Abstract
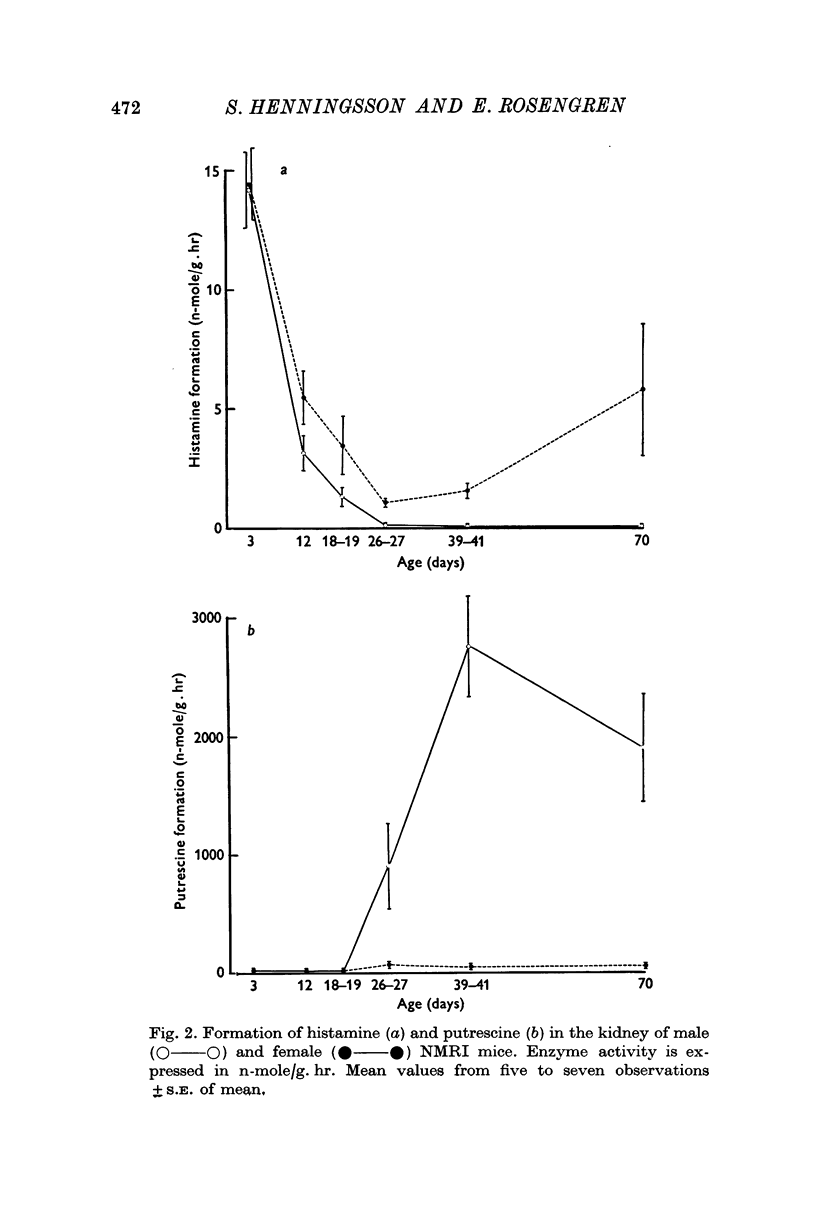
1. Histidine decarboxylase and ornithine decarboxylase activities were determined in mouse kidney and liver during post-natal development. 2. The content of histamine, putrescine, spermidine and spermine was examined in kidney and liver and in the urine of adult male and female mice. 3. Histamine formation by the kidney was high in both sexes when determined a few days after birth but decreased during weaning. Thereafter, a distinct sex difference was established in that in the female kidney the level of histidine decarboxylase rose several-fold during adolescence while in the male the level was still further reduced. 4. Putrescine formation by mouse kidney was low in both sexes up to three weeks of age whereafter the amine formation in the male increased conspicuously whereas that of the female kidney remained low. 5. The observed sex differences in tissue enzyme activities were reflected in concomitant differences in the amount of the diamines excreted in the urine. 6. No correlation was found between the actual enzyme levels and the assayed tissue content of histamine, putrescine, spermidine and spermine. 7. Following gonadectomy, the activities of both decarboxylases were significantly altered. Ornithine decarboxylase activity of male kidney and histidine decarboxylase activity of female kidney were strikingly reduced. 8. In the mouse liver, the two decarboxylases displayed no changes comparable with that of the kidney during development.
Full text
PDF












Selected References
These references are in PubMed. This may not be the complete list of references from this article.
- ENDAHL B. R., KOCHAKIAN C. D. Role of castration and androgens in D-amino acid oxidase activity of tissues. Am J Physiol. 1956 May;185(2):250–256. doi: 10.1152/ajplegacy.1956.185.2.250. [DOI] [PubMed] [Google Scholar]
- FELDBERG W., TALESNIK J. Reduction of tissue histamine by compound 48/80. J Physiol. 1953 Jun 29;120(4):550–568. doi: 10.1113/jphysiol.1953.sp004917. [DOI] [PMC free article] [PubMed] [Google Scholar]
- Grahn B., Henningsson S. S., Kahlson G., Rosengren E. Alterations in the activities of ornithine and histidine decarboxylases provoked by testosterone in mice. Br J Pharmacol. 1973 May;48(1):113–120. doi: 10.1111/j.1476-5381.1973.tb08228.x. [DOI] [PMC free article] [PubMed] [Google Scholar]
- Henningsson S. S., Rosengren E. Alterations of histamine metabolism after injections of sex hormones in mice. Br J Pharmacol. 1972 Mar;44(3):517–526. doi: 10.1111/j.1476-5381.1972.tb07288.x. [DOI] [PMC free article] [PubMed] [Google Scholar]
- Henningsson S., Lundell L., Rosengren E. Comparative study of two isotopic methods determining histamine formation in vitro. Biochem Pharmacol. 1974 Oct 1;23(19):2671–2678. doi: 10.1016/0006-2952(74)90037-9. [DOI] [PubMed] [Google Scholar]
- Herzfeld A., Greengard O. Endocrine modification of the developmental formation of ornithine aminotransferase in rat tissues. J Biol Chem. 1969 Sep 25;244(18):4894–4898. [PubMed] [Google Scholar]
- JAENNE J., RAINA A., SIIMES M. SPERMIDINE AND SPERMINE IN RAT TISSUES AT DIFFERENT AGES. Acta Physiol Scand. 1964 Dec;62:352–358. doi: 10.1111/j.1748-1716.1964.tb10433.x. [DOI] [PubMed] [Google Scholar]
- Jänne J., Raina A. Stimulation of spermidine synthesis in the regenerating rat liver: relation to increased ornithine decarboxylase activity. Acta Chem Scand. 1968;22(4):1349–1351. doi: 10.3891/acta.chem.scand.22-1349. [DOI] [PubMed] [Google Scholar]
- KAHLSON G. A place for histamine in normal physiology. Lancet. 1960 Jan 9;1(7115):67–71. doi: 10.1016/s0140-6736(60)92896-8. [DOI] [PubMed] [Google Scholar]
- KAHLSON G., ROSENGREN E., THUNBERG R. OBSERVATIONS ON THE INHIBITION OF HISTAMINE FORMATION. J Physiol. 1963 Dec;169:467–486. doi: 10.1113/jphysiol.1963.sp007273. [DOI] [PMC free article] [PubMed] [Google Scholar]
- KAHLSON G., ROSENGREN E., WESTLING H. Increased formation of histamine in the pregnant rat. J Physiol. 1958 Aug 29;143(1):91–103. doi: 10.1113/jphysiol.1958.sp006046. [DOI] [PMC free article] [PubMed] [Google Scholar]
- KOBAYASHI Y. Determination of histidine decarboxylase activity by liquid scintillation counting of C-14-O2. Anal Biochem. 1963 Apr;5:284–290. doi: 10.1016/0003-2697(63)90080-0. [DOI] [PubMed] [Google Scholar]
- Kahlson G., Rosengren E. Histamine: entering physiology. Experientia. 1972 Sep 15;28(9):993–1002. doi: 10.1007/BF01918636. [DOI] [PubMed] [Google Scholar]
- ROSENGREN E., STEINHARDT C. Elevated histidine decarboxylase activity in the kidney of the pregnantmouse. Experientia. 1961 Dec 15;17:544–544. doi: 10.1007/BF02156410. [DOI] [PubMed] [Google Scholar]
- Russell D. H., Medina V. J., Snyder S. H. The dynamics of synthesis and degradation of polyamines in normal and regenerating rat liver and brain. J Biol Chem. 1970 Dec 25;245(24):6732–6738. [PubMed] [Google Scholar]
- Russell D., Snyder S. H. Amine synthesis in rapidly growing tissues: ornithine decarboxylase activity in regenerating rat liver, chick embryo, and various tumors. Proc Natl Acad Sci U S A. 1968 Aug;60(4):1420–1427. doi: 10.1073/pnas.60.4.1420. [DOI] [PMC free article] [PubMed] [Google Scholar]
- SCHAYER R. W., DAVIS K. J., SMILEY R. L. Binding of histamine in vitro and its inhibition by cortisone. Am J Physiol. 1955 Jul;182(1):54–56. doi: 10.1152/ajplegacy.1955.182.1.54. [DOI] [PubMed] [Google Scholar]
- Williams-Ashman H. G., Pegg A. E., Lockwood D. H. Mechanisms and regulation of polyamine and putrescine biosynthesis in male genital glands and other tissues of mammals. Adv Enzyme Regul. 1969;7:291–323. doi: 10.1016/0065-2571(69)90024-7. [DOI] [PubMed] [Google Scholar]
