Abstract
Background
Cardiovascular-Kidney-Metabolic (CKM) syndrome, as a new clinical concept, emphasizes the multifaceted interaction between metabolic disorders, chronic kidney disease (CKD), and cardiovascular disease (CVD). Some evidence suggests atherogenic index of plasma (AIP) is strongly linked to cardiovascular mortality. However, data on its association with mortality across CKM syndrome remain scarce. Our study aimed to investigate the association between AIP and all-cause and cardiovascular mortality among individuals with CKM syndrome.
Methods
This study included 15,703 participants with CKM syndrome from the National Health and Nutrition Examination Survey (NHANES) from 2005 to 2018. The AIP index is calculated as log10(triglycerides/high-density lipoprotein cholesterol [TG/HDL-C]). Mortality outcomes were determined by linking NHANES participants with the National Death Index (NDI), with follow-up data available through December 31, 2019. Kaplan–Meier (K–M) survival curves, Cox regression analysis, restricted cubic spline (RCS) and subgroups analysis were used to explore the relationship between AIP levels and mortality in individuals with CKM syndrome.
Results
Over a median follow-up of 7.67 years, a total of 1570 deaths were documented, including 344 cardiovascular deaths. Kaplan-Meier survival analysis demonstrated that the lowest all-cause and CVD mortality rates were observed in the lowest AIP tertile. Compared with individuals in the lowest AIP tertile, Cox analysis indicated that those in highest tertile were associated with a higher risk of all-cause and CVD mortality (HR = 1.19, 95% CI 1.08–1.31, P < 0.001; HR = 1.38, 95% CI 1.22–1.57, P < 0.001) after adjusting for covariates, respectively. As a continuous variable, AIP levels had an approximate positive linear dose-response relationship with all-cause and CVD mortality. Subgroup analysis revealed no significant interactions with the examined variables, except for gender.
Conclusions
This study demonstrated that elevated AIP levels in individuals with CKM syndrome are strongly linked to higher mortality risks, notably all-cause mortality in advanced stages and CVD mortality across both non-advanced and advanced stages. These findings further highlight the importance of AIP as a valuable risk biomarker, providing a simple and effective tool for identifying mortality risk in individuals with CKM syndrome.
Graphical abstract
Supplementary Information
The online version contains supplementary material available at 10.1186/s12933-025-02742-4.
Keywords: Cardiovascular-Kidney-Metabolic syndrome, Atherogenic index of plasma, All-cause mortality, Cardiovascular mortality
Research insights
What is currently known about this topic?
People with CKM syndrome have a higher risk of cardiovascular disease than the general population.
People with high levels of AIP have higher all-cause and cardiovascular mortality.
What is the key research question?
Is there an association between AIP levels and all-cause and cardiovascular mortality in the CKM syndrome population?
What is new?
This study is the first to examine the relationship between AIP levels and all-cause and cardiovascular mortality in the CKM population, suggesting the importance of attention of AIP in the CKM syndrome populations.
How might this study influence clinical practice?
Higher AIP levels were linked to higher risks of all-cause and cardiovascular mortality in individuals with CKM syndrome.
The AIP levels, as a risk marker for all-cause and cardiovascular mortality, provided a simple and effective tool for identifying mortality risk in individuals with CKM syndrome.
Introduction
Cardiovascular-Kidney-Metabolic syndrome (CKM) is a multifaceted clinical condition defined by a complex interplay of metabolic disorders (e.g., obesity, diabetes), chronic kidney disease (CKD), and cardiovascular disease (CVD). This interrelated pathophysiology leads to multiple organ damage and significantly increases the likelihood of adverse cardiovascular events [1–3]. According to the American Heart Association (AHA), CKM is divided into 5 stages [4]. Studies have shown that CKM syndrome frequently stems from an excess of adipose tissue or its dysfunction, and frequently a combination of both. Dysfunctional visceral adipose tissue releases pro-inflammatory cytokines and mediators of oxidative stress that have detrimental effects on arterial, heart, and kidney tissue [5]. When these inflammatory substances are released into the bloodstream, pro-oxidative and pro-inflammatory mediators may exacerbate atherosclerotic damage and myocardial injury [6]. In this context, the atherogenic index of plasma (AIP), calculated as the logarithm of [triglyceride (TG)/high-density lipoprotein cholesterol (HDL-C)], is a promising biomarker that reflects abnormal lipid metabolism [7, 8]. Because AIP comprehensively considers the interactions between various pro-atherogenic lipid components, emerging evidence indicates that AIP can reflect atherogenic dyslipidemia more effectively than traditional lipid markers [9, 10]. Currently, AIP is increasingly recognized as a novel predictive biomarker for cardiovascular diseases [7, 11, 12]. Contemporary epidemiological research has established associations between elevated AIP values and heightened risks of both cardiac-related and all-cause mortality [12, 13]. Notably, in cohorts with diabetes [14] and metabolic disorders [15], AIP demonstrates robust predictive capacity for cardiovascular outcomes across clinical studies.
Considering that CKM was a pathological association between metabolic abnormalities, CKD and CVD. AIP holds potential as a promising biomarker for risk stratification by reflecting atherogenic lipoprotein profiles [7]. However, the relationship between AIP levels and all-cause and CVD mortality in individuals with CKM syndrome is not well understood. The study aims to investigate the association between AIP levels and mortality among individuals with CKM syndrome. Understanding these associations is critical to promote clinical application of AIP to monitor mortality in individuals with CKM syndrome.
Materials and methods
Data source and population selection
This cross-sectional study encompassed 15,703 participants from the National Health and Nutrition Examination Survey (NHANES) conducted between 2005 and 2018, of which 494 participants, 635 participants, 9,089 participants, 3,961 participants and 1,524 participants corresponded to CKM syndrome stages 0–4, respectively. The exclusion criteria included the following: (1) pregnant women; (2) participants with insufficient HDL-C; (3) participants with insufficient TG; (4) participants with insufficient mortality data. NHANES was reviewed and approved by the National Center for Health Statistics Institutional Review Board. Written informed consent was acquired from all enrolled participants before data collection [16]. Detailed documentation and survey procedures are publicly accessible through https://www.cdc.gov/nchs/nhanes/.
Definitions of the exposure and outcome variables
The AIP served as the exposure variable. At baseline, participants’ TG and HDL-C were measured. The AIP index was calculated according to the following formula: log10(TG/HDL-C) [15, 17]. The outcome variables included all-cause mortality and CVD mortality. Mortality data for the follow-up population were sourced from the NHANES Public-use link mortality files, with updates extending through December 31, 2019. These records were matched to the National Center for Health Statistics and the National Death Index using probabilistic algorithms. Mortality outcomes were coded using the standardized International Classification of Diseases, Tenth Revision (ICD-10) system. The observation time was defined as the duration between baseline assessment (initial interview) and the subsequent occurrence of either mortality or study completion [18, 19]. All-cause mortality encompasses deaths from any cause, including heart disease, malignant neoplasms, unintentional injuries, cerebrovascular diseases, diabetes mellitus, and other causes. Cardiovascular mortality specifically refers to deaths attributed to heart disease and cerebrovascular diseases [20, 21].
Definition of CKM syndrome stages 0–4
CKM syndrome definition highlights the multifaceted interactions between metabolic disorders, CKD, and CVD (see Table S1 for definitions). Metabolic disorders include overweight or obesity, abdominal obesity, pre-diabetes, diabetes, hypertension, dyslipidemia, and metabolic syndrome. To more clearly assess the risk of CKD, we looked at the stratification criteria of the Improving Global Kidney Disease Prognosis Organization (KDIGO) [22]. The standard utilizes estimated glomerular filtration rate (eGFR) and urinary albumin/creatinine (UACR) ratio [23, 24]. We calculated eGFR by the CKD-EPI creatinine equation [25]. Clinical CVD was defined as a history of chronic heart failure, coronary heart disease, myocardial infarction, or stroke. Subclinical CVD was defined as having a ≥ 20% 10-year risk of CVD or high risk of CKD. To predict the probability of CVD events occurring within the next 10 years, we used the PREVENT risk prediction model developed by the AHA [26, 27].
The classification of CKM syndrome stages, which range from 0 to 4, follows the criteria detailed in the AHA Presidential Advisory Statement on CKM Syndrome [28]. The stages are defined as follows: Stage 0 is defined as the absence of CKM risk factors; CKM syndrome stage 1 is defined as presence of excessive or dysfunctional adiposity (clinically manifest as impaired glucose tolerance or prediabetes); CKM syndrome stage 2 refers to the existence of metabolic risk factors, moderate or high-risk CKD, or a combination of both; Progression to stage 3 involves the emergence of excessive/dysfunctional obesity, other metabolic risk factors, or CKD in individuals presenting with subclinical cardiovascular disease. CKM syndrome stage 4 encompasses clinical CVD in CKM syndrome [29]. A more comprehensive description of the CKM syndrome stages criteria is available in Table S2.
Covariates of interest
Participant data were extracted from the NHANES database, encompassing a comprehensive range of demographic, lifestyle, and clinical variables. Demographic characteristics included age, gender, race, marital status, and educational level. The comprehensive evaluation also included behavioral factors and comorbidities, specifically including smoking status, diabetes, hypertension and CVD. Additionally, physical and laboratory measures were evaluated as potential confounders, including body mass index (BMI), waist circumference (WC), systolic blood pressure (SBP), diastolic blood pressure (DBP), neutrophil count, lymphocyte count, uric acid (UA), γ-glutamyl transpeptidase (GGT), total cholesterol (TC), low-density lipoprotein cholesterol (LDL-C), glycosylated hemoglobin type A1c (HbA1c), fasting blood glucose (FBG), urinary creatinine (UCr), serum creatinine (Scr), eGFR, UACR [30, 31].
Handling of missing variables
Figure S1 displays the distribution of missing values across study variables. While most covariates exhibited low missingness (< 5%), we implemented multiple imputation using random forest algorithms for missing data in the CKM syndrome cohort (excluding exposure and outcome variables) to retain all available observations and mitigate potential selection bias [32].
Statistical analysis
The statistical analysis followed the NHANES guidelines, incorporating sample weights (WTMEC2YR), stratification, and clustering to account for the complex survey design. Participants in this study were categorized into three groups (T1-T3) based on tertiles of the AIP. We used the Shapiro-Wilk test to assess continuous variables for normality. Continuous variables were presented as mean ± standard deviation (SD), with intergroup differences analyzed by one-way analysis of variance (ANOVA). Categorical variables were expressed as frequencies (n) and percentages (%), with group comparisons made using the chi-square (χ²) test. The incidence of deaths was systematically documented throughout the observation period. Kaplan–Meier(K–M) survival analysis with log-rank testing was performed to compare event-free survival among the three AIP tertile groups, followed by post hoc pairwise comparisons. To evaluate the link between AIP levels and all-cause and CVD mortality among CKM syndrome different stages, our analytical approach utilized weighted univariate and multivariate Cox proportional hazards models, with results expressed as hazard ratio (HR) accompanied by 95% confidence intervals (CI). Three progressively adjusted statistical models were constructed to examine the relationships: Model 1 unadjusted; Model 2 controlled for demographic factors including age, sex, and racial; and Model 3 further adjusted for marital status, lymphocyte count, TC, UACR, SBP and DBP. Multicollinearity was assessed using variance inflation factors (VIF), with all values below 5, suggesting no significant multicollinearity issues. Based on Model 3, we employed restricted cubic spline (RCS) regression with 3 knots to evaluate potential nonlinear associations.
To evaluate the robustness of the association between AIP and mortality with CKM syndrome, we performed several sensitivity analyses to validate our primary findings. Firstly, subgroup analysis to assess the difference of age (< 65 or ≥ 65), sex (male or female), race (Mexican American, Non-Hispanic Black, Non-Hispanic White, other Hispanic or other races), marital status (married/living with a partner or all others) and CKM stages (non-advanced stages or advanced stages). Next, to account for potential reverse causality, we excluded participants who died within the first two years of follow-up (n = 1,212), leaving 14,491 individuals for Cox regression analysis. Finally, due to a proportion of missing TG used for calculating the AIP, we performed multiple imputation for missing TG and repeated the main analysis.
All data processing and statistical computations were performed with R (version 4.4.0). Two-sided P < 0.05 was considered significant.
Results
Baseline characteristics of the participants
The flowchart for this study sample is shown in Fig. 1. The analysis comprises 15,703 participants, including 49.56% males, with a mean age of 46.58 years, and 66.81% non-Hispanic whites. Baseline characteristics of these participants are presented in Table 1. According to the AIP index, individuals in the highest tertile (T3 group) are more likely to be older, male, and current smokers. Compared to those in the lower AIP group, the T3 group exhibits significantly higher levels of blood pressure (SBP and DBP), blood lipids (TC and LDL-C), blood glucose (FBG and HbA1c), inflammatory markers (neutrophils and lymphocytes), as well as liver and kidney function indicators (GGT, uric acid, Scr, eGFR, and UACR), with all differences reaching statistical significance (P < 0.001).
Fig. 1.
Flowchart of the sample selection from NHANES 2005–2018
Table 1.
Baseline characteristics of individuals
| Characteristic | Overall n = 15,703 | T1(-0.89-0.15) n = 5235 | T2(0.15–0.44) n = 5235 | T3(0.44–2.15) n = 5233 | P Value |
|---|---|---|---|---|---|
| Age, mean (SD), years | 46.58 (15.70) | 44.86 (16.03) | 46.84 (16.05) | 48.09 (14.82) | < 0.001 |
| Female, (%) | 7,960 (50.44%) | 3,303 (63.33%) | 2,657 (50.50%) | 2,000 (37.01%) | < 0.001 |
| Race, (%) | < 0.001 | ||||
| Mexican American | 2,570 (8.78%) | 588 (6.43%) | 901 (9.13%) | 1,081 (10.87%) | |
| Non-Hispanic Black | 3,313 (10.77%) | 1,612 (15.75%) | 1,078 (10.49%) | 623 (5.88%) | |
| Non-Hispanic White | 6,348 (66.81%) | 1,950 (65.27%) | 2,086 (66.82%) | 2,312 (68.40%) | |
| Other Hispanic | 1,636 (5.84%) | 443 (4.91%) | 565 (6.09%) | 628 (6.57%) | |
| Other races | 1,836 (7.79%) | 642 (7.63%) | 605 (7.47%) | 589 (8.28%) | |
| Marital Status, (%) | < 0.001 | ||||
| All others | 6,124 (35.06%) | 2,284 (37.29%) | 2,001 (35.26%) | 1,839 (32.55%) | |
| Married/living with a partner | 9,579 (64.94%) | 2,951 (62.71%) | 3,234 (64.74%) | 3,394 (67.45%) | |
| Education level, (%) | < 0.001 | ||||
| > High school | 8,263 (60.87%) | 3,172 (67.93%) | 2,672 (59.52%) | 2,419 (54.93%) | |
| ≤High school | 7,440 (39.13%) | 2,063 (32.07%) | 2,563 (40.48%) | 2,814 (45.07%) | |
| Smoke status, (%) | < 0.001 | ||||
| Current | 3,416 (21.15%) | 906 (16.52%) | 1,151 (21.54%) | 1,359 (25.57%) | |
| Former | 3,699 (24.84%) | 1,082 (22.59%) | 1,202 (23.97%) | 1,415 (28.07%) | |
| Never | 8,588 (54%) | 3,247 (60.89%) | 2,882 (54.49%) | 2,459 (46.36%) | |
| CVD, (%) | 1,528 (8.03%) | 348 (5.42%) | 516 (7.82%) | 664 (10.95%) | < 0.001 |
| BMI, mean (SD), kg/m2 | 29.12 (6.99) | 26.40 (6.28) | 29.35 (6.84) | 31.70 (6.82) | < 0.001 |
| WC, mean (SD), cm | 99.38 (16.73) | 91.37 (15.09) | 99.87 (15.47) | 107.19 (15.71) | < 0.001 |
| Hypertension, (%) | 13,688 (85.12%) | 4,394 (81.78%) | 4,562 (84.52%) | 4,732 (89.21%) | < 0.001 |
| Diabetes, (%) | 4,572 (24.11%) | 1,091 (16.94%) | 1,463 (22.31%) | 2,018 (33.36%) | < 0.001 |
| SBP, mean (SD), mmHg | 120.75 (16.24) | 117.60 (16.08) | 120.74 (16.09) | 124.02 (15.90) | < 0.001 |
| DBP, mean (SD), mmHg | 70.03 (11.55) | 68.23 (11.06) | 69.59 (11.51) | 72.35 (11.70) | < 0.001 |
| Neutrophil, mean (SD), *10^9/L | 3.99 (1.62) | 3.57 (1.52) | 4.06 (1.56) | 4.35 (1.68) | < 0.001 |
| Lymphocyte, mean (SD), *10^9/L | 2.02 (0.73) | 1.87 (0.59) | 2.03 (0.75) | 2.17 (0.80) | < 0.001 |
| Uric acid, mean (SD), mg/dl | 5.48 (1.39) | 4.93 (1.23) | 5.47 (1.31) | 6.05 (1.39) | < 0.001 |
| GGT, mean (SD), U/L | 28.48 (39.69) | 22.60 (33.20) | 26.80 (29.24) | 36.28 (51.89) | < 0.001 |
| TC, mean (SD), mg/dL | 193.19 (41.12) | 185.12 (36.82) | 191.38 (39.52) | 203.39 (44.64) | < 0.001 |
| LDL-C, mean (SD), mg/dL | 114.62 (35.32) | 104.99 (30.68) | 117.92 (34.76) | 121.28 (38.14) | < 0.001 |
| HbA1c, mean (SD), % | 5.62 (0.96) | 5.41 (0.64) | 5.58 (0.87) | 5.88 (1.22) | < 0.001 |
| FBG, mean (SD), mg/dL | 106.67 (31.70) | 99.26 (20.53) | 104.86 (26.40) | 116.18 (42.08) | < 0.001 |
| Ucr, mean (SD), mg/dL | 126.44 (76.96) | 118.44 (76.32) | 126.46 (76.56) | 134.72 (77.17) | < 0.001 |
| Scr, mean (SD), mg/dL | 0.88 (0.37) | 0.84 (0.35) | 0.88 (0.29) | 0.91 (0.44) | < 0.001 |
| eGFR, mean (SD), ml/min/1.73m2 | 97.41 (19.67) | 99.18 (19.20) | 96.84 (19.47) | 96.15 (20.21) | < 0.001 |
| UACR, mean (SD), mg/g | 33.43 (275.56) | 20.94 (146.38) | 25.08 (189.39) | 54.80 (414.97) | < 0.001 |
| CKM stages, (%) | < 0.001 | ||||
| 0 | 494 (3.86%) | 323 (7.35%) | 161 (3.86%) | 10 (0.24%) | |
| 1 | 635 (4.61%) | 306 (6.25%) | 271 (6.24%) | 58 (1.26%) | |
| 2 | 9,089 (58.77%) | 3,009 (57.54%) | 2,958 (57.26%) | 3,122 (61.58%) | |
| 3 | 3,961 (24.75%) | 1,251 (23.47%) | 1,330 (24.84%) | 1,380 (25.99%) | |
| 4 | 1,524 (8.01%) | 346 (5.39%) | 515 (7.80%) | 663 (10.93%) |
Continuous variables are presented as means (SD) and categorical variables are presented as n (%). n, unweighted number of subjects; N, weighted number of subjects; T, tertiles; AIP, atherogenic index of plasma; SD, standard deviations; CVD, cardiovascular disease; BMI, body mass index; WC, waist circumference; SBP, systolic blood pressure; DBP, diastolic blood pressure; TC, total cholesterol; LDL-C, low-density lipoprotein cholesterol; HbA1c, glycosylated hemoglobin type A1c; FBG, fasting blood glucose; GGT, γ-glutamyl transpeptidase; Ucr, urinary creatinine; Scr, serum creatinine; eGFR, estimated glomerular filtration rate; UACR, urinary albumin creatinine ratio; CKM, cardiovascular-kidney-metabolic
The relationship between the AIP levels and mortality of CKM syndrome
Over a median follow-up of 92 months, a total of 1,226 all-cause deaths are documented, of which 344 are attributed to cardiovascular causes. The K-M curves show a significant difference in survival outcomes for all-cause and cardiovascular mortality among groups divided by AIP tertiles (Fig. 2). Those in the lowest AIP tertile have the lowest mortality. Post hoc tests further confirm differences in survival curves between AIP groups (Figure S1).
Fig. 2.
Kaplan–Meier curves show survival patterns of mortality in adults with CKM syndrome at different tertiles of AIP. A All-cause mortality; B Cardiovascular mortality. AIP, atherogenic index of plasma; T, tertiles; CKM, cardiovascular-kidney-metabolic
Table 2 shows the link between the AIP levels with all-cause and CVD mortality in adults with CKM syndrome. Cox analysis indicates that, after adjusting for variables, compared to the first tertile of AIP, participants in the highest AIP tertile show significantly higher risks of both all-cause mortality (HR = 1.19, 95% CI 1.08–1.31, P < 0.001) and cardiovascular mortality (HR = 1.38, 95% CI 1.22–1.57, P < 0.001). Furthermore, we explored the link between the AIP levels and all-cause and CVD mortality in people with different stages of CKM syndrome. The results show that the association between AIP and all-cause mortality is significant only in advanced stages of CKM, where the risk of death increases 1.17-fold for every one standard deviation increase. Our findings are further supported by the statistically significant difference in AIP for cardiovascular mortality in both non-advanced and advanced stages (Table S3).
Table 2.
Cox regression model of the relationship between AIP and mortality in adults with CKM syndrome
| Model 1 [HR (95%CI) P] | Model 2 [HR (95%CI) P] | Model 3 [HR (95%CI) P] | |
|---|---|---|---|
| All-cause mortality | |||
| Per 1 SD increase | 1.19 (1.10, 1.28) < 0.001 | 1.17 (1.07, 1.27) < 0.001 | 1.19 (1.08, 1.31) < 0.001 |
| Tertiles of AIP | |||
| T1 | Reference | Reference | Reference |
| T2 | 1.23 (1.00, 1.50) 0.046 | 1.10 (0.88, 1.38) 0.402 | 1.13 (0.90, 1.41) 0.305 |
| T3 | 1.60 (1.29, 1.99) < 0.001 | 1.42 (1.14, 1.77) 0.002 | 1.48 (1.16, 1.88) 0.001 |
| CVD mortality | |||
| Per 1 SD increase | 1.29 (1.14, 1.45) < 0.001 | 1.29 (1.14, 1.47) < 0.001 | 1.38 (1.22, 1.57) < 0.001 |
| Tertiles of AIP | |||
| T1 | Reference | Reference | Reference |
| T2 | 1.88 (1.30, 2.73) < 0.001 | 1.66 (1.15, 2.41) 0.007 | 1.80 (1.22, 2.65) 0.003 |
| T3 | 2.21 (1.50, 3.26) 0.001 | 1.97 (1.35, 2.88) < 0.001 | 2.27 (1.55, 3.33) < 0.001 |
CI, confidence interval; HR, hazard ratio; SD, standard deviation; T, tertiles; CVD, cardiovascular disease; TC, total cholesterol; UACR, urinary albumin creatinine ratio; SBP, systolic blood pressure; DBP, diastolic blood pressure; CKM, cardiovascular-kidney-metabolic
Model 1: no covariates were adjusted for
Model 2: Adjusted for age, sex and race
Model 3: Adjusted for age, sex, race, marital status, lymphocyte, TC, UACR, SBP and DBP
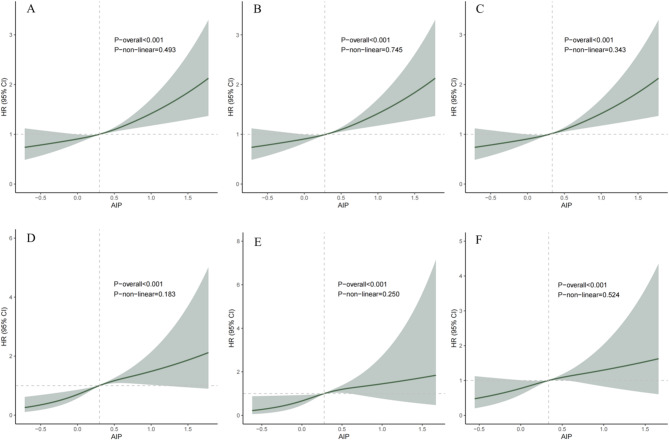
In Fig. 3, we used a three-node RCS regression model to explore the nonlinear relationship between AIP levels and mortality. Clearly, when AIP is analyzed as a continuous parameter, it is shown to be positively associated with all-cause and CVD mortality. To further assess the robustness of the observations, we performed a subgroup analysis, stratified by age, sex, race, marital status, and CKM stages. Figure 4 shows the relationship between AIP levels and all-cause and CVD mortality in each subgroup. Except for gender, the interaction between other stratified variables and AIP is not statistically significant (interaction term P > 0.05), suggesting that the association is stable in most populations.
Fig. 3.
Restricted cubic splines reflect the dose-effect relationships between AIP and mortality among adults with different CKM stages. Adjustment factors included age, sex, race, marital status, lymphocyte, TC, UACR, SBP and DBP. A AIP with all-cause mortality in CKM stages 0–4; B AIP with cardiovascular mortality in CKM stages 0–4; C AIP with all-cause mortality in non-advanced stages; D AIP with cardiovascular mortality in non-advanced stages; E AIP with all-cause mortality in advanced stages; F AIP with cardiovascular mortality in advanced stages. CKM, cardiovascular-kidney-metabolic; AIP, atherogenic index of plasma; HR, Hazard Ratio; UACR, urinary albumin creatinine ratio; SBP, systolic blood pressure; DBP, diastolic blood pressure
Fig. 4.
Forest plots of subgroup analyses for the association between AIP and mortality in adults with CKM syndrome. Adjustment factors included BMI, hypertension, cancer, lymphocyte, GGT, UACR, SBP, and DBP. A AIP with all-cause mortality, B AIP with cardiovascular mortality. CKM, cardiovascular-kidney-metabolic; HR, Hazard Ratio; AIP, atherogenic index of plasma; BMI, body mass index; GGT, γ-glutamyl transferase; Scr, serum creatinine; UACR, urinary albumin creatinine ratio; SBP, systolic blood pressure; DBP, diastolic blood pressure
Sensitivity analyses
In the sensitivity analysis, we first excluded individuals who died within two years before follow-up. In addition, due to a certain proportion of missing TG data used to calculate AIP, we used multiple imputation to process the missing values and repeat the main analysis based on the interpolated data (Table S4–6). The above sensitivity analysis results were consistent with the main analysis, thus enhancing the robustness and credibility of the study conclusions.
Discussion
Based on a large sample population of CKM syndrome in the United States, this study found a significant positive association between AIP levels and all-cause and CVD mortality. After fully adjusting for confounding factors, individuals with higher AIP levels faced a higher risk of death. Notably, our findings highlighted the potential value of AIP as a predictor of cardiovascular mortality in a population with CKM syndrome. This finding provided an important reference for clinical identification of high-risk groups and helped to carry out more accurate risk management with CKM syndrome.
A cohort study from X Li et al. has shown that the high-stable AIP trajectory group exhibited a 33% increased risk of cardiovascular mortality compared to the low-stable group [33]. And in a retrospective cohort study by Gulinuer Duiyimuhan et al., found that both low and high levels of AIP were linked to an increased risk of all-cause mortality [34]. Extensive research has examined the prognostic value of the AIP levels, with cumulative evidence indicating that higher AIP levels are significantly associated with increased mortality [35, 36].
It is worth noting that the potential association between AIP and mortality may be related to atherosclerosis. The elevation of AIP reflects the coexistence of hypertriglyceridemia and hypoalphalipoproteinemia. Elevated TG levels promote the formation of small dense low-density lipoprotein (sd-LDL) particles [37]. Characterized by reduced particle size and increased density, sd-LDL can easily penetrate the vascular endothelium and be oxidized. Oxidized sd-LDL particles are readily internalized by macrophages, leading to foam cell formation and subsequent acceleration of atherosclerotic plaque development [38]. Concurrently, diminished HDL-C levels impair reverse cholesterol transport, resulting in reduced cholesterol efflux from peripheral tissues to the liver, thereby exacerbating atherogenesis [39]. Overall, AIP plays an important role in the development and progression of CKM syndrome. Hence, targeting AIP can provide important clinical guidance to help prevent and delay the onset and progression of CKM syndrome.
Interestingly, the analysis also showed that all-cause mortality was not significantly associated with AIP levels in individuals with non-advanced CKM stages, but AIP levels were associated with CVD mortality in both advanced and non-advanced CKM stages. It may be due to the following reasons: First, although AIP as an indicator of atherosclerosis can predict cardiovascular risk, organ function is not significantly impaired in populations with non-advanced CKM stages, its changes are mostly at a subclinical level and not enough to cause significant changes in the overall risk of death. Secondly, previous studies [7] have shown that AIP has a certain threshold effect, and individuals in the non-advanced stages are usually in lower level risk, and when the disease progresses to the advanced stages, lipid metabolism disorders are aggravated, and AIP levels reach a degree that can significantly affect all-cause mortality. Finally, in people with non-advanced CKM stages, all-cause mortality is also greatly influenced by non-vascular factors such as infection and cancer, which may account for a large proportion of overall risk [40, 41], thus obscuring the potential predictive effect of AIP on cardiovascular risk.
AIP serves as an economical and practical biomarker in individuals with CKM syndrome. Clinicians can use AIP to assess mortality, especially for individuals of different CKM syndrome stages, to develop individualized prevention and treatment strategies. For individuals with elevated AIP levels, intensive lifestyle interventions, such as improved diet, increased physical activity, and initiation of medicine if necessary, should be considered to reduce the risk of all-cause and CVD mortality.
In subgroup analyses, AIP levels had statistical interactions with all-cause and cardiovascular mortality in females. The underlying reason is that there are fundamental differences in lipid metabolism between males and females. After menopause, the decline in estrogen levels reduces its protective effects on the cardiovascular system, leading to changes in lipid metabolism [42]. This makes women more prone to dyslipidemia, characterized by decreased HDL-C levels and elevated plasma levels of TC, LDL-C, very low-density lipoprotein cholesterol (VLDL-C), and TG [43]. These changes promote the formation of atherosclerotic plaques, subsequently increasing the AIP. Based on findings on the sex-specific association between AIP and mortality, we recommend future studies with larger cohorts to further demonstrate the gender-specific physiological mechanisms underlying the impact of AIP on mortality.
There are several benefits to our research. Firstly, in populations with CKM syndrome, it was the first prospective cohort study to explore the relationship between AIP levels in all-cause and cardiovascular mortality. Secondly, in order to solve the lack of covariate data, we used multiple interpolation techniques to enhance the statistical stability of the analysis. Thirdly, we further explored the relationship between AIP levels and mortality in the CKM syndrome populations, revealing the importance of AIP in CKM syndrome stages.
However, the limitations of our study should not be ignored. Firstly, CKM syndrome diagnoses were based on self-reported data from NHANES participants, which could potentially result in slight differences from the actual incidence. Secondly, while our analytical models incorporated extensive covariate adjustments, the possibility of residual confounding factors cannot be entirely excluded. Furthermore, as this investigation was conducted at a single institution, the generalizability of findings regarding AIP levels and their associations with mortality across CKM syndrome stages may be limited, requiring further validation in a larger and more diverse population sample from various ethnic groups. Finally, our study laid in its observational nature, which restricted our ability to infer causality. Therefore, in the future, randomized controlled trials (RCTs) will be needed to determine whether lowering AIP levels can effectively reduce the all-cause and cardiovascular mortality.
Conclusion
In individuals with CKM syndrome, elevated AIP levels were significantly linked to an increased risk of death, particularly all-cause mortality in the advanced stages, as well as CVD mortality in both non-advanced and advanced stages. This study reinforced the clinical utility of AIP levels as risk markers for mortality in individuals with CKM syndrome. The AIP demonstrates potential as a novel monitoring biomarker in the clinical management of CKM syndrome.
Electronic supplementary material
Below is the link to the electronic supplementary material.
Acknowledgements
The authors thank all members of the NHANES for their contributions and the participants who contributed their data.
Abbreviations
- CKM
Cardiovascular-Kidney-Metabolic
- CKD
Chronic kidney disease
- CVD
Cardiovascular disease
- AHA
American Heart Association
- AIP
Atherogenic index of plasma
- TG
Triglyceride
- HDL-C
High-density lipoprotein cholesterol
- NHANES
National Health and Nutrition Examination Survey
- ICD-10
International Classification of Diseases, Tenth Revision
- KDIGO
Improving Global Kidney Disease Prognosis Organization
- eGFR
Estimated glomerular filtration rate
- UA
Urinary albumin
- UACR
Urinary albumin/creatinine
- BMI
Body mass index
- WC
Waist circumference
- SBP
Systolic blood pressure
- DBP
Diastolic blood pressure
- UA
Uric acid
- GGT
γ-glutamyl transpeptidase
- TC
Total cholesterol
- LDL-C
Low-density lipoprotein cholesterol
- HbA1c
Glycosylated hemoglobin type A1c
- FBG
Fasting blood glucose
- UCr
Urinary creatinine
- Scr
Serum creatinine
- SD
Standard deviation
- ANOVA
Analysis of variance
- χ2
Chi-square
- K–M
Kaplan–Meier
- HR
Hazard ratio
- CI
Confidence intervals
- VIF
Variance inflation factors
- RCS
Restricted cubic spline
- sd-LDL
Low-density lipoprotein
- VLDL-C
Very low-density lipoprotein cholesterol
- RCTs
Randomized controlled trials
Author contributions
ZJH and HP conceived the study; ZQR drafted and revised the manuscript; LQ conceptualized the article; CZY analyzed the data; TJY participated in data acquisition. The final version of the manuscript has been read and approved by all authors.
Funding
This work was supported by the Zhejiang Provincial Health Commission (Project No. 2024KY1272), and the funders of this study did not have any role in study design, data collection, data analysis, data interpretation, or report writing.
Data availability
The datasets used and evaluated in this study can be obtained from the corresponding author upon making a reasonable request.
Declarations
Ethics approval and consent to participate
All survey protocols were approved by the National Center for Health Statistics Ethics Review Board. All participants provided written informed consent before participation.
Competing interests
The authors declare no competing interests.
Footnotes
Publisher’s note
Springer Nature remains neutral with regard to jurisdictional claims in published maps and institutional affiliations.
Qianrong Zheng, Zhenyang Cao and Jiayi Teng contributed equally to this work.
Contributor Information
Pan Huang, Email: hpzyqzjh@wmu.edu.cn.
Jianghua Zhou, Email: zhoujianghua@wmu.edu.cn.
References
- 1.Minhas AMK, et al. Prevalence of the cardiovascular-kidney-metabolic syndrome in the united States. J Am Coll Cardiol. 2024;83(18):1824–6. [DOI] [PubMed] [Google Scholar]
- 2.Marassi M, Fadini GP. The cardio-renal-metabolic connection: a review of the evidence. Cardiovasc Diabetol. 2023;22(1):195. [DOI] [PMC free article] [PubMed] [Google Scholar]
- 3.Ferdinand KC. An overview of cardiovascular-kidney-metabolic syndrome. Am J Manag Care. 2024;30(10 Suppl):S181–8. [DOI] [PubMed] [Google Scholar]
- 4.Ndumele CE, et al. A synopsis of the evidence for the science and clinical management of cardiovascular-kidney-metabolic (CKM) syndrome: a scientific statement from the American heart association. Circulation. 2023;148(20):1636–64. [DOI] [PubMed] [Google Scholar]
- 5.Sebastian SA, Padda I, Johal G. Cardiovascular-kidney-metabolic (CKM) syndrome: a state-of-the-art review. Curr Probl Cardiol. 2024;49(2):102344. [DOI] [PubMed] [Google Scholar]
- 6.Miao X, et al. Hepatokines: unveiling the molecular and cellular mechanisms connecting hepatic tissue to insulin resistance and inflammation. Acta Diabetol. 2024;61(11):1339–61. [DOI] [PubMed] [Google Scholar]
- 7.Qin M, Chen B. Association of atherogenic index of plasma with cardiovascular disease mortality and all-cause mortality in the general US adult population: results from NHANES 2005–2018. Cardiovasc Diabetol. 2024;23(1):255. [DOI] [PMC free article] [PubMed] [Google Scholar]
- 8.Dobiásová M, Frohlich J. The plasma parameter log (TG/HDL-C) as an atherogenic index: correlation with lipoprotein particle size and esterification rate in apoB-lipoprotein-depleted plasma (FER(HDL)). Clin Biochem. 2001;34(7):583–8. [DOI] [PubMed] [Google Scholar]
- 9.Li Y, et al. The atherogenic index of plasma (AIP) is a predictor for the severity of coronary artery disease. Front Cardiovasc Med. 2023;10:1140215. [DOI] [PMC free article] [PubMed] [Google Scholar]
- 10.Mangalesh S, et al. Atherogenic index of plasma predicts coronary artery disease severity and major adverse cardiac events in absence of conventional risk factors. Coron Artery Dis. 2022;33(7):523–30. [DOI] [PubMed] [Google Scholar]
- 11.Duan Y, et al. Association of hyperuricemia with Apolipoprotein AI and atherogenic index of plasma in healthy Chinese people: a cross-sectional study. BMC Cardiovasc Disord. 2022;22(1):372. [DOI] [PMC free article] [PubMed] [Google Scholar]
- 12.Rosengren A, et al. Excess risk of hospitalisation for heart failure among people with type 2 diabetes. Diabetologia. 2018;61(11):2300–9. [DOI] [PMC free article] [PubMed] [Google Scholar]
- 13.Zheng G, et al. Association between atherogenic index of plasma and future risk of cardiovascular disease in individuals with cardiovascular-kidney-metabolic syndrome stages 0–3: a nationwide prospective cohort study. Cardiovasc Diabetol. 2025;24(1):22. [DOI] [PMC free article] [PubMed] [Google Scholar]
- 14.Min Q, et al. Association between atherogenic index of plasma control level and incident cardiovascular disease in middle-aged and elderly Chinese individuals with abnormal glucose metabolism. Cardiovasc Diabetol. 2024;23(1):54. [DOI] [PMC free article] [PubMed] [Google Scholar]
- 15.Althwab SA, et al. Prediction of cardiovascular risk factors and metabolic syndrome in adults from Saudi Arabia using the logarithm of triglyceride/HDL-cholesterol ratio. Int J Health Sci (Qassim). 2024;18(2):50–5. [PMC free article] [PubMed] [Google Scholar]
- 16.Skrivankova VW, et al. Strengthening the reporting of observational studies in epidemiology using Mendelian randomization: the STROBE-MR statement. JAMA. 2021;326(16):1614–21. [DOI] [PubMed] [Google Scholar]
- 17.Fernández-Macías JC, et al. Atherogenic index of plasma: novel predictive biomarker for cardiovascular illnesses. Arch Med Res. 2019;50(5):285–94. [DOI] [PubMed] [Google Scholar]
- 18.Cao C, et al. Association of balance function with all-cause and cause-specific mortality among US adults. JAMA Otolaryngol Head Neck Surg. 2021;147(5):460–8. [DOI] [PMC free article] [PubMed] [Google Scholar]
- 19.Ding L, et al. The prognostic value of the stress hyperglycemia ratio for all-cause and cardiovascular mortality in patients with diabetes or prediabetes: insights from NHANES 2005–2018. Cardiovasc Diabetol. 2024;23(1):84. [DOI] [PMC free article] [PubMed] [Google Scholar]
- 20.Feng Y, et al. Association between endogenous estradiol, testosterone, and long-term mortality in adults with prediabetes and diabetes: evidence from NHANES database. J Diabetes Investig. 2025;16(3):481–91. [DOI] [PMC free article] [PubMed] [Google Scholar]
- 21.Ding L, et al. The impact of triglyceride glucose-body mass index on all-cause and cardiovascular mortality in elderly patients with diabetes mellitus: evidence from NHANES 2007–2016. BMC Geriatr. 2024;24(1):356. [DOI] [PMC free article] [PubMed] [Google Scholar]
- 22.Lloyd-Jones DM, et al. Life’s essential 8: updating and enhancing the American heart association’s construct of cardiovascular health: a presidential advisory from the American heart association. Circulation. 2022;146(5):e18–43. [DOI] [PMC free article] [PubMed] [Google Scholar]
- 23.Li J, et al. Social risk profile and cardiovascular-kidney-metabolic syndrome in US adults. J Am Heart Assoc. 2024;13(16):e034996. [DOI] [PMC free article] [PubMed] [Google Scholar]
- 24.Stevens PE, Levin A. Evaluation and management of chronic kidney disease: synopsis of the kidney disease: improving global outcomes 2012 clinical practice guideline. Ann Intern Med. 2013;158(11):825–30. [DOI] [PubMed] [Google Scholar]
- 25.Inker LA, et al. New creatinine- and Cystatin C-based equations to estimate GFR without race. N Engl J Med. 2021;385(19):1737–49. [DOI] [PMC free article] [PubMed] [Google Scholar]
- 26.Sussman JB, et al. Clinical characteristics and current management of U.S. Adults at elevated risk for heart failure using the PREVENT equations: a cross-sectional analysis. Ann Intern Med. 2025;178(1):144–7. [DOI] [PMC free article] [PubMed] [Google Scholar]
- 27.Aggarwal R, Ostrominski JW, Vaduganathan M. Prevalence of cardiovascular-kidney-metabolic syndrome stages in US adults, 2011–2020. JAMA. 2024;331(21):1858–60. [DOI] [PMC free article] [PubMed] [Google Scholar]
- 28.Ndumele CE, et al. Cardiovascular-kidney-metabolic health: a presidential advisory from the American heart association. Circulation. 2023;148(20):1606–35. [DOI] [PubMed] [Google Scholar]
- 29.Larkin H. Here’s what to know about cardiovascular-kidney-metabolic syndrome, newly defined by the AHA. JAMA. 2023;330(21):2042–3. [DOI] [PubMed] [Google Scholar]
- 30.Li S, et al. Association between triglyceride-glucose related indices and all-cause and cause-specific mortality in the general population: a cohort study. Cardiovasc Diabetol. 2024;23(1):286. [DOI] [PMC free article] [PubMed] [Google Scholar]
- 31.Zhang X, et al. Association between different triglyceride-glucose index combinations with obesity indicators and arthritis: results from two nationally representative population-based study. Eur J Med Res. 2024;29(1):389. [DOI] [PMC free article] [PubMed] [Google Scholar]
- 32.Yanarateş T, Karabulut E. Applying machine learning-based multiple imputation methods to nonparametric multiple comparisons in longitudinal clinical studies. J Biopharm Stat, 2024: pp. 1–12. [DOI] [PubMed]
- 33.Li X, et al. Association of atherogenic index of plasma trajectory with the incidence of cardiovascular disease over a 12-year follow-up: findings from the ELSA cohort study. Cardiovasc Diabetol. 2025;24(1):124. [DOI] [PMC free article] [PubMed] [Google Scholar]
- 34.Duiyimuhan G, Maimaiti N. The association between atherogenic index of plasma and all-cause mortality and cardiovascular disease-specific mortality in hypertension patients: a retrospective cohort study of NHANES. BMC Cardiovasc Disord. 2023;23(1):452. [DOI] [PMC free article] [PubMed] [Google Scholar]
- 35.Zhang Y, et al. Association between cumulative atherogenic index of plasma exposure and risk of myocardial infarction in the general population. Cardiovasc Diabetol. 2023;22(1):210. [DOI] [PMC free article] [PubMed] [Google Scholar]
- 36.Abdu FA, et al. The correlation of atherogenic index of plasma with non-obstructive CAD and unfavorable prognosis among patients diagnosed with MINOCA. Eur J Intern Med. 2024;125:111–9. [DOI] [PubMed] [Google Scholar]
- 37.Jin X, et al. Small, dense low-density lipoprotein-cholesterol and atherosclerosis: relationship and therapeutic strategies. Front Cardiovasc Med. 2021;8:804214. [DOI] [PMC free article] [PubMed] [Google Scholar]
- 38.Khatana C, et al. Mechanistic insights into the oxidized low-density lipoprotein-induced atherosclerosis. Oxid Med Cell Longev. 2020;2020:p5245308. [DOI] [PMC free article] [PubMed] [Google Scholar]
- 39.Linton MF, et al. HDL function and atherosclerosis: reactive dicarbonyls as promising targets of therapy. Circ Res. 2023;132(11):1521–45. [DOI] [PMC free article] [PubMed] [Google Scholar]
- 40.Woolf SH, Schoomaker H. Life expectancy and mortality rates in the united States, 1959–2017. JAMA. 2019;322(20):1996–2016. [DOI] [PMC free article] [PubMed] [Google Scholar]
- 41.Global., Regional, and national life expectancy, all-cause mortality, and cause-specific mortality for 249 causes of death, 1980–2015: a systematic analysis for the global burden of disease study 2015. Lancet, 2016. 388(10053): pp. 1459–1544. [DOI] [PMC free article] [PubMed]
- 42.Ni W, et al. Gender-and lesion number-dependent difference in atherogenic index of Plasmain Chinese people with coronary heart disease. Sci Rep. 2017;7(1):13207. [DOI] [PMC free article] [PubMed] [Google Scholar]
- 43.Wu TT, et al. Atherogenic index of plasma (AIP): a novel predictive indicator for the coronary artery disease in postmenopausal women. Lipids Health Dis. 2018;17(1):197. [DOI] [PMC free article] [PubMed] [Google Scholar]
Associated Data
This section collects any data citations, data availability statements, or supplementary materials included in this article.
Supplementary Materials
Data Availability Statement
The datasets used and evaluated in this study can be obtained from the corresponding author upon making a reasonable request.





