Abstract
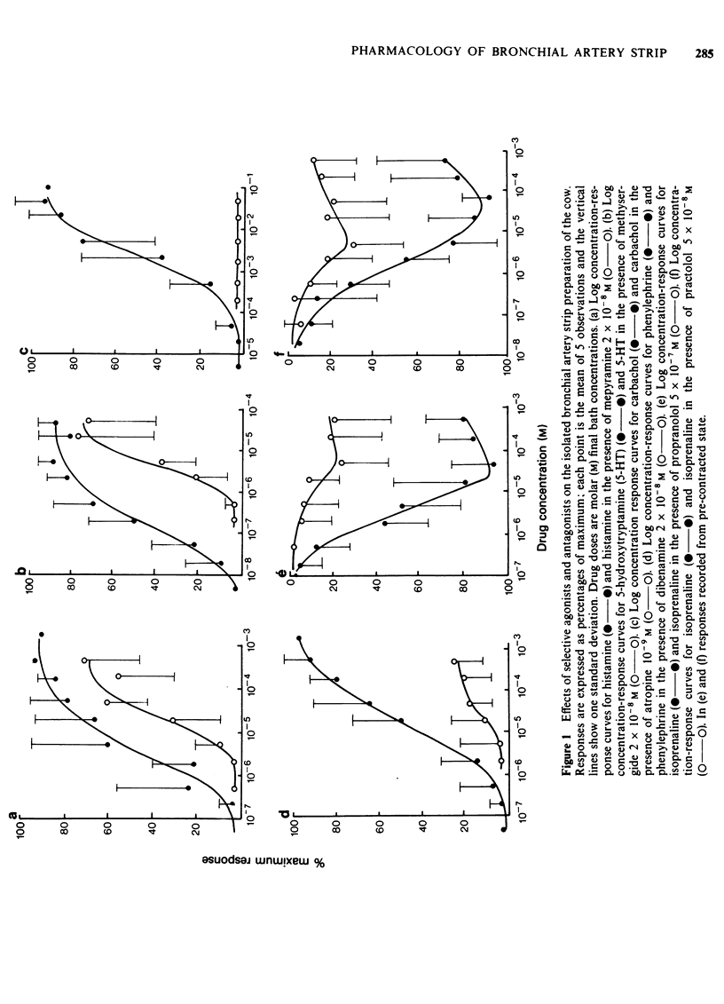
1 This paper describes a preliminary pharmacological study of the isolated helical strip of bovine bronchial artery under isotonic conditions in Krebs-Henseleit solution. 2 The tissue contracted to histamine and 5-hydroxytryptamine (5-HT), actions which were selectively antagonized by mepyramine and methysergide respectively. Histamine was not inhibited by metiamide and 5-HT was not affected by morphine. 3 Slow reacting substance of anaphylaxis (SRS-A), prostaglandin F2 alpha (PGF2 alpha) and PGE2 were spasmogenic, whereas PGE1 caused relaxation. No potential antagonists of these agents were tested. 4 Carbachol, at all concentrations, caused contractions of the bronchial artery which were completely, irreversibly blocked by atropine. 5 The spasmogenic action of phenylephrine was selectively blocked by dibenamine. Vessel strips which were partially contracted to histamine, relaxed to isoprenaline and salbutamol. The action of isoprenaline was inhibited similarly by either propranolol or practolol. The evidence therefore suggests the presence of functional alpha, beta 1 and beta 2-adrenoceptors.
Full text
PDF





Selected References
These references are in PubMed. This may not be the complete list of references from this article.
- ARAMENDIA P., MARTINEZ DE LETONA J., AVIADO D. M. Responses of the bronchial veins in a heart-lung-bronchial preparation. Circ Res. 1962 Jan;10:3–10. doi: 10.1161/01.res.10.1.3. [DOI] [PubMed] [Google Scholar]
- Ash A. S., Schild H. O. Receptors mediating some actions of histamine. Br J Pharmacol Chemother. 1966 Aug;27(2):427–439. doi: 10.1111/j.1476-5381.1966.tb01674.x. [DOI] [PMC free article] [PubMed] [Google Scholar]
- Austen K. F., Orange R. P. Bronchial asthma: the possible role of the chemical mediators of immediate hypersensitivity in the pathogenesis of subacute chronic disease. Am Rev Respir Dis. 1975 Sep;112(3):423–436. doi: 10.1164/arrd.1975.112.3.423. [DOI] [PubMed] [Google Scholar]
- Black J. W., Duncan W. A., Emmett J. C., Ganellin C. R., Hesselbo T., Parsons M. E., Wyllie J. H. Metiamide--an orally active histamine H2-receptor antagonist. Agents Actions. 1973 Oct;3(3):133–137. doi: 10.1007/BF01965723. [DOI] [PubMed] [Google Scholar]
- Burka J. F., Eyre P. Effects of bovine SRS-A (SRS-Abov) on bovine respiratory tract and lung vasculature in vitro. Eur J Pharmacol. 1977 Jul 15;44(2):169–177. doi: 10.1016/0014-2999(77)90103-0. [DOI] [PubMed] [Google Scholar]
- Burka J. F., Eyre P. Studies of prostaglandins and prostaglandin antagonists on bovine pulmonary vein in vitro. Prostaglandins. 1974 May 25;6(4):333–343. doi: 10.1016/s0090-6980(74)80007-9. [DOI] [PubMed] [Google Scholar]
- Burka J. F., Eyre P. The immunological release of slow-reacting substance of anaphylaxis from bovine lung. Can J Physiol Pharmacol. 1974 Dec;52(6):1201–1204. doi: 10.1139/y74-156. [DOI] [PubMed] [Google Scholar]
- Dale H. H. On some physiological actions of ergot. J Physiol. 1906 May 31;34(3):163–206. doi: 10.1113/jphysiol.1906.sp001148. [DOI] [PMC free article] [PubMed] [Google Scholar]
- Elmes P. J. Vascular reactivity of the bovine foot to neurohormones, antigens, and chemical mediators of anaphylaxis. Am J Vet Res. 1977 Jan;38(1):107–112. [PubMed] [Google Scholar]
- Eyre P. Pharmacology of bovine pulmonary vein anaphylaxis in vitro. Br J Pharmacol. 1971 Oct;43(2):302–311. [PMC free article] [PubMed] [Google Scholar]
- FURCHGOTT R. F., BHADRAKOM S. Reactions of strips of rabbit aorta to epinephrine, isopropylarterenol, sodium nitrite and other drugs. J Pharmacol Exp Ther. 1953 Jun;108(2):129–143. [PubMed] [Google Scholar]
- FURCHGOTT R. F. The pharmacology of vascular smooth muscle. Pharmacol Rev. 1955 Jun;7(2):183–265. [PubMed] [Google Scholar]
- GADDUM J. H., HAMEED K. A., HATHWAY D. E., STEPHENS F. F. Quantitative studies of antagonists for 5-hydroxytryptamine. Q J Exp Physiol Cogn Med Sci. 1955 Jan;40(1):49–74. doi: 10.1113/expphysiol.1955.sp001097. [DOI] [PubMed] [Google Scholar]
- GADDUM J. H., PICARELLI Z. P. Two kinds of tryptamine receptor. Br J Pharmacol Chemother. 1957 Sep;12(3):323–328. doi: 10.1111/j.1476-5381.1957.tb00142.x. [DOI] [PMC free article] [PubMed] [Google Scholar]
- Holroyde M. C., Burka J. F., Eyre P. Auto-modulation of release of pharmacological mediators of immediate (type I) hypersensitivity. A review. Agents Actions. 1977 Oct;7(4):421–430. doi: 10.1007/BF01966847. [DOI] [PubMed] [Google Scholar]
- Holroyde M. C., Eyre P. Reactivity of isolated bovine mesenteric and hepatic veins to vasoactive agents and specific antigen. Eur J Pharmacol. 1975 Jan;30(1):36–42. doi: 10.1016/0014-2999(75)90199-5. [DOI] [PubMed] [Google Scholar]
- MARTINEZ DE LETONA J., CASTRO DE LA MATA R., AVIADO D. M. Local and reflex effect of bronchial arterial injection of drugs. J Pharmacol Exp Ther. 1961 Sep;133:295–303. [PubMed] [Google Scholar]
- Su C., Bevan J. A. The electrical response of pulmonary artery muscle to acetylcholine, histamine and serotonin. Life Sci. 1965 May;4(10):1025–1029. doi: 10.1016/0024-3205(65)90221-3. [DOI] [PubMed] [Google Scholar]
