Full text
PDF





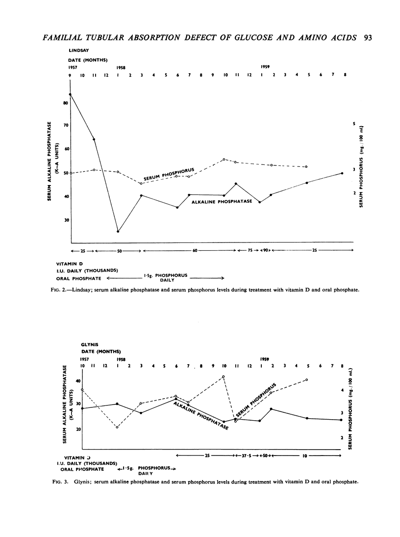
Images in this article
Selected References
These references are in PubMed. This may not be the complete list of references from this article.
- ANDERSON J. A method for estimating Tm for phosphate in man. J Physiol. 1955 Nov 28;130(2):268–277. doi: 10.1113/jphysiol.1955.sp005409. [DOI] [PMC free article] [PubMed] [Google Scholar]
- BUTLER E. A., FLYNN F. V. The proteinuria of renal tubular disorders. Lancet. 1958 Nov 8;2(7054):978–980. doi: 10.1016/s0140-6736(58)90473-2. [DOI] [PubMed] [Google Scholar]
- DENT C. E., WALSHE J. M. Amino-acid metabolism. Br Med Bull. 1954;10(3):247–250. doi: 10.1093/oxfordjournals.bmb.a069430. [DOI] [PubMed] [Google Scholar]
- LUDER J., SHELDON W. A familial tubular absorption defect of glucose and amino acids. Arch Dis Child. 1955 Apr;30(150):160–164. doi: 10.1136/adc.30.150.160. [DOI] [PMC free article] [PubMed] [Google Scholar]

