Abstract
Antimicrobial resistance (AMR) has emerged as a critical global health challenge, necessitating urgent development of novel antimicrobial agents. Pyrrolo[2,3-d]pyrimidine derivatives have garnered substantial research interest in pharmaceutical chemistry owing to their structural diversity, synthetic accessibility, and broad-spectrum bioactivity. This comprehensive review presents and discusses recent advancements in pyrrolo[2,3-d]pyrimidine research, focusing on methodological innovations in scaffold construction. Key synthetic strategies, including [3 + 2] cycloadditions, transition metal-catalyzed couplings, and microwave-assisted ring closure techniques, are highlighted. Additionally, a thorough discussion of their antimicrobial activities is presented, encompassing antibacterial, antifungal, and antiviral effects. This review provides valuable insights into the rational design and synthesis of novel pyrrolo[2,3-d]pyrimidine derivatives. These contributions may facilitate the development of new antimicrobial agents to address evolving resistance.
This review highlights recent advancements in the development of pyrrolo[2,3-d]pyrimidine derivatives as antimicrobial agents, covering synthetic methodologies, structural diversification, bioactivity evaluation, limitations, and emerging strategies.
1. Introduction
Antimicrobial resistance (AMR) has emerged as a critical global public health threat, necessitating the urgent development of novel, efficacious, and safe antimicrobial agents.1 Researchers are actively investigating compounds with innovative structural frameworks and alternative mechanisms of action to address AMR challenges. Among these, heterocyclic scaffolds have garnered significant attention in antimicrobial drug discovery due to their structural versatility and potent biological activities. In particular, nitrogen-containing heterocyclic compounds have become a focal point in the research and development of antimicrobial drugs.2–4
Pyrrolopyrimidines represent a class of nitrogen heterocyclic compounds with substantial pharmacological relevance. Their core scaffold consists of a pyrrole ring covalently linked to a pyrimidine ring.5,6 To date, five major pyrrolopyrimidine analogs have been identified: pyrrolo[3,2-d]pyrimidine, pyrrolo[2,3-d]pyrimidine, pyrrolo[1,2-c]pyrimidine, pyrrolo[3,4-d]pyrimidine, and pyrrolo[1,2-a]pyrimidine.7 Among these, pyrrolo[2,3-d]pyrimidines have attracted significant attention due to their structural resemblance to purine nucleotides.8–13 Known as 7-deazapurines, these compounds belong to the purine metabolite family and can be isolated from diverse natural sources, including terrestrial microorganisms (e.g., soil bacteria) and marine organisms (e.g., red algae).14–17 These compounds combine the electron-rich nature of pyrrole with the electron-deficient nature of pyrimidine, making them versatile building blocks for synthesis. Through site-selective modification, their biological activity and/or physical properties can be directed and regulated. Pharmacological studies have demonstrated that pyrrolo[2,3-d]pyrimidines exhibit multifunctional bioactivities, including antibacterial,18 antifungal,19 antiviral,20,21 antiinflammatory,22–24 antitumor,25–29 and kinase inhibitory properties.30–34 However, while numerous studies focus on their antitumor applications, fewer systematically summarize their antimicrobial potential.
This review aims to systematically evaluate the synthetic methodologies of pyrrolo[2,3-d]pyrimidines and synthesize recent advancements in their antimicrobial activities, encompassing antibacterial, antifungal, and antiviral effects. We will critically analyze the advantages and limitations of diverse synthetic strategies and comprehensively discuss reported pyrrolo[2,3-d]pyrimidine derivatives with antimicrobial activities. This analysis is intended to provide a theoretical foundation and reference for subsequent drug development, offering new insights and directions for designing more effective and safer antimicrobial agents (Fig. 1).
Fig. 1. The main natural sources and antimicrobial activities of pyrrolo[2,3-d]pyrimidines.
2. Chemistry synthesis of pyrrolo[2,3-d]pyrimidine
2.1. Methodology for the synthesis of pyrrolo[2,3-d]pyrimidine
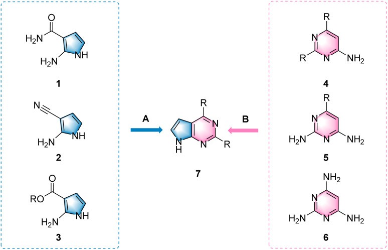
The pyrrolo[2,3-d]pyrimidine scaffold has emerged as a focal point in heterocyclic chemistry, with a notable surge in research output from 1990 to 2024 (Fig. 2). According to SciFinder® analytics, pharmacological investigations of these derivatives have significantly outpaced studies on synthetic methodologies, reflecting a strategic emphasis on elucidating their biochemical and therapeutic potential. Two classical annulative strategie do minate the synthetic landscape (Scheme 1): approach A leverages formamides, nitrile derivatives, and esters to construct the pyrrole ring via a Paal–Knorr-type cyclization, providing superior regioselectivity for C7-substituted derivatives. In contrast, approach B focuses on pyrimidine ring construction as the key cyclization step through the condensation of appropriately functionalized precursors. These two preparation strategies not only highlight the scaffold's synthetic versatility but also underscore opportunities for developing innovative cyclization pathways.
Fig. 2. The number of studies containing the pyrrolo[2,3-d]pyrimidine core over the period 1959–2024. Search performed on 10 April 2025 by SciFinder Research Topic using pyrrolo[2,3-d]pyrimidine as the keyword.
Scheme 1. Two classical methods for the synthesis of pyrrolo[2,3-d]pyrimidine scaffolds. (A) Ring closure by the formation of the pyrimidine; (B) ring closure by the formation of pyrrolo.
2.1.1. Synthesis by formation of the pyrimidine ring
2.1.1.1. From a pyrroloring containing an amide bond
In 2010, Davoodnia et al. developed a cyclocondensation protocol between 2-amino-1H-pyrrole-3-carboxamide derivatives (8a–b) and aromatic aldehydes under solvent-free conditions.35 Utilizing the Brønsted-acidic ionic liquid [(CH2)4SO3HMIM][HSO4] as catalyst with air oxidation at 85 °C, this method efficiently produced 2-aryl-3,7-dihydro-4H-pyrrolo[2,3-d]pyrimidine-4-ones (10a–i) in good yields, though the proposed intermediates (9a–i) could not be isolated (Scheme 2).
Scheme 2. Catalytic synthesis of new pyrrolo[2,3-d]pyrimidine-4-ones with Brønsted-acidic ionic liquid.
Building upon this foundation, Frolova's group introduced in 2013 an alternative three-component strategy employing sulfonamides, aromatic aldehydes, and cyanoacetamide.36 Their K2CO3-catalyzed synthesis generated aminopyrroles (15a–c), which subsequently underwent carbonylative cyclization with oxalyl chloride in diglyme to yield structurally diverse pyrrolo[2,3-d]pyrimidine-2,4-dione analogs (16a–c) (Scheme 3).
Scheme 3. A multicomponent reaction based synthesis of pyrrolo[2,3-d]pyrimidine-2,4-dione analogs.
2.1.1.2. From a pyrroloring containing a carbon and nitrogen triple bond
In 1998, Dave et al. synthesized 5,7-disubstituted 4-amino-7H-pyrrolo[2,3-d]pyrimidine via the Gewald reaction. The two-step process began with the reaction of (2-bromo-1-arylalkylidene)propanedinitriles 17 and various fluorinated aromatic amines, which generated 1,4-disubstituted 2-amino-3-cyanopyrrole 18. Subsequently, compound 18 underwent cyclo-condensation with formamide in N,N-dimethylformamide (DMF); notably, the addition of a small amount of formic acid significantly improved the yield of 19.37,38 Mechanistically, this transformation likely involves the partial hydrolysis of the cyano group at position 19 of 18, resulting in the formation of an intermediate amide, which then undergoes intramolecular cyclization to furnish the final product (Scheme 4).
Scheme 4. Preparation of 5,7-disubstituted 4-amino-7H-pyrrolo[2,3-d]pyrimidines using the Gewald reaction.
In 2000, Hess and colleagues developed a two-step synthetic protocol to access pyrrolo[2,3-d]pyrimidine derivatives.39 The methodology commenced with the condensation of o-aminopyrrolocarbonitrile 20 and acyl chloride 21, forming amide intermediate 22. Subsequent treatment with phosphorus pentoxide in a DMF/water mixed solvent system at elevated temperature (190 °C) achieved cyclization to afford pyrrolo[2,3-d]pyrimidine 23a–e, with structural diversity introduced through nucleophilic substitution using various amino derivatives (Scheme 5).
Scheme 5. Synthesis of pyrrolo[2,3-d]pyrimidines using o-aminopyrrolidine cyanide.
In 2011, Xiao et al. synthesized several arylated derivatives of xylocydine 24.40 This natural nucleoside is a nanoscale CDK inhibitor. Pyrrolo 26 was synthesized in HBr and acetic acid using tetracyanoethylene 25 as a raw material. Condensation with formamidine gave pyrrolo[2,3-d]pyrimidine 27. Protection of xylofuranose 28, starting with (-)-xylose, was used to glycosylate 26, providing 28. Depending on the nature of the aryl group, different conditions were used to complete the Suzuki coupling, resulting in good yields of compound 29. Compound 30 was obtained by deprotection by treatment with sodium methanol and final synthesis of the nitrile into an amide to give arylated xylocydines 30. The amide compound 31 was inactive against CDK1 and CDK2, while the thiophene-2-yl- and furan-2-yl-substituted cyano-analogs 31 showed single-digit μm activity against CDK2 (Scheme 6).
Scheme 6. Synthesis of 6-(heptyl)aryl lignocaine analogs.
2.1.1.3. From pyrroloring containing an ester group
In 2001, Taylor et al. developed a 4-dimethylaminopyridine-catalyzed radical cyclization of various N-substituted malondiamides 32 using manganese triacetate/copper acetate to generate pyrrolo-containing malondiamides 33.41 The resulting 2-amino-4(3H)-pyrimidinone cycloguanidine was further cyclized to 3-methoxy-2-pyrrolidinone 34, which served as a substrate for a palladium-catalyzed Heck reaction (Scheme 7).
Scheme 7. Synthesis of pyrrolo[2,3-d]pyrimidines using DMAP-catalysed radical cyclization.
In 2006, Pittalà et al. developed a multistep synthesis of pyrrolo[2,3-d]pyrimidines through sequential functionalization. The process initiated with amino ester derivatives (35–41) undergoing urethane formation with 2-chloroethyl isocyanate in refluxing toluene.42 Subsequent coupling with substituted piperazines in tetrahydrofuran (THF) (NaI/NaHCO3) generated intermediates, which underwent alkaline methanolysis to afford final derivatives 49a–n in 85–98% yields (Scheme 8).43
Scheme 8. Synthesis of pyrrolo[2,3-d]pyrimidines using amino ester pyrroles.
In 2011, Kaspersen et al. developed a four-step synthetic route to access 4-hydroxypyrrolo[2,3-d]pyrimidines. Initial treatment of ethyl cyanoacetate (50) with HCl-saturated ethanol yielded crystalline precursor 51, whose subsequent free base liberation (aqueous K2CO3, 0 °C) enabled ammonium chloride-mediated conversion to ethyl 3-amino-3-iminopropionate hydrochloride (52) under ethanol reflux. Following a reported protocol,1 sodium ethoxide-promoted alkylation of 52 with α-bromoacetophenones proceeded under divergent thermal conditions – ambient temperature (12 h) versus 60 °C (1.5–3 h) delivering pyrrolidine intermediates 53a–e in 48–64% yields after purification. Although not systematically investigated, the moderate yields were postulated to originate from inherent instability analogous to 2-amino-3-ethoxycarbonylpyrrole derivatives. The synthetic sequence culminated in formamide-induced cyclization of 53a–e within a formic acid/DMF system, followed by 2-propanol precipitation to isolate target compounds 54a–e with improved yields (54–74%, Scheme 9).
Scheme 9. Synthetic route to the 4-chloropyrrolopyrimidines 50–54.
2.1.1.4. From urea/guanidine derivatives
In 2008, Mizar et al. developed an efficient Biginelli-type synthesis of pyrrolo[2,3-d]pyrimidines 58a–e through a three-component domino condensation.44 Employing 1-methylpyrrolidinone (55) as the heterocyclic core, aryl aldehydes (56) as carbonyl donors, and urea/guanidine derivatives (57) as nitrogen sources, the KF–Al2O3-mediated reaction in ethanol at 80 °C (3–5 h) delivered target compounds with good to excellent yields, as illustrated in Scheme 10.
Scheme 10. Preparation of pyrrolo[2,3-d]pyrimidines by the Biginelli reaction, a three-component condensation reaction.
2.1.2. Synthesis by the formation of the pyrroloring
2.1.2.1. From pyrimidine
In 2006, Choi et al. developed a three-step protocol for constructing pyrrolo[2,3-d]pyrimidine derivatives through sequential functionalization.45 The synthesis commenced with 5-bromo-2,4-dichloropyrimidine (59) undergoing regioselective amination at the C4 position via optimized nucleophilic substitution in ethanol reflux, yielding 6-amino intermediate 60 with 96% efficiency. Subsequent Stille cross-coupling of 60 with vinylstannane under Pd(PPh3)4 catalysis in THF (60 °C, 12 h) delivered vinyl ether 61. Final HCl-mediated cyclization (1 M, 80 °C) completed the annulation process, generating target scaffold 62 with full structural confirmation by 2D-Nuclear Magnetic Resonance (NMR) (Scheme 11).
Scheme 11. Synthesis of 2-chloropyrrolo[2,3-d]pyrimidines.
In 2009, Nagashima et al. obtained a 2-aniline derivative by substituting 1,6-dihydro-2-methyl-thio-6-oxy-5-pyrimidine methyl ester 63 with 4-morpholine aniline.46 A 2-aniline derivative is chlorinated with phosphorus trichloride in the presence of diethylaniline to obtain a 4-chlorinated derivative 64. The synthetic pathway commenced with nucleophilic displacement of the C4-chloride group using benzylamine to generate the 4-benzylamino derivative. Sequential hydrolysis of the intermediate provided the carboxylic acid precursor, which underwent amidation with N,O-dimethylhydroxylamine to furnish the N-methoxy-N-methyl carboxamide derivative. Reduction of this intermediate with lithium aluminum hydride yielded aldehyde derivatives 65a–d in 53–82% yields. These aldehydes were subjected to Wittig olefination using (methoxymethyl)triphenylphosphonium chloride, followed by acidic cyclization (HCl/MeOH) to afford the target pyrrolo[2,3-d]pyrimidine derivatives 66a–d (Scheme 12).
Scheme 12. Synthesis of pyrrolo[2,3-d]pyrimidines using the Wittig reaction.
In 2013, El Kaïm et al. extended the synthesis of 5,6-disubstituted pyrrolo[2,3-d]pyrimidine derivatives through a four-component Ugi–Smiles reaction between ancymidol 67 and nitroolefins, yielding intermediates 68 in low-to-moderate yields.47 Subsequent Sonogashira coupling followed by base treatment (e.g., K2CO3) efficiently generated target compounds 69 or 70 in 65–82% yields. When aromatic aldehydes were employed, the Ugi adducts and Sonogashira products could be isolated separately or synthesized via a one-pot protocol; however, reactions with formaldehyde (R1 = H) required stronger bases such as NaH at room temperature due to the reduced acidity of the ortho-proton. The final cyclization of intermediate 71 exhibited pronounced substituent-dependent regioselectivity, succeeding with phenyl, ortho/para-chlorophenyl, or para-fluorophenyl groups (R2) yet failing completely for electron-rich arenes (para-methylphenyl, para-methoxyphenyl) in the presence of aliphatic aldehydes (R1 = alkyl). Intriguingly, certain substrates underwent an unexpected divergent cyclization pathway to form pyrrolo[2,3-d]pyrimidine 72, suggesting benzyl residue activation as a key mechanistic driver (Scheme 13).
Scheme 13. Preparation of pyrrolo[2,3-d]pyrimidines by the Ugi–Smiles reaction, a four-component condensation reaction.
2.1.2.2. From aminopyrimidine
In 2000, Rodriguez et al. successfully synthesized intermediate 74 through a Sonogashira coupling reaction between 4,6-dimethyl-2-amino-3-halogenated pyrimidine (substrate 73) and 1-alkyne under palladium catalysis (Pd), achieving excellent yields.48 Subsequently, intermediate 74 underwent base-mediated cyclization in N-methylpyrrolidone (NMP) solvent at ambient temperature (25 °C) using potassium tert-butoxide (t-BuOK) as the base, yielding pyrrolo[2,3-d]pyrimidine derivative 75 in 61% isolated yield (Scheme 14).
Scheme 14. Synthesis of pyrrolo[2,3-d]pyrimidine derivatives using Sonogashira reaction.
In 2011, Aso et al. employed an analogous strategy to synthesize 5-bromo-2-(dipropylamino)pyrrolo[2,3-d]pyrimidin-4-one 78 through the reaction of 2-amino-4-hydroxy-6-(methylamino)pyrimidine 76 with 1-chloro-2-propanone.49 Notably, the authors achieved regioselective substitution at the 5-position of intermediate 77 by reacting 76 with 2-bromo-2-(mesityl)acetaldehyde, demonstrating the synthetic versatility of this protocol (Scheme 15).
Scheme 15. Synthesis of pyrrolo[2,3-d]pyrimidin-4-one derivatives.
In 2012, Paul et al. reported a catalytic synthesis of 5-arylpyrrolo[2,3-d]pyrimidine-2,4-diones (81) through the reaction of 6-aminouracil (79) with nitroolefins (80) using polyethylene glycol-supported sulfonic acid (PEG–SO3H) as a polymer-supported Brønsted acid catalyst.50 The reaction achieved high yields (75–92%), with substrates bearing electron-donating groups on the aromatic ring exhibiting optimal performance. Notably, the requisite nitroolefins were generated in situ from uracil (82) and aromatic aldehydes in nitromethane, catalyzed by magnetically recoverable copper ferrite (CuFe2O4) nanoparticles. This bifunctional catalyst enabled efficient cyclization while allowing simple separation via external magnetic fields, demonstrating excellent recyclability over five cycles (Scheme 16).
Scheme 16. Synthesis of 5-arylpyrrolo[2,3-d]pyrimidines: the catalyst can be easily recovered by an external magnet.
In 2016, Saikia et al. developed a one-pot two-step protocol for synthesizing pyrrolo[2,3-d]pyrimidine derivatives 86a–k (42–92% yield) through sequential Michael addition and reductive cyclization.51 The reaction commenced with 6-amino-1,3-dimethylpyrimidine-2,4(1H,3H)-dione (84) and (E)-β-nitrostyrene (85) in ethanol under alkaline conditions (NaOH, 2 h, 25 °C), followed by intermediate structural confirmation through single-crystal X-ray analysis. Subsequent treatment of the Michael adduct with a Na2S2O4/NaOH/EtOH system (1 : 3 : 4 molar ratio) at 60 °C for 1 h triggered reductive cyclization to furnish the target compounds. This strategy effectively leveraged the dual advantages of alkaline sodium dithionite's strong reducing capacity and Michael addition compatibility in basic media, enabling efficient construction of the pyrrolo[2,3-d]pyrimidine core (Scheme 17).
Scheme 17. A one-pot, two-step synthesis of 5-arylpyrrolo[2,3-d]pyrimidines.
In 2021, Tan et al. established a synthetic pathway for pyrrolo[2,3-d]pyrimidine derivatives through sequential transformations.52 The protocol commenced with 6-aminouracil (79) undergoing cyclization with chloroacetaldehyde in acetate buffer (pH 4.5, 80 °C), yielding pyrrolo[2,3-d]pyrimidine-2,4-diol (87) in 93% isolated yield. Subsequent treatment of 87 with phosphorus oxychloride (POCl3, DMF catalyst) under reflux (110 °C, 4 h) achieved complete chlorination to afford 2,4-dichloro-7H-pyrrolo[2,3-d]pyrimidine (88) Compound 88 then underwent consecutive nucleophilic substitutions: first with N-[3-(aminomethyl)pyridin-2-yl]-N-methylmethanesulfonamide in ethanol under reflux conditions, followed by microwave-mediated coupling (150 °C, 300 W, 45 min) with 5-aminoindol-2-one. This tandem process efficiently produced hybrid compound 90, demonstrating successful integration of dual bioactive moieties through sequential functionalization (Scheme 18).
Scheme 18. Synthetic route for 7H-pyrrolo[2,3-d]pyrimidine derivative.
2.1.2.3. From diaminopyrimidine
In 2011, Wang et al. adapted the aforementioned methodology to synthesize 2-amino-4-yloxy-6-substituted pyrrolo[2,3-d]pyrimidines through a bromoketone-mediated pathway.53 The synthesis involved reacting α-bromoketones 92a–c with 2,6-diamino-3H-pyrimidin-4-one (91) under ambient conditions (room temperature, 72 h) in DMF, followed by alkaline hydrolysis (1 N NaOH, room temperature) of the intermediate products to afford carboxylic acid derivatives 93a–c in 89–95% isolated yields. This two-stage protocol demonstrated remarkable functional group tolerance while maintaining reaction efficiency, as systematically illustrated in Scheme 19.
Scheme 19. Synthesis of pyrrolo[2,3-d]pyrimidines containing thiophene groups.
In 2013, Shi et al. treated 91 with chloral aqueous solution to produce pyrrolo[2,3-d]pyrimidine 95.54 By performing this cyclization in the presence of N,N-dimethylacetamide (DMA) rather than DMF, the required product is precipitated as a 1 : 1 DMA complex 94, which facilitates its production on a kilogram scale. 95% DMA is then easily removed by recrystallization from MeOH. PivCl was used to protect the amino group to obtain amide 96. Deoxychlorination was best achieved with the POCl3/BnEt3NCl system to obtain 97, followed by iodization with N-iodosuccinimide (NIS) to obtain 98 regionally. It is important to note that neopentyl groups are necessary for the successful process of deoxychlorination and iodization. Attempts to replace neopentyl groups with acetyl or octyl groups result in complex mixtures of products when treated sequentially with POCl3 and NIS. However, cutting the neopentyl group proved to be a difficult operation. After extensive experiments, we found that if 100 was first alkylated with commercially available chloromethyl pyridine 99 and then treated with ZnCl2 in EtOH to obtain the key intermediate 101, the neopentyl group could be effectively removed and performed 102 (Scheme 20).
Scheme 20. Synthesis of pyrrolo[2,3-d]pyrimidines containing an alkynyl group.
2.1.2.4. From pyrimidinetriamine
In 2010, Quiroga et al. carried out a three-component reaction of 2,4,6-pyrimidinetriamine 103, acetone 104, and arylglyoxals 105 at 242–281 °C, affording compounds 106a and 106b in 41% combined yield (Scheme 21).55
Scheme 21. Synthesis of pyrrolo[2,3-d]pyrimidines using a three-component condensation reaction.
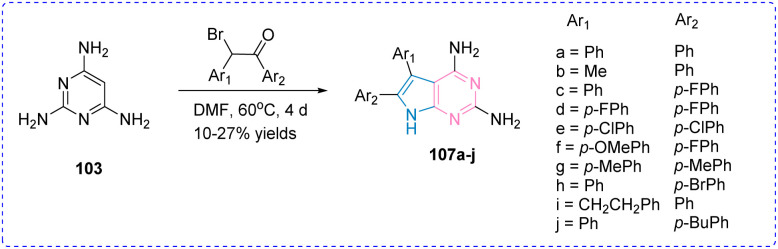
In 2014, Khalaf et al. developed a regioselective synthesis of 4-amino-5,6-diarylpyrrolo[2,3-d]pyrimidines through bromoketone-mediated cyclization. The protocol employed 2,4,6-pyrimidinetriamine (103) and pre-synthesized diaryl α-bromoketones prepared via bromination of aryl methyl ketones (commercially sourced or obtained through Friedel–Crafts acylation of substituted benzenes)—under optimized coupling conditions (DMF, 100 °C, 12 h).56 Despite systematic optimization, the condensation reaction furnished 5,6-diaryl pyrrolo pyrimidines 107a–j in modest yields (Scheme 22).
Scheme 22. Synthesis of pyrrolo[2,3-d]pyrimidines using two pyrimidine substrates.
2.1.3. Synthesis of another method
An alternative synthetic strategy employs the inverse electron-demand Diels–Alder (IEDDA) reaction between 2,4,6-triazine derivatives (108) and N-alkylated-2-aminopyrroles (109).57 This cascade process initiates with the formation of cycloadduct 111, which undergoes retro-Diels–Alder elimination of nitrile at 60 °C (DMF, 12 h). The liberated nitrile undergoes nucleophilic attack by the pyrrole's free amino group to form amidinium intermediate 112 in high yield. The system accommodates diverse substituents (alkyl, benzyl, thioether), while electron-withdrawing groups (esters, trifluoromethyl groups) dramatically enhance triazine reactivity, allowing ambient-temperature reactions versus mandatory heating for unactivated substrates (Scheme 23).
Scheme 23. Synthesis of pyrrolo[2,3-d]pyrimidines using the Diels–Alder reaction.
In 2005, Janeba et al. developed two synthetic routes to access pyrrolo[2,3-d]pyrimidine derivatives 115.58 The stepwise approach first employed 113a–b in a Sonogashira coupling with terminal alkynes using Pd(PPh3)4/CuI catalysis in DMF/triethylamine (70 °C, 12 h), yielding intermediates 114 (51–83%). Subsequent treatment of 114 with methanolic ammonia (7 M, 70 °C, 8 h) afforded 6-alkyl-3-[(2-hydroxyethoxy)methyl]pyrrolo[2,3-d]pyrimidine-2(3H,7H)-ones 115 (53–84%). Alternatively, a one-pot protocol directly converted 113a/b to 115 through sequential palladium-mediated coupling (60 °C, 8 h) and in situ cyclization, followed by silica gel chromatography and NH3/MeOH treatment to achieve simultaneous deacetylation and furan-to-pyrrolo ring transformation, albeit with reduced yields (30–53%) (Scheme 24).
Scheme 24. Synthesis of pyrrolo[2,3-d]pyrimidines via one-pot coupling.
In 2012, Davies and colleagues first synthesized 2-bromo-1,1-diethoxyethane 116 and ethyl-2-cyanoacetate 117 in DMF at 90 °C using Bu4NBr and K2CO3 as catalysts.59 The intermediate (118) was obtained with a yield of 40–55%. Subsequently, 2-cyano-4,4-ethoxybutyrate (118) reacted with thiourea under alkaline conditions to produce pyrimidine (119) with a yield of 50%. Following sulfhydryl methylation, acid-mediated ring closure yielded pyrrolo[2,3-d]pyrimidine (120) scaffolds in excellent yield. Deoxychlorination using phosphorus oxide trichloride and silyl ethyl methyl (SEM) protection of the pyrrole nitrogen proceeded with good yields. To introduce a cyano group at C5, the C5 site was brominated using N-bromosuccinimide. Lithium–halogen exchange with butyllithium followed by quenching with carbon dioxide afforded carboxylic acid (127) in excellent yield. The acid was further converted into an acyl chloride using oxaloyl chloride, which subsequently reacted with aqueous ammonia to produce amide (128) with high yield. Suzuki coupling of the C5 position with a cyano group oxidized the sulfide to sulfone using m-chloroperbenzoic acid. Under alkaline conditions, the sulfone was replaced by ethyl thioglycolate with excellent yield, and carboxylic acid (127) was obtained quantitatively via saponification with sodium hydroxide. This acid was then converted into amido (128) in an O-(benzotriazol-1-yl)N,N,N′,N′-tetramethyluronium hexafluorophosphate mediated reaction. Using pyridine p-toluene sulfonate (PPTS) as a weak acid catalyst, the acetal functional groups on aryl substituents were decomposed. The deprotected hydroxyl was alkylated with methyl iodide or ethyl iodide, and the SEM group was finally removed using tetrabutylammonium fluoride (TBAF) and ethylenediamine. Compound (130) was obtained at a moderate yield (Scheme 25).
Scheme 25. Synthesis of pyrrolo[2,3-d]pyrimidines via Suzuki coupling reaction.
In 2013, Tari et al. utilized methyl cyanoacetate (131) to react with bromobutanone (132), forming an acetal to produce compound (133) with excellent yield.60 High-yield pyrimidone was obtained through treatment with urea or thiourea. Acid-catalyzed cyclization of thioanalog (134) yielded the first key intermediate (135) with excellent yield. Oxygen analogues were similarly treated and subsequently activated with POCl3 to obtain the second key intermediate (136) (Scheme 26).
Scheme 26. Formation of pyrrolo[2,3-d]pyrimidines via acetal intermediates.
In 2012, Lee et al. reported a solid-phase synthesis of pyrrolo[2,3-d]pyrimidine derivatives utilizing Rink amide MBHA resin as the polymeric support.61 The resin was pre-conditioned by swelling in N,N-dimethylformamide for 2 hours within a syringe reactor, followed by sequential deprotection with 20% piperidine/DMF (2 × 10 minutes) to remove the Fmoc protecting group. Two peptide-like residues were introduced via a microwave-assisted submonomer protocol: bromoacetic acid and N,N-diisopropylcarbodiimide (DIC) were sequentially coupled to the resin under DMF, followed by microwave irradiation (10% power, 2 × 15 seconds) with manual bead agitation between pulses to ensure uniformity. After expelling the reaction mixture, the resin was thoroughly washed with DMF, CH2Cl2 and MeOH. This microwave-driven coupling cycle was repeated using various amines to yield dimeric peptides (139), which were subsequently reacted with 4,6-dichloro-2-(methylthio)pyrimidine-5-carbaldehyde to afford intermediates (140a–b). The dicyclopyrrolopyrimidine core (141a–h) was constructed via intramolecular aldol condensation and N,N-dimethylation at the 4-position, followed by oxidation of the thioether moiety with m-chloroperbenzoic acid (MCPBA) and final amine substitution to generate the 2,6,7-trisubstituted pyrrolo[2,3-d]pyrimidine scaffold (142) (Scheme 27).
Scheme 27. Synthesis of tetrasubstituted pyrrolo[2,3-d]pyrimidines using solid phase synthesis.
Ryzhkova and coworkers developed a catalyst-free green synthetic protocol for constructing pyrrolo[2,3-d]pyrimidine derivatives (146a–h) bearing barbituric acid moieties through an aqueous multicomponent reaction. This methodology employs phenylglyoxal (143), N,N′-dimethylbarbituric acid (144), and 6-aminouracil (145) as starting materials, mechanistically proceeding through sequential Knoevenagel condensation, Michael addition, and intramolecular heterocyclization.62 Remarkably, the reaction demonstrates exceptional efficiency in pure aqueous medium without requiring catalytic additives. Systematic optimization afforded various target compounds in 78–97% yields. Characterized by operational simplicity and easy product isolation (Scheme 28), this water-based approach aligns with green chemistry principles while providing efficient access to pharmacologically relevant heterocyclic frameworks.
Scheme 28. Novel green on-water multicomponent approach for the synthesis of pyrrolo[2,3-d]pyrimidines.
3. Antimicrobial application
Pyrrolo[2,3-d]pyrimidines, as structurally unique nitrogen-containing heterocyclic compounds, have garnered significant interest in antimicrobial research owing to their diverse biological activities and high structural adaptability. Representative examples of their antibacterial, antifungal, and antiviral applications are outlined below.
3.1. Antibacterial activity
In 2002, Dave et al. synthesized two annulated pyrrolo[2,3-d]pyrimidine derivatives incorporating triazole and tetrazole moieties.63 Tetrazolo-pyrrolo[2,3-d]pyrimidines (148) were synthesized by treating compound 149 with sodium azide and ammonium chloride in dimethyl sulfoxide (DMSO), whereas triazolo derivatives were obtained through reaction of 154 with heated formic acid. An alternative synthetic pathway involved 2-amino-3-cyanopyrroles (150): treatment with triethyl orthoformate yielded intermediates (151), which were subsequently condensed with hydrazine hydrate to afford 5,7-disubstituted-3-amino-4-imino-pyrrolo[2,3-d]pyrimidines (152). Antimicrobial evaluation via agar plate diffusion assay against six bacterial strains (E. coli, E. enterica, P. aeruginosa, S. typhi, S. aureus, B. subtilis) demonstrated that most derivatives exhibited comparable activity to reference standards against E. coli (with exceptions of 148e and 148j). Compound 153 displayed superior potency. Against E. enterica, derivatives 148c and 148k showed reduced efficacy relative to ampicillin, while others surpassed the control. All compounds exhibited similar activity against P. aeruginosa, except 148g, 148k, and 153d, which showed no inhibition. Notably, 148h and 148k exceeded the positive control's efficacy against S. aureus, whereas 153c and 153d demonstrated enhanced activity against B. subtilis (Scheme 29 and Table 1).
Scheme 29. Synthesis of two cyclized pyrrolo[2,3-d]pyrimidines containing triazole and tetrazole.
Table 1. The inhibition zone diameter method was used to determine the antibacterial activity of compounds 148c, 153b, 153c, and 153e.
| Compd | Bacteria | Inhibition zone diameter (mm) |
|---|---|---|
| 148c | E. coli | 15 |
| E. enterics | 15 | |
| P. aeruginosa | 15 | |
| S. typhi | 15 | |
| B. subtilis | 5 | |
| 153b | P. aeruginosa | 15 |
| 153c | B. subtilis | 10 |
| 153e | B. subtilis | 10 |
In 2008, Ghahremanzadeh et al. established an environmentally benign synthetic protocol for spiro-pyrrolopyrimidine derivatives through aqueous-phase cyclocondensation.64 This methodology exploited water's immiscibility with organic reactants to achieve efficient phase separation and catalyst recovery, combining operational simplicity with reduced ecological footprint while maintaining high product yields (Scheme 30). Antimicrobial assessment identified compounds 155b, 155f, 156a, and 156b as superior to norfloxacin, with 155b exhibiting a minimum inhibitory concentration (MIC) of 9 μg mL−1 against P. aeruginosa (cf. norfloxacin: 20 μg mL−1) and 156a demonstrating 7 μg mL−1 efficacy against S. aureus (cf. norfloxacin: 16 μg mL−1). Notably, compound 155f displayed exceptional antimicrobial potency (Table 2).
Scheme 30. Structure of compounds 155b, 155f, 156a and 156b.
Table 2. The antibacterial activity of compounds 155b, 155f, 156a and 156b.
| Compd | Bacteria | |
|---|---|---|
| 155b | S. aureus | 7 |
| 155f | P. aeruginosa | 9 |
| 156a | S. aureus | 7 |
| 156b | P. aeruginosa | 9 |
| Compd | Bacteria | MIC (μg mL−1) |
Interestingly, in 2010, Mohamed et al. devised multifunctional synthetic pathways for pyrrolo[2,3-d]pyrimidine derivatives.65 Initial synthesis of pyrrolo[2,3-d]pyrimidine-2/4-thione derivatives (158) from precursor 157 was followed by base-mediated alkylation (NaOH/EtOH) to generate pyrrolo[2,3-d]pyrimidine (159), while condensation routes yielded 2-aminopyrrolo[2,3-d]pyrimidines (160) (Scheme 31). Subsequent annulation strategies produced 8-aryl-substituted fused derivatives (161–162). Antimicrobial screening against Gram-positive and Gram-negative bacteria revealed generally poorly activity, with thione derivative 158a showing enhanced efficacy against S. aureus and B. subtilis, while 158d demonstrated selective inhibition of B. subtilis (Table 3).
Scheme 31. Structure of compounds 157–162.
Table 3. The antibacterial activity of compounds 158a and 158d.
| Compd | Anti-B. subtilis activity/MIC (μg mL−1) |
|---|---|
| 158a | 512 |
| 158d | 512 |
In the same year, Hassan Hilmy et al. (2010) reported synthetic methodologies for novel pyrrolo derivatives and pyrrolo[2,3-d]pyrimidine analogues (Scheme 32).19 Antimicrobial evaluation highlighted significant activity against Gram-positive S. aureus for derivatives 164b–d, 166a–b, 166e, 169a, d, and 170c. Remarkably, compounds 164b–c and 166e achieved equivalent efficacy to ampicillin (MIC = 0.62 mg mL−1) against Gram-negative E. coli. SAR analysis revealed optimal bioactivity in pyrrolo[2,3-d]pyrimidines bearing amino 164a–d, hydrazino 166a–e, or diamino 169a–d substituents, whereas fused triazolo/tetrazolo-pyrimidine systems exhibited reduced potency. Among these compounds, derivatives 164b, 164c, and 166e emerged as the most potent against S. aureus, with MIC values of 0.31 mg mL−1 – twice the potency of ampicillin (0.62 mg mL−1) (Table 4).
Scheme 32. Structure of compounds 163–166a–e, 167–170a, c, d.
Table 4. The antibacterial activity of compounds 164a, 164c and 166e.
| Compd | Antibacterial activity/MIC (mg mL−1) | |
|---|---|---|
| S. aureus | C. albicans | |
| 164a | 0.31 | 0.62 |
| 164c | 0.31 | 0.31 |
| 166e | 0.31 | 0.31 |
| Ampicillin | 0.62 | — |
3.1.1. FtsZ inhibtor
The filamenting temperature-sensitive mutant Z (FtsZ) protein, a conserved bacterial cell division component, polymerizes through GTP-dependent mechanisms to form midcell Z-rings. These structures coordinate division machinery assembly, driving septal formation through constriction.66,67 As a phylogenetically conserved therapeutic target, FtsZ has emerged as a focus for novel bactericide development.68
In 2024, Li et al. implemented a scaffold-hopping strategy to design 7H-pyrrolo[2,3-d]pyrimidine derivatives targeting Xanthomonas oryzae pv. oryzae (Xoo) FtsZ (Fig. 3).69In vitro evaluations identified compound 171 as the most potent agent against Xoo (EC50 = 4.65 μg mL−1). Mechanistic studies revealed that compound 171 inhibited XooFtsZ GTPase activity (IC50 = 235.0 μM) by potentially interacting with Asn34, Asp38, Val322, and Ala323 on FtsZ, further induced bacterial cell elongation, and thereby causing lethality. SAR analysis showed that alkyl groups enhanced antibacterial activity more effectively than sulfonyl, acyl, and thiourea groups. The length of the alkyl carbon chain was related to antibacterial activity, showing a trend of first increasing, then stabilizing, and finally decreasing (Fig. 4). Interestingly, this study marks the inaugural application of the pyrrolo[2,3-d]pyrimidine scaffold in FtsZ-targeted bactericide development.
Fig. 3. Synthesis of pyrrolo[2,3-d]pyrimidines derivative 171 its bactericidal mechanism. Reproduced from ref. 69 with permission from Elsevier copyright 2024.
Fig. 4. Structure–activity relationship (SAR) analyses.
3.1.2. DHFR inhibitor
Dihydrofolate reductase (DHFR), an evolutionarily conserved NADPH-dependent oxidoreductase, mediates the stereospecific reduction of dihydrofolate (DHF) to tetrahydrofolate through nicotinamide adenine dinucleotide phosphate (NADPH)-derived hydride transfer, concurrently producing NADP+.70 Functioning as the principal cofactor in nucleotide biosynthesis and methylation pathways, THF critically sustains fundamental cellular processes including DNA replication and amino acid metabolism.71 This biochemical essentiality underpins DHFR's status as a prime pharmacological target.72 Building upon the clinical success of trimethoprim (TMP), the first bacterial DHFR inhibitor introduced in the 1960s, Kuyper et al. designed conformationally restricted TMP analogues through structure-guided optimization (Fig. 5 and Scheme 33).70 The derivative 175 successfully mimics the TMP–DHFR complex geometry while maintaining comparable bacterial enzyme inhibition. Strikingly, protonated 175 exhibited >10-fold potency enhancement over TMP in enzymatic assays, establishing ionization state as a crucial determinant of target affinity (Table 5).
Fig. 5. Hypothetical model depicting the mechanism of action for interference with the bacterial DHFR by compounds 175 and TMP.
Scheme 33. Synthesis of pyrrolo[2,3-d]pyrimidines derivative 175 and the structure of compound TMP.
Table 5. DHFR inhibition activity for compound 175 and TMP.
| Compd | IC50 (μM) | |||
|---|---|---|---|---|
| S. aureus DHFR | P. berghei DHFR | E. coli DHFR | N. gonorrhoeae DHFR | |
| 175 | 0.039 | 0.41 | 0.44 | 0.18 |
| TMP | 0.047 | 0.24 | 0.007 | 0.45 |
3.1.3. DprE1 inhibitor
In 2019, Shiva Raju's group developed an efficient synthetic route to novel 1-triazolylpyrrolo[2,3-d]pyrimidine derivatives via intermolecular 1,3-dipolar cyclization, achieving high yields and purity (Scheme 34).73 Biological evaluation revealed potent antitubercular activity against M. tuberculosis, with lead compounds displaying MIC values of 0.78 μg mL−1 comparable to reference drugs ciprofloxacin and ethambutol. Additional derivatives exhibited moderate efficacy (MIC range: 3.25–6.25 μg mL−1). Molecular docking analyses revealed that compound 178d formed hydrogen bonds with six residues (Val365, Lys367, Lys134, Ser228, Pro316, and Leu115) of the essential cell wall biosynthesis enzyme DprE1, whereas 178c interacted with Tyr314, His132, and Cys387 alongside sharing common binding residues with 178d (Fig. 6). The SAR analysis further demonstrated enhanced potency for heteroaryl-substituted triazole derivatives, as evidenced by the superior MolDock and Rerank scores of compounds 178c and 178d, which suggests their promising potential as anti-TB agents (Table 6).
Scheme 34. The structure of compounds 177a–f.
Fig. 6. Molecular docking of 178d with M. tuberculosis DprE1. Reproduced from ref. 73 with permission from Elsevier copyright 2019.
Table 6. The antitubercular activity for compounds 178a–f.
| Compd | Antitubercular MIC (μg mL−1) |
|---|---|
| 178a | 3.12 |
| 178b | 3.12 |
| 178c | 0.78 |
| 178d | 0.78 |
| 178e | 3.12 |
| 178f | 1.56 |
3.1.4. GyrB/ParE inhibitor
Bacterial type II topoisomerases DNA gyrase (GYRA/GYRB) and topoisomerase IV (PARC/PARE) represent structurally homologous yet functionally distinct antimicrobial targets.74,75 These A2B2 holoenzymes regulate DNA topology during replication: DNA gyrase primarily facilitates replication initiation and elongation through negative supercoiling, while topoisomerase IV mediates chromosome decatenation during replication termination.76 Their essential mechanistic roles and multiple druggable sites make them prime targets for antibacterial development (Table 7).
Table 7. The ability of compounds 179–186 to bind GyrB/ParE.
| Compd | K i (nM) | K i (nM) | K i (nM) | |||
|---|---|---|---|---|---|---|
| F. tularensis GyrB | F. tularensis ParE | E. coli GyrB | E. coli ParE | E. faecalis GyrB | E. faecalis ParE | |
| 179 | <0.3 | 0.6 | <0.3 | 1.1 | — | — |
| 180 | <0.3 | 2.5 | <0.3 | 1.7 | — | — |
| 181 | <0.3 | 1.8 | 0.4 | 3.4 | — | — |
| 182 | <0.3 | 0.6 | <0.3 | 0.9 | — | — |
| 183 | <0.3 | 1.1 | <0.3 | 4.6 | — | — |
| 184 | 520 | 856 | 350 | 536 | 650 | 408 |
| 185 | <0.3 | <0.4 | <0.05 | <0.1 | <0.3 | <0.3 |
| 186 | <0.3 | 0.8 | 0.3 | 0.9 | <0.3 | <0.3 |
Tari's team pioneered pyrrolopyrimidine-based inhibitors through pharmacophore-driven discovery in 2013, synthesizing compounds 179–183 (Scheme 35) with optimized Gram-negative penetration and efflux pump resistance circumvention.60,77 These agents exert bactericidal effects via selective topoisomerase inhibition (Fig. 7). Systematic structural optimization by the modifications at R2, R4 and R5 positions, and by comparing the activity of S- and O-linked inhibitors with the same modifications (Table 8), it was demonstrated that alleviating conformational strain using an O-linker enhances activity, demonstrated that alleviating conformational strain using an O-linker enhances activity. Its unique dual-targeting mechanism exhibited nanomolar potency and single-digit μg mL−1 MIC values. Parallel development of tricyclic GyrB/ParE (TriBE) inhibitors yielded pyrrolo[2,3-d]pyrimidine derivatives 184–186.78 Structural incorporation of a benzene ring in the pyrrole system markedly improved GyrB/ParE affinity compared to bicyclic analogues. Fluorination at the 6-position of benzene (compounds 185–186) generated broad-spectrum agents with MICs < 0.2 μg mL−1 against clinically relevant Gram-positive and Gram-negative pathogens.
Scheme 35. The structure of compounds 179–186.
Fig. 7. Gyrase mechanism.
Table 8. The antibacterial activity of compounds 179–183, 185–186.
| Compd | Antibacterial activity MIC (μg mL−1) | ||||||
|---|---|---|---|---|---|---|---|
| S. aureus | S. pneumoniae | H. influenzae | E. coli | K. pneumoniae | A. baumannii | P. aeruginosa | |
| 179 | ≤0.06 | 0.13 | 4 | 4 | >64 | 8 | 8 |
| 180 | ≤0.06 | 0.25 | 2 | 2 | 32 | 4 | 4 |
| 181 | 1 | 2 | 4 | 4 | 64 | 16 | 32 |
| 182 | ≤0.06 | ≤0.06 | 1 | 4 | 32 | 4 | 8 |
| 183 | 0.13 | 1 | 4 | 4 | 32 | 8 | 6 |
| 185 | 0.008 | 0.001 | 0.031 | 0.125 | 2 | 0.125 | 2 |
| 186 | 0.004 | 0.001 | 0.031 | 0.125 | 1 | 0.25 | 1 |
Vazirimehr and colleagues (2017) developed two novel pyrrolo[2,3-d]pyrimidine derivatives (189 and 190) through a multistep synthesis involving: (1) glacial acetic acid-mediated or ultrasonication-assisted reaction of 2-amino-1-methyl-4,5-diphenyl-1H-pyrrolo-3-carbonitrile with triethyl orthoformate, followed by sequential condensation with methylamine/benzylamine via reflux condition (Scheme 36).18 The optimized protocol afforded compounds 189 and 190 in 90% and 85% yields respectively. Antimicrobial evaluation revealed modest activities, with both derivatives demonstrating MIC values of 5 and 6 mg mL−1 against S. aureus and E. coli, respectively, while exhibiting slightly improved activity against M. luteus (3–4 mg mL−1). These results indicated limited antibacterial efficacy across the tested bacterial strains (Table 9).
Scheme 36. Synthesis of pyrrolo[2,3-d]pyrimidines using catalyst-containing glacial acetic acid or ultrasonic radiation pyrimidine derivatives.
Table 9. The antibacterial activity of compounds 189, 190.
| Compd | Antibacterial activity MIC (mg mL−1) | ||
|---|---|---|---|
| S. aureus | E. coli | M. luteus | |
| 189 | 5 | 6 | 3 |
| 190 | 5 | 6 | 4 |
3.1.5. ThrRS inhibitor
Aminoacyl-tRNA synthetases (AARS), an evolutionarily conserved enzyme family, execute the essential biochemical task of coupling amino acids with their cognate tRNAs to maintain translational fidelity. These 20 type-specific catalysts (classified as I/II based on active site architecture)79,80 include threonyl-tRNA synthetase (ThrRS) a type II enzyme whose inhibition disrupts bacterial protein biosynthesis through misaminoacylation, ultimately causing cell death (Fig. 8). This mechanistic vulnerability establishes ThrRS as an attractive antimicrobial target.
Fig. 8. Involvement of ThrRS in protein synthesis.
In 2013, Teng et al. identified a series of ThrRS synthetase inhibitors by using a structure-based drug design (Scheme 37).81 They are all sulfonamide-substituted nitrogen-containing heterocycles, including quinazolines, isoquinolines, pyrimidines, and pyrrolopyrimidines. These inhibitors bind to the substrate binding site of ThrRS synthetase and show excellent binding affinity for bacterial ThrRS synthetase. Several compounds have improved selectivity for bacterial ThrRS synthetase. Compounds 191i and 191j are 4-substituted pyrrolo[2,3-d]pyrimidine derivatives, and 191i binds to E. coli with a ThrRS Ki of 2.4 nM more strongly than the other two bacteria (B. thail ThrRS Ki = 0.6 nM and Y. pestis ThrRS Ki = 1.8 nM). Surprisingly, the ThrRS binding capacity of 191j was stronger than that of 191i for the three bacteria mentioned above, E. coli ThrRS Ki = 9.5 nM, B. thail ThrRS Ki = 4 nM, and Y. pestis ThrRS Ki = 5.7 nM, respectively. Notably, 191j demonstrated >10-fold selectivity for bacterial versus human ThrRS, suggesting favorable therapeutic potential. This marked selectivity contrast with 191i which showed negligible species discrimination highlights critical structural determinants for target specificity while underscoring potential mammalian toxicity concerns with non-selective inhibitors.
Scheme 37. The structure of 4-substituted pyrrolo[2,3-d]pyrimidine derivatives.
3.2. Antifungal activity
In 2002, El-Gaby and colleagues pioneered hybrid antimicrobials through strategic integration of pyrrolo[2,3-d]pyrimidine cores with sulfonamide pharmacophores, yielding novel derivatives via synthetic route Scheme 38.82 Structural optimization revealed critical design principles: incorporation of heterocyclic sulfonamide moieties at the pyrrole position enhanced antifungal efficacy, while unsubstituted sulfonamide derivatives showed attenuated or abolished activity. Among synthesized analogs, compound 194 demonstrated broad-spectrum fungicidal activity with approximately 85% efficacy against four pathogenic fungi, though failing to surpass the reference standard mycostatine in potency (Table 10).
Scheme 38. Synthesis of compound 194.
Table 10. The inhibition zone diameter method was used to determine the antibacterial activity of compound 194.
| Compd | Inhibition zone diameter, mm (relative inhibition) | |||
|---|---|---|---|---|
| A. ochraceus Wilhelm | P. chrysogenum Thom | A. fleavus Link | C. albicans (Robin) Berkho | |
| 194 | 18 (45%) | 14 (37%) | 16 (42%) | 34 (85%) |
| Mycostatine | 40 (100%) | 38 (100%) | 38 (100%) | 40 (100%) |
In 2018, Shah's team employed structure-guided drug design leveraging human DHFR X-ray crystallographic data and P. jirovecil DHFR homology modeling to develop selective antipneumocystis agents (Scheme 39).82 Rational design leveraged critical structural variations at residues Met33 and Phe31, where distinct spatial occupancy between pjDHFR and hDHFR governs inhibitor selectivity (Fig. 9). This approach yielded pyrrolo[2,3-d]pyrimidine derivatives 195–199 demonstrating enhanced pjDHFR inhibition (IC50 values) and significant selectivity over human DHFR compared to prototype inhibitor piritrexim. Four compounds exhibited 24-fold pjDHFR preference in binding assays (Table 11), with lead compound 196 showing 84 nM potency against pjDHFR (24 × selectivity vs. hDHFR). SAR results revealed maximal activity with N7-propyl substituents; elongation to n-butyl or branching with isopropyl groups failed to improve potency or selectivity, thereby establishing propyl as the optimal N7 chain length for this series.
Scheme 39. The structure of compounds 195–199.
Fig. 9. Docked pose of 195 (cyan) in the homology model of pjDHFR (left); docked pose of 190 (cyan) in the crystal structure of hDHFR (right). Reproduced from ref. 82 with permission from Elsevier copyright 2018.
Table 11. Inhibition concentrations against pjDHFR and hDHFR and selectivity ratios.
| Compd | IC50 (nM) | ||
|---|---|---|---|
| pjDHFR | hDHFR | Selectivity ratio [hDHFR/pjDHFR] | |
| 195 | 35 | 511 | 15 |
| 196 | 84 | 2046 | 24 |
| 197 | 74 | 579 | 8 |
| 198 | 73 | 1130 | 15 |
| 199 | 81 | 811 | 10 |
| TMP | 92 | 24 500 | 266 |
| PTX | 41 | 2 | 0.05 |
3.3. Antiviral activity
In 2019, Sroor's team developed structurally diversified pyrrolo[2,3-d]pyrimidine derivatives through rational molecular design, subsequently evaluating their antiviral potential against bovine viral diarrhea virus (BVDV).83 Initial screening identified compounds 200, 201, 202, and 203 as superior inhibitors through direct viral replication assays. SAR studies established critical substitution patterns: optimal anti-BVDV activity occurred when position C2 contained either hydrogen atoms or trichloromethyl groups, coupled with C4 substitutions by chlorine, sulfur, pyrrolidine, or methoxy moieties. This specific substitution pattern demonstrated enhanced viral inhibition compared to analogs bearing chlorine atoms or methyl groups at C2 (Scheme 40).
Scheme 40. The structure of compounds 200–203.
In 2021, Soto-Acosta and colleagues identified compound 204 as a potent Zika virus (ZIKV) inhibitor, demonstrating EC50 = 5.25 μM (reporter assay) and CC50 = 20.0 μM, yielding a selectivity index (SI) of 3.81 (Table 12).84 Building on this lead, systematic structural optimization of the 7H-pyrrolo[2,3-d]pyrimidine scaffold at positions 4 and 7 yielded analogs 204–206 (Scheme 41), which exhibited enhanced anti-ZIKV potency. The SAR results showed that introducing a simple electron-withdrawing group, preferably nitro or cyano, at the para or meta position led to excellent anti-ZIKV activity, especially in terms of titer-reducing capability. Notably, these derivatives demonstrated broad-spectrum activity all three compounds (204–206) showed >90% protection against dengue virus (DENV) in cellular infection models. Although the specific molecular targets of action remain to be elucidated, 4,7-disubstituted 7H-pyrrolo[2,3-d]pyrimidines and their analogs are expected to be a new chemotype for the design of against flaviviruses (Table 13).
Table 12. The anti-BVDV activity of the synthesized compounds 200–203.
| Compd | 0.1 mg mL−1 |
|---|---|
| 200 | 90% anti-BVDV |
| 201 | 100% anti-BVDV |
| 202 | 90% anti-BVDV |
| 203 | 100% anti-BVDV |
Scheme 41. The structure of compounds 204–206.
Table 13. The anti-ZIKV activity of the compounds 204–206.
| Compd | ZIKV reporter assay | Titer reduction assay | CC50 (μM) | ||||||
|---|---|---|---|---|---|---|---|---|---|
| Inhibition (%) at 10 μM | Viability (%) at 10 μM | EC50 (μM) | % at 8.5 μM | % at 1.5 μM | EC50 (μM) | EC90 (μM) | EC99 (μM) | ||
| 204 | 73 | 69 | 5.25 | 93 | — | 5.21 | 10.7 | — | 20.0 |
| 205 | 78 | 68 | 4.10 | 97 | 47 | 4.29 | 9.02 | 13.6 | 20.6 |
| 206 | 90 | 60 | 3.16 | 99 | — | 5.05 | 6.98 | 12.7 | 5.3 |
4. Conclusion
Pyrrolo[2,3-d]pyrimidines have emerged as a privileged scaffold in medicinal chemistry since their initial discovery in the mid-20th century. These bicyclic heterocycles, characterized by their fused pyrrole and pyrimidine rings, have evolved into versatile platforms for drug discovery through innovative synthetic approaches. This review systematically examines two principal cyclization pathways differentiated by their formation sequence of the central pyrrole and peripheral pyrimidine rings – that underpin the scaffold's structural diversification. Contemporary synthetic strategies including microwave-assisted synthesis, solid-phase combinatorial approaches, tandem one-pot methodologies, and Diels–Alder cyclization have enabled efficient access to structural analogs with remarkable stereochemical control and functional group tolerance.
Pharmacological evaluations reveal broad-spectrum antimicrobial potential, particularly against emerging drug-resistant pathogens. Specific derivatives demonstrate potent activity against methicillin-resistant S. aureus, M. tuberculosis and, and the opportunistic fungus P. jirovecil. Notably, select analogs exhibit dual antiviral efficacy against both the BVDV and ZIKV, suggesting potential for pan-antiviral development. These findings position pyrrolo[2,3-d]pyrimidines as a strategic chemotype for addressing the global antimicrobial resistance crisis.
The continued advancement of pyrrolo[2,3-d]pyrimidine research is poised to focus on several pivotal directions. First, rational design strategies employing computational chemistry, such as QSAR modeling and molecular docking, will guide the optimization of ADMET (absorption, distribution, metabolism, excretion, and toxicity) profiles while enhancing target selectivity and minimizing off-target effects.85–87 Concurrently, systematic studies on resistance mechanisms using genomic and proteomic approaches will elucidate structure–resistance relationships, informing the design of next-generation analogs capable of circumventing pathogen defenses. Leveraging the scaffold's inherent pharmacophoric versatility, efforts in polypharmacology could yield dual- or multi-target inhibitors to combat complex diseases through synergistic mechanisms. To address bioavailability challenges, innovative drug delivery platforms, including nanoparticle-encapsulated formulations, may revolutionize therapeutic efficacy by improving tissue targeting and pharmacokinetics.88,89 Beyond antimicrobial applications, expanded exploration into anti-cancer, anti-inflammatory, and neurodegenerative disease models via high-throughput phenotypic screening could unlock novel therapeutic niches. Additionally, the integration of green chemistry principles, such as continuous flow synthesis and biocatalytic methods, will promote sustainable large-scale production. These multifaceted endeavors demand interdisciplinary collaboration across medicinal chemistry, pharmacology, and materials science to transform pyrrolo[2,3-d]pyrimidine derivatives into clinically actionable therapies for emerging global health threats.
Author contributions
Sun Zhaoju: writing – original draft and visualization. Li Ting: writing – original draft and visualization. Yi He: writing – original draft and visualization. Hongwu Liu: investigation. Linli Yang: investigation. Zhibing Wu: investigation. Liwei Liu: investigation. Zhenbao Luo: funding acquisition, project administration. Xiang Zhou: investigation, funding acquisition, writing – review & editing. Song Yang: supervision, funding acquisition, project administration, writing – review & editing. All authors have read and agreed to the published version of the manuscript.
Conflicts of interest
There are no conflicts to declare.
Acknowledgments
This research was financially supported by National Natural Science Foundation of China (32372610, U23A20201, 32160661, 32202359), National Key Research and Development Program of China (2022YFD1700300), the Central Government Guides Local Science and Technology Development Fund Projects [Qiankehezhongyindi (2023) 001] and [Qiankehezhongyindi (2024) 007], and Bijie Tobacco Project (No. 2024SMXM02).
Biographies
Biography
Zhaoju Sun.

Zhaoju Sun was born in 2000 in Rizhao, China. She is a master student in State Key Laboratory of Green Pesticide, Key Laboratory of Green Pesticide and Agricultural Bioengineering, Ministry of Education, Center for R&D of Fine Chemicals of Guizhou University, Guiyang, China.
Biography
Ting Li.

Ting Li was born in 1998 in Guiyang, China. She is a master student in State Key Laboratory of Green Pesticide, Key Laboratory of Green Pesticide and Agricultural Bioengineering, Ministry of Education, Center for R&D of Fine Chemicals of Guizhou University, Guiyang, China.
Biography
Yi He is an administrator in Bijie Branch of Guizhou Tobacco Company, Bijie, Guizhou 551700, China. His research mainly focuses on pest and disease management of crops.
Biography
Hongwu Liu is a doctor in State Key Laboratory of Green Pesticides, Key Laboratory of Green Pesticide and Agricultural Bioengineering, Ministry of Education, Center for R&D of Fine Chemicals of Guizhou University, Guiyang, 550025, China.
Biography
Linli Yang is a doctor in State Key Laboratory of Green Pesticides, Key Laboratory of Green Pesticide and Agricultural Bioengineering, Ministry of Education, Center for R&D of Fine Chemicals of Guizhou University, Guiyang, 550025, China.
Biography
Zhibing Wu is a full professor in State Key Laboratory of Green Pesticides, Key Laboratory of Green Pesticide and Agricultural Bioengineering, Ministry of Education, Center for R&D of Fine Chemicals of Guizhou University, Guiyang, China. His research mainly focuses on design and synthesis of small molecules of pesticides and action mechanisms of highly active molecules.
Biography
Liwei Liu is a doctor in State Key Laboratory of Green Pesticides, Key Laboratory of Green Pesticide and Agricultural Bioengineering, Ministry of Education, Center for R&D of Fine Chemicals of Guizhou University, Guiyang, 550025, China.
Biography
Zhenbao Luo is an administrator in Bijie Branch of Guizhou Tobacco Company, Bijie, Guizhou 551700, China. His research mainly focuses on pest and disease management of crops.
Biography
Xiang Zhou.

Xiang Zhou is a full professor in State Key Laboratory of Green Pesticides, Key Laboratory of Green Pesticide and Agricultural Bioengineering, Ministry of Education, Center for R&D of Fine Chemicals of Guizhou University, Guiyang, China. He received his B.Sc. degree in Applied Chemistry from YiLi Normal University in 2014 and PhD degree in 2020 in Pesticide Science from Guizhou University. His research areas include green agrochemical discovery, their structure–activity relationship (SAR) and action mechanisms, and nano-based smart pesticide formulation.
Biography
Song Yang.

Song Yang is a full professor and director in State Key Laboratory of Green Pesticide, Key Laboratory of Green Pesticide and Agricultural Bioengineering, Ministry of Education, Center for R&D of Fine Chemicals of Guizhou University, Guiyang, China. He received his B.Sc. degree in Chemical Engineering from East China University of Science and Technology in 1995 and received his M.Sc. degree in 2001 and PhD degree in 2005 in Agricultural Pharmacology from Guizhou University. His current research includes organic synthesis methodologies of agrochemicals and functional molecules, agriculture sensing applications, and biomass conversion.
Data availability
No primary research results, software or code have been included and no new data were generated or analysed as part of this review.
References
- Alanis A. J. Arch. Med. Res. 2005;36:697–705. doi: 10.1016/j.arcmed.2005.06.009. [DOI] [PubMed] [Google Scholar]
- Bailly C. Colson P. Houssier C. Biochem. Biophys. Res. Commun. 1998;243:844–848. doi: 10.1006/bbrc.1998.8189. [DOI] [PubMed] [Google Scholar]
- Davies T. A. Kelly L. M. Hoellman D. B. Ednie L. M. Clark C. L. Bajaksouzian S. Jacobs M. R. Appelbaum P. C. Antimicrob. Agents Chemother. 2000;44:633–639. doi: 10.1128/aac.44.3.633-639.2000. [DOI] [PMC free article] [PubMed] [Google Scholar]
- Yenjerla M. Cox C. Wilson L. Jordan M. A. J. Pharmacol. Exp. Ther. 2009;328:390–398. doi: 10.1124/jpet.108.143537. [DOI] [PMC free article] [PubMed] [Google Scholar]
- Nauš P. Pohl R. Votruba I. Džubák P. Hajdúch M. Ameral R. Birkuš G. Wang T. Ray A. S. Mackman R. Cihlar T. Hocek M. J. Med. Chem. 2010;53:460–470. doi: 10.1021/jm901428k. [DOI] [PubMed] [Google Scholar]
- De Coen L. M. Heugebaert T. S. A. García D. Stevens C. V. Chem. Rev. 2016;116:80–139. doi: 10.1021/acs.chemrev.5b00483. [DOI] [PubMed] [Google Scholar]
- Rashad A. E. El Malah T. Shamroukh A. H. Curr. Org. Chem. 2024;28:1244–1264. [Google Scholar]
- Chu M. Y. Zuckerman L. B. Sato S. Grabtree G. W. Bogden A. E. Lim M.-I. Klein R. S. Biochem. Pharmacol. 1984;33:1229–1234. doi: 10.1016/0006-2952(84)90174-6. [DOI] [PubMed] [Google Scholar]
- Lim M. I. Klein R. S. Fox J. J. J. Org. Chem. 1979;44:3826–3829. [Google Scholar]
- Rao K. V. B. Ren W. Y. Burchenal J. H. Klein R. S. Nucleosides Nucleotides. 1986;5:539–569. [Google Scholar]
- Lim M. I. Ren W. Y. Otter B. A. Klein R. S. J. Org. Chem. 1983;48:780–788. [Google Scholar]
- Lim M. I. Klein R. S. Tetrahedron Lett. 1981;22:25–28. [Google Scholar]
- Wu R. Smidansky E. D. Oh H. S. Takhampunya R. Padmanabhan R. Cameron C. E. Peterson B. R. J. Med. Chem. 2010;53:7958–7966. doi: 10.1021/jm100593s. [DOI] [PMC free article] [PubMed] [Google Scholar]
- Yu B. Shentu X. P. Yu X. P. Chin. J. Biol. Control. 2011;27:373–377. [Google Scholar]
- Shentu X. P. Yu B. Bian Y. L. Hu L. Ma Z. Tong Z. Y. Yu X. P. Acta Pharm. Sin. B. 2012;42:105–109. [Google Scholar]
- Hekman R. M. Hume A. J. Goel R. K. Abo K. M. Huang J. Blum B. C. Werder R. B. Suder E. L. Paul I. Phanse S. Youssef A. Alysandratos K. D. Padhorny D. Ojha S. Mora-Martin A. Kretov D. Ash P. E. A. Verma M. Zhao J. Patten J. J. Villacorta-Martin C. Bolzan D. Perea-Resa C. Bullitt E. Hinds A. Tilston-Lunel A. Varelas X. Farhangmehr S. Braunschweig U. Kwan J. H. McComb M. Basu A. Saeed M. Perissi V. Burks E. J. Layne M. D. Connor J. H. Davey R. Cheng J.-X. Wolozin B. L. Blencowe B. J. Wuchty S. Lyons S. M. Kozakov D. Cifuentes D. Blower M. Kotton D. N. Wilson A. A. Mühlberger E. Emili A. Mol. Cell. 2020;80:1104–1122. doi: 10.1016/j.molcel.2020.11.028. [DOI] [PMC free article] [PubMed] [Google Scholar]
- Kazlauskas R. Murphy P. T. Wells R. J. Baird-Lambert J. A. Jamieson D. D. Aust. J. Chem. 1983;36:165–170. [Google Scholar]
- Vazirimehr S. Davoodnia A. Beyramabadi S. A. Nakhaei-Moghaddam M. Tavakoli-Hoseini N. Z. Naturforsch., B: J. Chem. Sci. 2017;72:481–487. [Google Scholar]
- Hilmy K. M. H. Khalifa M. M. A. Hawata M. A. A. Keshk R. M. A. El-Torgman A. A. Eur. J. Med. Chem. 2010;45:5243–5250. doi: 10.1016/j.ejmech.2010.08.043. [DOI] [PubMed] [Google Scholar]
- Mohamed M. S. Sayed A. I. Khedr M. A. Soror S. H. Bioorg. Med. Chem. 2016;24:2146–2157. doi: 10.1016/j.bmc.2016.03.046. [DOI] [PubMed] [Google Scholar]
- Mohamed M. S. Sayed A. I. Khedr M. A. Nofal S. Soror S. H. Eur. J. Pharm. Sci. 2019;127:102–114. doi: 10.1016/j.ejps.2018.10.022. [DOI] [PubMed] [Google Scholar]
- Mohamed M. S. Rashad A. E. Adbel-Monem M. Fatahala S. S. Z. Naturforsch., C: J. Biosci. 2007;62:27–31. doi: 10.1515/znc-2007-1-205. [DOI] [PubMed] [Google Scholar]
- Keenan C. Nichols K. E. Albeituni S. Front. Immunol. 2021;12:614704. doi: 10.3389/fimmu.2021.614704. [DOI] [PMC free article] [PubMed] [Google Scholar]
- Onda M. Ghoreschi K. Steward-Tharp S. Thomas C. O'Shea J. J. Pastan I. H. FitzGerald D. J. J. Immunol. 2014;193:48–55. doi: 10.4049/jimmunol.1400063. [DOI] [PMC free article] [PubMed] [Google Scholar]
- Perlíková P. Hocek M. Med. Res. Rev. 2017;37:1429–1460. doi: 10.1002/med.21465. [DOI] [PMC free article] [PubMed] [Google Scholar]
- Sun L. Cui J. Liang C. Zhou Y. Nematalla A. Wang X. Chen H. Tang C. Wei J. Bioorg. Med. Chem. Lett. 2002;12:2153–2157. doi: 10.1016/s0960-894x(02)00364-5. [DOI] [PubMed] [Google Scholar]
- Wu W. Ma J. Shao N. Shi Y. Liu R. Li W. Lin Y. Wang S. PLoS One. 2017;12:e0169229. doi: 10.1371/journal.pone.0169229. [DOI] [PMC free article] [PubMed] [Google Scholar]
- Yap T. A. Walton M. I. Hunter L.-J. K. Valenti M. De Haven Brandon A. Eve P. D. Ruddle R. Heaton S. P. Henley A. Pickard L. Vijayaraghavan G. Caldwell J. J. Thompson N. T. Aherne W. Raynaud F. I. Eccles S. A. Workman P. Collins I. Garrett M. D. Mol. Cancer Ther. 2011;10:360–371. doi: 10.1158/1535-7163.MCT-10-0760. [DOI] [PMC free article] [PubMed] [Google Scholar]
- Hu S. Q. Zhao Z. C. Yan H. Bioorg. Chem. 2019;92:103232. doi: 10.1016/j.bioorg.2019.103232. [DOI] [PubMed] [Google Scholar]
- Miller T. W. Traphagen N. A. Li J. Lewis L. D. Lopes B. Asthagiri A. Loomba J. De Jong J. Schiff D. Patel S. H. Purow B. W. Fadul C. E. J. Neurooncol. 2019;144:563–572. doi: 10.1007/s11060-019-03258-0. [DOI] [PMC free article] [PubMed] [Google Scholar]
- Mathison C. J. N. Yang Y. Nelson J. Huang Z. Jiang J. Chianelli D. Rucker P. V. Roland J. Xie Y. F. Epple R. Bursulaya B. Lee C. Gao M.-Y. Shaffer J. Briones S. Sarkisova Y. Galkin A. Li L. Li N. Li C. Hua S. Kasibhatla S. Kinyamu-Akunda J. Kikkawa R. Molteni V. Tellew J. E. ACS Med. Chem. Lett. 2021;12:1912–1919. doi: 10.1021/acsmedchemlett.1c00450. [DOI] [PMC free article] [PubMed] [Google Scholar]
- Madhurya M. S. Thakur V. Dastari S. Shankaraiah N. Bioorg. Chem. 2024;153:107867. doi: 10.1016/j.bioorg.2024.107867. [DOI] [PubMed] [Google Scholar]
- Liang T. Yang Y. Wang J. Xie Z. Chen X. Mini-Rev. Med. Chem. 2023;23:1118–1136. doi: 10.2174/1389557523666230111161810. [DOI] [PubMed] [Google Scholar]
- Musumeci F. Sanna M. Grossi G. Brullo C. Fallacara A. L. Schenone S. Curr. Med. Chem. 2017;24:2059–2085. doi: 10.2174/0929867324666170303162100. [DOI] [PubMed] [Google Scholar]
- Davoodnia A. Bakavoli M. Moloudi R. Khashi M. Tavakoli-Hoseini N. Chin. Chem. Lett. 2010;21:1–4. [Google Scholar]
- Frolova L. V. Magedov I. V. Romero A. E. Karki M. Otero I. Hayden K. Evdokimov N. M. Banuls L. M. Y. Rastogi S. K. Smith W. R. Lu S.-L. Kiss R. Shuster C. B. Hamel E. Betancourt T. Rogelj S. Kornienko A. J. Med. Chem. 2013;56:6886–6900. doi: 10.1021/jm400711t. [DOI] [PMC free article] [PubMed] [Google Scholar]
- Dave C. G. Shah R. D. J. Heterocycl. Chem. 1998;35:1295. [Google Scholar]
- Dave C. G. Desai N. D. J. Heterocycl. Chem. 1999;36:729. [Google Scholar]
- Hess S. Müller C. E. Frobenius W. Reith U. Klotz K.-N. Eger K. J. Med. Chem. 2000;43:4636–4646. doi: 10.1021/jm000967d. [DOI] [PubMed] [Google Scholar]
- Xiao C. Sun C. Han W. Pan F. Dan Z. Li Y. Song Z.-G. Jin Y.-H. Bioorg. Med. Chem. 2011;19:7100–7110. doi: 10.1016/j.bmc.2011.10.003. [DOI] [PubMed] [Google Scholar]
- Taylor E. C. Liu B. J. Org. Chem. 2001;66:3726–3738. doi: 10.1021/jo001580l. [DOI] [PubMed] [Google Scholar]
- Pittalà V. Romeo G. Salerno L. Siracusa M. A. Modica M. Materia L. Mereghetti I. Cagnotto A. Mennini T. Marucci G. Angeli P. Russo F. Bioorg. Med. Chem. Lett. 2006;16:150–153. doi: 10.1016/j.bmcl.2005.09.027. [DOI] [PubMed] [Google Scholar]
- Kaspersen S. J. Sørum C. Willassen V. Fuglseth E. Kjøbli E. Bjørkøy G. Sundby E. Hoff B. H. Eur. J. Med. Chem. 2011;46:6002–6014. doi: 10.1016/j.ejmech.2011.10.012. [DOI] [PubMed] [Google Scholar]
- Mizar P. Myrboh B. Tetrahedron Lett. 2008;49:5283–5285. [Google Scholar]
- Choi H.-S. Zheng Z. C. Richmond W. He X. Yang K. Y. Jiang T. Sim T. Karanewsky D. Gu X. J. Zhou V. Liu Y. Ohmori O. Caldwell J. Gray N. He Y. Bioorg. Med. Chem. Lett. 2006;16:2173–2176. doi: 10.1016/j.bmcl.2006.01.053. [DOI] [PubMed] [Google Scholar]
- Nagashima S. Hondo T. Nagata H. Ogiyama T. Maeda J. Hoshii H. Kontani T. Kuromitsu S. Ohga K. Orita M. Ohno K. Moritomo A. Shiozuka K. Furutani M. Takeuchi M. Ohta M. Tsukamoto S. Bioorg. Med. Chem. 2009;17:6926–6936. doi: 10.1016/j.bmc.2009.08.021. [DOI] [PubMed] [Google Scholar]
- El Kaïm L. Grimaud L. Wagschal S. Org. Biomol. Chem. 2013;11:6883. doi: 10.1039/c3ob41477a. [DOI] [PubMed] [Google Scholar]
- Rodriguez A. L. Koradin C. Dohle W. Knochel P. Angew. Chem., Int. Ed. 2000;39:2488–2490. doi: 10.1002/1521-3773(20000717)39:14<2488::aid-anie2488>3.0.co;2-e. [DOI] [PubMed] [Google Scholar]
- Aso K. Kobayashi K. Mochizuki M. Kanzaki N. Sako Y. Yano T. Bioorg. Med. Chem. Lett. 2011;21:2365–2371. doi: 10.1016/j.bmcl.2011.02.086. [DOI] [PubMed] [Google Scholar]
- Paul S. Das A. R. Catal. Sci. Technol. 2012;2:1130. [Google Scholar]
- Saikia L. Roudragouda P. Thakur A. J. Bioorg. Med. Chem. Lett. 2016;26:992–998. doi: 10.1016/j.bmcl.2015.12.047. [DOI] [PubMed] [Google Scholar]
- Tan H. Liu Y. Gong C. Zhang J. Huang J. Zhang Q. Eur. J. Med. Chem. 2021;223:113670. doi: 10.1016/j.ejmech.2021.113670. [DOI] [PubMed] [Google Scholar]
- Wang L. Desmoulin S. K. Cherian C. Polin L. White K. Kushner J. Fulterer A. Chang M.-H. Mitchell-Ryan S. Stout M. Romero M. F. Hou Z. Matherly L. H. Gangjee A. J. Med. Chem. 2011;54:7150–7164. doi: 10.1021/jm200739e. [DOI] [PMC free article] [PubMed] [Google Scholar]
- Shi J. Van De Water R. Hong K. Lamer R. B. Weichert K. W. Sandoval C. M. Kasibhatla S. R. Boehm M. F. Chao J. Lundgren K. Timple N. Lough R. Ibanez G. Boykin C. Burrows F. J. Kehry M. R. Yun T. J. Harning E. K. Ambrose C. Thompson J. Bixler S. A. Dunah A. Snodgrass-Belt P. Arndt J. Enyedy I. J. Li P. Hong V. S. McKenzie A. Biamonte M. A. J. Med. Chem. 2012;55:7786–7795. doi: 10.1021/jm300810x. [DOI] [PubMed] [Google Scholar]
- Quiroga J. Acosta P. A. Cruz S. Abonía R. Insuasty B. Nogueras M. Cobo J. Tetrahedron Lett. 2010;51:5443–5447. [Google Scholar]
- Khalaf A. I. Huggan J. K. Suckling C. J. Gibson C. L. Stewart K. Giordani F. Barrett M. P. Wong P. E. Barrack K. L. Hunter W. N. J. Med. Chem. 2014;57:6479–6494. doi: 10.1021/jm500483b. [DOI] [PMC free article] [PubMed] [Google Scholar]
- Dang Q. Gomez-Galeno J. E. J. Org. Chem. 2002;67:8703–8705. doi: 10.1021/jo026309d. [DOI] [PubMed] [Google Scholar]
- Janeba Z. Balzarini J. Andrei G. Snoeck R. De Clercq E. Robins M. J. J. Med. Chem. 2005;48:4690–4696. doi: 10.1021/jm050291s. [DOI] [PubMed] [Google Scholar]
- Davies N. G. M. Browne H. Davis B. Drysdale M. J. Foloppe N. Geoffrey S. Gibbons B. Hart T. Hubbard R. Jensen M. R. Mansell H. Massey A. Matassova N. Moore J. D. Murray J. Pratt R. Ray S. Robertson A. Roughley S. D. Schoepfer J. Scriven K. Simmonite H. Stokes S. Surgenor A. Webb P. Wood M. Wright L. Brough P. Bioorg. Med. Chem. 2012;20:6770–6789. doi: 10.1016/j.bmc.2012.08.050. [DOI] [PubMed] [Google Scholar]
- Tari L. W. Trzoss M. Bensen D. C. Li X. M. Chen Z. Y. Lam T. Zhang J. Creighton C. J. Cunningham M. L. Kwan B. Stidham M. Shaw K. J. Lightstone F. C. Wong S. E. Nguyen T. B. Nix J. Finn J. Bioorg. Med. Chem. Lett. 2013;23:1529–1536. doi: 10.1016/j.bmcl.2012.11.032. [DOI] [PubMed] [Google Scholar]
- Lee J. H. Lim H.-S. Org. Biomol. Chem. 2012;10:4229. doi: 10.1039/c2ob06899k. [DOI] [PubMed] [Google Scholar]
- Ryzhkova Y. E. Fakhrutdinov A. N. Elinson M. N. Tetrahedron Lett. 2021;81:153336. [Google Scholar]
- Dave C. G. Shah R. D. Molecules. 2002;7:554–565. [Google Scholar]
- Ghahremanzadeh R. Azimi S. C. Gholami N. Bazgir A. Chem. Pharm. Bull. 2008;56:1617–1620. doi: 10.1248/cpb.56.1617. [DOI] [PubMed] [Google Scholar]
- Mohamed M. S. Kamel R. Fatahala S. S. Eur. J. Med. Chem. 2010;45:2994–3004. doi: 10.1016/j.ejmech.2010.03.028. [DOI] [PubMed] [Google Scholar]
- Bi E. Lutkenhaus J. Nature. 1991;354:161–164. doi: 10.1038/354161a0. [DOI] [PubMed] [Google Scholar]
- Errington J. Daniel R. A. Scheffers D.-J. Microbiol. Mol. Biol. Rev. 2003;67:52–65. doi: 10.1128/MMBR.67.1.52-65.2003. [DOI] [PMC free article] [PubMed] [Google Scholar]
- Hurley K. A. Santos T. M. A. Nepomuceno G. M. Huynh V. Shaw J. T. Weibel D. B. J. Med. Chem. 2016;59:6975–6998. doi: 10.1021/acs.jmedchem.5b01098. [DOI] [PubMed] [Google Scholar]
- Li T. Zhou Y. Fu X. C. Yang L. Liu H. W. Zhou X. Liu L. W. Wu Z. B. Yang S. Bioorg. Chem. 2024;150:107534. doi: 10.1016/j.bioorg.2024.107534. [DOI] [PubMed] [Google Scholar]
- Kuyper L. F. Garvey J. M. Baccanari D. P. Champness J. N. Stammers D. K. Beddell C. R. Bioorg. Med. Chem. 1996;4:593–602. doi: 10.1016/0968-0896(96)00045-4. [DOI] [PubMed] [Google Scholar]
- Watson M. Liu J. Ollis D. FEBS J. 2007;274:2661–2671. doi: 10.1111/j.1742-4658.2007.05801.x. [DOI] [PubMed] [Google Scholar]
- Then R. L. J. Chemother. 2004;16:3–12. doi: 10.1179/joc.2004.16.1.3. [DOI] [PubMed] [Google Scholar]
- Raju K. S. AnkiReddy S. Sabitha G. Krishna V. S. Sriram D. Reddy K. B. Sagurthi S. R. Bioorg. Med. Chem. Lett. 2019;29:284–290. doi: 10.1016/j.bmcl.2018.11.036. [DOI] [PubMed] [Google Scholar]
- Xie Z. Oscar B. Zhao L. Ding X. Cao C. Feng S. Li H. Pan C. Bian Z. Li Y. Wang W. Kong Y. Li Z. Eur. J. Med. Chem. 2017;125:197–209. doi: 10.1016/j.ejmech.2016.09.032. [DOI] [PubMed] [Google Scholar]
- Oblak M. Kotnik M. Solmajer T. Curr. Med. Chem. 2007;14:2033–2047. doi: 10.2174/092986707781368414. [DOI] [PubMed] [Google Scholar]
- Sissi C. Palumbo M. Cell. Mol. Life Sci. 2010;67:2001–2024. doi: 10.1007/s00018-010-0299-5. [DOI] [PMC free article] [PubMed] [Google Scholar]
- Trzoss M. Bensen D. C. Li X. Chen Z. Lam T. Zhang J. Creighton C. J. Cunningham M. L. Kwan B. Stidham M. Nelson K. Brown-Driver V. Castellano A. Shaw K. J. Lightstone F. C. Wong S. E. Nguyen T. B. Finn J. Tari L. W. Bioorg. Med. Chem. Lett. 2013;23:1537–1543. doi: 10.1016/j.bmcl.2012.11.073. [DOI] [PubMed] [Google Scholar]
- Tari L. W. Li X. Trzoss M. Bensen D. C. Chen Z. Lam T. Zhang J. Lee S. J. Hough G. Phillipson D. Akers-Rodriguez S. Cunningham M. L. Kwan B. P. Nelson K. J. Castellano A. Locke J. B. Brown-Driver V. Murphy T. M. Ong V. S. Pillar C. M. Shinabarger D. L. Nix J. Lightstone F. C. Wong S. E. Nguyen T. B. Shaw K. J. Finn J. PLoS One. 2013;8:e84409. doi: 10.1371/journal.pone.0084409. [DOI] [PMC free article] [PubMed] [Google Scholar]
- Eriani G. Delarue M. Poch O. Gangloff J. Moras D. Nature. 1990;347:203–206. doi: 10.1038/347203a0. [DOI] [PubMed] [Google Scholar]
- Pang Y. L. J. Poruri K. Martinis S. A. Wiley Interdiscip. Rev.: RNA. 2014;5:461–480. doi: 10.1002/wrna.1224. [DOI] [PMC free article] [PubMed] [Google Scholar]
- Teng M. Hilgers M. T. Cunningham M. L. Borchardt A. Locke J. B. Abraham S. Haley G. Kwan B. P. Hall C. Hough G. W. Shaw K. J. Finn J. J. Med. Chem. 2013;56:1748–1760. doi: 10.1021/jm301756m. [DOI] [PubMed] [Google Scholar]
- El-Gaby M. S. A. Gaber A. M. Atalla A. A. Al-Wahab K. A. A. Il Farmaco. 2002;57:613–617. doi: 10.1016/s0014-827x(01)01178-8. [DOI] [PubMed] [Google Scholar]
- Sroor F. M. Basyouni W. M. Tohamy W. M. Abdelhafez T. H. El-awady M. K. Tetrahedron. 2019;75:130749. [Google Scholar]
- Soto-Acosta R. Jung E. Qiu L. Wilson D. J. Geraghty R. J. Chen L. Molecules. 2021;26:3779. doi: 10.3390/molecules26133779. [DOI] [PMC free article] [PubMed] [Google Scholar]
- Wang G. Liu H. Zhou Y. Zhang L. Zhang J. Shao L. Zhou X. Wu Z. Liu L. Yang S. Pest Manage. Sci. 2025;81:5413–5427. doi: 10.1002/ps.8895. [DOI] [PubMed] [Google Scholar]
- Liang H. Feng Y. M. Zeng D. Zhang J. R. Cheng L. Fu X. C. Q Long Z. Zhou X. Liu L. W. Wu Z. B. Yang S. Pest Manage. Sci. 2025;81:4348–4364. doi: 10.1002/ps.8793. [DOI] [PubMed] [Google Scholar]
- S Su S. Liu H. W. Zhang J. R. Qi P. Y. Ding Y. Zhang L. Yang L. L. Wei L. L. Xiang X. Yang S. J. Integr. Agric. 2024;23:1259–1273. [Google Scholar]
- Qi P. Y. Shi L. H. Zheng Z. C. Feng Y. M. Zhang T.-H. Luo R. S. Tan S. Tang A. L. Huang H. Y. Zhou X. Xiang H. M. Liu L. W. Yang S. Carbohydr. Polym. 2025;363:123733. doi: 10.1016/j.carbpol.2025.123733. [DOI] [PubMed] [Google Scholar]
- Shao W. B. Luo R. S. Huang Y. W. Cheng L. Zeng D. Zhou X. Liu L.-W. Yang S. Chem. Eng. J. 2025;509:161352. [Google Scholar]
Associated Data
This section collects any data citations, data availability statements, or supplementary materials included in this article.
Data Availability Statement
No primary research results, software or code have been included and no new data were generated or analysed as part of this review.


















































