Abstract
We have shown recently that the azathioprine metabolite 6-Thio-GTP causes immunosuppression by blockade of GTPase activation in T lymphocytes. In the present study, we describe a new molecular mechanism by which 6-Thio-GTP blocks GTPase activation. Although 6-Thio-GTP could bind to various small GTPases, it specifically blocked activation of Rac1 and Rac2 but not of closely related Rho family members such as Cdc42 and RhoA in primary T cells upon stimulation with αCD28 or fibronectin. Binding of 6-Thio-GTP to Rac1 did not suppress Rac effector coupling directly but blocked Vav1 exchange activity upon 6-Thio-GTP hydrolysis, suggesting that 6-Thio-GTP loading leads to accumulation of 6-Thio-GDP-loaded, inactive Rac proteins over time by inhibiting Vav activity. In the absence of apoptosis, blockade of Vav-mediated Rac1 activation led to a blockade of ezrin-radixin-moesin dephosphorylation in primary T cells and suppression of T cell-APC conjugation. Azathioprine-generated 6-Thio-GTP thus prevents the development of an effective immune response via blockade of Vav activity on Rac proteins. These findings provide novel insights into the immunosuppressive effects of azathioprine and suggest that antagonists of the Vav-Rac signaling pathway may be useful for suppression of T cell-dependent pathogenic immune responses.
Azathioprine, a mercaptopurine analog of adenine and hypoxanthine, was developed by Elion and Hitchings as a long-lived agent to improve the rate of inactivation of its parent drug, 6-mercaptopurine (6-MP)3 (1). Both azathioprine and 6-MP are immunosuppressive agents with potent anti-inflammatory functions that have been used in childhood leukemia, organ transplantation, and the treatment of autoimmune and chronic inflammatory diseases (2–5). In particular, azathioprine has been used therapeutically in kidney transplantation (4) and inflammatory bowel diseases (IBD), such as Crohn’s disease and ulcerative colitis (2, 6 – 8), and is considered the gold standard of immunosuppressive therapy for IBD (9, 10).
Azathioprine and 6-MP are in clinical use over more than four decades (11), but their precise mechanism of action has been enigmatic. Although inhibition of purine nucleotide biosynthesis based on random incorporation of 6-thioguanine (6-TG) nucleotides into DNA has been suggested as therapeutic mechanism (5), a general inhibition of nucleic acid synthesis is not sufficient to explain the specific effects of the thiopurines on the immune system (1, 12). Furthermore, azathioprine and 6-MP have been recently shown to require very high dosages to suppress proliferation of primary T cells in vitro (13) that are outside of clinically relevant dosages in IBD patients (14). Taken together, these data make it very unlikely that the classical model of azathioprine action based on random incorporation of 6-TG nucleotides is in fact operative in vivo. Recently, we have shown that the activation of the small GTPase Rac1 upon CD28 costimulation is the molecular target of azathioprine and 6-MP in primary CD4+ T lymphocytes (15). Specifically, it was found that blockade of Rac1 activation was mediated via binding of azathioprine-generated 6-Thio-GTP to Rac1 instead of GTP. Consecutively, blockade of Rac1 target genes such as MEK, NF-κB, and Bcl-xL caused a mitochondrial pathway of T cell apoptosis. The clinical relevance of these findings was underscored by the observation that azathioprine-induced immunosup-pression correlated with the presence of apoptotic T cells in the lamina propria of IBD patients, whereas patients refractory to azathioprine therapy showed no such T cell apoptosis (15).
The finding that a small GTPase of the Rho family is a molecular target of azathioprine-generated 6-Thio-GTP opens the possibility that this metabolite specifically controls Rho signaling pathways in T lymphocytes. Guanine nucleotide binding proteins of the Rho family such as Cdc42, Rac1, Rac2, and RhoA rapidly cycle between a GDP-bound and GTP-bound state and operate as binary switches that control cell activation in response to environmental stimuli (16). The GTP-bound state of Rho GTPases is generally considered as the active conformation that allows their interaction with downstream effector proteins, and thereby initiates signaling pathways, which regulate biologic responses (17). Functionally, proteins of the Rho family have been shown to play a major role in T cell development, differentiation, cytokine production, apoptosis, and proliferation (18–20). Whereas RhoA is critical for pre-T cell differentiation and proliferation (17, 21), Cdc42 regulates T cell polarization toward APCs via filopodia and controls chemokine-induced lymphocyte migration (22). Furthermore, Rac1 and Rac2 proteins have been shown to modulate T cell differentiation and cytokine production (18, 19). In fact, dominant-positive Rac mutations have been associated with increased cell proliferation and tumors, whereas functionally inactive Rac mutations are associated with immunodeficiencies and reduced T cell cytokine production (17, 18).
Although 6-Thio-GTP has been shown to suppress Rac1 activation in T lymphocytes (15), the molecular mechanism by which 6-Thio-GTP causes Rac1 blockade remained unknown. In the present study, we have identified the molecular mechanism by which 6-Thio-GTP blocks GTPase activation. Binding of 6-Thio-GTP to Rac1 did not suppress effector activation directly but blocked Vav exchange activity upon hydrolysis, suggesting that 6-Thio-GTP loading leads to accumulation of 6-Thio-GDP-loaded, inactive Rac proteins over time by inhibiting Vav guanosine exchange activity. At weak TCR signal intensity, blockade of Vav-mediated Rac1 activation led to a blockade of ezrin-radixin-moe-sin (ERM) dephosphorylation in primary T cells and suppression of T cell-APC conjugation. Azathioprine-generated 6-Thio-GTP thus prevents T cell-APC conjugation and the subsequent development of an effective immune response via blockade of Vav activity on Rac proteins.
Materials and Methods
Isolation of primary CD4+ T lymphocytes
Human PBMC from healthy volunteers (age, 25– 42 years) were isolated using Ficoll-Hypaque gradients. PBMC were further purified using CD4 mAbs attached to immunomagnetic beads according to the protocol provided by the manufacturer followed by treatment with Detachabead (obtained from Dynal Biotech). Reanalysis of sorted populations revealed a purity of >96%.
T cell culture
Because primary T cells will die when left unstimulated for several days, we performed T cell stimulation as follows: T lymphocytes were stimulated in complete RPMI 1640 medium (15, 23) for 2–5 days with coated Abs to CD3 (BD Pharmingen; HIT3a) and soluble CD28 Abs (BD Pharm-ingen; 1 μg/ml) plus IL-2 (R&D Systems; 40 U/ml). Anti-CD3 concentrations varied between 0.04 μg/ml (high TCR signal intensity) and 0.001 μg/ml (low TCR signal intensity). Azathioprine, 6-MP, and 6-TG (Sigma-Aldrich) or 6-Thio-GTP (JenaBioscience) were added to the T cell cultures at indicated time points at a final concentration of 5 μM. This concentration of azathioprine has been previously shown to result in intracellular 6-TG levels that are comparable to those reported in leukocytes of patients with Crohn’s disease receiving long-term azathioprine or 6-MP treatment (14, 15). To determine the influence of IFN-γ , IL-2, and IL-4 on Rac1 activation in our experimental system, neutralizing Abs against IFN-γ (Acris; 2.5 μg/ml), IL-2 (Acris; 1 μg/ml), or IL-4 (Acris; 0.1 μg/ml) were added to the cell culture.
For fibronectin-mediated stimulation, human CD4+ T cells were isolated and treated with 6-Thio-GTP (JenaBioscience) and IL-2 (40 U/ml) for 3 days, as described in the previous paragraph. On day 3, T cells were stimulated with coated fibronectin (10 μg/ml; Sigma-Aldrich) for 40 min.
T cell proliferation
Proliferation was determined in 200 μl of culture medium containing primary human CD4+ T cells. Cells were stimulated with IL-2, anti-CD3, and anti-CD28 Abs and treated with azathioprine (5 μM) or left untreated. Cells were pulsed with [3H]thymidine (0.25 μCi/well) before analysis of thymidine incorporation by scintillation counting.
FACS analysis
FACS analysis (FACScan; BD Biosciences) was performed using FITC-labeled murine Abs to human CD4 (BD Pharmingen) and anti-mouse IgG1 isotype control Abs (BD Pharmingen). Apoptotic cells were detected by staining with annexin V and propidium iodide using the Annexin VFITC Apoptosis Detection Kit I (BD Pharmingen) (15, 23).
ELISA analysis
To measure cytokine production, human CD4+ T lymphocytes were isolated from peripheral blood and stimulated with Abs against CD3 and CD28 plus IL-2 in the presence or absence of 6-MP. After 3 days, culture supernatants were removed and assayed for cytokine concentration. Cytokine concentrations were determined by ELISA. ELISA was performed using the PeliKine-compact ELISA kit for IL-4 and the BD OptEIA kit for IFN-γ according to the manufacturer’s protocols.
Western blots
Cellular proteins were isolated as previously described (15). Western blots were made using specific anti-Rac1, anti-Rac2, anti-Cdc42, anti-Ras, and anti-RhoA Abs (Santa Cruz Biotechnology; 1/1000 dilution), anti-actin Ab (Biocarta), anti-Vav Ab (BD Transduction Laboratories), HRP-linked anti-mouse Ig (DakoCytomation; 1/1000 dilution), HRP-linked anti-rabbit Ig (DakoCytomation; 1/1000 dilution), and the ECL Western blotting analysis system (PerkinElmer).
Densitometric analysis of blots
Western blots were scanned and densitometry was performed using the ChemiImager 5500 software (Alpha Innotech) as previously described (24).
Analysis of 6-Thio-GTP binding to GTPases
To analyze the capacity of 6-Thio-GTP to bind to GTPases, chemically synthesized 6-Thio-GTP (obtained from JenaBioscience) was used. Recombinant GST-proteins were incubated with 5 μM radiolabeled GTP (0.5 μCi [3H]GTP, obtained from Amersham Biosciences) and increasing amounts of 6-Thio-GTP (20, 100, or 500 μM). Incubation was performed for 10 min at 30°C in 100 μl of buffer C containing 50 mM Tris (pH 7.5), 12.5 mM MgCl2, and 750 mM NaCl (Sigma-Aldrich) in the presence of 10 mM EDTA (Sigma-Aldrich). After incubation, 10 mM MgCl2 was added and the probes were put on ice. After addition of 900 μl of ice cold buffer C, the probes were pushed trough filter-membranes (glass microfiber filters GF/C circles 25 mm; obtained from Whatman) and washed with 40 ml of buffer C. Finally, scintillation counting was performed.
Rac, Ras, Cdc42, Rap, and RhoA activation assays
Levels of Rac1-, Rac2-, Cdc42-, RhoA-, Rap-, and Ras-bound GTP were determined by established immunoblot techniques (Upstate Biotechnology) (15, 25). In brief, T cells were stimulated for indicated periods of time in the presence or absence of azathioprine, 6-MP, or 6-TG. According to the Upstate Biotechnology kit protocols, cell lysates were incubated with 10 μg/ml p21-activated kinase (PAK)-1 agarose (Rac/Cdc42 assays), 10 μg/mg Raf RBD agarose (Ras assay), 40 μg/ml Ral GDS-RBD (Rap assay), or 50 μg/ml Rhotekin RBD-agarose (Rho assay) for 60 min (Rac/ Cdc42/Rap assays), 45 min (Rho assay), or 30 min (Ras assays) at 4°C. Agarose beads were collected by centrifugation followed by denaturation, boiling of the samples, and SDS-PAGE analysis. Proteins were transferred to nitrocellulose membranes and incubated with 1 μg/ml murine anti-human Rac1, Rac2, RhoA, Cdc42, Rap, or anti-human Ras (clone Ras10) Abs overnight at 4°C, followed by detection with goat anti-mouse HRP-conjugated IgG (1/1000 dilution) and the ECL detection system.
Immunofluorescence staining
Freshly isolated CD4+ T cells were plated on poly-D-lysin (0.1 mg/ml; obtained from Sigma-Aldrich) and CD3-coated chamber-slides (Nunc), and stimulation was performed as described above (23, 24). The medium was removed after 5 days of incubation, and the cells were fixed with 4% PFA for 15 min at room temperature. Upon washing in PBS/0.1% Tween 20 samples were treated with 3% BSA in 1× PBS/0.1% Tween 20 for 30 min at room temperature. Upon removal of the BSA solution, cells were incubated with Abs against Rac1, RhoA, Cdc42, Ras (Santa Cruz Biotechnology; 1/200 dilution), and Vav (BD Transduction Laboratories; 1/200 dilution) for 2 h at room temperature. Secondary Abs used were Cy (3)-conjugated affinity pure goat anti-mouse or Cy (3)-conjugated affinity pure goat anti-rabbit (1/200 dilution for 1 h, obtained from Jackson ImmunoResearch Laboratories). Before examination, the nuclei were counterstained with Hoechst 3342 (Molecular Probes).
Analysis of filopodia and lamellipodia
Chamber slides were coated with fibronectin (10 μg/ml) and incubated for 30 min at 37°C. CD4+ T cells cultured for 4 days in the presence or absence of azathioprine were harvested and centrifuged, and the pellet was resuspended in RPMI 1640 (Cambrex) stimulation-medium containing CD28 (Acris; 1 μg/ml) and CD3 (BD Pharmingen; HIT3a 0.04 μg/ml) Abs, PMA (50 ng/ml) and PHA (50 ng/ml). The cell solution was plated on the fibronectin-coated chamber slides and then incubated for 45 min at 37°C. Cells were fixed in 4% PFA (15 min, room temperature), washed in PBS, and treated with 3% BSA in PBS/0.1% Tween 20 for 30 min at room temperature. After washing in PBS and 0.1% Triton X-100 (Sigma-Aldrich) for 20 min. Texas Red-X-phalloidin (20 min, room temperature) was used for F-actin staining, while Hoechst 33342 (1/10,000 dilution for 5 min) was used for nuclear counterstaining. Quantification of the number of lamellipodia was performed on 10–15 high-power fields per conditions at ×400.
Transient transfection assays
Transformation of the Vav expression plasmid (obtained from X. Bustelo, Centro de Investigación del Cancer, University of Salamanca-Spanish Council for Scientific Research, Salamanca, Spain) was performed with Solo-Pack Gold Competent cells (Stratagene) and plasmid preparation was performed with the Qiagen Plasmid Maxi Prep kit (Qiagen) according to the manufacturer’s protocol. The transient transfection of the Vav plasmid was performed with the human T cell Nucleofector kit (Amaxa Biosystems) according to the manufacturer’s protocol for unstimulated human T cells. A total of 2–7 × 106 CD4+ T cells isolated with Dynal beads (Dynal Biotech) from buffy coats was transfected with the Vav vector or an empty control vector (pRC_EF1a). Four hours after transfection, the cells were stimulated with rIL-2 (R&D Systems; 40 U/ml) and anti-CD3/28 Abs in the presence or absence of 6-MP (5, 10, or 50 μM) or 6-Thio-GTP (5, 10, or 50 μM). Cells were lysed after 3 days of incubation followed by a pull-down of Rac using PAK-1 PBD agarose (Rac activation assay kit; Upstate Biotechnology).
Immunoprecipitation
CD4+T cells were lysed on ice in RIPA buffer (10 mM Tris (pH 8.0), 140 mM NaCl; obtained from Carl Roth), 1% Triton X-100, 1% desoxycholat and 0.1% SDS (Sigma-Aldrich) for 10 min. Cleared substrates were normalized for protein content using the Bio-Rad protein assay (Bio-Rad). Proteins were immunoprecipitated with protein A/G plus agarose (Santa Cruz Biotechnology) coupled with Abs against Rac1, Cdc42, Rho A, or Vav (Santa Cruz Biotechnology) at 4°C overnight. Immunoprecipitates were washed two times in RIPA buffer, boiled for 5 min, subjected to SDS-PAGE, and transferred to nitrocellulose membranes. The membranes were blocked 1 h at room temperature in PBS-Tween 20 containing 5% nonfat dry-milk (AppliChem). Membranes were incubated overnight at 4°C with a rabbit polyclonal Vav Ab (BD Transduction Laboratories; dilution 1/200) or with a rabbit phosphoVav Ab (Ref. 26; dilution 1/5000). An anti-rabbit HRP-labeled Ab was used as secondary Ab (dilution 1/1000). Proteins were visualized by ECL (PerkinElmer).
Analysis of phospho-ERM (pERM) levels
Isolated CD4+ T cells were stimulated with anti-CD3/CD28 Abs (BD Biosciences) plus IL-2 (Strathmann Biotec) and treated with 6-MP for 3 days. In contrast to long term culture of T cells in the presence of 6-MP, such short time stimulation in the presence of 6-MP did not result in T cell apoptosis (15). At day 3, cells were restimulated for 1 min with 10 μg of anti-CD3 per milliliter and 1 μg of anti-CD28 per milliliter and were then fixed for 15 min at 4°C with 4% paraformaldehyde (Sigma-Aldrich). Fixed cells were washed twice in PBS before permeabilization with 0.1% Triton X-100 in PBS. One microliter of rabbit anti-pERM Ab (Cell Signaling Technology) was added per 1 × 105 cells in 100 μl of 0.1% Triton X-100 in PBS, and cells were incubated for 30 min on ice. After incubation, cells were washed twice in 0.1% Triton X-100 in PBS followed by addition of 4 μl of FITC-conjugated anti-rabbit Ig (DakoCytomation) for 30 min on ice. Finally, cells were washed three times in PBS and analyzed by flow cytometry.
Analysis of T cell-APC conjugates
Isolated CD4+ T cells were stimulated in the absence of APCs with anti-CD3/CD28 Abs plus IL-2 and treated with azathioprine or 6-MP for 3 days. At day 3, the primary T lymphocytes were stained with CellTracker green (Molecular Probes). Accordingly, cells were resuspended in 1 μM Cell-Tracker green in serum-free RPMI 1640 medium and incubation was performed for 30 min at 37°C. After a second incubation of the stained cells in fresh serum-free RPMI 1640 medium for 30 min at 37°C, cells were resuspended in RPMI 1640 medium plus 10% FCS. Furthermore, Raji B cells were stained with CellTracker orange (Molecular Probes) in the same way and incubated with 5 pg/ml superantigens (staphylococcal enterotoxin A (SEA), staphylococcal enterotoxin B (SEB)). Stained CD4+ T cells and Raji cells were mixed at a 1:1 ratio and stimulated with 5 pg/ml superan-tigens (SEA, SEB) plus 0.04 μg/ml anti-CD3 Abs and 1 μg/ml anti-CD28 Abs or with 5 pg/ml superantigens (SEA, SEB) alone. Formation of conjugates was analyzed by flow cytometry. The percentage of conjugates was determined as follows: (the number of CellTracker green+CellTracker orange+ double-positive cells)/(total cell number) × 100.
Analysis of cell apoptosis by annexin V/propidium iodide staining
To determine induction of apoptosis in primary T lymphocytes, cells were stimulated and coincubated with 6-TG or 6-Thio-GTP (5 μM) followed by FACS analysis. In these experiments, apoptotic T cells were detected by staining with annexin V and propidium iodide using the Annexin VFITC Apoptosis Detection Kit I (BD Pharmingen) (15). In brief, T cells were washed twice in PBS, and the pellet was resuspended in annexin V binding buffer (BD Pharmingen) at a concentration of 106 cells per milliliter. Annexin VFITC and propidium iodide were added (5 μl of each per 105 cells). Samples were gently mixed and incubated for 15 min at room temperature in the dark before FACS analysis.
Protein purification and GDP/GTP exchange assays using Vav
The hexahistidine-tagged Vav3 (Δ1–144) protein or Vav1 was purified from Spopdoptera frungiperda Sf9 cells upon infection with baculoviruses, as previously described (27). GST-Rac1 was purified from E. coli using affinity chromatography onto glutathione-coated beads (Amersham Biosciences; as indicated in Schuebel et al. (28)). Exchange reactions in the presence of [γ -35S]GTP were performed as previously described (26). Loading of GST-Rac1 with GTP (Sigma-Aldrich) or 6-Thio-GTP was done as described by Movilla and Bustelo (27).
Statistical analysis
Tests for significance of differences were made by Student’s t test using the program StatWorks.
Results
Azathioprine-generated 6-Thio-GTP binds to a broad spectrum of small GTPases but specifically blocks Rac1 and Rac2 activation only
We have shown previously that azathioprine-generated 6-Thio-GTP binds to the small GTPase Rac1 and that such binding is followed by blockade of Rac1 activity (15). In contrast, 6-Thio-GTP showed little or no binding to Ras and failed to suppress Ras activation, suggesting the possibility that the selective binding of 6-Thio-GTP to GTPases is sufficient to explain its specificity for Rac1 suppression (15). To further explore this hypothesis, we tested the capacity of 6-Thio-GTP to bind to a broad spectrum of GTPases. Surprisingly, 6-Thio-GTP was able to bind to recombinant Rac1 under in vitro conditions as well as to several other Rho GTPases or GTPases from different families including Ran, Rab, RhoA, Cdc42, Rac2, and Rac3 (Fig. 1A). Furthermore, we observed that 6-Thio-GTP-bound Rac1 was able to bind to PAK (Fig. 1B), suggesting that the effector coupling of Rac1 is not directly inhibited by its binding to 6-Thio-GTP.
FIGURE 1.

Azathioprine-generated 6-Thio-GTP binds to various small GTPases and fails to inhibit binding of Rac1 to its effector PAK. A, Competition of GTP binding to various small GTPases by 6-Thio-GTP. Recombinant GTPases were incubated with radiolabeled GTP ([3H]GTP) and increasing amounts of 6-Thio-GTP followed by analysis of [3H]GTP-bound GTPases. In contrast to Ras, 6-Thio-GTP led to a concentration-dependent suppression of [3H]GTP-bound RhoA, Cdc42, Rab, Ran, Rac1, Rac-2, and Rac-3, indicating binding of 6-Thio-GTP to these small GTPases. B, 6-Thio-GTP-bound Rac1 binds to PAK. Extracts from unstimulated rat hepatoma cells were loaded with GDP (2.5 mM), GTP (250 μM), or 6-Thio-GTP (5 mM) for 15 min followed by immunoprecipitation with GST-PAK and Western blot analysis with Rac1-specific Abs. One representative experiment is shown. Similar data were seen with Jurkat T cells (data not shown). 6-Thio-GTP preloading had no effects on binding of Rac1 to its effector PAK.
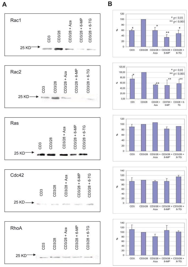
We next tested the capacity of azathioprine and 6-Thio-GTP to specifically suppress the activation of small GTPases of the Rho family in primary human CD4+ T lymphocytes. Accordingly, purified CD4+ T lymphocytes were stimulated with anti-CD3 plus anti-CD28 Abs for 3 days in the presence or absence of azathioprine and its metabolites (5 μM) followed by analysis of GTP-bound GTPases. As shown in Fig. 2, A and B, treatment with azathioprine and its metabolites 6-MP and 6-TG significantly suppressed the activity of Rac1 and the closely related GTPase Rac2. However, such treatment had little or no effects on basal activation of other Rho family members such as Cdc42 and RhoA, suggesting a marked specificity of azathioprine-generated 6-Thio-GTP to modulate activity of Rac proteins. These findings were not associated with changes in the expression levels of GTPases, as shown by immunofluorescence and Western blotting studies on primary CD4+ T lymphocytes (Fig. 2, C and D). Finally, we observed that chemically synthesized 6-Thio-GTP suppressed Rac1 and Rac2 activation to a similar extent as 6-MP (Fig. 2E), whereas basal Cdc42 activation was virtually unaffected, Thus, although azathioprine-generated 6-Thio-GTP binds to a broad spectrum of GTPases, it specifically suppressed Rac1 and Rac2 activation upon CD28 costimulation. Furthermore, levels of the Rac-associated guanosine exchange factor (GEF) Vav-1 as well as levels of activated phospho-Vav-1 were increased upon azathioprine, 6-MP, and 6-TG treatment (Fig. 2, C, F, and G), potentially due to compensatory mechanisms to up-regulate Rac activity.
FIGURE 2.


GTPase activation assays in activated and azathioprine-treated primary T cells. A, CD4+ T lymphocytes were isolated from peripheral blood and stimulated with Abs to CD3, CD28, and rIL-2 in the presence or absence of indicated concentrations of azathioprine or its metabolites 6-MP and 6-TG for 3 days, as indicated. GTP-bound Rac1, Rac2, Ras, Cdc42, or RhoA was immunoprecipitated as specified in Materials and Methods followed by Western blotting to determine GTPase activation. Treatment with azathioprine or its metabolites led to a reduction of CD28-dependent Rac1 and Rac2 activation, whereas activation of Ras, Cdc42, and RhoA was virtually unaffected. One representative experiment of three to five per GTPase is shown. No marked change in T cell proliferation was noted by azathioprine treatment as compared with unstimulated cells in our experimental system (5432 cpm/106 cells vs 5713 cpm/106 cells). B, Densitometry of GTPase activation assays. Western blot signals for Rac1, Rac2, Ras, Cdc42, or RhoA were quantified by densitometry. Data are reported as percentage of expression as compared with the signal obtained in anti-CD3 plus anti-CD28-stimulated primary CD4+ T lymphocytes (100%). Data represent average values ± SD of three to five experiments per group. Statistically significant differences (*, p < 0.01; ** , p < 0.001) are indicated. C, Azathioprine and its metabolites 6-MP and 6-TG induce Vav-1 accumulation in anti-CD3- plus anti-CD28-stimulated primary T cells. Purified CD4+ T lymphocytes were stimulated with Abs to CD3 plus CD28 in the presence or absence of azathioprine, 6-MP, or 6-TG for 3 days. Cells were immunostained with Rac1, Ras, RhoA, Cdc42, and Vav-1-specific Abs, as indicated. Confocal microscopy showed that CD28-induced accumulation of the Rac-associated GEF Vav-1 was increased by 6-MP, 6-TG, and azathioprine treatment, whereas the expression of the small GTPases Ras, Rac1, RhoA, and Cdc42 was unchanged. One representative experiment of three is shown. D, Expression of GTPases in T lymphocytes upon azathioprine treatment. Western blot analysis for Rac1, Rac2, Ras, RhoA, Cdc42, and the scaffolding protein DOCK2 in primary T lymphocytes cultured in the presence or absence of azathioprine (Aza), 6-MP, or 6-TG for 3 days, as indicated. Azathioprine and its metabolites did not lead to reduced expression of DOCK2 or the GTPases Rac1, Rac2, Ras, RhoA, and Cdc42. For actin controls, blots were stripped and reincubated with an anti-actin Ab. E, 6-Thio-GTP specifically suppresses Rac1 and Rac2 activation but not activation of Cdc42. Purified CD4+ T lymphocytes were stimulated with Abs to CD3 plus CD28 in the presence or absence of azathioprine, 6-MP or 6-Thio-GTP for 3 days followed by GTPase activation assays. F, Effects of azathioprine on phospho-Vav levels. Primary T lymphocytes were cultured for 3 days with Abs to CD3 or CD3 plus CD28 in the presence or absence of azathioprine as indicated. After Vav1 immunoprecipitation phospho-Vav levels were determined using a phospho-Vav-specific Ab, as specified in Materials and Methods. G, Western blot analysis for Vav. Primary T lymphocytes were cultured for 3 days with Abs to CD3 or CD3 plus CD28 in the presence or absence of azathioprine as indicated. On day 3 the expression of Vav was analyzed by Western blot. H, Rac1 activation assay in the presence of neutralizing anti-cytokine Abs. Primary CD4+ T cells were stimulated with Abs to CD3 plus CD28 in the presence or absence of neutralizing anti-IL-2, anti-IFN-γ, and anti-IL-4 Abs and 6-MP for 3 days followed by Rac1 activation assays. Cytokine neutralization had little or no effect on 6-MP-induced down-regulation of Rac1 activation. I, Effects of 6-Thio-GTP on fibronectin-mediated activation of small GTPases. Primary CD4+ T cells were stimulated with IL-2 followed by stimulation with coated fibronectin for 40 min. Subsequently, Cdc42 and RhoA activation were determined. J, Rac1 activation in primary T cells upon fibronectin-mediated activation. Primary CD4+ T cells were stimulated with IL-2 in the presence or absence of azathioprine for 3 days followed by stimulation with coated fibronectin for 40 min. Subsequently, Rac1 activation was determined.
In our experimental system with primary T cells, azathioprine and 6-MP required 3 days to suppress Rac activation upon CD28 costimulation in the presence of IL-2 (15). To determine whether the suppression of Rac1 activation induced by 6-MP depends on IL-2 or other proinflammatory cytokines secreted by T cells, we performed Rac1 activation assays in the presence of anti-cytokine Abs (Fig. 2H). Interestingly, anti-IL-4, anti-IL-2, and anti-IFN-γ Abs had no effects on 6-MP-mediated suppression of Rac1 activation excluding the possibility that these cytokines control 6-MP-induced modulation of Rac1 activation in our experimental system. Finally, when using alternative stimulation pathways with fibronectin in our experimental system with primary T cells, we found that integrin engagement activated RhoA and Cdc42 (Fig. 2I). 6-Thio-GTP had little effects on fibronectin-induced Rho- and Cdc42 activation (Fig. 2I). However, azathioprine led to reduction of Rac1 activation upon integrin engagement (Fig. 2J). Thus, azathioprine and its metabolites suppress Rac rather than RhoA or Cdc42 activation in primary T cells.
Azathioprine treatment blocks formation of lamellipodia in primary CD4+ T lymphocytes
Next, we wanted to determine the functional consequences of Rac blockade in primary T cells upon azathioprine treatment. In these studies, purified CD4+ T lymphocytes were stimulated with anti-CD3 plus anti-CD28 Abs for 3 days in the presence or absence of azathioprine and its metabolites 6-MP or 6-TG. Interestingly, analysis of filopodia formation using F-actin staining showed no changes upon azathioprine treatment (Fig. 3A), suggesting that CD28-induced filopodia in primary T cells are controlled by other GTPases such as Cdc42 (29) rather than Rac proteins. As previous studies suggested that Rac proteins regulate cytoskeletal organization and lamellae in lymphocytes (30), we subsequently determined lamellipodia formation upon azathioprine treatment. It was found that CD28-dependent lamellipodia formation was suppressed by azathioprine treatment (Fig. 3B). Similarly, treatment with 6-MP, 6-TG, or 6-Thio-GTP significantly inhibited such lamellipodia formation, suggesting that azathioprine-generated 6-Thio-GTP blocks Rac1 activation and, subsequently, Rac1-dependent lamellipodia formation in primary T cells.
FIGURE 3.

Azathioprine and its metabolites suppress lamellipodia but not filopodia formation in primary CD4+ T lymphocytes. A, Azathioprine, 6-MP, and 6-TG do not suppress the formation of filopodial extensions enriched in F-actin in human CD4+ T lymphocytes. Purified CD4+ T lymphocytes were stimulated with Abs to CD3 plus CD28 in the presence or absence of azathioprine, 6-MP, and 6-TG for 5 days. After fixation and permeabilization, F-actin was visualized on cytospins by staining with phalloidin-Texas Red. Staining of cytoskeletal β-actin served as a control. Confocal microscopy showed that CD28-induced formation of filopodia (arrowheads) was not affected by azathioprine treatment. B, Effects of azathioprine on lamellipodia formation. CD4+ T lymphocyteswerestimulatedwithanti-CD3 plus anti-CD28 Abs and cultured for 4 days in the presence or absence of azathioprine, 6-MP, 6-TG, or 6-Thio-GTP. Next, T cells were allowed to adhere to human fi-bronectin followed by staining for F-actin with Texas Red-X-phalloidin. Hoechst 33342 was used for nuclear counterstaining. One representative picture per group of three independent experiments is shown. Quantifi-cation of the number of lamellipodia (arrow) was performed on 10 –15 high-power fields per condition. Statistically significant differences (*, p< 0.01) are indicated. Azathioprine, 6-MP, 6-TG, and 6-Thio-GTP led to a significant suppression of lamellipodia formation by anti-CD3-plus anti-CD28-stimulated T lymphocytes. C, Cytokine production by T cells. Purified CD43T lymphocytes were stimulated with Abs to CD3 plus CD28 in the presence or absence of 6-MP for 3 days. Culture supernatant were analyzed for content of IFN-γ and IL-4 by ELISA. The mean values ± SEM from five independent experiments are shown (*, p < 0.01).
As azathioprine suppressed Rac2 activation and Rac2 is known to control IFN-γ cytokine production by T cells (18), we next determined cytokine production by primary T cells upon 6-MP treatment. As shown in Fig. 3C, 6-MP treatment significantly suppressed production of the Th1 cytokine IFN-γ by primary CD4+ T cells, whereas production of the Th2 cytokine IL-4 was increased. Taken together, these data suggested that 6-Thio-GTP-induced blockade of Rac GTPases leads to suppression of CD28-dependent lamellipodia formation and Th1 cytokine production.
Azathioprine and its metabolites block inactivation of ERM proteins and subsequent T cell-APC conjugation
In further studies on the functional consequences of 6-Thio-GTP-mediated blockade of Rac activation in T cells, we focused on ERM as well as Rap1 proteins that are involved in integrin-mediated adhesion, cell spreading, and T cell activation (31– 41). As shown in Fig. 4A, no Rap1 activation was noted in our experimental system. Therefore, in subsequent studies, we focused on the effects of azathioprine metabolites on ERM proteins and subsequent T cell-APC conjugation. As Rac1 has been recently shown to control rapid inactivation of ERM proteins in T cells after Ag recognition (42), we determined in an initial series of studies the capacity of azathioprine and its metabolites to modulate ERM phosphorylation. Accordingly, primary CD4+ T lymphocytes were stimulated with anti-CD3/CD28 Abs in the presence or absence of 6-MP for 3 days followed by analysis of pERM levels. Interestingly, CD28 costimulation suppressed pERM levels, whereas 6-MP treatment blocked down-regulation of pERM levels upon CD28 costimulation in primary T lymphocytes (Fig. 4B), suggesting that 6-MP blocks Rac1-dependent pERM dephosphorylation.
FIGURE 4.

Effects of azathioprine and 6-MP on ERM phosphorylation and T cell-APC conjugation. A, Purified CD4+ T lymphocytes were stimulated with indicated stimuli in the presence or absence of azathioprine or 6-Thio-GTP for 3 days followed by Rap1 activation assays. Whereas a strong Rap1 activation signal was obtained with Jurkat T cells, no strong signal was found in our experimental system with primary T cells at day 3 of culture probably due to the fact that CD3 stimulation causes transient Rap1 activation only and that previous CD28 stimulation suppresses Rap1 activation, as previously shown by Reedquist and Bos (65). B, Purified CD4+ T lymphocytes were stimulated with Abs to CD3 and CD28 in the presence or absence of 6-MP for 3 days. Cells were stained with pERM-specific Abs before flow cytometry. One representative experiment of three is shown. CD28 costimulation led to down-regulation of pERM levels. Furthermore, 6-MP treatment inhibited CD28-induced down-regulation of pERM levels in primary CD4+ T lymphocytes. C, Analysis of T cell-APC conjugates upon azathioprine and 6-Thio-GTP treatment. Purified CD4+ T lymphocytes were stimulated with Abs to CD3 plus CD28 in the presence or absence of 6-Thio-GTP for 3 days. CellTracker green-labeled T cells were then placed in contact with CellTracker orange-labeled APCs prepulsed with superantigens (SEA, SEB) in the presence (upper panels) or absence (middle panels) of anti-CD3/CD28 Abs. The percentages of conjugates were analyzed by flow cytometry. One representative experiment is shown. To exclude increased 6-Thio-GTP-dependent T cell apoptosis at day 3 in same experiment, purified CD4+ T lymphocytes were analyzed for apoptosis by FACS using annexin-V/propidium iodide staining (lower panels). No apoptosis was seen at day 3 of cell culture. D, Quantitative analysis of the effects of azathioprine and 6-MP on T cell/APC conjugates in five experiments. The azathioprine- and 6-MP-dependent decrease of T cell-APC conjugates as compared with untreated cells was determined in all experiments and is shown as mean values ± SEM.
As Rac1-dependent ERM inactivation is known to favor T cell-APC conjugation (42), we determined, in subsequent studies, the capacity of azathioprine, 6-MP, and 6-Thio-GTP to block T cell-APC conjugation. In these studies, labeled primary CD4+ T lymphocytes were allowed to interact with APCs pulsed with superantigens followed by analysis of T cell-APC conjugates by flow cytometry. Interestingly, azathioprine, 6-MP, and 6-Thio-GTP reduced the number of intercellular contacts between T cells and APCs (Fig. 4, C and D), suggesting that azathioprine and its metabolites block inactivation of ERM proteins and subsequent T cell-APC conjugation. Finally, we observed that azathioprine-mediated down-regulation of T cell-APC conjugates occurs independently of apoptosis, as it was also observed after short-term culture of T cells at day 3 of cell culture where azathioprine treatment fails to induce T cell apoptosis (Fig. 4C).
Azathioprine-generated 6-Thio-GTP causes a specific blockade of Vav guanosine exchange activity on Rac1 in primary T lymphocytes
As azathioprine blocks the Vav-Rac1 pathway controlling ERM phosphorylation and T cell-APC conjugation, we next studied the molecular mechanism of azathioprine-mediated blockade of the Vav-Rac1 pathway. Accordingly, we immunoprecipitated Rac1 and quantified the amount of coprecipitated Vav by Western blot analysis. Treatment of primary CD4+ T cells with azathioprine, 6-MP, and 6-TG led to reduced binding of Vav to Rac1, while these metabolites caused increased binding of Vav to RhoA ( Fig.5 A) in the presence of augmented Vav-1 and pVav levels upon such treatment (Fig. 2). Consistent with this finding, transfection of a Vav expression vector led to partial reconstitution of Rac1 activity in T lymphocytes treated with physiological doses of 6-MP or 6-Thio-GTP (5 μM; Fig. 5, B and C), suggesting that azathioprine-generated 6-Thio-GTP modulates binding of Vav to the Rac1 GTPase. However, a further increase of 6-MP or 6-Thio-GTP to unphysiologic doses (10 –50 μM) caused unchanged or even elevated Rac1 activation levels when Vav1 was overex-pressed (Fig. 5C), possibly due to the generation of very high levels of 6-Thio-GTP-bound Rac1 with intact effector coupling and reduced levels of 6-Thio-GDP-bound Rac1.
FIGURE 5.

Azathioprine suppresses binding of Vav-1 to Rac1 but not RhoA. A, Immunoprecipitation of Rac1, RhoA, and Cdc42 in azathioprine-treated T cells. CD4+ T lymphocytes were stimulated with anti-CD3 plus anti-CD28 Abs and cultured for 3 days in the presence or absence of azathioprine, 6-MP, or 6-TG. Next, immunoprecipitation for indicated GTPases was performed followed by Western blotting for Vav-1 to determine GTPase-bound Vav-1 levels. Azathioprine and its metabolites led to a marked suppression of Vav-1 binding to Rac1. In contrast, binding of Vav-1 to RhoA was increased. Analysis of the Vav-1-independent, Dbl-dependent GTPase Cdc42 served as negative control. A Western blot of β-actin on whole cell lysates before immunoprecipitation served as a loading control. B, Effects of Vav-1 overexpression on Rac1 activation in T cells. Vav-transfected and control-transfected primary CD4+ T lymphocytes were stimulated with anti-CD3 plus anti-CD28 Abs and cultured for 3 days in the presence or absence of 6-MP. Rac1 activation assays were performed with PAK as described above. C, Effects of increasing amounts of 6-MP and 6-Thio-GTP on Vav-1-mediated Rac1 activation in T cells. Vav-transfected and control-transfected primary CD4+ T lymphocytes were cultured with anti-CD3 plus anti-CD28 Abs for 3 days in the presence or absence of increasing amounts of 6-MP and 6-Thio-GTP. Rac1 activation assays were performed with PAK.
To test directly the capacity of 6-Thio-GTP to block Vav guanosine exchange activity on Rac1, we coincubated recombinant Rac1, radiolabeled GTP, and recombinant Vav proteins in the presence or absence of 6-Thio-GTP followed by analysis of GTP incorporation. As shown in Fig. 6A, 6-Thio-GTP inhibited Vav guanosine exchange activity on Rac1. Furthermore, Vav1 activity on hydrolyzed 6-Thio-GTP was strongly suppressed as compared with hydrolyzed GTP (Fig. 6B), suggesting that azathioprine-generated 6-Thio-GDP blocks the guanosine exchange activity of Vav1 and, therefore, leads to an accumulation of inactive, 6-Thio-GDP-loaded Rac1 molecules in T cells over time.
FIGURE 6.

Exchange activity of oncogenic Vav3 (Δ1–144) protein on Rac1 in the presence or absence of 6-Thio-GTP. A, Exchange reactions in the presence of free 6-Thio-GTP. GDP-bound GST-Rac1 alone (4 pmol, squares) or in combination with Vav3 (Δ1–144) (3.0 pmol, triangles) was subjected to GDP/GTP exchange reactions with [35S]GTP-γS in the absence (filled symbols) or presence of 6-Thio-GTP (500 μM, open symbols). At each time point, exchange values were determined in duplicate after the indicated periods of time using a filter immobilization assay. B, Exchange reactions of Rac1 after preloading with 6-Thio-GDP. GST-Rac1 was loaded with either GTP or 6-Thio-GTP for 45 min at RT, the GTPase incubated 60 min longer at 37°C to induce hydrolysis from GTP to GDP and from 6-Thio-GTP to 6-Thio-GDP, and then subjected to GDP/GTP exchange reactions with recombinant Vav1 and radiolabeled GTP as indicated above. After 45 min, exchange rates were determined in duplicate using a filter immobilization assay. 6-Thio-GDP loading led to a marked suppression of Vav guanosine exchange activity. Mean values ± SEM of three independent experiments are shown.
Taken together, these data suggested that azathioprine targets the guanosine exchange activity of Vav on Rac GTPases in primary T cells leading to blockade of Rac-dependent Th1 cytokine production as well as lamellipodia formation and T cell-APC conjugation.
Discussion
In the present study, we have identified a unique role for azathioprine and its metabolites in the control of T cell-APC conjugation by modulation of the Vav-Rac1 signaling pathway in T lymphocytes. Azathioprine suppressed activation of both Rac1 and Rac2 but had little effects on the activation of other small GTPases. Binding of azathioprine-generated 6-Thio-GTP to Rac1 led to spe-cific blockade of Vav guanosine exchange activity, suggesting that the guanosine exchange activity of Vav on Rac GTPases is the molecular target of azathioprine. Consecutive blockade of Vav-dependent Rac1 activation caused an inhibition of lamellipodia and T cell-APC conjugation. Importantly, these findings also occurred in the absence of T cell apoptosis. Thus, azathioprine specifically blocks Ag presentation and Ag-specific immune responses by targeting the Vav signaling pathway in T cells. These findings may explain the beneficial immunosuppressive effects of azathioprine and have important implications for the design of novel specific therapies for organ transplantation and autoimmune diseases based on suppression of the Vav-Rac signaling pathway.
The Vav family (Vav1–3) of three highly conserved Rho GEFs was initially shown to regulate signaling events downstream of the T and BCR (43– 45). In contrast to other Rho-GEFs, Vav proteins are activated via receptor-induced tyrosine phosphorylation allowing them to interact directly with several tyrosine kinases through Src homology 2 domain interactions (43, 46). In this context, tyrosine phosphorylation relieves Vav autoinhibition by exposing the GTPase interaction surface of the Dbl homology domain, which is obligatory for Vav activation (47). In T lymphocytes, Vav-1 is much more important than Vav-2, and its GEF activity regulates Rac proteins (48) thereby linking CD28 ligation to the activation of Rac1 (48 –51). In the present manuscript, we demonstrate that the azathioprine metabolite 6-Thio-GTP directly blocks the GEF activity of Vav on Rac1 rather than the binding of Rac1 to its effector PAK. Immunoprecipitation studies showed that binding of Vav-1 to Rac1 is inhibited in the presence of 6-Thio-GTP, whereas binding of Vav-1 to RhoA was increased.Hydrolysis of Rac1-bound 6-Thio-GTP augmented the inhibition of Vav GEF activity, suggesting an inability of Vav to exchange 6-Thio-GDP when bound to Rac1 (Fig. 7). This concept would suggest that clinical therapy with azathioprine results in an accumulation of 6-Thio-GDP-loaded inactive Rac proteins in T lymphocytes over time due to a functional inactivation of Vav GEF activity. Therefore, azathioprine therapy would require time to inhibit Rac activity indirectly via suppression of Vav guanosine exchange activity on Rac GTPases. Consistently, azathioprine exhibits a well-known delayed onset of therapeutic efficacy in autoimmune and chronic inflammatory diseases in humans (6, 7).
FIGURE 7.

Model of azathioprine-mediated immunosuppression. azathioprine is metabolized via 6-MP and 6-TG into 6-Thio-GTP. 6-Thio-GTP binds to the small GTPase Rac1. Upon hydrolysis, 6-Thio-GDP bound to Rac1 inhibits Vav guanosine exchange activity leading to accumulation of 6-Thio-GDP-bound inactive Rac1 molecules, blockade of GTP incorporation into Rac1 and, consecutively, suppression of Rac1 functions on T cell survival and T cell-APC conjugation.
The concept that the guanosine exchange activity of Vav on GTPases in primary T lymphocytes is the molecular target of azathioprine predicts similarities between the clinical phenotype of azathioprine-treated patients and findings in Vav-deficient animals. Indeed, whereas Vav-1-deficient mice displayed reduced T cell numbers with leukopenia and suppressed Ag-specific B cell responses (52–54), azathioprine-treated patients have been shown to exhibit leukopenia and reduced T cell-dependent B cell responses as well (6, 7, 55, 56). Furthermore, azathioprine-treated patients are known to display reduced IFN-γ production (57), consistent with the observed down-regulation of Rac2 activation upon azathioprine treatment and the well known role of Rac2 in inducing IFN-γ production by T cells (18). Thus, azathioprine suppresses production of the proinflammatory cytokine IFN-γ that is known to play a key role in the pathogenesis of IBD (58 – 60). Interestingly, very recent experiments by Tanaka et al. (61) showed augmented IFN-γ and deficient IL-4 production in Vav-1-deficient T cells, while we find augmented IL-4 and reduced IFN-γ production in azathioprine-treated T cells. We believe that this difference could be due to the fact that azathioprine specifically blocks Vav activity on Rac proteins only but not overall Vav-1 activity. Therefore, other GTPases such as RhoA, that are regulated by Vav-1 remain functionally intact thereby explaining why azathioprine-treated T cells may not exhibit all features identical to Vav-1-deficient T cells. Interestingly, RhoA has been shown to regulate both IFN-γ and IL-4 production (62) raising the possibility that reduced IL-4 production in Vav-1-deficient T cells could be due to a defect of other GTPases than Rac1/2. Finally, Vav-1 deficiency causes a defect in lymphocyte development that may affect the capacity of T cells to produce certain cytokines.
Azathioprine and its metabolites suppressed dephosphorylation of ERM proteins that are critical for T cell activation in response to CD28 costimulation. Interestingly, Delon and coworkers (42) recently showed that inactivation of ERM proteins is mediated by the Vav-Rac1 signaling pathway in T lymphocytes. Taken together, these data suggest that 6-Thio-GTP-mediated suppression of Vav GEF on Rac1 leads to blockade of ERM dephosphorylation. Subsequently, ERM proteins would be blocked in their ability to create flexible regions in the plasma membrane and lamellipodia that are essential for weak ligands to help TCR signal generation. Because we have shown recently that azathioprine induces a caspase-9-dependent pathway of T cell apoptosis when T cells are stimulated with high concentration of anti-CD3 plus anti-CD28 Abs (15), it was important to determine whether blockade of ERM dephosphorylation depends on the induction of T cell apoptosis. Interestingly, the observed inhibition of ERM dephosphorylation occurred also in the absence of T cell apoptosis, when T cells were stimulated for short periods of time. These data suggest a dual function of azathioprine on T lymphocytes; while long-term stimulation of T cells via anti-CD3/CD28 Abs for 5 days results in azathioprine-mediated T cell apoptosis via caspase-9, short-term stimulation over 3 days via anti-CD3/CD28 Abs blocks T cell-APC conjugation via azathioprine-mediated blockade of the Vav-Rac1 signaling pathway. The latter concept may be particularly relevant for the activated mucosal immune system in IBDs, where numerous bacterial Ags from the gut lumen are known to play a key role (60, 63) and where azathioprine is considered as the gold standard for maintenance of remission and prevention of postoperative relapse (64). In summary, our data provide novel insights into the molecular mechanism of action of azathioprine and suggest inhibition of the Vav-Rac signaling pathway in T lymphocytes as a molecular target for treatment of autoimmune and chronic inflammatory diseases.
Abbreviations used in this paper
- 6-MP
6-mercaptopurine
- 6-TG
6-thioguanine
- ERM
ezrin-radixin-moesin
- pERM
phospho-ERM
- IBD
inflammatory bowel disease
- SEA
staphylococcal enterotoxin A
- SEB
staphylococcal enterotoxin B
- GEF
guanosine exchange factor
- PAK
p21-activated kinase
Footnotes
The authors have no financial conflict of interest.
References
- 1.Elion GB. The George Hitchings and Gertrude Elion Lecture: the pharmacology of azathioprine. Ann NY Acad Sci. 1993;685:400–407. doi: 10.1111/j.1749-6632.1993.tb35897.x. [DOI] [PubMed] [Google Scholar]
- 2.Candy S, Wright J, Gerber M, Adams G, Gerig M, Goodman R. A controlled double blind study of azathioprine in the management of Crohn’s disease. Gut. 1995;37:674–678. doi: 10.1136/gut.37.5.674. [DOI] [PMC free article] [PubMed] [Google Scholar]
- 3.Double-masked trial of azathioprine in multiple sclerosis. British and Dutch Multiple Sclerosis Azathioprine Trial Group. Lancet. 1988;2:179–186. [PubMed] [Google Scholar]
- 4.McGeown M, Douglas JF, Donaldson RA, Hill CM, Kennedy JA, Loughridge WG, Middleton D. Ten-year results of renal transplantation with azathioprine and prednisolone as only immunosuppression. Lancet. 1988;1:983–985. doi: 10.1016/s0140-6736(88)91792-8. [DOI] [PubMed] [Google Scholar]
- 5.Lennard L. The clinical pharmacology of 6-mercaptopurine. Eur J Clin Pharmacol. 1992;43:329–335. doi: 10.1007/BF02220605. [DOI] [PubMed] [Google Scholar]
- 6.Present DH, Korelitz BI, Wisch N, Glass JL, Sachar DB, Pasternack BS. Treatment of Crohn’s disease with 6-mercaptopurine: a long-term randomized, double-blind study. N Engl J Med. 1980;302:981–987. doi: 10.1056/NEJM198005013021801. [DOI] [PubMed] [Google Scholar]
- 7.Sandborn WJ, Tremaine WJ, Wolf DC, Targan SR, Sninsky CA, Sutherland LR, Hanauer SB, McDonald JW, Feagan BG, Fedorak RN, et al. Lack of effect of intravenous administration on time to respond to azathioprine for steroid-treated Crohn’s disease. Gastroenterology. 1999;117:527–535. doi: 10.1016/s0016-5085(99)70445-2. [DOI] [PubMed] [Google Scholar]
- 8.Fraser AG, Orchard TR, Jewell DP. The efficacy of azathioprine for the treatment of inflammatory bowel disease: a 30 year review. Gut. 2002;50:485–489. doi: 10.1136/gut.50.4.485. [DOI] [PMC free article] [PubMed] [Google Scholar]
- 9.Lewis JD, Schwartz JS, Lichtenstein GR. Azathioprine for maintenance of remission in Crohn’s disease: benefits outweigh the risk of lym-phoma. Gastroenterology. 2000;118:1018–1024. doi: 10.1016/s0016-5085(00)70353-2. [DOI] [PubMed] [Google Scholar]
- 10.D’Haens G, Geboes K, Ponette E, Penninckx F, Rutgeerts P. Healing of severe recurrent ileitis with azathioprine therapy in patients with Crohn’s disease. Gastroenterology. 1997 ;112:1475–1481. doi: 10.1016/s0016-5085(97)70027-1. [DOI] [PubMed] [Google Scholar]
- 11.Bean RHD. The treatment of chronic active ulcerative colitis with 6-mercaptopurine. Med J Aust. 1962;2:592–593. [PubMed] [Google Scholar]
- 12.Maltzman JS, Koretzky GA. Azathioprine: old drug, new actions. J Clin Invest. 2003;111:1122–1124. doi: 10.1172/JCI18384. [DOI] [PMC free article] [PubMed] [Google Scholar]
- 13.Quemeneur L, Gerland LM, Flacher M, Ffrench M, Revillard JP, Genestier L. Differential control of cell cycle, proliferation, and survival of primary T lymphocytes by purine and pyrimidine nucleotides. J Immunol. 2003;170:4986–4995. doi: 10.4049/jimmunol.170.10.4986. [DOI] [PubMed] [Google Scholar]
- 14.Cuffari C, Seidman EG, Latour S, Theoret Y. Quantification of 6-thioguanine in peripheral blood leukocyte DNA in Crohn’s disease patients on maintenance 6-mercaptopurine therapy. Can J Physiol Pharmacol. 1996;74:580–585. [PubMed] [Google Scholar]
- 15.Tiede I, Fritz G, Strand S, Poppe D, Dvorsky R, Strand D, Lehr HA, Wirtz S, Becker C, Atreya R, et al. CD28-dependent Rac1 activation is the molecular target of azathioprine in primary human CD43 T lymphocytes. J Clin Invest. 2003;111:1133–1145. doi: 10.1172/JCI16432. [DOI] [PMC free article] [PubMed] [Google Scholar]
- 16.Prieto-Sanchez RM, Bustelo XR. Structural basis for the signaling specificity of RhoG and Rac1 GTPases. J Biol Chem. 2003;278:37916–37925. doi: 10.1074/jbc.M301437200. [DOI] [PubMed] [Google Scholar]
- 17.Bustelo XR. Knocked out by Rho/Rac T-cell biology. Histol His-topathol. 2002;17:871–875. doi: 10.14670/HH-17.871. [DOI] [PubMed] [Google Scholar]
- 18.Li B, Yu H, Zheng WP, Voll R, Na S, Roberts AW, Williams DA, Davis RJ, Ghosh S, Flavell RA. Role of the guanosine triphosphate Rac2 in T helper 1 cell differentiation. Science. 2000;288:2219–2222. doi: 10.1126/science.288.5474.2219. [DOI] [PubMed] [Google Scholar]
- 19.Gomez M, Tybulewicz V, Cantrell DA. Control of pre T cell proliferation and differentiation by the GTPase Rac1. Nat Immunol. 2000;1:348–352. doi: 10.1038/79808. [DOI] [PubMed] [Google Scholar]
- 20.Joneson T, Bar-Sagi D. Suppression of Ras-induced apoptosis by the Rac GTPase . Mol Cell Biol. 1999;19:5892–5901. doi: 10.1128/mcb.19.9.5892. [DOI] [PMC free article] [PubMed] [Google Scholar]
- 21.Woodside DG, Wooten DK, Teague TK, Miyamoto YJ, Caudell EG, Udagawa T, Andruss BF, McIntyre BW. Control of T lymphocyte morphology by the GTPase Rho. BMC Cell Biol. 2003;4:2–12. doi: 10.1186/1471-2121-4-2. [DOI] [PMC free article] [PubMed] [Google Scholar]
- 22.Cannon JL, Labno CM, Bosco G, Seth A, McGavin MH, Siminovitch KA, Rosen MK, Burkhardt JK. Wasp recruitment to the T cell:APC contact site occurs independently of Cdc42 activation. Immunity. 2001;15:249–259. doi: 10.1016/s1074-7613(01)00178-9. [DOI] [PubMed] [Google Scholar]
- 23.Atreya R, Mudter J, Finotto S, Mu¨llberg J, Jostock T, Wirtz S, Schu¨tz M, Bartsch B, Holtmann M, Becker C, et al. Blockade of IL-6 trans signaling suppresses T cell resistance against apoptosis in chronic intestinal inflammation: evidence in Crohn’s disease and experimental colitis in vivo. Nat Med. 2000;6:583–588. doi: 10.1038/75068. [DOI] [PubMed] [Google Scholar]
- 24.Becker C, Wirtz S, Blessing M, Pirhonen J, Strand D, Bechthold O, Frick J, Galle PR, Autenrieth I, Neurath MF. Constitutive p40 promoter activation and IL-23 production in the terminal ileum mediated by dendritic cells. J Clin Invest. 2003;112:693–706. doi: 10.1172/JCI17464. [DOI] [PMC free article] [PubMed] [Google Scholar]
- 25.Tharaux PL, Bukoski RC, Rocha PN, Crowley SD, Ruiz P, Nataraj PC, Howell DN, Kaibuchi K, Spurney RF, Coffman TM. Rho kinase promotes alloimmune responses by regulating the proliferation and structure of T cells. J Immunol. 2003;171:96–105. doi: 10.4049/jimmunol.171.1.96. [DOI] [PubMed] [Google Scholar]
- 26.Crespo P, Schuebel KE, Ostrom AA, Gutkind JS, Bustelo XR. Phosphotyrosine-dependent activation of Rac-1 GDP/GTP exchange by the vav proto-oncogene product. Nature. 1997;385:169–172. doi: 10.1038/385169a0. [DOI] [PubMed] [Google Scholar]
- 27.Movilla N, Bustelo XR. Biological and regulatory properties of Vav-3, a new member of the Vav family of oncoproteins. Mol Cell Biol. 1999;19:7870–7885. doi: 10.1128/mcb.19.11.7870. [DOI] [PMC free article] [PubMed] [Google Scholar]
- 28.Schuebel KE, Movilla N, Rosa JL, Bustelo XR. Phosphoryla-tion-dependent and constitutive activation of Rho proteins by wild-type and oncogenic Vav-2. EMBO J. 1998;17:6608–6621. doi: 10.1093/emboj/17.22.6608. [DOI] [PMC free article] [PubMed] [Google Scholar]
- 29.Salazar-Fontana LI, Barr V, Samelson LE, Bierer BE. CD28 engagement promotes actin polymerization through the activation of the small Rho GTPase Cdc42 in human T cells. J Immunol. 2003;171:2225–2232. doi: 10.4049/jimmunol.171.5.2225. [DOI] [PubMed] [Google Scholar]
- 30.Westerberg L, Greicius G, Snapper SB, Aspenstrom P, Severinson E. Cdc42, Rac1, and the Wiskott-Aldrich syndrome protein are involved in the cytoskeletal regulation of B lymphocytes. Blood. 2001;98:1086–1094. doi: 10.1182/blood.v98.4.1086. [DOI] [PubMed] [Google Scholar]
- 31.Roumier A, Olivo-Marin JC, Arpin M, Michel F, Martin M, Mangeat P, Acuto O, Dautry-Varsat A, Alcover A. The membrane-microfilament linker ezrin is involved in the formation of the immunological synapse and in T cell activation. Immunity. 2001;15:715–728. doi: 10.1016/s1074-7613(01)00225-4. [DOI] [PubMed] [Google Scholar]
- 32.Delon J, Kaibuchi K, Germain RN. Exclusion of CD43 from the immunological synapse is mediated by phosphorylation-regulated relocation of the cytoskeletal adaptor moesin. Immunity. 2001;15:691–701. doi: 10.1016/s1074-7613(01)00231-x. [DOI] [PubMed] [Google Scholar]
- 33.Allenspach EJ, Cullinan P, Tong J, Tang Q, Tesciuba AG, Cannon JL, Takahashi SM, Morgan R, Burkhardt JK, Sperling AI. ERM-dependent movement of CD43 defines a novel protein complex distal to the immunological synapse. Immunity. 2001;15:739–750. doi: 10.1016/s1074-7613(01)00224-2. [DOI] [PubMed] [Google Scholar]
- 34.Katagiri K, Hattori M, Minato N, Kinashi T. Rap1 functions as a key regulator of T-cell and antigen-presenting cell interactions and modulates T-cell responses. Mol Cell Biol. 2002;22:1001–1015. doi: 10.1128/MCB.22.4.1001-1015.2002. [DOI] [PMC free article] [PubMed] [Google Scholar]
- 35.Katagiri K, Maeda A, Shimonaka M, Kinashi T. RAPL, a Rap1-binding molecule that mediates Rap1-induced adhesion through spatial regulation of LFA-1. Nat. Immunol. 2003;4:741–748. doi: 10.1038/ni950. [DOI] [PubMed] [Google Scholar]
- 36.Sebzda E, Bracke M, Tugal T, Hogg N, Cantrell DA. Rap1A positively regulates T cells via integrin activation rather than inhibiting lymphocyte signaling. Nat Immunol. 2002;3:251–258. doi: 10.1038/ni765. [DOI] [PubMed] [Google Scholar]
- 37.Shimonaka M, Katagiri K, Nakayama T, Fujita N, Tsuruo T, Yoshie O, Kinashi T. Rap1 translates chemokine signals to integrin activation, cell polarization, and motility across vascular endothelium under flow. J Cell Biol. 2003;161:417–427. doi: 10.1083/jcb.200301133. [DOI] [PMC free article] [PubMed] [Google Scholar]
- 38.Sims TN, Dustin ML. The immunological synapse: integrins take the stage. Immunol Rev. 2002;186:100–117. doi: 10.1034/j.1600-065x.2002.18610.x. [DOI] [PubMed] [Google Scholar]
- 39.Matsuguchi T, Inhorn RC, Carlesso N, Xu G, Druker B, Griffin JD. Tyrosine phosphorylation of p95Vav in myeloid cells is regulated by GM-CSF, IL-3 and steel factor and is constitutively increased by p210BCR/ABL. EMBO J. 1995;14:257–265. doi: 10.1002/j.1460-2075.1995.tb06999.x. [DOI] [PMC free article] [PubMed] [Google Scholar] [Research Misconduct Found]
- 40.Evans GA, Howard OM, Erwin R, Farrar WL. Interleukin-2 induces tyrosine phosphorylation of the vav proto-oncogene product in human T cells: lack of requirement for the tyrosine kinase lck. Biochem J. 1993;294:339–342. doi: 10.1042/bj2940339. [DOI] [PMC free article] [PubMed] [Google Scholar]
- 41.Hehner SP, Li-Weber M, Giaisi M, Droge W, Krammer PH, Schmitz ML. Vav synergizes with protein kinase C3 to mediate IL-4 gene expression in response to CD28 costimulation in T cells. J Immunol. 2000;164:3829–3836. doi: 10.4049/jimmunol.164.7.3829. [DOI] [PubMed] [Google Scholar]
- 42.Faure S, Salazar-Fontana LI, Semichon M, Tybulewicz VL, Bismuth G, Trautmann A, Germain RN, Delon J. ERM proteins regulate cy-toskeleton relaxation promoting T cell-APC conjugation. Nat Immunol. 2004;5:272–279. doi: 10.1038/ni1039. [DOI] [PubMed] [Google Scholar]
- 43.Tybulewicz VL, Ardouin L, Prisco A, Reynolds LF. Vav1: a key signal transducer downstream of the TCR. Immunol Rev. 2003;192:42–52. doi: 10.1034/j.1600-065x.2003.00032.x. [DOI] [PubMed] [Google Scholar]
- 44.Hornstein I, Alcover A, Katzav S. Vav proteins, masters of the world of cytoskeleton organization. Cell Signal. 2004;16:1–11. doi: 10.1016/s0898-6568(03)00110-4. [DOI] [PubMed] [Google Scholar]
- 45.Fujikawa K, Miletic AV, Alt FW, Faccio R, Brown T, Hoog J, Fredericks J, Nishi S, Mildiner S, Moores SL, et al. Vav1/2/3-null mice define an essential role for Vav family proteins in lymphocyte development and activation but a differential requirement in MAPK signaling in T and B cells. J Exp Med. 2003;198:1595–1608. doi: 10.1084/jem.20030874. [DOI] [PMC free article] [PubMed] [Google Scholar]
- 46.Zakaria S, Gomez TS, Savoy DN, McAdam S, Turner M, Abraham RT, Billadeau DD. Differential regulation of TCR-mediated gene transcription by Vav family members. J Exp Med. 2004;199:429–434. doi: 10.1084/jem.20031228. [DOI] [PMC free article] [PubMed] [Google Scholar]
- 47.Aghazadeh B, Lowry WE, Huang XY, Rosen MK. Structural basis for relief of autoinhibition of the Dbl homology domain of proto-oncogene Vav by tyrosine phosphorylation. Cell. 2000;102:625–633. doi: 10.1016/s0092-8674(00)00085-4. [DOI] [PubMed] [Google Scholar]
- 48.Turner M, Billadeau DD. VAV proteins as signal integrators for multi-subunit immune-recognition receptors. Nat Rev Immunol. 2002;2:476–486. doi: 10.1038/nri840. [DOI] [PubMed] [Google Scholar]
- 49.Raab M, Pfister S, Rudd CE. CD28 signaling via VAV/SLP-76 adaptors: regulation of cytokine transcription independent of TCR ligation. Immunity. 2001;15:921–933. doi: 10.1016/s1074-7613(01)00248-5. [DOI] [PubMed] [Google Scholar]
- 50.Piccolella E, Spadaro F, Ramoni C, Marinari B, Costanzo A, Levrero M, Thomson L, Abraham RT, Tuosto L. Vav-1 and the IKKα subunit of IκB kinase functionally associate to induce NF-κB activation in response to CD28 engagement. J Immunol. 2003;170:2895–2903. doi: 10.4049/jimmunol.170.6.2895. [DOI] [PubMed] [Google Scholar]
- 51.Marinari B, Costanzo A, Viola A, Michel F, Mangino G, Acuto O, Levrero M, Piccolella E, Tuosto L. Vav cooperates with CD28 to induce NF-κB activation via a pathway involving Rac-1 and mitogen-activated kinase kinase 1. Eur J Immunol. 2002;32:447–456. doi: 10.1002/1521-4141(200202)32:2<447::AID-IMMU447>3.0.CO;2-5. [DOI] [PubMed] [Google Scholar]
- 52.Turner M, Mee PJ, Walters AE, Quinn ME, Mellor AL, Zamoyska R, Tybulewicz VL. A requirement for the Rho-family GTP exchange factor Vav in positive and negative selection of thymocytes. Immunity. 1997;7:451–460. doi: 10.1016/s1074-7613(00)80367-2. [DOI] [PubMed] [Google Scholar]
- 53.Tarakhovsky A, Turner M, Schaal S, Mee PJ, Duddy LP, Rajewsky K, Tybulewicz VL. Defective antigen receptor-mediated proliferation of B and T cells in the absence of Vav. Nature. 1995;374:467–470. doi: 10.1038/374467a0. [DOI] [PubMed] [Google Scholar]
- 54.Zhang R, Alt FW, Davidson L, Orkin SH, Swat W. Defective signalling through the T- and B-cell antigen receptors in lymphoid cells lacking the vav proto-oncogene. Nature. 1995;374:470–473. doi: 10.1038/374470a0. [DOI] [PubMed] [Google Scholar]
- 55.Ro¨llinghoff M, Schrader J, Wagner H. Effect of azathioprine and cytosine arabinoside on humoral and cellular immunity in vitro. Clin Exp Im-munol. 1973;15:261–269. [PMC free article] [PubMed] [Google Scholar]
- 56.Abdou NI, Zweiman B, Casella SR. Effects of azathioprine therapy on bone marrow-dependent and thymus-dependent cells in man. Clin Exp Immunol. 1973;13:55–64. [PMC free article] [PubMed] [Google Scholar]
- 57.Cuffari C, Li DY, Mahoney J, Barnes Y, Bayless TM. Peripheral blood mononuclear cell DNA 6-thioguanine metabolite levels correlate with decreased interferon-γ production in patients with Crohn’s disease on AZA therapy. Dig Dis Sci. 2004;49:133–137. doi: 10.1023/b:ddas.0000011614.88494.ee. [DOI] [PubMed] [Google Scholar]
- 58.Neurath MF, Fuss I, Kelsall BL, Stuber E, Strober W. Antibodies to interleukin 12 abrogate established experimental colitis in mice. J Exp Med. 1995;182:1281–1290. doi: 10.1084/jem.182.5.1281. [DOI] [PMC free article] [PubMed] [Google Scholar]
- 59.Neurath MF, Finotto S, Glimcher LH. The role of Th1/Th2 polarization in mucosal immunity. Nat Med. 2002;8:567–573. doi: 10.1038/nm0602-567. [DOI] [PubMed] [Google Scholar]
- 60.Bouma G, Strober W. The immunological and genetic basis of in-flammatory bowel disease. Nat Rev Immunol. 2003;3:521–533. doi: 10.1038/nri1132. [DOI] [PubMed] [Google Scholar]
- 61.Tanaka Y, So T, Lebedeva S, Croft M, Altman A. Impaired IL-4 and c-Maf expression and enhanced Th1 cell development in Vav1-deficient mice. Blood. 2005;106:1286–1295. doi: 10.1182/blood-2004-10-4074. [DOI] [PMC free article] [PubMed] [Google Scholar]
- 62.Aihara M, Dobashi K, Iizuka K, Nakazawa T, Mori M. Effect of Y-27632 on release of cytokines from peripheral T cells in asthmatic patients and normal subjects. Int Immunopharmacol. 2004;4:557–561. doi: 10.1016/j.intimp.2003.12.014. [DOI] [PubMed] [Google Scholar]
- 63.Pickard KM, Bremner AR, Gordon JN, MacDonald TT. Microbial-gut interactions in health and disease. Immune responses. Best Pract Res Clin Gastroenterol. 2004;18:271–285. doi: 10.1016/j.bpg.2003.10.009. [DOI] [PubMed] [Google Scholar]
- 64.Hanauer SB, Korelitz BI, Rutgeerts P, Peppercorn MA, Thisted RA, Cohen RD, Present DH. Postoperative maintenance of Crohn’s disease remission with 6-mercaptopurine, mesalamine, or placebo: a 2-year trial. Gastroenterology. 2004;127:723–729. doi: 10.1053/j.gastro.2004.06.002. [DOI] [PubMed] [Google Scholar]
- 65.Reedquist KA, Bos JL. Costimulation through CD28 suppresses T cell receptor-dependent activation of the Ras-like small GTPase Rap1 in human T lymphocytes. J Biol Chem. 1998;273:4944–4949. doi: 10.1074/jbc.273.9.4944. [DOI] [PubMed] [Google Scholar]
