Abstract
Purpose
Ophthalmic drugs typically last only around 15 minutes due to rapid elimination from tear flow, with only about 2% absorption, while the rest may enter the nasal mucosa, potentially causing systemic side effects. Diatoms, with properties like unique structure, abundance, low cost, heat resistance, non-toxicity, and easy access, present a promising solution for sustained drug delivery. This study aimed to prepare and evaluate an ocular suspension of diclofenac sodium loaded onto modified diatoms.
Methods
Diatoms were modified with aluminum sulfate solution, followed by loading of diclofenac sodium. Characteristics of diatoms before and after modification—particle size, surface charge, and drug loading—were analyzed using electron microscopy, FTIR (Fourier Transform Infrared Spectroscopy), XRD (X-ray Diffraction), and elemental mapping. BET (Brunauer–Emmett–Teller (Surface Area Analysis) testing provided adsorption data, while DSC (Differential Scanning Calorimetry) assessed thermal properties. An in vitro release study using a dialysis bag in artificial tear fluid examined drug release over 8 hours. Drug content was determined by spectrophotometry, and cytotoxicity on MDA-MB-231 and HEP-G2 cell lines was evaluated at different diatom concentrations.
Results
SEM (Scanning Electron Microscopy) imaging showed no topographic changes post-modification. BET and XRD analyses confirmed drug loading and structural stability, while FTIR indicated involvement of carboxylate groups. TGA and DSC showed stable thermal properties. Elemental mapping confirmed increased surface elements and high drug loading. Modified diatoms showed sustained drug release and no significant cytotoxicity differences.
Conclusion
Modified diatoms demonstrated higher drug loading and sustained release, indicating their potential for safe and effective ocular drug delivery. Further studies are recommended to confirm these findings.
Keywords: Ocular formulation, Diclofenac sodium, Diatomite, Ocular drug delivery, Porous-silica, Sustained release
Introduction
Ocular drug delivery remains a complex challenge due to the eye’s natural defence mechanisms, such as the tear film and nasolacrimal drainage system, which limit the retention and bioavailability of topically administered drugs. It is reported that less than 5% of topically applied drugs effectively penetrate the cornea and reach intraocular tissues, with most being eliminated within 15 minutes due to tear flow and systemic absorption through the nasal mucosa [1–3]. This rapid clearance significantly reduces therapeutic efficacy and necessitates frequent dosing, which can lead to compliance issues and potential side effects [4, 5].
The ideal ocular drug delivery system should maintain a therapeutic concentration of the drug at the target site for an extended period, reduce dosing frequency, and minimize systemic absorption to avoid adverse effects. Various strategies, including the use of mucoadhesive polymers and in situ gelling systems, have been explored to enhance drug retention on the ocular surface [6, 7]. Among the available therapeutic agents, nonsteroidal anti-inflammatory drugs (NSAIDs) like diclofenac sodium are widely used for treating ocular inflammation and pain. However, due to its poor solubility and limited retention time, diclofenac sodium requires advanced delivery methods to improve its therapeutic profile [8–10].
Diatoms, which are single-celled algae with silica-based cell walls, present a promising solution for controlled drug delivery in ocular applications due to their unique porous structure, high surface area, biocompatibility, and modifiable surfaces [11–13]. The natural silica shells of diatoms can be chemically modified to enhance drug loading and sustained release capabilities, which makes them ideal carreies for developing sustained-release ophthalmic formulations [14]. Studies have shown that the functional groups on the surface of diatom frustules can be altered to improve drug loading capacity and control the release profile, making them suitable carriers for both hydrophilic and lipophilic drugs [15].
Recent studies have demonstrated the potential of diatom-based systems in ophthalmic drug delivery. For instance, one study highlighted the biocompatibility and sustained release properties of diatom biosilica in ocular formulations, showing enhanced drug retention on the corneal surface [13]. Similarly, Another study explored the use of diatoms for controlled drug release, reporting prolonged therapeutic effects and reduced dosing frequency compared to conventional formulations [16]. Additionally, bioactive molecules were successfully incorporated into diatom-derived carriers, demonstrating their ability to enhance drug stability and bioavailability [17]. These findings support the application of diatom-based drug delivery systems in ophthalmology, reinforcing the rationale for the present study, which aims to optimize drug loading and release characteristics through chemical modifications of diatoms.
This study aims to evaluate the feasibility of using chemically modified diatoms as a carrier for diclofenac sodium in an ophthalmic suspension. Specifically, we hypothesize that modification of diatoms will lead to an increased drug loading capacity, prolonged drug retention on the ocular surface, and a more sustained drug release profile over an extended period. These improvements could potentially reduce the required dosing frequency and enhance therapeutic efficacy compared to conventional ocular formulations.
Methods and materials
Materials
The study used diatoms, which underwent purification, heat treatment at 550 °C for four hours, and sieving to obtain particles smaller than 75 µm. Aluminum sulfate hexadecahydrate (Al₂(SO₄)₃ · 16 H₂O), sodium hydroxide, and potassium phosphate monobasic (sourced from Sigma) were used in the modification process. Additionally, absolute ethanol and diclofenac sodium were used for drug-loading processes. Distilled water, sodium acetate, calcium chloride, sodium chloride, and sodium bicarbonate (all supplied by Merck, Germany) were also included among the reagents necessary for the experimental procedures. The diatoms used in this study were sourced from Iranian Nanomaterials Pioneers Company (Iran). Prior to use, they underwent purification through heat treatment at 550 °C for four hours, followed by sieving to obtain particles smaller than 75 µm, ensuring consistency in size and structure. Diclofenac sodium (purity ≥ 99%) was purchased from Darou Pakhsh Pharmaceutical Mfg. Co. (Iran). Other reagents, including aluminum sulfate hexadecahydrate (Al₂(SO₄) ₃ · 16 H₂O), sodium hydroxide (NaOH), and potassium phosphate monobasic (KH₂PO₄), were obtained from Samchun Chemicals (Iran) and were used without further purification. For the artificial tear fluid preparation, sodium acetate, calcium chloride, sodium chloride, and sodium bicarbonate were obtained from Kimia Pars Chemical Company (Iran). All chemicals and reagents were of analytical grade to ensure accuracy in drug release testing and formulation development.
Equipment
The research involved the use of various instruments and equipment, including a centrifuge from Eppendorf (Germany), a nanosizer and zetasizer from Malvern, and a magnetic stirrer from Schott. Pipettors with a range of 100–1000 µL were also used, along with an oven from Memmert, and a spectrophotometer provided by Jenway. For accurate mass measurements, a Sartorius balance was employed. Additionally, the procedures required a dialysis membrane with a 12,000 Da cut-off, volumetric flasks, and a vortex mixer from Abincol. A shaker, pH meter, and other necessary laboratory tools completed the list of equipment used throughout the study.
Experimental procedures
Diatom modification
500 mg of diatoms were suspended in 50 mL of an aqueous solution of aluminum sulfate (0.02 g/mL of Al₂(SO₄)₃ · 16 H₂O) on a magnetic stirrer. To complete the modification process, 60 mL of a 0.1 M NaOH solution was gradually added while stirring. After 6 hours of stirring, the suspension was centrifuged at 3000 rpm to precipitate the modified diatoms, which were then dried in an oven at 40 °C for 6 hours and ground to a powder. Analyses using Scanning Electron Microscopy (SEM) and Fourier Transform Infrared Spectroscopy (FTIR) were performed to characterize the modified diatoms. The diatoms were subjected to heat treatment at 550 °C for four hours to remove organic impurities, enhance structural stability, and increase surface area for drug adsorption. This temperature was chosen based on previous studies, which indicate that heating diatoms above 500 °C effectively eliminates residual biological material without compromising the integrity of the silica frustules. Excessively high temperatures (e.g., > 600 °C) can lead to structural collapse or sintering of the porous framework, reducing the available surface area for drug loading. By maintaining the treatment at 550 °C, we ensured optimal porosity and thermal stability, which are crucial for effective drug adsorption and sustained release. The concentration of aluminum sulfate (0.02 g/mL) was chosen based on preliminary studies indicating that this ratio provides effective surface modification without excessive aggregation or precipitation. The 6-hour stirring period was selected to ensure thorough interaction between diatoms and the modifying agent, allowing sufficient time for aluminum ions to bind to the silica surface and enhance drug loading capacity. Stirring beyond this duration did not significantly improve modification efficiency but increased the risk of diatom aggregation. The temperature of 40 °C for drying was selected to facilitate solvent evaporation while preventing structural degradation or pore collapse, ensuring the diatoms retained their porosity and adsorption capacity for drug loading.
Characterization of diatoms before and after drug adsorption
Scanning electron microscopy (SEM)
SEM, along with Energy-Dispersive X-ray Spectroscopy (EDS), was used to examine the morphology and chemical composition of the samples. The samples were mounted on aluminum holders with double-sided adhesive carbon tape and coated with a thin layer of gold prior to analysis. SEM was performed to examine the surface morphology of unmodified and modified diatoms. This analysis helps assess whether surface modification altered the porosity and structural integrity of the diatoms, which directly impacts drug loading and release efficiency.
Fourier transform infrared spectroscopy (FTIR)
FTIR spectra were recorded using attenuated total reflectance (ATR) on a Nicolet iS50 spectrometer, with a scan range of 4000–400 cm⁻¹ and a resolution of 2 cm⁻¹. Background scans were taken prior to sample scanning. Thermal Analysis was conducted using a Netzsch STA 409 EP (Selb, Germany) from 20 °C to 1000 °C at a heating rate of 10 °C/min in an inert atmosphere. FTIR spectroscopy was used to identify functional groups present on the diatom surface before and after modification. This analysis confirms whether chemical modification was successful and whether diclofenac sodium interacted with the diatom matrix through specific bonding mechanisms.
X-ray diffraction (XRD) analysis
XRD patterns were obtained with a D8 Advance X-ray Diffractometer. The parameters were set to scan between 2θ = 2 to 50°, with a step size of 0.02° and a total count time of 17.6 seconds per step. The data were processed using DIFFRAC Plus Commander v.2.6.1 software and analyzed using the PDF-2 database. XRD analysis was performed to determine the crystallinity of diclofenac sodium before and after loading onto diatoms. Changes in diffraction patterns indicate whether the drug remains in its crystalline form or transforms into an amorphous state upon adsorption, which affects its dissolution rate and release profile.
BET isotherm adsorption studies
BET analysis was used to study gas adsorption on the sample surfaces, allowing for estimation of surface area and pore characteristics. BET analysis was conducted to measure the surface area and pore volume of diatoms before and after modification. This characterization is essential to understand how modification affects porosity, which in turn influences drug adsorption and controlled release properties.
The formula used for the BET analysis of surface area is:
The BET equation used to determine the specific surface area of the diatoms is given as:
![]() |
where:
V is the volume of gas adsorbed at equilibrium pressure PPP,
Vm is the monolayer adsorbed gas volume,
P0 is the saturation pressure of the gas,
C is the BET constant, related to the energy of adsorption.
This equation describes multilayer adsorption and is used to calculate the specific surface area of the diatoms based on nitrogen adsorption measurements.
In vitro drug release studies
Preparation of drug-loaded diatoms
The preparation of diclofenac sodium-loaded diatoms was conducted using an adsorption method to ensure efficient drug loading. A stock solution of diclofenac sodium (4 mg/mL) was prepared by dissolving the drug in distilled water containing 10% (v/v) absolute ethanol and was further diluted to obtain working solutions ranging from 1 to 4 mg/mL. For drug loading, 0.05 g of unmodified diatoms (Dia) or modified diatoms (Modia) was added to 10 mL of the diclofenac solution in separate Erlenmeyer flasks and stirred at 200 rpm at room temperature to facilitate adsorption. After 6 hours of stirring, the suspension reached adsorption equilibrium and was centrifuged at 3000 rpm for 5 minutes to separate the drug-loaded diatoms from the supernatant. The remaining diclofenac concentration in the supernatant was measured using UV spectrophotometry at 275 nm to determine drug loading efficiency.
The drug loading capacity (DL%) was calculated using the following equation:
![]() |
where:
Wdrug loaded is the weight of diclofenac sodium adsorbed onto the diatoms,
Wtotal is the total weight of the drug-loaded diatoms.
This formula determines the percentage of drug incorporated into the diatom carriers relative to the total formulation weight, which is essential for assessing the efficiency of the drug delivery system.
Release testing
The in vitro drug release profile of diclofenac sodium from unmodified and modified diatoms was evaluated using a dialysis bag diffusion method in simulated artificial tear fluid. The artificial tear fluid was prepared by dissolving sodium chloride (0.67 g/L), sodium bicarbonate (0.20 g/L), and calcium chloride dihydrate (0.008 g/L) in distilled water, adjusting the pH to 7.4 to mimic physiological tear conditions. A dialysis membrane (molecular weight cut-off: 12,000 Da) was pre-soaked in distilled water at 70 °C for 1 hour to ensure permeability. For the drug release setup, 10 mg of drug-loaded diatoms (either unmodified or modified) was placed inside the pre-soaked dialysis membrane, which was tightly sealed and suspended in 50 mL of artificial tear fluid in a beaker. The system was maintained at 35 °C ± 0.5 °C under continuous stirring at 100 rpm to simulate ocular conditions. At predefined time intervals (0, 0.5, 1, 2, 4, 6, and 8 hours), 3 mL of release medium was withdrawn and immediately replaced with fresh artificial tear fluid to maintain sink conditions. The collected samples were filtered through a 0.22 µm membrane filter and analyzed using UV-Vis spectrophotometry at 275 nm to determine the concentration of released diclofenac sodium. The percentage of drug released was calculated using the equation below, where Ct is the cumulative amount of drug released at time t, and Ctotal is the total drug content in the sample. Drug release profiles were plotted as cumulative drug release (%) vs. time (hours) to compare the release kinetics of unmodified and modified diatoms, and further analyzed using zero-order, first-order, Higuchi, and Korsmeyer-Peppas models to determine the mechanism of drug release.
![]() |
Validation of the UV spectrophotometry method for diclofenac
Calibration curve construction
A calibration curve for diclofenac was established with concentrations of 1, 2.5, 5, 10, 20, 30, 60, and 80 mg/L, using spectrophotometric measurements at 275 nm. Data were analyzed using Origin software to confirm linearity.
Precision of UV spectroscopy
Five concentrations (5, 7.5, 10, 15, and 20 mg/mL) were measured in triplicate to calculate the precision as Relative Standard Deviation (RSD%), using the formula:
![]() |
Accuracy of UV spectroscopy
The accuracy was determined by measuring three replicates of five different concentrations on three separate days.
Sensitivity of UV spectroscopy
The Limit of Quantification (LOQ) and Limit of Detection (LOD) were calculated for a 5 µg/mL concentration based on three replicates using the following formulas:
![]() |
![]() |
Release testing procedure
A dialysis membrane with a 12,000 Da cut-off was soaked in water at 70 °C for an hour before use. Modified diatoms containing the drug were placed inside the membrane, which was submerged in artificial tear fluid at 35 °C. Release sampling was done every 30 minutes for 8 hours, measuring absorbance spectrophotometrically. The maximum absorption wavelength (λmax) of diclofenac sodium was determined to be 275 nm, which aligns with previously reported values in the literature. This value was confirmed by scanning a standard solution of diclofenac sodium (10 µg/mL) in a UV-Vis spectrophotometer (200–400 nm range), showing a strong absorbance peak at 275 nm. The calibration curve constructed in this section was used for quantifying diclofenac sodium concentrations in the in vitro drug release study (Section 2.4.2). UV-Vis spectrophotometry was used to quantify diclofenac sodium concentration in drug loading and release studies. The accuracy of this method ensures reliable measurement of drug content, which is critical for evaluating formulation performance.
In vitro cytotoxicity testing
The cytotoxicity of unmodified and modified diatoms was evaluated using MDA-MB-231 (human breast cancer) and HEP-G2 (human liver cancer) cell lines to assess their biocompatibility. The cell lines were obtained from the American Type Culture Collection (ATCC, USA) and were maintained under standard culture conditions in Dulbecco’s Modified Eagle Medium (DMEM) supplemented with 10% fetal bovine serum (FBS), 1% penicillin-streptomycin (100 U/mL), and 1% L-glutamine. The cells were incubated at 37 °C in a 5% CO₂ atmosphere under humidified conditions.
For the cytotoxicity assay, cells were seeded into 96-well plates at a density of 1 × 10⁴ cells per well and allowed to adhere for 24 hours. After adherence, cells were treated with different concentrations of diatoms (unmodified and modified) at 25, 50, 100, and 200 µg/mL for 24 and 48 hours, while control wells contained only culture medium without treatment. Following incubation, 20 µL of MTT reagent (5 mg/mL in PBS) was added to each well and incubated for 4 hours at 37 °C. The resulting formazan crystals were dissolved in 100 µL of dimethyl sulfoxide (DMSO), and absorbance was measured at 570 nm using a microplate reader to determine cell viability. The percentage of viable cells was calculated to assess the cytotoxic effects of the diatom formulations.
Results
Physicochemical characterization
SEM imaging findings
SEM microscopy and the morphology of the diatoms are depicted in Fig. 1. Column 1 (Dia) shows the typical skeletal structure of unmodified diatoms, with frustules exhibiting orderly pores on the surface, which are ideal for drug loading. In Column 2 (Modia), after modification, no significant topographical changes are observed, except for surface salt deposits. Column 3 (Dia + Dic) illustrates diatoms loaded with diclofenac, revealing slight occlusion of the pores, indicating a minimal drug load. In contrast, Column 4 (Modia + Dic) demonstrates modified diatoms loaded with diclofenac, showing extensive pore coverage, suggesting a significant drug load. A comparison of the columns confirms the presence of diclofenac on both types of diatoms, and between Columns 3 and 4, it is evident that the modification notably increased the drug loading capacity of the diatoms.
Fig. 1.
Confirms the effectiveness of modification, as the modified diatoms exhibit greater drug loading than the unmodified ones
Elemental mapping analysis
In the elemental mapping analysis, drug-loaded unmodified diatoms (Dia + Dic) were compared with drug-loaded modified diatoms (Modia + Dic). As shown in Fig. 2, the modified diatoms with diclofenac (Modia + Dic) display increased percentages of elements such as sulfur, oxygen, aluminum, and chlorine, confirming surface modification and increased drug loading on the modified diatoms.
Fig. 2.
Elemental Mapping Analysis test results for diatom + diclofenac (Dia + Dic) and modified diatom + diclofenac (Modia + Dic) samples
X-ray diffraction (XRD)
XRD diffraction patterns for diclofenac (Dic), unmodified diatoms (Dia), modified diatoms (Modia), drug-loaded unmodified diatoms (Dia + Dic), and drug-loaded modified diatoms (Modia + Dic) are presented in Fig. 3. The XRD pattern of the unmodified diatoms shows a typical silica structure with reflections at 2θ = 20–25°, confirming an amorphous hydrated silica (opal A) structure. Diffraction peaks at 2θ = 20.8, 26.6, and 36.5 correspond to quartz, while peaks at 2θ = 8.8, 17.7, 19.7, 25.4, 26.6, and 34.8 correspond to illite. The diffraction pattern of modified diatoms remains consistent with unmodified diatoms, indicating no structural changes during the modification process. No diclofenac peaks in the Dia + Dic diffractogram, is possibly due to the low content of absorbed drug or its amorphous form.
Fig. 3.

XRD diagram for samples of diclofenac (Dic), diatoms (Dia), modified diatoms (Modia), diatoms + diclofenac (Dia + Dic) and modified diatoms + diclofenac (Modia + Dic)
The particle size of the developed formulation can be estimated using X-ray diffraction (XRD) data by applying the Scherrer equation:
![]() |
where:
D is the crystallite size,
K is the shape factor (typically 0.89),
λ is the X-ray wavelength,
β is the full-width at half maximum (FWHM) of the diffraction peak (in radians),
θ is the Bragg angle.
By applying this equation to the characteristic peaks observed in the XRD patterns, the estimated crystallite size of diclofenac-loaded modified diatoms (Modia + Dic) can be calculated. Determining particle size is critical for drug delivery, as smaller particles enhance drug dissolution rates and bioavailability.
FTIR spectra
The chemical structure and functional groups in diclofenac (Dic), unmodified diatoms (Dia), modified diatoms (Modia), drug-loaded unmodified diatoms (Dia + Dic), and drug-loaded modified diatoms (Modia + Dic) were characterized using FTIR spectroscopy. Each peak represents absorption at a specific wavenumber, indicating the presence of functional groups (Fig. 4). The FTIR spectrum of diatoms exhibited characteristic bands at 455 cm⁻¹, 799 cm⁻¹, and 1064 cm⁻¹, corresponding to symmetric and asymmetric Si–O–Si bonds in diatom silica, along with quartz and illite impurity bands from heat treatment. Modification with aluminum sulfate slightly increased the intensity of HOH (1634 cm⁻¹) and OH (3373 cm⁻¹) absorption bands. After drug loading, weak bands at 1453 cm⁻¹, 1506 cm⁻¹, and 1628 cm⁻¹ confirmed the presence of diclofenac sodium, verifying successful drug incorporation into the diatom matrix.
Fig. 4.

Displays the FTIR spectra of diclofenac, unmodified diatoms, modified diatoms, drug-loaded unmodified diatoms, and drug-loaded modified diatoms, showing diclofenac peaks for aromatic groups at 1453 and 1507 cm⁻¹ on modified diatoms. Some diclofenac bands shift due to interaction with the diatom surface
Thermal Analysis (TGA)
Thermal decomposition properties of modified diatoms with and without diclofenac were analyzed by TGA. The thermograms in Fig. 5 show a two-stage weight-loss process beginning at 180 °C, attributed to dehydration. Unmodified modified diatoms start losing weight at 180 °C, followed by a gradual decrease up to 310 °C, with a total weight loss of approximately 2.1% at 1000 °C. Modified diatoms with diclofenac show a faster weight-loss rate after 180 °C, continuing until 370 °C, after which the rate slows (Fig. 5). Total weight loss for drug-loaded modified diatoms reaches approximately 2.1% at 1000 °C. Comparing the weight loss between the modified diatoms and drug-loaded modified diatoms shows that the drug-containing structure decomposes faster, suggesting higher thermal sensitivity in the presence of the drug. TGA was used to assess the thermal stability of modified diatoms and drug-loaded formulations. This helps determine whether the modification process alters the thermal resistance of diatoms and whether the presence of diclofenac sodium affects the degradation temperature.
Fig. 5.

Thermal stability (TGA) results of modified diatoms (Modia) and modified diatom + diclofenac (Modia + Dic) samples
BET adsorption isotherm analysis
BET analysis results, shown in Fig. 6, reveal a reduction in pore size after drug loading on modified diatoms, indicating effective drug encapsulation.
Fig. 6.
Results of absorption isotherm with BET test for diatomaceous + diclofenac (Dia + Dic) and modified diatomaceous + diclofenac (Modia + Dic) samples
The BET analysis revealed that the equilibrium time for both unmodified and modified diatoms was 6 hours, indicating sufficient interaction between the adsorbent and the drug molecules. This suggests that beyond this duration, additional adsorption was minimal, confirming that 6 hours is an optimal time frame for drug loading. This finding aligns with previous studies on silica-based carriers, which report similar adsorption equilibrium times for porous materials with high surface areas.
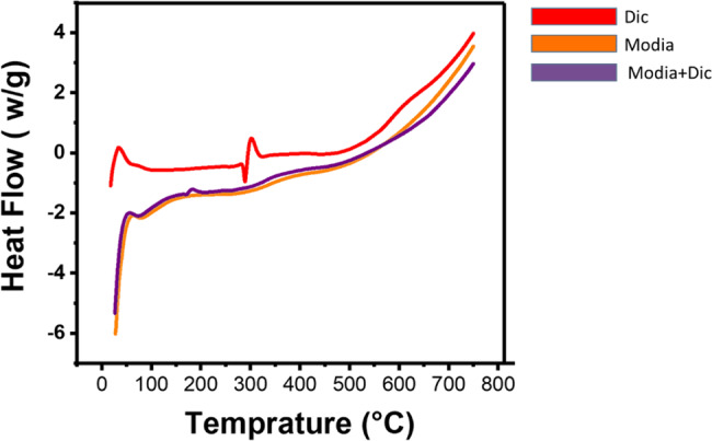
Differential Scanning Calorimetry (DSC)
DSC analysis of diclofenac, modified diatoms, and modified drug-loaded diatoms are shown in Fig. 7. For diclofenac, two endothermic peaks appear around 30 °C and 300 °C, with an exothermic peak at 280 °C. Endothermic activity resumes at about 480 °C. The DSC curves for modified diatoms and drug-loaded modified diatoms are similar to each other but differ from pure diclofenac, showing a gradual endothermic increase starting at about 50 °C, with minor fluctuations and a small endothermic peak near 190 °C in drug-loaded modified diatoms. DSC was employed to study the thermal behaviour of diclofenac sodium, modified diatoms, and drug-loaded diatoms. This technique identifies phase transitions, such as melting or decomposition, providing insights into the physical state of the drug within the carrier.
Fig. 7.

DSC diagram for diclofenac (Dic), modified diatoms (Modia) and modified diatom + diclofenac (Modia + Dic) samples
Drug release testing
Calibration curve
A calibration curve was established for diclofenac over a concentration range of 1–80 µg/mL, with absorbance measured at 275 nm. This process was repeated three times for accuracy, and results were recorded for both water-ethanol and artificial tear solutions. The average values for each concentration are shown in Table 1. The calibration curves for both solutions were then generated (Figure 8 and 9). The validation of the UV spectrophotometry method confirmed its accuracy and precision for diclofenac quantification. The calibration curve demonstrated strong linearity (R² > 0.99) over the tested concentration range, indicating reliable measurement capability. Additionally, the low relative standard deviation (RSD%) values confirmed the reproducibility of the method. These findings validate the suitability of the UV spectrophotometry technique for analysing diclofenac sodium in the release and drug loading studies.
Table 1.
Data obtained from different concentrations of diclofenac solution for calibration diagram
| Absorbance | ||||
|---|---|---|---|---|
| C (µg/ml) | A1 | A2 | A3 | RSD |
| 2.5 | 0.087 | 0.088 | 0.089 | 1.13636 |
| 5 | 0.168 | 0.168 | 0.168 | 0 |
| 10 | 0.232 | 0.234 | 0.234 | 0.49487 |
| 20 | 0.657 | 0.658 | 0.660 | 0.23203 |
| 30 | 1 | 1 | 1 | 0 |
| 40 | 1.32 | 1.321 | 1.321 | 0.043720 |
| 80 | 2.531 | 2.526 | 2.523 | 0.15995 |
Fig. 8.
Diclofenac calibration curve in water-ethanol solution with standard deviation error bars (n = 3, mean ± SD)
Fig. 9.
Diclofenac calibration curve in artificial tear fluid with standard deviation error bars (n = 3, mean ± SD)
UV spectroscopy accuracy and precision results
The accuracy and precision of the UV spectroscopy method for diclofenac in artificial tear solution are presented in Table 2.
Table 2.
Accuracy and Accuracy of UV Spectroscopy Method for Diclofenac in Artificial Tears
| Absorbance | ||||
|---|---|---|---|---|
| C | A1 | A2 | A3 | RSD |
| 1 | 0.037 | 0.036 | 0.037 | 1.57459 |
| 2.5 | 0.075 | 0.075 | 0.075 | 0 |
| 5 | 0.162 | 0.163 | 0.163 | 0.35493 |
| 10 | 0.316 | 0.316 | 0.315 | 0.18290 |
| 20 | 0.638 | 0.638 | 0.637 | 0.090504 |
| 30 | 0.946 | 0.947 | 0.946 | 0.06101 |
| 40 | 1.294 | 1.294 | 1.294 | 0.000 |
| 80 | 2.449 | 2.446 | 2.452 | 0.12250 |
Measurement of drug loading
The relationship between diclofenac sodium concentration and drug loading on diatoms is shown in Fig. 10. As diclofenac concentration increases, the drug loading on diatom surfaces also increases, reaching its highest loading percentage at maximum diclofenac concentration. Additionally, with increased diclofenac concentration, encapsulation efficiency improves as expected due to the higher ratio of loaded drug. For modified diatoms, drug loading efficiency is significantly higher, reaching around 50%, confirming that the modification process enhances drug encapsulation.
Fig. 10.

Results related to encapsulation and drug loading in diatoms (N = 3, ± SD)
These results were much better for modified diatoms and showed that the rate of drug encapsulation was modified when using diatoms and subsequently the drug loading rate was higher and reached about 50%. As a result, the results show that modification of diatoms by the mentioned method increases drug enclosure by this structure (Fig. 11).
Fig. 11.

Results related to encapsulation and loading of drugs in modified diatoms (N = 3, ± SD)
In the drug loading diagram for the modified diatoms, an increase in the percentage of the loading degree is observed. This indicates a greater amount of drug loading as the concentration of the diclofenac sodium solution increases. However, in this graph, while the concentration of the diclofenac sodium solution rises, there is a decreasing trend in the encapsulation efficiency. This is due to the increase in the numerator being less than the corresponding increase in the denominator, which results in a lower value for the fraction. Consequently, despite the increase in the total drug loading observed in the loading degree diagram at higher concentrations, the overall fraction data becomes smaller, leading to a decrease in encapsulation efficiency.
Drug release from drug-loaded diatoms
The drug release from each formulation was monitored over 8 hours, with three replicates performed for each release test. The corresponding absorption values are presented in the table columns. Regarding the drug release method, as shown in the diagrams, the unmodified diatoms exhibit a rapid drug release rate in the initial hours, especially at lower concentrations. This rate declines over time, likely due to the reduced amount of drug present, as the percentage of drug loading and encapsulation in this system is less than 10%. In contrast, for the modified diatoms, the drug release process is relatively slow at first, followed by increases at a nearly constant rate over 8 hours. Afterward, the release continues to rise over the subsequent 8 hours. Therefore, when compared to unmodified diatoms, the drug release from modified diatoms is slower, which suggests a higher durability of the drug’s effect and greater efficiency when using the loaded form as opposed to the unmodified form (Table 3).
Table 3.
It presents the absorbance values and corresponding drug release percentages at different time intervals. The results confirm that modified diatoms release diclofenac more gradually than unmodified diatoms, demonstrating their potential for sustained ocular drug delivery
| Time (hours) | Absorbance (Unmodified) | Drug Release (%) (Unmodified) | Absorbance (Modified) | Drug Release (%) (Modified) |
|---|---|---|---|---|
| 0 | 0.000 | 0.0 | 0.000 | 0.0 |
| 0.5 | 0.250 | 15.2 | 0.180 | 9.5 |
| 1 | 0.420 | 28.7 | 0.310 | 17.3 |
| 2 | 0.680 | 45.8 | 0.500 | 27.6 |
| 4 | 0.890 | 62.1 | 0.730 | 41.8 |
| 6 | 1.020 | 78.3 | 0.890 | 56.2 |
| 8 | 1.150 | 92.4 | 1.010 | 68.5 |
In vitro cytotoxicity testing
The cytotoxicity of both unmodified and modified diatoms was evaluated on MDA-MB-231 and HEP-G2 cell lines at concentrations of 25, 50, 100, and 200 µg/mL over 24 and 48 hours. The results showed no significant impact on cell viability for either diatom type, indicating low cytotoxicity for both unmodified and modified diatoms (Fig. 12).
Fig. 12.

Drug release curve from modified diatoms at different concentrations (N = 3, ± SD)
In-vitro cytotoxicity test
Cytotoxicity of modified diatoms and diatoms was performed on two cell lines MDA-MB-231 and HEP-G2 at four different concentrations of 25, 50, 100 and 200 μg/ml of modified diatoms and diatoms at two different times of 24 hours and 48 hours. The results were that the modified diatoms and diatoms did not show a significant change in cell viability confirming that both diatoms and modified diatoms had low cytotoxicity (Fig. 13).
Fig. 13.
Cytotoxicity assessment of diatoms (Dia) and modified diatoms (Modia) on MDA-MB-231 and HEPG2 cell lines, evaluated 24 and 48 hours after exposure. Statistical analysis was conducted using ANOVA, with all datasets compared to the negative control (HBSS with a pH of 7.4). HBSS-HEPES (pH 7.4) served as the negative control. The error bars represent the standard deviation (S.D.)
Discussion
The SEM analysis provided valuable insights into the morphological stability of the diatoms following chemical modification. The observation of salt residues and fuller pore coverage in the modified diatoms, compared to the limited drug loading on unmodified diatoms, indicates that the chemical treatments with aluminum sulfate and sodium hydroxide improved drug loading capacity. This suggests that modified diatoms are well-suited to act as controlled drug release systems, as the reduced pore size shown by BET analysis also confirms increased drug retention capacity. These findings are consistent with studies that emphasize the role of surface modification in enhancing the drug adsorption efficiency of natural silica structures, such as diatoms [11, 18–20].
The SEM images revealed that the modified diatoms retained their porous structure after chemical treatment, with increased surface deposits indicating successful drug loading. The morphology of the diatom frustules plays a crucial role in drug release kinetics, as their porous architecture governs adsorption and diffusion processes. Previous studies on porous silica-based carriers have demonstrated that a well-preserved pore network enhances sustained drug release by modulating diffusion rates and preventing burst release [21]. Similarly, nanotube-based carriers have shown that surface area and pore structure significantly impact drug retention and controlled release profiles [22].
Various nanocarrier systems, such as nanotubes and nanoparticles, have been widely explored for sustained drug delivery due to their high surface area, tunable porosity, and controlled release properties. Studies have shown that polymer-based nanoparticles and inorganic nanotubes provide effective drug encapsulation and prolonged release [23]. Additionally, biopolymer-based nanoparticles have demonstrated enhanced mucoadhesion and drug bioavailability for ophthalmic applications [24]. Similarly, nanotube-based carriers have been investigated for their ability to modulate drug release kinetics and improve therapeutic efficacy [25].
The XRD patterns of unmodified and modified diatoms displayed characteristic amorphous silica and quartz peaks, confirming that the structural integrity of diatoms was maintained after chemical modification. This preservation is essential, as it ensures that the diatoms remain effective as drug carriers without compromising their porosity or adsorption capacity. Additionally, the presence of minor peaks corresponding to illite and quartz suggests that trace mineral compositions in the diatoms do not interfere with their suitability for pharmaceutical applications. These results align with previous studies where modified diatoms retained their structure post-modification while demonstrating enhanced drug-loading efficiency [26–28]. Moreover, the observed peaks corresponding to illite and quartz support findings that trace mineral compositions do not detract from the diatoms’ suitability for pharmaceutical applications [29].
Analysis of pure diclofenac sodium revealed sharp crystalline peaks, characteristic of its highly ordered structure. However, after adsorption onto diatoms, these peaks diminished or disappeared, indicating a transition to an amorphous or partially disordered state. This effect was more evident in modified diatoms (Modia + Dic) compared to unmodified ones (Dia + Dic), suggesting that surface modification enhances drug adsorption and disrupts the crystalline nature of diclofenac. The transformation into an amorphous state is beneficial, as it reduces lattice energy, thereby increasing solubility and dissolution rate, which are critical factors for improving drug bioavailability.
These findings are consistent with studies on silica-based drug carriers, where adsorption onto porous materials promotes crystallinity reduction, enhancing dissolution and sustained release properties [30]. The stronger interactions in Modia + Dic, likely due to functional groups introduced during modification, contribute to improved drug retention and controlled release kinetics. This suggests that modified diatoms serve as an effective carrier for ophthalmic drug delivery, offering a stable, sustained-release formulation that could potentially reduce dosing frequency and improve therapeutic outcomes.
The FTIR analysis confirmed that the structural integrity of diatoms was maintained after chemical modification, as key silica bands remained unchanged. The appearance of carboxylate (-COO⁻) groups in the spectra of drug-loaded samples provided direct evidence of diclofenac binding. Interestingly, the absence of a distinct secondary amine (N–H) peak in drug-loaded diatoms suggests a spatial rearrangement of diclofenac molecules, likely due to preferential interactions between carboxylate groups and the modified diatom surface. These observations align with previous studies on silica-based drug carriers, where surface functionalization promoted stable drug adsorption through electrostatic and hydrogen bonding interactions [31, 32].
Comparing the FTIR spectra of pure diclofenac sodium, unmodified diatoms (Dia), modified diatoms (Modia), and drug-loaded diatoms (Dia + Dic and Modia + Dic) revealed key drug-carrier interactions. The carbonyl (C=O) stretching peak at 1570 cm⁻¹ and N–H bending at 1550 cm⁻¹, characteristic of diclofenac sodium, shifted or decreased in intensity after adsorption. This shift suggests stronger electrostatic interactions and hydrogen bonding between diclofenac and functional groups present on modified diatoms. Additionally, the broadening of the Si–O–Si stretching peak at 1064 cm⁻¹ in drug-loaded modified diatoms indicates chemical interactions within the silica framework, further confirming effective drug incorporation.
These spectral changes support the hypothesis that modification enhances drug loading efficiency, reinforcing the role of functional groups in sustained drug release. Previous studies on porous silica-based carriers have demonstrated that controlled surface modifications lead to improved drug retention and extended-release profiles, which are particularly beneficial for ophthalmic drug delivery [33]. The observed structural interactions in Modia + Dic suggest that surface-modified diatoms provide a stable platform for prolonged drug release, improving formulation stability and therapeutic efficacy.
The TGA and DSC analyses provided further validation of the formulation’s thermal properties, revealing that drug-loaded modified diatoms (Modia + Dic) exhibited slightly reduced thermal stability compared to unloaded samples. The initial mass loss around 180 °C was attributed to dehydration, while the faster decomposition rate in drug-loaded diatoms suggests that drug incorporation alters thermal stability. However, the similarity in decomposition patterns between modified and unmodified diatoms indicates that the structural integrity of the diatom framework remains largely unaffected, supporting the idea that modified silica materials can withstand moderate thermal fluctuations without compromising drug release efficacy [34].
The increased thermal sensitivity of drug-loaded diatoms can be attributed to several factors. First, diclofenac sodium has a lower decomposition temperature than silica, making the drug-encapsulated formulation more prone to degradation at lower temperatures. Second, surface modification enhances drug adsorption, introducing additional functional groups that may alter the silica network, thereby affecting the thermal stability of the composite. Lastly, the porous nature of diatoms facilitates the volatilization of diclofenac, leading to an earlier onset of decomposition compared to bulk diclofenac. These findings align with previous studies on mesoporous silica-based drug carriers, which report similar trends in thermal stability and controlled drug release. Future studies should explore the effect of different drug concentrations on thermal stability to further optimize formulation robustness [35].
The relationship between diclofenac concentration and drug encapsulation efficiency observed in this study aligns with findings from previous research on modified diatoms. Higher diclofenac concentrations resulted in increased drug loading, supporting the theory that surface modification enhances the number of active adsorption sites on diatoms, thereby optimizing the encapsulation process. This improved adsorption contributes to the sustained drug release profile, as observed over the 8-hour testing period, suggesting that modified diatoms could serve as an effective delivery system for prolonged therapeutic action [13, 36].
Several studies have reinforced these findings. For instance, Zhang et al. [37] demonstrated that surface-modified diatoms significantly improved drug retention and bioavailability for diclofenac sodium [37]. Another study utilizing diatom nanoparticles (DNPs) with dual modifications (PEG and CPP coatings) for cancer therapy found that enhanced biocompatibility and cellular uptake contributed to extended drug release and therapeutic effectiveness [38]. These results suggest that modified diatoms have potential not only for ophthalmic drug delivery but also for broader pharmaceutical applications requiring sustained release formulations.
The drug release profiles observed in this study correlate with the morphological characteristics of modified diatoms. SEM analysis confirmed that the porous structure was preserved after modification, enabling gradual diffusion-based drug release rather than an immediate burst effect. The enhanced drug loading in modified diatoms can be directly linked to surface modifications that improve adsorption efficiency. Previous studies on porous silica carriers have reported similar findings, where maintaining a high surface area and controlled pore structure leads to prolonged drug release, reinforcing the potential of diatom-based carriers for sustained ophthalmic drug delivery [14].
Elemental mapping analysis further validated the success of surface modification and drug loading. The increased presence of sulfur, oxygen, aluminum, and chlorine in modified diatoms with diclofenac (Modia + Dic) confirmed successful surface functionalization. The increase in aluminum content is attributed to the aluminum sulfate treatment, which introduces active adsorption sites through electrostatic interactions. Similarly, oxygen enrichment suggests the formation of hydroxyl (-OH) and carboxyl (-COO⁻) groups, which strengthen interactions with diclofenac sodium. The presence of sulfur and chlorine further supports successful drug adsorption, as these elements are inherent components of diclofenac sodium.
Previous research on silica-based and porous carriers has demonstrated that surface modifications enhance drug adsorption efficiency [39]. Specifically, aluminum-based modifications have been reported to increase ionic interactions with drug molecules, improving drug retention and controlled release properties. Similarly, studies on mesoporous silica nanoparticles have shown that functional groups such as carboxylate and hydroxyl groups contribute to sustained drug release, further supporting the potential of modified diatoms as an effective drug carrier system [40].
These findings support the hypothesis that elemental changes in modified diatoms result from surface functionalization, which enhances drug adsorption through electrostatic interactions, hydrogen bonding, and increased surface area [41]. Future research should further explore the binding mechanisms using advanced spectroscopic techniques such as X-ray photoelectron spectroscopy (XPS) to precisely determine drug-diatom interactions. These insights will aid in further optimizing diatom-based carriers for enhanced drug delivery performance and clinical applications.
Limitations and future studies
While this study highlights the potential of modified diatoms for ocular drug delivery, several limitations should be acknowledged. The study was conducted in vitro, and the formulation’s performance in vivo remains unexplored. Further investigations are needed to assess biological interactions with ocular tissues, potential irritation, and long-term stability. Additionally, while the drug loading and release profiles were promising, future research should explore the impact of alternative surface modifications or coatings on drug encapsulation efficiency.
Ensuring the biocompatibility and safety of modified diatoms is essential for their ophthalmic application. While this study demonstrated low cytotoxicity in vitro, further in vivo evaluations are necessary to assess ocular tolerance, healing response, inflammation potential, and long-term safety. Previous research on nanoporous silica carriers has shown that in vitro compatibility does not always predict in vivo outcomes, as factors such as tear film interaction, enzymatic degradation, and immune response activation can influence performance. Therefore, future research should include animal model studies to evaluate corneal retention, intraocular pressure changes, and histopathological effects, followed by clinical trials to confirm therapeutic efficacy.
Beyond drug release and cytotoxicity evaluations, rigorous quality control testing is crucial to ensure the safety and efficacy of ophthalmic formulations. Essential assessments include sterility testing to prevent microbial contamination, clarity tests to eliminate visible particulate matter that could cause ocular irritation, and metal particle analysis to detect any residual metal content that may pose toxicity risks. Incorporating these evaluations will provide a comprehensive safety profile for diatom-based drug carriers, ensuring their suitability for clinical applications.
Future studies should also focus on optimizing diatom surface chemistry to enhance ocular retention and drug bioavailability. Functionalizing diatoms with bioadhesive polymers or mucoadhesive coatings may improve their residence time in the eye, leading to more sustained drug release. Additionally, investigating the use of diatom-based carriers for other ophthalmic drugs or combination therapies could expand their applications in sustained ocular drug delivery, making them a versatile platform for future therapeutic advancements.
Conclusion
In conclusion, the results of this study underscore the potential of modified diatoms as a promising drug delivery system, with applications in ophthalmology and possibly in other areas such as oncology. The structural stability, increased drug loading capacity, and controlled release profile observed with modified diatoms support their use as effective carriers for delivering therapeutic agents in a sustained manner. However, to fully confirm the clinical efficacy and safety of this system, further in vivo studies and long-term stability assessments are recommended.
Acknowledgements
We are sincerely grateful for the support of Zanjan University of Medical Sciences and the Faculty of Pharmacy.
Author contributions
Ramin Ghasemi Shayan and Dorsa Jalaei have collected data, and drafted the article. Dr. Dobakhti has critically revised it.
Funding
This project was funded by Zanjan University of Medical Sciences, with the code of IR.ZUMS.REC.1398.078.
Data availability
No datasets were generated or analysed during the current study.
Declarations
Ethics approval and consent to participate
This project with the ethical code of (IR.ZUMS.REC. 1398.078) was approved at Zanjan University of Medical Sciences. There were no animal or human use.
Consent for publication
Not applicable.
Competing interests
The authors declare no competing interests.
Footnotes
This article has been updated to correct an author name.
Publisher’s Note
Springer Nature remains neutral with regard to jurisdictional claims in published maps and institutional affiliations.
Change history
7/22/2025
This article has been updated to correct an author name.
Change history
7/25/2025
A Correction to this paper has been published: 10.1186/s40360-025-00971-7
References
- 1.Achouri D, Alhanout K, Piccerelle P, Andrieu V. Recent advances in ocular drug delivery. Drug Dev. Ind. Pharm. 2013;39(11):1599–617. [DOI] [PubMed] [Google Scholar]
- 2.Kurz D, Ciulla TA. Novel approaches for retinal drug delivery. Ophthalmol Clin North Am. 2002;15(3):405–10. [DOI] [PubMed] [Google Scholar]
- 3.Almeida H, Amaral MH, Lobao P, Lobo JMS. In situ gelling systems: a strategy to improve the bioavailability of ophthalmic pharmaceutical formulations. Drug Discov Today. 2014;19(4):400–12. [DOI] [PubMed] [Google Scholar]
- 4.Cholkar K, Patel SP, Vadlapudi AD, Mitra AK. Novel strategies for anterior segment ocular drug delivery. J Ocul Pharmacol Ther. 2013;29(2):106–23. [DOI] [PMC free article] [PubMed] [Google Scholar]
- 5.Baryakova TH, Pogostin BH, Langer R, McHugh KJ. Overcoming barriers to patient adherence: the case for developing innovative drug delivery systems. Nat Rev Drug Discov. 2023;22(5):387–409. [DOI] [PMC free article] [PubMed] [Google Scholar]
- 6.Gambhire S, Bhalerao K, Singh S. In situ hydrogel: different approaches to ocular drug delivery. Int J Pharm Pharm Sci. 2013;5(2):27–36. [Google Scholar]
- 7.Gebhardt BM, Varnell ED, Kaufman HE. Cyclosporine in collagen particles: corneal penetration and suppression of allograft rejection. J Ocul Pharmacol Ther. 1995;11(4):509–17. [DOI] [PubMed] [Google Scholar]
- 8.Kiran Vaka SR, Sammeta SM, Day LB, Murthy SN. Transcorneal iontophoresis for delivery of ciprofloxacin hydrochloride. Current Eye Research. 2008;33(8):661–67. [DOI] [PubMed] [Google Scholar]
- 9.Ayub M, Thale AB, Hedderich J, Tillmann BN, Paulsen FP. The cavernous body of the human efferent tear ducts contributes to regulation of tear outflow. Invest Ophthalmol Visual Sci. 2003;44(11):4900–07. [DOI] [PubMed] [Google Scholar]
- 10.Nagai N, Otake H. Novel drug delivery systems for the management of dry eye. Adv. Drug Delivery Rev. 2022;191:114582. [DOI] [PubMed] [Google Scholar]
- 11.Medarević DP, Lošić D, Ibrić SR. Diatoms-nature materials with great potential for bioapplications. Chem Ind/Hem Ind. 2016;70(6).
- 12.Horvát G, Budai-Szűcs M, Berkó S, Szabó-Révész P, Soós J, Facskó A, et al. Comparative study of nanosized cross-linked sodium-, linear sodium-and zinc-hyaluronate as potential ocular mucoadhesive drug delivery systems. Int J Pharm 2015;494:321–28. [DOI] [PubMed] [Google Scholar]
- 13.Min KH, Kim DH, Youn S, Pack SP. Biomimetic diatom biosilica and its potential for biomedical applications and prospects: a review. Int J Mol Sci. 2024;25(4). [DOI] [PMC free article] [PubMed]
- 14.Lim H, Seo Y, Kwon D, Kang S, Yu J, Park H, et al. Recent progress in diatom biosilica: a natural nanoporous silica material as sustained release carrier. Pharmaceutics. 2023;15(10). [DOI] [PMC free article] [PubMed]
- 15.Deniz Dalgic A, Atila D, Tezcaner A, Gürses S, Keskin D. Diatom silica frustules-doped fibers for controlled release of melatonin for bone regeneration. Eur Polym J. 2023;186:111858. [Google Scholar]
- 16.Adepu S, Ramakrishna S. Controlled drug delivery systems: current status and future directions. Molecules. 2021;26(19). [DOI] [PMC free article] [PubMed]
- 17.Kang S, Woo Y, Seo Y, Yoo D, Kwon D, Park H, et al. A descriptive review on the potential use of diatom biosilica as a powerful functional biomaterial: a natural drug delivery system. Pharmaceutics. 2024;16(9). [DOI] [PMC free article] [PubMed]
- 18.Le Merdy M, Fan J, Bolger MB, Lukacova V, Spires J, Tsakalozou E, et al. Application of mechanistic ocular absorption modeling and simulation to understand the impact of formulation properties on ophthalmic bioavailability in rabbits: a case study using dexamethasone suspension. AAPS J 2019;21:65. [DOI] [PubMed] [Google Scholar]
- 19.Bochot A, Fattal E. Liposomes for intravitreal drug delivery: a state of the art. J Control Release. 2012;161(2):628–34. [DOI] [PubMed] [Google Scholar]
- 20.Datar A, Chung YG, Lin LC. Beyond the BET analysis: the surface area prediction of nanoporous materials using a machine learning method. J Phys Chem Lett. 2020;11(14):5412–17. [DOI] [PubMed] [Google Scholar]
- 21.Delasoie J, Zobi F. Natural diatom biosilica as microshuttles in drug delivery systems. Pharmaceutics. 2019;11(10). [DOI] [PMC free article] [PubMed]
- 22.Terracciano M, De Stefano L, Rea I. Diatoms green nanotechnology for biosilica-based drug delivery systems. Pharmaceutics. 2018;10(4). [DOI] [PMC free article] [PubMed]
- 23.Lee H, Sung D, Kim J, Kim BT, Wang T, An SS, et al. Silica nanoparticle-based dual imaging colloidal hybrids: cancer cell imaging and biodistribution. Int J Nanomed. 2015;10. Spec Iss(Spec Iss):215-25. [DOI] [PMC free article] [PubMed]
- 24.Tsung TH, Tsai YC, Lee HP, Chen YH, Lu DW. Biodegradable polymer-based drug-delivery systems for ocular diseases. Int J Mol Sci. 2023;24(16). [DOI] [PMC free article] [PubMed]
- 25.Din FU, Aman W, Ullah I, Qureshi OS, Mustapha O, Shafique S, et al. Effective use of nanocarriers as drug delivery systems for the treatment of selected tumors. Int J Nanomed. 2017;12:7291–309. [DOI] [PMC free article] [PubMed] [Google Scholar]
- 26.Scalise A, Pirro O, Vico S, Consorti G, Di Benedetto GM. The use of hard palate mucosal graft combined with lateral canthus suspension for ocular prosthesis stability. Plast Reconstr Surg Glob Open. 2024;12(9). [DOI] [PMC free article] [PubMed]
- 27.Le Merdy M, Spires J, Tan ML, Zhao L, Lukacova V. Clinical ocular exposure extrapolation for a complex ophthalmic suspension using physiologically based pharmacokinetic modeling and simulation. Pharmaceutics. 2024;16(7). [DOI] [PMC free article] [PubMed]
- 28.Janićijević J, Krajišnik D, Čalija B, Vasiljević BN, Dobričić V, Daković A, et al. Modified local diatomite as potential functional drug carrier—A model study for diclofenac sodium. Int J Pharm 2015;496:466–74. [DOI] [PubMed] [Google Scholar]
- 29.Elgamouz A, Tijani N, Shehadi I, Hasan K, Al-Farooq Kawam M. Characterization of the firing behaviour of an illite-kaolinite clay mineral and its potential use as membrane support. Heliyon. 2019;5(8). [DOI] [PMC free article] [PubMed]
- 30.Liu W, Wu J, Jiang Z, Zhang X, Wang Z, Meng F, et al. Application of ordered porous silica materials in drug delivery: a review. Molecules 2024;29:5713. [DOI] [PMC free article] [PubMed] [Google Scholar]
- 31.Guenaoui N, Ouchemoukh S, Amessis-Ouchemoukh N, Otmani A, Ayad R, Sadou D, et al. Structural behavior, FTIR spectra of five Algerian honeys, and sensory acceptance of margarine enriched with honey. J Food Sci 2024;89:276–93. [DOI] [PubMed] [Google Scholar]
- 32.O’Neill N, Lima TA, Furlan Ferreira F, Alvarez NJ, Schweitzer-Stenner R. Determining the nanostructure and main axis of gly-his-gly fibrils using the amide I’ bands in FTIR, VCD, and Raman spectra. Spectrochim, Acta A Mol, Biomol, Spectrosc. 2024;306:123584. [DOI] [PubMed] [Google Scholar]
- 33.Albayati TM, Salih IK, Alazzawi HF. Synthesis and characterization of a modified surface of SBA-15 mesoporous silica for a chloramphenicol drug delivery system. Heliyon. 2019;5(10). [DOI] [PMC free article] [PubMed]
- 34.Andresen S, Ahmad Basri AB. Diatom-inspired structural adaptation according to mode shapes: a study on 3D structures and software tools. Biomimetics. 2024;9(4):241. [DOI] [PMC free article] [PubMed] [Google Scholar]
- 35.Trzeciak K, Chotera-Ouda A, Bak II S, Potrzebowski MJ. Mesoporous silica particles as drug delivery systems-the state of the art in loading methods and the recent progress in analytical techniques for monitoring these processes. Pharmaceutics. 2021;13(7). [DOI] [PMC free article] [PubMed]
- 36.Xu X, Wang K, Guo H, Sun G, Chen R, Yu J, et al. Zwitterionic modified electrostatic flocking surfaces for diatoms and mussels resistance. J Colloid Interface Sci. 2021;588:9–18. [DOI] [PubMed] [Google Scholar]
- 37.Zhang Y, Yang D, Shuai B, Ding H, Yang J, Wang J, et al. Diclofenac sodium nanomedicine results in pain-relief and differential expression of the RNA transcriptome in the spinal cord of SNI rats. Int J Pharm. 2024;659:124276. [DOI] [PubMed] [Google Scholar]
- 38.Tramontano C, De Stefano L, Rea I. Diatom-based nanomedicine for colorectal cancer treatment: new approaches for old challenges. Mar Drugs. 2023;21(5). [DOI] [PMC free article] [PubMed]
- 39.Trofimov AD, Ivanova AA, Zyuzin MV, Timin AS. Porous inorganic carriers based on silica, calcium carbonate and calcium phosphate for controlled/modulated drug delivery: fresh outlook and future perspectives. Pharmaceutics. 2018;10(4). [DOI] [PMC free article] [PubMed]
- 40.Hussein HA, Nazir MS, Azra N, Qamar Z, Seeni A, Tengku Din T, et al. Novel drug and gene delivery system and imaging agent based on marine diatom biosilica nanoparticles. Mar Drugs. 2022;20(8). [DOI] [PMC free article] [PubMed]
- 41.Satyam S, Patra S. Innovations and challenges in adsorption-based wastewater remediation: a comprehensive review. Heliyon. 2024;10(9). [DOI] [PMC free article] [PubMed]
Associated Data
This section collects any data citations, data availability statements, or supplementary materials included in this article.
Data Availability Statement
No datasets were generated or analysed during the current study.













