of therapy, at the times of smear conversion and following culture conversion (not available in the MDR-RVC), at 6 months and/or therapy end in patients with DS-TB, and additionally at 10, 15 and 20 months of therapy in patients with MDR-TB. After completion of 4 weeks of therapy, an additional study visit was performed in patients from the MDR-RVC. All patients completed 12 months of evaluation following the end of therapy to capture disease recurrence. A subset of DS-/MDR-GVC participants provided specimens during this follow-up period. Sputum samples provided by German study participants were evaluated via smear microscopy and culture at the National Reference Center for Mycobacteria at the Research Center Borstel. Samples provided by study participants at the Marius-Nasta-Institute were analysed at the Romanian National Reference Center for Mycobacteria in Bucharest. Anti-TB therapy regimens were based on comprehensive drug-susceptibility testing and consistent with current therapy recommendations [5, 17, 18]. Treatment outcomes were assessed following the TBnet definitions, where relapse-free cure is defined by having a negative M. tuberculosis culture status at 6 months after treatment initiation without positive cultures thereafter and no disease recurrence during the follow-up period of 1 year after therapy end [14]. TBnet outcome criteria were preferred for this study, since WHO outcome definitions do not include 1-year follow-up post-treatment completion to exclude for recurrent disease (supplementary table S1) and the WHO definition for treatment success involves items that cannot be predicted by a biomarker since they depend on a patient’s behaviour or clinical decisions in the course of therapy (i.e. treatment completion or change of drugs during the course of treatment) [19].
Details on RNA processing, labelling, hybridisation and microarray analysis, data extraction, data normalisation, data analysis, open-access RNA data availability, the detailed steps for the model development and comparison with other published signatures or scores are shown in the supplementary material.
Statistical analysis
Using RNA microarray data from whole-blood PaxGene tubes, we identified genes that were significantly up- or downregulated between healthy controls and therapy-naïve TB patients using a moderated t-test with Benjamini–Hochberg correction. From this gene set, a gene signature consisting of six genes was shown to be suitable for predicting the outcome of therapy in DS-GIC and MDR-GIC patients. From these six genes a therapy outcome score was developed using generalised linear model. In a second step, we identified genes that correlated with the remaining therapy duration of DS-GIC and MDR-GIC patients using lasso regression techniques. We applied variable reduction steps to create a generalised linear model of nine genes to calculate the remaining therapy days, used as therapy progression score. In a third step, genes were identified via lasso regression that could significantly differentiate between ongoing therapy and successfully completed therapy in DS-GIC TB patients. This gene set, as well as the therapy outcome score and therapy progression score generated in the previous steps underwent variable reduction procedures in order to find a suitable random forest model that could distinguish between ongoing therapy and successfully completed therapy with high accuracy. This model was further translated into a generalised linear model and checked for validity in the external data set of DS-GVC patients and further applied to the MDR-TB patients of GIC, GVC and RVC. A detailed description of the statistical methods can be found in the supplementary material.
Ethics
Study approval was granted by the ethics committee of the University of Lübeck, (AZ 12–233; Lübeck, Germany), which was then approved by the corresponding local ethics committees of all participating centres in Germany, and by the ethics committee of the Marius Nasta Institute (3181/25.03.2015; Bucharest, Romania).
Results
All patients enrolled into these cohorts had culture-confirmed pulmonary TB (table 1, supplementary figure S1) [15, 16]. In detail, 50 patients were enrolled into the DS-GIC and 30 patients to the MDR-GIC. 28 patients were enrolled in the DS-GVC, 32 patients in the MDR-TB MDR-GVC and 52 patients in the MDR-RVC. Patients were followed-up 1 year after therapy end to assess for disease recurrence. Clinical and mycobacterial data as well as transcriptomic data from samples taken longitudinally throughout therapy from the patients in each cohort were available to conduct the analysis.
TABLE 1.
Clinical characteristics of tuberculosis (TB) patients including the observed and predicted therapy durations in drug-susceptible (DS)- and multidrug-resistant (MDR)-TB patients from the German identification cohort (GIC), the German validation cohorts (GVC) and the Romanian validation cohort (RVC)
| DS-TB (n=78) |
MDR-TB (n=114) |
p-value | ||||
|---|---|---|---|---|---|---|
| GIC | GVC | GIC | GVC | RVC | ||
|
| ||||||
| Patients | 50 | 28 | 30 | 32 | 52 | |
| Baseline age years | 48.2 (40.0‒60.2) | 34.6 (22.1–49.3) | 36.2 (32.0–41.6) | 33.2 (24.5–44.7) | 37.0 (28.3–46.7) | 0.083 |
| Baseline TTP+ days | 21.0 (16–32.3) | 10 (8–13.0) | 22.0 (11.8–32.5) | 22.0 (11.8–32.5) | 40.0 (27.5–56.0) | >0.001 |
| Time to culture conversion days | 47.5 (25.8–75.0) | 46.0 (24.5–55.0) | 38.0 (33.0–215.5) | 50.0 (30.5–59.8) | 32.0 (27.0–60.0) | 0.861 |
| Therapy outcome # | ||||||
| Cure | 29 (58.0) | 20 (71.4) | 17 (56.7) | 20 (62.5) | 34 (65.4) | |
| Failure | 7 (14.0) | 1 (3.6) | 3 (10.0) | 1 (3.1) | 4 (7.7) | |
| Death | 1 (2.0) | 1 (3.6) | 2 (6.6) | 1 (3.1) | ||
| Lost to follow-up/undeclared | 13 (26.0) | 6 (21.4) | 8 (26.7) | 10 (31.3) | 14 (26.9) | |
| Observed therapy duration days | 184.0 (182.5–246.0) | 273.0 (202.6–365) | 638.0 (612.6–682.3) | 641.0 (608.0–656.5) | 611.0 (597.5–631.5) | <0.001 |
| Predicted therapy duration days | 175.0 (152.5–233.8) | 225.0 (176.0–310.0) | 420.0 (340.0–520.0) | 430 (427.5–510.0) | 450.0 (325.0–0.5) | <0.001 |
Data are presented as n, median (interquartile range) or n (%), unless otherwise stated. TTP
: time to culture positivity.
: derived following the TBnet criteria [14].
Baseline time to sputum culture positivity in therapy-naïve patients was not significantly different in the DS-GIC when compared to the DS-GVC (median 21 days, interquartile range (IQR) 16.0–32.3 days versus DS-TB 10 days, 8.0–13.0 days; p=0.080). The median (IQR) duration of therapy was 184 (182.5–246.0) days in DS-GIC patients and 273 (202.6–365) days in DS-GVC patients (p=0.038). MDR-GIC, MDR-GVC and MDR-RVC patients were treated for a median (IQR) duration of 638 (612.6–682.3) days, 641 (608.0–656.5) days and 611 (597.5–631.5) days, respectively (p=0.729).
Therapy-end model
A model to identify individual end-of-therapy time points for TB patients was developed using data from the GICs and then independently validated in the DS- and MDR-GVC and in the MDR-RVC. Development of the model is described in detail in the supplementary material. It included several validation steps involving clinical, radiological and bacteriological data. In total, three steps were needed to arrive at a final therapy-end model (figure 1, supplementary table S2 and figure S2). The final therapy-end model (TB22) consists of a total of 22 gene targets (CD274 (PD-L1), FAM20A, LPCAT2, TRIM27, GYG1, HIST1H1B, RPAP3, A_33_P3281041, BATF2, C2, GK, IFIT2, IFITM1, KREMEN1, PDE4D, GBP5, IL27, KCNJ2-AS1, SERPING, STAT1, TNFRSF21, VAMP5) to calculate end-of-therapy scores at different time points (figure 1, supplementary table S2). Each measurement resembles an independent end-of-therapy calculation for a TB patient under therapy. All calculation results above the cut-off (≥0.5) indicate for hypothetical end-of-therapy time points with cure as final treatment outcome. The model identified end-of-therapy time points with high accuracy in DS-GVC patients (area under the curve (AUC) 0.94, 95% CI 0.90–0.98; table 2 and figure 2). It was applied to MDR-GIC, and to patients from the independent DS- and MDR-GVCs, and patients from the MDR-RVC to calculate hypothetical therapy durations. Figure 3a–c shows the end-of-therapy probabilities of the different cohorts as a function of time under therapy.
FIGURE 1.
Multistep development of the therapy-end model for tuberculosis (TB) treatment. Simplified flow chart showing the multistep approach of transcriptomic and clinical data analysis to develop the therapy-end model that identifies the optimal time point to stop anti-TB therapy. a) Development of therapy outcome score (TOS) showing the volcano plot representing differentially expressed genes in healthy controls versus therapy-naïve drug-susceptible (DS)- and multidrug-resistant (MDR)-TB patients from the German identification cohorts (GIC). Genes that were significantly up- or down-regulated (significant two-fold or greater change after Benjamini-Hochberg correction) form the basis for the TOS development. b) Therapy progression score (TPS) development depicting penalising regression coefficient adjustment (y-axis) and the explained deviation as a function of log-λ (x-axis) for variable selection to identify genes that predict the remaining days of therapy that has been conducted in reality in all sample measurements from DS- and MDR-GIC TB patients. Each line represents one gene of interest and the genes shown in the plot were pre-selected by the initial lasso regression step. The initial data selection was carried out on the entire dataset with 44000 gene targets. c) End-of-therapy (EOT) list showing penalising regression coefficient adjustment (y-axis) and the explained deviation as a function of log-λ (x-axis) for variable selection to identify genes that classify between sample measurements in DS-GIC TB patients under therapy versus time points at the end of relapse-free therapy in DS-GIC TB patients. Each line represents one gene of interest and the gene targets shown in the plot were pre-selected by the initial lasso regression to reduce the number of genes of interest. d) Therapy-end model (TB22). Implementing the gene scores (TOS and TPS) and the EOT list into a machine-learning algorithm model (random forest), a final simplified therapy-end model for the calculation of EOT time points was developed via a generalised linear model. The initial therapy-end model evaluation was carried out on data from DS-GIC TB patients. The receiver operating characteristic curve shows the therapy-end model’s classification accuracy in the independent dataset of DS German validation cohort (GVC) TB patients (area under the curve (AUC) 0.937, 95% CI 0.899–0.976). The therapy-end model was further applied to patients with MDR-TB from the GIC, GVC and from the Romanian validation cohort.
TABLE 2.
Comparison of the 22-RNA gene therapy-end model (TB22) with published scores and signatures to identify the relapse-free end of therapy in the German validation cohort
| AUC (95% CI) | Figure 5 label | p-value of ROC curve compared to 22-RNA gene therapy-end model ROC curve | |
|---|---|---|---|
|
| |||
| TB22 | 0.94 (0.90–0.98) | a | |
| Anderson et al., 43 genes [20] | 0.77 (0.68–0.85) | b | 0.007 |
| Berry et al., 87 genes [21] | 0.68 (0.57–0.78) | c | <0.001 |
| Kaforou et al., 27 genes [22] | 0.81 (0.74–0.89) | d | 0.047 |
| Kaforou et al., 44 genes [22] | 0.74 (0.64–0.84) | e | 0.023 |
| Kaforou et al., 53 genes [22] | 0.79 (0.70–0.88) | f | 0.043 |
| Laux da Costa et al., 3 genes [23] | 0.79 (0.70–0.88) | g | 0.045 |
| Maertzdorf et al., 3 genes [24] | 0.76 (0.66–0.86) | h | 0.008 |
| Penn-Nicholson et al., 6 genes [25] | 0.69 (0.59–0.80 | i | 0.001 |
| Sambarey et al., 10 genes [26] | 0.75 (0.65–0.84) | j | 0.006 |
| Singhania et al., 20 genes [27] | 0.71 (0.61–0.80) | k | <0.001 |
| Suliman et al., 4 genes [28] | 0.65 (0.54–0.76) | l | <0.001 |
| Sutherland et al., 4 genes [29] | 0.56 (0.45–0.67) | m | <0.001 |
| Sweeney et al., 3 genes [30] | 0.75 (0.65–0.84) | n | 0.002 |
| Thompson et al., 9 genes [13] | 0.81 (0.71–0.89) | o | 0.048 |
| Thompson et al., 13 genes [13] | 0.62 (0.51–0.73) | P | <0.001 |
| Thompson et al., 32 genes [13] | 0.65 (0.54–0.76) | q | <0.001 |
| Zak et al., 16 genes [31] | 0.78 (0.70–0.87) | r | 0.041 |
AUC: area under the curve; ROC: receiver operating characteristic.
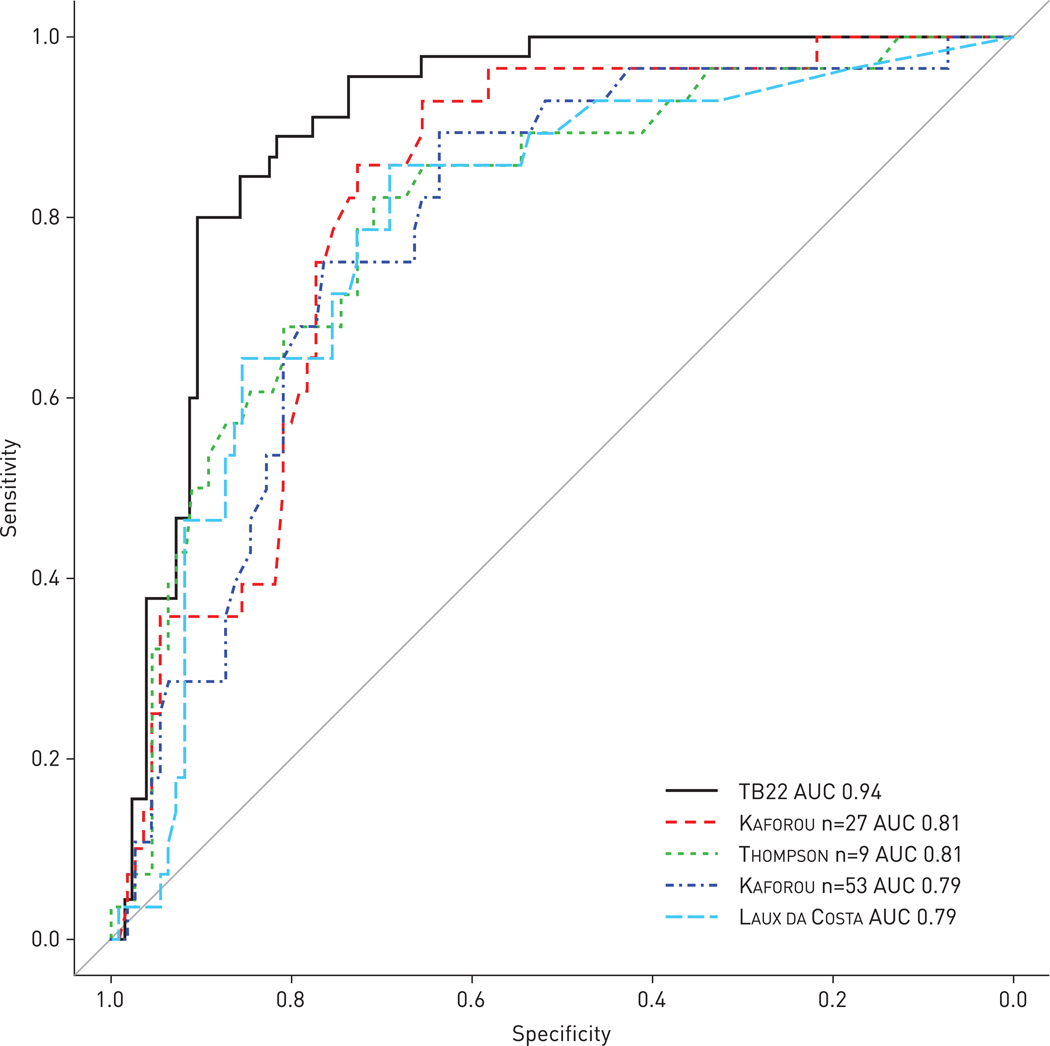
FIGURE 2.
Receiver operating characteristic curve for the therapy-end model classification in drug-susceptible TB patients from the German validation cohort. Receiver operating characteristic curve analysis showing the performance of the therapy-end model (TB22) and the five published signatures/scores with the highest areas under the curve (AUC) (table 2) for the identification of optimal end-of-therapy time points when compared to clinical therapy-end time points in drug-susceptible German validation cohort patients. Therapy-end model: AUC 0.937 (95% CI 0.899–0.976); Kaforou et al. [22], 27 genes: AUC 0.81 (95% CI 0.74–0.89); Thompson et al. [13], nine genes: AUC 0.81 (95% CI 0.71–0.89); Kaforou et al. [22], 53 genes: AUC 0.79 (95% CI 0.70–0.88), Laux da Costa et al. [23], three genes: AUC 0.79 (95% CI 0.70–0.88).
FIGURE 3.
Therapy-end model (TB22) scores for individual end-of-therapy time points over time for the five cohorts of patients with tuberculosis (TB). Scores for end of therapy by the TB22 over the time of anti-TB treatment for the five cohorts of drug-susceptible (DS)-TB and multidrug-resistant (MDR)-TB patients of a) German identification cohort (GIC), b) German validation cohort (GVC) and c) Romanian validation cohort (RVC) following the TB22. 6 months of therapy is the common time point of therapy end (TE) in DS-TB; 20 months of therapy represents the usual time point for TE in MDR-TB. Data are presented as smoothed mean lines based on shown calculation and 95% CI. Cut-off: TB22 threshold (p≥0.5) for relapse-free end of therapy.
The proportion of patients who reached the TB22 model’s threshold for the calculated end of therapy at the end of clinical anti-TB treatment was 100% in the DS-GIC and 97.4% in the DS-GVC. Patients who did not reach the threshold indicating a relapse-free end of therapy at month 6 showed an increased time to M. tuberculosis sputum culture conversion when compared to those who did (median 68 days, IQR 50.0–126.0 days versus 46.0 days, 30.0–63.0 days; p=0.041). None of the patients in the MDR-GIC and MDR-GVC and only one patient (1.9%; culture conversion within 2 weeks) in the MDR-RVC reached the threshold for cure at 6 months. Following 15 months of therapy, the overall proportions of MDR-TB patients having reached cure according to the TB22 model were 84.6% in the MDR-GIC, 40% in the MDR-GVC and 88.5% in the MDR-RVC.
TB22 scores for all patients from the different cohorts were below the threshold at baseline (figure 4a). The majority of patients with DS-TB reached the TB22 threshold at 6 months while drug-resistant TB patients did not (figure 4e). Nearly all TB patients from the different cohorts reached the TB22 threshold at the end of clinical therapy (figure 4f). In addition, the model probabilities for TB22 were compared between patients with DS-TB and with MDR-TB at relevant bacteriologically defined end-points such as the individual time of sputum culture and smear microscopy conversion (figure 4c and d). TB22 scores were well below the threshold for both DS-TB and MDR-TB at these time points, but scores were significantly lower for patients with MDR-TB when compared to DS-TB patients in the GICs (median TB22 score at smear conversion DS-GIC p=0.21 versus MDR-GIC p=0.06, p=0.038; median TB22 score at culture conversion DS-GIC p=0.29 versus MDR-GIC p=0.04, p=0.007) and the GVCs (median TB22 score at smear conversion DS-GVC p=0.09 versus MDR-GVC p=0.01, p=0.040; median TB22 score at culture conversion DS-GVC p=0.29 versus MDR-GVC p=0.04, p=0.007). Of note, no patient with positive sputum culture result reached the threshold for end of therapy as classified by the model. When the model scores for therapy end were stratified for drug-resistance status in pooled data from the different cohorts, they showed low TB22 scores for therapy end at baseline and after 2 weeks of therapy, but scores above the threshold at clinical therapy-end time points (supplementary figure S4).
FIGURE 4.
Therapy-end model (TB22) scores for the different cohorts of patients with tuberculosis (TB) at relevant clinical time points. Violin plots with TB22 scores for drug susceptible (DS)-TB patients from the German identification cohort (GIC) and the German validation cohort (GVC), and for multidrug-resistant (MDR)-TB patients from the GIC, the GVC and the Romanian validation cohort (RVC) at different time points during therapy: a) at therapy start; b) after 14 days of therapy; c) at smear conversion; d) at culture conversion; e) at 6 months of therapy; and f) at individual therapy ends. Cut-off: TB22 threshold (p≥0.5) for relapse-free end of therapy; all values below the threshold indicate an ongoing need for anti-TB therapy. There were no smear or culture conversion data for the MDR-RVC.
The calculated therapy durations did not differ significantly from observed durations for the DS-GIC patients (median calculated 175.0 days versus observed 184.0 days, p=0.104), but they did for the DS-GVC group (median calculated 225 versus observed 273.0 days, p=0.001), which could be explained by the larger gaps between sampling time points, or higher bacillary burden at baseline. Calculated therapy durations were significantly shorter compared to those observed in patients of the MDR-GIC (median calculated 420.0 days versus observed 638 days, p=0.001) and the MDR-GVC group (median calculated 430.0 days versus observed 641 days, p<0.001). In addition, calculated therapy durations in MDR-RVC patients were significantly shorter than the observed durations (median calculated 450.0 versus observed 611.0 days, p=0.001). For patients in the MDR-GIC, this would have resulted in a median reduction of therapy duration by 218 days. In the MDR-GVC, therapy would have been reduced by a median of 211 days, and a median of 161 days in the MDR-RVC. According to the TB22 model, 32.9% of patients with MDR-TB who had a negative M. tuberculosis culture status at 6 months of therapy reached the TB22 threshold after 10 months; 69.5% were above the TB22 threshold after 15 months; and 97.6% were above the TB22 threshold after 20 months of treatment. Furthermore, in patients from the DS-GVC, 52.0% of patients who had a negative culture status at 2 months of anti-TB therapy had a TB22 status at month 6 of anti-TB treatment indicating cure. In contrast, 10.0% of patients who had a positive culture status at 2 months of anti-TB therapy had a TB22*+60 status at months 6 of anti-TB treatment, indicating cure.
We compared this model to publicly available RNA signatures and scores (table 2, figures 2 and 5) [13, 20–31]. While the model yielded an AUC of 0.94 (95% CI 0.90–0.98) to identify correct therapy durations in DS-GVC patients, the performance for other published markers was in the range of 0.56–0.81 only (table 2 and figure 2). Importantly, other published gene sets did not yield plausible end-of-therapy time points in DS- or MDR-GVC patients (figure 5).
FIGURE 5.
Comparison of the therapy-end model (TB22) with published RNA signatures and scores to identify end-of-therapy (TE) time points in drug-susceptible (DS) and multidrug-resistant (MDR)-tuberculosis (TB) patients from the German validation cohort (GVC). The therapy-end model and the other signatures were used to derive TE time points. Results are depicted for both patient groups over the course of treatment where probabilities ≥0.5 would be associated with successful therapy end. a) TB22; b) Anderson et al. [20], 43 genes; c) Berry et al. [21], 87 genes; d) Kaforou et al. [22], 27 genes; e) Kaforou et al. [22], 44 genes; f) Kaforou et al. [22], 53 genes; g) Laux da Costa et al. [23], three genes; h) Maertzdorf et al. [24], three genes; i) Penn-Nicholson et al. [25], six genes (risk 6 score); j) Sambarey et al. [26], 10 genes; k) Singhania et al. [27], 20 genes; I) Suliman et al. [28], four genes; m) Sutherland et al. [29], four genes; n) Sweeney et al. [30], three genes; o) Thompson et al. [13], nine genes; p) Thompson et al. [13], 13 genes; q) Thompson et al. [13], 32 genes; r) Zak et al. [31], 16 genes.
Discussion
Whole-blood-derived RNA transcriptomic analysis in samples from two cohorts of TB patients in Germany, one with DS-TB and one with MDR-TB, yielded a 22-gene RNA therapy-end model (TB22) that indicates individual therapy durations associated with 1-year post-end-of-treatment relapse-free cure. This model was subsequently applied to two independent validation cohorts of patients with DS-TB and MDR-TB from Germany and a third validation cohort of patients with MDR-TB from Romania. The TB22 model provides individual scores for cure-associated end-of-therapy time points at any given moment throughout therapy, therefore providing unique data for therapy monitoring. Additionally, the comparison of the model to presently published RNA signatures or scores showed superiority in identifying end-of-therapy time points.
Transcriptional signatures for the prediction of progression to active diseases, the diagnosis of TB and early responses to anti-TB therapy in patients with DS-TB have been published [12, 28, 31]. In addition, clinical therapy outcomes, including recurrent disease, have been predicted by published RNA signatures [12, 13, 25], which were also compared to the TB22 model in this work. In contrast to these studies, the model described here was able to indicate individual therapy durations among patients with DS-TB and MDR-TB. Compared to most other published marker combinations, our findings were affirmed by considering various established clinical end-points such as smear and culture status, radiological findings and strict outcome criteria [14, 15, 32], which include a follow-up period of 1 year after completion of therapy to capture disease recurrence. In contrast to the other signatures included in the comparison, the model was specifically trained to identify end-of-therapy time points; this distinction explains the model’s superior performance when compared to other published signatures that were mainly developed to predict the future onset of disease and to diagnose active TB rather than for the conduct of individualised therapy durations [13, 20–31].
The genes included in the TB22 model are involved in different functional signalling pathways and cannot be connected to a single functional background. All genes that are part of the TB22 model, except KCNJ1-AS1, PDE4D, TMFRSF21 and A_33_P33271041, were previously described as part of host responses to TB [21, 22, 27, 33–40]. The genes that were identified for the TB22 model belong to several signalling cascades (e.g. related to metabolism, cell signalling, DNA repair and RNA transport), which reflects the complexity of individual treatment responses for the host. This can be interpreted as a strength of the TB22 model, since it does not depend on a single pathway only.
Therapy responses in patients with TB are usually evaluated by serial sputum culture sampling, which are not accessible during later stages of therapy in most cases. Therefore, culture is not an accurate marker to guide individualised therapy durations [41]. Of note, the score levels for cure classified by this model at defined biological time points, i.e. sputum smear or culture conversion, were comparable in patients with DS-TB and MDR-TB.
Our model yielded shorter treatment durations for most patients with MDR-TB enrolled in this study. There have been standardised approaches recommended for a shorter MDR-TB treatment regimen with therapy durations of 9–11 months [42]. This regimen has been utilised in patients with MDR-TB globally leading to successful outcomes in a high proportion of study patients [43]. However, M. tuberculosis isolates from European patients with MDR-TB frequently carry second-line drug-resistance against core drugs included in the shorter MDR-TB regimen; hence, the regimen’s use among European patients is severely limited [8]. Standardised therapies have been shown to lead to higher proportions of treatment failure and disease relapse in settings with high proportions of drug resistance when compared to individualised therapy regimens [44]. Therefore, tailored therapies informed by comprehensive drug-resistance testing may be a more promising approach to design effective MDR-TB drug regimens [15, 45]. The model described herein can add substantial value to the individualised therapy approach since the drug regimens’ effect can be monitored and individual durations can be precisely identified. Individualised durations largely depend on the bacterial load, the host constitution, the pathogen’s resistance pattern and the availability of drugs. RNA signature-guided individualised therapy with shorter treatment duration can potentially avert disease recurrence, lessen adverse events, improve compliance and reduce overall cost for TB treatment, particularly among patients with MDR-TB. Future clinical evaluation of individualised therapy durations in patients with TB requires comparative studies such as a noninferiority approach, which has demonstrated the general usefulness of shorter MDR-TB treatment regimens [43]. Importantly, the full impact of RNA signature-guided individual therapies cannot be realised without the development of an affordable point-of-care assay and platform amenable to implementation in high-burden, low-income countries.
In clinical practice, most patients treated for DS-TB using the standard four-drug regimen are cured before completing 6 months of therapy [46]. This study was designed to identify and validate biomarkers for individualised therapy durations in patients with MDR-TB, not in patients with drug-susceptible disease. Therefore, the sampling schedule did not include fixed study visits between months 4 and 6 of anti-TB therapy to detect possible end-of-therapy time points in patients with drug-susceptible TB. A more frequent sampling strategy could have provided data to calculate more-precise end-of-therapy time points for patients with DS-TB possibly indicating shorter durations of therapy.
The TB22 model was mainly based on the outcome definitions provided by the TBnet criteria [14, 15, 32]. The model’s performance to discriminate between cure and failure in this study was limited to those patients who had a negative or positive M. tuberculosis culture status at 6 months of therapy [14] since we did not observe patients experiencing relapse within 1 year of post-treatment follow-up. One of the advantages of the TBnet treatment outcome definitions, in contrast to WHO treatment outcome definitions, is that they evaluate the parameter “cure” 1 year after the end of therapy and thus also consider relapse within this period [14].
Our study has several limitations. The study population lacks heterogeneity since it was mainly conducted in Caucasian patients and did not include people living with HIV, where RNA expression data analysis may yield different results. In addition, the overall sample size of the study was modest. Nonetheless, patients from this prospective multicentre trial had an in-depth clinical and bacteriological observational follow-up schedule with complete transcriptomic data for all patients involved.
In conclusion, we prospectively identified and validated a host 22-gene RNA-based model that may predict individual treatment durations for patients treated against TB. Application of this model may potentially shorten treatment duration in the majority of patients with MDR-TB. The model’s translation into clinical practice will require further clinical evaluation in large studies and the development of an implementable platform to support feasibility in resource-limited settings.
Supplementary Material
Acknowledgements:
We thank Jessica Hofmeister, Franziska Daduna, Sandra Nyenhuis, Frauke Koops, Lasse Möller and Jasmin Tiebach (Division of Clinical Infectious Diseases, Research Center Borstel, Borstel, Germany) for laboratory work. We thank Cordula Ehlers, Nelleke Smitsman and Susanne Dox (Division of Clinical Infectious Diseases, Research Center Borstel) for study and data management.
This work is registered at ClinicalTrials.gov as NCT02597621. RNA data is publicly available on the Gene Expression Omnibus database (GSE147690, GSE147689, GSE147691).
The 22-gene model has been filed for patenting (EP20158652.6).
Support statement:
This study was supported by the German Center for Infection Research (DZIF) and the German Center for Lung Research (DZL). F.P. Maurer reports grant support from Joachim Herz Foundation (Biomedical Physics of Infection Consortium). The funders had no influence on the study results. Funding information for this article has been deposited with the Crossref Funder Registry.
Conflict of interest:
J. Heyckendorf reports no conflicts of interest; the Research Center Borstel has a patent EP20158652.6. S. Marwitz has nothing to disclose. M. Reimann has nothing to disclose. K. Avsar has nothing to disclose. A.R. DiNardo has nothing to disclose. G. Günther has nothing to disclose. M. Hoelscher has nothing to disclose. E. Ibraim reports grants, personal fees and non-financial support from Deutsches Zentrum fur Infektionsforschung (DZIF), during the conduct of the study. B. Kalsdorf has nothing to disclose. S.H.E. Kaufmann has nothing to disclose. I. Kontsevaya reports grants from German Center for Infectious Research (DZIF) and German Center for Lung Research (DZL), during the conduct of the study; grants from EU Horizon 2020 AnTBiotic (733079) and CARE (825673), outside the submitted work. F. van Leth has nothing to disclose. A.M. Mandalakas has nothing to disclose. F.P. Maurer has nothing to disclose. M. Müller has nothing to disclose. D. Nitschkowski has nothing to disclose. I.D. Olaru has nothing to disclose. C. Popa has nothing to disclose. A. Rachow has nothing to disclose. T. Rolling has nothing to disclose. J. Rybniker has nothing to disclose. H.J.F. Salzer has nothing to disclose. P. Sanchez-Carballo has nothing to disclose. M. Schuhmann has nothing to disclose. D. Schaub has nothing to disclose. V. Spinu reports grants, personal fees and non-financial support from Deutsches Zentrum fur Infektionsforschung (DZIF), during the conduct of the study. I. Suárez has nothing to disclose. E. Terhalle has nothing to disclose. M. Unnewehr has nothing to disclose. J. Weiner 3rd has nothing to disclose. T. Goldmann has a patent pending. C. Lange reports personal fees for lectures from Chiesi, Gilead, Janssen, Lucane, Novartis, Oxoid, Berlin Chemie and Thermofisher, and personal fees for meeting attendance from Oxford Immunotec, outside the submitted work.
References
- 1.World Health Organization (WHO). Global Tuberculosis Report 2019. Geneva, WHO, 2019. Available from: www.who.int/teams/global-tuberculosis-programme/tb-reports [Google Scholar]
- 2.Günther G, Gomez GB, Lange C, et al. Availability, price and affordability of anti-tuberculosis drugs in Europe: a TBNET survey. Eur Respir J 2015; 45:1081–1088. [DOI] [PubMed] [Google Scholar]
- 3.Lan Z, Ahmad N, Baghaei P, et al. Drug-associated adverse events in the treatment of multidrug-resistant tuberculosis: an individual patient data meta-analysis. Lancet Respir Med 2020; 8: 383–394. [DOI] [PMC free article] [PubMed] [Google Scholar]
- 4.Ahmad N, Ahuja SD, Akkerman OW, et al. Treatment correlates of successful outcomes in pulmonary multidrug-resistant tuberculosis: an individual patient data meta-analysis. Lancet 2018; 392: 821–834. [DOI] [PMC free article] [PubMed] [Google Scholar]
- 5.World Health Organization (WHO). WHO Treatment Guidelines for Drug-Resistant Tuberculosis, 2016 Update. Geneva, WHO, 2016. Available from: www.who.int/publications/i/item/9789241549639 [DOI] [PMC free article] [PubMed] [Google Scholar]
- 6.Ahuja SD, Ashkin D, Avendano M, et al. Multidrug resistant pulmonary tuberculosis treatment regimens and patient outcomes: an individual patient data meta-analysis of 9,153 patients. PLoS Med 2012; 9: e1001300. [DOI] [PMC free article] [PubMed] [Google Scholar]
- 7.World Health Organization (WHO). Rapid Diagnostic Test and Shorter, Cheaper Treatment Signal New Hope for Multidrug-Resistant Tuberculosis Patients. Geneva, WHO, 2016. [Google Scholar]
- 8.Lange C, Duarte R, Frechet-Jachym M, et al. Limited benefit of the new shorter multidrug-resistant tuberculosis regimen in Europe. Am J Respir Crit Care Med 2016; 194:1029–1031. [DOI] [PubMed] [Google Scholar]
- 9.Heyckendorf J, Olaru ID, Ruhwald M, et al. Getting personal perspectives on individualized treatment duration in multidrug-resistant and extensively drug-resistant tuberculosis. Am J Respir Crit Care Med 2014; 190: 374–383. [DOI] [PubMed] [Google Scholar]
- 10.Bastos ML, Lan Z, Menzies D. An updated systematic review and meta-analysis for treatment of multidrug-resistant tuberculosis. Eur Respir J 2017; 49:1600803. [DOI] [PubMed] [Google Scholar]
- 11.Innovative Medicines Initiative (IMI). Webinar: IMI2 - Call 20. Academia and Industry United Innovation and Treatment for Tuberculosis (UNITE4TB). 23 January, 2020. www.imi.europa.eu/sites/default/files/events/2020/Webinars_IMI2_Call20/UNITE4TB_allslides.pdf
- 12.Bloom CI, Graham CM, Berry MP, et al. Detectable changes in the blood transcriptome are present after two weeks of antituberculosis therapy. PLoS One 2012; 7: e46191. [DOI] [PMC free article] [PubMed] [Google Scholar]
- 13.Thompson EG, Du Y, Malherbe ST, et al. Host blood RNA signatures predict the outcome of tuberculosis treatment. Tuberculosis 2017; 107: 48–58. [DOI] [PMC free article] [PubMed] [Google Scholar]
- 14.Günther G, Lange C, Alexandru S, et al. Treatment outcomes in multidrug-resistant tuberculosis. N Engl J Med 2016; 375: 1103–1105. [DOI] [PubMed] [Google Scholar]
- 15.Heyckendorf J, van Leth F, Kalsdorf B, et al. Relapse-free cure from multidrug-resistant tuberculosis in Germany. Eur Respir J 2018; 51:1702122. [DOI] [PubMed] [Google Scholar]
- 16.Heyckendorf J, van Leth F, Avsar K, et al. Treatment responses in multidrug-resistant tuberculosis in Germany. Int J Tuberc Lung Dis 2018; 22: 399–406. [DOI] [PubMed] [Google Scholar]
- 17.Schaberg T, Bauer T, Castell S, et al. Empfehlungen zur Therapie, Chemoprävention und Chemoprophylaxe der Tuberkulose im Erwachsenen- und Kindesalter. Deutsches Zentralkomitee zur Bekämpfung der Tuberkulose (DZK), Deutsche Gesellschaft für Pneumologie und Beatmungsmedizin (DGP). [Recommendations for therapy, chemoprevention and chemoprophylaxis of TB in adults and children. German Central Committee against Tuberculosis (DZK), German Respiratory Society (DGP)]. Pneumologie 2012; 66: 133–171. [DOI] [PubMed] [Google Scholar]
- 18.Schaberg T, Bauer T, Brinkmann F, et al. S2k-Leitlinie: Tuberkulose im Erwachsenenalter. Eine Leitlinie zur Diagnostik und Therapie, einschließlich Chemoprävention und -prophylaxe des Deutschen Zentralkomitees zur Bekämpfung der Tuberkulose e.V. im Auftrag der Deutschen Gesellschaft für Pneumologie und Beatmungsmedizin e.V. [Tuberculosis guideline for adults - guideline for diagnosis and treatment of tuberculosis including LTBI testing and treatment of the German Central Committee (DZK) and the German Respiratory Society (DGP)]. Pneumologie 2017; 71: 325–397. [DOI] [PubMed] [Google Scholar]
- 19.World Health Organization (WHO). Definitions and Reporting Framework for Tuberculosis - 2013 revision (updated December 2014). Geneva, WHO, 2014. [Google Scholar]
- 20.Anderson ST, Kaforou M, Brent AJ, et al. Diagnosis of childhood tuberculosis and host RNA expression in Africa. N Engl J Med 2014; 370: 1712–1723. [DOI] [PMC free article] [PubMed] [Google Scholar]
- 21.Berry MP, Graham CM, McNab FW, et al. An interferon-inducible neutrophil-driven blood transcriptional signature in human tuberculosis. Nature 2010; 466: 973–977. [DOI] [PMC free article] [PubMed] [Google Scholar]
- 22.Kaforou M, Wright VJ, Oni T, et al. Detection of tuberculosis in HIV-infected and -uninfected African adults using whole blood RNA expression signatures: a case-control study. PLoS Med 2013; 10: e1001538. [DOI] [PMC free article] [PubMed] [Google Scholar]
- 23.Laux da Costa L, Delcroix M, Dalla Costa ER, et al. A real-time PCR signature to discriminate between TB and other pulmonary diseases. Tuberculosis 2015; 95: 421–425. [DOI] [PMC free article] [PubMed] [Google Scholar]
- 24.Maertzdorf J, McEwen G, Weiner J, et al. Concise gene signature for point-of-care classification of tuberculosis. EMBO Mol Med 2016; 8: 86–95. [DOI] [PMC free article] [PubMed] [Google Scholar]
- 25.Penn-Nicholson A, Mbandi SK, Thompson E, et al. RISK6, a 6-gene transcriptomic signature of TB disease risk, diagnosis and treatment response. Sri Rep 2020; 10: 8629. [DOI] [PMC free article] [PubMed] [Google Scholar]
- 26.Sambarey A, Devaprasad A, Mohan A, et al. Unbiased identification of blood-based biomarkers for pulmonary tuberculosis by modeling and mining molecular interaction networks. EBioMedicine 2017; 15:112–126. [DOI] [PMC free article] [PubMed] [Google Scholar]
- 27.Singhania A, Verma R, Graham CM, et al. A modular transcriptional signature identifies phenotypic heterogeneity of human tuberculosis infection. Nat Commun 2018; 9: 2308. [DOI] [PMC free article] [PubMed] [Google Scholar]
- 28.Suliman S, Thompson E, Sutherland J, et al. Four-gene pan-African blood signature predicts progression to tuberculosis. Am J Respir Crit Care Med 2018; 197:1198–1208. [DOI] [PMC free article] [PubMed] [Google Scholar]
- 29.Sutherland JS, Loxton AG, Haks MC, et al. Differential gene expression of activating Fcγ receptor classifies active tuberculosis regardless of human immunodeficiency virus status or ethnicity. Clin Microbiol Infect 2014; 20: 0230–0238. [DOI] [PubMed] [Google Scholar]
- 30.Sweeney TE, Braviak L, Tato CM, et al. Genome-wide expression for diagnosis of pulmonary tuberculosis: a multicohort analysis. Lancet Respir Med 2016; 4: 213–224. [DOI] [PMC free article] [PubMed] [Google Scholar]
- 31.Zak DE, Penn-Nicholson A, Scriba TJ, et al. A blood RNA signature for tuberculosis disease risk: a prospective cohort study. Lancet 2016; 387: 2312–2322. [DOI] [PMC free article] [PubMed] [Google Scholar]
- 32.Chesov D, Alexandru S, Crudu V, et al. Failing treatment of multidrug-resistant tuberculosis: a matter of definition. Int J Tuberc Lung Dis 2019; 23:522–524. [DOI] [PubMed] [Google Scholar]
- 33.Scriba TJ, Penn-Nicholson A, Shankar S, et al. Sequential inflammatory processes define human progression from M. tuberculosis infection to tuberculosis disease. PLoS Pathog 2017; 13: el006687. [DOI] [PMC free article] [PubMed] [Google Scholar]
- 34.Alam A, Imam N, Ahmed MM, et al. Identification and classification of differentially expressed genes and network meta-analysis reveals potential molecular signatures associated with tuberculosis. Front Genet 2019; 10: 932. [DOI] [PMC free article] [PubMed] [Google Scholar]
- 35.Barber DL, Mayer-Barber KD, Feng CG, et al. CD4 T cells promote rather than control TB in the absence of PD-l-mediated inhibition. J Immunol 2011; 186:1598–1607. [DOI] [PMC free article] [PubMed] [Google Scholar]
- 36.Bloom CI, Graham CM, Berry MPR, et al. Transcriptional blood signatures distinguish pulmonary tuberculosis, pulmonary sarcoidosis, pneumonias and lung cancers. PLoS One 2013; 8: e70630. [DOI] [PMC free article] [PubMed] [Google Scholar]
- 37.Dupnik KM, Bean JM, Lee MH, et al. Blood transcriptomic markers of Mycobacterium tuberculosis load in sputum. Int J Tuberc Lung Dis 2018; 22: 950–958. [DOI] [PMC free article] [PubMed] [Google Scholar]
- 38.Chen Y, Cao S, Sun Y, et al. Gene expression profiling of the TRIM protein family reveals potential biomarkers for indicating tuberculosis status. Microb Pathog 2018; 114:385–392. [DOI] [PubMed] [Google Scholar]
- 39.Burel JG, Babor M, Pomaznoy M, et al. Host transcriptomics as a tool to identify diagnostic and mechanistic immune signatures of tuberculosis. Front Immunol 2019; 10: 221. [DOI] [PMC free article] [PubMed] [Google Scholar]
- 40.Hibbert L, Pflanz S, De Waal Malefyt R, et al. IL-27 and IFN-α signal via Stat1 and Stat3 and induce T-Bet and IL-12Rβ2 in naive T cells. J Interferon Cytokine Res 2003; 23: 513–522. [DOI] [PubMed] [Google Scholar]
- 41.Kurbatova EV, Cegielski JP, Lienhardt C, et al. Sputum culture conversion as a prognostic marker for end-of-treatment outcome in patients with multidrug-resistant tuberculosis: a secondary analysis of data from two observational cohort studies. Lancet Respir Med 2015; 3: 201–209. [DOI] [PMC free article] [PubMed] [Google Scholar]
- 42.World Health Organization (WHO). WHO Operational Handbook on Tuberculosis, Module 4: Treatment - Drug-Resistant Tuberculosis Treatment. Geneva, WHO, 2020. Available from: www.who.int/publications/i/item/9789240006997 [Google Scholar]
- 43.Nunn AJ, Phillips PPJ, Meredith SK, et al. A trial of a shorter regimen for rifampin-resistant tuberculosis. N Engl J Med 2019; 380: 1201–1213. [DOI] [PubMed] [Google Scholar]
- 44.Abidi S, Achar J, Assao Neino MM, et al. Standardised shorter regimens versus individualised longer regimens for rifampin- or multidrug-resistant tuberculosis. Eur Respir J 2020; 55:1901467. [DOI] [PubMed] [Google Scholar]
- 45.Heyckendorf J, Andres S, Köser CU, et al. What is resistance? Impact of phenotypic versus molecular drug resistance testing on therapy for multi- and extensively drug-resistant tuberculosis. Antimicrob Agents Chemother 2018; 62: e01550–17. [DOI] [PMC free article] [PubMed] [Google Scholar]
- 46.Fox W, Ellard GA, Mitchison DA. Studies on the treatment of tuberculosis undertaken by the British Medical Research Council tuberculosis units, 1946–1986, with relevant subsequent publications. Int J Tuberc Lung Dis 1999; 3: Suppl. 2, S231–S279. [PubMed] [Google Scholar]
Associated Data
This section collects any data citations, data availability statements, or supplementary materials included in this article.





