Abstract
A series of nonsteroidal ligands were synthesized as second-generation agonists for the androgen receptor (AR). These ligands were designed to eliminate metabolic sites identified in one of our first-generation AR agonists, which was inactive in vivo due to its rapid metabolism to inactive constituents. The binding affinity of these compounds was evaluated using AR isolated from rat ventral prostate. These second-generation compounds bound the AR in a high affinity and stereoselective manner, with Ki values ranging from about 4 to 130 nM. The ability of these ligands to stimulate AR-mediated transcriptional activation was examined in cells transfected with the human AR and a hormone-dependent luciferase reporter gene. Although some compounds were unable to stimulate AR-mediated transcription, several demonstrated activity similar to that of dihydrotestosterone (DHT, an endogenous steroidal ligand for the AR). We also evaluated the in vivo pharmacologic activity of selected compounds in castrated male rats. Three compounds were identified as selective androgen receptor modulators (SARMs), exhibiting significant anabolic activity while having only moderate to minimal androgenic activity in vivo.
Introduction
The androgen receptor (AR) is a member of the nuclear receptor superfamily of ligand-dependent intracellular transcription factors1 and is responsible for mediating the physiological actions of the androgens testosterone (T) and 5α-dihydrotestosterone (DHT). Androgens play a critical role in normal male development and the subsequent maintenance of secondary male characteristics such as muscle mass, bone mass, strength, fat distribution, and spermatogenesis.2 T and DHT are thought to govern specific biological functions in different tissues. For instance, T affects anabolic functions such as muscle mass development, sexual development, and spermatogenesis.3 Whereas, DHT plays critical roles in facial and body hair growth, acne, and prostate enlargement.3
The administration of exogenous androgens is a typical course in the treatment of hypogonadal conditions2 and has become an area of investigation for regulating male fertility.4 Currently steroidal compounds are the only agents available for the treatment of hypogonadal conditions. These compounds, however, suffer from a number of adverse side effects and poor pharmacokinetic profiles. Due to the undesirable attributes of steroidal AR ligands, the search for nonsteroidal androgens has become a widely competitive area of research. Nonsteroidal AR ligands, androgens, and antiandrogens alike, should demonstrate a more favorable specificity and pharmacokinetic profile than their steroidal counterparts. Several laboratories, including our own, showed that relatively small modifications to existing nonsteroidal antiandrogens could yield nonsteroidal AR agonists.5-11
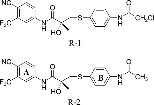
Compound R-1 (Figure 1), the first reported nonsteroidal androgen, was discovered during our search for AR affinity labels.5 R-1 has a reactive chloroacetamido group that could potentially nonspecifically alkylate cellular macromolecules. With this in mind, we synthesized R-2 (Figure 1), an unreactive acetamido analogue of R-1, which demonstrated the ability to induce AR-mediated gene transcription in an in vitro luciferase cotransfection assay.12 Surprisingly, when evaluated in vivo, R-2 showed little androgenic activity.13 Two possible reasons for the contradicting in vitro and in vivo results were (1) R-2 may have been metabolized to inactive or antagonistic metabolites prior to reaching its site of action or (2) due to poor pharmacokinetic properties, subtherapeutic concentrations of R-2 reach the site of action. A pharmacokinetic study of R-2 showed that, although fully bioavailable when dosed subcutaneously, it exhibited a very short half-life and rapid systemic clearance, suggesting that it was quickly metabolized to inactive metabolic products.13 Primary metabolic sites were identified, by LC/MS studies of urine and fecal samples, as the sulfur linkage and the B-aromatic ring.13 This sulfur linkage underwent successive oxidations to the sulfoxide then to the sulfone. The B-aromatic ring was also oxidized to give a hydroxlyated metabolite. This phenolic metabolite was further susceptible to sulfate conjugation and/or cleavage of the acetamido group. Although the LC/MS data could not clearly define the temporal order of these oxidative, conjugating, and hydrolytic processes, they did suggest that the oxidative and conjugating steps occurred more rapidly than the hydrolysis of the acetamido group. The structures of the metabolites indicated that the parent compound, R-2, was indeed converted to compounds that act as AR antagonists. When the sulfur linkage of R-2 is oxidized to a sulfone linkage, the resulting compound displays only weak agonist activity.12 The hydrolysis of the acetamido group to the corresponding amine results in a compound that is a full AR antagonist.12
Figure 1.
Structures of first-generation selective androgen receptor modulators.
Understanding the metabolic profile of R-2 allowed us to design second-generation compounds that are structurally related to R-2 but are missing some of its metabolically susceptible sites. We report herein the design, synthesis, and biological evaluation of novel nonsteroidal AR ligands that replace the sulfur linkage with an oxygen or nitrogen linkage and the acetamido group with various substitutions. We anticipate that these second-generation AR ligands will maintain a high affinity for the AR, while imparting increased in vivo metabolic stability and pharmacologic activity.
Chemistry
Two general synthetic procedures were developed to obtain the target compounds. Our first approach involved the direct SN2 displacement of the bromine group of the key intermediate, R-3 (Scheme 1). Chiral R-3 was synthesized as previously reported using D-proline as a chiral auxiliary.14 In this first approach the phenolate ion is generated in situ and required the use of benzyltributylammonium chloride as a phase-transfer catalyst to keep the phenolate in solution. A typical yield for this procedure was approximately 40% and required approximately 24 h for completion of the reaction. A different approach was developed for the synthesis of the nitrogen-linked compounds, as shown in Scheme 2. Here, generation of the epoxide as an intermediate was essential to obtain the desired N-linked products. Aromatic amines are nonnucleophilic; thus, it would be difficult to directly displace the bromine of R-3. Therefore, the epoxide was formed and subsequently opened using hexafluoro-2-propanol as the solvent, which increases the electrophilicity of the epoxide.15 In an attempt to increase the yields of the target O-linked compounds, we tried opening the epoxide with 4-substituted phenols using potassium carbonate as a base in 2-propanol. Initially, these syntheses were performed in two separate steps–isolating the epoxide before its opening in the subsequent step. These steps were combined to a two-step, one-pot process, where, after the epoxide was formed, the solvent was removed and the resulting residue was immediately carried on to the opening step. The second procedure requires only a few hours (e.g. 3−4 h), and gave an increase in yield of approximately 10−20% over the previous procedure.
Scheme 1.
General Synthetic Route for AR Ligands via SN2 Displacementa
Scheme 2.
General Synthetic Route for AR Ligands via Epoxide Intermediate
Biological Results and Discussion
Our leading first-generation nonsteroidal AR ligand, R-2, had a Ki of 4.9 nM and at 10 nM maximally activated transcription to 50% that observed for 1 nM DHT in an in vitro functional assay (Table 1).13 Utilizing the deduced structures of the primary metabolites of R-2, we designed and synthesized a series of second-generation AR ligands. We hypothesized that changing the sulfide linkage to an oxygen linkage would have minimal effect on AR binding and in vitro transcriptional activity, while removing one of the primary oxidation sites of R-2. In fact, the analogous O-linked compound, S-6, bound the AR with a similar affinity to that of R-2 (Table 1). Note that the configuration about the chiral center for the active isomer changed from R to S due to the priority difference between sulfur and oxygen. Unexpectedly, S-6 showed higher agonist activity in the in vitro transcriptional assay than R-2. At a concentration of 10 nM, compound S-6 had 93% of the activity of 1 nM DHT. Compound R-2, at 10 nM, only induced 50% the transcriptional activity of 1 nM DHT! We synthesized the analogous nitrogen-linked compound, S-18, to determine what effect the substitution of an H-bond donor for an H-bond acceptor would have on AR binding. This seemingly small change had a rather dramatic effect on AR binding affinity, reducing the AR binding affinity 26-fold relative to R-2 (Table 1). Additionally, 10 nM S-18 displayed minimal ability to induce transcriptional activity (i.e., about 5% of that observed for 1 nM DHT). Compound S-5 was synthesized as an analogue to the pure antiandrogen bicalutamide (Figure 1) to discern the effect that changing the SO2-linkage to an O-linkage would have on the functional activity of this compound. Interestingly, S-5 maintained a high affinity for the AR (actually 2-fold higher than bicalutamide), but the functional activity was shifted from a pure antagonist to a compound with agonist activity, inducing 43% the activity of 1 nM DHT. The AR is known to have a stereoselective preference for the R isomers of S-linked compounds over the corresponding S isomers.14,16 We synthesized the R isomer of compound 5 (R-5) to determine if the stereoselectivity for AR binding and pharmacologic activity was maintained in the O-linked compounds. Indeed, a stereoselective preference was observed in the O-linked compounds with compound 5 having an enantiomeric ratio of 37, with preference for the S-isomer. The enantiomeric ratio for compound 5 is similar to that observed for the isomers of bicalutamide, in which case the R isomer has a 33-fold higher affinity than the S isomer.14,16 Again, we synthesized the analogous N-linked compound, S-17, to determine the effect that inverting the nature of the H-bonding group would have on AR binding affinity and functional activity. Counter to what we observed with the p-acetamido-substituted compounds (i.e., S-6 and S-18), S-17 maintained a high AR binding affinity and, like S-5, exhibited agonistic properties, with a 10 nM concentration of S-17 stimulating transcription to 21% of that observed with 1 nM DHT. Our previous experience with the S-linked analogues of bicalutamide indicated that substitutions at the para-position on the B ring were tolerated, while substitutions at the other positions were not as well-tolerated.14 Accordingly, a series of para-substituted O-linked analogues was synthesized. All of these compounds, with the exception of S-14, displayed high AR binding affinity. However, these compounds displayed a range of agonist activities in the in vitro assay of AR-mediated transcriptional activation. There was no correlation between binding affinity and in vitro functional activity. Three compounds, S-8, S-9, and S-16, exhibited significant agonist activity, with a concentration of 10 nM inducing 75%, 64%, and 83% of the activation observed with 1 nM DHT, respectively. Compounds S-10, S-11, S-13, and S-15 exhibited weak agonist activity (Table 1). The remainder of the compounds exhibited less than 10% the activation of 1 nM DHT at the concentration tested.
Table 1.
Binding Affinity and in Vitro Functional Activity of Second-Generation Nonsteroidal AR Ligands
| X | R | Ki (nM) | Relative Activity | |
|---|---|---|---|---|
| DHT | - | - | 0.27 | 100 |
| R-2 | S | NHC(O)CH3 | 4.90 ± 0.20a | 50a |
| S-5 | O | F | 6.11 ± 0.19 | 43.40 ± 2.60 |
| R-5 | O | F | 225 ± 15 | N.D. |
| S-6 | O | NHC(O)CH3 | 3.98 ± 0.70 | 92.92 ± 7.00 |
| S-7 | O | C(O)CH3 | 36.6 ± 2.4 | 9.67 ± 1.50 |
| S-8 | O | C(O)CH2CH3 | 6.07 ± 0.14 | 75.41 ± 11.50 |
| S-9 | O | Cl | 9.56 ± 0.66 | 64.01 ± 11.20 |
| S-10 | O | Br | 11.64 ± 0.36 | 17.02 ± 2.90 |
| S-11 | O | I | 29.96 ± 2.69 | 16.00 ± 2.90 |
| S-12 | O | CH3 | 34.77 ± 3.50 | 8.95 ± 2.50 |
| S-13 | O | OCH3 | 13.69 ± 0.68 | 17.40 ± 3.30 |
| S-14 | O | NHC(O)OC(CH3)3 | 336 ± 71 | 4.43 ± 1.30 |
| S-15 | O | ![]() |
16.97 ± 0.64 | 12.43 ± 1.90 |
| S-16 | O | NCS | 4.62 ± 0.26 | 82.92 ± 13.00 |
| S-17 | NH | F | 7.96 ± 0.43 | 21.33 ± 2.22 |
| S-18 | NH | NHC(O)CH3 | 128 ± 5.97 | 5.18 ± 1.40 |
Previously reported in Yin et al.13 N.D., not determined.
Given the rapid metabolism of R-2 in vivo13 and the inability of an in vitro cotransfection system to predict the tissue-selective activities of novel AR ligands,13 we proceeded with an in vivo pilot study with compounds S-5, S-6, S-9, and S-10 in rats to examine their pharmacologic activity. In this study, the weights of the ventral prostate and seminal vesicle were used as indicators of androgenic activity, while the weight of the levator ani muscle was used as an indicator of anabolic activity. A single dose (i.e., 1 mg/day) of each compound was used. Testosterone propionate (TP) was used as a positive control for androgenic and anabolic activity. The in vivo pharmacologic effects of TP were not tissue-selective, maintaining the weights of the prostate, seminal vesicles, and levator ani muscle at approximately 70% of that observed in intact controls. Surprisingly, all four of the nonsteroidal compounds tested (i.e., S-5, S-6, S-9, and S-10) demonstrated tissue-selective in vivo pharmacologic activity, at a dose of 1 mg/day, with stronger anabolic activity as compared to androgenic activity. Compounds S-6 (4-acetamido derivative) and S-9 (4-chloro derivative) exhibited full anabolic activity as demonstrated by their ability to completely maintain, or exceed, the weight of the levator ani muscle relative to the intact control (Table 2). However, S-6 and S-9 exhibited only partial androgenic activity at a dose that elicited full anabolic activity, as demonstrated by the reduced weight of the prostate and seminal vesicles (Table 2). Compounds S-5 (4-fluoro derivative) and S-10 (4-bromo derivative) also demonstrated tissue-selective pharmacologic effects. However, S-5 and S-10 were less potent and/or efficacious than S-6 and S-9, at an equivalent dose, as evidenced by the lower weights of the prostate, seminal vesicles, and levator ani muscle (Table 2). For example, S-5 maintained the weights of the levator ani and prostate at 74 and 14%, respectively, of that observed in intact controls. As a whole, these results indicate that compounds S-5, S-6, S-9, and S-10 are selective androgen receptor modulators (SARMs) with greater anabolic activity than androgenic activity at the dose tested. Complete pharmacodynamic studies to examine the in vivo dose–response relationship for these compounds are ongoing in our laboratory and will be reported elsewhere.
Table 2.
In Vivo Anabolic and Androgenic Activity of Second-Generation Nonsteroidal AR Ligandsa
| prostate | seminal vesicle | levator ani muscle | |
|---|---|---|---|
| intact control | 100 | 100 | 100 |
| castrated control | 6.2 ± 2.5 | 8.1 ± 1.8 | 40.9 ± 9.4 |
| TP | 76.1 ± 4.0 | 68.7 ± 5.3 | 73.7 ± 13.0 |
| S-5 | 13.8 ± 1.8 | 11.6 ± 1.5 | 74.3 ± 2.1 |
| S-6 | 33.8 ± 11.4 | 28.2 ± 5.5 | 99.8 ± 9.6 |
| S-9 | 26.8 ± 3.9 | 27.5 ± 8.1 | 116 ± 7.3 |
| S-10 | 15.0 ± 2.3 | 9.9 ± 1.1 | 63.0 ± 6.7 |
All compounds were administered via subcutaneous osmotic pumps at a dose rate of 1 mg/day for 14 days.
Conclusions
We designed and synthesized second-generation AR ligands that demonstrated tissue-selective in vivo pharmacologic effects using information regarding the pharmacokinetics and metabolism of one of our first-generation nonsteroidal AR agonists. Replacement of the sulfide linkage in the first-generation compounds with an oxygen linkage resulted in compounds that bound the AR with high affinity and exhibited a range of functional activities. Five of these O-linked compounds had significant in vitro functional activity. However, in vitro transcriptional activation assays cannot predict the in vivo tissue-selective pharmacologic activity of novel compounds. As such, we initiated in vivo pilot studies with four of these compounds in castrated rats, which demonstrated their in vivo tissue-selective pharmacologic activity. On the basis of this series of compounds, no correlations between AR binding affinity, AR-mediated transcriptional activation, or in vivo pharmacologic activity were apparent. Two compounds that replaced the sulfur with nitrogen were synthesized to investigate the effects of inverting the H-bonding capabilities of this position in the molecule. Surprisingly, only one of these compounds had a high affinity for the AR. Since both of the corresponding O-linked compounds had high AR binding affinity, we expected that this inversion of H-bond potential would affect both of the N-linked compounds in the same fashion. As with the S-linked compounds, the AR stereoselectively binds the O-linked compounds with a preference for the S isomer. In summary, this report provides the first evidence of a new class of tissue-selective SARMs with in vivo pharmacologic activity. Further studies in our laboratories will continue to explore the in vivo dose–response relationships for these compounds and the structure–activity relationships for in vivo pharmacologic activity.
Experimental Section
Chemistry
Melting points were determined on a Thomas-Hoover capillary melting point apparatus and are uncorrected. Proton NMR spectra were obtained on a Bruker ARX 300 spectrometer (300 MHz). Mass spectral data was collected on a Bruker ESQUIRE electrospray/ion trap instrument in the negative ion mode. Elemental analyses were performed by Atlantic Microlab Inc., Norcross, GA. Routine thin-layer chromatography (TLC) was performed on silica gel aluminum plates (Whatman Ltd., Maidstone, Kent, England). Flash chromatography was performed on silica gel (Merck, grade 60, 230−400 mesh, 60 Å). Because many of the compounds were glasslike oils, it was impossible to completely remove residual solvent from the sample, even after drying under high vacuum. Many attempts to recrystallize a number of these compounds from a variety of solvent systems failed. The identity of the residual solvent was clear from NMR spectra, and when the corresponding solvents were included in the elemental analysis, the analyses were within 0.4% of the calculated values.
General Procedure A
Compounds 5−8 were synthesized starting with the chiral intermediate R-3. R-3 was dissolved in 2-butanone (20 mL per 0.5 g of R-3), and 1.5 molar equiv of the appropriate para-substituted phenol, 2 molar equiv of K2-CO3, and 0.1 molar equiv of benzyltributylammonium chloride (phase-transfer catalyst) were added. This reaction mixture was allowed to stir at reflux under argon for 24 h. The completeness of the reaction was determined by the disappearance of R-3, as monitored by TLC. The reaction mixture was evaporated to dryness, and the resulting material was separated on silica gel to obtain the desired product.
General Procedure B
Compounds 5, 6, 9−15 were synthesized starting with the chiral intermediate R-3. Intermediate R-3 was dissolved in acetone (35 mL per 1 g R-3), 2 molar equiv of K2CO3 was added to this solution, and the mixture stirred at reflux for 1−2 h. Completion of the epoxidation was monitored by TLC for the disappearance of R-3. The reaction mixture was evaporated on a rotary evaporator to give a residue. This residue was then suspended in 2-propanol (35 mL), 1.5 molar equiv of the appropriate para-substituted phenol, and an additional 1.5 molar equiv of K2CO3 was added. This mixture was then stirred at reflux until the reaction was complete as determined by the disappearance of the epoxide (typically 1−2 h). The reaction mixture was evaporated to dryness and the residue was resuspended in 50 mL of water. The aqueous phase was extracted with three 50 mL portions of ether. The combined ether extracts were washed with 50 mL of 2 N NaOH to remove residual phenols, dried (MgSO4), and evaporated to give a thick oil. The desired products were purified by silica gel chromatography.
General Procedure C
The epoxide intermediate was prepared in the same manner as above. In this case, however, the resulting residue was dissolved in 30 mL of water and the aqueous phase was extracted with three 30-mL portions of ethyl acetate. The combined organic extracts were evaporated to dryness to give the epoxide as a crude oil. The epoxide was then dissolved in 1.5 mL of hexafluoro-2-propanol, 1 molar equiv of the appropriate aniline was added, and the mixture stirred at reflux overnight. The reaction mixture was diluted with 30 mL of water and extracted with three 30-mL portions of ethyl acetate. The combined organic extracts were dried (MgSO4) and evaporated to give a thick oil. The desired products were purified by silica gel chromatography (S-17)or preparative TLC (S-18).
S-3-(4-Fluorophenoxy)-2-hydroxy-2-methyl-N-(4-nitro-3-trifluoromethylphenyl)propionamide (S-5)
The title compound is a yellowish oil (43% by procedure A, 67% by procedure B): 1H NMR (DMSO-d6) δ 10.62 (s, 1H, NH), 8.56 (d, J ) 2.1 Hz, 1H, ArH), 8.35 (dd, J = 9.0 Hz, J = 2.1 Hz, 1H, ArH), 8.18 (d, J = 9.0 Hz, 1H, ArH), 7.10−7.05 (m, 2H, ArH), 6.96−6.90 (m, 2H, ArH), 6.26 (s, 1H, OH), 4.20 (d, J = 9.7 Hz, 1H, CHHa), 3.96 (d, J = 9.7 Hz, 1H, CHHb), 1.43 (s, 3H, Me). Anal. (C17H14F4N2O5) C, H, N.
R-3-(4-Fluorophenoxy)-2-hydroxy-2-methyl-N-(4-nitro-3-trifluoromethylphenyl)propionamide (R-5)
The title compound is a yellowish oil (32%): 1H NMR (DMSO-d6) δ 10.62 (s, 1H, NH), 8.56 (d, J = 2.1 Hz, 1H, ArH), 8.35 (dd, J = 9.0 Hz, J = 2.1 Hz, 1H, ArH), 8.18 (d, J = 9.0 Hz, 1H, ArH), 7.10−7.05 (m, 2H, ArH), 6.96−6.90 (m, 2H, ArH), 6.26 (s, 1H, OH), 4.20 (d, J = 9.7 Hz, 1H, CHHa), 3.96 (d, J = 9.7 Hz, 1H, CHHb), 1.43 (s, 3H, Me). Anal. (C17H14F4N2O5) C, H, N.
S-3-(4-Acetylaminophenoxy)-2-hydroxy-2-methyl-N-(4-nitro-3-trifluoromethylphenyl)propionamide (S-6)
37% by procedure A, 86% by procedure B; 1H NMR (DMSO-d6) δ 10.62 (s, 1H, NH), 9.75 (s, 1H, NH), 8.56 (d, J = 1.9 Hz, 1H, ArH), 8.36 (dd, J = 9.1 Hz, J = 1.9 Hz, 1H, ArH), 8.18 (d, J = 9.1 Hz, 1H, ArH), 7.45−7.42 (m, 2H, ArH), 6.85−6.82 (m, 2H, ArH), 6.25 (s, 1H, OH), 4.17 (d, J = 9.5 Hz, 1H, CHHa), 3.94 (d, J = 9.5 Hz, 1H, CHHb), 1.98 (s, 3H, Me), 1.43 (s, 3H, Me). Anal. (C19H18F3N3O6) C, H, N.
S-3-(4-Acetylphenoxy)-2-hydroxy-2-methyl-N-(4-nitro-3-trifluoromethylphenyl)propionamide (S-7)
42%; 1H NMR (DMSO-d6) δ 10.67 (s, 1H, NH), 8.58 (d, J = 2.1 Hz, 1H, ArH), 8.37 (dd, J = 9.0 Hz, J = 2.1 Hz, 1H, ArH), 8.20 (d, J = 9.0 Hz, 1H, ArH), 7.93−7.89 (m, 2H, ArH), 7.05−7.02 (m, 2H, ArH), 6.35 (s, 1H, OH), 4.33 (d, J = 9.9 Hz, 1H, CHHa), 4.10 (d, J = 9.9 Hz, 1H, CHHb), 2.5 (s, 3H, Me), 1.47 (s, 3H, Me). Anal. (C19H17F3N2O6) C, H, N.
S-2-Hydroxy-2-methyl-N-(4-nitro-3-trifluoromethylphenyl)-3-(4-propionylphenoxy)propionamide (S-8)
46% by procedure A, 68% by procedure B; 1H NMR (DMSO-d6) δ 10.67 (s, 1H, NH), 8.57 (d, J = 1.8 Hz, 1H, ArH), 8.37 (dd, J = 9.0 Hz, J = 1.8 Hz, 1H, ArH), 7.90 (d, J = 9.0 Hz, 1H, ArH), 7.92−7.89 (m, 2H, ArH), 7.04−7.01 (m, 2H, ArH), 6.34 (s, 1H, OH), 4.34 (d, J = 9.9 Hz, 1H, CHHa), 4.12 (d, J = 9.9 Hz, 1H, CHHb), 2.96 (q, J = 7.2 Hz, 2H, CH2), 1.47 (s, 3H, Me), 1.05 (t, J = 7.2 Hz, Me). Anal. (C20H19F3N2O6) C, H, N.
S-3-(4-Chlorophenoxy)-2-hydroxy-2-methyl-N-(4-nitro-3-trifluoromethylphenyl)propionamide (S-9)
The title compound was an amber-colored oil: 46%; 1H NMR (CDCl3) δ 9.15 (s, 1H, NH), 8 (m, 3H, ArH), 7.25 (d, J = 9 Hz, 2H, ArH), 6.86 (d, J = 9 Hz, 2H, ArH), 4.45 (d, J = 9 Hz, 1H, CH2(1)), 3.97 (d, J = 9 Hz, 1H, CH2(2)), 3.33 (s, 1H, OH), 1.60 (s, 3H, Me); Calcd Mass 418.05, [M–H] 417 (100% base peak), 419 (30% base peak). Anal. Calcd (C17H14ClF3N2O5·0.25acetone): C 49.21, H 3.61, N 6.47. Found: C 49.44, H 3.58, N 6.69.
S-3-(4-Bromophenoxy)-2-hydroxy-2-methyl-N-(4-nitro-3-trifluoromethylphenyl)propionamide (S-10)
The title compound was a light tan-colored oil: 40%; 1H NMR (CDCl3) δ 9.2 (s, 1H, NH), 8 (m, 3H, ArH), 7.3 (m, 2H, ArH), 6.7 (m, 2H, ArH), 4.43 (d, J = 9 Hz, 1H, CH2(1)), 3.98 (d, J = 9 Hz, 1H, CH2(2)), 3.58 (s, 1H, OH), 1.60 (s, 3H, Me); Calcd Mass 462.00, [M – H] 461 (90% base peak), 463 (100% base peak). Anal. Calcd (C17H14BrF3N2O5·0.5propan-2-ol): C 45.05, H 3.68, N 5.68. Found: C 44.63, H 3.26, N 5.24.
S-2-Hydroxy-3-(4-iodophenoxy)-2-methyl-N-(4-nitro-3-trifluoromethylphenyl)propionamide (S-11)
The title compound was a light tan-colored oil: 36%; 1H NMR (CDCl3) δ 9.14 (s, 1H, NH), 8 (m, 3H, ArH), 7.5 (m, 2H, ArH), 6.7 (m, 2H, ArH), 4.44 (d, J = 9 Hz, 1H, CH2(1)), 3.97 (d, J = 9 Hz, 1H, CH2(2)), 3.33 (s, 1H, OH), 1.59 (s, 3H, Me); Calcd Mass 509.99, [M – H] 509. Anal. Calcd (C17H14IF3N2O5·0.3toluene): C 42.65, H 3.07, N 5.21. Found: C 42.37, H 3.06, N 5.13.
S-2-Hydroxy-2-methyl-N-(4-nitro-3-trifluoromethylphenyl)-3-p-tolyloxypropionamide (S-12)
The title compound was an amber-colored oil: 23%; 1H NMR (CDCl3) δ 9.18 (s, 1H, NH), 8 (m, 3H, ArH), 7 (m, 2H, ArH), 6.8 (m, 2H, ArH), 4.44 (d, J = 9 Hz, 1H, CH2(1)), 3.96 (d, J = 9 Hz, 1H, CH2(2)), 3.49 (s, 1H, OH), 2.28 (s, 3H, ArMe), 1.59 (s, 3H, Me). Anal. (C18H17F3N2O5) C, H, N.
S-2-Hydroxy-3-(4-methoxyphenoxy)-2-methyl-N-(4-nitro-3-trifluoromethylphenyl)propionamide (S-13)
The title compound was an amber-colored oil: 30%; 1H NMR (CDCl3) δ 9.24 (s, 1H, NH), 8 (m, 3H, ArH), 6.8 (m, 4H, ArH), 4.42 (d, J = 9 Hz, 1H, CH2(1)), 3.94 (d, J = 9 Hz, 1H, CH2(2)), 3.76 (s, 3H, OMe), 3.65 (bs, 1H, OH), 1.58 (s, 3H, Me); Calcd Mass 414.10, [M – H] 413. Anal. Calcd (C19H17F3N2O6· 0.5H2O): C 52.42, H 4.17, N 6.43. Found: C 52.63, H 4.32, N 6.50.
S-{4-[2-Hydroxy-2-(4-nitro-3-trifluoromethylphenylcarbamoyl)propoxy]phenyl}carbamic Acid tert-Butyl Ester (S-14)
The title compound was a fluffy white solid: 35%; mp 153−155 °C; 1H NMR (DMSO-d6) δ 10.62 (s, 1H, NH), 9.12 (s, 1H, NH), 8.57 (d, J = 2 Hz, 1H, ArH), 8.35 (dd, J = 9 Hz, J = 2 Hz, 1H, ArH), 8.19 (d, J = 9.0 Hz, 1H, ArH), 7.2 (m, 2H, ArH), 6.8 (d, 2H, ArH), 6.24 (s, 1H, OH), 4.15 (d, J = 10 Hz, 1H, CH2(1)), 3.91 (d, J = 10 Hz, 1H, CH2(2)), 1.44 (s, 9H, Me), 1.42 (s, 3H, Me). Anal. (C22H24F3N3O7) C, H, N.
S-2-Hydroxy-3-(1H-indol-5-yloxy)-2-methyl-N-(4-nitro-3-trifluoromethylphenyl)propionamide (S-15)
The title compound was a yellowish solid: 48%; 1H NMR (CDCl3) δ 9.26 (s, 1H, NH), 8.11 (s, 1 H, indole NH), 8.10 (s, 1H, ArH), 7.99 (m, 2H, ArH), 7.3 (s 1H, indole H), 7.22 (m, 1H, indole H), 7.17 (d, J = 2 Hz, 1H, indole H), 6.86 (dd, J = 9 Hz, J = 2 Hz, 1H, indole H), 6.48 (m, 1H, indole H), 4.54 (d, J = 9 Hz, 1H, CH2(1)), 4.05 (d, J = 9 Hz, 1H, CH2(2)), 3.73 (s, 1H, OH), 1.62 (s, 3H, Me). Anal. (C19H16F3N3O5) C, H, N.
S-2-Hydroxy-3-(4-isothiocyanatophenoxy)-2-methyl-N-(4-nitro-3-trifluoromethylphenyl)propionamide (S-16)
S-14 (0.5 g) was dissolved in anhydrous ether (20 mL) and MeOH (30 mL), and 2 molar equiv of 2 M HCl solution was added. This reaction mixture was allowed to stir at room temperature under argon overnight. Completeness of the reaction was determined by the disappearance of S-14 as monitored by TLC. The reaction mixture was evaporated to dryness and the resulting material, S-3-(4-aminophenoxy)-2-hydroxy-2-methyl-N-(4-nitro-3-trifluoromethylphenyl)propionamide HCl salt, was obtained as a solid. The salt was dissolved in CHCl3 (20 mL per 0.5 g) and water (20 mL per 0.5 g). To this solution 5 molar equiv of NaHCO3 was added and the mixture was stirred at −5 to −10 °C for 10 min. A small amount of ethyl acetate was added to dissolve the organic compound. After 10 min, 2 molar equiv of thiophosgene was added in one portion. This mixture was stirred at room temperature overnight. The reaction mixture was evaporated to dryness and the residue was resuspended in a small amount of water. The aqueous phase was extracted three times with ethyl acetate. The ethyl acetate extracts were combined, dried with MgSO4, and evaporated to give the product as a light yellowish solid: 85%; mp 58−60 °C; 1H NMR (DMSO) 9.16 (s, 1H, NH), 8.12 (s, 1H, ArH), 8.07 (s, 1H, ArH), 8.05 (s, 1H, ArH), 7.20 (d, 2H, ArH), 6.90 (d, 2H, ArH), 4.50 (d, 1H, CHHa), 4.20 (d, 1H, CHHb), 3.35 (s, 1H, OH), 1.63 (s, 3H, CH3). Anal. (C18H14F3N3O5S) C, H, N.
S-3-(4-Fluorophenylamino)-2-hydroxy-2-methyl-N-(4-nitro-3-trifluoromethylphenyl)propionamide(S-17)
The title compound was an amber-colored oil: 36%; 1H NMR (CDCl3) δ 9.22 (s, 1H, NH), 8.05 (m, 3H, ArH), 6.9 (m, 2H, ArH), 6.7 (m, 2H, ArH), 3.84 (d, J = 13 Hz, 1H, CH2(1)), 3.8 (s, 1H, OH), 3.6 (bs, 1H, NH), 3.24 (d, J = 13 Hz, 1H, CH2(2)), 1.58 (s, 3H, Me); Calcd Mass 401.10, [M – H] 400.2. Anal. Calcd (C17H15F4N3O4·0.25acetone): C 51.27, H 4.0, N 10.10. Found: C 51.05, H 3.96, N 9.90.
S-3-(4-Acetylaminophenylamino)-2-hydroxy-2-methyl-N-(4-nitro-3-trifluoromethylphenyl)propionamide (S-18)
Preparative TLC was used to purify S-18, with 10% methanol in chloroform as the mobile phase. The title compound was a tan powder: 27%; mp 143−145 °C; 1H NMR (DMSO-d6) δ 10.48 (s, 1H, NH), 9.48 (s, 1H, NH), 8.48 (d, J = 2.1 Hz, 1H, ArH), 8.28 (dd, J = 9.0 Hz, J = 2.1 Hz, 1H, ArH), 8.16 (d, J = 9.0 Hz, 1H, ArH), 7.21 (d, J = 8.0 Hz, 2H, ArH), 6.57 (d, J = 8.0 Hz, 2H, ArH), 6.06 (s, 1H, OH), 5.10 (bs, 1H, NH), 3.41 (dd, J = 12, 3 Hz, 1H, CH2(1)), 3.11 (dd, J = 12, 3 Hz, 1H, CH2(2)), 1.93 (s, 3H, Me), 1.41 (s, 3H, Me). Anal. (C19H19F3N4O5) C, H, N.
Competitive Binding Assay, Cotransfection Assay, and In Vivo Pharmacology
AR binding affinities were determined using a competitive binding assay, as described previously.16
AR in vitro functional activity was examined using a cotransfection assay as previously described.5 All compounds were assayed at 10 nM and activity was expressed as a percent activity observed for 1 nM DHT.
AR in vivo activity was examined by administering to castrated rats a single high dose (1 mg/day) of compound subcutaneously using osmotic pumps for a period of 14 days. At the end of the dosing regimen, the animals were sacrificed and the ventral prostate, seminal vesicle, and levator ani muscle were dissected and weighed. Organ weights were normalized to total body weight. The weights of the ventral prostate and seminal vesicle were used as indicators of androgenic activity, while the weight of the levator ani muscle was used as an indicator of anabolic activity. Details of the experimental protocols and data analysis are described in Yin et al.13
Acknowledgment
We would like to thank Ms. Melissa Yao, an undergraduate student, for her help in the synthesis and evaluation of several of the compounds presented in this work. Financial support for this work was provided by a grant to J.T.D. and D.D.M. from the National Institute of Diabetes and Digestive and Kidney Diseases (#1 R01 DK 59800). We would also like to thank the Van Vleet Professor funds (D.D.M.) for supporting this project.
References
- 1.Evans RM. The Steroid and Thyroid Hormone Receptor Superfamily. Science. 1988;240:889–894. doi: 10.1126/science.3283939. [DOI] [PMC free article] [PubMed] [Google Scholar]
- 2.Matsumoto AM. Hormonal therapy of male hypogonadism. Endocrinol. Metab. Clin. North Am. 1994;23:857–875. [PubMed] [Google Scholar]
- 3.Singh SM, Gauthier S, Labrie F. Androgen receptor antagonists (antiandrogens): Structure–activity relationships. Curr. Med. Chem. 2000;7:211–247. doi: 10.2174/0929867003375371. [DOI] [PubMed] [Google Scholar]
- 4.Cummings DE, Bremner WJ. Male contraception: Ideas for the future. Curr. Ther. Endocrinol. Metab. 1997;6:300–304. [PubMed] [Google Scholar]
- 5.Dalton JT, Mukherjee A, Zhu Z, Kirkovsky L, Miller DD. Discovery of nonsteroidal androgens. Biochem. Biophys. Res. Commun. 1998;244:1–4. doi: 10.1006/bbrc.1998.8209. [DOI] [PubMed] [Google Scholar]
- 6.Zhi L, Tegley CM, Marschke KB, Jones TK. Switching androgen receptor antagonists to agonists by modifying C-ring substituents on piperidino[3,2-g]quinolinone. Bioorg. Med. Chem. Lett. 1999;9:1009–1012. doi: 10.1016/s0960-894x(99)00119-5. [DOI] [PubMed] [Google Scholar]
- 7.Hamann LG, Mani NS, Davis RL, Wang XN, Marschke KB, et al. Discovery of a potent, orally active, nonsteroidal androgen receptor agonist: 4-Ethyl-1,2,3,4-tetrahydro-6-(trifluoromethyl)-8-pyridono[5,6-g]-quinoline ( LG121071). J. Med. Chem. 1999;42:210–212. doi: 10.1021/jm9806648. [DOI] [PubMed] [Google Scholar]
- 8.Higuchi RI, Edwards JP, Caferro TR, Ringgenberg JD, Kong JW, et al. 4-Alkyl- and 3,4-dialkyl-1,2,3,4-tetrahydro-8-pyridono[5,6-g]quinolines: Potent, nonsteroidal androgen receptor agonists. Bioorg. Med. Chem. Lett. 1999;9:1335–1340. doi: 10.1016/s0960-894x(99)00186-9. [DOI] [PubMed] [Google Scholar]
- 9.Edwards JP, Higuchi RI, Winn DT, Pooley CL, Caferro TR, et al. Nonsteroidal androgen receptor agonists based on 4-(trifluoromethyl)-2H-pyrano[3,2-g]quinolin-2-one. Bioorg. Med. Chem. Lett. 1999;9:1003–1008. doi: 10.1016/s0960-894x(99)00118-3. [DOI] [PubMed] [Google Scholar]
- 10.Van Dort ME, Robins DM, Wayburn B. Design, synthesis, and pharmacological characterization of 4-[4, 4-dimethyl-3-(4-hydroxybutyl)-5-oxo-2-thioxo-1-imidazolidinyl]-2-iodobenzonitrile as a high-affinity nonsteroidal androgen receptor ligand. J. Med. Chem. 2000;43:3344–3347. doi: 10.1021/jm000163y. [DOI] [PubMed] [Google Scholar]
- 11.Dukes M FB, Hughes LR, Tucker H, Woodburn JR. Nonsteroidal progestins and antiprogestins related to flutamide. Steroids. 2000;65:725–731. doi: 10.1016/s0039-128x(00)00179-3. [DOI] [PubMed] [Google Scholar]
- 12.He Y. Department of Pharmaceutical Sciences. University of Tennessee, Health Science Center; Memphis: 2000. Design and Synthesis of β3 Adrenergic Receptor Agonists, and Discovery of Nonsteroidal Androgen Receptor Agonists. [Google Scholar]
- 13.Yin D, Xu H, He Y, Kirkovsky LI, Miller DD, et al. Pharmacology, pharmacokinetics, and metabolism of acetothiolutamide, a novel nonsteroidal agonist for the androgen receptor. J. Pharmacol. Exp. Ther. 2003;304:1323–1333. doi: 10.1124/jpet.102.040832. [DOI] [PubMed] [Google Scholar]
- 14.Kirkovsky L, Mukherjee A, Yin D, Dalton JT, Miller DD. Chiral nonsteroidal affinity ligands for the androgen receptor. 1. Bicalutamide analogues bearing electrophilic groups in the B aromatic ring. J. Med. Chem. 2000;43:581–590. doi: 10.1021/jm990027x. [DOI] [PubMed] [Google Scholar]
- 15.Das U, Crousse B, Kesavan DBD, Begrue JP. Facile Ring Opening of Oxiranes with Aromatic Amines in Fluoro Alcohols. J. Org. Chem. 2000:65. doi: 10.1021/jo000031c. [DOI] [PubMed] [Google Scholar]
- 16.Mukherjee A, Kirkovsky L, Yao XT, Yates RC, Miller DD, et al. Enantioselective binding of Casodex to the androgen receptor. Xenobiotica. 1996;26:117–122. doi: 10.3109/00498259609046693. [DOI] [PubMed] [Google Scholar]




