Abstract
T cell receptor (TCR) antagonism is being considered for inactivation of aggressive T cells and reversal of T cell–mediated autoimmune diseases. TCR antagonist peptides silence aggressive T cells and reverse experimental allergic encephalomyelitis induced with free peptides. However, it is not clear whether free antagonist peptides could reverse natural disease where the antigen is presumably available for endocytic processing and peptides gain access to newly synthesized class II MHC molecules. Using an efficient endocytic presentation system, we demonstrate that a proteolipid protein (PLP) TCR antagonist peptide (PLP-LR) presented on an Ig molecule (IgPLP-LR) abrogates the activation of T cells stimulated with free encephalitogenic PLP peptide (PLP1), native PLP, or an Ig containing PLP1 peptide (Ig-PLP1). Free PLP-LR abolishes T cell activation when the stimulator is free PLP1 peptide, but has no measurable effect when the stimulator is the native PLP or Ig-PLP1. In vivo, Ig-PLP1 induces a T cell response to PLP1 peptide. However, when coadministered with Ig-PLP-LR, the response to PLP1 peptide is markedly reduced whereas the response to PLP-LR is normal. Free PLP-LR coadministered with Ig-PLP1 has no effect on the T cell response to PLP1. These findings indicate that endocytic presentation of an antagonist peptide by Ig outcompete both external and endocytic agonist peptides whereas free antagonist hinders external but not endocytic agonist peptide. Direct contact with antagonist ligand and/or trans-regulation by PLP-LR–specific T cells may be the operative mechanism for Ig-PLP-LR–mediated downregulation of PLP1-specific T cells in vivo. Efficient endocytic presentation of antagonist peptides, which is the fundamental event for either mechanism, may be critical for reversal of spontaneous T cell–mediated autoimmune diseases where incessant endocytic antigen processing could be responsible for T cell aggressivity.
Over the last few years it has become clear that the avidity of T cell–APC interactions dictates thymic learning and tolerance to self antigens (1). Accordingly, high avidity interactions lead to elimination of the T cell, whereas low avidity interactions allow for maturation and exit from the thymus (2–4). Although this mechanism is effective in purging the immune system of autoreactivity, T cell precursors endowed with self reactivity could still be generated if the autoantigen is sequestered and does not reach for thymic presentation, is subjected to thymic crypticity, or is poorly presented (5–7). Superantigens capable of reacting with particular Vβ-TCR (8) and events that could set to motion antigen mimicry (9), epitope spreading (10), or peripheral loosening in peptide crypticity (11), may trigger activation of those self-reactive T cells and cause antigen exposure. Continuous supply of autoantigen and abundant generation of TCR ligands may be the mechanism of T cell aggressivity. Multiple sclerosis (MS)1, type I diabetes, and rheumatoid arthritis, all of which are thought to be T cell– mediated autoimmune diseases qualify as examples of a spontaneous break of self tolerance (12–14).
Experimental allergic encephalomyelitis (EAE) that is used as an animal model for MS can be induced in susceptible strains of mice with myelin autoantigens such as proteolipid protein (PLP) and myelin basic protein (MBP; for review see reference 15). The encephalitogenic activity of these proteins correlates with the presence of peptides that induce in vivo class II–restricted encephalitogenic T cells and consequently EAE (15). The peptide corresponding to amino acid (aa) residues 139–151 of PLP (hereafter is referred to PLP1) is encephalitogenic in H-2s SJL mice (16), and T cell lines specific for PLP1 transfer EAE into naive animals (17). Although the target antigen(s) in human MS is still debatable, the frequency of T cells specific for myelin proteins are higher in MS patients than in normal subjects (18–19). Therefore, silencing those myelin-reactive T cells may be a logical approach to reverse MS.
Interaction of T cells with altered peptide ligands could have various effects on TCR-mediated effector functions (20). These include induction of cytokine production without proliferation (21), changes in the profile of cytokines produced (22), TCR antagonism that is a state of cytokine and proliferative unresponsiveness (23–25), and anergy that is a state of cytokine and proliferative unresponsiveness to a subsequent stimulation with the agonist peptide (26). Peptide analogues represent an attractive approach to modulating the effector functions of aggressive T cells and ameliorating autoimmune diseases. A promising success was achieved in the EAE system in which mice induced for EAE with a free MBP encephalitogenic peptide or by transfer of an MBPspecific T cell clone recovered from the disease when they were treated with a peptide analogue (27, 28). Similarly, treatment of human T cells specific for MBP with a TCR antagonist peptide modulated their cytokine production profile and increased secretion of TGF-β (22). Reversal of EAE was also achieved with a TCR antagonist peptide derived from PLP1 peptide (29). Indeed, when the major TCR contacting residues within PLP1 were mutated, the resulting peptide analogue (hereafter referred to as PLP-LR), although binding to I-As equally as well as PLP1, does not activate PLP1-specific T cells. Instead, PLP-LR inhibits in vitro activation of the T cells by PLP1. In addition, EAE induced in mice with free PLP1 peptide resolved after treatment with free PLP-LR (29). Since only a few MHC– peptide complexes are available on the surface of APCs, and a single complex may be required to serially trigger ∼200 TCRs to activate the T cells (30, 31), the ratio of antagonist versus agonist ligands on the surface of a given APC becomes a major factor as to whether injection of free peptide analogues could reverse spontaneous autoimmune disease where the autoantigen could be continuously available. Furthermore, the presentation of autoantigens may operate through an endocytic pathway loading peptides onto newly synthesized MHC molecules and generating an unsurmountable agonist–MHC target to overcome. Overcoming such obstacles may demand highly effective antagonist systems. One such approach might well be peptide presentation on autologous Ig. Ig can function as a delivery system for T cell peptides (32, 33). A 100–1,000-fold increase in T cell activation was observed when a class II–restricted peptide from the hemagglutinin (HA) of influenza virus was presented on an Ig chimera, Ig-HA (34). Similar results were obtained when a class II peptide from λ2 phage repressor protein was expressed on an IgG1 molecule (35). The increase in T cell activation appears to result from efficient peptide loading onto MHC molecules (36).
In the present report, we asked whether Ig-mediated endocytic presentation of an antagonist peptide could out compete high endosomal antigen load and downregulate autoreactive T cells. To this end, PLP-LR antagonist peptide was expressed on an Ig molecule and the resulting Ig– PLP-LR chimera was compared with free PLP-LR for antagonism of PLP-specific T cells. The results indicate that Ig-PLP-LR inactivates PLP1-specific T cells whether the stimulator is PLP1 peptide, native PLP, or even an Ig expressing PLP1 (Ig-PLP1). However, a free PLP-LR peptide could not inhibit IL-2 production when the T cells were stimulated with APCs pulsed with Ig-PLP1 or native PLP. In vivo, when Ig-PLP1 was administered to SJL/J mice it induced a strong PLP1-specific T cell response, but when coadministered with Ig-PLP-LR, the response to PLP1 fell to almost background levels. Efficient endocytic presentation of antagonist peptides may therefore oppose the unlimited and persistent generation of endogenous self peptides that might occur in T cell–mediated autoimmune diseases such as MS.
Materials and Methods
Animals
6–8-wk-old SJL/J mice (H-2s) were purchased from Harlan Sprague Dawley (Frederick, MD) and maintained in our animal facility for the duration of experiments. New Zealand white rabbits were purchased from Myrtle's Rabbitry (Thompson Station, TN).
Antigens
Peptides.
All peptides used in these studies were purchased from Res. Genetics (Huntsville, Alabama) and purified by HPLC to >90% purity. PLP1 peptide (HSLGKWLGHPDKF) encompasses an encephalitogenic sequence corresponding to aa residues 139–151 of PLP (16). PLP-LR (HSLGKLLGRPDKF) is a mutant form of PLP1 in which Trp144 and His147 were replaced with Leu and Arg, respectively (29). PLP1 and PLP-LR bind equally well to I-As class II molecules (29). However, stimulation of T cell hybridomas with PLP1 in the presence of PLP-LR leads to blockade of IL-2 production by these T cells (29). PLP2 peptide (NTWTTCQSIAFPSK) encompasses an encephalitogenic sequence corresponding to aa residues 178–191 of PLP (37). This peptide binds to I-As class II molecules and induces EAE in SJL/J mice (37). HA110-120 peptide corresponds to aa residues 110– 120 of the HA of influenza virus. HA110-120 binds to I-Ed class II molecules and is used here as control peptide (34).
Ig-PLP Chimeras.
PLP1 and PLP-LR peptides were expressed on Ig chimeras that were designated Ig-PLP1 and Ig-PLP-LR, respectively. The genes used to construct these chimeras are those coding for the light (38) and heavy (39) chains of the anti-arsonate antibody, 91A3. The procedures for deletion of the heavy chain CDR3 region and replacement with nucleotide sequences coding for PLP1 and PLP-LR are similar to those described for the generation of Ig-NP (40), a chimera carrying a CTL epitope corresponding to aa residues 147–161 of the nucleoprotein of PR8 influenza A virus. In brief, the 91A3VH gene was subcloned into the EcoRI site of pUC19 plasmid and used as template DNA in PCR mutagenesis reactions (40) to generate 91A3VH fragments carrying PLP1 (91A3VH-PLP1) and PLP-LR (91A3VH-PLP- LR) sequences in place of CDR3. Nucleotide sequencing analysis indicated that full PLP1 and PLP-LR sequences were inserted in the correct reading frame (not shown). The 91A3VH-PLP1 and 91A3VH-PLP-LR fragments were then subcloned into the EcoRI site of pSV2-gpt-Cγ2b in front of the exons coding for the constant region of a BALB/c γ2b that generated pSV2-gpt91A3VH-PLP1-Cγ2b and pSV2-gpt-91A3VH-PLP1-LR-Cγ2b plasmids, respectively. These plasmids were then separately co-transfected into the non-Ig–producing SP2/0 B myeloma cells with an expression vector carrying the parental 91A3 light chain, pSV2neo-91A3L (38, 40). Transfectants producing Ig chimeras were selected in the presence of geneticin and mycophenolic acid. Transfectants were cloned by limiting dilution, and final clones secreted 1–4 μg/ml of Ig-PLP chimeras. All the cloning, sequencing, and purification procedures are similar to those used to generate IgNP (40) and Ig-HA (34). Nucleotide sequences and detailed mutagenesis procedures for Ig-PLP1 and Ig-PLP-LR will be published elsewhere. Also used in these studies was Ig-W (40), a chimera encoded by wild-type genes that does not carry any PLP peptide.
Large scale cultures of transfectants were carried out in DMEM containing 10% iron enriched calf serum (Intergen Corp., Purchase, New York). Ig-PLP chimeras were purified from culture supernatant on columns made of rat anti–mouse κ chain coupled to CNBr activated Sepharose 4B (Pharmacia). To avoid crosscontamination, separate columns were used to purify the chimeras.
PLP.
PLP was purified from rat brain according to a previously described procedure (41). In brief, the brain was homogenized in 2:1 vol/vol chloroform/methanol, and the soluble crude lipid extract was separated by filtration through a scintered glass funnel. PLP was then precipitated with acetone and the pellet was redissolved in a mixture of chloroform, methanol, and acetic acid and passed through a sephadex column (LH-20-100; Sigma Chemical Co., St. Louis, MO) to remove residual lipids. Removal of chloroform from the eluates and conversion of PLP into its apoprotein form were carried out simultaneously through gradual addition of water under a gentle stream of nitrogen. Subsequently, extensive dialysis against water was performed to remove residual acetic acid and methanol.
Production of Rabbit Anti–peptide Antibodies
PLP1 and PLP-LR peptides were coupled to KLH and BSA as described (42). Rabbits were immunized with 1 mg peptide– KLH conjugates in CFA and challenged monthly with 1 mg conjugate in IFA until a high antibody titer was reached as described (43). The peptide–BSA conjugates were coupled to Sepharose and used to purify anti–peptide antibodies from the rabbit antiserum.
Radioimmunoassay
Capture radioimmunoassay was used to assess expression of PLP peptides on Ig. Microtiter 96-well plates were coated with rabbit anti–peptide antibodies (5 μg/ml) overnight at 4°C and blocked with 2% BSA in PBS for 1 h at room temperature. The plates were then washed three times with PBS, and graded amounts of Ig-PLP chimeras were added and incubated for 2 h at room temperature. After three washes with PBS, captured Ig-PLP chimeras were revealed by incubating the plates with 105 cpm/well 125I-labeled rat anti–mouse κ mAb for 2 h at 37°C. The plates were then washed five times with PBS and counted using an LKB gamma counter.
Cells
PLP1-specific T cell hybridomas 5B6 and 4E3 (29) and the IL-2– dependent HT-2 T helper were obtained from Drs. M.B. Lees and V. Kuchroo (The Eunice Kennedy Shriver Center, Waltham, MA). The 5B6 and 4E3 T cells recognize PLP1 in association with I-As and produce IL-2 in response to it (29). However, when stimulated with PLP1 and then with PLP-LR, they become unable to produce IL-2 (29). The rat anti–mouse κ chain mAb (187.1 or American Type Culture Collection denotation, HB-58) and the mouse anti–rat κ light chain mAb (MAR 18.5 or American Type Culture Collection denotation TIB 216) were obtained from American Type Culture Collection (Rockville, MD). These hybridomas were grown to large scale and purified from culture supernatant on each other. The rat anti–mouse κ mAb was used to prepare columns on which Ig-PLP chimeras were purified from culture supernatant.
T Cell Activation Assay
Irradiated (3,000 rads) SJL splenocytes (used as APCs) were incubated in 96-well round-bottom plates (5 × 105 cells/well/50 μl) with graded concentration of antigens (100 μl/well). After 1 h, T cell hybridomas (5 × 104 cells/well/50 μl) were added and the culture was continued overnight. Activation of the T cells was assessed by measuring production of IL-2 in the culture supernatant. This was done by [3H]thymidine incorporation using the IL-2–dependent HT-2 cells. In brief, culture supernatants (100 μl/well) were incubated with HT-2 cells (104/100 μl/well) in 96-well flat-bottom plates for 24 h. Subsequently, 1 μCi [3H]thymidine was added per well and the culture was continued for an additional 12–14 h. The cells were then harvested on glass fiber filters, and incorporated [3H]thymidine was counted using the trace 96 program and an Inotech β counter. The culture media used to carry out these assays were DMEM supplemented with 10% FBS, 0.05 mM 2-mercaptoethanol, 2 mM glutamine, 1 mM sodium pyruvate, and 50 μg/ml gentamycin sulfate.
Assay for Inhibition of T Cell Activation
Irradiated (3,000 rads) SJL/J splenocytes (used as APCs) were incubated in 96-well round-bottom plates (5 × 105 cells/well/50 μl) with the stimulator antigen (optimal dose in 50 μl/well) and graded concentration of inhibitor (100 μl/well) for 1 h. Subsequently, T cell hybridomas (5 × 104 cells/well/50 μl) were added and the culture was continued overnight. IL-2 production in the supernatant, which was used as measure of T cell activation, was determined using HT-2 cells, as above.
Immunization of Mice with Ig Chimeras and Peptides
Immunization with Ig-PLP1.
Mice were immunized subcutaneously in the foot pads and at the base of the limbs and tail with 50 μg of Ig-PLP1 emulsified in a 200 μl mixture 1:1 vol/vol PBS/CFA. 10 d later the mice were killed by cervical dislocation, the spleens and lymph nodes (axillary, inguinal, popliteal, and sacral) were removed, single cell suspensions were prepared, and the T cell responses were analyzed as described below.
Co-immunization of Mice with Ig-PLP1 and Ig-PLP-LR, Ig-W, or PLP-LR peptide.
Individual mice from three groups (four mice per group) were injected subcutaneously as above with a 200 μl mixture (PBS/CFA, 1:1 vol/vol) containing 50 μg Ig-PLP1 and 150 μg Ig-PLP-LR; 50 μg Ig-PLP1 and 150 μg Ig-W; or 50 μg Ig-PLP1 and 100 μg PLP-LR peptide. Splenic and lymph node T cell responses were analyzed at day 10 after immunization.
Assays for Spleen and Lymph Node Proliferative Responses
Lymph node and spleen cells were incubated in 96-well roundbottom plates at 4 and 10 × 105 cells/100 μl/well, respectively, with 100 μl of stimulator for 3 d. Subsequently, 1 μCi [3H]thymidine was added per well, and the culture was continued for an additional 12–14 h. The cells were then harvested on glass fiber filters, and incorporated [3H]thymidine was counted using the trace 96 program and an Inotech β counter. The stimulators were used at the following concentrations: PLP1, PLP2, and PLP-LR peptides at 15 μg/ml, and proteolipid protein (PPD) at 5 μg/ml. A control media with no stimulator was included for each mouse and used as background.
Results
Expression of PLP Peptides on Ig Molecules.
Two Ig-PLP chimeras designated Ig-PLP1 and Ig-PLP-LR were constructed to include PLP1 and PLP-LR peptides, respectively (Fig. 1). In both cases, the heavy chain CDR3 loop was deleted and replaced with nucleotide sequences coding for the selected peptide. DNA sequencing analysis indicated insertion of peptide nucleotide sequences in the correct reading frame (not shown). In addition, rabbit antibodies to synthetic PLP1 and PLP-LR peptides recognized the chimeras (Fig. 2). Indeed, when Ig-PLP1 and Ig-PLPLR were incubated on plates coated with rabbit anti-PLP1 antibodies they were captured by these rabbit antibodies and bound 125I-labeled rat anti–mouse κ chain mAb (Fig. 2 a). Similarly, both Ig-PLP1 and Ig-PLP-LR were captured by rabbit anti–PLP-LR (Fig. 2 b). Ig-W, the wild-type 91A3 antibody without peptide and an IgM control antibody, did not show significant binding to the rabbit antibodies. IgPLP1 bound to both anti-PLP1 and anti-PLP-LR antibodies better than did Ig-PLP-LR, indicating that structural differences affected accessibility of the peptides to the rabbit antibodies. The above experiments also indicated that peptide expression on the chimeras did not alter heavy and light chain pairing because the rabbit antibodies bind to the PLP peptide on the heavy chain and the rat anti-κ binds on the light chain.
Figure 1.
Schematic representation of Ig-PLP1 and Ig-PLP-LR. The CDR3 loop (D segment) of the heavy chain variable region of the antiarsonate antibody 91A3, was deleted and replaced with nucleotide sequences that encode PLP1 and PLP-LR peptides. These chimeric VH genes were then ligated to a gene encoding a BALB/c γ2b constant region to generate complete chimeric heavy chain. These heavy chains were then co-transfected with parental 91A3 κ light chain into the non-Ig– secreting myeloma cell SP2/0 to generate a complete IgG2b,K chimera carrying PLP1 (Ig-PLP1) and PLP-LR (Ig-PLP-LR) peptide. Other chimeras were also used as controls: Ig-HA, an Ig molecule carrying in place of the D segment the HA110-120 T helper epitope from the HA and differ from Ig-PLP1 and Ig-PLP-LR only by the peptide inserted within CDR3. Ig-W is the product of unmodified (wild-type) 91A3VH gene, BALB/c γ2b constant region, and 91A3 κ light chain. Therefore, it differs from Ig-PLP1 and Ig-PLP-LR in the CDR3 region which is the parental D segment. Ig-PLP2 is a chimera that carries aa residues 178–191 of PLP (this chimera will be described elsewhere) within the heavy chain CDR3 loop.
Figure 2.
PLP peptide expression on Ig-PLP1 and Ig-PLP-LR. Rabbit antibodies to PLP1 and PLP-LR were used in a capture radioimmunoassay to demonstrate peptide expression on the chimeras. Micotiter plates were coated with affinity-purified rabbit antibodies to PLP1 (a) or to PLP-LR (b), blocked with BSA, and incubated with graded amounts (27, 9, 3, and 1 μg/ml) of Ig-PLP1, Ig-PLP-LR, or negative control Ig-W. Captured Ig were revealed with 125I-labeled rat anti–mouse κ light chain mAb. Shown are the mean ± SD of triplicates obtained with 27 μg/ml of chimeras.
Presentation of Ig-PLP Chimeras to T Cells.
The CDR3 of the 91A3 Ig is permissive for peptide expression, and both class I– and class II–restricted epitopes have been efficiently processed and presented to T cells when grafted in place of the D segment (34, 40). Ig-PLP1 that includes the PLP1 peptide within CDR3 is also presented to specific T cells (Fig. 3). T cell hybridomas 5B6 and 4E3 specific for PLP1 produced IL-2 subsequent to stimulation with APCs pulsed with Ig-PLP1 as they have done when pulsed with PLP1 and native PLP. The negative controls Ig-W, Ig-HA, and PLP2 peptide did not induce the production of IL-2 by the T cells. Both Ig-PLP-LR and PLP-LR peptide do not stimulate 5B6 and 4E3 for production of IL-2 (Fig. 3). These results are expected because PLP-LR peptide is known to negate rather than stimulate IL-2 production. However, whereas these experiments could not show the processing and presentation of Ig-PLP-LR, we have evidence that PLP-LR peptide is released from the chimeras and presented to the T cells (see below).
Figure 3.
Presentation of IgPLP chimeras to PLP1-specific T cell hybridomas. Ig-PLP1 and Ig-PLP-LR were assayed for presentation to the PLP1-specific T cell hybridomas 4E3 (a) and 5B6 (b) by measurement of IL-2 production as indicated in the Materials and Methods section. Irradiated SJL/J splenocytes (as APCs) were incubated with the indicated antigens and T cells overnight, and IL-2 content of the supernatant was measured by [3H]thymidine incorporation using the IL-2–dependent HT-2 cells. The concentration of antigen was 0.1 μM for Ig-PLP1, Ig-PLP-LR, Ig-HA, and Ig-W; 1 μM for PLP1 and PLP2 peptides; and 1.7 μM for PLP. Each value represents the mean ± SD of triplicate wells.
Efficient Presentation of Ig-PLP1 to T Cells.
In spontaneous disease, exposure and continuous endocytic presentation of autoantigen may generate significant levels of MHC–agonist complexes. Ig-PLP1 was constructed for the purpose of establishing a peptide delivery system that could efficiently operate through the endocytic pathway and generate high levels of agonist ligands such that it provides a relevant system to investigate T cell antagonism in a situation similar to presentation of autoantigens. It is therefore important to determine the efficacy of Ig-PLP1 in peptide delivery and presentation to specific T cells. To this aim, dose response T cell activation assays were performed with free PLP1 peptide, native PLP, and Ig-PLP1. The results shown in Fig. 4 indicate that the PLP1 T cell epitope was better presented by Ig-PLP1 than by native PLP or by free PLP1 peptide. Although the plateau of IL-2 production was higher when the T cell stimulator is PLP1 synthetic peptide, the individual half maximal IL-2 production by the T cells required about 100-fold higher of PLP or PLP1 peptide than Ig-PLP1 (Fig. 4). The efficacy of Ig-PLP1 in peptide delivery may be related to FcR-mediated internalization and access to newly synthesized MHC molecules, as we have previously shown for Ig-HA (34, 36), whereas PLP may internalize by simple fluid phase pinocytosis, and PLP1 peptide may bind to empty MHC class II molecules at the cell surface. Overall, Ig-PLP1 is efficient in loading PLP1 peptide onto class II molecules within the endosomal compartment.
Figure 4.
Efficient presentation of Ig-PLP1 to 4E3 T cell hybridoma. Graded amounts of each antigen were incubated with splenic SJL/J APCs and the PLP1-specific 4E3 T cell hybridoma, and IL-2 production was measured by [3H]thymidine incorporation using the IL-2–dependent HT-2 cells as described in the legend to Fig. 3. Each point represents the mean of triplicates. The SD did not exceed 10% of the mean value. Although the maximal activation varied among the three different stimulators, the individual half maximal activation required less Ig-PLP1 (0.005 μM) than PLP (0.5 μM) or PLP1 peptide (0.6 μM).
Inhibition of T Cell Activation by Ig-PLP-LR.
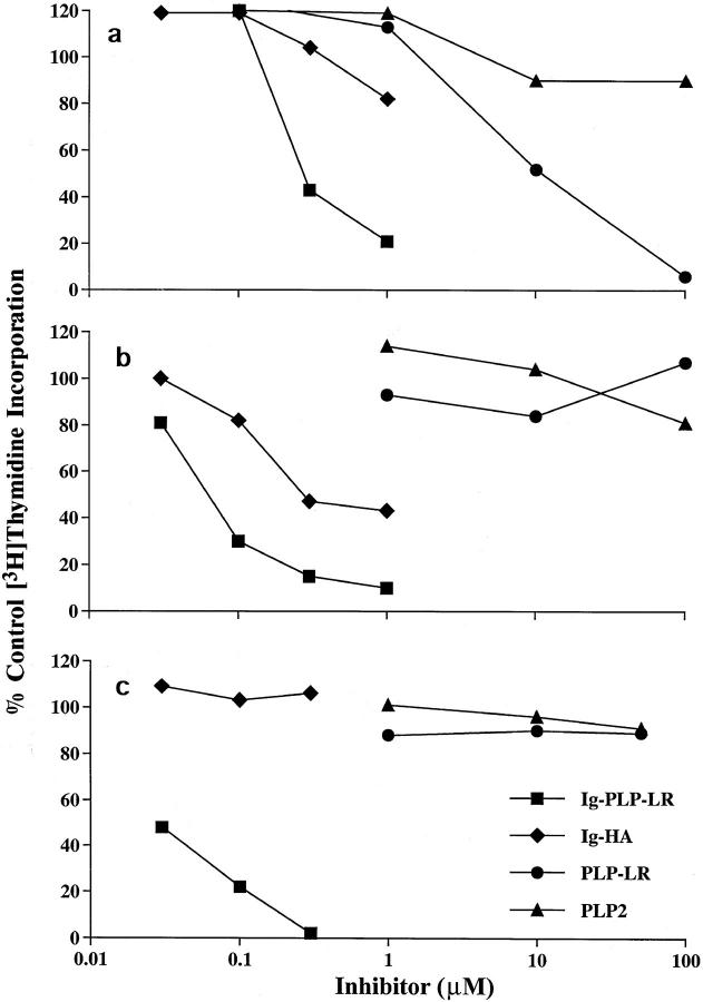
The potency of Ig-PLP1 chimeras in peptide loading onto class II molecules provides a situation that probably resembles in vivo autoimmune circumstances, where a continuous supply of antigen may allow for abundant generation of self peptides, which could trigger T cells aggressively. The Ig-PLP1 endocytic presentation system was then used to investigate IgPLP-LR for inactivation of PLP1-specific T cells. As shown in Fig. 5 a, when T cells were incubated with APCs in the presence of both PLP1 and Ig-PLP-LR, a specific decrease in IL-2 production occurred as the concentration of IgPLP-LR increased. These results are in agreement with a previous report that showed that efficient endocytic presentation of an antagonist form of hemoglobin outcompeted an external agonist peptide (44). A similar decline in IL-2 production was evident when the synthetic PLP-LR peptide was used during T cell activation with PLP1 peptide. Antagonistic effects were not observed with Ig-W chimera and PLP2 peptide used as negative controls (Fig. 5 a). The half maximal inhibition of IL-2 production (60% control thymidine incorporation) required 0.4 μM Ig-PLPLR versus 9 μM PLP-LR peptide indicating a much more efficient presentation of and consequently T cell antagonism by Ig–PLP-LR (Fig. 5 a).
Figure 5.
Antagonism of PLP1–, PLP–, and Ig-PLP1–mediated T cell activation by Ig-PLP-LR. SJL/J splenic APCs were incubated with (a) 1 μM PLP1 peptide, (b) 0.05 μM Ig-PLP1, or (c) 6.8 μM PLP in the presence of graded amounts of antagonists or controls antigens, and then assayed for activation of the PLP1-specific T cell hybridoma 4E3, by measuring IL-2 production as described in the Materials and Methods section. The antagonists were Ig-PLP-LR (squares), PLP-LR (circles), and the controls were Ig-HA (diamonds) and PLP2 (triangles). The cpm value obtained when the APCs were incubated with the stimulator but no antagonist was used as maximum [3H]thymidine incorporation. This value was 7,503 ± 1,302 for Ig-PLP1; 31,089 ± 3,860 for PLP1; and 8,268 ± 915 for PLP. The cpm value obtained when the APCs were incubated with no stimulator and no antagonist was used as background (BG). This value was 1,560 ± 323 for Ig-PLP1; 2,574 ± 290 for PLP1; and 2,127 ± 177 for PLP. The percent control thymidine incorporation was calculated as follows: (cpm obtained in the presence of test antagonist − BG)/(cpm control thymidine incorporation value − BG). Each point represents the mean of triplicates.
Further evidence that the chimera is more efficient than the free peptide in T cell antagonism is shown in Fig. 5, b and c. Ig-PLP-LR inhibited T cell activation mediated by Ig-PLP1 (Fig. 5 b) whereas free PLP-LR did not show any significant antagonism like the negative control PLP2 peptide (Fig. 5 b). Ig-W, the wild-type 91A3 Ig without peptide, showed partial inhibitory activity in Ig-PLP1–mediated T cell activation (Fig. 5 b). This is likely the result of competition for binding to the FcR on APCs because both Ig-PLP1 and Ig-W share identical IgG2b constant regions. As the concentration of Ig-W increases, less Ig-PLP1 will bind to FcR and internalize into the APCs, resulting in a diminished presentation and IL-2 production. Ig-W had similar inhibitory effects on the presentation of Ig-HA, as did the anti-FcR mAb 2.4G2 (34). Finally, Ig-PLP-LR, but not Ig-W, abolished the activation of T cells by native PLP (Fig. 5 c). However, PLP-LR and the negative control PLP2 peptide did not inhibit PLP-mediated T cell activation.
Competition for binding to class II molecules seems not to be the operative mechanism of antagonism at the endocytic level. This conclusion is drawn from the observation that Ig-PLP2, a chimera carrying PLP2 peptide (Min, B., K.L. Legge, and H. Zaghouani, manuscript in preparation), did not inhibit PLP-mediated T cell activation (Fig. 6) even though Ig-PLP2 is presented by I-As like PLP1.
Figure 6.
Competition for binding to class II at the endocytic level is not the mechanism for Ig-PLP-LR–mediated antagonism. SJL/J splenic APCs were incubated with native PLP (6.8 μM) in the presence of 50 μg/ml (0.3 μM) Ig-PLP2, Ig-PLP-LR, or Ig-W and 5 × 104 PLP1-specific 4E3 T cells. IL-2 production was assessed by [3H]thymidine incorporation using HT-2 cells as described in the legend to Fig. 5. The percent control [3H]thymidine incorporation was calculated as in Fig. 5. Each column represents the mean ± SD of triplicates.
In Vivo Antagonism of PLP1-specific T Cells by Ig-PLPLR.
As demonstrated in Fig. 7, when individual mice were immunized with Ig-PLP1, they developed strong PLP1-specific T cell responses in the lymph nodes (Fig. 7 a) and even significant proliferation in the spleen (Fig. 7 b). Consequently, Ig-PLP1, which is presumably processed in endocytic vacuoles like autoantigens, provides a relevant system to assay the antagonists Ig-PLP-LR and PLP-LR peptide for in vivo T cell antagonism.
Figure 7.
In vivo priming of PLP1-specific T cells by Ig-PLP1. Mice were immunized subcutaneously with 50 μg of Ig-PLP1 in CFA as described in Materials and Methods, and after 10 d, cells from the lymph nodes (a) and spleen (b) were tested for specific proliferation to PLP1. The indicated results are those obtained with 4 × 105 lymph node cells/well and 10 × 105 spleen cells/well. The stimulators PLP1 and PLP2 were used at 15 μg/ml and PPD was used at 5 μg/ml. Each value represents the mean ± SD of triplicates after deduction of BG cpms obtained with no stimulator in the media. The cpm values obtained with PPD for each mouse exceeded the cpm values obtained with PLP1 by 20–60% dependent upon each mouse. Similar results were obtained when mice were immunized with 150 μg of Ig-PLP1 per mouse (not shown). Note that some mice show proliferation with PLP2. This may be because this peptide is presented by I-As, like PLP1, and low affinity cells could bind to it.
The results in Fig. 8 indicate that co-immunization of mice with Ig-PLP1 and Ig-PLP-LR led to a reduced T cell response to PLP1 when compared to responses obtained in mice injected with Ig-PLP1/Ig-W mixture. Both lymph node (Fig. 8 a) and splenic (Fig. 8 b) T cell responses were markedly reduced as a consequence of coadministration of Ig-PLP-LR with Ig-PLP1.
Figure 8.
Coadministration of Ig-PLP-LR with Ig-PLP1 reduces the response to PLP1 peptide. Mice were co-immunized with 50 μg Ig-PLP1 and 150 μg Ig-PLP-LR or 50 μg Ig-PLP1 and 150 μg Ig-W as indicated in Materials and Methods. The lymph node (a) and splenic (b) proliferative responses to PLP1 peptide were analyzed 10 d later. The lymph node cells were used at 4 × 105 cells/well and the spleen cells at 106 cells per well. The stimulators were PLP1 (15 μg/ml), and PPD (5 μg/ml). The indicated results are those obtained with PLP1 peptide and represent the mean ± SD of triplicates after deduction of BG cpm obtained with no stimulator in the media. The cpm values obtained with PPD were similar in both groups of mice and were 5–30% higher than the cpm values obtained with PLP1 in the mice immunized with Ig-PLP1 and Ig-W.
Because Ig-PLP-LR could induce a T cell response to PLP-LR, lymph node and spleen cells from mice immunized with Ig-PLP1/Ig-PLP-LR mixture were stimulated in vitro with PLP-LR peptide, and the specific [3H]thymidine incorporation was measured and compared with PLP1 specific proliferation. The results depicted in Fig. 9 indicate that PLP-LR–specific T cells were present in both the lymph nodes (Fig. 9 a) and spleen (Fig. 9 b), and the specific proliferation to PLP-LR was two- to nine-fold higher than the proliferation to PLP1.
Figure 9.
Mice co-injected with Ig-PLP1 and Ig-PLP-LR develop higher proliferative response to PLP-LR than PLP1 peptide. Day 10 after immunization, lymph node (a) and splenic (b) proliferative responses to PLP-LR peptide, in mice that were co-injected with Ig-PLP1 and IgPLP-LR and described in Fig. 8, were measured and shown here along with the responses to PLP1 peptide.
Mice co-immunized with Ig-PLP1 and free PLP-LR peptide showed no evidence for reduction of PLP1-specific responses (Table 1). To minimize the role of individual and experimental intrinsic variability on the overall outcome of the in vivo experiments, the PLP1-specific proliferations were expressed as percent of the individual response to PPD (Table 1). The standardized results clearly indicated a fall in the PLP1-specific response in the mice injected with Ig-PLP1 and Ig-PLP-LR relative to those injected with IgPLP1/Ig-W or Ig-PLP1/ PLP-LR peptide mixtures.
Table 1.
Ig-PLP-LR but Not Free PLP-LR Peptide Mediates T Cell Antagonism In Vivo
| Mouse | Ig-PLP1 coadministered with | |||||
|---|---|---|---|---|---|---|
| Ig-W | Ig-PLP-LR | PLP-LR peptide | ||||
| PLP1/PPD* % | ||||||
| 1 | 100 | 28 | 81 | |||
| 2 | 95 | 40 | 91 | |||
| 3 | 78 | 37 | 93 | |||
| 4 | 79 | 25 | 100 | |||
Three groups of mice (four per group) were immunized with 50 μg IgPLP1 mixed with 150 μg Ig-W; 50 μg Ig-PLP1 mixed with 150 μg IgPLP-LR; and 50 μg Ig-PLP1 mixed with 100 μg PLP-LR peptide, respectively. After 10 d, the lymph nodes were removed and 4 × 105 cells were stimulated in vitro with 15 μg/ml PLP1 peptide, 15 μg PLP2 peptide, 5 μg/ml PPD, or media without stimulator and assayed for [3H]thymidine incorporation as described in Materials and Methods. The mean cpm obtained for media without stimulator was used as background (BG).
The indicated numbers represent percentage values of PLP1-specific proliferation relative to PPD-specific proliferation and were estimated as follows: (mean cpm of triplicates obtained with PLP1 stimulation − mean cpm triplicate BG) / (mean cpm of triplicates obtained with PPD − mean cpm triplicate BG) × 100. The percentage values of PLP2-specific proliferation relative to PPD ranged between 0 and 15% indicating the absence of significant proliferation to PLP2 peptide (used as negative control).
Discussion
Herein, we designed an endocytic antigen presentation system and evaluated fundamental mechanisms as to whether TCR antagonist peptides could overcome antigens that because of efficient supply and access to endocytic processing could generate high levels of encephalitogenic peptides and therefore MHC–agonist complexes. In this system, PLP1 peptide and a TCR antagonist form of it, PLP-LR, were expressed on the anti-arsonate antibody 91A3, and the resulting Ig-PLP1 and Ig-PLP-LR chimeras were used to evaluate T cell antagonism in an antigen system requiring endocytic processing as it might occur in natural autoimmune disease. Both Ig-PLP1 and Ig-PLP-LR could be captured by rabbit antibodies to the synthetic peptides and bind rat anti–mouse κ mAb indicating peptide expression and proper pairing of the heavy and light chains (Fig. 2). IgPLP1 was presented to T cells in a specific manner indicating that the PLP1 peptide was released from the Ig and bound class II I-As molecules (Fig. 3). In this case, the flanking regions seem to have no interfering effect on the presentation of Ig-PLP1, as has been observed for other T cell peptides expressed on proteins unrelated to their own environment (32–35, 45, 46). The presentation of Ig-PLP1 was 100-fold better than free PLP1 peptide (Fig. 4). This observation parallels with results obtained with an IgG1 chimera expressing a T cell peptide from λ2 phage repressor protein (35) and with Ig-HA (34). The efficacy of Ig-PLP1 in activating specific T cells is probably partly due to efficient internalization via FcR as we have previously seen for Ig-HA (34). Moreover, since Ig-PLP1 is presumably, like Ig-HA, processed in endocytic vacuoles, the released PLP1 peptides access newly synthesized class II molecules and allow for the formation of significant amounts of peptide–class II complexes (36). Ig-PLP-LR is also taken up by APCs, processed, and presented to T cells; otherwise it would not have inhibited PLP1-mediated T cell stimulation. Indeed, when APCs were incubated with PLP1 peptide in the presence of Ig-PLP-LR, there was no activation of the PLP1-specific T cell hybridomas (Fig. 5 a). Ig-PLP-LR was much more potent than free PLP-LR peptide in inhibiting PLP1mediated T cell activation indicating a better presentation of the peptide when delivered on the Ig chimera as was the case for PLP1. These results confirm the observation by Vidal et al. (44) showing that efficient endocytic presentation of an antagonist peptide could outcompete an external agonist and inhibit IL-2 production by specific T cells.
Furthermore, when the activation of T cells by native PLP and Ig-PLP1 was carried out in the presence of graded concentrations of Ig-PLP-LR, IL-2 production declined as Ig-PLP-LR increased. However, free PLP-LR peptide failed to inhibit T cell activation mediated by native PLP or Ig-PLP1 (Fig. 5). A maximum of 50% inhibition in IL-2 production was seen when the activation of T cells by IgPLP1 was carried out in the presence of Ig-W (Fig. 5 b). Ig-PLP1 and Ig-W have an identical heavy chain constant region and use the same FcR to internalize into APCs. Therefore, Ig-W could outcompete Ig-PLP1 for internalization and diminish the activation of T cells. Ig-W, had a similar effect on the presentation of Ig-HA (34), but had no effect on the activation of T cells by native PLP (Fig. 5 c).
Whereas free PLP-LR antagonized only activation mediated by free PLP1 peptide, the spectrum of antagonism by Ig-PLP-LR broadens to include antigen requiring endocytic processing such as native PLP and Ig-PLP1 (Table 2). Two lines of evidence indicated that the mechanism responsible for PLP-LR and Ig-PLP-LR–mediated inactivation of T cells was likely to be TCR antagonism rather than blockage of class II molecules. At the extracellular level, PLP2 peptide, which uses I-As class II molecules for presentation (37), did not inhibit the activation of T cells by free PLP1 peptide. At the endocytic level, Ig-PLP2, which is presented by I-As, did not antagonize native PLP for the activation of T cells. Competition for binding to class II may take place. However, a living antigen presenting system, such as the one we used, and the design of our experimental system are not suitable for optimal blockade as demonstrated by the control experiments using PLP2 peptide and Ig-PLP2 chimera. Therefore, one can speculate that TCR engagement with PLP-LR-I-As complexes on the surface of APCs antagonizes the cells rather than stimulates them. If we retain this possibility, one may explain the antagonism by Ig-PLP-LR as follows; because of efficient presentation of Ig-PLP-LR in endocytic vaccuoles, significant levels of PLP-LR–I-As complexes are generated. The amount of complexes on the cell surface is proportional to the amount of Ig-PLP-LR offered to the APCs. When PLP1 stimulation is carried out in the presence of Ig-PLP-LR, both PLP-LR–I-As and PLP1–I-As are present on the surface of a given APC and increase in the concentration of Ig-PLP-LR leads to higher number of PLP-LR– I-As complexes. Considering that ∼3,500 TCRs have to be engaged for a T cell to be activated (47), and that a given complex of peptide–class II serially engages ∼200 TCRs (31), a T cell is antagonized when TCR engagement with PLP-LR–I-As complexes override engagement with PLP1–I-As. Overall, because of efficient loading of PLP-LR by Ig-PLP-LR, T cell antagonism is achieved by a higher frequency of serial triggering of TCR by PLP-LR– I-As complexes. This is probably more conceivable when Ig-PLP-LR is engaged in antagonizing native PLP or IgPLP1, which are processed in endocytic vacuoles. How could Ig-PLP-LR antagonize PLP1 peptide, a stimulator that may not require processing but rather bind directly to cell surface class II molecules? One possibility is that only a limited number of PLP1–class II complexes could be generated because external PLP1 binds empty class II and/or displaces other peptides from I-A molecules. These conditions may limit the number of complexes that could be available for stimulation. Another possibility is that the turnover of cell surface MHC molecules contribute to a short stay of complexes formed at the extracellular milieu (class II molecules have been in the cell surface for some time before binding the extracellular peptide), whereas complexes formed in the endocytic compartment will reside for a normal period of time because they have just been translocated to the cell surface. This may also be the reason why PLP-LR could not antagonize Ig-PLP1 or PLP but did antagonize PLP1 peptide. Considering recent findings that complexes made of MHC–antagonist peptide engage the TCR for a shorter period of time than those made of MHC–agonist peptide (48), we lean to the possibility that external peptide forms very few complexes with a short stay at the cell surface, and endocytic processing is more effective for the generation of MHC–peptide complexes that could trigger more TCR because of longer residency at the cell surface. Overall, internalization via FcR of Ig chimeras and efficient endocytic presentation may be responsible for the broad antagonism by Ig-PLP-LR, and the formation of fewer short-lived complexes, when the peptide is externally added to the APCs, may be responsible for the inability of PLP-LR to antagonize the endocytic presentation of PLP and Ig-PLP1. Overall, this demonstrates for the first time that competition between agonist and antagonist at the endocytic level is achievable, but this only occurs when the antagonist peptide is efficiently presented within the endocytic compartment.
Table 2.
Ig-PLP-LR– and PLP-LR–mediated T Cell Antagonism In Vitro
| Antagonist | Stimulator | |||||
|---|---|---|---|---|---|---|
| PLP1 | PLP | Ig-PLP1 | ||||
| PLP-LR | + | − | − | |||
| Ig-PLP-LR | + | + | + | |||
This summarizes the effect of PLP-LR and Ig-PLP-LR on IL-2 production by PLP1-specific T cell hybridomas when they are stimulated with APCs pulsed with Ig-PLP1, PLP1, or native PLP in the presence of PLP-LR or Ig-PLP-LR. +, inhibition of IL-2 production and therefore antagonism; −, absence of inhibition of IL-2 production and therefore no antagonism.
In vivo, when Ig-PLP1 was injected subcutaneously in the foot pads and at the base of the limbs and tail, routes that mostly target the response to the lymph nodes, a strong specific T cell response to PLP1 peptide was induced (Fig. 7). These results are expected considering that Ig-PLP1 was efficient in presenting the peptide to T cells in vitro (Fig. 4) and that Ig-HA has been shown to prime a strong HA-specific T cell response (34). However, interestingly there is a significant PLP1-specific response detected in the spleen, an organ that mostly filters and responds to systemic Ags (Fig. 7 b). One possibility we can put forth to explain these results is that Ig-PLP1, because of its long half life, was able to circulate and reach both the lymphatic and blood circulation and consequently be presented at both systemic and lymphatic sites.
Although Ig-PLP1 was efficiently presented and induced a strong in vivo T cell response, it was possible to antagonize such a response by Ig-PLP-LR (Fig. 8). Indeed, when Ig-PLP1 was coadministered to mice with Ig-PLP-LR, the response to PLP1 peptide was markedly reduced. This decline in PLP1 response was specifically induced by Ig-PLPLR because when Ig-PLP1 was coadministered with Ig-W instead of Ig-PLP-LR, the response to PLP1 was not affected. Efficient in vivo endocytic presentation of Ig-PLPLR may be the fundamental basis for the decline in PLP1specific response. The failure of PLP-LR peptide to inhibit Ig-PLP1–mediated T cell activation in vitro coupled with the potency of Ig-PLP-LR in antagonizing Ig-PLP1 T cell stimulation supports the belief that Ig-PLP-LR–mediated in vivo antagonism may be related to efficient presentation. Moreover, when free PLP-LR peptide was coadministered with Ig-PLP1, there was no evidence for a decline of the PLP1 response (Table 1). The lack of antagonist effect by free PLP-LR peptide was not due to a net lower amount of injected peptide because the mice were given ∼34-fold more PLP-LR in the free peptide form than Ig-PLP-LR form (on the basis of a molecular weight of 150,000 daltons, the 150 μg Ig–PLP-LR given to the mice correspond to 1 nmol of Ig that contains 2 nmol of PLP-LR peptide, whereas with a molecular weight of 1,468 daltons, the 100 μg of free PLP-LR peptide correspond to 68 nmol of peptide). The mechanism by which Ig-PLP-LR reduced the response to PLP1 is not clear. However, knowing that IgPLP-LR induced PLP-LR–specific T cells (Fig. 9) when it was coadministered with Ig-PLP1, it can be speculated that these PLP-LR–specific T cells downregulate PLP1– specific T cells (49). Although there was induction of PLPLR–specific response when free PLP-LR peptide was administered with Ig-PLP1 (not shown), there was no evident reduction in the proliferative response to PLP1. Further studies are required to identify any qualitative differences among T cells induced by Ig-PLP-LR and those induced by PLP-LR peptide. Another possibility that could explain the reduction in T cell response to PLP1 is in vivo antagonism by PLP-LR–MHC complexes. Ig-PLP1 and Ig-PLPLR have identical isotypes and could bind the same FcR and internalize into the same APCs. Simultaneous presentation of PLP-LR and PLP1 by the same APCs could, as is seen in the in vitro assays, be responsible for the antagonism of PLP1-specific T cells by Ig-PLP-LR. The striking features associated with this endocytic antagonist system are its high efficacy and its broad spectrum of activity against free peptides and most importantly autoantigens which require endocytic processing. Indeed, our data demonstrate for the first time that competition between agonist and antagonist is achievable at the endocytic level and ensures downregulation of autoreactive T cells, in vivo. Efficient endocytic presentation of peptide analogues may operate through mechanisms that could overcome the abundant MHC–agonist complexes generated in spontaneous disease subsequent to the eruption and continuous endocytic presentation of autoantigens.
Acknowledgments
We would like to thank Robert N. Moore and Barry T. Rouse for critical reading of the manuscript, and Aimee Cestra for technical support.
This work was supported by startup funds (to H. Zaghouani) from the University of Tennessee, Knoxville, TN, by the grant RG2778A1/1 (to H. Zaghouani) from the National Multiple Sclerosis Society, and by a Contract (to H. Zaghouani) from Astral, Inc., a subsidiary of Alliance Pharmaceutical Corp. (San Diego, CA).
Footnotes
1 Abbreviations used in this paper: aa, amino acid; EAE, experimental allergic encephalomyelitis; HA, hemagglutinin; MBP, myelin basic protein; MS, multiple sclerosis; PLP, proteolipid protein; PLP1, the peptide corresponding to aa residues 139-155 of PLP; PPD, purified protein derivative.
References
- 1.Jameson SC, Hogquist KA, Bevan MJ. Positive selection of thymocytes. Annu Rev Immunol. 1995;13:93–126. doi: 10.1146/annurev.iy.13.040195.000521. [DOI] [PubMed] [Google Scholar]
- 2.Sebzda E, Wallace VA, Mayer J, Yeung RSM, Mak TW, Ohashi PS. Positive and negative thymocyte selection induced by different concentrations of a single peptide. Science (Wash DC) 1994;263:1615–1618. doi: 10.1126/science.8128249. [DOI] [PubMed] [Google Scholar]
- 3.Ashton-Rickardt PG, Bandeira A, Delaney JR, Van Kaer L, Pircher H-P, Zinkernagel RM, Tonegawa S. Evidence for a differential avidity model of T cell selection in the thymus. Cell. 1994;76:651–663. doi: 10.1016/0092-8674(94)90505-3. [DOI] [PubMed] [Google Scholar]
- 4.Hsu BL, Evavold BD, Allen PM. Modulation of T cell development by an endogenous altered peptide ligand. J Exp Med. 1995;181:805–810. doi: 10.1084/jem.181.2.805. [DOI] [PMC free article] [PubMed] [Google Scholar]
- 5.Cibotti R, Kanellopoulos JM, Cabaniols J-P, HallePanenko O, Kosmatopoulos K, Sercarz E, Kourilsky P. Tolerance to a self-protein involves its immunodominant but does not involve its subdominant determinants. Proc Natl Acad Sci USA. 1992;89:416–420. doi: 10.1073/pnas.89.1.416. [DOI] [PMC free article] [PubMed] [Google Scholar]
- 6.Mamula MJ. The inability to process a self-peptide allows autoreactive T cells to escape self-tolerance. J Exp Med. 1993;177:567–571. doi: 10.1084/jem.177.2.567. [DOI] [PMC free article] [PubMed] [Google Scholar]
- 7.Liu GY, Fairchild PJ, Smith RM, Prowle JR, Kioussis D, Wraith DC. Low avidity recognition of self-antigen by T cells permits escape from central tolerance. Immunity. 1995;3:407–415. doi: 10.1016/1074-7613(95)90170-1. [DOI] [PubMed] [Google Scholar]
- 8.Brocke S, Gaur A, Piercy C, Gautam A, Gijbels K, Fathman CG, Steinman L. Induction of relapsing paralysis in experimental autoimmune encephalomyelitis by bacterial superantigen. Nature (Lond) 1993;365:642–644. doi: 10.1038/365642a0. [DOI] [PubMed] [Google Scholar]
- 9.Wucherpfennig KW, Strominger JL. Molecular mimicry in T cell–mediated autoimmunity: viral peptides activate human T cell clones specific for myelin basic protein. Cell. 1995;80:695–705. doi: 10.1016/0092-8674(95)90348-8. [DOI] [PMC free article] [PubMed] [Google Scholar]
- 10.McRae BL, Vanderlugt CL, Dal MC, Canto, Miller SD. Functional evidence for epitope speading in the relapsing pathology of experimental autoimmune encephalomyelitis. J Exp Med. 1995;182:75–85. doi: 10.1084/jem.182.1.75. [DOI] [PMC free article] [PubMed] [Google Scholar]
- 11.Sercarz EE, Lehmann PV, Ametani A, Benichou G, Miller A, Moudgil K. Dominance and crypticity of T cell antigenic determinants. Annu Rev Immunol. 1993;11:729–766. doi: 10.1146/annurev.iy.11.040193.003501. [DOI] [PubMed] [Google Scholar]
- 12.Steinman L. Multiple sclerosis: a coordinated immunological attack against myelin in the central nervous system. Cell. 1996;85:299–302. doi: 10.1016/s0092-8674(00)81107-1. [DOI] [PubMed] [Google Scholar]
- 13.Tisch R, McDevitt H. Insulin-dependent diabetes mellitus. Cell. 1996;85:291–297. doi: 10.1016/s0092-8674(00)81106-x. [DOI] [PubMed] [Google Scholar]
- 14.Feldmann M, Brennan FM, Maini RN. Rheumatoid arthritis. Cell. 1996;85:307–310. doi: 10.1016/s0092-8674(00)81109-5. [DOI] [PubMed] [Google Scholar]
- 15.Martin R, McFarland HF, McFarlin DE. Immunological aspects of demyelinating disease. Annu Rev Immunol. 1992;10:153–187. doi: 10.1146/annurev.iy.10.040192.001101. [DOI] [PubMed] [Google Scholar]
- 16.Tuohy VK, Lu Z, Sobel RA, Laursen RA, Lees MB. Identification of an encephalitogenic determinant of myelin proteolipid protein for SJL mice. J Immunol. 1989;142:1523–1527. [PubMed] [Google Scholar]
- 17.Kuchroo VK, Sobel RA, Laning JC, Martin CA, Greenfield E, Dorf ME, Lees MB. Experimental allergic encephalomyelitis mediated by cloned T cells specific for a synthetic peptide of myelin proteolopid protein: fine specificity and T cell receptor Vβusage. J Immunol. 1992;148:3776–3782. [PubMed] [Google Scholar]
- 18.Zhang J, Markovic-Plese S, Lacet B, Raus J, Weiner HL, Hafler DA. Increased frequency of interleukin 2–responsive T cells specific for myelin basic protein and proteolipid protein in peripheral blood and cerebrospinal fluid of patients with multiple sclerosis. J Exp Med. 1994;179:973–984. doi: 10.1084/jem.179.3.973. [DOI] [PMC free article] [PubMed] [Google Scholar]
- 19.Chou YK, Bourdette DN, Offner H, Whithan R, Wang RY, Hashim GA, Vandenbark AA. Frequency of T cells specific for myelin basic protein and myelin proteolipid protein in blood and cerebrospinal fluid in multiple sclerosis. J Neuroimmunol. 1992;38:105–113. doi: 10.1016/0165-5728(92)90095-3. [DOI] [PubMed] [Google Scholar]
- 20.Evavold BD, Sloan-Lancaster J, Allen PM. Tickling the TCR: selective T cell functions stimulated by altered peptide ligands. Immunol Today. 1993;14:602–609. doi: 10.1016/0167-5699(93)90200-5. [DOI] [PubMed] [Google Scholar]
- 21.Evavold BD, Allen PM. Separation of IL-4 production from Th cell proliferation by an altered T cell receptor ligand. Science (Wash DC) 1991;252:1308–1310. doi: 10.1126/science.1833816. [DOI] [PubMed] [Google Scholar]
- 22.Windhagen A, Scholz C, Höllsberg P, Fukaura H, Sette A, Hafler DA. Modulation of cytokine patterns of human autoreactive T cell clones by a single amino acid substitution of their peptide ligand. Immunity. 1995;2:373–380. doi: 10.1016/1074-7613(95)90145-0. [DOI] [PubMed] [Google Scholar]
- 23.De Magistris MT, Alexander J, Coggeshall M, Altman A, Gaeta FCA, Grey HM, Sette A. Antigen analog–major histocompatibility complexes act as antagonist of the T cell receptor. Cell. 1992;68:625–634. doi: 10.1016/0092-8674(92)90139-4. [DOI] [PubMed] [Google Scholar]
- 24.Jameson SC, Carbone FR, Bevan MJ. Clonespecific T cell receptor antagonist of major histocompatibility complex class I–restricted cytotoxic T cells. J Exp Med. 1993;177:1541–1550. doi: 10.1084/jem.177.6.1541. [DOI] [PMC free article] [PubMed] [Google Scholar]
- 25.Racioppi L, Ronchese F, Matis LA, Germain RN. Peptide–major histocompatibility complex class II complexes with mixed agonist/antagonist properties provide evidence for ligand-related differences in T cell receptor–dependent intracellular signaling. J Exp Med. 1993;177:1047–1060. doi: 10.1084/jem.177.4.1047. [DOI] [PMC free article] [PubMed] [Google Scholar]
- 26.Sloan-Lancaster J, Evavold BD, Allen PM. Induction of T-cell anergy by altered T-cell–receptor ligand on live antigen-presenting cells. Nature (Lond) 1993;363:156–159. doi: 10.1038/363156a0. [DOI] [PubMed] [Google Scholar]
- 27.Brocke S, Gijbels K, Allegretta M, Ferber I, Peircy C, Blankenstein T, Martin R, Utz U, Karin N, Mitchell D, et al. Treatment of experimental encephalomyelitis with a peptide analogue of myelin basic protein. Nature (Lond) 1996;379:343–346. doi: 10.1038/379343a0. [DOI] [PubMed] [Google Scholar]
- 28.Karin N, Mitchell DJ, Brocke S, Ling N, Steinman L. Reversal of experimental autoimmune encephalomyelitis by a soluble peptide variant of a myelin basic protein epitope: T cell receptor antagonism and reduction of interferon γ and tumor necrosis factor α production. J Exp Med. 1994;180:2227–2237. doi: 10.1084/jem.180.6.2227. [DOI] [PMC free article] [PubMed] [Google Scholar]
- 29.Kuchroo VK, Greer JM, Kaul D, Ishioka G, Franco A, Sette A, Sobel RA, Lees MB. A single TCR antagonist peptide inhibits experimental allergic encephalomyelitis mediated by a diverse T cell repertoire. J Immunol. 1994;153:3326–3336. [PubMed] [Google Scholar]
- 30.Pinet V, Vergelli M, Martin R, Bakke O, Long EO. Antigen presentation mediated by recycling of surface HLA-DR molecules. Nature (Lond) 1995;375:603–606. doi: 10.1038/375603a0. [DOI] [PubMed] [Google Scholar]
- 31.Valitutti S, Müller S, Cella M, Padovan E, Lanzavecchia A. Serial triggering of many T-cell receptors by a few peptide–MHC complexes. Nature (Lond) 1995;375:148–151. doi: 10.1038/375148a0. [DOI] [PubMed] [Google Scholar]
- 32.Zanetti M, Rossi F, Lanza P, Filaci G, Lee RH, Billetta R. Theoretical and practical aspects of antigenized antibodies. Immunol Rev. 1992;130:125–150. doi: 10.1111/j.1600-065x.1992.tb01524.x. [DOI] [PubMed] [Google Scholar]
- 33.Zaghouani H, Kuzo Y, Kuzo H, Mann N, Daian C, Bona C. Engineered immunoglobulin molecules as vehicles for T cell epitopes. Int Rev Immunol. 1993;10:265–278. doi: 10.3109/08830189309061701. [DOI] [PubMed] [Google Scholar]
- 34.Zaghouani H, Steinman R, Nonacs R, Shah H, Gerhard W, Bona C. Presentation of a viral T cell epitope expressed in the CDR3 region of a self immunoglobulin molecule. Science (Wash DC) 1993;259:224–227. doi: 10.1126/science.7678469. [DOI] [PubMed] [Google Scholar]
- 35.Zambidis ET, Scott DW. Epitope-specific tolerance induction with an engineered immunoglobulin. Proc Natl Acad Sci USA. 1996;93:5019–5024. doi: 10.1073/pnas.93.10.5019. [DOI] [PMC free article] [PubMed] [Google Scholar]
- 36.Brumeanu TD, Swiggard WJ, Steinman RM, Bona C, Zaghouani H. Efficient loading of identical viral peptide onto class II molecules by antigenized immunoglobulin and influenza virus. J Exp Med. 1993;178:1795–1799. doi: 10.1084/jem.178.5.1795. [DOI] [PMC free article] [PubMed] [Google Scholar]
- 37.Greer JM, Kuchroo VK, Sobel RA, Lees MB. Identification and characterization of a second encephalitogenic determinant of myelin proteolipid protein (residues 178–191) for SJL mice. J Immunol. 1992;149:783–788. [PubMed] [Google Scholar]
- 38.Sanz I, Capra DJ. Vk and Jkgene segments of A/J Ars-A antibodies: somatic recombination generates the essential arginine at the junction of the variable and joining regions. Proc Natl Acad Sci USA. 1987;84:1085–1089. doi: 10.1073/pnas.84.4.1085. [DOI] [PMC free article] [PubMed] [Google Scholar]
- 39.Ruthban GA, Otani F, Milner ECB, Capra DJ, Tucker PHW. Molecuar characterization of the A/J J558 family of heavy chain variable region segments. J Mol Biol. 1988;202:383–395. doi: 10.1016/0022-2836(88)90272-0. [DOI] [PubMed] [Google Scholar]
- 40.Zaghouani H, Krystal M, Kuzu H, Moran T, Shah H, Kuzu Y, Schulman J, Bona C. Cells expressing an H chain Ig gene carrying a viral T cell epitope are lysed by specific cytolytic T cells. J Immunol. 1992;148:3604–3609. [PubMed] [Google Scholar]
- 41.Lees, M., and J.D. Sakura. 1978. Preparation of proteolipids. In Research Methods in Neurochemistry. N. Marks and R. Rodnight, editors. Plenum Press, New York. 345–370.
- 42.Zaghouani H, Goldstein D, Shah H, Anderson S, Lacroix M, Dionne G, Kennedy RC, Bona C. Induction of antibodies to the envelope protein of the human immunodeficiency virus by immunization with monoclonal anti-idiotypes. Proc Natl Acad Sci USA. 1991;88:5645–5649. doi: 10.1073/pnas.88.13.5645. [DOI] [PMC free article] [PubMed] [Google Scholar]
- 43.Zaghouani H, Anderson SA, Sperber KE, Daian C, Kennedy RC, Mayer L, Bona C. Induction of antibodies to the human immunodeficiency virus type 1 by immunization of baboons with immunoglobulin molecules carrying the principal neutralizing determinant of the envelope protein. Proc Natl Acad Sci USA. 1995;92:631–635. doi: 10.1073/pnas.92.2.631. [DOI] [PMC free article] [PubMed] [Google Scholar]
- 44.Vidal K, Hsu BL, Williams CB, Allen PM. Endogenous altered peptide ligands can affect peripheral T cell responses. J Exp Med. 1996;183:1311–1321. doi: 10.1084/jem.183.4.1311. [DOI] [PMC free article] [PubMed] [Google Scholar]
- 45.Hahn YS, Braciale VL, Braciale TJ. Presentation of viral antigen to class I major histocompatibility complex–restricted cytotoxic T lymphocyte. Recognition of an immunodominant influenza hemagglutinin site by cytotoxic T lymphocyte is independent of the position of the site in the hemagglutinin translation product. J Exp Med. 1991;174:733–736. doi: 10.1084/jem.174.3.733. [DOI] [PMC free article] [PubMed] [Google Scholar]
- 46.Chimini G, Pala P, Sire J, Jordan BR, Maryanski JL. Recognition of oligonucleotide-encoded T cell epitopes introduced into a gene unrelated to the original antigen. J Exp Med. 1989;169:297–303. doi: 10.1084/jem.169.1.297. [DOI] [PMC free article] [PubMed] [Google Scholar]
- 47.Viola A, Lanzavecchia A. T cell activation determined by the T cell receptor number and tunable thresholds. Science (Wash DC) 1996;273:104–106. doi: 10.1126/science.273.5271.104. [DOI] [PubMed] [Google Scholar]
- 48.Lyons DS, Leiberman SA, Hampi J, Boniface JJ, Chien Y, Berg LJ, Davis MM. A TCR binds to antagonist ligands with lower affinities and faster dissociation rates than do agonist. Immunity. 1996;5:53–61. doi: 10.1016/s1074-7613(00)80309-x. [DOI] [PubMed] [Google Scholar]
- 49.Nicholson LB, Greer JM, Sobel RA, Lees MB, Kuchroo VK. An altered peptide ligand mediates immune deviation and prevents autoimmune encephalomyelitis. Immunity. 1996;3:397–405. doi: 10.1016/1074-7613(95)90169-8. [DOI] [PubMed] [Google Scholar]









