Abstract
Elevated levels of the inflammatory enzyme myeloperoxidase (MPO) in the blood are associated with the development of age-related inflammatory diseases. Given that age, inflammation, and blood MPO play a role in the pathogenesis of Parkinson´s disease (PD), we hypothesized that serum MPO could be associated with PD status. This case-control study (199 participants) was conducted using an extensive protocol, and the concentration and activity of MPO in blood serum were measured. The findings reveal that serum MPO concentration and activity are significantly increased in the patients, and that rates of PD in all individuals are associated with increasing tertiles of MPO concentration and activity. In multivariate logistic regression model adjusting for confounding factors, MPO activity (not concentration) is the factor that is most associated with PD status (OR, 6.921, P = 0.001). Mental depression is directly associated with MPO activity and with PD status (OR, 0.121, B = −2.108, P = 0.002). The use of statins or nonsteroidal anti-inflammatory drugs significantly reduces serum MPO activity, but the possible association with the odds of having PD does not survive correction for multiple testing. In summary, both serum MPO concentration and activity are increased in patients with PD, but only MPO enzyme activity is associated with PD status. These findings may have implications for the evaluation of PD.
Subject terms: Medical research, Neurology
The inflammatory enzyme myeloperoxidase (MPO) is an important element of the innate immune system and is considered a mechanistic link between inflammation and tissue damage1–15. MPO is released by brain glial cells, leukocytes (neutrophils and monocytes), and tissue-associated macrophages and participates in defensive reactions against pathogens by generating microbicidal compounds such as hypochlorite, reactive oxygen species, reactive nitrogen species and chlorinated molecules6,11–15. Excess MPO and its derivatives can exacerbate inflammation and initiate tissue damage and cellular dysfunction11–15. This is the case in numerous age-related inflammatory diseases such as Parkinson´s disease (PD), Alzheimer´s disease, coronary artery disease (CAD), hypertension, type 2 diabetes mellitus, and stroke5,6,11,16–27.
MPO shows promise as a biomarker for prognosis and diagnosis of PD15,19,28–30 and has been proposed as a target for antiparkinsonian treatment11,31–34. MPO expression increases in neurons and microglia of the substantia nigra in the brain of diseased patients and in animal models of the disease18,35. Brain MPO contributes to α-synuclein pathology, and MPO clearance improves nigrostriatal damage induced by lesions in the substantia nigra in experimental PD16,17.
The first author recently reported that MPO in the blood may play a role in the pathogenesis of PD because, in patients with PD, serum MPO concentration is significantly increased and correlates with dopamine-transporter binding in the basal ganglia measured with DATSCAN36. Epidemiological studies indicate that individuals with age-related inflammatory diseases in which blood MPO concentration is enhanced such as CAD, hypertension, and type 2 diabetes mellitus are at higher risk of having PD4,7,37–45. Given that age, inflammation, and MPO play a role in the pathogenesis of PD, we hypothesized that serum MPO could be associated with PD status. Thus, in the present work, we tested this hypothesis by studying whether both MPO concentration and activity in blood serum are associated with the odds of having idiopathic PD in a case-control study.
Results
Demographic and clinical characteristics
Regarding demographics, chronological age, aging (middle-age versus elderly), sex (men, women), body mass index (BMI), and education are not found to be different between patients with PD and controls, as shown in Table 1. The patients are more likely to have depressive disorder (P < 0.0001, χ2 test), type 2 diabetes mellitus (P = 0.014), and hypertension (P = 0.025) compared to controls (Table 1).
Table 1.
Demographics and clinical characteristics of the cohort of patients with idiopathic Parkinson’s disease and controls
| Clinical parameter | Patients (n = 101) | Controls (n = 98) | P value | t or χ2 |
|---|---|---|---|---|
| Serum MPO concentration (pg/ml) | 3033 ± 2042 | 1812 ± 1185 | <0.0001 | t = 5.137 |
| Serum MPO activity (U/L) | 41.7 ± 5.1 | 36.4 ± 5.4 | <0.0001 | t = 7.128 |
| Age, years | 67.1 ± 8.9 | 66.7 ± 10.7 | NS | |
| Aging (elderly > 64 years of age), no. (%) | 65 (64.3) | 50 (51) | NS | |
| Sex (male), no. (%) | 44 (44) | 57 (58) | NS | |
| Body mass index, kg/m2 | 23.3 ± 2.6 | 23.9 ± 2.9 | NS | |
| Education, years | 17.2 ± 2.3 | 16.8 ± 2.5 | NS | |
| Hypertension, no. (%) | 42 (42) | 26 (27) | 0.025 | χ2 = 5.011 |
| Dysthyroidism, no. (%) | 23 (23) | 12 (12) | NS | |
| Type 2 diabetes mellitus, no. (%) | 22 (22) | 9 (9) | 0.014 | χ2 = 6.003 |
| Coronary artery disease, no. (%) | 16 (16) | 21 (21) | NS | |
| Stroke, no. (%) | 13 (12.8) | 10 (10.2) | NS | |
| Inflammatory bowel disease, no. (%) | 7 (7) | 4 (4) | NS | |
| Respiratory inflammatory disease, no. (%) | 7 (7) | 4 (4) | NS | |
| Depressive disorder, no. (%) | 59 (58.4) | 11 (11.2) | <0.0001 | χ2 = 48.398 |
| Anxiety, no. (%) | 19 (19) | 11 (11) | NS | |
| Hypertension treated with ACEIs, no. (%) | 23 (23) | 19 (19) | NS | |
| Hypertension treated with diuretics, no. (%) | 12 (12) | 12 (12) | NS | |
| Hypertension treated with calcium antagonists, no. (%) | 8 (8) | 6 (6) | NS | |
| Use of β-blockers, no. (%) | 13 (12.8) | 9 (9) | NS | |
| Hyperthyroidism with antithyroid drug therapy, no. (%) | 4 (5) | 4 (3) | NS | |
| Levothyroxine therapy, no. (%) | 19 (19) | 10 (11) | NS | |
| Insulin use, no. (%) | 5 (5) | 3 (3) | NS | |
| Type 2 diabetes treated with metformin, no. (%) | 19 (19) | 7 (7) | 0.015 | χ2 = 5.563 |
| Type 2 diabetes treated with combination of metformin and aGLP-1, no. (%) | 4 (4) | 3 (3) | NS | |
| Dyslipidemia with lifestyle and dietary modifications, no. (%) | 20 (20) | 8 (7) | 0.004 | χ2 = 8.195 |
| Statins use, no. (%) | 14 (14) | 21 (21) | NS | |
| NSAIDs use, no. (%) | 36 (36) | 34 (34) | NS | |
| Use of SSRI antidepressants, no. (%) | 31 (31) | 7 (7) | <0.0001 | χ2 = 17.857 |
| Use of non-SSRI antidepressants, no. (%) | 28 (28) | 4 (4) | <0.0001 | χ2 = 20.601 |
| Benzodiazepine therapy, no. (%) | 28 (28) | 11 (11) | 0.003 | χ2 = 8.592 |
| LEDD, no. (%) | 82 (82) | 0 | <0.0001 | χ2 = 135.327 |
Data are given as mean (±standard deviation or SD) for continuous measures and as frequency (percentage) for categorical measures. LEDD is given as binary factor (yes, subjects with dopaminergic medication). ACEIs angiotensin-converting enzyme inhibitors, aGLP-1 glucagon-like peptide-1 analog, LEDD levodopa equivalent daily dose, MPO myeloperoxidase, NSAIDs non-steroidal anti-inflammatory drugs, NS nonsignificant, P probability, PD Parkinson’s disease, SSRI selective serotonin reuptake inhibitor.
Serum MPO and rates of PD
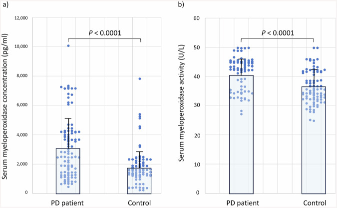
Serum MPO concentration is significantly greater in the patients versus controls (t = 5.137, P < 0.0001, Student´s t-test; Table 1, Fig. 1). MPO concentration in all individuals is ordered as “low,” “medium,” and “high” according to tertiles of MPO concentration, as follows: 1st tertile, <1425 pg/ml; 2nd tertile, 1425–2466 pg/ml; 3rd tertile, >2466 pg/ml. The Cochran-Armitage test for trend indicates that rates of PD in all individuals are associated with increasing tertiles of serum MPO concentration (z = −5.6871, P < 0.0001; Table 2).
Fig. 1. Serum myeloperoxidase concentration and activity in patients with idiopathic Parkinson’s disease and controls.
Serum MPO concentration (a) and activity (b) were significantly higher in patients than in controls (P < 0.0001). Individual values and mean + SD. MPO myeloperoxidase, PD Parkinson’s disease.
Table 2.
PD rates and tertiles of MPO concentration and activity ordered as “low”, “medium”, and “high”
| Tertiles | |||||
|---|---|---|---|---|---|
| low | medium | high | z | P value | |
| Serum MPO concentration (pg/ml) | <1425 | 1425–2466 | >2466 | ||
| PD rate, No/total (%) | 27/67 (40.29) | 20/66 (30.30) | 54/66(81.81) | −5.6971 | <0.0001 |
| Serum MPO activity (U/L) | <35.5 | 35.5–42.7 | > 42.7 | ||
| PD rate, No/total (%) | 20/65 (30.77) | 26/67 (38.80) | 55/67(82.09) | −5.7268 | <0.0001 |
PD rates are compared with the Cochran-Armitage test for trend. MPO myeloperoxidase, P probability, PD Parkinson’s disease.
MPO activity is detected in blood serum from all participants and is found to be significantly higher in PD cases when compared to control individuals (t = 7.128, P < 0.0001, Student´s t-test; Table 1; Fig. 1). MPO activity is ordered as “low,” “medium,” and “high” according to tertiles of MPO activity: 1st tertile, <35.5 U/L; 2nd tertile, 35.5–42.7 U/L; 3rd tertile, >42.7 U/L. The Cochran-Armitage test for trend indicates that rates of PD in all individuals are associated with increasing tertiles of serum MPO activity (z = -5.7268, P < 0.0001; Table 2). Mean and individual values of serum MPO concentration and activity are shown in Fig. 1.
Correlation between serum MPO and clinical factors
Serum MPO concentration and activity are not found to be significantly correlated with age, sex, BMI, and education. Both serum MPO concentration and activity significantly correlate with PD status (concentration, ρ = 0.344; activity, ρ = 0.453, P < 0.0001; Pearson´s correlation test), and levodopa equivalent daily dose or LEDD (concentration, ρ = 0.374; activity, ρ = 0.290, P < 0.0001), as shown in Table 3. Both MPO concentration and activity are significantly correlated with each other (ρ = 0.306, P < 0.0001). In addition, serum MPO activity correlates with statins use (ρ = −0.378, P < 0.0001), dysthyroidism (ρ = 0.251, P < 0.0001), levothyroxine therapy (ρ = 0.245, P < 0.0001), depression (ρ = 0.205, P = 0.004), dyslipidemia (ρ = −0.198, P = 0.005), non-steroidal anti-inflammatory drugs or NSAIDs use (ρ = −0.195, P = 0.006), coronary artery disease or CAD (ρ = −0.193, P = 0.006), use of selective serotonin reuptake inhibitors (SSRI) antidepressants (ρ = 0.159, P = 0.025), and use of non-SSRI antidepressants (ρ = 0.141, P = 0.046). Collinear variates (ρ > 0.500) are dysthyroidism and levothyroxine therapy (ρ = 0.894), statins use and dyslipidemia (ρ = 0.671), depression and use of non-SSRI antidepressants (ρ = 0.629) as well as depression and use of SSRI antidepressants (ρ = 0.599). Pearson´s correlation values (two-tailed) are shown in Table 3. All variables were studied in the entire population.
Table 3.
Correlation values of serum MPO concentration and activity with the characteristics of the study population
| Clinical parameter | MPO concentration | P value | MPO activity | P value |
|---|---|---|---|---|
| Serum MPO concentration (pg/ml) | - | 0.306 | <0.0001 | |
| Serum MPO activity (U/L) | 0.306 | <0.0001 | - | |
| Age (years) | 0.057 | NS | −0.045 | NS |
| Aging (middle-age, elderly) | 0.009 | NS | −0.059 | NS |
| Sex (men, women) | 0.016 | NS | −0.128 | NS |
| Body mass index (kg/m2) | −0.025 | NS | −0.025 | NS |
| Education (years) | −0.081 | NS | −0.081 | NS |
| PD status (yes, no) | 0.344 | <0.0001 | 0.453 | <0.0001 |
| Hypertension (yes, no) | −0.007 | NS | −0.016 | NS |
| Dysthyroidism (yes, no) | −0.049 | NS | 0.251 | <0.0001 |
| Type 2 diabetes mellitus (yes, no) | 0.021 | NS | −0.108 | NS |
| Dyslipidemia (yes, no) | −0.132 | NS | −0.198 | 0.005 |
| Coronary artery disease (yes, no) | −0.026 | NS | −0.193 | 0.004 |
| Stroke (yes, no) | 0.116 | NS | −0.035 | NS |
| Depressive disorder (yes, no) | 0.031 | NS | 0.205 | 0.004 |
| Anxiety (yes, no) | 0.112 | NS | 0.108 | NS |
| Hypertension treated with ACEIs (yes, no) | 0.087 | NS | −0.023 | NS |
| Hypertension treated with diuretics (yes, no) | −0.102 | NS | 0.058 | NS |
| Hypertension treated with calcium antagonists (yes, no) | −0.006 | NS | 0.009 | NS |
| Use of β-blockers (yes, no) | 0.101 | NS | 0.083 | NS |
| Antithyroid drug therapy (yes, no) | 0.098 | NS | 0.014 | NS |
| Levothyroxine therapy (yes, no) | −0.049 | NS | 0.265 | <0.0001 |
| Insulin use (yes, no) | −0.035 | NS | 0.103 | NS |
| Type 2 diabetes treated with metformin, (yes, no) | 0.018 | NS | −0.099 | NS |
| Type 2 diabetes treated with combination of metformin and aGLP-1 (yes, no) | 0.001 | NS | −0.010 | NS |
| Dyslipidemia with lifestyle and dietary modifications (yes, no) | −0.045 | NS | 0.101 | NS |
| Statins use (yes, no) | −0.137 | NS | −0.378 | <0.0001 |
| NSAIDs use (yes, no) | −0.055 | NS | −0.175 | 0.006 |
| Use of SSRI antidepressants (yes, no) | 0.094 | NS | 0.159 | 0.025 |
| Use of non-SSRI antidepressants (yes, no) | 0.021 | NS | 0.141 | 0.046 |
| Benzodiazepine therapy (yes, no) | 0.033 | NS | 0.131 | NS |
| LEDD (mg) | 0.374 | <0.0001 | 0.290 | <0.0001 |
Pearson correlation rank test (two-tailed). ACEIs angiotensin-converting enzyme inhibitors, aGLP-1 glucagon-like peptide-1 analog, LEDD levodopa equivalent daily dose, MPO myeloperoxidase, NSAIDs non-steroidal anti-inflammatory drugs, NS nonsignificant, P probability, PD Parkinson’s disease, SSRI selective serotonin reuptake inhibitor.
Multivariable adjustments for single and multiple confounding factors
With PD status as the dependent variable, odds ratios for serum MPO concentration are adjusted for LEDD and traditional PD risk factors, which are chronological age, sex, hypertension, dysthyroidism, and type 2 diabetes mellitus40–42,44–52. Serum MPO concentration is not related to the odds of PD occurrence after adjustments for each individual factor (OR = 1.000, data not shown; multivariable adjustment for single factors). Stepwise, backward/forward, multiple binary logistic regression after adjusting for all covariates (conditional method) confirms that serum MPO concentration is not associated with PD status (OR = 1.000[1.000–1.001], OR[95%CI]), as shown in Table 4. Sex is close to be statistically significant (P = 0.051).
Table 4.
Stepwise, backward/forward, multivariate logistic regression analysis with adjustments for MPO parameter and covariates, and PD status as dependent factor
| 95% CI for Exp(B) | |||||||
|---|---|---|---|---|---|---|---|
| Model 1. MPO concentration | B | SE | Wald | P value | Exp(B) | lowest | highest |
| Backward & forward | |||||||
| Intercept | −2.954 | 0.584 | 25.603 | 0.000 | 0.052 | ||
| Serum MPO concentration | 0.000 | 0.000 | 4.433 | 0.035 | 1.000 | 1.000 | 1.001 |
| Sex (male) | 1.097 | 0.547 | 4.017 | 0.051 | 2.994 | 1.024 | 8.751 |
| LEDD | 0.174 | 7.767 | 0.001 | 0.982 | 1.190 | 0.000 | |
| Model 2. MPO activity | B | SE | Wald | P value | Exp(B) | lowest | highest |
| Backward & forward | |||||||
| Intercept | −7.513 | 2.238 | 11.295 | 0.001 | 0.001 | ||
| Serum MPO activity | 1.936 | 0.568 | 11.604 | 0.001 | 6.921 | 2.274 | 21.065 |
| Depression (yes) | −2.108 | 0.682 | 9.567 | 0.002 | 0.121 | 0.032 | 0.462 |
| LEDD | 0.179 | 8.361 | 0.000 | 0.983 | 1.195 | 0.000 | |
The model 1 includes PD status as dependent factor, and serum MPO concentration (continuous), “age” (continuous), “sex”, “hypertension”, “dysthyroidism”, “type 2 diabetes mellitus” (all categorical), and “LEDD” (continuous) as covariates. R2 = 0.597 (Cox and Snell).
The model 2 includes PD status as dependent factor, and serum MPO activity (continuous), “age” (continuous), “sex”, “hypertension”, “dysthyroidism”, “type 2 diabetes mellitus” (all categorical), as well as “LEDD” (continuous), “depression”, “CAD,” “statins use,” and “NSAIDs use” (all categorical) as covariates. R2 = 0.624 (Cox and Snell). Factors associated with PD status are indicated in cursive. LEDD levodopa equivalent daily dose, MPO myeloperoxidase, P probability, PD Parkinson’s disease.
On the other hand, odds ratios for serum MPO activity are adjusted for traditional PD risk factors along with statins use, LEDD, depression, and NSAIDs use (collinear variables are filtered out). Serum MPO activity is associated with PD status following adjustments for each covariate (data not shown), with odds ratios ranging from 5.669[2.008–16.009] after adjustment for LEDD to 7.496[3.987–14.183] after adjustment for type 2 diabetes mellitus. Multivariate logistic regression analysis reveals that serum MPO activity remains the factor most associated with PD status (OR, 6.921[2.274–21.065], B = 1.936, P = 0.001; Table 4). Furthermore, mental depression is directly associated with higher odds of having PD (OR, 0.121[0.032–0.462], B = –2.108, P = 0.002; Table 4).
MPO, statins, NSAIDs, and mental depression
Given that the use of statins or NSAIDs, and depression significantly correlate with serum MPO activity in the study population, the interaction between these drugs or depression and MPO is further analyzed. Enzyme activity of serum myeloperoxidase is found to be significantly reduced after the use of statins and NSAIDs (statins, P < 0.0001; NSAIDs, P = 0.006; Fig. 2, Table 5). Participants with mental depression present higher MPO activity in serum than subjects without depression (P = 0.004, Fig. 2, Table 5).
Fig. 2. Activity of myeloperoxidase in blood serum, therapy with statins and NSAIDs, and depression status in the study population.
Activity of serum myeloperoxidase is found to be significantly reduced after use of (a) statins (P < 0.0001), and (b) NSAIDs (P = 0.006). c Depression induces a significant increase in MPO activity relative to non-depressed patients (P = 0.004). Individual values and mean + SD. MPO myeloperoxidase, NSAIDs non-steroidal anti-inflammatory drugs, PD Parkinson’s disease.
Table 5.
Use of statins or NSAIDs, mental depression, and enzyme activity of serum myeloperoxidase in the study population
| Serum MPO activity (U/L) | Student t-test, P value | |
|---|---|---|
| Statins (n = 35) | No statins (n = 164) | |
| 34.31 ± 5.26 | 40.14 ± 5.51 | t = −5.731, P < 0.0001 |
| NSAIDs (n = 70) | No NSAIDs (n = 129) | |
| 37.28 ± 6.27 | 39.91 ± 5.53 | t = −2.797, P = 0.006 |
| Depression (n = 65) | No depression (n = 134) | |
| 40.83 ± 6.10 | 38.27 ± 5.68 | t = 2.940, P = 0.004 |
Mean ± SD. MPO myeloperoxidase, P probability.
Discussion
The findings of this study suggest that serum MPO activity is an independent marker of PD. Both MPO concentration and activity in blood serum are increased in patients with PD, and rates of PD in all individuals are associated with increasing tertiles of MPO concentration and activity, but only MPO activity is associated with PD status following correction for multiple testing. Mental depression, which significantly enhances MPO activity, is also associated with PD status. The use of statins and NSAIDs reduces the inflammatory activity of serum MPO but is not related to the odds of PD occurrence. This study is the first description of the association between myeloperoxidase enzyme activity in blood serum and PD status. These findings may have implications for the evaluation of PD.
Concentration and activity of MPO are observed to be significantly correlated with each other, but only MPO activity is associated with PD status. The activity of an enzyme is not only the direct result of its presence and concentration, but also of modulatory mechanisms (e.g., phosphorylation, allosteric modulation, etc.) that determine its catalytic activity. Many epidemiological studies support potential links between MPO activity and the development of PD, and people with age-related inflammatory diseases in which enzyme activity of MPO increases are at increased risk of PD37–45.
MPO is considered a mechanistic link between inflammation and tissue damage1–15. Serum MPO may be associated with PD status through its pro-inflammatory and cytotoxic properties. MPO catalyzes the formation of hypochlorite, reactive oxygen species, and reactive nitrogen species, which are potent pro-inflammatory agents that can damage dopaminergic neurons6,11–15. Hypochlorite and reactive oxidant species induce chemical modifications of proteins and lipids such as peroxidation, chlorination, and nitration leading to the formation of inflammatory and cytotoxic compounds19,28,53–58, and the misfolding and aggregation of proteins such as α-synuclein16. MPO also induces the formation of tyrosyl radical and phenolic cross-linking on proteins, which are generally detected at sites of inflammation6,59,60. Choi et al. report that the elimination of MPO in the brain ameliorates lesion-induced nigrostriatal damage and reduces the content of hypochlorite-modified proteins in the substantia nigra in PD17.
The elevated MPO activity in age-related inflammatory diseases, such as CAD and diabetic atherosclerosis, reflects the activation of circulating leukocytes, as well as neutrophils and macrophages infiltrating damaged tissues4,7,61–66. We are tempted to speculate that, in idiopathic PD, blood leukocytes would play a role in brain inflammation and the toxic environment around substantia nigra dopaminergic neurons through the production of hyperactive MPO and other inflammatory factors.
The reason why the substantia nigra is selectively damaged in PD is unknown, but it is of great interest that, in other neuropathological conditions such as brain stroke, blood MPO concentration is enhanced, and leukocytes accumulate near the damaged brain area and release a substantial amount of hypochlorite that penetrates the brain parenchyma25,67–69. Similar phenomena may occur in human PD. The results of epidemiological studies on the relationship between PD and stroke are contradictory70,71, and the history of stroke is similar in the patients and controls in our study. However, it can be hypothesized that PD could be related to the occurrence of microstrokes (microinfarcts or microhemorrhages) which affect nigrostriatal regions. In this context, cerebral microinfarcts in the basal ganglia are a common finding at brain autopsy in individuals with age-related degenerative diseases72,73, and even a single microstroke can cause cell death in the ischemic region73–75. Cerebral small vessel disease, a vascular disease characterized by lacunar infarcts and microbleeds causing blood-brain barrier damage, is also commonly seen on neuroimaging in PD76–78.
Following microvascular damage, leukocytes would accumulate near the damaged area, and in addition, subsequent lesion of the blood-brain barrier may allow leukocytes to transmigrate into the brain75. Consistent with this, alterations of the blood-brain barrier are frequently observed in nigrostriatal regions in patients with PD79, and the blood monocyte population is hyper-inflamed, infiltrates the brain and contributes to PD progression80,81. Furthermore, Gellhaar and colleagues report the presence of MPO-positive blood-derived cells in the vessel wall or neighboring parenchyma, in nigrostriatal regions of the postmortem tissue in PD patients31. In summary, nigral dopaminergic neurons would be exposed to the deleterious effect of hypochlorite and oxidant species from leukocytes, and a self-perpetuating inflammatory and neurodegenerative process would probably be triggered.
The hypothesis also fits well with the theory of peripheral initiation of PD, which states that the intestinal plexuses are the first affected by the parkinsonian process82–84. According to our hypothesis, microstrokes at the enteric level would induce leukocyte-MPO overactivity, leukocyte infiltration, and formation of aggregates of misfolded α-synuclein that, interestingly, are generally observed along the gastrointestinal tract in patients with PD82–88. The abnormal α-synuclein would disseminate and end up affecting the substantia nigra and other brain structures, according to Braak’s staging model for PD83.
The association of MPO activity with PD status is further supported by the observed relationship between MPO overactivity and mental depression, a disorder which often precedes the emergence of motor features in Parkinsonian patients and is considered a risk factor for having PD89–91. Several authors already report that MPO expression and MPO enzyme coding gene in blood are important for the regulation of cognitive functioning in depressive disorders92–94. MPO is one of the pro-inflammatory factors involved in the inflammatory theory of depression94,95.
The association of MPO activity with PD status is evident despite the use of statins, non-steroidal anti-inflammatory drugs, beta-blockers, and angiotensin-converting enzyme inhibitors, drugs which modify blood MPO concentration or activity in other pathologies4,96–102. There are no significant differences in serum MPO activity in patients or controls taking versus not taking beta-blockers, and angiotensin-converting enzyme inhibitors (P > 0.07 for all comparisons). Only statins and NSAIDs significantly reduce serum MPO activity although, as explained, the association of these drugs with PD status does not survive correction for multiple testing.
The observed relationship between statins, NSAIDs, MPO activity and PD status is worth discussing because, if use of statins or NSAIDs reduces serum MPO activity without being associated with PD status, the results would suggest that low serum MPO activity is not, in fact, related to lower odds of having PD. Regarding statins, one possible explanation is that statins per se have detrimental effects on the development of PD, thus canceling out the beneficial effects of reduced MPO activity. In this context, several studies indicate that statin use is associated with an increased risk of PD and may facilitate the development of PD103–105. The harmful potential of statins can also be attributed to their action on metabolic mechanisms that are important in the pathogenesis of PD, such as oxidative stress, disrupted mitochondrial function, and ferroptosis, a cell death mechanism associated with iron dyshomeostasis that has recently been linked to neurodegenerative diseases106–108. With respect to NSAIDs, epidemiological studies indicate that acetylsalicylate and non-aspirin NSAIDs, widely used nonsteroidal drugs that have anti-inflammatory effects in experimental models of PD, do not appear to be directly related to lower odds of PD occurrence in humans109–115.
Finally, both serum MPO concentration and activity increase with increasing intensity of the dopaminergic medication regimen expressed as LEDD. The antiparkinsonian medication regimen is a combination of levodopa, dopamine agonists, and supportive medication that potentiates dopaminergic effects116–118. According to logistic regression analysis, the association between serum MPO activity and PD status does not appear to be influenced by antiparkinsonian regimen. However, statistical correlations between MPO and LEDD or PD status are approximately equivalent in strength (P < 0.0001 for all correlations). Logistic regression has been criticized due to possible overfitting effects, and it would be hard to distinguish between diagnostic category and medication status, since they are confounded. Therefore, it cannot be ruled out that the association between serum MPO activity and PD status is influenced by antiparkinsonian medication.
In conclusion, both MPO concentration and activity in blood serum increase in PD patients, but only enzyme activity is associated with PD status. Since hyperactivity of MPO in blood serum may be a marker of microvascular stroke, it is put forth the hypothesis that microstrokes could underly the observed association between MPO activity and PD status. Mental depression enhances MPO activity and is directly related to higher odds of having PD. Statins and non-steroidal anti-inflammatory drugs reduce serum MPO activity, but the possible association with PD status does not survive correction for multiple testing. These findings may have implications for PD assessment.
The present study has some limitations that must be acknowledged. We cannot infer causality or statistical risk because this is a cross-sectional, not longitudinal, study design. Larger studies are required to support the value of serum MPO activity as a factor associated with PD status, as well as to better discern the influence of antiparkinsonian medication on this association. In addition, we collected blood serum in the morning, but MPO concentration and activity may not be stable throughout the day, so studies should be performed to account for possible daily variations in serum MPO. Neuropathological confirmation of PD was not performed, and data need to be correlated with neuropathological examination. On the other hand, strengths of our study include well-characterized parkinsonian patients and controls, rigorous data collection, and the use of univariate and multivariate analyses with additional adjustment for ongoing medication factors.
Methods
Participants and clinical assessment
Based on logistic regression power calculations (assuming two groups with equal size), we estimated that 194 patients were needed to provide 80% power (β = 20) to detect a statistically significant (α = 0.05) odds ratio of at least 1.5 for presence of PD in the study population (minimum size of each group = 97). Finally, 199 participants were studied, including 101 patients with idiopathic PD and 98 control subjects without PD.
This case-control study was carried out at Hospital Universitario Macarena, Hospital Universitario Valme (Sevilla, Spain) and Hospital Regional (Málaga, Spain), from 2013 to 2021. Patients were diagnosed following established criteria for clinical diagnosis119,120. To sum up, expert neurologists diagnosed PD if the subject presented bradykinesia plus rest tremor or rigidity, together with a reliable loss of dopamine-transporter signal on basal ganglia as measured with dopamine-transporter single-photon emission computed tomography (DAT-SPECT) at the Department of Nuclear Medicine. Control subjects were recruited from patients´ non-blood relatives or volunteers and were matched by age and sex with PD subjects. The patients had an age-at-PD onset of 45–75 years.
Clinical information: inclusion and exclusion criteria
A standardized study was carried out, including demographics and clinical information. Self-report variables were age (y), sex, and education (y). Age and sex are important PD risk and MPO-modifying factors24,27,41,44,46. Age was analyzed as continuous factor (chronological age, years) and categorical variable (middle-age, 45–64 years old; elderly, 65 years of age and older). Most of the clinical information was included at the time of consultation and a prospective review of the medical record allowed the remaining patient data to be evaluated. Serum MPO was measured in all participants who met inclusion criteria.
Clinical information included pathological conditions which are associated with higher PD risk such as hypertension, dysthyroidism, and type 2 diabetes mellitus40–42,44–52, or that are known to modify blood MPO concentration or activity such as dyslipidemia, coronary artery disease, stroke, inflammatory bowel disease, and respiratory inflammatory disease6 (subsequently only a disease affecting more than 10% of subjects was used for statistical analysis). Hypertension was diagnosed when blood pressure exceeded 140 mmHg (systolic) and/or 90 mmHg (diastolic) in two measurements fifteen days apart. Dysthyroidism encompassed hypothyroidism and hyperthyroidism. Diabetes mellitus was diagnosed according to WHO criteria (fasting plasma glucose ≥126 mg/dl or 2–h plasma glucose ≥200 mg/dl). Dyslipidemia was diagnosed when blood triglycerides content >250 mg/dl, cholesterol >200 mg/dl, or HDL levels <35 mg/dl. Inflammatory bowel disease included ulcerative colitis and Crohn´s disease. Respiratory inflammatory disease encompassed asthma, cystic fibrosis, and chronic obstructive pulmonary disease. Depression and anxiety, psychiatric diseases that are commonly found in PD patients, were also tested121–123. Depression was assessed by psychiatrists at the Department of Psychiatry, by using DSM-IV-R criteria, and the Beck Depression Inventory-II Spanish Version (BDI-II)124,125. Generalized anxiety disorder was evaluated using the Spanish version of the Hamilton anxiety rating scale (HAM-A)126,127.
Regarding pharmacological factors, all the participants were taking drugs, and the more important medication factors were tested, as follows: hypertension treated with ACEIs, hypertension treated with diuretics, hypertension treated with calcium antagonists, use of β-blockers, antithyroid drug therapy, levothyroxine therapy, insulin use, type 2 diabetes mellitus treated with metformin, type 2 diabetes mellitus treated with combination of metformin and aGLP-1, dyslipidemia with lifestyle and dietary modifications, statins use, NSAIDs use, use of SSRI antidepressants, use of non-SSRI antidepressants, and benzodiazepine therapy. Some of the former medications are known to modify MPO levels in some pathologies, including statins, non-steroidal anti-inflammatory drugs, beta-blockers, and angiotensin-converting enzyme inhibitors97–99. Finally, treatment with dopaminergic drugs of PD patients was taken into account. Dopaminergic medication was expressed as levodopa equivalent daily dose (LEDD, mg). The calculation of the equivalent daily dose of levodopa was based on the established formula116–118. The LEDD was calculated in the entire population (LEDD value was 0 mg in controls). All medication factors were categorical (yes versus no) except LEDD (continuous variable). Apart from the information provided by the medical records, participants were asked to provide precise information on the use (frequency and dosage) of medications. Only people who took medication continuously for more than 6 months before the study were included.
To exclude other forms of parkinsonism, patients with atypical deficits, family members with PD or vascular parkinsonism were ruled out. Vascular parkinsonism was diagnosed based on clinical and neuroimaging criteria (topology of motor impairment and evidence of advanced microangiopathy). Another exclusion criterion was therapy with Deep Brain Stimulation (DBS). Control participants were excluded if they had a first-degree relative with PD. Individuals suffering hematological and autoimmune diseases, as well as infectious conditions, malabsorption, morbid obesity, acquired immunodeficiency syndrome, and cancer, were excluded from the study. Body mass index (BMI) was measured at the clinic and morbid obesity was diagnosed when the BMI was greater than 35 kg/m2. All participants in the study were non-smokers, non-alcohol drinkers, and non-coffee drinkers128–130.
Blood collection and MPO analysis
Three ml of blood was collected by cephalic vein puncture, from 9 to 12 h in the morning. Serum was obtained by using a serum separator tube (BD Vacuotainer, Barcelona, Spain). Serum was centrifuged at 3000 rpm for 10 min and was immediately aliquoted (500 µl), coded, and frozen at −80 °C. Myeloperoxidase concentration was evaluated with a commercially available Enzyme-linked Immunosorbent Assay kit (Human Myeloperoxidase ELISA Kit, ref. ab119605, Abcam, Cambridge, UK), following the manufacturer’s instructions. The sensitivity of the ELISA assay with human biofluids is ~10 pg/mL. Myeloperoxidase activity was measured with an Enzyme activity assay kit (Myeloperoxidase Activity Assay Kit, Colorimetric, ab105136, Abcam), following manufacturers´ instructions. Serum samples were homogenized with a solution containing 50 mM HEPES, 150 mM NaCl, 0.6 µm leupeptin, 1 mM phenylmethylsulfonil fluoride, and 1% Triton X-100 (pH 7.4). The assay kit can be used to detect myeloperoxidase as low as 0.05 mU per well. The minimum reaction period was 10 min, and each sample was analyzed in duplicate (1/50 dilution). One unit of MPO is defined as the amount of MPO which generates taurine chloramine to consume 1.0 µmol of TNB per minute (25 °C). Measurements were taken from distinct samples, and each analysis was replicated twice. The investigator was blinded to group allocation during analysis. The Human Myeloperoxidase ELISA kit and the Myeloperoxidase Activity Assay Kit had already been used in our laboratory, with results similar to those of this study, but using smaller cohorts131.
Statistics and ethics
Data are expressed as mean (±standard deviation or SD) for continuous measures and as frequency (percentage) for categorical measures. Data normalization was verified by the Shapiro-Wilk test. The groups of patients and controls were compared with the Student´s t-test (continuous measures) or the χ2 test (categorical measures). Unadjusted trends for PD rates with increasing MPO concentration or activity were evaluated with the Cochran-Armitage trend test. MPO concentration or activity was ordered in tertiles (low, medium, high), because it provides more homogeneous information than ordering in quartiles or deciles (data not shown). The association of MPO concentration or activity with PD status (dependent factor) was assessed by logistic regression models and calculation of unadjusted and adjusted Odds Ratios (ORs). Correlation of MPO activity with clinical variables was performed using Pearson’s rank correlation test (two-tailed). To identify associations of PD status with MPO concentration or activity, covariates were traditional PD risk factors (chronological age, sex, hypertension, dysthyroidism, and type 2 diabetes mellitus)40–42,44–52 and factors found to be significantly correlated with MPO. Collinear variables (those showing Pearson correlation > 0.5) were removed before multivariable analysis, as were levothyroxine therapy (only dysthyroidism was tested), and dyslipidemia (which was filtered out to test statins use). All variables were studied in the entire population. Statistical analyses were carried out using IBM SPSS Statistical Version 22 (IBM, Armonk, NY, USA) or Microsoft Excel for Office16. Sample size was calculated to determine the number of subjects for adequate study power with the “Sample Size Calculator” (website, https://sample-size.net/logistic-regression-sample-size/)132.
All protocols were approved by the internal ethics and scientific boards of Comité de Etica de Investigación de la Junta de Andalucia (PEIBA, CEI-SevillaSur #201510520554-1 & #2017121418738), Hospital Universitario Macarena (CEI#19/05/2010 & CEI#2149-29/10/2013), Hospital Universitario Valme (CEI-Valme, #10/05/2018 & #1694-M1-19), and University of Seville (CEE-27/05/2010 & Seccion-Investigacion/Gd-21/06/2010). The subjects’ consent was obtained according to the Declaration of Helsinki (BMJ 1991; 302: 1194).
Acknowledgements
The authors thank Fernando Rodríguez de Fonseca (Instituto de Biomedicina, Málaga) and Pedro Serrano (Department of Neurology, Hospital Regional, Málaga) for scientific help and helpful comments on the manuscript; Ana Luisa Gavito for technical help (Instituto de Biomedicina, Málaga); Guillermo Izquierdo, Angel Rico, and Eva Cuartero for allowing the use of the facilities of Hospital Macarena and Hospital Valme; José Manuel García-Moreno (Department of Neurology, Hospital Macarena and Virgen del Valle Medical Center, Sevilla), Fátima Damas-Hermoso (Department of Neurology, Hospital Macarena and Hospital Valme, Sevilla), Carolina Méndez Lucena (Department of Neurology, Hospital Macarena) and Ángel Martín de Pablos (Department of Surgery, Anesthesia Unit, Hospital Macarena) for their clinical work and biofluids collection; Ana Santurtún (Universidad de Cantabria/IDIVAL, Santander) and Cinta Calvo Morón (Department of Nuclear Medicine, Hospital Macarena) for DAT-SPECT studies, and Maria-Isabel Garcia-Sánchez and the Biobanco Hospitalario Macarena (National Biobank Network, Instituto de Salud Carlos III, Madrid) for her work with the storage of samples. The authors are most grateful to all patients and control subjects who participated in this study. Some experiments were run at the School of Medicine, University of Seville. This work was supported by grants to E.F.E. from Sociedad Andaluza de Neurología (SUBAIA2015/006) and Consejería de Economía, Innovación y Ciencia, Junta de Andalucía (CVI127). The funding sources were not involved in the design of the study, the collection, analysis and interpretation of the data, the writing of the report or the decision to submit the article for publication.
Author contributions
Conceptualization, funding acquisition, project administration, supervision and writing – original draft: E.F.E. Methodology, investigation, visualization, writing – review & editing: E.F.E., M.M.G., S.C.
Data availability
The datasets used and/or analyzed during the current study are available from Dr. Emilio Fernández Espejo upon reasonable request.
Competing interests
The authors declare no competing interests.
Footnotes
Publisher’s note Springer Nature remains neutral with regard to jurisdictional claims in published maps and institutional affiliations.
References
- 1.Zhang, R. et al. Association between myeloperoxidase levels and risk of coronary artery disease. JAMA286, 2136–2142 (2001). [DOI] [PubMed] [Google Scholar]
- 2.Baldus, S. et al. CAPTURE Investigators. Myeloperoxidase serum levels predict risk in patients with acute coronary syndromes. Circulation108, 1440–1445 (2003). [DOI] [PubMed] [Google Scholar]
- 3.Sela, S. et al. Primed peripheral polymorphonuclear leukocyte: a culprit underlying chronic low-grade inflammation and systemic oxidative stress in chronic kidney disease. J. Am. Soc. Nephrol.16, 2431–2438 (2005). [DOI] [PubMed] [Google Scholar]
- 4.Stenvinkel, P. et al. Statin treatment and diabetes affect myeloperoxidase activity in maintenance hemodialysis patients. Clin. J. Am. Soc. Nephrol.1, 281–287 (2006). [DOI] [PubMed] [Google Scholar]
- 5.Khan, A. A., Alsahli, M. A. & Rahmani, A. H. Myeloperoxidase as an active disease biomarker: recent biochemical and pathological perspectives. Med. Sci.6, 33 (2018). [DOI] [PMC free article] [PubMed] [Google Scholar]
- 6.Davies, M. J. & Hawkins, C. L. The role of myeloperoxidase in biomolecule modification, chronic inflammation, and disease. Antioxid. Redox Signal.32, 957–981 (2020). [DOI] [PubMed] [Google Scholar]
- 7.Mullane, K. M., Kraemer, R. & Smith, B. Myeloperoxidase activity as a quantitative assessment of neutrophil infiltration into ischemic myocardium. J. Pharmacol. Methods14, 157–167 (1985). [DOI] [PubMed] [Google Scholar]
- 8.Devos, D. et al. Colonic inflammation in Parkinson’s disease. Neurobiol. Dis.50, 42–48 (2013). [DOI] [PubMed] [Google Scholar]
- 9.Kataoka, Y. et al. Myeloperoxidase levels predict accelerated progression of coronary atherosclerosis in diabetic patients: insights from intravascular ultrasound. Atherosclerosis232, 377–383 (2014). [DOI] [PMC free article] [PubMed] [Google Scholar]
- 10.Ramachandra, C. J. A. et al. Myeloperoxidase as a multifaceted target for cardiovascular protection. Antioxid. Redox Signal.32, 1135–1149 (2020). [DOI] [PubMed] [Google Scholar]
- 11.Jeitner, T. M. et al. Linking inflammation and parkinson disease: hypochlorous acid generates parkinsonian poisons. Toxicol. Sci.151, 388–402 (2016). [DOI] [PMC free article] [PubMed] [Google Scholar]
- 12.Eiserich, J. P. et al. Formation of nitric oxide-derived inflammatory oxidants by myeloperoxidase in neutrophils. Nature391, 393–397 (1998). [DOI] [PubMed] [Google Scholar]
- 13.Arnhold, J. & Flemmig, J. Human myeloperoxidase in innate and acquired immunity. Arch. Biochem. Biophys.500, 92–106 (2010). [DOI] [PubMed] [Google Scholar]
- 14.Klebanoff, S. J., Kettle, A. J., Rosen, H., Winterbourn, C. C. & Nauseef, W. M. Myeloperoxidase: a front-line defender against phagocytosed microorganisms. J. Leukoc. Biol.93, 185–198 (2013). [DOI] [PMC free article] [PubMed] [Google Scholar]
- 15.Vlasova, I. I. Peroxidase activity of human hemoproteins: keeping the fire under control. Molecules23, 2561 (2018). [DOI] [PMC free article] [PubMed] [Google Scholar]
- 16.Maki, R. A. et al. Human myeloperoxidase (hMPO) is expressed in neurons in the substantia nigra in Parkinson’s disease and in the hMPO-α-synuclein-A53T mouse model, correlating with increased nitration and aggregation of α-synuclein and exacerbation of motor impairment. Free Radic. Biol. Med.141, 115–140 (2019). [DOI] [PMC free article] [PubMed] [Google Scholar]
- 17.Choi, D. K. et al. Ablation of the inflammatory enzyme myeloperoxidase mitigates features of Parkinson’s disease in mice. J. Neurosci.25, 6594–6600 (2005). [DOI] [PMC free article] [PubMed] [Google Scholar]
- 18.Soubhye, J. et al. Myeloperoxidase as a target for the treatment of inflammatory syndromes: mechanisms and structure activity relationships of inhibitors. Curr. Med. Chem.23, 3975–4008 (2016). [DOI] [PubMed] [Google Scholar]
- 19.Ray, R. S. & Katyal, A. Myeloperoxidase: Bridging the gap in neurodegeneration. Neurosci. Biobehav. Rev.68, 611–620 (2016). [DOI] [PubMed] [Google Scholar]
- 20.Hirsch, E. C. & Hunot, S. Neuroinflammation in Parkinson’s disease: a target for neuroprotection?. Lancet Neurol.8, 382–397 (2009). [DOI] [PubMed] [Google Scholar]
- 21.Green, P. S. et al. Neuronal expression of myeloperoxidase is increased in Alzheimer’s disease. J. Neurochem.90, 724–733 (2004). [DOI] [PubMed] [Google Scholar]
- 22.Vaccarino, V. et al. National Heart, Lung, and Blood Institute. Depression, inflammation, and incident cardiovascular disease in women with suspected coronary ischemia: the National Heart, Lung, and Blood Institute-sponsored WISE study. J. Am. Coll. Cardiol.50, 2044–2050 (2007). [DOI] [PubMed] [Google Scholar]
- 23.Gómez García, A., Rodríguez, R. ivera, Gómez Alonso, M., Rodríguez Ochoa, C. & Alvarez Aguilar, D. Y. C. Myeloperoxidase is associated with insulin resistance and inflammation in overweight subjects with first-degree relatives with type 2 diabetes mellitus. Diab. Metab. J.39, 59–65 (2015). [DOI] [PMC free article] [PubMed] [Google Scholar]
- 24.Casciaro, M. et al. Chlorinative stress in age-related diseases: a literature review. Immun. Ageing14, 21 (2017). [DOI] [PMC free article] [PubMed] [Google Scholar]
- 25.Cojocaru, I. M. et al. Plasma myeloperoxidase levels in patients with acute ischemic stroke. Rom. J. Intern. Med.48, 101–104 (2010). [PubMed] [Google Scholar]
- 26.Li, X. et al. Inflammation and aging: signaling pathways and intervention therapies. Signal. Transduct. Target Ther.8, 239 (2023). [DOI] [PMC free article] [PubMed] [Google Scholar]
- 27.Guo, J. et al. Aging and aging-related diseases: from molecular mechanisms to interventions and treatments. Signal. Transduct. Target Ther.7, 391 (2022). [DOI] [PMC free article] [PubMed] [Google Scholar]
- 28.Yap, Y. W., Whiteman, M. & Cheung, N. S. Chlorinative stress: an underappreciated mediator of neurodegeneration?. Cell. Signal.9, 219–228 (2007). [DOI] [PubMed] [Google Scholar]
- 29.Galzigna, L., De Iuliis, A. & Zanatta, L. Enzymatic dopamine peroxidation in substantia nigra of human brain. Clin. Chim. Acta300, 131–138 (2000). [DOI] [PubMed] [Google Scholar]
- 30.Vijiaratnam, N., Simuni, T., Bandmann, O., Morris, H. R. & Foltynie, T. Progress towards therapies for disease modification in Parkinson’s disease. Lancet Neurol.20, 559–572 (2021). [DOI] [PubMed] [Google Scholar]
- 31.Gellhaar, S., Sunnemark, D., Eriksson, H., Olson, L. & Galter, D. Myeloperoxidase-immunoreactive cells are significantly increased in brain areas affected by neurodegeneration in Parkinson’s and Alzheimer’s disease. Cell. Tissue Res.369, 445–454 (2017). [DOI] [PMC free article] [PubMed] [Google Scholar]
- 32.Malle, E., Furtmüller, P. G., Sattler, W. & Obinger, C. Myeloperoxidase: a target for new drug development?. Br. J. Pharmacol.152, 838–854 (2007). [DOI] [PMC free article] [PubMed] [Google Scholar]
- 33.Jucaite, A. et al. Effect of the myeloperoxidase inhibitor AZD3241 on microglia: a PET study in Parkinson’s disease. Brain138, 2687–2700 (2015). [DOI] [PubMed] [Google Scholar]
- 34.Reynolds, W. F., Malle, E. & Maki, R. A. Thiocyanate reduces motor impairment in the hMPO-A53T PD mouse model while reducing MPO-oxidation of alpha synuclein in enlarged LYVE1/AQP4 positive periventricular glymphatic vessels. Antioxidants11, 2342 (2022). [DOI] [PMC free article] [PubMed] [Google Scholar]
- 35.Chung, Y. C., Kim, S. R. & Jin, B. K. Paroxetine prevents loss of nigrostriatal dopaminergic neurons by inhibiting brain inflammation and oxidative stress in an experimental model of Parkinson’s disease. J. Immunol.185, 1230–1237 (2010). [DOI] [PubMed] [Google Scholar]
- 36.Fernández-Espejo, E. Enhanced serum myeloperoxidase level correlates with clinical features of Parkinson’s disease. R. Acad. Nac. Med.139, 44–54 (2022). [Google Scholar]
- 37.Liang, H. W., Huang, Y. P. & Pan, S. L. Parkinson disease and risk of acute myocardial infarction: a population-based, propensity score-matched, longitudinal follow-up study. Am. Heart J.169, 508–514 (2015). [DOI] [PubMed] [Google Scholar]
- 38.Chua, S. K. K., Saffari, S. E., Lee, S. J. Y. & Tan, E. K. Association between Parkinson’s disease and coronary artery disease: a systematic review and meta-analysis. J. Parkinsons Dis.12, 1737–1748 (2022). [DOI] [PMC free article] [PubMed] [Google Scholar]
- 39.Chohan, H. et al. Type 2 diabetes as a determinant of Parkinson’s disease risk and progression. Mov. Disord.36, 1420–1429 (2021). [DOI] [PMC free article] [PubMed] [Google Scholar]
- 40.Aune, D. et al. Diabetes mellitus, prediabetes, and the risk of Parkinson’s disease: a systematic review and meta-analysis of 15 cohort studies with 29.9 million participants and 86,345 cases. Eur. J. Epidemiol.38, 591–604 (2023). [DOI] [PMC free article] [PubMed] [Google Scholar]
- 41.Gialluisi, A. et al. Risk and protective factors in Parkinson’s disease: a simultaneous and prospective study with classical statistical and novel machine learning models. J. Neurol.270, 4487–4497 (2023). [DOI] [PubMed] [Google Scholar]
- 42.Chen, J., Zhang, C., Wu, Y. & Zhang, D. Association between hypertension and the risk of Parkinson’s disease: a meta-analysis of analytical studies. Neuroepidemiology52, 181–192 (2019). [DOI] [PubMed] [Google Scholar]
- 43.Katsi, V. et al. Management of hypertension and blood pressure dysregulation in patients with Parkinson’s disease-a systematic review. Curr. Hypertens. Rep.23, 26 (2021). [DOI] [PubMed] [Google Scholar]
- 44.Reeve, A., Simcox, E. & Turnbull, D. Ageing and Parkinson’s disease: why is advancing age the biggest risk factor?. Ageing Res. Rev.14, 19–30 (2014). [DOI] [PMC free article] [PubMed] [Google Scholar]
- 45.Collier, T. J., Kanaan, N. M. & Kordower, J. H. Aging and Parkinson’s disease: different sides of the same coin?. Mov. Disord.32, 983–990 (2017). [DOI] [PMC free article] [PubMed] [Google Scholar]
- 46.Belvisi, D. et al. Risk factors of Parkinson disease: Simultaneous assessment, interactions, and etiologic subtypes. Neurology95, e2500–e2508 (2020). [DOI] [PMC free article] [PubMed] [Google Scholar]
- 47.Cho, Y. Y. Graves´ disease and the risk of Parkinson´s disease: a Korean population-based study. Brain Comunn.4, fcac014 (2022). [DOI] [PMC free article] [PubMed] [Google Scholar]
- 48.Chen, S. F., Yang, Y. C., Hsu, C. Y. & Shen, Y. C. Risk of Parkinson’s disease in patients with hypothyroidism: A nationwide population-based cohort study. Parkinsonism Relat. Disord.74, 28–32 (2000). [DOI] [PubMed] [Google Scholar]
- 49.Lin, S. R., Chen, S. F., Yang, Y. C., Hsu, C. Y. & Shen, Y. C. Association between hyperthyroidism and risk of incident in Parkinson’s disease. Endocr. Connect.10, 13–20 (2021). [DOI] [PMC free article] [PubMed] [Google Scholar]
- 50.Jeong, S. M. et al. Body mass index, diabetes, and the risk of Parkinson’s disease. Mov. Disord.35, 236–244 (2020). [DOI] [PubMed] [Google Scholar]
- 51.Cheong, J. L. Y., de Pablo-Fernandez, E., Foltynie, T. & Noyce, A. J. The association between type 2 diabetes mellitus and Parkinson’s disease. J. Parkinsons. Dis.10, 775–789 (2020). [DOI] [PMC free article] [PubMed] [Google Scholar]
- 52.Charoenngam, N., Rittiphairoj, T., Ponvilawan, B. & Prasongdee, K. Thyroid dysfunction and risk of Parkinson’s disease: a systematic review and meta-analysis. Front. Endocrinol.4, 863281 (2022). [DOI] [PMC free article] [PubMed] [Google Scholar]
- 53.Yap, Y. W. et al. Hypochlorous acid induces apoptosis of cultured cortical neurons through activation of calpains and rupture of lysosomes. J. Neurochem.98, 1597–1609 (2006). [DOI] [PubMed] [Google Scholar]
- 54.Yap, Y. W. et al. Temporal transcriptomic profiling reveals cellular targets that govern survival in HOCl-mediated neuronal apoptosis. Life Sci.87, 457–467 (2010). [DOI] [PubMed] [Google Scholar]
- 55.Jeitner, T. M. et al. Inflaming the diseased brain: a role for tainted melanins. Biochim. Biophys. Acta1852, 937–950 (2015). [DOI] [PMC free article] [PubMed] [Google Scholar]
- 56.Robaszkiewicz, A., Bartosz, G. & Soszyński, M. N-chloroamino acids cause oxidative protein modifications in the erythrocyte membrane. Mech. Ageing Dev.129, 572–579 (2008). [DOI] [PubMed] [Google Scholar]
- 57.Nusshold, C. et al. Hypochlorite modification of sphingomyelin generates chlorinated lipid species that induce apoptosis and proteome alterations in dopaminergic PC12 neurons in vitro. Free Radic. Biol. Med.48, 1588–1600 (2010). [DOI] [PMC free article] [PubMed] [Google Scholar]
- 58.Segura-Aguilar, J. et al. Protective and toxic roles of dopamine in Parkinson’s disease. J. Neurochem.129, 898–915 (2014). [DOI] [PubMed] [Google Scholar]
- 59.Hazen, S. L., D’Avignon, A., Anderson, M. M., Hsu, F. F. & Heinecke, J. W. Human neutrophils employ the myeloperoxidase-hydrogen peroxide-chloride system to oxidize alpha-amino acids to a family of reactive aldehydes. Mechanistic studies identifying labile intermediates along the reaction pathway. J. Biol. Chem.273, 4997–5005 (1998). [DOI] [PubMed] [Google Scholar]
- 60.Witko-Sarsat, V., Nguyen Khoa, T., Jungers, P., Drüeke, T. & Descamps-Latscha, B. Advanced oxidation protein products: oxidative stress markers and mediators of inflammation in uremia. Adv. Nephr. Necker Hosp.28, 321–341 (1998). [PubMed] [Google Scholar]
- 61.Biasucci, L. M. et al. Intracellular neutrophil myeloperoxidase is reduced in unstable angina and acute myocardial infarction, but its reduction is not related to ischemia. J. Am. Coll. Cardiol.27, 611–616 (1996). [DOI] [PubMed] [Google Scholar]
- 62.Sugiyama, S. et al. Macrophage myeloperoxidase regulation by granulocyte macrophage colony-stimulating factor in human atherosclerosis and implications in acute coronary syndromes. Am. J. Pathol.158, 879–891 (2001). [DOI] [PMC free article] [PubMed] [Google Scholar]
- 63.Watanabe, S., Alexander, M., Misharin, A. V. & Budinger, G. R. S. The role of macrophages in the resolution of inflammation. J. Clin. Invest.129, 2619–2628 (2019). [DOI] [PMC free article] [PubMed] [Google Scholar]
- 64.Sanin, D. E. et al. A common framework of monocyte-derived macrophage activation. Sci. Immunol.7, eabl7482 (2022). [DOI] [PMC free article] [PubMed] [Google Scholar]
- 65.Davies, M. J., Hawkins, C. L., Pattison, D. I. & Rees, M. D. Mammalian heme peroxidases: from molecular mechanisms to health implications. Antioxid. Redox Signal.10, 1199–1234 (2008). [DOI] [PubMed] [Google Scholar]
- 66.van der Veen, B. S., de Winther, M. P. & Heeringa, P. Myeloperoxidase: molecular mechanisms of action and their relevance to human health and disease. Antioxid. Redox Signal.11, 2899–2937 (2009). [DOI] [PubMed] [Google Scholar]
- 67.Breckwoldt, M. O. et al. Tracking the inflammatory response in stroke in vivo by sensing the enzyme myeloperoxidase. Proc. Natl. Acad. Sci. USA105, 18584–18589 (2008). [DOI] [PMC free article] [PubMed] [Google Scholar]
- 68.Dohi, K. et al. Gp91phox (NOX2) in classically activated microglia exacerbates traumatic brain injury. J. Neuroinflamm.7, 41 (2010). [DOI] [PMC free article] [PubMed] [Google Scholar]
- 69.Zheng, G. R. et al. Serum myeloperoxidase concentrations for outcome prediction in acute intracerebral hemorrhage. Clin. Chim. Acta487, 330–336 (2018). [DOI] [PubMed] [Google Scholar]
- 70.Mastaglia, F. L., Johnsen, R. D. & Kakulas, B. A. Prevalence of stroke in Parkinson’s disease: a postmortem study. Mov. Disord.17, 772–774 (2002). [DOI] [PubMed] [Google Scholar]
- 71.Alves, M., Caldeira, D., Ferro, J. M. & Ferreira, J. J. Does Parkinson’s disease increase the risk of cardiovascular events?: a systematic review and meta-analysis. Eur. J. Neurol.27, 288–296 (2020). [DOI] [PubMed] [Google Scholar]
- 72.van Veluw, S. J. et al. Detection, risk factors, and functional consequences of cerebral microinfarcts. Lancet Neurol.16, 730–740 (2017). [DOI] [PMC free article] [PubMed] [Google Scholar]
- 73.Zarola, F. Incidence of brain vascular damage in a population with Parkinson’s disease: statistical comparison by age subassemblies with age homogeneous control groups. Cureus12, e8778 (2020). [DOI] [PMC free article] [PubMed] [Google Scholar]
- 74.Nishimura, N. & Schaffer, C. B. Big effects from tiny vessels: imaging the impact of microvascular clots and hemorrhages on the brain. Stroke44, S90–S92 (2013). [DOI] [PMC free article] [PubMed] [Google Scholar]
- 75.Shih, A. Y. et al. The smallest stroke: occlusion of one penetrating vessel leads to infarction and a cognitive deficit. Nat. Neurosci.16, 55–63 (2013). [DOI] [PMC free article] [PubMed] [Google Scholar]
- 76.Yu, C. C. et al. Vascular inflammation is a risk factor associated with brain atrophy and disease severity in Parkinson’s disease: a case-control study. Oxid. Med Cell Longev.14, 2591248 (2020). [DOI] [PMC free article] [PubMed] [Google Scholar]
- 77.Paoletti, F. P., Simoni, S., Parnetti, L. & Gaetani, L. The contribution of small vessel disease to neurodegeneration: focus on Alzheimer’s Disease, Parkinson’s disease and multiple sclerosis. Int. J. Mol. Sci.22, 4958 (2021). [DOI] [PMC free article] [PubMed] [Google Scholar]
- 78.Visser, A. E., de Vries, N. M., Richard, E. & Bloem, B. R. Tackling vascular risk factors as a possible disease modifying intervention in Parkinson’s disease. npj Parkinsons Dis.10, 50 (2024). [DOI] [PMC free article] [PubMed] [Google Scholar]
- 79.Sweeney, M. D., Sagare, A. P. & Zlokovic, B. V. Blood-brain barrier breakdown in Alzheimer disease and other neurodegenerative disorders. Nat. Rev. Neurol.14, 133–150 (2018). [DOI] [PMC free article] [PubMed] [Google Scholar]
- 80.Hasegawa, Y., Inagaki, T., Sawada, M. & Suzumura, A. Impaired cytokine production by peripheral blood mononuclear cells and monocytes/macrophages in Parkinson’s disease. Acta Neurol. Scand.101, 159–164 (2000). [DOI] [PubMed] [Google Scholar]
- 81.Grozdanov, V. et al. Inflammatory dysregulation of blood monocytes in Parkinson’s disease patients. Acta Neuropathol.128, 651–663 (2014). [DOI] [PMC free article] [PubMed] [Google Scholar]
- 82.Del Tredici, K., Rüb, U., De Vos, R. A., Bohl, J. R. & Braak, H. Where does parkinson disease pathology begin in the brain?. J. Neuropathol. Exp. Neurol.61, 413–426 (2002). [DOI] [PubMed] [Google Scholar]
- 83.Braak, H. et al. Staging of brain pathology related to sporadic Parkinson’s disease. Neurobiol. Aging24, 197–211 (2003). [DOI] [PubMed] [Google Scholar]
- 84.Del Tredici, K. & Braak, H. Lewy pathology and neurodegeneration in premotor Parkinson’s disease. Mov. Disord.27, 597–607 (2012). [DOI] [PubMed] [Google Scholar]
- 85.Wakabayashi, K. et al. Parkinson’s disease: the presence of Lewy bodies in Auerbach’s and Meissner’s plexuses. Acta Neuropathol.76, 217–221 (1988). [DOI] [PubMed] [Google Scholar]
- 86.Braak, H., de Vos, R. A., Bohl, J. & Del Tredici, K. Gastric alpha-synuclein immunoreactive inclusions in Meissner’s and Auerbach’s plexuses in cases staged for Parkinson’s disease-related brain pathology. Neurosci. Lett.396, 67–72 (2006). [DOI] [PubMed] [Google Scholar]
- 87.Beach, T. G. et al. Olfactory bulb alpha-synucleinopathy has high specificity and sensitivity for Lewy body disorders. Acta Neuropathol.117, 169–174 (2009). [DOI] [PMC free article] [PubMed] [Google Scholar]
- 88.Shannon, K. M. et al. Alpha-synuclein in colonic submucosa in early untreated Parkinson’s disease. Mov. Disord.27, 709–715 (2012) . [DOI] [PubMed] [Google Scholar]
- 89.Kalia, L. V. & Lang, A. E. Parkinson’s disease. Lancet386, 896–912 (2015). [DOI] [PubMed] [Google Scholar]
- 90.Gustafsson, H., Nordström, A. & Nordström, P. Depression and subsequent risk of Parkinson disease: a nationwide cohort study. Neurology84, 2422–2429 (2015). [DOI] [PMC free article] [PubMed] [Google Scholar]
- 91.Yoon, S. Y. et al. Depressive symptoms and the subsequent risk of Parkinson’s disease: a nationwide cohort study. Am. J. Geriatr. Psychiatry32, 339–348 (2024). [DOI] [PubMed] [Google Scholar]
- 92.Vaccarino, V. et al. Association of major depressive disorder with serum myeloperoxidase and other markers of inflammation: a twin study. Biol. Psychiatry64, 476–483 (2008). [DOI] [PMC free article] [PubMed] [Google Scholar]
- 93.Talarowska, M., Szemraj, J. & Gałecki, P. Myeloperoxidase gene expression and cognitive functions in depression. Adv. Med. Sci.60, 1–5 (2015). [DOI] [PubMed] [Google Scholar]
- 94.Gałecki, P. & Talarowska, M. Inflammatory theory of depression. Psychiatr. Pol.30, 437–447 (2018). [DOI] [PubMed] [Google Scholar]
- 95.Gałecki, P. et al. Functional polymorphism of the myeloperoxidase gene (G-463A) in depressive patients. Acta Neuropsychiatr.22, 218–222 (2010). [DOI] [PubMed] [Google Scholar]
- 96.Ndrepepa, G., Braun, S., Schömig, A. & Kastrati, A. Impact of therapy with statins, beta-blockers and angiotensin-converting enzyme inhibitors on plasma myeloperoxidase in patients with coronary artery disease. Clin. Res. Cardiol.100, 327–333 (2011). [DOI] [PubMed] [Google Scholar]
- 97.Nève, J., Parij, N. & Moguilevsky, N. Inhibition of the myeloperoxidase chlorinating activity by non-steroidal anti-inflammatory drugs investigated with a human recombinant enzyme. Eur. J. Pharmacol.417, 37–43 (2001). [DOI] [PubMed] [Google Scholar]
- 98.Van Antwerpen, P. et al. Inhibition of the myeloperoxidase chlorinating activity by non-steroidal anti-inflammatory drugs: flufenamic acid and its 5-chloro-derivative directly interact with a recombinant human myeloperoxidase to inhibit the synthesis of hypochlorous acid. Eur. J. Pharmacol.570, 235–243 (2007). [DOI] [PubMed] [Google Scholar]
- 99.de Sousa, C. N. S. et al. Anxiolytic effect of carvedilol in chronic unpredictable stress model. Oxid. Med. Cell. Longev.2022, 6906722 (2022). [DOI] [PMC free article] [PubMed] [Google Scholar]
- 100.Aruoma, O. I., Akanmu, D., Cecchini, R. & Halliwell, B. Evaluation of the ability of the angiotensin-converting enzyme inhibitor captopril to scavenge reactive oxygen species. Chem. Biol. Interact.77, 303–314 (1991). [DOI] [PubMed] [Google Scholar]
- 101.Kumar, A. P. & Reynolds, W. F. Statins downregulate myeloperoxidase gene expression in macrophages. Biochem. Biophys. Res. Commun.331, 442–451 (2005). [DOI] [PubMed] [Google Scholar]
- 102.Zhou, T. et al. The effect of atorvastatin on serum myeloperoxidase and CRP levels in patients with acute coronary syndrome. Clin. Chim. Acta368, 168–172 (2006). [DOI] [PubMed] [Google Scholar]
- 103.Liu, G. et al. Statins may facilitate Parkinson’s disease: Insight gained from a large, national claims database. Mov. Disord.32, 913–917 (2017). [DOI] [PMC free article] [PubMed] [Google Scholar]
- 104.Jeong, S. M., Jang, W. & Shin, D. W. Association of statin use with Parkinson’s disease: dose-response relationship. Mov. Disord.34, 1014–1021 (2019). [DOI] [PubMed] [Google Scholar]
- 105.Jeong, S. H. et al. Effects of statins on dopamine loss and prognosis in Parkinson’s disease. Brain144, 3191–3200 (2021). [DOI] [PubMed] [Google Scholar]
- 106.Ding, X. S. et al. Ferroptosis in Parkinson’s disease: Molecular mechanisms and therapeutic potential. Ageing Res. Rev.91, 102077 (2023). [DOI] [PubMed] [Google Scholar]
- 107.Peng, W., Qian, Y. & Qi, X. Efficacy of a novel glioma therapy based on ferroptosis induced by layered double hydroxide loaded with simvastatin. Environ. Res.238, 117112 (2023). [DOI] [PubMed] [Google Scholar]
- 108.Tang, W. J. et al. Pitavastatin induces autophagy-dependent ferroptosis in MDA-MB-231 cells via the mevalonate pathway. Heliyon10, e27084 (2024). [DOI] [PMC free article] [PubMed] [Google Scholar]
- 109.Wang, F. et al. Aspirin protects dopaminergic neurons against lipopolysaccharide-induced neurotoxicity in primary midbrain cultures. J. Mol. Neurosci.46, 153–161 (2012). [DOI] [PubMed] [Google Scholar]
- 110.Maharaj, D. S., Saravanan, K. S., Maharaj, H., Mohanakumar, K. P. & Daya, S. Acetaminophen and aspirin inhibit superoxide anion generation and lipid peroxidation, and protect against 1-methyl-4-phenyl pyridinium-induced dopaminergic neurotoxicity in rats. Neurochem. Int.44, 355–360 (2004). [DOI] [PubMed] [Google Scholar]
- 111.Chen, H. et al. Nonsteroidal anti-inflammatory drugs and the risk of Parkinson disease. Arch. Neurol.60, 1059–1064 (2003). [DOI] [PubMed] [Google Scholar]
- 112.Chen, H. et al. Nonsteroidal antiinflammatory drug use and the risk for Parkinson’s disease. Ann. Neurol.58, 963–967 (2005). [DOI] [PubMed] [Google Scholar]
- 113.Hernán, M. A. & Logroscino, G. & García Rodríguez, L.A. Nonsteroidal anti-inflammatory drugs and the incidence of Parkinson disease. Neurology66, 1097–1099 (2006). [DOI] [PubMed] [Google Scholar]
- 114.Bower, J. H., Maraganore, D. M., Peterson, B. J., Ahlskog, J. E. & Rocca, W. A. Immunologic diseases, anti-inflammatory drugs, and Parkinson disease: a case-control study. Neurology67, 494–496 (2006). [DOI] [PubMed] [Google Scholar]
- 115.Esposito, E. et al. Non-steroidal anti-inflammatory drugs in Parkinson’s disease. Exp. Neurol.205, 295–312 (2007). [DOI] [PubMed] [Google Scholar]
- 116.Tomlinson, C. L. et al. Systematic review of levodopa dose equivalency reporting in Parkinson’s disease. Mov. Disord.25, 2649–2653 (2010). [DOI] [PubMed] [Google Scholar]
- 117.Ferreira, J. J. et al. investigators. Opicapone as an adjunct to levodopa in patients with Parkinson’s disease and end-of-dose motor fluctuations: A randomised, double-blind, controlled trial. Lancet Neurol.15, 154–165 (2016). [DOI] [PubMed] [Google Scholar]
- 118.Verber, D., Novak, D., Borovič, M., Dugonik, J. & Flisar, D. EQUIDopa: a responsive web application for the levodopa equivalent dose calculator. Comput. Methods Prog. Biomed.196, 105633 (2020). [DOI] [PubMed] [Google Scholar]
- 119.Fahn, S. & Halliday, G. M. Lesions associated with the classic triad of parkinsonian motor features. In: Non-dopamine lesions in Parkinsons´s disease (eds. Halliday, G. M., Barker, R. A. & Rowe, D. B.). 3–17 (Oxford University, 2011).
- 120.Gelb, D. J., Oliver, E. & Gilman, S. Diagnostic criteria for Parkinson disease. Arch. Neurol.56, 33–39 (1999). [DOI] [PubMed] [Google Scholar]
- 121.Reijnders, J. S. et al. A systematic review of prevalence studies of depression in Parkinson’s disease. Mov. Disord.23, 183–189 (2008). [DOI] [PubMed] [Google Scholar]
- 122.Marsh, L. Depression and Parkinson’s disease: current knowledge. Curr. Neurol. Neurosci. Rep.13, 409 (2013). [DOI] [PMC free article] [PubMed] [Google Scholar]
- 123.Halliday, G. M., Barker, R. A. & Rowe, D. B. Non-dopamine lesions in Parkinson´s disease, 314 pp. (Oxford University Press, 2011).
- 124.Williams, J. R. et al. A comparison of nine scales to detect depression in Parkinson disease: which scale to use?. Neurology78, 998–1006 (2012). [DOI] [PMC free article] [PubMed] [Google Scholar]
- 125.Sanz, J., Gutierrez, S., Gesteira, C. & García-Vera, M. P. Criterios y baremos para interpretar el “Inventario de Depresión de Beck-II” (BDI-II). Behav. Psychol.11, 37–59 (2014). [Google Scholar]
- 126.Maier, W., Buller, R., Philipp, M. & Heuser, I. The Hamilton Anxiety Scale: reliability, validity and sensitivity to change in anxiety and depressive disorders. J. Affect Disord.14, 61–68 (1988). [DOI] [PubMed] [Google Scholar]
- 127.Lobo, A. et al. & Grupo de Validación en Español de Escalas Psicosométricas (GVPEEP). Validación de las versiones en español de la “Montgomery-Asberg Depression Rating Scale” y la “Hamilton Anxiety Rating Scale” para la evaluación de la depresión y de la ansiedad. Med. Clin.118, 439–449 (2002). [DOI] [PubMed] [Google Scholar]
- 128.Hernán, M. A., Takkouche, B., Caamaño-Isorna, F. & Gestal-Otero, J. J. A meta-analysis of coffee drinking, cigarette smoking, and the risk of Parkinson’s disease. Ann. Neurol.52, 276–284 (2002). [DOI] [PubMed] [Google Scholar]
- 129.Ragonese, P. et al. A case-control study on cigarette, alcohol, and coffee consumption preceding Parkinson’s disease. Neuroepidemiology22, 297–304 (2003). [DOI] [PubMed] [Google Scholar]
- 130.O’Keefe, J. H. et al. Effects of habitual coffee consumption on cardiometabolic disease, cardiovascular health, and all-cause mortality. J. Am. Coll. Cardiol.62, 1043–1051 (2013). [DOI] [PubMed] [Google Scholar]
- 131.Fernández-Espejo, E. et al. Myeloperoxidase and advanced oxidation protein products in the cerebrospinal fluid in women and men with Parkinson’s disease. Antioxidants11, 1088 (2022). [DOI] [PMC free article] [PubMed] [Google Scholar]
- 132.Kohn, M. A. & Senyak, J. Sample Size Calculators [website]. UCSF CTSI. Available at https://www.sample-size.net/ [Accessed 30 May 2018].
Associated Data
This section collects any data citations, data availability statements, or supplementary materials included in this article.
Data Availability Statement
The datasets used and/or analyzed during the current study are available from Dr. Emilio Fernández Espejo upon reasonable request.


