Abstract
A sequence of behaviors consisting of appropriate responses, inappropriate responses, or a combination of both can be linked together in a behavior chain. Several operant processes may disrupt behavior chains. For example, one or more members of the behavior chain may be affected when reinforcement is withheld for the last response in the chain (extinction), when the last response is reinforced even if it occurs without the other responses in the chain (unchaining), or when access to the terminal reinforcer is available independent of responding (satiation). However, few studies have examined the effects of these types of procedures on responding that occurs in the context of behavior chains. The purpose of this study was to examine the effects of three clinically relevant procedures and processes (i.e., extinction, satiation, and unchaining) on behaviors that occur as part of a behavior chain. Overall, extinction and satiation resulted in a decrease in both responses in the chain. During the unchaining procedure, decreases were observed in the first response in the chain but not in the second response.
Keywords: behavior chain, response chain, extinction, satiation
A behavior chain is a sequence of responses that are functionally linked to the same terminal reinforcer. Many skills taught to individuals with developmental disabilities consist of behavior chains, such as washing clothes, drinking from a cup, and following picture-activity schedules (e.g., Hagopian, Farrell, & Amari, 1996; MacDuff, Krantz, & McClannahan, 1993; McDonnell & McFarland, 1988). Prompts and reinforcement are used to teach each response in the chain in a manner that ensures that the sequence of behaviors operates as a functional unit.
Behavior chains also can be shaped inadvertently by the social environment. These chains may consist of appropriate responses, inappropriate responses, or a combination of both. For example, suppose a small child must use a step stool to reach the sink and wash her hands. Initially, a parent may move the stool over to the sink (first step in the chain) and then help the child get up on the stool (second step in the chain). The next time the child tries to wash her hands, the parent may help the child move the step stool but then may move away to do something else, and the child may climb on the stool by herself. Finally, the child may move the stool to the sink and climb on it without any assistance. In this example, a sequence of behaviors that involves moving a stool and stepping on it is established in a chain.
Several inappropriate responses may get established as a chain if an adult differentially reinforces a sequence of inappropriate behavior. Suppose that a child initially receives attention from an adult when he throws his toys but that, over time, the adult becomes less likely to deliver attention unless toy throwing is followed by additional problem behavior, such as hitting a sibling. In this scenario, a chain involving throwing toys and hitting may become established. Inappropriate behavior also could become established in a chain with appropriate behavior. For example, suppose a child's scream brings his mother into the room. Once the mother is in the room, the child smiles at his mother and receives a hug. In this example, an inappropriate behavior (i.e., screaming) is established in a chain with an appropriate behavior (i.e., smiling), with attention as reinforcement at the end of the chain. Behavior chains that consist of appropriate and inappropriate behavior have been anecdotally reported in several studies on functional communication training (FCT) (Fisher et al., 1993; Wacker et al., 1990). Problem behavior was reported to occur immediately prior to the communication response, which was reinforced, thereby strengthening the behavior chain.
However, few studies have directly examined how these types of behavior chains may become established or disrupted in applied settings. In one notable exception, Horner, Wuerch, and Boomer (1981) examined the effects of extinction on the performance of vocational response chains among 3 individuals with severe mental retardation. Participants performed more slowly during extinction than during baseline (especially during the first steps in the chain) and took longer to initiate the chain, but responding was not completely extinguished for any of the participants. Thus, it appears that the chain was maintained by an unknown source of reinforcement. Treating problem behavior that appeared to be a member of a response chain also has been examined in a few studies (e.g., Kohlenberg, 1970; Zlutnick, Mayville, & Moffat, 1975). For example, Fisher, Lindauer, Alterson, and Thompson (1998) hypothesized that the property destruction of 2 children was maintained by access to preferred materials, which then served to occasion and reinforce stereotypic behavior. Noncontingent delivery of previously broken items decreased property destruction. The results supported the response-chain hypothesis because the children continued to engage in the second response (stereotypy) when the first response (property destruction) was no longer necessary to receive the terminal reinforcer (the automatic reinforcer associated with stereotypy).
Michael (2000) described a simple behavior chain and procedures that might disrupt the chain. In this chain, the first response (R1) turned on an auditory stimulus (a tone). In the presence of the tone, a second response (R2) resulted in delivery of food (reinforcer) and termination of the tone. The tone, because of its relation to food, functioned as conditioned reinforcement for R1 and as a discriminative stimulus (SD) for R2. According to Michael, two procedures that directly target R2 also should alter R1. Allowing free access to large amounts of food prior to sessions (i.e., satiation) would likely decrease the effectiveness of food as reinforcement. R2 is expected to decrease because of the functional relation between the response and food reinforcement. However, R1 also may decrease because the effectiveness of the tone as a conditioned reinforcer in the chain depends on its association with food. Processes that alter the effectiveness of the primary reinforcer should alter the effectiveness of the conditioned reinforcer. Withholding food reinforcement for (i.e., extinguishing) R2 also should alter both R1 and R2. R2 should decrease because the response–reinforcer relation would be broken. R1 also should decrease because the tone would no longer be paired with food.
A third procedure described by Michael (2000) would disrupt R1 but not R2. Under this procedure, R2 would continue to produce food when the tone was present, but R2 would also produce food just as often when the tone was absent. According to Michael, R1 would decrease because the tone, no longer differentially paired with food, would not function as a conditioned reinforcer or as an SD. However, R2 would remain unchanged because it would continue to produce the terminal reinforcer. Michael did not name this procedure, but it will be referred to as unchaining here.
The procedures described by Michael (2000) and the resulting effects on responses in a chain have important clinical implications. One or more members of a behavior chain may be inadvertently extinguished if caregivers begin to withhold reinforcement for the terminal response even though earlier responses in the chain continue to produce conditioned reinforcers. For example, appropriate behavior that occurs in a chain with inappropriate behavior may be inadvertently eliminated when problem behavior is exposed to treatment. In Shirley, Iwata, Kahng, Mazaleski, and Lerman (1997), self-injurious behavior (SIB) and independent communication responses decreased simultaneously for 1 participant when SIB was exposed to extinction. The authors hypothesized that SIB and communication formed a response chain and that the FCT response was inadvertently extinguished when SIB underwent extinction. Similar problems could occur for other types of response chains. For example, if a series of appropriate behaviors are inadvertently linked in a chain and the contingencies change for just some members of the chain (e.g., if a new caregiver begins to reinforce the terminal response whether or not it followed earlier responses in the chain), earlier appropriate behaviors could be eliminated. A similar detrimental effect might occur due to satiation if the individual periodically receives free access to the terminal reinforcer. Thus, further understanding of the factors that affect response chains would be helpful in determining the possible nature of these problems and for developing improved treatments for problem behavior that occurs in the context of response chains.
Although applied research on behavior chains is limited, basic studies may provide some insight into how responses that occur within chains may be affected by the procedures discussed by Michael (2000). Basic findings often indicate that responses in the early part of a chain are disrupted more readily than responses later in the chain, possibly because of the temporal delay between the early responses and the terminal reinforcer (Mazur, 2002). For example, studies of the effects of satiation on responding in two-response chains found greater decreases during the initial link of the chain (Malott, 1966; Mandell, 1980). However, simultaneous decreases in responding during both links of the chain were observed with repeated exposure to satiation procedures (Fischer & Fantino, 1968). The effects of extinction on chain schedules (i.e., withholding the terminal reinforcer) have been inconsistent. That is, studies have reported that responding in both links decreased similarly (Mansfield & Rachlin, 1970), that responding in the first link of the chain schedule decreased more rapidly and to a greater degree than responding in the second link (Catlin & Gleitman, 1973), and that earlier behaviors in the chain persisted longer than behaviors closest to the terminal reinforcer, perhaps due to a conditioned reinforcement effect (Fantino, 1965). The disparities in studies of extinction in behavior chains have not been resolved.
The translation of basic findings on response chains to application is difficult because few basic studies have examined the types of heterogeneous chains that commonly occur in clinical settings. In heterogeneous chains, each response is topographically different and is maintained on a continuous reinforcement schedule. Most basic studies have examined homogeneous response chains in the context of chain schedules, in which the same response topography (e.g., key peck) is emitted in each link of the chain and is maintained under intermittent reinforcement schedules. Differences in responding under heterogeneous and homogenous chains have been reported (e.g., D'Andrea, 1969). Thus, further research is needed on processes that may disrupt heterogeneous chains.
For the series of experiments in this study, a two-response chain was established to evaluate the procedures (i.e., extinction, satiation, unchaining) described by Michael (2000). An applied analogue was used to better understand the clinical implications of laboratory findings on the disruption of behavior chains (i.e., changes in the level or direction of one or both members of a response chain relative to baseline). This approach is useful as a first step in translating basic findings to applied concerns (e.g., treatment of problem behavior; Roscoe, Iwata, & Rand, 2003). The behavior chain consisted of a response (R1) (signing “open”) that resulted in a small box opening and a food reinforcer being displayed. In the presence of the food reinforcer, another response (R2) (e.g., signing “eat”) resulted in delivery of reinforcement (a small piece of a preferred food item). Thus, the open box (or food display) presumably functioned as a conditioned reinforcer for R1 and as an SD for R2. It was expected that both members of the chain would decrease under the satiation and extinction procedures but that one response might decrease more rapidly. It was also expected that only R1 would decrease under the unchaining procedure.
General Method
Participants and Setting
Five children participated in the study. Teachers or caregivers referred the children after receiving information about the study. Bonnie was a 4-year-old girl who had been diagnosed with autism. She communicated by shaking her head, pointing at objects, and pulling people, and she exhibited one vocal response (“no”). She received speech services at school twice weekly with a speech therapist who reported that sign training had been unsuccessful. Bonnie participated in the extinction and unchaining studies. Leroy was a 4-year-old boy who had been diagnosed with developmental delays. He communicated by pointing at objects and pulling people. Leroy had no prior exposure to sign training. He participated in one of the three experiments. He did not participate in the other two experiments because his family was no longer able to transport him to the study setting. Timmy was a 3-year-old boy with Down syndrome who attended an early intervention preschool for children with developmental disabilities. At school, he communicated by shaking his head “yes” and “no,” pointing at objects, and pulling people. His speech therapist and his special education preschool teacher reported that they had unsuccessfully attempted sign training with Timmy and that he did not engage in any signing at school. His mother reported that he communicated at home using several signs, but that the signs used in this study were not in his signing repertoire. He participated in two of the experiments. He did not participate in the third experiment because the school session ended and he was then unavailable for sessions. Don was an 11-year-old boy who had been diagnosed with autism, obsessive-compulsive disorder, disruptive behavior disorder, seizure disorder, and mental retardation (level unspecified). He was an inpatient on a unit for children with severe behavior problems where he was receiving treatment for SIB. He communicated by pointing at objects and pulling people. He used a “flip-n-talk” book during speech therapy and at his school. Don received speech therapy during his admission and learned to use a few signs over the course of this study (i.e., “no,” “finished,” and “more”), but no outside instruction was provided on the signs used in this study. He participated in all three experiments. Sammy was a 10-year-old boy who had been diagnosed with autism, mood disorder (not otherwise specified; NOS), disruptive behavior disorder (NOS), moderate mental retardation, and attention deficit hyperactivity disorder. He was an inpatient on the same unit as Don, where he was receiving treatment for severe self-injury, aggression, and disruptive behavior. He had no reliable method of communication. He participated in two of the experiments. He was discharged from the inpatient unit before he could participate in the third experiment.
Bonnie's sessions were conducted in the school library, cafeteria, and a small room in a building that housed a university-based summer program. The library contained one large table, a small table, several chairs, bookcases, and books. The cafeteria contained approximately 15 long tables with child-sized chairs, a water fountain, and an opening in the wall for food service. The small room in the campus building contained a small table and several chairs. Timmy's sessions also were conducted in the cafeteria at his school. Leroy's sessions were conducted in an empty classroom at his early intervention program. The classroom contained a small table with chairs, a teacher's desk, a changing table, bookcases with toys and books on them, and two toy boxes. Don's sessions were conducted in a bedroom on the inpatient unit. The bedroom contained two hospital beds, a small table, two dressers, and several chairs. Sammy's sessions were conducted in a multipurpose room on the inpatient unit. The room contained several tables and chairs, cabinets, plastic bins with toys, and a sink.
Response Measurement and Reliability
Communication responses, which consisted of manual signs for “open” and either “eat” or a specific food name (e.g., “popcorn”), were defined on an individual basis after consulting with parents, speech therapists, and educators. Leroy, Sammy, Don, and Bonnie had never successfully learned any manual signs prior to this study. Therefore, a more general sign (“eat”) rather than a specific food name was chosen so that these participants would be able to request multiple food items after the conclusion of the study. For Bonnie and Don, this consisted of placing the pointer finger, middle finger, and thumb together and touching them to the lips, which is the sign for “eat” specified in the American Sign Language (ASL) dictionary. During training, Leroy and Sammy had difficulty acquiring the ASL sign for “eat”; therefore, a less complex sign was taught. This sign consisted of the child pointing to the mouth with the pointer finger. Timmy's sign for popcorn was the ASL sign for “popcorn,” which consisted of raising the pointer finger on one hand in the air followed by raising the pointer finger on the other hand and repeating the motion once or twice. If he stopped and restarted the motion, data collectors recorded it as a new occurrence of the response. The specific food name was chosen for Timmy because he had previously learned several signs but had not been taught the sign for popcorn.
For Bonnie, Timmy, and Don, the sign for “open” was similar to the ASL sign for “open.” This sign consisted of placing their hands together (palm side) and then moving them apart like they were opening a book. Leroy and Sammy were taught a less complex sign consisting of tapping the box with one finger after they had difficulty learning the “open” sign.
The experimenter's behaviors consisted of programmed responses to the child's behavior. Specifically, if a child signed “open,” the experimenter opened a box and displayed the food item. Next, if the child signed “eat,” the experimenter delivered a small piece of the food item. Therefore, the experimenter's behavior consisted of displaying the reinforcer and delivering the reinforcer within 5 s of the child's behavior.
During initial communication training, communication responses were scored as independent or prompted. Independent responses were defined as communication responses that occurred prior to a prompt from the therapist. Prompted communication responses were defined as responses that followed a prompt within 10 s. Following training, independent communication responses were scored as appropriate or inappropriate. Appropriate communication was defined as a response that occurred when the relevant SD was present and would result in reinforcement under the current stimulus conditions (i.e., signing “open” when the box was closed; signing “eat” when the box was open; signing “eat” when the box was closed for the unchaining condition only). During the extinction condition, appropriate communication was defined as a response that occurred when the relevant SD was present and that had resulted in reinforcement in the same situation during baseline. Inappropriate communication was defined as a response that occurred in the absence of the relevant SD and would not result in reinforcement under the current stimulus conditions (e.g., signing “open” when the box was already open; signing “eat” when the box was closed, with the exception of the unchaining condition). R1 was considered appropriate as long as the SD (closed box) was present, and R2 was considered appropriate as long as the SD (open box) was present and any time during the unchaining condition. Discrimination indexes also were calculated across all phases of the study by dividing the number of appropriate responses by the number of appropriate responses plus inappropriate responses. (Data on the frequency of inappropriate responses and the discrimination indexes are not presented here but are available from the first author.)
Trained observers collected data on child and experimenter behavior using paper data sheets during training and laptop computers during all subsequent sessions. Data on communication responses and reinforcer (food) delivery were collected using frequency recording. Data on reinforcer display (open box) were collected using duration recording.
A second observer recorded responding during 41% and 33% of extinction and unchaining sessions, respectively, for Bonnie. A second observer recorded responding during 35% and 46% of extinction and unchaining sessions, respectively, for Timmy. A second observer recorded responding during 56% of satiation sessions for Leroy. A second observer recorded responding during 34% and 49% of sessions during satiation and extinction, respectively, for Sammy. For Don, a second observer recorded responding during 47%, 35%, and 38% of satiation, extinction, and unchaining sessions, respectively.
Mean percentage of interobserver agreement was calculated using the exact agreement method. Sessions were divided into 10-s intervals. Agreement was defined as both observers agreeing on the number of times the behavior occurred in any given interval. Disagreement was defined as a discrepancy between the observers in any given interval. The number of agreements was divided by the number of agreements plus disagreements, and the resulting value was multiplied by 100%. Mean percentage of agreement for the extinction and unchaining evaluations for Bonnie was 92% (range, 61% to 100%) and 96% (range, 91% to 100%), respectively. Mean percentage of agreement for the satiation evaluation for Leroy was 97% (range, 89% to 100%). For Timmy, the mean percentage of agreement for the extinction and unchaining evaluations was 95% (range, 85% to 100%) and 93% (range, 67% to 100%), respectively. Mean percentage of agreement for the satiation and extinction evaluations for Sammy was 97% (range, 78% to 100%) and 98% (range, 75% to 100%), respectively. For Don, the mean percentage of agreement for the satiation, extinction, and unchaining evaluations was 97% (range, 80% to 100%), 97% (range, 87% to 100%), and 96% (range, 75% to 100%), respectively.
Preference Assessment
A paired-choice preference assessment was conducted with each participant to identify preferred foods (e.g., Fisher et al., 1992). Ten to 16 food items were identified via caregiver interview. The items were presented in pairs until all possible pairs had been presented. If the child chose one of the items, the item was given to the child. If no choice was made, the pair was re-presented. A hierarchy of preference was then calculated by dividing the number of times an item was chosen by the total number of times it was presented and multiplying by 100%. Items identified as highly preferred from the preference assessment were used in the subsequent studies as the primary reinforcer. The item chosen to be the primary reinforcer for Bonnie and Timmy was popcorn. The items chosen for Leroy, Sammy, and Don were candy, peanut butter and cheese crackers, and oatmeal pies, respectively. However, prior to the experimental manipulations described below, 2 children took many sessions to acquire the responses from the onset of the initial training sessions, and they began to consume the reinforcers slowly or not at all. For each child, caregivers suggested an alternative item that was substituted for the original items. Caregivers did not report multiple new items; therefore, new paired-choice preference assessments were not conducted. Sammy began receiving cheese puffs, and Don began receiving grapes. Responding for both children increased when the change was made, indicating that the items functioned as reinforcers, and training continued with the new item.
Communication Assessment
A communication assessment was conducted with each child to obtain a baseline level of the targeted behaviors prior to training and to identify communication responses that were and were not in the child's repertoire. The child was seated in a chair next to a table or desk. A small box containing the child's preferred food was placed on the table or the desk. The therapist showed the child that the food item was in the box and then closed the lid. If the child communicated appropriately (e.g., signed “open,” said “please”), the therapist opened the box. Appropriate communication was defined as any attempt to communicate to open the box using speech, sign language, or recognizable gestures. If the child made an appropriate response, the box remained open for 1 min or until the child communicated for the food. The food was given to the child if the child communicated appropriately (e.g., said “eat,” signed “eat” or the name of the food). Appropriate communication was defined as any attempt to communicate to eat using speech, sign language, or recognizable gestures. No child exhibited appropriate communication during the communication assessment. However, several children attempted to open the box themselves. These attempts were blocked. Sammy and Leroy, who were subsequently taught to tap the box during training, touched the box but did not tap on it during the assessment.
Initial Chain Training
Two communication responses were taught using a backward chaining procedure during 10-min sessions. All appropriate responses were ignored with the exception of those responses identified as R1 (“open”) and R2 (“eat” or “popcorn”). All inappropriate behavior was ignored. R2 was taught first. The reinforcer was visible to establish the presence of the reinforcer as an SD for communication. The correct response (R2) was prompted every 5 s (timing began following presentation of the reinforcer). The prompt delay increased by 5 s every 10 trials. A three-step prompting procedure, consisting of a verbal prompt, a verbal prompt with a model, and a physical prompt, was used. The verbal prompt consisted of a verbal statement (e.g., “sign eat”). The verbal prompt with a model consisted of a verbal statement and a demonstration of the response (e.g., “sign eat like this” while modeling the response). The physical prompt consisted of physical guidance to complete the correct response. The prompts were gradually faded by first eliminating the physical prompt, then the model prompt, and eventually the verbal prompt. The physical prompts were discontinued when the verbal prompt delay reached 60 s, the model prompt was discontinued when the verbal prompt delay reached 120 s, and all prompts were discontinued when the delay reached 180 s or when the child communicated independently five consecutive times for two consecutive sessions. This procedure was used to fade prompts for all children except Sammy, who failed to acquire independent communication responses as the prompts were faded. Therefore, prompts were faded more slowly. The most intrusive level of prompting was eliminated following two consecutive sessions during which that level of prompting was not needed (e.g., the physical prompt was eliminated following two consecutive sessions during which physical prompts were not delivered because the child displayed the response following less intrusive prompts) until Sammy independently displayed the sign. The reinforcer (a small piece of food) was delivered contingent on the correct response (independent or prompted). Training for R2 was terminated when the child independently displayed the response five consecutive times for two consecutive sessions.
Next, R1 was taught in the context of a chain. During training, the food was in a small box. Communication to open the box (R1) was prompted every 5 s. Timing began after the reinforcer was placed in the box and the box was closed. The experimenter used the prompts and prompt-fading procedure described above. Contingent on R1, the box was opened, and the reinforcer was displayed. The experimenter then waited for R2. Contingent on R2, a small piece of food was delivered, and the remaining food was returned to the box. A trial ended (i.e., the food was returned to the box) when R2 occurred or if R2 did not occur within 1 min of R1. (The previously trained R2 was never prompted during these sessions.) All inappropriate communication responses (i.e., responding for the reinforcer before the box was opened and the reinforcer was displayed; responding to open the box when it was already open) and all other responses were ignored. Training was terminated when the participant independently displayed R1 five consecutive times for two consecutive sessions.
Experimental Design
The effects of satiation (Experiment 1), extinction (Experiment 2), and unchaining (Experiment 3) on the response chain were evaluated in a reversal design with the exception of the unchaining evaluation for Bonnie, which was conducted in an AB design. Each child participated in one, two, or three experiments (depending on the child's availability) in a different order. Bonnie first participated in the experiment on unchaining, followed by the extinction experiment. Leroy participated in the satiation experiment only. Timmy participated in the unchaining experiment first and then the extinction experiment. Sammy participated in the satiation experiment and then the extinction experiment. Don first participated in the extinction experiment, followed by the unchaining and the satiation experiments.
General Procedure
All sessions were 10 min. All appropriate responses were ignored, with the exception of those responses identified as R1 and R2. All inappropriate communication responses (i.e., communicating for the food before the box was opened and responding to open the box when it was already open) were ignored. All inappropriate behavior was ignored. There were no differential consequences for repeated responses (i.e., they were ignored). Prior to each session (i.e., before data collection began), the children were prompted to perform the chain to expose them to the contingencies in effect for the session.
Experiment 1: Effects of Satiation on the Chain
Method
Participants
Leroy, Sammy, and Don participated.
Baseline
Procedures were identical to those implemented in R1 training sessions, but no prompts were delivered. That is, the food was placed in a small box on a table or chair next to the child. Contingent on R1 (“open”), the experimenter opened the box, and the food was displayed. Contingent on R2 (“eat”), the experimenter delivered a small piece of food to the child, placed the remaining food back in the box, and closed the box. If R2 did not occur within 1 min of R1, the box was closed. The child was then required to display R1 again before R2 to receive food. This phase continued until less than one inappropriate R2 occurred per minute and responding was stable for three consecutive sessions.
Satiation
Prior to this phase, a satiation assessment was conducted in which the participant had continuous noncontingent access to the food reinforcer. The amount of time that passed until the participant stopped consuming the item for 5 min was determined, and all presession satiation periods were set at this duration. However, Don did not stop consuming the reinforcer after 30 min of access during the assessment. Due to concerns about excessive food consumption, 30 min was used as his satiation period. The presession satiation periods for Leroy, Sammy, and Don were 25, 26, and 30 min, respectively. Prior to each session, the child was given free access to the reinforcer for the duration of these satiation periods. No more than two sessions were conducted following one presession satiation period to control for the amount of time that passed between the satiation period and sessions. With the exception of the presession access to the reinforcer, sessions were identical to baseline sessions. The purpose of this condition was to evaluate the effects of satiation on R1 (communicating to open the box) and R2 (communicating for food).
Results
Frequency of independent appropriate “eat” and “open” responses during the satiation evaluation are depicted in Figure 1. Presession access to the terminal reinforcer suppressed the response chain for these participants. Substantial reductions in “open” and “eat” responses were observed within the first few satiation sessions, and a decreasing trend in these responses was observed across some of the satiation phases. For Leroy and Sammy, “eat” (R2) decreased slightly more than “open” (R1) in the initial satiation phase, and both responses decreased to similar levels during the second satiation phase. For Don, R1 and R2 decreased simultaneously during both satiation phases.
Figure 1. Frequency of appropriate “open” and “eat” responses during the satiation evaluation for Leroy (top), Sammy (middle), and Don (bottom).
A procedural modification was made for Sammy after responding did not increase during the first session of the second baseline phase. Thirty prompted trials were conducted to determine if the food still functioned as a reinforcer. For these trials, the therapist used a three-step procedure to prompt Sammy to engage in the chain “open-eat.” Across the prompted trials, Sammy began to engage in the chain with less assistance and was independently exhibiting the chain by the end of the 30 trials. (Data collected during these trials are not displayed in Figure 1.) Following these prompted trials, baseline sessions resumed, and both responses increased immediately. Because prompted trials were conducted at the beginning of the second baseline phase, baseline probe sessions were alternated with satiation sessions during the second satiation phase. These sessions were 5 min and were identical to the baseline sessions described above. One baseline probe session was conducted per day prior to the presession satiation period. Responding during the baseline probes was high and consistent with that from the previous phases, indicating that presession access to the reinforcer decreased the effectiveness of food and the sight of the food and open box as reinforcers.
Experiment 2: Effects of Extinction on the Chain
Method
Participants
Bonnie, Timmy, Don, and Sammy participated.
Baseline
Baseline was identical to that in Experiment 1.
Extinction
Procedures were identical to those implemented in the baseline sessions with one exception. R1 (“open”) resulted in the box opening, but the box was closed and no food was delivered contingent on R2 (“eat” or “popcorn”). The purpose of this condition was to examine the effects of extinction of R2 (i.e., communicating for food) on both R1 (i.e., communicating to open the box) and R2.
Results
The frequency of independent appropriate “open” and “eat” (or “popcorn” for Timmy) responses during the extinction evaluation are depicted in Figures 2 and 3. Overall, extinction resulted in immediate decreases in both members of the response chain for the 4 participants. In addition, R2 (“eat”) decreased to zero more quickly than R1 (“open”) for 2 of the participants (Bonnie and Sammy). In fact, “open” was never completely extinguished for Sammy during the first extinction phase. This pattern of responding was replicated in the second extinction phase for Bonnie. For the other 2 participants (Don and Timmy), both esponses were similarly influenced by extinction.
Figure 2. Frequency of appropriate “open” and “eat” (“popcorn” for Timmy) responses during the extinction evaluation for Bonnie (top) and Timmy (bottom).
Figure 3. Frequency of appropriate “open” and “eat” responses during the extinction evaluation for Don (top) and Sammy (bottom).
During Timmy's initial baseline phase, a three-response chain (“popcorn-open-popcorn”) appeared to become established inadvertently. This accounts for the higher level of “popcorn” responses relative to “open” responses during the first half of the baseline (see Figure 2). Thus, baseline sessions were temporarily discontinued after Session 12, and 15 retraining sessions were conducted. During retraining, inappropriate “popcorn” responses (i.e., those that occurred prior to “open”) were blocked, and only the chain “open-popcorn” was reinforced. (Retraining sessions are not depicted in Figure 2.) These sessions continued until Timmy engaged in the correct response chain (i.e., “open-popcorn”) five consecutive times for two sessions. Following retraining (beginning with Session 13), both “open” and “popcorn” responses decreased initially and then increased.
Experiment 3: Effects of Unchaining on the Chain
Method
Participants
Bonnie, Timmy, and Don participated.
Baseline
Baseline was identical to those of Experiments 1 and 2.
Unchaining
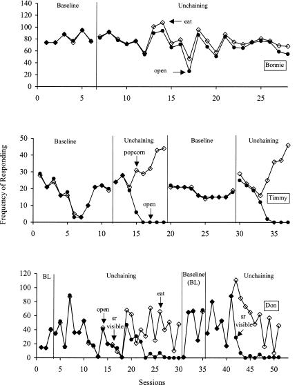
Procedures were identical to those in the baseline sessions with one exception. Reinforcement was delivered contingent on R2 regardless of when it occurred. That is, the child received a small piece of food contingent on completing the chain (i.e., R1, then R2) and contingent on R2 alone. Thus, R2 produced food regardless of whether the box was open. The purpose of this condition was to look at the effects of unchaining R1 (i.e., communicating to open the box) and R2 (i.e., communicating for food) on the response chain. Initially for all children, the reinforcer for signing “eat” (or “popcorn” for Timmy) outside the chain “open-eat” was placed behind the therapist's back, as well as in the box, so that the therapist could deliver the reinforcer without opening the box. Beginning with Session 16 (first unchaining phase) and Session 42 (second unchaining phase), the reinforcer was placed on a plate on the table in front of Don, next to the box containing additional reinforcers. The reinforcer on the plate was provided contingent on occurrences of the “eat” response outside the context of the chain (i.e., without the initial “open” response), and the reinforcer in the box was provided contingent on the chain “open-eat.” This modification was made following multiple unchaining sessions during which “eat” responses failed to occur outside the chain. The purpose was to determine if the presence of the food (the SD for “eat” in the chain) would set the occasion for “eat” responses outside the chain (see further discussion below).
Results
The frequency of independent appropriate “open” and “eat” or “popcorn” responses during the unchaining evaluation are depicted in Figure 4. Bonnie continued to exhibit the chain “eat-open” for an extended number of sessions. A 3-week school break postponed sessions after Session 27. Responding after the school break appeared to be confounded by the break and are not shown here. In contrast to Bonnie, Timmy allocated his responding exclusively to “popcorn” (R2) following three or four unchaining sessions. Thus, although Bonnie's response chain persisted across multiple sessions, Tim's behavior changed almost immediately. Don, who entered the study after Bonnie and Timmy, engaged in baseline levels of “open” and “eat” across multiple unchaining sessions (similar to Bonnie). Such persistence of the “open” response might occur if the “eat” response was under tight stimulus control of the presence of the food (the SD for R2). To examine this hypothesis, a modification was made to Don's procedures (i.e., food was placed in front of him) to determine if presenting the SD for “eat” would result in a change in responding. This manipulation was made during the 16th session of the initial unchaining phase and the sixth session of the second unchaining phase. For Don, providing the terminal reinforcer for R2, regardless of whether it was preceded by R1, resulted in a decrease in R1 (“open”) only after the terminal reinforcer was visible.
Figure 4. Frequency of appropriate “open” and “eat” (“popcorn” for Timmy) responses during the unchaining evaluation for Bonnie (top), Timmy (middle), and Don (bottom).
It is possible that the level of inappropriate “eat” or “popcorn” responses at the end of baseline (i.e., the number of responses that occurred when the box was closed) determined how quickly the unchaining procedure influenced the response chain. Compared to the other participants, Timmy rapidly switched from engaging in the two-response chain to R2 only during the unchaining phase. Timmy also engaged in the highest number of inappropriate “popcorn” responses during baseline (0 to 29). Bonnie engaged in very few inappropriate “eat” responses (2 to 3) during the last few baseline sessions compared to appropriate responses (74 to 95), and her responding was resistant to change during the unchaining phase. Don did not engage in any inappropriate “eat” responses during the last three sessions of both baseline phases, and his responding (prior to the procedural modification) was similar to that observed for Bonnie. Overall, these data suggest a potential relation between the level of inappropriate “eat” or “popcorn” (R1) prior to unchaining and the effects on the chain during unchaining.
General Discussion
The three procedures examined in this study (satiation, extinction, and unchaining) were associated with decreases in one or both members of a two-response behavior chain in 9 of the 10 cases. These findings were expected, given general knowledge of reinforcement and extinction effects. However, relative to satiation or extinction, the unchaining procedure took longer to disrupt the chain. In fact, unchaining did not occur following multiple sessions for 2 of 3 participants (Bonnie and Don). Somewhat unexpectedly, the second response in the chain decreased more rapidly than the first response in the chain for 2 of the 3 participants exposed to satiation (Leroy and Sammy) and for 2 of the 4 participants exposed to extinction (Bonnie and Sammy). However, this effect was replicated within subject for only 1 participant (Bonnie).
These results have a number of important implications for shaping, maintaining, and reducing responses that occur in the context of behavior chains. A behavior chain may be exposed to extinction (i.e., the terminal reinforcer may be withheld) when the terminal response cannot be reinforced (e.g., the reinforcer is unavailable or inconvenient to deliver in some situations) or if caregivers decide to deliberately withhold the reinforcer for the terminal response (e.g., the response is inappropriate or occurs too frequently). For example, if a child engaged in a chain of aggressive behavior consisting of arm grabbing and hair pulling, grabbing likely would decrease if hair pulling was treated with extinction.
Results of the extinction and satiation evaluations also have important implications when multiple appropriate responses occur in the context of a chain. For example, suppose an individual in a group home had acquired a chain of appropriate behavior such as hand washing (R1) and participating in food preparation (e.g., baking cookies) (R2). Food preparation (R2) would be expected to decrease if the individual (a) no longer received access to the prepared food due to a new diet (extinction) or (b) began to obtain free access to cookies prepared by other group-home residents (i.e., satiation). In both cases, hand washing (R1) also might decrease.
The implications of the unchaining evaluation are more difficult to draw because of the inconsistent findings across participants. Results for Timmy suggest that a behavior chain could be easily disrupted if reinforcement is provided for responses that occur outside the behavior chain. Suppose, for example, a child was taught to raise his hand (R1) and speak (R2) in a classroom where the contingencies were arranged such that reinforcement for R2 did not occur in the absence of R1. If the child attended a new classroom where reinforcement was delivered for completing the entire chain (raising hand, then speaking) or for completing the final step (speaking) alone, hand raising may rapidly decrease. Such effects would be beneficial when problem behavior occurs as part of a behavior chain. For example, suppose caregivers did not attend to a child's request for food unless the child engaged in self-injury first, inadvertently establishing a behavior chain consisting of self-injury (R1) and pointing to food (R2), which resulted in access to an edible item. Results for Timmy indicate that prompts and reinforcement for R2, regardless of whether it follows R1, should successfully decrease self-injury even if the chain continues to produce reinforcement.
However, for Bonnie and Don, R1 persisted in the unchaining phases even though reinforcement was available for R2 in the absence of R1. It is possible that the presence of food had acquired tight stimulus control over R2 during baseline, such that the participants rarely exhibited R2 in the absence of R1 during the unchaining condition (and, thus, rarely contacted the altered contingency). To evaluate this possibility, a procedural manipulation was included in Don's unchaining evaluation after responding had remained unchanged for numerous sessions. The food item available for signing “eat” alone (i.e., outside the chain “open-eat”) was placed on the table in front of him as well as in the box. He continued to receive food for signing “eat” alone and for engaging in the chain. It was hypothesized that the presence of the food (the SD for “eat” in the chain) would set the occasion for the response outside the chain. An increase in “eat” (R2) alone, along with a corresponding decrease in “open” (R1), was observed following this manipulation, but the precise role of this manipulation was not evaluated. R1 may have eventually decreased if Don had received lengthier exposure to the unchaining procedure. Although Bonnie's response chain remained unchanged across an extended number of sessions, her participation was terminated prematurely due to an unplanned school break. Thus, results of the unchaining evaluation must be interpreted with caution.
Results of the satiation and extinction evaluations are somewhat inconsistent with most of the basic findings in this area (Fischer & Fantino, 1968; Malott, 1966; Mandell, 1980). In most basic studies, responses in the early part of a chain were disrupted more readily than responses later in the chain. However, in this study, the terminal response was disrupted more readily than the initial response, a pattern that was replicated across participants. Nearly all basic studies on response chains examined homogeneous chains in the context of intermittent chain schedules, whereas heterogeneous chains were examined in the current study. Nonetheless, it should be noted that results are consistent with at least some basic studies. For example, Fischer and Fantino reported simultaneous decreases in responding during both links of a chain with repeated exposure to satiation. In addition, Morgan, Einon, and Morris (1977) reported that rats who were prefed prior to entering a maze continued to complete the initial responses in the chain at a rate similar to baseline, whereas the terminal responses decreased. Fantino (1965) found that when reinforcement was withheld in a concurrent-chains variable-interval fixed-ratio schedule, responding in the initial link continued to occur after responding had been extinguished in the terminal link.
A number of additional limitations should be noted. It is unclear whether R1 and R2 formed a true response chain or were simply part of a learned response sequence. In a response sequence, each response does not produce separate SDs for the next response, beyond the stimulus properties associated with engaging in the behavior per se. Thus, the responses are not necessarily dependent on each other but tend to occur in a particular order. It seems likely that the response patterns produced by the procedures discussed in this study (i.e., satiation, extinction, unchaining) would influence response sequences differently than response chains. This being the case, it is important to differentiate between response sequences and chains in further research. In the current study, results of the unchaining evaluation for Don provide some indication that the responses in the sequence were dependent on the separate stimulus conditions associated with each behavior. Specifically, Don continued to engage in the complete behavior chain until the SD for R2 was presented regardless of whether R1 had occurred.
For health reasons, a restricted amount of reinforcement was provided during the presession access periods in Experiment 1, placing limits on the satiation evaluation. Lengthier prefeeding periods may have resulted in greater reductions in responding. In addition, the effects of the first satiation condition appeared to carry over into the second baseline phase for Leroy, which is somewhat inconsistent with typical satiation effects. It is unknown whether the results of Experiment 1 would generalize to nonfood reinforcers, such as attention, activities, and tangible items. Additional weaknesses of the satiation study were that all of Leroy's phases were fairly brief, and Don's responding was quite variable during baseline. Nevertheless, reductions in behavior and trends observed across phases are consistent with the conceptualization of the results.
The extinction evaluation was limited in several respects as well. No responses occurred during the first three sessions of the second extinction phase for Timmy or Don, an outcome that is inconsistent with extinction effects. However, the participants were prompted to complete the chain of responses just prior to each session and were exposed to the contingency in effect. It is possible that this presession exposure along with previous exposure to extinction were responsible for the immediate reduction in responding. Other limitations are that Sammy's sessions were terminated before responding had been completely extinguished during the extinction study, and the second extinction phase for Timmy was relatively short. In addition, differences observed between R1 and R2 during the first extinction and satiation phases were replicated across subjects but not within subject. It is possible that sequence effects were responsible for the lack of replication.
The response chains established in this study also may have been unusually fragile (i.e., easily disrupted). As described previously, an inappropriate chain was inadvertently established with Timmy, and the chain was not readily reestablished during one of the reversals for Sammy. In addition, extinction resulted in relatively rapid reductions in responding. The fragility of the chains may be expected because the responses were maintained by continuous reinforcement, had fairly brief reinforcement histories, and sometimes occurred outside the context of the chain.
Overall, low levels of inappropriate responses were observed across participants, with a few exceptions. Specifically, higher levels of inappropriate “popcorn” responses were observed for Timmy during the first baseline phase of the extinction study and the second baseline phase of the unchaining study. Retraining was conducted during the first baseline of the extinction phase, after which inappropriate responding decreased. Inappropriate responding in the second baseline phase decreased across several sessions without any additional training. Inappropriate responding during the remaining phases of all studies for Timmy and across all phases for the other participants made up a very small proportion of overall responding (data available from first author). The generally low percentages of inappropriate responses during baseline suggested that the behavior chains were intact; however, perfect stimulus control was not always achieved. However, it seems highly likely that at least some proportion of responses would occur outside the context of an established behavior chain in applied settings.
Finally, because this study constitutes an initial bridge between basic and applied work on behavior chains, the generality of the findings to other types of chains (e.g., those consisting of problem behavior; lengthier or more complex chains) may be limited. Nonetheless, the brief chains examined in the study were useful as part of a first step in examining complex relations that are relevant to a variety of clinical concerns.
An important next step in conducting further applied research on behavior chains is to develop a methodology for identifying previously established response chains. Several applied studies have been conducted based on the hypothesis that problem behavior occurs as part of a behavior chain (e.g., Fisher et al., 1998; Kohlenberg, 1970; Zlutnick et al., 1975). However, these studies were based on anecdotal observation that the behaviors of interest occurred in chains. In a recent study, the authors hypothesized that an individual's self-injury occurred as the second response in a two-response chain consisting of stereotypy and eye poking (Hagopian, Paclawskyj, & Kuhn, 2005). To further explore this possibility, the conditional probability of self-injury given the occurrence of stereotypy was determined. In addition, within-session response patterns were examined by inspecting cumulative occurrences of stereotypy and self-injury. Both analyses indicated that eye poking was more likely to occur following stereotypy. In addition, a treatment that targeted stereotypy was effective in reducing both stereotypy and self-injury. This study demonstrates a preliminary method for determining if responses targeted for intervention occur as part of a behavior chain. Further research is needed in this area.
In addition to the avenues for future research discussed above, a number of other relevant research questions remain. First, the effects of these procedures on lengthier response chains or on responses that occur in the context of multiple behavior chains should be examined. In the latter case, disrupting responses in one chain may or may not alter responding in other chains. Second, treatments for problem behavior that occur in the context of chains should be examined. For example, the effectiveness of withholding the terminal reinforcer versus targeting behaviors earlier in the chain could be evaluated. Third, strategies that would enable caregivers to maintain appropriate behavior while targeting inappropriate behavior that occur together in a behavior chain should be examined. Finally, the possibility of sequence effects should be evaluated more closely. In particular, future studies should determine if prior experience with extinction, satiation, or unchaining procedures increases the sensitivity of responding to these manipulations.
Acknowledgments
We thank Kate Gutshall, Ellen Fittro, and Dawn Resau for their assistance with this study.
References
- Catlin J, Gleitman H. Pattern of disruption in the extinction of a chain FR 7–FR 7 in pigeons. Animal Learning and Behavior. 1973;1:154–156. [Google Scholar]
- D'Andrea T. Extinction of a heterogeneous chain after several reinforcement schedules. Journal of the Experimental Analysis of Behavior. 1969;12:127–135. doi: 10.1901/jeab.1969.12-127. [DOI] [PMC free article] [PubMed] [Google Scholar]
- Fantino E. Some data on the discriminative stimulus hypothesis of secondary reinforcement. The Psychological Record. 1965;15:409–415. [Google Scholar]
- Fischer K, Fantino E. The dissociation of discriminative and conditioned reinforcing functions of stimuli with changes in deprivation. Journal of the Experimental Analysis of Behavior. 1968;11:708–710. doi: 10.1901/jeab.1968.11-703. [DOI] [PMC free article] [PubMed] [Google Scholar]
- Fisher W.W, Lindauer S.E, Alterson C.J, Thompson R.H. Assessment and treatment of destructive behavior maintained by stereotypic object manipulation. Journal of Applied Behavior Analysis. 1998;31:513–527. doi: 10.1901/jaba.1998.31-513. [DOI] [PMC free article] [PubMed] [Google Scholar]
- Fisher W, Piazza C.C, Bowman L.G, Hagopian L.P, Owens J.C, Slevin J. A comparison of two approaches for identifying reinforcers for persons with severe and profound disabilities. Journal of Applied Behavior Analysis. 1992;25:491–498. doi: 10.1901/jaba.1992.25-491. [DOI] [PMC free article] [PubMed] [Google Scholar]
- Fisher W, Piazza C, Cataldo M, Harrell R, Jefferson G, Conner R. Functional communication training with and without extinction and punishment. Journal of Applied Behavior Analysis. 1993;26:23–36. doi: 10.1901/jaba.1993.26-23. [DOI] [PMC free article] [PubMed] [Google Scholar]
- Hagopian L.P, Farrell D.A, Amari A. Treating total liquid refusal with backward chaining and fading. Journal of Applied Behavior Analysis. 1996;29:573–575. doi: 10.1901/jaba.1996.29-573. [DOI] [PMC free article] [PubMed] [Google Scholar]
- Hagopian L.P, Paclawskyj T.R, Kuhn S.A.C. The use of conditional probability analysis to identify a response chain leading to the occurrence of eye poking. Research in Developmental Disabilities. 2005;26:393–397. doi: 10.1016/j.ridd.2003.09.002. [DOI] [PubMed] [Google Scholar]
- Horner R.H, Wuerch B.B, Boomer J.D. Performance of three severely mentally retarded adults on vocational response chains during extinction. American Journal of Mental Deficiency. 1981;86:97–103. [PubMed] [Google Scholar]
- Kohlenberg R.J. The punishment of persistent vomiting: A case study. Journal of Applied Behavior Analysis. 1970;3:241–245. doi: 10.1901/jaba.1970.3-241. [DOI] [PMC free article] [PubMed] [Google Scholar]
- MacDuff G.S, Krantz P.J, McClannahan L.E. Teaching children with autism to use photographic activity schedules: Maintenance and generalization of complex response chains. Journal of Applied Behavior Analysis. 1993;26:89–97. doi: 10.1901/jaba.1993.26-89. [DOI] [PMC free article] [PubMed] [Google Scholar]
- Malott R.W. The effects of prefeeding in plain and chained fixed ratio schedules of reinforcement. Psychonomic Science. 1966;4:285–287. [Google Scholar]
- Mandell C. Response strength in multiple periodic and aperiodic schedules. Journal of the Experimental Analysis of Behavior. 1980;33:221–241. doi: 10.1901/jeab.1980.33-221. [DOI] [PMC free article] [PubMed] [Google Scholar]
- Mansfield R.J, Rachlin H.C. The effect of punishment, extinction, and satiation on response chains. Learning and Motivation. 1970;1:27–35. [Google Scholar]
- Mazur J.E. Learning and behavior. Upper Saddle River, NJ: Prentice Hall; 2002. [Google Scholar]
- McDonnell J, McFarland S. A comparison of forward and concurrent chaining strategies in teaching laundromat skills to students with severe handicaps. Research in Developmental Disabilities. 1988;9:177–194. doi: 10.1016/0891-4222(88)90051-0. [DOI] [PubMed] [Google Scholar]
- Michael J. Implications and refinements of the establishing operation concept. Journal of Applied Behavior Analysis. 2000;33:401–410. doi: 10.1901/jaba.2000.33-401. [DOI] [PMC free article] [PubMed] [Google Scholar]
- Morgan M.J, Einon D, Morris R.G.M. Inhibition and isolation rearing in the rat: Extinction and satiation. Physiology & Behavior. 1977;18:1–5. doi: 10.1016/0031-9384(77)90084-1. [DOI] [PubMed] [Google Scholar]
- Roscoe E.M, Iwata B.A, Rand M.S. Effects of reinforcer consumption and magnitude on response rates during noncontingent reinforcement. Journal of Applied Behavior Analysis. 2003;36:525–539. doi: 10.1901/jaba.2003.36-525. [DOI] [PMC free article] [PubMed] [Google Scholar]
- Shirley M.J, Iwata B.A, Kahng S, Mazaleski J.L, Lerman D.C. Does functional communication training compete with ongoing contingencies of reinforcement? An analysis during response acquisition and maintenance. Journal of Applied Behavior Analysis. 1997;30:93–104. doi: 10.1901/jaba.1997.30-93. [DOI] [PMC free article] [PubMed] [Google Scholar]
- Wacker D.P, Steege M.W, Northup J, Sasso G, Berg W, Reimers T, et al. A component analysis of functional communication training across three topographies of severe behavior problems. Journal of Applied Behavior Analysis. 1990;23:417–429. doi: 10.1901/jaba.1990.23-417. [DOI] [PMC free article] [PubMed] [Google Scholar]
- Zlutnick S, Mayville W.J, Moffat S. Modification of seizure disorders: The interruption of behavioral chains. Journal of Applied Behavior Analysis. 1975;8:1–12. doi: 10.1901/jaba.1975.8-1. [DOI] [PMC free article] [PubMed] [Google Scholar]




