Abstract
A bacterium strain BERT, which utilizes primary long-chain alkylamines as nitrogen, carbon and energy source, was isolated from activated sludge. This rod-shaped motile, Gram-negative strain was identified as a Pseudomonas sp. The substrate spectrum of this Pseudomonas strain BERT includes primary alkylamines with alkyl chains ranging from C3 to C18, and dodecyl-1,3-diaminopropane. Amines with alkyl chains ranging from 8 to 14 carbons were the preferred substrates. Growth on dodecanal, dodecanoic acid and acetic acid and simultaneous adaptation studies indicated that this bacterium initiates degradation through a Calkyl–N cleavage. The cleavage of alkylamines to the respective alkanals in Pseudomonas strain BERT is mediated by a PMS-dependent alkylamine dehydrogenase. This alkylamine dehydrogenase produces stoichiometric amounts of ammonium from octylamine. The PMS-dependent alkylamine was found to oxidize a broad range of long-chain alkylamines. PMS-dependent long-chain aldehyde dehydrogenase activity was also detected in cell-free extract of Pseudomonas strain BERT grown on octylamine. The proposed pathway for the oxidation of alkylamine in strain BERT proceeds from alkylamine to alkanal, and then to the fatty acid.
Keywords: Long-chain alkylamines, Pseudomonas sp, Substrate specificity, Biodegradation pathway
Introduction
Primary fatty amines contain a nitrogen atom attached to one long alkyl chain. Commercial primary alkylamines are usually mixtures of homologs because the sources of the hydrophobic groups are fatty acids derived from palm oil, coconut oil or tallow. The alkyl chains therefore vary in both chain length and degree of unsaturation. Alkylamines are primarily introduced into the environment through emissions during industrial production. The alkylamines produced in high volumes are toxic to aquatic organisms (Newsome et al. 1991; Schultz et al. 1991; Finlay and Callow 1997). Microbial degradation of primary fatty amines is therefore important for removal in biological wastewater treatment systems and to maintain low environmental concentrations.
Yoshimura et al. (1980) studied the biodegradability of various fatty amines in the MITI test. The MITI test assesses the ready biodegradability by determining the biological oxygen demand (OECD 1992). Ratios of the biological oxygen demand and theoretical oxygen demand >0.6 were achieved in MITI tests, demonstrating the susceptibility of alkylamines (C8 to C18) to biodegradation (Yoshimura et al. 1980). Dodecylamine was also demonstrated to be biodegradable in another ready biodegradability test, i.e. Closed Bottle test (OECD 1992). The biodegradation of dodecylamine started immediately and reached ∼80% within a week (van Ginkel et al. 1995). The results obtained in ready biodegradability tests are far more satisfactory when supported by pure culture studies. Until now two pure cultures of bacteria have been shown to degrade primary fatty amines (Yoshimura et al. 1980; Selig et al. 1999). Possible intermediates of alkylamine degradation were not identified in these studies. Therefore, much remains to be learned about the substrate specificity of long-chain alkylamine degrading micro-organisms and the biodegradation pathway.
The aim of this study was to investigate how alkylamines are degraded by micro-organisms using a pure culture capable of utilizing alkylamines as sole carbon and energy source. Substrate specificities of the pure culture and cell-free extracts catalysing the initial degradation steps are reported.
Materials and methods
Chemicals
Samples of octylamine, decylamine, dodecylamine, tetradecylamine, hexadecylamine, octadecylamine cocoamine and tallowamine (Armeen®) were provided by Akzo Nobel Surfactants, Stenungsund, Sweden. All other chemicals were of reagent-grade quality and obtained from Sigma Aldrich, Zwijndrecht, The Netherlands or Akcross Organics, Geel, Belgium. The biochemicals were purchased from Boehringer, Mannheim, Germany.
Activated sludge
Activated sludge used as inoculum was obtained from the wastewater treatment plant Nieuwgraaf in Duiven, The Netherlands. This activated sludge plant treats predominantly domestic wastewater.
Media
The mineral salts medium used for isolation and growth experiments contained the following in 1 l of deionized water; 1.55 g K2HPO4, 0.85 g NaH2PO4, 0.5 g NH4Cl, 0.1 g MgSO4 · 7H2O and 0.1 ml trace solution described by Vishniac and Santer (1957). The medium was sterilized by autoclaving for 20 min, together with any added growth substrate (1 g l−1). The volatile primary amines, i.e. octylamine and decylamine were added after autoclaving the mineral salt medium. When these volatile primary amines were used as growth substrate, silica gel was added to give a final concentration of 32 g l−1. Silica gel was added to reduce the concentration of alkylamines in the water phase.
Enrichment, isolation and growth
Aerobic long-chain alkylamine degrading micro-organisms were isolated from an enrichment culture developed from activated sludge. The enrichment culture was obtained in batch culture flasks containing 200 ml mineral salts medium and 1.0 g l−1 dodecylamine inoculated with 5 ml of activated sludge. After five subcultures a bacterium in this culture was streaked to purity on agar plates containing mineral salts medium, 1.0 g l−1 dodecylamine and 15 g l−1 agar. The cultures and agar plates were incubated at 30°C. The growth rate of strain BERT was recorded by measuring the increase in turbidity in culture flasks with a Hach Ratio XR turbidimeter (Hach, Loveland, CO, USA). The ability of the strain to grow on other substrates was tested using similar media in which dodecylamine was substituted with possible intermediates or other fatty amine derivatives.
Culture conditions and preparation of washed cell suspensions and cell-free extracts
Cells were grown on octylamine as sole nitrogen, carbon and energy source in a continuous culture. This continuous culture was run at 30°C in a 2-l fermentor (Applikon, Schiedam, The Netherlands) with a working volume of 1.0 l. The impeller speed was 500 rpm. The mineral salt medium was pumped continuously into the fermentor at a rate of 1.0 l day−1 by means of a peristaltic pump. Octylamine was introduced separately to the fermentor with a syringe pump and teflon tube giving a final concentration of 1.0 g l−1. This set-up was required because of transport of the alkylamine through silicone tubes. Cells were also cultivated in the fermentor with acetate, octanal and octanoate under the same conditions but with a mineral salts medium containing the respective organic compounds. The pH of the reactor was maintained at 7.
Experiments on the nitrogen balance were also conducted in the fermentor fed with a mineral salts medium without ammonium chloride. The nitrogen recovery was estimated from the amount of nitrogen leaving the fermentor as biomass, ammonium and total nitrogen. The total nitrogen represents the residual substrate and/or water-soluble nitrogen-containing compound formed during the biodegradation process.
Cells were harvested from the continuous cultures by centrifugation at 25,000g for 10 min and washed three times with 15 mM phosphate buffer, pH 7.0. Washed cells (10 ml) were disrupted by a French pressure cell at 35,000 psi (Thermo IEC, Needham Heights, MA, USA) After one pass the insoluble matter was precipitated at 50,000g for 20 min.
Oxygen consumption
The endogenous and substrate-dependent oxygen uptake rates by washed cell suspensions were determined in a polarographic oxygen monitor (Yellow Springs Instruments, Yellow Springs, OH, USA). The polarographic oxygen monitor consisted of a thermostated vessel with a magnetic stirrer, and an oxygen electrode to measure oxygen depletion. Cells were resuspended in phosphate buffer at 30°C in a final volume of 5 ml. After 5 min necessary to determine the endogenous respiration, the substrate-dependent respiration was measured by injection of 0.1 ml of a 1.0 g l−1 substrate solution into the vessel. Suspensions of alkylamines with more than ten carbons and octanal were heated prior to injection.
Enzyme assays
All enzyme assays were performed at 30°C. Spectrophotometric enzyme assays were carried out in a Shimadzu UV 160A spectrophotometer (Shimadzu, Kyoto, Japan) in 1 cm light-path cuvettes. The oxygen uptake was measured with a polarographic oxygen monitor (Yellow Springs Instruments).
Alkylamine dehydrogenase (phenazinium methyl sulfate (PMS)-dependent) was assayed by recording the oxygen uptake in a polarographic oxygen monitor. The reaction mixture (volume 5 ml) contained 0.8 mM PMS and 0.7 g l−1 protein in a phosphate buffer (15 mM; pH 7). The reaction was started by injecting alkylamine in the reaction vessel at a concentration of 4.0 mM. Alkylamine dehydrogenase (PMS-dependent) activity was also determined by colorimetric detection of ammonium in a reaction vessel containing 8.0 mM octylamine, 0.8 mM PMS and 0.5 g l−1 protein in a phosphate buffer (15 mM; pH 7). The enzyme assays were carried out at least twice and the difference in specific activity was less than 20%.
Alkylamine dehydrogenase (NAD(P)-dependent) activity was spectrophotometrically assayed by measuring the increase of NAD(P)H at 340 nm. The reaction mixture consisted of 1.3 mM NAD(P), a phosphate buffer (15 mM; pH 7) and cell-free extract (1.4 g l−1 protein) in a total volume of 3 ml. The alkylamine dehydrogenase (NAD(P)-dependent) activity was measured under anaerobic conditions to minimize NADH oxidase activity. For that purpose the contents of the cuvettes were stoppered with Suba Seal® septa (Sigma Aldrich, Zwijndrecht, The Netherlands) and flushed with nitrogen gas.
Aldehyde dehydrogenase activity was also measured by spectrophotometric and a respirometric assays. Aldehyde dehydrogenase (PMS-dependent) activity was assayed respirometrically. The reaction mixture (volume 5.0 ml) contained a phosphate buffer (15 mM; pH 7), 0.8 mM PMS, cell-free extract (0.7 g l−1 protein). The reaction was started by injecting octanal in the reaction vessel giving 4.0 mM.
Aldehyde dehydrogenase (NAD(P)-dependent) activity was determined by measuring the increase in absorbance at 340 nm. Reaction mixtures contained phosphate buffer (15 mM; pH 7), 0.15 μM aldehyde, 1.0 mM NAD and 0.1 mM KCN and enzyme solution in a volume of 3 ml.
Analyses
Ammonium was determined colorimetrically by forming indophenol blue with hypochlorite and salicylate in the presence of sodium nitroferricyanide as catalyst (Verdouw et al. 1978).
Protein was quantified by bicinchoninic acid method. Cells were first lysed by incubating at 95°C with 1.0 M NaOH. The protein concentration was estimated by using the Bio-Rad Protein assay kit with bovine serum albumin as standard protein. Dissolved organic carbon and total nitrogen were quantified with a Shimadzu TOC apparatus (Shimadzu).
Octylamine was analysed by ion chromatography with a Dionex DX-120 (Dionex, Sunnyvale, CA, USA). The Dionex DX-102 was equipped with an IonPac CS14 (4 mm) analytical column, a 25 μl sample loop, a CSRS-I in the external water mode and a CDM-3 flow-through conductivity cell with a DS4 detection stabilizer. The DX-120 was operated at a column temperature of 20°C and a detector temperature of 35°C. The eluent was deionized water with 5.0 mM methylsulphonic acid and 2.5% acetonitrile. The eluent flow rate was 1.0 ml min−1.
The dry weight of the micro-organisms was determined by washing and concentrating a known volume from the continuous culture through centrifugation (25,000 g for 30 min). The concentrated biomass on a preweighed watch glass was dried for 1.5 h at 104°C.
Results
Isolation and characterization
A culture capable of growth on dodecylamine was readily enriched from activated sludge through repeated transfers of cells to fresh mineral medium containing dodecylamine. Dodecylamine plates streaked with dilutions of this enrichment culture enabled the isolation of bacteria. The predominant isolate BERT was a Gram-negative, motile, non-spore-forming rod, 2.0–3.5 μm long and 0.6–0.8 μm wide. Oxidase, catalase, urease and alcohol dehydrogenase were present. The strain was able to utilize the following substrates: glucose, phenylacetate, citrate, malate, mannose mannitole and gluconate. It did not grow on maltose, trehalose, m-inositol, citraconate, erytritol, sorbitol, d-xylose, d-tartrate and l-arabinose. The strain was not capable of reducing nitrate. The identity of the primary alkylamine degrading bacterium was determined by the profile of cellular fatty acids and partial 16S rRNA gene sequencing. The profile of the cellular fatty acids is typical for the RNA group I of the genus Pseudomonas. The partial sequences have shown a similarity of 99.3% to Pseudomonas putida, P. plecoglosscida and P. alcaligenes. These characteristics only allow to place strain BERT within the RNA group I of the genus Pseudomonas.
Growth
A number of fatty amine derivatives were tested for their ability to support growth of Pseudomonas strain BERT. The strain was found to be able to grow on a wide range of long-chain primary amines, i.e. octylamine (in the presence of silica gel), decylamine (in the presence of silica gel), dodecylamine, tetradecylamine, octadecylamine, cocoamine oleylamine and tallowamine as sole source of carbon. Coco-1,3-diaminopropane and dodecyl-1,3-diaminopropane—both in the presence of silica gel—were also used as carbon and energy source by Pseudomonas strain BERT whereas dodecyldimethylamine, didodecylamine, didodecymethylamine, dodecyltrimethylammonium chloride did not support growth. Mineral salts media amended with possible intermediates of dodecylamine degradation such as dodecanal, dodecanoic acid and acetate supported growth of Pseudomonas strain BERT.
Depletion of dodecylamine to non-detectable concentrations from the nitrogen-free mineral salts medium in batch cultures and the concurrent growth of the isolate clearly demonstrate that this isolate also used alkylamines as its nitrogen source (data not shown).
Octylamine was used as growth substrate in a number of experiments because this amine is soluble in water at a concentration of 1.0 g l−1. Use of octylamine allowed, for instance, accurate measurement of the increase in turbidity due to growth. From the growth curve, a doubling time of 4 h was estimated (data not shown). Growth yield obtained with Pseudomonas strain BERT was 0.4 g dry weight of cells per g of octylamine utilized. The fate of the nitrogen of octylamine in terms of ammonium, biomass-nitrogen, nitrogen-containing soluble microbial products and residual octylamine was assessed in a continuous culture. Total nitrogen, ammonium and biomass-nitrogen were measured in triplicate. Approximately 25 ± 3% of the nitrogen was recovered as biomass-nitrogen. Octylamine-nitrogen was converted for 60 ± 4% into ammonium. Less than 1% of the nitrogen in the effluent was present as octylamine. Approximately 10 ± 2% of the nitrogen was recovered as water-soluble nitrogen-containing products.
Respiration experiments
The alkylamine-degrading isolate was grown on a number of different substrates as sole source of carbon after which respiration rates of washed cell suspensions were examined with a variety of substrates in order to identify possible intermediates of the degradation pathway (Table 1). Washed cell suspensions of Pseudomonas strain BERT grown with octylamine were capable of oxidizing octylamine, octanoate octanal and acetate. Whole cells of Pseudomonas strain BERT also showed octylamine-dependent oxygen uptake when grown with octanal, and octanoate. However, strain BERT grown with acetate did not respire octylamine. Finally, Pseudomonas strain BERT grown on octanal, octanoate and actate displayed significant activities with the alkanal and alkanoate tested (Table 1).
Table 1.
Oxidation of various potential intermediates of alkylamine degradation by washed cell suspensions of strain BERT grown on octylamine, octanal, octanoate and acetate
| Substrate | Growth substrate | |||
|---|---|---|---|---|
| Octylamine | Octanal | Octanoate | Acetate | |
| nmol min−1 mg−1 protein | ||||
| Octylamine | 85 | 25 | 44 | 0 |
| Octanal | 62 | 43 | 66 | 0 |
| Octanoate | 84 | 53 | 90 | 41 |
| Acetate | 39 | 35 | 41 | 50 |
Rates of oxygen uptake are expressed as nmoles O2 min−1 mg−1 protein after correction for endogenous respiration. The endogenous respiration of the strain grown on octylamine, octanal, octanoate and acetate were 8, 4, 8 and 6 nmol O2 min−1 mg protein−1, respectively
The ability of octylamine-grown strain BERT to oxidize alkylamines was also evaluated (Table 2). Octylamine-grown cells were capable of oxidizing all alkylamines with alkyl chains ranging from 3 to 18 carbon atoms. The highest activity was observed when hexylamine, octylamine and decylamine were added to the reaction vessel. The oxidation rate of nonylamine was comparable to the activity found with octylamine. Propylamine was respired at a low rate. Low activities were also detected with alkylamines with more than 14 carbon atoms. All other fatty amine derivatives except for dodecyl-1,3-diaminopropane were not oxidized by strain BERT grown on octylamine (Table 2).
Table 2.
Oxidation of various alkylamines by washed cell suspensions and alkylamine dehydrogenase (PMS-dependent)
| Substrate | Washed cell suspension | Cell-free extract |
|---|---|---|
| nmol min−1 mg−1 protein | ||
| Butylamine | 14 | 5 |
| Hexylamine | 88 | 30 |
| Octylamine | 85 | 33 |
| Decylamine | 76 | 34 |
| Dodecylamine | 67 | 31 |
| Tetradecylamine | 57 | 35 |
| Hexadecylamine | 31 | 18 |
| Octadecylamine | 12 | 5 |
| Nonylamine | 85 | 35 |
| Propylamine | 7 | 3 |
| Methylamine | 0 | 0 |
| Didecylamine | 0 | 0 |
| Decyldimethyamine | 0 | 0 |
| Decyltrimethylammonium | 0 | 0 |
| Dodecyl-1,3-diaminopropane | 16 | 5 |
Rates of oxygen uptake are expressed as nmoles O2 min−1 mg−1 protein. The rates for the washed cell suspensions are corrected for the endogenous respiration of octylamine-grown cells, i.e. 8 nmol O2 min−1 mg protein−1
Enzymatic activities
Activities of enzymes that may be involved in alkylamine metabolism were tested in cell-free extracts prepared from cells grown on octylamine. Extracts of octylamine–grown cells released ammonium in stoichiometric amounts from octylamine in the presence of PMS (Fig. 1). In another experiment the presence of PMS induced the consumption of 0.08 mM oxygen upon the addition of 0.17 mM octylamine. The activity of the PMS-dependent alkylamine dehydrogenase with dodecylamine was 31 nmol min−1 mg−1 protein. NAD and NADP could not replace the artificial electron acceptor. The substrate specificity of cell-free extracts catalysing the conversion of alkylamines was studied by measuring the oxygen consumption in the presence of PMS. The enzyme was active towards alkylamines with alkyl chains with 8–18 carbons. Propylamine, nonylamine and dodecyl-1,3-diaminopropane also acted as substrate for the enzyme. Among the primary alkylamines examined, the most preferred were alkylamines with alkyl chains length ranging from 8 to 12 carbons. Methylamine secondary, tertiary and quaternary fatty amine derivatives were no adequate substrates (Table 2). Demonstration of alkanal dehydrogenase activity in cell extracts was achieved by incubating cell-free extracts with octanal and PMS and measuring the oxygen consumption. An activity of 19 nmol O2 min−1 mg−1 protein was measured. Alkanal dehydrogenase activity was not detected with other electron acceptors, i.e. NAD and NADP, despite repeated attempts.
Fig. 1.
Formation of ammonium from 0.78 mM octylamine by cell-free extract of octylamine-grown cells in the presence (open square) and absence (filled square) of PMS. The protein concentration in the assay was 0.5 g l−1
Discussion
The fate of long-chain alkylamines in the environment is largely dependent on the ability of micro-organisms to metabolize these compounds. Although degradation of alkylamines in OECD ready biodegradability tests has been observed (Yoshimura et al. 1980; OECD 1992; van Ginkel et al. 1995), little is known about the intermediates in the biodegradation process and the enzymes involved in the biodegradation. In this paper, we describe the properties of the newly isolated Pseudomonas strain BERT, which is capable of degrading long-chain alkylamines. Yoshimura et al. (1980) also isolated a Pseudomonas strain. Both Pseudomonas strains degraded primary alkylamines with varying alkyl chain lengths. Pseudomonas species are noted for their metabolic diversity and are often isolated from enrichments designed to identify bacteria that degrade anthropogenic organic compounds. Another species known to utilize a long-chain alkylamine as sole source of carbon and energy is from the genus Rhodococcus isolated from top soil (Selig et al. 1999).
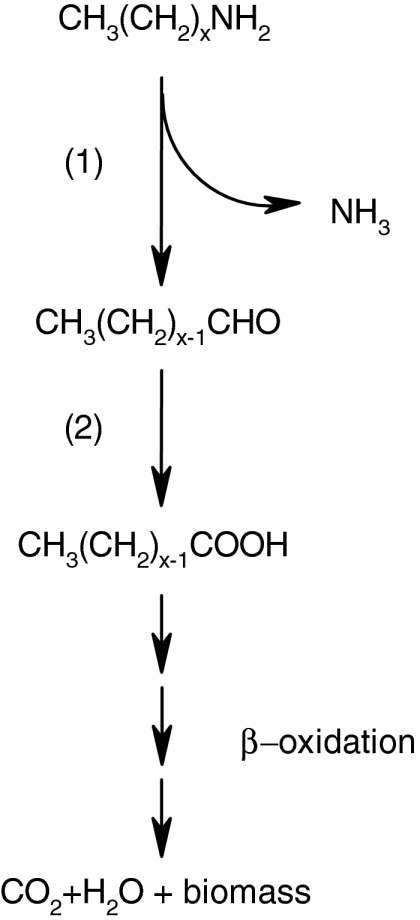
A nitrogen mass balance obtained in a continuous culture already, strongly indicated that octylamine a water soluble long-chain alkylamine is completely (ultimately) biodegradable because almost all of the octylamine-nitrogen was converted into biomass-nitrogen and ammonium. Other evidence of complete degradation of alkylamines has been obtained through the proposed biodegradation pathway. The biodegradation of alkylamines was assumed to proceed either via a Calkyl–N cleavage or oxidation at the far-end of the alkyl chain. Based on the induction pattern, and PMS-dependent dehydrogenase activity with alkylamines, the biodegradation of alkylamines is suspected to involve a cleavage of the Calkyl–N bond, which yield the respective alkanals and ammonium. The alkanals are oxidized by a PMS-dependent alkanal dehydrogenase to the respective fatty acids. The induction of long-chain alkanal dehydrogenase activity by growth of the bacterium on octylamine demonstrates that alkanals are significant intermediates. A PMS-dependent long-chain alkanal dehydrogenase was also detected in Acinetobacter calcoaceticus HO1-N grown on hexadecane and hexadecanol (Fox et al. 1992). At present it is unknown if both the alkanal and the alkylamine are dehydrogenated by the same enzyme in Pseudomonas strain BERT. Fatty acids produced by the alkanal dehydrogenase are channelled into the β-oxidation cycle (Ratledge 1994). The degradative pathway shown in Fig. 2 is inducible because octylamine is not oxidized by acetate-grown cells (Table 1). The degradation pathway is quite similar to those described for alkyltrimethylammonium salts, alkyldimethylamines and alkylbis(2-hydroxyethyl)amines (van Ginkel 1996, 2003). This biodegradation pathway provides evidence of total mineralization of alkylamines as indicated by the nitrogen mass balance and the ready biodegradability test results (Yoshimura et al. 1980; van Ginkel et al. 1995).
Fig. 2.

Proposed pathway for the degradation of alkylamines in Pseudomonas strain BERT; (1) alkylamine dehydrogenase, (2) aldehyde dehydrogenase. The fatty acids formed are channelled into the β-oxidation cycle
PMS, an artificial electron acceptor is generally used to assay enzymes known as quinoprotein enzymes. Physiological electron acceptors are cytochrome c, protein-bound haem and ubiquinone. Methylamine dehydrogenases (de Beer et al. 1980; Duine et al. 1990), short-chain alkylamine dehydrogenases (Shinagawa et al. 1988) and a long-chain alkanal dehydrogenase (Fox et al. 1992) have been identified as quinoproteins. Methylamine dehydrogenases catalyse the oxidative deamination of methylamine to methanal and ammonium (McIntire et al. 1990). The PMS dependent removal of ammonium from alkylamines in strain BERT may be catalysed by an enzyme similar to methylamine dehydrogenases although no activity towards methylamine was detected (Table 2). Zhu et al. (2000) demonstrated that the conversion of one amino acid of methylamine dehydrogenase altered the substrate preference of methylamine dehydrogenase to a large extent. The preferred substrates of the mutated enzyme are alkylamines with at least seven carbons. Long-chain alkylamines are probably also oxidized by an alkylamine dehydrogenase isolated from a butylamine-grown Pseudomonas sp. although the highest activity was found with butylamine (Shinagawa et al. 1988). A quinoprotein was also found in a P. putida catalysing the deamination of propylamine and butylamine both naturally occurring alkylamines (Adachi et al. 1998). Only a long-chain alkylamine dehydrogenase is required to convert anthropogenic alkylamines into compounds, which can enter an existing pathway. This enzyme may have evolved from methylamine dehydrogenases or short-chain alkylamine dehydrogenases involved in the degradation of naturally occurring amines.
A major feature of Pseudomonas strain BERT is its broad substrate specificity with respect to primary alkylamines. Activities of washed cell suspensions and alkylamine dehydrogenase activities in cell-free extracts demonstrate that alkylamines with alkyl chain lengths ranging from 6 to 10 carbons are preferred. Odd alkyl chain amines were also respired by Pseudomonas strain BERT. Water-insoluble long-chain alkylamines are oxidized at a lower rate by washed cell suspensions and alkylamine dehydrogenase of strain BERT. This probably reflects the low bioavailability of the long-chain alkylamines. Limited bioavailability of long-chain alkylamines (C12 to C18) can also be concluded from the non-toxicity of the alkylamines to strain BERT at a concentration of 1.0 g l−1. In batch cultures growth of Pseudomonas strain BERT on octylamine and decylamine was only possible in the presence of silica gel. Silica gel reduces the toxicity of fatty amine derivatives through adsorption onto the silica gel (van Ginkel et al. 1992; Selig et al. 1999).
The ease with which Pseudomonas strain BERT was isolated and the high growth rate of strain BERT are consistent with studies showing ready biodegradability of many primary amines (Yoshimura et al. 1980; van Ginkel et al. 1995). Based on the biodegradation pathway and the broad substrate specificity, significant differences in the biodegradability of alkylamines with varying chain lengths are not expected. However, degradation of primary alkylamines does differ in ready biodegradability tests (Yoshimura et al. 1980). This can be explained by biocidal effects and limited bioavailability. Reading across of the ready biodegradability test results enabled by this study reveals that all long-chain alkylamines—both saturated and unsaturated—are readily biodegradable. Future research should focus on identifying the intermediates and purifying the enzymes involved in the degradation of alkylamines.
References
- Adachi O, Kubota T, Hacisalihoglu A, Toyama H, Shinagawa E, Duine JA, Matsushita K (1998) Biosci Biotechnol Biochem 62:469–478 [DOI] [PubMed]
- de Beer R, Duine JA, Frank J, Large PJ (1980) The prosthetic group of methylamine dehydrogenase from Pseudomonas AMI. Evidence for a quinone structure Biochim. Biophys Acta 6232:370–374 [DOI] [PubMed]
- Duine JA, van der Meer RA, Groen BW (1990) The co-factor pyrrolo-quinoline quinone. Ann Rev Nutrition 10:297–318 [DOI] [PubMed]
- Fox MGA, Dickinson FM, Ratledge C (1992) Long-chain alcohol and aldehyde dehydrogenase activities in Acinetobacter calcoaceticus strain HO1-N. J Gen Microbiol 138:1963–1972 [DOI] [PubMed]
- Finlay JA, Callow ME (1997) The toxicity of alkyl amines: the effects of pH. Biofouling 11:19–30
- van Ginkel CG, van Dijk JB, Kroon AGM (1992) The metabolism of hexadecyltrimethylammonium chloride in Pseudomonas B1. Appl Environ Microbiol 58:3083–3087 [DOI] [PMC free article] [PubMed]
- van Ginkel CG, Pomper MA, Stroo CA, Kroon AGM (1995) Biodegradation of fatty amines: utilization of the alkyl chain by isolated micro-organisms. Tenside Surf Deterg 32:355–359
- van Ginkel CG (1996) Complete degradation of xenobiotic surfactants by consortia of aerobic micro-organisms. Biodegradation 7:151–164 [DOI] [PubMed]
- van Ginkel CG (2004) Biodegradation of cationic surfactants; an environmental perspective. In: Zoller U (ed) Handbook of detergents part B environmental impact. Marcel Dekker, New York, pp 523–549
- OECD (1992) Guidelines for testing of chemicals, degradation and accumulation, ready biodegradability, Guideline 301. Organisation for Economic Co-operation and Development. Paris, France
- McIntire WS, Wemmer DE, Chistoserdov A, Lidstom ME (1990) A new cofactor in a prokaryotc enzyme: tryptophan tryptophylquinone as the redox prosthetic group in methylamine dehydrogenase. Science 252:817–824 [DOI] [PubMed]
- Newsome LD, Johnson DE, Lipnick RL, Broderius SJ, Russom CL (1991) A QSAR study of the toxicity of amines to the fathead minnow. Sci Tot Env 109/110:537–551 [DOI] [PubMed]
- Ratledge C (1994) Biodegradation of oils, fats and fatty acids. In: Ratledge (ed) Biochemistry of microbial degradation. Kluwer, Amsterdam, The Netherlands, pp 89–141
- Schultz TW, Wilke TS, Bryant SE, Hosein LM (1991) QSARs for selected aliphatic and aromatic amines. Sci Tot Env 109/110:581–587 [DOI] [PubMed]
- Selig H, Hayes KF, Adriaens P (1999) The role of dissolved silica on the biodegradation of octylamine. Environ Sci Technol 33:3723–3729 [DOI]
- Shinagawa E, Matsushita K, Nakashima K, Adachi O, Ameyama M (1988) Chrystallization and properties of amine dehydrogenase from Pseudomonas sp. Agric Biol Chem 52:2255–2263
- Verdouw H, Echteld CJA, Dekkers EMJ (1978) Ammonia determination based on indophenol formation with sodium salicylate. Water Res 12:399–402 [DOI]
- Vishniac W, Santer M (1957) The Thiobacilli. Bacteriol Rev 21:195–213 [DOI] [PMC free article] [PubMed]
- Yoshimura K, Machida S, Masuda F (1980) Biodegradation of long chain alkylamines. J Am Oil Chem Soc 99:238–241 [DOI]
- Zhu Z, Sun D, Davidson VL (2000) Conversion of methylamine dehydrogenase to long-chain amine dehydrogenase by mutagenesis of a single residue. Biochem 39:11184–11186 [DOI] [PubMed]

