Abstract
The electroencephalographic (EEG) effects of the propsychotic agent phencyclidine (PCP), were studied in conscious rats using power spectra (0 – 30 Hz), from the prefrontal cortex or sensorimotor cortex. PCP (0.1 – 3 mg kg−1 s.c.) caused a marked dose-dependent increase in EEG power in the frontal cortex at 1 – 3 Hz with decreases in power at higher frequencies (9 – 30 Hz). At high doses (3 mg kg−1 s.c.) the entire spectrum shifted to more positive values, indicating an increase in cortical synchronization. MK 801 (0.05 – 0.1 mg kg−1 i.p.) caused similar effects but with lesser changes in power.
In contrast, the non-competitive AMPA antagonists GYKI 52466 and GYKI 53655 increased EEG power over the whole power spectrum (1 – 10 mg kg−1 i.p.) The atypical antipsychotic clozapine (0.2 mg kg−1 s.c.) synchronized the EEG (peak 8 Hz). The 5-HT2A-antagonist, M100907, specifically increased EEG power at 2 – 3 Hz at low doses (10 and 50 μg kg÷1 s.c.), whereas at higher doses (0.1 mg kg−1 s.c.) the profile resembled that of clozapine.
Clozapine (0.2 mg kg−1 s.c.), GYKI 53655 (5 mg kg−1 i.p.), prazosin (0.05 and 0.1 mg kg−1 i.p.), and M100907 (0.01 and 0.05 mg kg−1 s.c.) antagonized the decrease in power between 5 and 30 Hz caused by PCP (1 mg kg−1 s.c.), but not the increase in power at 1 – 3 Hz in prefrontal cortex.
Keywords: Prefrontal cortex, phencyclidine (PCP), clozapine, AMPA, GYKI 52466, 5-HT2A-receptors, M100907, EEG, schizophrenia
Introduction
The prefrontal cortex is crucial for coordination of working memory and attention in man and rodents (Ungerleider, 1995; Posner, 1997; Wharton & Grafman, 1998). Numerous observations suggest that its innervation may be compromised in schizophrenia. Blood flow in the prefrontal cortex is modified in schizophrenia (Weinberger et al., 1986; Weinberger, 1987; 1996) and, recently, an abnormal activation of the dorsolateral prefrontal cortex, through its projections from the mediodorsal nucleus of the thalamus, has been claimed to be causative in schizophrenia (Manoach et al., 2000; Bunney & Bunney, 2000). Bunney & Bunney (2000) have also speculated that changes in NMDA receptor composition during development of the prefrontal cortex could be causative. Abnormalities in the neural circuits in the prefrontal cortex, which are involved in working memory, are the basis of the model of schizophrenia proposed by Goldman-Rakic (1991), Goldman-Rakic et al. (2000), and have been shown in imaging studies (Crespo-Facorro et al., 2000). A robust reduction (<3.5 million) in the number of thalamic neurones innervating frontal regions has been reported in schizophrenics (Young et al., 2000). Thus the prefrontal cortex is a key area for the investigation of antipsychotic drugs.
Phencyclidine (PCP) is an N-methyl-D-aspartate (NMDA) antagonist which induces hallucinations in man. PCP, and its less active congener, ketamine, have been shown to exacerbate existing psychotic disorders in schizophrenics and to reactivate symptoms in remittance (Luby et al., 1959; Cohen et al., 1962; Allen & Young, 1978; Ellison, 1995; Lahti et al., 1995; Malhotra et al., 1997a, 1997b; reviewed in Jentsch & Roth, 1999). The abnormal startle response in schizophrenia (Braff et al., 1992) is mimicked by administration of PCP (Geyer et al., 1984) The chronic effects of low doses of PCP on social behaviour in primates have been proposed as a model for schizophrenia (Frederick et al., 1995; Jentsch et al., 1997b). Detailed analysis of the cognitive changes induced by low doses of ketamine in volunteers have shown direct similarities with the cognitive changes induced by schizophrenia (Malhotra et al., 1996b; 1997a); the same has been shown by PCP (Goldman-Rakic, 1991). Thus there is strong evidence that the NMDA antagonists PCP, ketamine, and MK801 may be used to model schizophrenia (Abi-Saab et al., 1998).
PCP and other NMDA antagonists increase glutamate release in the prefrontal cortex; glutamate release may modulate other transmitter systems, including dopamine (Takahata & Mogaddam, 1998). Classically, D2-receptor antagonism is considered to be a core aspect of antipsychotic action, yet effects of PCP on working memory, used to model frontal lobe deficits, and hyperlocomotion, used to model psychosis, may be distinguished from the activator effects on dopaminergic transmission (Adams & Moghaddam, 1998). Furthermore, the propsychotic effects of ketamine in man are resistant to the D2 antagonist, haloperidol, in comparison with clozapine (Malhotra et al., 1997a,1997b; Krystal et al., 1999). PCP induces impairments in spatial memory in rodents, similar to those seen in schizophrenia, and these changes are inhibited by antipsychotic agents (Verma & Moghaddam, 1996), but the effects of PCP on dopamine are insufficient to account for the induced symptoms the glutamatergic hyperstimulation is responsible (Adams & Mogaddam, 1998). The effects of PCP on the startle response are antagonized by clozapine (Bakshi et al., 1994; Bakshi & Geyer, 1995) and olanzepine (Bakshi & Geyer, 1995). The locomotor effects of PCP have been shown to be specifically blocked by the atypical antipsychotics clozapine and S16924, at >100 fold lower doses than those required to block the locomotor effects of the dopaminergic agonists, amphetamine and apomorphine (Millan et al., 1998); in contrast haloperidol was equieffective against PCP and amphetamine. Furthermore the locomotor effects of PCP in vivo and in vitro were blocked by low doses of the 5-HT2A antagonist M100907 (Maurel-Remy et al., 1995; Wang & Liang, 1998), which suggests a role for 5-HT2A receptors in the effects of PCP.
5-HT2A receptors may play a pivotal role in schizophrenia (Bennett et al., 1979; Burnet & Harrison, 1996). A study of the abnormalities in 5-HT2A receptor mRNA from frontal cortex of chronic elderly schizophrenics, either treated with neuroleptics at the time of death, or drug-free for at least six months, showed decreased expression of mRNA for the receptor which was restored by drug treatment (Dean & Hayes, 1996; Dean et al., 1996; Hernandez & Sokolov, 2000). Genetic analysis (although not necessarily sequence analysis) has associated a polymorphism of the 5-HT2A receptor gene with schizophrenia (102 – T/C; Erdmann et al., 1996; Inayama et al., 1996). This polymorphism has been associated with a beneficial response to clozapine (Arranz et al., 1996; 1998). Similar polymorphisms have been associated with an increased risk of suicide.
The present paper describes these interactions in the EEG of the prefrontal cortex of conscious rats (Sebban et al., 1999a, 1999b) following exposure to substances acting on NMDA, AMPA, 5-HT2A receptors and að1-adrenoceptors. We have characterized more than 50 drug-induced changes in the present model of EEG of prefrontal cortex, using the somatosensorimotor region as a control for effects on motor functions (Sebban et al., 1987; 1999a, 1999b). Chronically implanted EEG leads in the prefrontal cortex of conscious rats are used to obtain ‘finger prints' of drug profiles over the range of 1 – 30 Hz (Sebban et al., 1999a, 1999b). We have reported that activation of noradrenergic and dopaminergic receptors causes a decrease in EEG power (desynchronization) whereas inhibition of these two systems increases EEG power (synchronization) (Sebban et al., 1999a, 1999b). Decreases in EEG power in this model are induced by agents which increase vigilance, such as modafinil (Sebban et al., 1999a, 1999b). In comparison, other electrophysiological studies have shown that delta waves and spindle activity are inhibited by stimulating noradrenergic neurones and cholinergic nuclei in animals (Steriade et al., 1990a; 1991; 1993a, 1993b, 1993c). Theta rhythm (∼8 Hz) in the prefrontal cortex is increased by a wide range of antipsychotic drugs (clozapine, haloperidol, chlorpromazine, risperidone, sertraline) (Sebban et al., 1999a, 1999b). Drugs claimed to be cognition enhancers (piracetam, donepezil, Kinney et al., 1999) increase theta rhythm in urethane-anaesthetized rats, whereas NMDA antagonists such as dizolcipine decrease it. AMPA, injected into the septum in urethane-anaesthetized rats, increases theta rhythm, an effect which is antagonized by AMPA antagonists (Puma & Bizot, 1999). Furthermore muscarinic agonists injected into the septum also increase theta rhythm, but by a GABAergic mechanism (Shanabrough et al., 2000). Thus direct modulation of the EEG may reflect cognitive processes.
The effects of PCP on EEG have been evaluated by Mattia & Moreton (1986) and Yamamoto (1997), but with very different results. In the first study using rats and restricted to an evaluation of EEG changes for 1 – 10 Hz frequencies, PCP 2 mg kg−1 i.p. injection was followed by an increase in the power of 6 – 8 Hz, accompanied by behavioural arousal and hyperactivity. Higher dosages (4 and 8 mg kg−1 i.p.) induced an important increase in delta power (1 – 3 Hz) with limited locomotion, ataxia and stereotypy. After 0.5 mg kg−1 i.p. PCP, Yamamoto (1997) observed modest reductions in EEG power in cerebral cortex of the rabbit with an increase in hippocampal theta rhythm. Hippocampal γ waves may be increased by PCP (Ma & Leung, 2000).
Methods
Animals
The study was carried out on male Wistar rats (510±25 g) aged 8 months. They were housed in the Laboratory. The rats were submitted to a light period of 12 h and were free to access food and water under controlled environmental conditions (20±2°C).
The rats were anaesthetized with chloral hydrate (350 mg kg−1 i.p.) and put into a stereotaxic frame. Two holes were drilled bilaterally in the right and left prefrontal regions and two others in the right and left sensorimotor regions (Sebban et al., 1999a, 1999b). Four trans-cortical bipolar electrodes were thus inserted. Each electrode had one exposed site on its external part which was placed on the cerebral cortical surface. The second exposed site was on the central tip which was introduced through the cortex. The distance between the two exposure sites was 1 mm. The rats were earthed via a stainless steel screw fixed in the frontal bone. After connecting the electrodes and the screw to a connecting plug, they were fixed to the skull by acrylic cement.
Ten days later, when rats recovered from the surgical operation, each of them was habituated to remain quiet in a restraining cage which was used during the EEG recording to decrease artefacts of movement. It needed about 10 – 14 days for the rats to adapt to EEG recording.
EEG recording
The EEG changes induced by one single drug have been evaluated using the methodology described by Sebban et al., 1999a, 1999b. When more than one dose has been evaluated, the order of doses was randomly chosen for each rat. Also, a one week drug-free interval was imposed between the study of two different doses of the same drug. For each dose, two EEG recordings were performed in each rat. The first recording lasted for 165 min after i.p. or s.c. injection of vehicle. The second was done 24 h later for the same duration following drug administration. As indicated below, these two records allow the evaluation of the treatment effect relative to the vehicle in one animal, by subtracting the effect of the vehicle. Nevertheless to have a better appreciation of any effect of the vehicle, some experiments have been performed with vehicle administration at D0 and D1; at D0, animals were injected with saline and at day 1 with saline, or with 0.01 M HCl (Figure 1).
Figure 1.

Effects of injection of saline (0.1 mg kg−1, i.p.; A) or acid vehicle (0.01 M HCl; B) on EEG spectral power in the prefrontal cortex (left panels) and sensorimotor cortex (right panels) in conscious rats. The abscissa represents the EEG spectral component between 1 and 30 Hz. The horizontal line at zero indicates no change. The ordinate indicates the per cent change in the EEG power spectrum produced by drug administration, as a percentage of the EEG spectrum obtained with saline administration 24 h earlier. Vertical bars for each Hz show 95% confidence intervals (n=6).
The recordings were obtained at the same time every day to avoid the bias caused by nycthemeral EEG variations. EEG recordings were performed by placing the rat in a restraining cage into a large, electrically insulated and acoustically isolated chamber. A light source was present 10 cm in front of the nose of the rat. EEG signals were amplified, filtered (anti-aliasing filters: 90 db/oct) and digitized (64 points/s) for the Fourier transformation which allowed calculation of the power variable (μV2). Absolute power spectra of EEG signals were computed every 30 s from 1 – 30 Hz in steps of 1 Hz. In each rat, Hertz by Hertz drug-induced power changes were evaluated by the ratio of power after injection of the drug/power after injection of the vehicle (see below). The EEG spectral power of left and right prefrontal cortex together were averaged for 5 min periods for each recording session.
Drugs
The following investigational drugs were used: GYKI 52466, GYKI 53655 (gifts from Dr A Egyed, EGIS), phencyclidine (PCP; Sigma), clozapine (Sigma), MK 801 (Sigma), haloperidol (Sigma), prazosin (Sigma); M100907 was synthesised by Dr G Lavielle, IdRS. All drugs were dissolved in the minimum of HCl (0.01 M) and made up to volume with saline.
Data analysis
The EEG spectral power from the prefrontal and sensorimotor cortices in the left and right hemispheres were each averaged for every 5 min period for each 165 min recording session. The drug-induced changes in EEG spectral power were calculated as the ratio of mean spectral power obtained following the injection of drug versus the mean spectral power obtained following administration of vehicle:
This procedure therefore allows for the change in EEG power, at each frequency, expressed as percent of the original power, induced by a drug, compared with the control, in the same animal. This ratio was calculated at each 5 min interval after the beginning of recordings for 165 min.
The interactions between two drugs on the EEG were calculated as the ratio of mean spectral power obtained following the injection of both drugs versus the mean spectral power obtained following the administration of PCP, 1 mg kg−1 s.c.
With this formula, the characteristic of an attenuation identical at each frequency will be a horizontal line, parallel to the frequency axis. Full antagonism will appear on the graphics as a straight line parallel to the x axis; and crossing the y axis at the value 1, with enhancement yielding values less than 1 and an inversion of the effect yielding values greater than unity. Since EEG changes induced by PCP alone and by the co-administration of PCP and other compounds have not been evaluated on the same rats, attenuation curves could only be calculated on the average power changes observed on groups of six rats; the confidence intervals could not be estimated without making unjustified hypotheses.
Statistical analysis
For each dose of a drug, ratios describing the drug effects over each 5 min period have been submitted to an analysis of variance (ANOVA) with three main factors: cortical region, time (1st, 2nd and 3rd hour with 12 repetitions) and animals. The mean power change for each cortical region was calculated from the number of rats and the time. In this study, mean power changes have been calculated for the total recording duration (165 min). The confidence intervals were calculated for an α risk less or equal to 0.05. This confidence interval corresponds to the vertical bars in every figure. P<0.05 for each drug effect, regarding an increase or decrease in power, was taken as being significant.
Results
EEG variations observed between two successive days
When the same vehicle (physiological saline) was administered on two successive days, the EEG changes evaluated by the power ratios (day 1/day 0) showed that, whatever the examined frequency, the mean power variation was less than 10 % and did not reach a significant level (Figure 1). When physiological saline was administered at day 0 and the maximal amount of HCl used in any study was administered on day 1 (Figure 1), no significant EEG changes was observed in frontal cortex, while a slight, but significant increase of 8 – 10 Hz power was present in the sensorimotor cortex.
Effects of phencyclidine and MK 801
Phencyclidine, (PCP, 0.1 – 3 mg kg−1 s.c.), induced complex EEG changes according to frequency, cortical region and dose (Figure 2). In both cortices power was increased by up to 5 fold at very low frequencies (<4 Hz). A power decrement was observed at higher frequencies in prefrontal cortex, while EEG changes induced in sensorimotor cortex were mainly characterized by an increase in 7 – 8 Hz power and an increase in power for the 20 – 30 Hz band. At 3 mg kg−1 s.c. the entire power spectrum shifted to higher values, which further increased at 10 mg kg−1 s.c. (not shown).
Figure 2.

Dose-reponse effects of phencyclidine (PCP) on EEG spectral power in the prefrontal cortex (left panels) and sensorimotor cortex (right panels) in conscious rats. The abscissa represents the EEG spectral component between 1 and 30 Hz. The horizontal line at zero indicates no change. The ordinate indicates the per cent change in the EEG power spectrum produced by drug administration, as a percentage of the EEG spectrum obtained with vehicle administration 24 h earlier. The increases in EEG power may be taken as a synchronization of EEG at the particular frequency and a decrease in power as a desynchronization. Because of local factors (electrode placement) synchronization of the EEG change yields larger per cent changes than desynchronization. Vertical bars for each Hz show 95% confidence intervals (n=6). A: 0.1 mg kg−1 s.c.; B: 0.5 mg kg−1 s.c.; C: 1 mg kg−1 s.c.; D: 1.25 mg kg−1 s.c.; E: 3 mg kg−1 s.c.
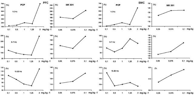
The effects of MK 801 (0.05 – 0.1 mg kg−1 s.c., Figure 3) resembled those of PCP but without any significant decrease in EEG power. Despite this fact, some similarities were evident in the EEG changes produced by both drugs. For both drugs, significant dose-dependency was observed for their EEG effects. However, the dose-effect relationships were generally complex, and frequently U-shaped, as illustrated by Figure 4.
Figure 3.

Effects of MK 801 (dizolcipine, 0.05 (A), 0.075 (B), 0.1 (C) mg kg−1 i.p.) on EEG spectral power in the prefrontal cortex (left panels) and sensorimotor cortex (right panels) in conscious rats. The abscissa represents the EEG spectral component between 1 and 30 Hz. The horizontal line at zero indicates no change. The ordinate indicates the per cent change in the EEG power spectrum produced by drug administration, as a percentage of the EEG spectrum obtained with vehicle administration 24 h earlier. The increases in EEG power may be taken as a synchronization of EEG at the particular frequency and a decrease in power as a desynchronization. Because of local factors (electrode placement) synchronization of the EEG change yields larger per cent changes than desynchronization. Vertical bars for each Hz show 95% confidence intervals (n=6).
Figure 4.

Dose-response relationship for PCP and MK 801 on EEG spectral power in the prefrontal cortex (PFC) and sensorimotor cortex (SMC) in conscious rats. The abscissa represents the per cent change in the EEG power spectrum produced by drug administration, averaged over the frequency bands indicated (1 – 2 Hz; 5 – 7 Hz; 15 – 30 Hz). The increases in EEG power may be taken as a synchronization of EEG at the particular frequency and a decrease in power as a desynchronization. Because of local factors (electrode placement) synchronization of the EEG change yields larger per cent changes than desynchronization.
Effects of antipsychotics, AMPA antagonists, prazosin and M100907
In contrast (Figure 5), haloperidol (0.5 mg kg−1 i.p.), the atypical antipsychotic clozapine (0.2 mg kg−1 s.c.), and the α1-adrenoceptor antagonist prazosin (0.64 mg kg−1 i.p.), all induced an increase in EEG power which was maximum for a middle frequency band (8 – 15 Hz), even if, as it is the case for clozapine, this power increase was also spread over lower frequencies. On the other hand (Figure 6), the selective 5-HT2A-antagonist, M100907 (0.01 and 0.05 mg kg−1 s.c.) specifically increased EEG power at 2 – 3 Hz in prefrontal cortex. Higher doses (0.1 mg kg−1 s.c.) resulted in a profile similar to that of clozapine.
Figure 5.

Comparison of the effects of haloperidol (0.5 mg kg−1 s.c., A), clozapine (0.2 mg kg−1 s.c., B), prazosin (0.64 mg kg−1 s.c., C) expressed as per cent change of EEG spectral power in the prefrontal cortex (left panels) and sensorimotor cortex (right panels) of conscious rats (ordinate) at each frequency between 1 and 30 Hz (abscissa). Vertical bars represent 95% confidence intervals, n=6). The ordinate indicates the percentage change produced by drug administration. Vertical bars show 95% confidence intervals, calculated at each dose.
Figure 6.

Dose-response relationship for M100907 (0.01 (A), 0.05 (B) 0.1 (C) mg kg−1 s.c.) expressed as per cent change of EEG spectral power in the prefrontal cortex (left panels) and sensorimotor cortex (right panels) of conscious rats (ordinate) at each frequency between 1 and 30 Hz (abscissa). Vertical bars represent 95% confidence intervals, n=6).
The non-competitive AMPA antagonists GYKI 52466 (1, 5 and 10 mg kg−1 i.p.) and GYKI 53655 (1 and 5 mg kg−1 i.p.) increased EEG power with maxima of 3 and 5 Hz, and slightly from 6 to 20 Hz (Figure 7). The effects of GYKI 52466 were most marked at low doses in the prefrontal cortex, with effects on sensorimotor cortex becoming more apparent at the higher doses, which are associated with the onset of ataxia. In contrast, the effects of GYKI 53655 on EEG were less marked at 5 mg kg−1 i.p.
Figure 7.

Effects of GYKI 52466 (1 (A), 5 (B) and 10 (C) mg kg−1 i.p.) and GYKI 53655 (1 (D) and 5 (E) mg kg−1 i.p.) expressed as per cent change of EEG spectral power in the prefrontal cortex (left columns) and sensorimotor cortex (right columns) of conscious rats (ordinate) at each frequency between 1 and 30 Hz (abscissa). Vertical bars represent 95% confidence intervals, n=6). Note the small selectivity window for prefrontal cortex for GYKI 52466.
Interactions with PCP
In the prefrontal cortex, clozapine (0.1, 0.2 and 0.3 mg kg−1 s.c.), haloperidol (0.5 mg kg−1 i.p.), GYKI 53655 (5 mg kg−1 i.p.) (Figure 8) as well as M100907 (0.01 and 0.05 mg kg−1 s.c.) and prazosin (0.05 and 0.1 mg kg−1 i.p.) (Figure 9), all inhibited the decrease in power between 5 and 30 Hz caused by PCP (1 mg kg−1 s.c.) Only the co-administration of GYKI 53655 (5 mg kg−1 i.p.) resulted in a significant reduction of the increase in very low frequency power induced by PCP. In graphs quantifying these interactions (Figure 10), clozapine, 0.2 mg kg−1, caused the most complete inhibition of the effects of PCP in the prefrontal cortex.
Figure 8.

Administration of PCP alone (1 mg kg−1 s.c.) (A) and co-administration of PCP (1 mg kg−1 s.c.) and clozapine (B) (0.1 (a), 0.2 (b) and 0.3 (c) mg kg−1 s.c.), PCP (1 mg kg−1 s.c.) and haloperidol (C) (0.5 mg kg−1 i.p.), and PCP (1 mg kg−1 s.c.) and GYKI 53655 (D) (5 mg kg−1 i.p.) expressed as per cent change of EEG spectral power in the prefrontal cortex (on the left) and sensorimotor cortex (on the right) of conscious rats (ordinate) at each frequency between 1 and 30 Hz (abscissa). Vertical bars represent 95% confidence intervals, n=6). The ordinate indicates the percentage change produced by drug administration. Vertical bars show 95% confidence intervals, calculated at each dose.
Figure 9.

Co-administration of PCP (1 mg kg−1 s.c.) and M100907 (A) (0.01 (a), and 0.05 (b) mg kg−1 s.c.), PCP (1 mg kg−1 s.c.) and prazosin (B) (0.05 (a) and 0.1 (b) mg kg−1 i.p.) expressed as per cent change of EEG spectral power in the prefrontal cortex (on the left) and sensorimotor cortex (on the right) of conscious rats (ordinate) at each frequency between 1 and 30 Hz (abscissa). Vertical bars represent 95% confidence intervals, n=6). The ordinate indicates the percentage change produced by drug administration.
Figure 10.

Graphical representation of the attenuation of PCP (1 mg kg−1 s.c.) effects in prefrontal cortex when, from top to bottom, clozapine (0.1, 0.2 and 0.3 mg kg−1 s.c.), haloperidol (0.5 mg kg−1 i.p.), GYKI 53655 (5 mg kg−1 i.p.), M100907 (0.01 and 0.05 mg kg−1 s.c.) and prazosin (0.05 and 0.1 mg kg−1 i.p.) were co-administered. Attenuation (in ordinate) was estimated as described in methods at each frequency between 1 and 30 Hz (abscissa). Zero value corresponds to no change; values less than one to an amplification of PCP effects, Value equal to unity correspond to a full antagonism of the effects of PCP; values >1 to an inversion of PCP effects. Values are not shown where there was no significant modification of the effects of PCP.
Discussion
Transcortical bipolar electrodes allow a better degree of localization of the EEG effects of drugs in the awake state than do monopolar recordings. As described in the methods, the first exposed electrode was located on the cerebral cortex surface and the second exposed site was introduced through the cortex. Thus, the recorded EEG reflects only the local electrical events. The appearance of rhythmic activity on EEG records presumably represents synchronization of electrical events (EPSP and IPSP) on large populations of cortical vertical dendrites and inversely, the disappearance of such rhythms the desynchronization or reduced number of these electrical events. EEG traces depict energy variations versus time, whereas the power spectra used in this study describe how the energy repartition according to the frequency was changed by the administration of a drug.
The present methodology subtracts the effect of vehicle from the effects of drug (Sebban et al., 1999a, 1999b) in order to reduce day-to-day variation. Nevertheless, the EEG changes are complex and it is possible that some subtle vehicle-drug interactions may remain. The methodology has shown utility in predicting effects in man, because S 16924, a clozapine-like agent, increased EEG power in the prefrontal cortex with a peak at 8 Hz in rats (Millan et al., 1998): the drug also increased EEG power at 8 Hz in the prefrontal cortex in man in a dose-dependent manner (Macher et al., 2000). Furthermore the EEG changes in the rat of clozapine and S 16924 are tightly linked to their plasma levels (Parker et al., 2001). The increase in prefrontal cortex theta rhythm (8 Hz) which was seen with S 16924, and to a certain extent with all antipsychotics tested, other than M 100907 (Sebban et al., 1999a, 1999b), is of interest because theta rhythm may be linked to cognitive processes (Siapas et al., 2000).
The dose-dependent effects of PCP on the EEG, extend the findings of Mattia & Moreton (1986). The synchronization at low frequencies and desynchronization at higher frequencies is unique in our exploitation of this model, where more than 50 drugs have been studied. Furthermore the effects of PCP were obtained with very low doses. What could cause such marked effects on the EEG?
PCP is a NMDA antagonist which causes some increase in dopamine in the prefrontal cortex as evidenced in many models (Freedman & Bunney, 1984; Hondo et al., 1994; Jentsch et al., 1997a, 1997b; 1998a, 1998b; Verma & Moghaddam, 1996), but this may result from a balance of locally increased release, with reduced activity in the ventral tegmental projections (Takahata & Moghaddam, 1998). As D2 antagonists are poor antagonists of ketamine in man, other transmitters may be important.
PCP liberates 5-HT (Maurel-Remy et al., 1995; Gorelick & Balster, 1994). Cortical 5-HT release in turn liberates glutamate, activating NMDA and AMPA receptors (Aghajanian & Marek, 1997; 1999; 2000). Long-term changes in NMDA and kainate receptor binding follow administration of PCP (Tomita et al., 1995; Gao & Tamminga, 1996). The activation of the EEG is intense (>5 fold), despite the low doses of PCP and MK 801 used in this report. Neuronal activation from chronic treatment with PCP, ketamine and MK 801 may be so intense that the compounds cause neurodegeneration in specific limbic tracts (Ellison & Switzer, 1993; Ellison, 1994; 1995; Wozniak et al., 1996). Thus the effects of PCP are secondary to changes in glutamate, dopamine and 5-HT.
The increase in EEG power at low frequency is associated with increases in synchronization, and these effects are resistant to all the drugs used in the present study, so the mechanism of action cannot be defined. Nevertheless, this effect is the inverse of the AMPA antagonist, GYKI 52466, which reduced sychronization at very low frequencies. In contrast, EEG power is reduced by PCP at higher frequencies, and over the frequency range 5 – 20 Hz, PCP, at 1versus, resembles modafinil (Sebban et al., 1999a, 1999b), a drug marketed for the treatment of narcolepsy, and which increases vigilance and prevents sleep. This second effect of PCP may therefore be associated with hypervigilance, which has been claimed to be a part of schizophrenia: it is this effect which is antagonized by the antipsychotic agents. The effects of modafinil were also selectively antagonized by prazosin and clozapine (Sebban et al., 1999b). Synchronization between prefrontal and posterior association cortex during working memory tasks in humans enhances coherence over 4 – 7 Hz (Sarnthein et al., 1998): these frequencies are disrupted by PCP. MK-801 was less effective in this regard.
M100907, at doses which would be highly selective for 5-HT2A receptors, caused a pronounced and very specific increase in EEG power, but only at 2 Hz; high doses, which would not be expected to be selective, resulted in a power spectrum similar to that of clozapine. Thalamic and cortical neuronal activities are under the control of cholinergic, serotoninergic, histaminergic, GABAergic and noradrenergic modulatory systems (Steriade et al., 1993a, 1993b). Thalamic relay neurons display rhythmic bursts consisting of oscillation in the frequency range of 0.5 – 4 Hz and spindle oscillations in the frequency range 7 – 14 Hz (Steriade et al., 1993c) during slow-wave sleep. The specific effects of M100907 at 2 Hz may therefore be due either to effects on thalamocortical coupling (Brandenberger et al., 1996) or to a local effect on the frontal pyramidal cells, as has been shown in vitro by Marek & Aghajanian (1994; 1996; 1998a, 1998b, 1999; Aghajanian & Marek, 2000). The ‘clozapine-like' profile of M100907 at the highest dose tested is presumably due to the dose being sufficiently high for the selectivity at 5-HT2A receptors to be lost. If the effect at 2 Hz is local and due to antagonism of locally released 5-HT, or even of dopamine (Schmidt & Fadayel, 1995), then the effects of 5-HT at 5-HT2A receptors have remarkable specificity for the 2 Hz frequency, which may be a useful index of specific events in the cortex mediated by 5-HT.
M100907, at low doses, abolished the desynchronization, over 8 – 30 Hz, which was induced by PCP, providing further evidence that the effects of PCP are at least partially dependent on 5-HT release. M100907 is a highly potent antagonist of PCP-induced locomotion (Maurel-Remy et al., 1995). M100907 has also been reported to antagonize the MK801-induced changes in prepulse inhibition (Varty et al., 1999). M100907 has not been found to be active during clinical trails in schizophrenia, although beneficial effects in small patient populations may occur. Previous EEG studies have claimed that serotinergic blockade alone may not yield large effects, but considerable effects may occur in the presence of changes in other transmitter systems, such as in association with cholinergic blockade (Dringenberg & Zalan, 1999). Our findings of small, but highly specific, EEG changes following selective 5-HT2A antagonism, associated with a capacity to antagonize some of the effects of PCP is therefore in line with previous findings and with the limited antipsychotic efficacy of M100907.
Some hallucinogens have affinity for 5-HT2 receptors and have direct effects on cortical pyramidal neurones and associated interneurones (reviewed by Aghajanian & Marek, 2000). These studies may form a bridge between in vitro electrophysiology and the more complex phenomena involved in EEG recording. In in vitro studies, 5-HT induces excitatory postsynaptic potentials in layer V cortical pyramidal cells (Aghajanian & Marek, 1997; 2000), inducing asynchronous excitatory transmission by 5-HT2A receptors (Aghajanian & Marek, 1998; Marek & Aghajanian, 1998 1998b), located on GABAergic interneurones (Gellman & Aghajanian, 1994). Hallucinogens such as lysergic acid, act as partial agonists on 5-HT2A-receptors, and cause a local release of glutamate in the prefontal cortex (reviewed in Aghajanian & Marek, 2000). PCP and DOI can also induce 5-HT release as well as blocking NMDA receptors, by a different mechanism, probably involving glutamatergic thalamic inflow (Aghajanian & Marek, 2000). The 5-HT release causes further glutamate release (acting on AMPA receptors, Svensson, 2000), which can also be modified by α1-adrenoceptors (Aghajanian & Marek, 2000).
Hallucinogens generalize to PCP cues in drug discrimination paradigms (West et al., 2000). Methylated 5-HT metabolites, such as dimethyltryptamine (DMT) which are hallucinogenic and propsychotic (Pomilio et al., 1999), have been detected endogenously in early stage schizophrenic patients and have been claimed to play a role in the symptoms and delusions in the early stages of schizophrenia, in a manner similar to exogenous PCP (Ciprian-Olliver, 1991; Ciprian-Ollivier & Cetkovich-bakmas, 1997; Pomilio et al., 1999).
The AMPA antagonists GYKI 52466 and 53655 showed clear dose-dependent increases in EEG power; GYKI 52466, which is a less specific AMPA antagonist than GYKI 53655 (Maj et al., 1995; Vizi et al., 1996), showed effects over a wider range of frequencies. The doses which modified EEG in the prefrontal cortex are identical to the doses active in antagonising AMPA receptors and in inducing anti-epileptic effects (reviewed in Vizi et al., 1996). The higher doses required to change power spectra in the sensorimotor cortex are similar to the doses required to induce ataxia and muscle relaxant effects. Differential effects on EEG in prefrontal and sensorimotor cortex may be a useful means of screening AMPA antagonists with reduced ataxic effects. GYKI 53655 is more selective for AMPA receptors than GYKI 52466. We are currently investigating whether the difference between the EEG effects of GYKI 52466 and those of GYKI 53655 represents a component of antagonism of kainate receptors.
The AMPA antagonists inhibited the reduction in EEG power caused by PCP in the prefrontal cortex, which may be due to inhibiting aspects of the hyperglutamatergic drive, compatible with the in vitro data of Aghajanian & Marek (2000). Takahata & Moghaddam (1998) showed that AMPA antagonists blocked stress- and PCP-induced dopamine release in the prefrontal cortex. Svensson (2000) has proposed that AMPA antagonists may be clinically useful as atypical antipsychotic agents. The present study shows that the effects of PCP in the prefrontal cortex may be inhibited by AMPA antagonists at doses where the drugs alone exert relatively little effect, implying that there is some measure of a selectivity window for antipsychotic effects over the well defined ataxic effects. Neverthess, the inhibition of PCP-induced changes in EEG power may be highly indirect, and not necessarily via local changes in the prefrontal cortex.
Global EEG activity reflects a variety of oscillations generated in the thalamus and cerebral cortex (Bradshaw et al., 1983; Steriade et al., 1990a, 1990b; 1991; 1993a, 1993b, 1993c). Consequently, the precise changes in EEG following the administration of dopaminergic, serotinergic, and glutamatergic agonists and antagonists are complex to interpret. Furthermore, there are very complex interactions between 5-HT, dopamine and noradrenaline release in the frontal cortex of conscious rats (Tassin et al., 1992; Gobert et al., 1998) as well as in anaesthetized rats (Berridge & Morris, 2000) which will be exacerbated by the administration of such a powerful stimulant as PCP. Nevertheless, when agonists and antagonists of the same receptor type were co-administered, a dose-dependent interaction can be shown on EEG (Sebban et al., 1999a, 1999b; 2000). Pharmacological interventions causing a decrease of dopaminergic or noradrenergic transmission induce an increase of EEG spectral power, whereas an increase in dopaminergic or noradrenergic transmission induces a decrease of EEG spectral power (Sebban et al., 1999a, 1999b).
The effects of PCP were most effectively antagonized by clozapine, a drug which modulates noradrenergic, dopaminergic and serotoninergic transmission. However, the increase in low frequency power was resistant to clozapine. Nevertheless, the potent effects of M100907 reinforce the importance of 5-HT2A receptors in the prefrontal cortex. The effects of the antagonists were much more difficult to quantify in the sensorimotor cortex, presumably because of multiple motor interactions. Prazosin blocked some of the effects of PCP, consistent with the finding that many antipsychotic agents have α1-adrenoceptor blocking effects, and consistent with the antagonism of a ‘hyper-attentional state' proposed by Sebban et al. (1999b).
Even though, when administered alone, clozapine, the AMPA antagonists GYKI 52466 and 53455, prazosin and M100907 had highly distinctive EEG ‘fingerprints', all the drugs caused similar antagonism of the effects of PCP, showing that antipsychotic mechanisms converge at the thalamocortical level, supporting the propositions of Aghajanian & Marek (2000). The present model would seem to be useful for the profiling of antipsychotic drugs and has been partially validated in man.
Acknowledgments
We thank Florence Lacroix for expert secretarial assistance.
Abbreviations
- AMPA
alpha-3-amino-hydroxy-5-methyl-4-isoxazole propionic acid
- DMT
dimethyltryptamine
- EEG
electroencephalogram
- 5-HT
5-hydroxytryptamine
- NMDA
N-methyl-D-aspartate
- PCP
phencyclidine
References
- ABI-SAAB W.M., D-SOUZA D.C., MOGHADDAM B., KRYSTAL J.H. The NMDA antagonist model for schizophrenia: promise and pitfalls. Pharmacopsychiatry. 1998;31:104–109. doi: 10.1055/s-2007-979354. [DOI] [PubMed] [Google Scholar]
- ADAMS B., MOGHADDAM B. Corticolimbic dopamine neurotransmission is temporally dissociated from the cognitive and locomotor effects of phencyclidine. J. Neurosci. 1998;18:5545–5554. doi: 10.1523/JNEUROSCI.18-14-05545.1998. [DOI] [PMC free article] [PubMed] [Google Scholar]
- AGHAJANIAN G.K., MAREK G.J. Serotonin induces excitatory post-synaptic potentials in apical dendrites of neocortical pyramidal cells. Neuropharmacology. 1997;36:589–599. doi: 10.1016/s0028-3908(97)00051-8. [DOI] [PubMed] [Google Scholar]
- AGHAJANIAN G.K., MAREK G.J. Serotonin2A receptors selectively enhance asynchronous excitatory transmission in layer V cortical pyramidal cells. Soc. Neurosci. Abstr. 1998;24:1366. [Google Scholar]
- AGHAJANIAN G.K., MAREK G.J. Serotonin, via 5-HTX2A receptors, increases EPSCs in layer V pyramidal cells of prefrontal cortex by an asynchronous mode of glutamate release. Brain Res. 1999;825:161–171. doi: 10.1016/s0006-8993(99)01224-x. [DOI] [PubMed] [Google Scholar]
- AGHAJANIAN G.K., MAREK G.J. Serotonin model of schizophrenia: emerging role of glutamate mechanisms. Brain Res. Rev. 2000;31:302–312. doi: 10.1016/s0165-0173(99)00046-6. [DOI] [PubMed] [Google Scholar]
- ALLEN R.M., YOUNG S.J. Phencyclidine-induced psychosis. Am. J. Psychiat. 1978;135:1081–1084. doi: 10.1176/ajp.135.9.1081. [DOI] [PubMed] [Google Scholar]
- ARRANZ M.J., COLLIER D.A., MUNRO J., SHAM P., KIROV G., SODHI M., ROBERTS G., PRICE J., KERWIN R.W. Analysis of a structural polymorphism in the 5-HT2A receptor and clinical response to clozapine. Neurosci. Lett. 1996;217:2–3. [PubMed] [Google Scholar]
- ARRANZ M.J., MUNRO J., OWEN M.J., SPURLOCK G., SHAM P.C., ZHAO J., KIROV G., COLLIER D.A., KERWIN R.W. Evidence for association between polymorphisms in the promoter and coding regions of the 5-HT2A receptor gene and response to clozapine. Mol. Psychiatry. 1998;3:61–66. doi: 10.1038/sj.mp.4000348. [DOI] [PubMed] [Google Scholar]
- BAKSHI V.P., GEYER M.A. Antagonism of phencyclidine-induced deficits in prepulse inhibition by the putative atypical antipsychotic drug olanzapine. Psychopharmacology. 1995;122:198–201. doi: 10.1007/BF02246096. [DOI] [PubMed] [Google Scholar]
- BAKSHI V.P., SWEDLOW N.R., GEYER M.A. Clozapine antagonizes phencyclidine-induced deficits in sensorimotor gating of the startle response. J. Pharmacol. Exp. Ther. 1994;271:787–794. [PubMed] [Google Scholar]
- BENNETT J.P., ENNA S.J., BYLUND D.B., GILLIN J.C., WYATT R.J., SNYDER S.H. Neurotransmitter receptors in frontal cortex of schizophrenics. Arch. Gen. Psychiatry. 1979;36:927–934. doi: 10.1001/archpsyc.1979.01780090013001. [DOI] [PubMed] [Google Scholar]
- BERRIDGE C.W., MORRIS M.F. Amphetamine-induced activation of forebrain EEG is prevented by noradrenergic beta-receptor blockade in the halothane-antesthetized rat. Psychopharmacology (Berl) 2000;148:307–313. doi: 10.1007/s002130050055. [DOI] [PubMed] [Google Scholar]
- BRADSHAW C.M., PUN R.Y.K., SLATER N.T., STOKER M.J., SZABADI E. Differential antagonistic effects of haloperidol on excitatory responses of cortical neurones to phenylephrine, noradrenaline and dopamine. Neuropharmacology. 1983;22:945–952. doi: 10.1016/0028-3908(83)90210-1. [DOI] [PubMed] [Google Scholar]
- BRAFF D.L., GRILLON C., GEYER M.A. Gating and habituation of the startle reflex in schizophrenic patients. Arch. Gen. Psychiat. 1992;49:206–215. doi: 10.1001/archpsyc.1992.01820030038005. [DOI] [PubMed] [Google Scholar]
- BRANDENBERGER G., LUTHRINGER R., MULLER G., GRONFIER C., SCHALTENBRAND N., MACHER J-P., MUZET A., FOLLENIUS M. 5-HT2 receptors are partially involved in the relationship between renin release and delta relative power. J. Endocrinol. Invest. 1996;19:556–562. doi: 10.1007/BF03349016. [DOI] [PubMed] [Google Scholar]
- BUNNEY W.E., BUNNEY B.G. Evidence for a compromised dorsolateral prefrontal cortical parallel circuit in schizophrenia. Brain Res. Rev. 2000;31:138–146. doi: 10.1016/s0165-0173(99)00031-4. [DOI] [PubMed] [Google Scholar]
- BURNET P.W.J., HARRISON P.J. 5-HT1A and 5-HT2A receptor mRNAs and binding site densities are differentially altered in schizophrenia. Neuropsychopharmacology. 1996;1:179–186. doi: 10.1016/S0893-133X(96)00053-X. [DOI] [PubMed] [Google Scholar]
- CIPRIAN-OLLIVER J.Delusional status and abnormally methylated compounds Biological Psychiatry 9–14 June 1991, Florence, Italy 1991Amsterdam: Excerpa Medica; 627–629.ed. Racagni, G., Brunello, N. & Fukuda, T. pp [Google Scholar]
- CIPRIAN-OLLIVIER J., CETKOVICH-BAKMAS M.G. Altered consciousness states and endogenous psychoses: a common molecular pathway. Schizophrenia Res. 1997;28:257–265. doi: 10.1016/s0920-9964(97)00116-3. [DOI] [PubMed] [Google Scholar]
- COHEN B.D., ROSENBAUM G., LUBY E.D., GOTTLIEB J.S. Comparison of phencyclidine hydrochloride (Sernyl) with other drugs. Simulation of schizophrenic performance with phencyclidine hydrochloride (Sernyl), lysergic acid diethylamide (LSD-25), and amobarbital (Amytal) sodium: II. Symbolic and sequential thinking. Arch. Gen. Psychiat. 1962;6:395–401. doi: 10.1001/archpsyc.1962.01710230063007. [DOI] [PubMed] [Google Scholar]
- CRESPO-FACORRO B., KIM J.J., ANDREASEN N.C., O'LEARY D.S., MAGNOTTA V. Regional frontal abnormalities in schizophrenia: a quantitative gray matter volume and cortical surface size study. Biol. Psychiatry. 2000;48:110–119. doi: 10.1016/s0006-2332(00)00238-9. [DOI] [PubMed] [Google Scholar]
- DEAN B., HAYES W. Decreased frontal cortical serotonin2A receptors in schizophrenia. Schizophrenia Res. 1996;21:133–193. doi: 10.1016/0920-9964(96)00034-5. [DOI] [PubMed] [Google Scholar]
- DEAN B., HAYES W., OPESKIN K., NAYLOR L., PAVEY G., HILL C., KEKS N. Serotonin2 receptors and the serotonin transporter in the schizophrenic brain. Behav. Brain Res. 1996;73:1–2. doi: 10.1016/0166-4328(96)00091-5. [DOI] [PubMed] [Google Scholar]
- DRINGENBERG H.C., ZALAN R.M. Serotonin-dependent maintenance of spatial performance and electroencephalography activation after cholinergic blockade: effects of serotonergic receptor antagonists. Brain Res. 1999;7:242–253. doi: 10.1016/s0006-8993(99)01669-8. [DOI] [PubMed] [Google Scholar]
- ELLISON G. Competitive and noncompetitive NMDA receptor antagonists induce similar limbic degeneration. Neuroreport. 1994;5:2688–2692. doi: 10.1097/00001756-199412000-00070. [DOI] [PubMed] [Google Scholar]
- ELLISON G. The N-methyl-D-aspartate antagonists phencyclidine, ketamine, and dizocilpine as both behavioral and anatomical models of the dementias. Brain Res. Rev. 1995;20:250–267. doi: 10.1016/0165-0173(94)00014-g. [DOI] [PubMed] [Google Scholar]
- ELLISON G., SWITZER R.C. Dissimilar patterns of degeneration in brain following four different addictive stimulants. Neuroreport. 1993;5:17–20. doi: 10.1097/00001756-199310000-00004. [DOI] [PubMed] [Google Scholar]
- ERDMANN J., SHIMRON-ABARBANELL D., RIETSCHEL M., ALBUS M., MAIER W., KORNER J., BONDY B., CHEN K., SHIH J.C., KNAPP M., PROPPING P., NOTHEN M.M. Systematic screening for mutations in the human serotonin2A (5-HT2A) receptor gene: identification of two naturally occurring receptor variants and association analysis in schizophrenia. Human Genetics. 1996;97:614–619. doi: 10.1007/BF02281871. [DOI] [PubMed] [Google Scholar]
- FREDERICK D.L., GILLAM M.P., ALLEN R.R., PAULE M.G. Acute behavioral effects of phencyclidine on rhesus monkey performance in an operant test battery. Pharmacol. Biochem. Behav. 1995;52:789–797. doi: 10.1016/0091-3057(95)00182-v. [DOI] [PubMed] [Google Scholar]
- FREEDMAN A.S., BUNNEY B.S. The effects of phencyclidine and N-allyl-normetazocine on midbrain dopamine neuronal activity. Eur. J. Pharmacol. 1984;104:287–293. doi: 10.1016/0014-2999(84)90404-7. [DOI] [PubMed] [Google Scholar]
- GAO X.M., TAMMINGA C.A. Phencyclidine produces changes in NMDA and kainate receptor binding in rat hippocampus over a 48-hour time course. Synapse. 1996;23:274–279. doi: 10.1002/(SICI)1098-2396(199608)23:4<274::AID-SYN5>3.0.CO;2-4. [DOI] [PubMed] [Google Scholar]
- GELLMAN R.L., AGHAJANIAN G.K. Serotonin2 receptor-mediated excitation of interneurons in piriform cortex: antagonism by atypical antipsychotic drugs. Neuroscience. 1994;3:515–525. doi: 10.1016/0306-4522(94)90077-9. [DOI] [PubMed] [Google Scholar]
- GEYER M.A., SEGAL D.S., GREENBERG B.D. Increased startle responding in rats treated with phencyclidine. Neurobehav. Toxicol. Teratol. 1984;6:1–4. [PubMed] [Google Scholar]
- GOBERT A., RIVET J.M., AUDINOT V., NEWMAN-TANCREDI A., CISTARELLI L., MILLAN M.J. Simultaneous quantification of serotonin, dopamine and noradrenaline levels in single frontal cortex dialyses of freely-moving rats reveals a complex pattern of reciprocal auto-and heteroreceptor-mediated control of release. Neurosci. 1998;84:413–429. doi: 10.1016/s0306-4522(97)00565-4. [DOI] [PubMed] [Google Scholar]
- GOLDMAN-RAKIC P.S.Prefrontal cortical dysfunction in schizophrenia: Relevance of working memory Psychopathology and the Brain 1991New York: Raven; 1–23.ed. Carroll, B.J. & Barrett, J.E. pp [Google Scholar]
- GOLDMAN-RAKIC P.S., MULY E.C, III, WILLIAMS G.V. D1 receptors in prefrontal cells and circuits. Brain Res. Rev. 2000;31:295–301. doi: 10.1016/s0165-0173(99)00045-4. [DOI] [PubMed] [Google Scholar]
- GORELICK D.A., BALSTER R.L.Phencyclidine (PCP) Psychopharmacology. The Fourth Generation of Progress 1994New York: Raven Press; 1767–1776.ed. Bloom, F.E. & Kupfer, D.J. pp [Google Scholar]
- HERNANDEZ I., SOKOLOV B.P. Abnormalities in 5-HT2A receptor mRNA expression in frontal cortex of chronic elderly schizophrenics with varying histories of neuroleptic treatment. J. Neurosci. Res. 2000;59:218–225. [PubMed] [Google Scholar]
- HONDO H., YONEZAWA Y., NAKAHARA T., HIRANO M., UCHIMURA H., TASHIRO N. Effect of phencyclidine on dopamine release in the prefrontal cortex: an in vivo microdialysis study. Brain Res. 1994;633:337–342. doi: 10.1016/0006-8993(94)91558-x. [DOI] [PubMed] [Google Scholar]
- INAYAMA Y., YONEDA H., SAKAI T., ISHIDA T., NONOMURA Y., KONO Y., TAKAHATA R., KOH J., SAKAI J., TAKAI A., INADA Y., ASABA H. Positive association between a DNA sequence variant in the serotonin2A receptor gene and schizophrenia. Am. J. Med. Gen. 1996;67:103–105. doi: 10.1002/(SICI)1096-8628(19960216)67:1<103::AID-AJMG18>3.0.CO;2-S. [DOI] [PubMed] [Google Scholar]
- JENTSCH J.D., TRAN A., LE D., YOUNGREN K.D., ROTH R.H. Subchronic phencyclidine administration reduces meso-prefrontal dopamine utilization and impairs prefrontal cortical-dependent cognition in the rat. Neuropsychopharmacology. 1997a;17:92–99. doi: 10.1016/S0893-133X(97)00034-1. [DOI] [PubMed] [Google Scholar]
- JENTSCH J.D., REDMOND D.E., Jr, ELSWORTH J.D., TAYLOR J.R., YOUNGSTEN K.D., ROTH R.H. Enduring cognitive deficits and cortical dopamine dysfunction in monkeys after long-term administration of phencyclidine. Science. 1997b;277:953–955. doi: 10.1126/science.277.5328.953. [DOI] [PubMed] [Google Scholar]
- JENTSCH J.D., ROTH R.H. The neuropsychopharmacology of phencyclidine: from NMDA receptor hypofunction to the dopamine hypothesis of schizophrenia. Neuropsychopharmacology. 1999;20:201–225. doi: 10.1016/S0893-133X(98)00060-8. [DOI] [PubMed] [Google Scholar]
- JENTSCH J.D., TAYLOR J.R., ROTH R.H. Subchronic phencyclidine administration increases mesolimbic dopamine system responsivity and augments stress- and amphetamine-induced hyperlocomotion. Neuropsychopharmacology. 1998a;19:105–113. doi: 10.1016/S0893-133X(98)00004-9. [DOI] [PubMed] [Google Scholar]
- JENTSCH J.D., TRAN A., TAYLOR J.R., ROTH R.H. Prefrontal cortical involvement in phencyclidine-induced activation of the mesolimbic dopamine system: behavioral and neurochemical evidence. Psychopharmacology. 1998b;138:89–95. doi: 10.1007/s002130050649. [DOI] [PubMed] [Google Scholar]
- KINNEY G.G., PATINO P., MERMET-BOUVIER Y., STARRETT J.E., Jr, GRIBKOFF V.K. Cognition-enhancing drugs increase stimulated hippocampal theta rhythm amplitude in the urethane-anesthetized rat. J. Pharmacol. Exp. Ther. 1999;291:99–106. [PubMed] [Google Scholar]
- KRYSTAL J.H., BELGER A., D-SOUZA D.C., ANAND A., CHARNEY D.S., AGHAJANIAN G.K., MOGHADDAM B. Therapeutic implications of the hyperglutamatergic effects of NMDA antagonists. Neuropsychopharmacology. 1999;21:S143–S157. [Google Scholar]
- LAHTI A.C., HOLCOMB H.H., MEDOFF D.R., TAMMINGA C.A. Ketamine activates psychosis and alters limbic blood flow in schizophrenia. Neuroreport. 1995;6:869–872. doi: 10.1097/00001756-199504190-00011. [DOI] [PubMed] [Google Scholar]
- LUBY E.D., COHEN B.D., ROSENBAUM G., GOTTLIEB J.S., KELLY R. Study of a new schizophrenic-like drug: Sernyl. Arch. Neurol. Psychiat. 1959;81:363–369. doi: 10.1001/archneurpsyc.1959.02340150095011. [DOI] [PubMed] [Google Scholar]
- MA J., LEUNG L-W.S. Relation between hippocampal γ waves and behavioral disturbances induced by phencyclidine and methamphetamine. Behav. Brain Res. 2000;111:1–11. doi: 10.1016/s0166-4328(00)00138-8. [DOI] [PubMed] [Google Scholar]
- MACHER J.P., LAVERGNE A., BOEYINGA P., SOUAN L.M., MALLET DE CHAUNY E., LUTHRINGER R. Multilead quantitative EEG profile of S 16924, a new orally active antipsychotic in healthy male young volunteers. Fundam. Clin. Pharmacol. 2000;14:271. [Google Scholar]
- MAJ J., ROGOZ Z., SKUZA G., KOLODZIEJCZYK K. Some central effects of GYKI 52466, a non-competitive AMPA receptor antagonist. Pol. J. Pharmacol. 1995;47:501–507. [PubMed] [Google Scholar]
- MALHOTRA A.K., ADLER C.M., KENNISON S.D., ELMAN I., PICKAR D., BREIER A. Clozapine blunts N-methyl-D-aspartate antagonist-induced psychosis. A study with ketamine. Biol. Psychiat. 1997a;42:664–668. doi: 10.1016/s0006-3223(96)00546-x. [DOI] [PubMed] [Google Scholar]
- MALHOTRA A.K., PINALS D.A., ADLER C.M., ELMAN I., CLIFTON A., PICKAR D., BREIER A. Ketamine-induced exacerbation in psychotic symptoms and cognitive impairment in neuroleptic-free schizophrenics. Neuropsychopharmacology. 1997b;17:141–149. doi: 10.1016/S0893-133X(97)00036-5. [DOI] [PubMed] [Google Scholar]
- MALHOTRA A.K., PINALS D.A., WEINGARTNER H., SIROCCO K., MISSAR C.D., PICKAR D., BREIER A. NMDA receptor function and human cognition: the effects of ketamine in healthy volunteers. Neuropsychopharmacology. 1996;14:301–307. doi: 10.1016/0893-133X(95)00137-3. [DOI] [PubMed] [Google Scholar]
- MANOACH D.S., GOLLUB R.L., BENSON E.S., SEARL M.M., GOFF D.C., HALPERN E., SAPER C.B., RAUCH S.L. Schizophrenic subjects show aberrant fMRI activation of dorsolateral prefrontal cortex and basal ganglia during working memory performance. Biol. Psychiatry. 2000;48:99–109. doi: 10.1016/s0006-3223(00)00227-4. [DOI] [PubMed] [Google Scholar]
- MAREK G.J., AGHAJANIAN G.K. Excitation of interneurons in piriform cortex by 5-hydroxytryptamine: blockade by MDL100907, a highly selective 5-HT2A receptor antagonist. Eur. J. Pharmacol. 1994;259:137–141. doi: 10.1016/0014-2999(94)90502-9. [DOI] [PubMed] [Google Scholar]
- MAREK G.J., AGHAJANIAN G.K. LSD and the phenethylamine hallucinogen DOI are potent partial agonists at 5-HT2A receptors on neurons in the rat piriform cortex. J. Pharmacol. Exp. Ther. 1996;278:1373–1382. [PubMed] [Google Scholar]
- MAREK G.J., AGHAJANIAN G.K. Serotonin2A receptor-induced EPSCs in layer V pyramidal cells of prefrontal cortex: block by group II/III metabotropic glutamate agonists. Soc. Neurosci. Abstr. 1998a;24:136. [Google Scholar]
- MAREK G.J., AGHAJANIAN G.K. Indoleamine and the phenthylamine hallucinogens. Mechanisms of psychotomimetic action. Drug Alcoh. Depen. 1998b;51:189–198. doi: 10.1016/s0376-8716(98)00076-3. [DOI] [PubMed] [Google Scholar]
- MAREK G.J., AGHAJANIAN G.K. 5-HT2A receptor or α1-adrenoceptor activation induces spontaneous excitatory postsynaptic currents in layer V pyramidal cells of the medial prefrontal cortex. Eur. J. Pharmacol. 1999;369:197–206. doi: 10.1016/s0014-2999(98)00945-5. [DOI] [PubMed] [Google Scholar]
- MATTIA A., MORETON J.E. Electroencephalographic (EEG), EEG power spectra, and behavioral correlates in rats given phencyclidine. Neuropharmacology. 1986;25:763–769. doi: 10.1016/0028-3908(86)90093-6. [DOI] [PubMed] [Google Scholar]
- MAUREL-REMY S., BERVOETS K., MILLAN M.J. Blockade of phencyclidine-induced hyperlocomotion by clozapine and M100907 in rats reflects antagonism of 5-HT2A receptors. Eur. J. Pharmacol. 1995;280:9–11. doi: 10.1016/0014-2999(95)00333-g. [DOI] [PubMed] [Google Scholar]
- MILLAN M.J., SCHREIBER R., DEKEYNE A., RIVET J.M., BERVOETS K., MAVRIDIS M., SEBBAN C., MAUREL-REMY S., NEWMAN-TANCREDI A., SPEDDING M., MULLER O., LAVIELLE G., BROCCO M. S 16924 ((+)-2-{1-[2-(2,3-dihydro-benzo[1,4] dioxin-5-yloxy)-ethyl]-pyrrolidin-3yl}-1-(4-fluoro-phenyl)-ethanone), a novel, potential antipsychotic with marked serotonin (5-HT)1A agonist properties: functional profile in comparison to clozapine and haloperidol. J. Pharmacol. Exp. Ther. 1998;286:1356–1373. [PubMed] [Google Scholar]
- PARKER T.J., DELLA PASQUA O.E., LOIZILLON E., CHEZAUBERNARD C., JOCHEMSEN R., DANHOF M.Pharmacokinetic-pharmacodynamic modelling in the early development phase of antipsychotics: a comparison of the effects of clozapine, S 16924 and S 18327 in the EEG model in rats Br. J. Pharmacol. 2001. in press [DOI] [PMC free article] [PubMed]
- POMILIO A.B., VITALE A.A., CIPRIAN-OLLIVIER J., CETKOVICH-BAKMAS M., GOMEZ R., VAZQUEZ G. Ayahoasca: an experimental psychosis that mirrors the transmethylation hypothesis of schizophrenia. J. Ethnopharmacol. 1999;65:29–51. doi: 10.1016/s0378-8741(98)00163-9. [DOI] [PubMed] [Google Scholar]
- POSNER M.I. Neuroimaging of cognitive processes. Cognit. Psychol. 1997;33:2–4. [Google Scholar]
- PUMA C., BIZOT J.C. Hippocampal theta rhythm in anesthetized rats: role of AMPA glutamate receptors. Neuroreport. 1999;10:2297–2300. doi: 10.1097/00001756-199908020-00014. [DOI] [PubMed] [Google Scholar]
- SARNTHEIN J., PETSCHE H., RAPPELSBERGER P., SHAW G.L., VON STEIN A. Synchronization between prefrontal and posterior association cortex during human working memory. Proc. Natl. Acad. Sci. U.S.A. 1998;95:7092–7096. doi: 10.1073/pnas.95.12.7092. [DOI] [PMC free article] [PubMed] [Google Scholar]
- SCHMIDT C.J., FADAYEL G.M. The selective 5-HT2A receptor antagonist, M100907, increases dopamine efflux in the prefrontal cortex of the rat. Eur. J. Pharmacol. 1995;273:273–279. doi: 10.1016/0014-2999(94)00698-7. [DOI] [PubMed] [Google Scholar]
- SEBBAN C., TESOLIN B., SHVALOFF A., LE ROCH K., BERTHAUX P. Age-related variation of EEG responses to clonidine, prazosin and yohimbine in rats. Med. Biol. 1987;65:255–260. [PubMed] [Google Scholar]
- SEBBAN C., ZHANG X.Q., TESOLIN-DECROS B., MILLAN M.J., SPEDDING M. Changes in EEG spectral power in the prefrontal cortex of conscious rats elicited by drugs interacting with dopaminergic and noradrenergic transmission. Br. J. Pharmac. 1999a;128:1045–1054. doi: 10.1038/sj.bjp.0702894. [DOI] [PMC free article] [PubMed] [Google Scholar]
- SEBBAN C., TESOLIN-DECROS B., MILLAN M.J., SPEDDING M. Contrasting EEG profiles elicited by antipsychotic agents in the prefrontal cortex of the conscious rat: antagonism of the effects of clozapine by modafinil. Br. J. Pharmac. 1999b;128:1055–1063. doi: 10.1038/sj.bjp.0702893. [DOI] [PMC free article] [PubMed] [Google Scholar]
- SEBBAN C., TESOLIN-DECROS B., SPEDDING M.Two drugs' interaction on EEG: results concerning noradrenergic, dopaminergic and neuroleptic compounds Electrophysiological brain research in preclinical and clinical pharmacology and related fields – an update 2000Karger; 69–79.ed. Saletu, B., Krijzer, F., Ferber, G. & Anderer, P. pp [Google Scholar]
- SHANABROUGH W.M., LERANTH C., ALREJA M. Cholinergic excitation of septohippocampal GABA but not cholinergic neurons: implications for learning and memory. J. Neurosci. 2000;20:3900–3908. doi: 10.1523/JNEUROSCI.20-10-03900.2000. [DOI] [PMC free article] [PubMed] [Google Scholar]
- SIAPAS A.G., LEE A.K., LUBENOV E.V., WILSON M.A. Prefrontal phase-locking to hippocampal theta oscillations. Am. Soc. Neurosci. Abs. 2000. p. 467.1. [DOI] [PubMed]
- STERIADE M., AMZICA F., NUNEZ A. Cholinergic and noradrenergic modulation of the slow (≈0.3 Hz) oscillation in neocortical cells. J. Neurophysiol. 1993a;70:1385–1400. doi: 10.1152/jn.1993.70.4.1385. [DOI] [PubMed] [Google Scholar]
- STERIADE M., DATTA S., PARE D., OAKSON G., DOSSI R.C. Neuronal activities in brain-stem cholinergic nuclei related to tonic activation processes in thalamocortical systems. J. Neurosci. 1990a;10:2541–1559. doi: 10.1523/JNEUROSCI.10-08-02541.1990. [DOI] [PMC free article] [PubMed] [Google Scholar]
- STERIADE M., DOSSI R.C., PARE D., OAKSON G. Fast oscillation (20–40 Hz) in thalamocortical system and their potentiation by mesopontine cholinergic nuclei in the cat. Neurobiol. 1991;88:4396–4400. doi: 10.1073/pnas.88.10.4396. [DOI] [PMC free article] [PubMed] [Google Scholar]
- STERIADE M., GLOUR P., LLINAS R.R., SILVA F.H.L., MESULAM M.M. Basic mechanism of cerebral rhythmic activities. Electroencephalogr. Clin. Neurophysiol. 1990b;76:481–508. doi: 10.1016/0013-4694(90)90001-z. [DOI] [PubMed] [Google Scholar]
- STERIADE M., MCCORMICK D.A., SEJNOWSKI T.T. Thalamocortical oscillations in the sleeping and arousal brain. Science. 1993b;262:679–685. doi: 10.1126/science.8235588. [DOI] [PubMed] [Google Scholar]
- STERIADE M., NUNEZ A., AMZICA F. Intracellular analysis of relations between the slow (1Hz) neocortical oscillation and other sleep rhythms of the electroencephalogram. J. Neurosci. 1993c;13:3266–3283. doi: 10.1523/JNEUROSCI.13-08-03266.1993. [DOI] [PMC free article] [PubMed] [Google Scholar]
- SVENSSON T.H. Dysfunctional brain dopamine systems induced by psychotomimetic NMDA-receptor antagonists and the effects of antipsychotic drugs. Brain Res. Rev. 2000;31:320–329. doi: 10.1016/s0165-0173(99)00048-x. [DOI] [PubMed] [Google Scholar]
- TAKAHATA R., MOGHADDAM B. Glutamatergic regulation of basal and stimulus-activated dopamine release in the prefrontal cortex. J. Neurochem. 1998;71:1443–1449. doi: 10.1046/j.1471-4159.1998.71041443.x. [DOI] [PubMed] [Google Scholar]
- TASSIN J.P., TROVERO F., HERVE D., BLANC G., GLOWINSKI J. Biochemical and behavioural consequences of interactions between dopaminergic and noradrenergic systems in rat prefrontal cortex. Neurochem. Int. 1992;20:S225–S230. doi: 10.1016/0197-0186(92)90243-k. [DOI] [PubMed] [Google Scholar]
- TOMITA H., HIKJI M., FUJIWARA Y., AKIYAMA K., OTSUKI S. Changes in dopamine D2 and GluR-1 glutamate receptor mRNAs in the rat brain after treatment with phencyclidine. Acta Med. Okayama. 1995;49:61–68. doi: 10.18926/AMO/30393. [DOI] [PubMed] [Google Scholar]
- UNGERLEIDER L.G. Functional brain imaging studies of cortical mechanisms for memory. Science. 1995;270:769–775. doi: 10.1126/science.270.5237.769. [DOI] [PubMed] [Google Scholar]
- VARTY G.B., BAKSHI V.P., GEYER M.A. M100907, a serotonin 5-HT2A receptor antagonist and putative antipsychotic, blocks dizolcipine-induced prepulse inhibition deficits in Sprague-Dawley and Wistar rats. Neuropsychopharmacol. 1999;20:311–321. doi: 10.1016/S0893-133X(98)00072-4. [DOI] [PubMed] [Google Scholar]
- VERMA M., MOGHADDAM B. NMDA receptor antagonists impair prefrontal cortex function as assessed via spatial delayed alternation performance in rats: modulation by dopamine. J. Neurosci. 1996;16:373–379. doi: 10.1523/JNEUROSCI.16-01-00373.1996. [DOI] [PMC free article] [PubMed] [Google Scholar]
- VIZI E.S., MIKE A., TARNAWA I. 2,3-benzodiazepines (GYKI 52466 and analogs): negative allosteric modulators of AMPA receptors. CNS Drug Rev. 1996;2:91–126. [Google Scholar]
- WANG R.Y., LIANG X. M100907 and clozapine, but not haloperidol or raclopride, prevent phencyclidine-induced blockade of NMDA responses in pyramidal neurons of the rat medial prefrontal cortical slice. Neuropsychopharmacology. 1998;19:74–85. doi: 10.1016/S0893-133X(98)00003-7. [DOI] [PubMed] [Google Scholar]
- WEINBERGER D.R. Implications of normal brain development for the pathogenesis of schizophrenia. Arch. Gen. Psychiat. 1987;44:660–669. doi: 10.1001/archpsyc.1987.01800190080012. [DOI] [PubMed] [Google Scholar]
- WEINBERGER D.R. On the plausibility of ‘the neurodevelopment hypothesis' of schizophrenia. Neuropsychopharmacology. 1996;14:S1–S11. doi: 10.1016/0893-133X(95)00199-N. [DOI] [PubMed] [Google Scholar]
- WEINBERGER D.R., BERMAN K.F., ZEC R.F. Physiologic dysfunction of dorsolateral prefrontal cortex in schizophrenia: I. Regional cerebral flow evidence. Arch. Gen. Psychiat. 1986;43:114–125. doi: 10.1001/archpsyc.1986.01800020020004. [DOI] [PubMed] [Google Scholar]
- WEST W.B., LOU A., PECHERSKY K., CHACHICH M.E., APPEL J.B. Antagonism of a PCP drug discrimination by hallucinogens and related drugs. Neuropsychopharmacology. 2000;22:618–625. doi: 10.1016/S0893-133X(99)00163-3. [DOI] [PubMed] [Google Scholar]
- WHARTON C.M., GRAFMAN J. Deductive reasoning and the brain. Trends Cognit. Sci. 1998;2:54–59. doi: 10.1016/s1364-6613(98)01122-x. [DOI] [PubMed] [Google Scholar]
- WOZNIAK D.F., BROSNON-WATTERS G., NARDI A., MCEWEN M., CORSTO T.D., OLNEY J.W., FIX A.S. MK-801 neurotoxicity in male mice: histologic effects and chronic impairments in spatial learning. Brain Res. 1996;707:165–179. doi: 10.1016/0006-8993(95)01230-3. [DOI] [PubMed] [Google Scholar]
- YAMAMOTO J. Cortical and hippocampal EEG power spectra in animal models of schizophrenia produced with methamphetamine, cocaine, and phencyclidine. Psychopharmacology. 1997;131:379–387. doi: 10.1007/s002130050306. [DOI] [PubMed] [Google Scholar]
- YOUNG K.A., MANAYE K.F., LIANG C.L., HICKS P.B., GERMAN D.C. Reduced number of mediodorsal and anterior thalamic neurons in schizophrenia. Biol. Psychiat. 2000;47:944–953. doi: 10.1016/s0006-3223(00)00826-x. [DOI] [PubMed] [Google Scholar]
