Correction to: Scientific Reports 10.1038/s41598-023-43486-z, published online 06 October 2023
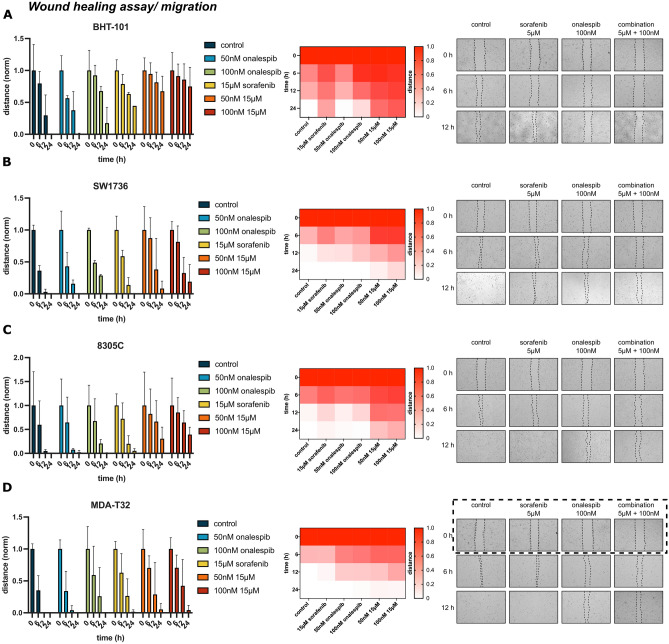
The original version of this Article contained an error in Figure 3, where due to a mix-up in labelling the results, the 0 h untreated images for MDA-T32 were duplicated and rearranged from the BHT-101 images shown in Figure 3A, which led to incorrect results shown in Figure 3D. The original Figure 3 and accompanying legend appear below.
Fig. 3.
Wound healing assays of (A) BHT-101 (ATC), (B) SW1736 (ATC), (C) 8305C (ATC) and (D) MDA-T32 (PTC) cells. Cells were treated with 50 nM and 100 nM of onalespib and 15 μM sorafenib. Left column: Bar chart of migrated distance over time. Middle: heat map over migrated distance; Right: Representative images of wound/gap of control, 15 μM sorafenib, 100 nM onalespib and the combination at 0, 6, and 12 h. Values ± SD of 3 independent experiments.
The original Article has been corrected.

