Abstract
Transcranial magnetic stimulation activates corticospinal neurones directly and transsynaptically and hence, activates motoneurones and results in a response in the muscle. Transmastoid stimulation results in a similar muscle response through activation of axons in the spinal cord. This study was designed to determine whether the two stimuli activate the same descending axons. Responses to transcranial magnetic stimuli paired with electrical transmastoid stimuli were examined in biceps brachii in human subjects. Twelve interstimulus intervals (ISIs) from −6 ms (magnet before transmastoid) to 5 ms were investigated. When responses to the individual stimuli were set at 10-15 % of the maximal M-wave, responses to the paired stimuli were larger than expected at ISIs of −6 and −5 ms but were reduced in size at ISIs of −2 to 1 ms and at 3 to 5 ms. With individual responses of 3-5 % of maximal M-wave, facilitation still occurred at ISIs of −6 and −5 ms and depression of the paired response at ISIs of 0, 1, 4 and 5 ms. The interaction of the response to transmastoid stimulation with the multiple descending volleys elicited by magnetic stimulation of the cortex is complex. However, depression of the response to the paired stimuli at short ISIs is consistent with an occlusive interaction in which an antidromic volley evoked by the transmastoid stimulus collides with and annihilates descending action potentials evoked by the transcranial magnetic stimulus. Thus, it is consistent with the two stimuli activating some of the same corticospinal axons.
Transcranial magnetic stimulation over the motor cortex produces multiple descending volleys which can be recorded over the spinal cord with epidural electrodes (Thompson et al. 1991; Burke et al. 1993; Nakamura et al. 1996). Much of this activity is thought to be in corticospinal tract neurones with monosynaptic connections to motoneurones (Rothwell et al. 1991; Palmer & Ashby, 1992) although indirect pathways may contribute to the response to transcranial magnetic stimulation evoked in some muscles (Burke et al. 1994; cf. Maier et al. 1998; Alstermark et al. 1999). In human subjects, the response to transcranial magnetic stimulation is usually measured as a compound muscle action potential (motor evoked potential, MEP). Changes in the size of the MEP under different conditions are used to infer changes within the nervous system. Growth or reduction of the MEP can result from changes in the excitability of cortical neurones or of spinal motoneurones. Thus it is not possible to interpret change in the MEP in terms of what might be happening in the cortex without an independent measure of any change at the segmental level in the motoneurones, or more peripherally in the muscle fibres.
One way to test the excitability of the motoneurone pool is through stimulation of descending axons at a subcortical level (Ugawa et al. 1991b). An electrical pulse passed between the mastoids elicits a single descending volley, which in turn evokes a motor response. Based on the latency of this response compared to the latency of responses evoked by electrical stimulation of the cortex, activation is thought to occur at the cervicomedullary junction and the axons activated to include large corticospinal neurones. For small cervicomedullary motor evoked potentials (CMEPs) elicited in a hand muscle, the antidromic volley produced by transmastoid stimulation can occlude the response produced by transcranial electrical stimulation (Ugawa et al. 1991b). Thus, the responses to both these stimuli travel in the same axons.
This finding does not necessarily mean that transcranial magnetic stimulation activates the same neurones as transmastoid stimulation. Although there is evidence to suggest that the same corticospinal neurones can be activated by transcranial electrical and transcranial magnetic stimulation (Amassian et al. 1999), the two stimuli do not act in identical fashion. While each stimulus tends to recruit larger corticospinal neurones before smaller ones, this trend is stronger for electrical than magnetic stimulation (Edgley et al. 1997). Magnetic stimuli are also more likely than electrical stimuli to activate corticospinal neurones transsynaptically (e.g. Datta et al. 1989; Day et al. 1989; for review see Rothwell, 1991; Edgley et al. 1997). Whereas a small transcranial electrical stimulus may mainly evoke a single descending volley through direct activation of the corticospinal neurones, magnetic stimuli evoke multiple volleys. Furthermore, findings in a hand muscle may not be generally applicable to all muscles. More proximal muscles have a weaker monosynaptic descending input from transcranial stimulation than the muscles of the hand (Palmer & Ashby, 1992; Turton & Lemon, 1999). Thus, we sought to find out whether responses evoked in biceps brachii by transcranial magnetic stimulation could be occluded by a transmastoid stimulus so that these responses could also be considered to travel in the same axons. Data have been published in abstract form (Taylor et al. 1999). Data from preliminary experiments appear in Gandevia et al. (1999).
METHODS
The effects of interaction of magnetic cortical stimuli and transmastoid electrical stimuli on motor responses evoked in biceps brachii were studied in neurologically intact subjects (n = 5, ages 27-45). Subjects gave informed consent to the studies that were approved by the ethics committee of the University of New South Wales. All experiments conformed with the Declaration of Helsinki.
Subjects sat with one arm flexed at the shoulder with the elbow bent to 90 ° and the forearm supinated and held upright in a myograph. Feedback of the force of elbow flexion was provided on an oscilloscope when subjects performed voluntary contractions. Maximal voluntary force from the elbow flexors was measured in three brief contractions at least 1 day prior to the experiment. Stimulation of the peripheral nerve with a cathode over the brachial plexus and an anode on the acromion (Digitimer DS7, 100 μs pulse) was used to elicit the maximal M-wave in biceps brachii at the beginning of each experiment.
Transcranial magnetic stimuli were delivered via a figure-of-eight coil (Magstim 200, Magstim Co., UK) positioned optimally over the motor cortex of one hemisphere to evoke an MEP in the biceps brachii of the contralateral arm. The coil was oriented to induce a posterior-to-anterior current in the underlying cortex. The stimulus intensity (70-100 % of stimulator output) was adjusted to produce an MEP of 10-15 % of the maximal M-wave in the relaxed biceps brachii. In most subjects, further increases in stimulus intensity did not increase the size of this MEP (see Taylor et al. 1997). To produce MEPs of 3-5 % of the maximal M-wave, stimulus intensities were reduced (65-95 % of stimulator output).
Transmastoid electrical stimulation was carried out by passing an electrical pulse (100 μs, D180 stimulator, Digitimer, Welwyn Garden City, UK) between Ag-AgCl surface electrodes fixed over the mastoids with the cathode on the left (Ugawa et al. 1991b). Stimulus intensity varied between 31 and 79 % of stimulator output (300-525 V) to produce CMEPs of a range of sizes in biceps brachii. In some experiments a constant-current stimulator (Digitimer DS7) was used to deliver two transmastoid stimuli (100 μs, 175-240 mA) at short interstimulus intervals. EMG was recorded from biceps brachii through Ag-AgCl surface electrodes (belly-tendon configuration) from 50 ms prior to 200 ms after stimulation. The signal was filtered (16 Hz-1.6 kHz), amplified and sampled to disk at 5 kHz through a laboratory interface (CED 1401+ with Signal software, Cambridge Electronic Devices, Cambridge, UK).
Time course
Transcranial magnetic stimuli and transmastoid electrical stimuli were delivered at different interstimulus intervals and the responses evoked in biceps brachii examined (n = 5). Trials were performed in blocks. Each block included three trials of each of six conditions in random order. Trials were performed every 5 or 6 s. The conditions in each block consisted of (i) a magnetic cortical stimulus alone, (ii) a transmastoid stimulus alone, (iii-vi) both stimuli delivered at each of four different interstimulus intervals (ISIs). At least 12 interstimulus intervals in three blocks of trials were examined in each subject. These included intervals when the magnetic stimulus was delivered before (-6 to −1 ms), together with (0 ms) and after the transmastoid stimulus (1 to 5 ms). A preliminary study using a restricted set of ISIs and stimulus intensities had revealed ‘inhibitory’ interactions at ISIs between −3 and 0 ms prompting us to widen the range of intervals investigated (Gandevia et al. 1999). Initially, the intensities of both the magnetic cortical and the transmastoid stimulation were set to evoke compound muscle action potentials (CMAPs) of 10-15 % of the maximal M-wave in the relaxed biceps brachii. After the time course of the interaction between the two stimuli was completed, the intensities of both stimuli were decreased to produce CMAPs of 3-5 % of the maximal M-wave and ISIs of −6 to 5 ms were again investigated in three blocks of trials with the smaller potentials. In three subjects, 3-5 single and double transmastoid stimuli (ISIs of 2-3 ms) were delivered in random order and responses in biceps brachii were recorded.
Change in intensity of transmastoid stimulus
In three subjects, the interactions between a constant magnetic cortical stimulus and a variety of intensities of transmastoid stimulation were examined. Trials were performed in blocks, each of which consisted of three trials each of four conditions. The conditions in each block were (i) a magnetic cortical stimulus alone, (ii) a transmastoid stimulus alone, (iii) a cortical stimulus 5 ms before the transmastoid stimulus (ISI of −5 ms) and (iv) a cortical stimulus 1 ms before the transmastoid stimulus (ISI of −1 ms). From the first experiment, we expected to see facilitation of the responses at an ISI of −5 ms and occlusion at −1 ms (see Results). For all blocks of trials, the magnetic cortical stimulus was set to evoke a control MEP of 10-15 % of the maximal M-wave in the resting muscle, whereas the intensity of the transmastoid stimulus was varied between blocks to evoke five different sizes of CMEP (subthreshold, ⅓, ⅔, matched and 1.5 times the control MEP). Blocks of trials were performed in pairs for which the intensities of both stimuli were kept constant. During the first block of a pair, subjects remained relaxed and stimuli were delivered every 5 or 6 s. During the second block, subjects performed voluntary contractions of the elbow flexors of 20 % of maximal voluntary force. The sizes of responses to both the cortical stimulus and the transmastoid stimulus increased greatly during voluntary contraction such that the sum of the responses to the individual stimuli exceeded the maximal M-wave. This obvious limit imposed by motoneurone ‘availability’ precluded sensible analysis of the interaction of the two stimuli during voluntary contraction.
Data analysis
The area of each response to transmastoid or transcranial stimulation was measured using customised software and the mean area of the response in each condition in each block was calculated for each subject. To determine whether responses were facilitated or reduced when the two stimuli were given together, the averaged response to the transmastoid stimulus was graphically subtracted from the averaged response to both stimuli together for each interstimulus interval for each subject. The area of this subtraction was then calculated and compared to the area of the response to transcranial magnetic stimulation of the cortex (Fig. 1B). A complicating factor could occur. Sometimes the subtraction revealed an inverted potential. This could occur when the response to transmastoid stimulation was larger than the response to both stimuli (see Fig. 1B, middle column). In such a case the subtracted response might be thought of as negative and representing a reduction of more than 100 %. Rather than allowing negative areas, such responses were said to be zero (a reduction of 100 %) for further statistical analysis. A similar problem could occur when the initial peak of the response to transmastoid stimulation rose more quickly or to a greater amplitude than the initial peak of the response to both stimuli (see Fig. 1B, right column). In such cases the initial deflection of the subtraction was down rather than up and was not included in the measured area of the subtracted response. Even with this correction the area measured in such circumstances underestimates the reduction of combined response compared to the responses to individual stimuli. The subtracted responses ((cortex + transmastoid) - transmastoid) were compared to the responses to cortex alone with Student's paired t tests. Data are reported in the text as mean ± s.d.
Figure 1. Setup and analysis of responses.

A, experimental setup. B, subtraction of transmastoid response from response to both stimuli and estimation of the area of the difference. For each set of trials, the average response to the transmastoid stimulus was graphically subtracted from the average response to both stimuli. If the response to both stimuli was larger than the transmastoid response (left column), then the area of the subtraction was calculated as shown by the shading. If the transmastoid response was larger than the response to both stimuli (middle column), the area of the difference was considered to be zero rather than negative. Sometimes the transmastoid response and the response to both stimuli were similar in size but different in shape (right column). The superimposed traces show that part of the response to both stimuli is ‘larger’ than the transmastoid response (shaded areas) and part of it is ‘smaller’ (unshaded areas). It is not possible to resolve this in the subtraction. Only the initial part of the subtraction is unambiguous. Thus, when the initial peak of the transmastoid response was larger or steeper in onset than that of the response to both stimuli, the area of the initial deflection of the subtracted response was considered to be zero. As shown in the figure, the remainder of the area of the subtraction (shown shaded) was included in the estimate of the difference of the two responses. This will tend to overestimate the size of the response to both stimuli compared to the transmastoid responses and so underestimate any occlusion of the response to transcranial magnetic stimulation.
RESULTS
Transcranial magnetic stimulation of the cortex and electrical stimulation between the mastoids can each evoke a CMAP in the relaxed biceps brachii. When both stimuli are given at short ISIs, the response to the combined stimuli can be larger or smaller than would be expected from the size of the individual responses. The ‘inhibitory’ or ‘occlusive’ interaction, when the combined response is smaller than expected, suggests that the two stimuli excite at least some of the same axons so that the responses occlude each other at some interstimulus timings.
Time course
Figure 2A shows CMAPs elicited in one subject at ISIs between −6 (cortical stimulation before transmastoid stimulation) and 5 ms (transmastoid stimulus before cortical stimulus). Responses to the magnetic cortical stimulus vary between 6 and 9 % of the maximal M-wave and have a latency of 14.4 ± 0.3 ms, whereas those to transmastoid stimulation vary between 9 and 19 % (latency, 8.6 ± 0.2 ms). The response to the combined stimuli is large at an ISI of −6 ms, is close to the sum of CMAPs evoked by cortical and by transmastoid stimulation at −3 ms and is small at ISIs from −2 to 5 ms. The bottom row of traces in Fig. 2A shows a subtraction of the mean response to transmastoid stimulation from the mean response to the combined stimuli. If the responses to cortical and transmastoid stimulation were independent, the subtraction would be identical to the response to cortical stimulation (Fig. 2A, top row). This is clearly not so. There is facilitation above the sum of the individual responses when the magnetic cortical stimulus was given 6 ms before the transmastoid stimulus and a reduction when the magnetic stimulus was given from 2 ms before to 5 ms after the transmastoid stimulus.
Figure 2. Time course of the interaction of transcranial magnetic and transmastoid stimuli.

A, compound muscle action potentials recorded from biceps brachii in one subject. Each group of traces shows three responses superimposed. Responses were evoked by magnetic cortical stimulation (top row), transmastoid electrical stimulation (second row) and both stimuli (third row) given at different interstimulus intervals (ISIs). ISIs 2 and 5 ms were recorded in one set of trials and −6, −3 and −2 ms in another. Negative ISIs indicate that the magnetic cortical stimulus was given before the transmastoid stimulus. The traces are offset appropriately. Times of stimulation can be judged from the stimulus artefacts some of which have been truncated for the illustration. The interaction of the two stimuli can be most easily judged from the bottom row of traces. These show a subtraction of the average of the responses to transmastoid stimulation from the average of the responses to both stimuli. B, time course of the interaction of transcranial magnetic stimulation and transmastoid stimulation. Data are shown for the interactions between smaller responses (3-5 % maximal M-wave) to individual stimuli (○) and for the interactions between larger responses (10-15 % maximal M-wave; •). The difference in area between the response to both stimuli and the response to the transmastoid stimulus is shown as a fraction of the response to magnetic cortical stimulation for 12 interstimulus intervals from −6 ms (magnetic stimulus 6 ms before transmastoid stimulus) to 5 ms (magnet after transmastoid). If the responses to cortical and transmastoid stimulation summed linearly without physiological interaction, a ratio of 1 would be expected. Data are shown as means ± s.e.m. * Interstimulus intervals at which the size of responses was significantly different from expected. Note that at −6 ms, the response to both stimuli was comparatively large for the smaller individual responses (ratio: 11 ± 4.4) and lies above the illustrated range.
The time course of the interaction of magnetic cortical stimuli and transmastoid stimuli was investigated for responses of two different sizes (n = 5). Magnetic cortical stimuli which evoked the larger responses of 9.7 ± 2.2 % of the maximal M-wave (mean ± s.d.; latency, 14.1 ± 0.2 ms) were given with transmastoid stimuli which evoked responses of 16.8 ± 5.1 % of the maximal M-wave (latency, 8.5 ± 0.3 ms). Figure 2B (•) shows the area of what remains of the response evoked by both stimuli at different interstimulus intervals after the response to the transmastoid stimulus alone has been subtracted. The area of this subtracted response is expressed as a percentage of the response to magnetic cortical stimulation. The subtracted response is larger than the response to magnetic stimulation alone at ISIs of −6 and −5 ms and is smaller at ISIs of −2 to 1 ms as well as at 4 and 5 ms (paired t tests; P < 0.05). When smaller responses were evoked by the individual stimuli (magnetic stimuli, 3.8 ± 1.1 % and transmastoid stimuli, 3.8 ± 0.6 % of the maximal M-wave; latencies, 14.6 ± 0.5 and 8.9 ± 0.5 ms, respectively) facilitatory and inhibitory interactions still occurred (Fig. 2B, ○). A two-way analysis of variance showed significant effects of ISI (P < 0.001), response size (larger vs. smaller, P < 0.001) and an interaction between the response size and ISI (P = 0.0215). With the smaller individual responses, the facilitation was enhanced and the time course of the interactions differed slightly. The response to both stimuli was again facilitated at ISIs of −6 and −5 ms but was not significantly reduced at ISIs of −2 or −1 ms. The response to both stimuli after subtraction of the response to the transmastoid stimulus alone was smaller than the response to cortical stimulation with ISIs of 0, 1, 4 and 5 ms. There was greater variability between subjects at the intervening ISIs (2 and 3 ms) so that reductions in the size of the response to both stimuli at these ISIs were not significant.
At some ISIs the latency of the response to the combined stimuli was shorter than would be expected from the latency of the response to the magnetic stimulus or to the transmastoid stimulus when given alone. For the larger responses, at an ISI of −5 ms the response to the combined stimulus occurred 8.0 ± 0.1 ms after the transmastoid stimulus and 13.0 ± 0.1 ms after the cortical stimulus, whereas responses to the individual stimuli had latencies of 8.5 ± 0.3 and 14.1 ± 0.2 ms respectively. The earliest combined response in any subject was 1.1 ms before either of the responses to the individual stimuli would have occurred. At an ISI of −6 ms the latency of the combined response did not differ from that to cortical stimulation and at all other ISIs (-4 to 5 ms) it was the same as the latency to transmastoid stimulation. For the smaller responses, the latencies of the combined responses at ISIs at both −6 and −5 ms were shorter than the latencies to either of the individual stimuli. The advance in latency of the combined response at these interstimulus intervals suggests that the initial descending volley(s) from magnetic cortical stimulation reached the motoneurones before the volley from transmastoid stimulation but was not sufficient to produce a detectable response in the surface EMG. The volley evoked by transmastoid stimulation then acted on an excited motoneurone pool and thus recruited larger, faster motor units than were recruited in the response to transmastoid stimulation alone.
To examine interactions occurring at the axonal and motoneuronal levels, responses to paired transmastoid stimulation were measured in three subjects. In two subjects, responses of 10-15 % of the maximal M-wave were elicited by single transmastoid stimuli. Paired transmastoid stimulation with an ISI of 2 ms evoked potentials which were 1.4 and 1.7 times the response to a single stimulus. When the ISI was increased to 3 ms, the response to paired stimulation was 2.5 and 2.7 times the response to a single stimulus (Fig. 3). That is, the response was facilitated above the sum of two individual responses. Thus, if volleys from magnetic cortical and transmastoid stimulation were to arrive at the motoneurone pool 3 ms apart, we would expect to see facilitation. Although paired transmastoid stimulation cannot exclude interaction at the motoneurone pool at shorter ISIs, it is likely that refractoriness of the descending axons to the second transmastoid stimulus contributes to the reduction in response size. In one subject, a small response of 4 % of the maximal M-wave was evoked by the single stimulus. A smaller response should be elicited by activation of fewer but larger axons with a shorter refractory time and in this subject paired stimulation showed facilitation (4.8 times the single response) at the shorter ISI of 2 ms.
Figure 3. Response to double transmastoid stimulation in one subject.

Traces show EMG responses recorded from biceps brachii after various stimuli. Each trace is an average of 3 to 5 responses. A shows the interaction of transcranial magnetic stimulation with transmastoid stimulation at two interstimulus intervals (ISIs of −1 and 0 ms). At each ISI, the response to the combined stimulation is not much bigger than the response to the transmastoid stimulus by itself. B shows responses to a pair of transmastoid stimuli at two ISIs. When the stimuli were given 2 ms apart, the response to the pair of stimuli was smaller than the sum of the individual responses, whereas with an ISI of 3 ms it was larger. The difference in latencies between responses to magnetic cortical stimulation and transmastoid stimulation during a voluntary contraction was approximately 2.8 ms in this subject and this indicates the conduction time between the cortex and the point of transmastoid stimulation. Therefore, the 3 ms interval between the paired transmastoid stimuli should equate to an ISI of close to 0 ms between the magnetic cortical and transmastoid stimuli.
Changes in intensity of transmastoid stimulus
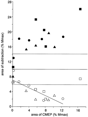
The interaction between the magnetic cortical and transmastoid responses in biceps brachii was investigated at two interstimulus intervals when the intensity of the magnetic stimulus was held constant but the intensity of the transmastoid stimulus was varied. While subjects (n = 3) were relaxed, the magnetic cortical stimulus evoked a mean response of 10.0 ± 4.0 % of the maximal M-wave and the transmastoid response varied between subthreshold and 17 % of the maximal M-wave (Fig. 4). Overall, there was significant facilitation with an ISI of −5 ms (paired t test; P < 0.001). This facilitation was not apparent when the transmastoid stimulus was subthreshold but did not otherwise correlate with the size of the transmastoid response. With an ISI of −1 ms, there was a significant reduction in the response to the combined stimuli (paired t test; P < 0.001). This reduction tended to become greater with increased size of the response to transmastoid stimulation (r = −0.84, without outlier). Figure 4 shows that the largest response to transmastoid stimulation elicited in one subject was relatively ineffective in suppressing the response to magnetic cortical stimulation. It seems likely that this is a consequence of the small number of trials and variability of responses.
Figure 4. Interaction of different sizes of response to transmastoid stimulation with transcranial magnetic stimulation in relaxed biceps brachii.

Five sets of trials were carried out in each of three subjects (▪, •, ▴). Responses to magnetic stimulation (MEPs) were kept constant while the size of the response to transmastoid stimulation (CMEP) varied between sets of trials. Stimuli were delivered alone or together at ISIs of −5 or −1 ms (magnet before transmastoid). Responses to transmastoid stimulation were subtracted from responses to both stimuli delivered together. For each set of trials for each subject, the area of the subtraction is plotted against the area of the response to transmastoid stimulation and can be compared to the size of the response to magnetic cortical stimulation (means ± s.d. indicated by horizontal continuous line surrounded by dashed lines). When stimuli were delivered at an ISI of −5 ms (filled symbols), the area of the subtraction was generally larger than the response to cortical stimulation. When stimuli were delivered at an ISI of −1 ms (open symbols), the area of the subtraction was generally smaller than the response to cortical stimulation. A linear regression through these points (excluding the outlying □) shows a significant correlation (r =−0.84).
Growth of responses to cortical and to transmastoid stimulation with voluntary contraction
When subjects made a voluntary contraction of the elbow flexors of 20 % of maximal force, the response to magnetic cortical stimulation increased from about 10 % to a mean of 50 ± 14 % of the maximal M-wave, whereas the largest responses evoked by transmastoid stimulation (13 ± 3 % in the relaxed subjects) grew to 31 ± 16 %. In each subject, the response to the cortical stimulus grew more than responses of a similar size evoked by transmastoid stimulation although there were intersubject differences in the magnitude of increases (Fig. 5). Relative growth of the responses to transmastoid stimulation with voluntary contraction depended on their initial size. Smaller responses to transmastoid stimulation grew four to six times while the larger responses grew two to three times. However, increases in size were similar in absolute terms for all responses that were suprathreshold in the relaxed muscle. As well as the increase in size, responses showed a consistent decrease in latency with contraction of biceps brachii in each subject. During relaxation, the mean latency for responses evoked by the cortical stimulus was 13.7 ± 0.5 ms. This shortened to 10.8 ± 0.6 ms with contraction. The latency of the responses to transmastoid stimulation decreased by much less from 8.4 ± 0.2 to 8.0 ± 0.4 ms.
Figure 5. Area of responses to transcranial magnetic stimulation and transmastoid stimulation during relaxation and voluntary contraction.

For each subject, the area of responses to magnetic cortical stimulation recorded from biceps brachii during relaxation is shown by the left striped column (mean ± s.d. of 15 responses). With a voluntary contraction of 20 % maximal force, the response grew in each subject (neighbouring dark striped column). Areas of responses to five intensities of transmastoid stimulation are also shown for each subject during relaxation (□) and during contraction (▪). Only three responses contributed to each of these means.
DISCUSSION
Transcranial magnetic stimulation over the motor cortex elicits complex descending volleys. Following the stimulus, descending volleys can be recorded over the spinal cord at ≈1.5 ms intervals for up to 8 ms (Nakamura et al. 1997). It is likely that the initial response in some neurones will result from direct stimulation of the axon or axon hillock of the corticospinal neurone (D response), and in others from indirect, probably transsynaptic, activation (I response), and that some neurones will fire multiple times (Edgley et al. 1997). Despite this complexity, the single volley evoked by transmastoid stimulation can largely ‘occlude’ the response to cortical stimulation when the interstimulus interval is appropriate. This suggests that many of the same axons subserve the two responses.
More detailed interpretation of the interaction of transcranial magnetic stimulation with transmastoid electrical stimulation is difficult even if the pathway involved is assumed to be purely monosynaptic at the motoneurone (Petersen et al. 2001). Each of the descending waves of excitation from the cortical stimulus will interact with each other and with the volley from the transmastoid stimulus by temporal summation in the motoneurone pool. This is likely to be a facilitatory interaction for volleys that would by themselves activate only a small proportion of the motoneurones (Lemon & Mantel, 1989; Porter & Lemon, 1995). Reduction of the responses can occur through collision of the antidromic volley evoked by the transmastoid stimulus with descending action potentials in each axon. Furthermore, each descending axon potential will leave the axon refractory and reduce the efficacy of the transmastoid stimulus.
The difference between the latencies of the responses elicited by stimulation at the cortex and transmastoid stimulation averaged 5.6 ms, but during voluntary contractions this difference decreased to just less than 3 ms. This indicates that the initial volley from the magnetic cortical stimulus passed the site of transmastoid stimulation 3 ms after the cortical stimulus had been delivered. Under relaxed conditions this initial volley was subthreshold for a response detectable in surface EMG and it is likely that one or two additional waves of excitation (I waves) arrived at the motoneurones before a response was elicited. The conduction time from the cortex to the site of transmastoid stimulation determines how much of the descending activity from a cortical stimulus could be blocked by an antidromic volley from the transmastoid stimulus. Action potentials that are already in the segment of axon above the site of activation at the moment of transmastoid stimulation are susceptible to collision, as are action potentials that commence after transmastoid stimulation but before the antidromic volley reaches the cortical cell body. That is, action potentials that are initiated between 3 ms before and 3 ms after transmastoid stimulation may collide with the antidromic volley. However, in any one axon, only one action potential can be eliminated by collision within this period so that if multiple firing occurs, the second or later potentials would not be affected.
When the magnetic stimulus is delivered to the cortex 5 or 6 ms before the axons are stimulated at the mastoid level, the responses to both stimuli are large compared to the responses to individual stimuli. In addition, the latency of the response to both stimuli is shorter than that for the transmastoid stimulus alone or the magnetic stimulus alone. This suggests that some excitation of the motoneurone pool occurs before the arrival of the volley from the transmastoid stimulus although recruitment of larger motoneurones will also contribute to the reduction of latency. It is likely that two or three volleys from the cortex will have travelled past the site where the transmastoid stimulus excites the descending axons before this stimulus is given. Later I waves may be partially occluded by the antidromic transmastoid volley but the facilitatory interaction in the motoneurone pool is more than sufficient to mask any such occlusion.
As the ISI is made shorter, the facilitation decreases. When the cortical stimulus was delivered 3 ms before the transmastoid stimulus, only one subject continued to show facilitation with the larger stimulus intensities and at 2 ms the response was depressed. With the cortex stimulated only 2 ms before the axons, it is unlikely that an excitatory volley would precede the transmastoid volley down the spinal cord so that the transmastoid volley will not arrive at an excited motoneurone pool and will not be facilitated. On the contrary, the response to both stimuli becomes smaller than the sum of the individual stimuli. It is likely that a functionally significant number of volleys evoked in the first 4 or 5 ms by the magnetic cortical stimulus is occluded by the antidromic transmastoid volley, and so they never reach the motoneurones. The reduced response could also be explained by an inhibition of the spinal motoneurones evoked by the transmastoid stimulus via inhibitory interneurones. However, the response to paired transmastoid pulses delivered 3 ms apart was facilitated rather than reduced and this suggests that disynaptic inhibition does not play a major role after transmastoid stimulation, at least in the relaxed state.
As the stimuli are given even closer together (ISIs of −1, 0 and 1 ms) occlusion of the initial volleys from the magnetic cortical stimulus will continue to reduce the response to the combined stimuli. When the transmastoid stimulus is given 3 ms or more before the cortical stimulus, occlusion is no longer likely to occur. The antidromic volley should reach the cortex before the cortical stimulus is given. However, we find that the responses to the combined stimuli are still reduced in size at these ISIs. This result contrasts with the findings of Ugawa et al. (1991b) who examined the interaction of transmastoid stimulation with electrical transcranial stimulation. The decrease in the response to magnetic cortical stimulation but not in the response to electrical transcranial stimulation suggests that the decrease occurs within the cortex. One possibility is that the cortex is inhibited through collaterals from the corticospinal axons (Krnjevic et al. 1966; Ghosh & Porter, 1988). Such an inhibition should start around 4 ms after the transmastoid stimulus and might act, not only with ISIs of 4 ms and more, but might also affect the production of later I waves even when the magnetic stimulus precedes the transmastoid stimulus. Its effect is likely to be small with an ISI of −2 ms (magnet before transmastoid) when only a fifth I wave could be reduced, but with an ISI of 0 ms inhibition of I waves from I3 onwards could occur. The greatest reduction in the response to both stimuli occurred at an ISI of around 0 ms and this may reflect a combination of occlusion of the initial descending volleys evoked by magnetic cortical stimulation and cortical inhibition reducing later volleys. A second explanation may lie in the inhibition of the motor cortex which occurs after stimulation of the cerebellum. Transmastoid stimulation can stimulate the cerebellum at intensities below those needed to stimulate descending tracts (Ugawa et al. 1991a, 1994). Thus our stimulus is likely to have stimulated the cerebellum and so caused inhibition of the motor cortex. Such inhibition is reported to start 5 ms after transmastoid stimulation.
Over the time course studied, the interaction of the smaller stimuli (approximately 3 % of the maximal M-wave) tended to show more facilitation and less reduction of the response to the combined stimuli than when the stimuli were larger (10 % of maximal M-wave). However, there are ISIs at which the combined response was significantly reduced. This suggests that even for small responses, the magnetic cortical stimulus and the transmastoid stimulus excite many of the same axons, although the smaller reduction in the response to the combined stimulus at ISIs at which we would expect to see occlusion may indicate that a smaller fraction of these responses share axons than for the larger responses. While the electrical transmastoid stimulus would be expected to have a strong inverse correlation between stimulus intensity and the size of axons stimulated, the magnetic cortical stimulus is likely to show a much weaker correlation, particularly for I wave generation (Edgley et al. 1997). However, our findings are on this point are not clear-cut. With the larger responses, the transmastoid stimulus evoked a larger response on average than did the magnetic stimulus (10 vs. 17 % of maximal M-wave), whereas the responses were better matched in size for the smaller responses (both 3.8 % of maximal M-wave). This may have contributed to extra occlusion with the larger responses. Furthermore, the small responses showed enhanced facilitation compared to the larger responses. This extra facilitation will reflect the distribution of motoneuronal thresholds and could mask some of a reduction in response due to occlusion.
Background voluntary contraction of 20 % of maximal force markedly increased the sizes of the responses to both magnetic cortical stimulation and to transmastoid stimulation and decreased the latency of both responses. The increase in size of the response to transmastoid stimulation reflects an increase in excitability of the spinal motoneurones during voluntary contraction. Small potentials could grow four to six times larger whereas responses of around 10 % of the maximal M-wave doubled or tripled in size. This greater increase of smaller responses with voluntary contraction is consistent with the greater facilitation of the smaller responses observed with the interaction of cortical and transmastoid responses. The decrease in latency of the responses to transmastoid stimulation was small (0.4 ms) and probably represents the recruitment of larger motoneurones with faster conduction velocities during contraction (Izumi et al. 1996). Only one size of response to magnetic cortical stimulation was examined during contraction. This response of around 10 % of the maximal M-wave grew around five times larger. That is by 1.5-2 times as much as the matched response to transmastoid stimulation. This suggests that as well as the increased response of spinal motoneurones to descending volleys, the magnetic stimulus evokes more or bigger volleys from the cortex. These findings are consistent with previous studies which have suggested that cortical as well as spinal excitability increases during voluntary contractions (Mazzocchio et al. 1994; Ugawa et al. 1995; Kaneko et al. 1996; Di Lazzaro et al. 1998). The substantial decrease in latency (3 ms) that occurs with contraction suggests that the earliest volley from the magnetic stimulation evokes motoneuronal firing during contraction while it did not with the muscle at rest.
In summary, based on the temporal interaction between the responses to magnetic cortical and transmastoid electrical stimulation, our results indicate that transmastoid stimulation accesses some descending corticospinal axons to the elbow flexor muscles. However, the size of the occlusive interaction between appropriately timed stimuli may be affected by several factors including the number, size and timing of descending volleys evoked by the magnetic stimulus, and the occurrence of facilitatory interactions at the motoneurones. In addition the data demonstrate that while cortical factors contribute to increase the size of the response to transcranial magnetic stimulation during a voluntary contraction, the segmental factors are also potent particularly for responses involving low-threshold motoneurones.
Acknowledgments
This work was supported by the National Health and Medical Research Council of Australia.
REFERENCES
- Alstermark B, Isa T, Ohki Y, Saito Y. Disynaptic pyramidal excitation in forelimb motoneurons mediated via C(3)-C(4) propriospinal neurons in the Macaca fuscata. Journal of Neurophysiology. 1999;82:3580–3585. doi: 10.1152/jn.1999.82.6.3580. [DOI] [PubMed] [Google Scholar]
- Amassian VE, Rothwell JC, Ziemann U, Meyer BU, Cracco RQ, Trompetto C, Ashby P, Lalli S. Do human large corticospinal neurons obey the Size Principle? Journal of Physiology. 1999;521.P:47P. [Google Scholar]
- Burke D, Gracies JM, Mazevet D, Meunier S, Pierrot-Deseilligny E. Non-monosynaptic transmission of the cortical command for voluntary movement in man. Journal of Physiology. 1994;480:191–202. doi: 10.1113/jphysiol.1994.sp020352. [DOI] [PMC free article] [PubMed] [Google Scholar]
- Burke D, Hicks R, Gandevia SC, Stephen J, Woodforth I, Crawford M. Direct comparison of corticospinal volleys in human subjects to transcranial magnetic and electrical stimulation. Journal of Physiology. 1993;470:383–393. doi: 10.1113/jphysiol.1993.sp019864. [DOI] [PMC free article] [PubMed] [Google Scholar]
- Datta AK, Harrison LM, Stephens JA. Task-dependent changes in the size of response to magnetic brain stimulation in human first dorsal interosseous muscle. Journal of Physiology. 1989;418:13–23. doi: 10.1113/jphysiol.1989.sp017826. [DOI] [PMC free article] [PubMed] [Google Scholar]
- Day BL, Dressler D, Maertens De Noordhout A, Marsden CD, Nakashima K, Rothwell JC, Thompson PD. Electric and magnetic stimulation of human motor cortex: surface EMG and single motor unit responses. Journal of Physiology. 1989;412:449–473. doi: 10.1113/jphysiol.1989.sp017626. [DOI] [PMC free article] [PubMed] [Google Scholar]
- Di Lazzaro V, Restuccia D, Oliviero A, Profice P, Ferara L, Insola A, Mazzone P, Tonali P, Rothwell JC. Effects of voluntary contraction on descending volleys evoked by transcranial stimulation in conscious humans. Journal of Physiology. 1998;508:625–633. doi: 10.1111/j.1469-7793.1998.625bq.x. [DOI] [PMC free article] [PubMed] [Google Scholar]
- Edgley SA, Eyre JA, Lemon RN, Miller S. Comparison of activation of corticospinal neurons and spinal motor neurons by magnetic and electrical transcranial stimulation in the lumbosacral cord of the anaesthetized monkey. Brain. 1997;120:839–853. doi: 10.1093/brain/120.5.839. [DOI] [PubMed] [Google Scholar]
- Gandevia SC, Petersen N, Butler JE, Taylor JL. Impaired response of human motoneurones to corticospinal stimulation after voluntary exercise. Journal of Physiology. 1999;521:749–759. doi: 10.1111/j.1469-7793.1999.00749.x. [DOI] [PMC free article] [PubMed] [Google Scholar]
- Ghosh S, Porter R. Morphology of pyramidal neurones in monkey motor cortex and the synaptic actions of their intracortical axon collaterals. Journal of Physiology. 1988;400:593–615. doi: 10.1113/jphysiol.1988.sp017138. [DOI] [PMC free article] [PubMed] [Google Scholar]
- Izumi S, Findley TW, Andrews JF, Daum MC, Chino N. Voluntary contraction shortens peripheral conduction time in response to transcranial magnetic stimulation of the brain. Electroencephalography and Clinical Neurophysiology. 1996;101:329–33. doi: 10.1016/0924-980x(96)95060-2. [DOI] [PubMed] [Google Scholar]
- Kaneko K, Kawai S, Fuchigami Y, Shiraishi G, Ito T. Effect of stimulus intensity and voluntary contraction on corticospinal potentials following transcranial magnetic stimulation. Journal of the Neurological Sciences. 1996;139:131–136. [PubMed] [Google Scholar]
- Krnjevic K, Randic M, Straughan DW. An inhibitory process in the cerebral cortex. Journal of Physiology. 1966;184:16–48. doi: 10.1113/jphysiol.1966.sp007902. [DOI] [PMC free article] [PubMed] [Google Scholar]
- Lemon RN, Mantel GWH. The influence of changes in the discharge frequency of corticospinal neurones on hand muscles in the monkey. Journal of Physiology. 1989;413:351–378. doi: 10.1113/jphysiol.1989.sp017658. [DOI] [PMC free article] [PubMed] [Google Scholar]
- Maier MA, Illert M, Kirkwood PA, Nielsen J, Lemon RN. Does a C3-C4 propriospinal system transmit corticospinal excitation in the primate? An investigation in the macaque monkey. Journal of Physiology. 1998;511:191–212. doi: 10.1111/j.1469-7793.1998.191bi.x. [DOI] [PMC free article] [PubMed] [Google Scholar]
- Mazzocchio R, Rothwell JC, Day BL, Thompson PD. Effect of tonic voluntary activity on the excitability of human motor cortex. Journal of Physiology. 1994;474:261–267. doi: 10.1113/jphysiol.1994.sp020018. [DOI] [PMC free article] [PubMed] [Google Scholar]
- Nakamura H, Kitagawa H, Kawaguchi Y, Tsuji H. Direct and indirect activation of human corticospinal neurons by transcranial magnetic and electrical stimulation. Neuroscience Letters. 1996;210:45–48. doi: 10.1016/0304-3940(96)12659-8. [DOI] [PubMed] [Google Scholar]
- Nakamura H, Kitagawa H, Kawaguchi Y, Tsuji H. Intracortical facilitation and inhibition after transcranial magnetic stimulation in conscious humans. Journal of Physiology. 1997;498:817–823. doi: 10.1113/jphysiol.1997.sp021905. [DOI] [PMC free article] [PubMed] [Google Scholar]
- Palmer E, Ashby P. Corticospinal projections to upper limb motoneurones in humans. Journal of Physiology. 1992;448:397–412. doi: 10.1113/jphysiol.1992.sp019048. [DOI] [PMC free article] [PubMed] [Google Scholar]
- Petersen NT, Taylor JL, Gandevia SC. Stimulation of the corticospinal tract activates descending neurones with direct connections to human motoneurones. XXXIV International Congress of Physiological Sciences Abstract CD-Rom. 2001 abstract 1853. International Union of Physiological Sciences. [Google Scholar]
- Porter R, Lemon RN. Corticospinal Function and Voluntary Movement. London: Clarendon Press; 1995. pp. 195–200. [Google Scholar]
- Rothwell JC. Physiological studies of electric and magnetic stimulation of the human brain. Electroencephalography and Clinical Neurophysiology. 1991;43(Suppl.):29–35. [PubMed] [Google Scholar]
- Rothwell JC, Thompson PD, Day BL, Boyd S, Marsden CD. Stimulation of the human motor cortex through the scalp. Experimental Physiology. 1991;76:159–200. doi: 10.1113/expphysiol.1991.sp003485. [DOI] [PubMed] [Google Scholar]
- Taylor JL, Allen GM, Butler JE, Gandevia SC. Effect of contraction strength on responses in biceps brachii and adductor pollicis to transcranial magnetic stimulation. Experimental Brain Research. 1997;117:472–478. doi: 10.1007/s002210050243. [DOI] [PubMed] [Google Scholar]
- Taylor JL, Butler JE, Petersen N, Gandevia SC. Interaction of responses to transcranial magnetic stimulation with electrical stimulation at the cervicomedullary junction. Proceedings of the Australian Neuroscience Society. 1999;10:58. [Google Scholar]
- Thompson PD, Day BL, Crockard HA, Calder I, Murray NM, Rothwell JC, Marsden CD. Intra-operative recording of motor tract potentials at the cervico-medullary junction following scalp electrical and magnetic stimulation of the motor cortex. Journal of Neurology, Neurosurgery and Psychiatry. 1991;54:618–23. doi: 10.1136/jnnp.54.7.618. [DOI] [PMC free article] [PubMed] [Google Scholar]
- Turton A, Lemon RN. The contribution of fast corticospinal input to the voluntary activation of proximal muscles in normal subjects and in stroke patients. Experimental Brain Research. 1999;129:559–572. doi: 10.1007/s002210050926. [DOI] [PubMed] [Google Scholar]
- Ugawa Y, Day BL, Rothwell JC, Thompson PD, Merton PA, Marsden CD. Modulation of motor cortical excitability by electrical stimulation over the cerebellum in man. Journal of Physiology. 1991a;441:57–72. doi: 10.1113/jphysiol.1991.sp018738. [DOI] [PMC free article] [PubMed] [Google Scholar]
- Ugawa Y, Hanajima R, Kanazawa I. Motor cortex inhibition in patients with ataxia. Electroencephalography and Clinical Neurophysiology. 1994;93:225–229. doi: 10.1016/0168-5597(94)90044-2. [DOI] [PubMed] [Google Scholar]
- Ugawa Y, Rothwell JC, Day BL, Thompson PD, Marsden CD. Percutaneous electrical stimulation of corticospinal pathways at the level of the pyramidal decussation in humans. Annals of Neurology. 1991b;29:418–427. doi: 10.1002/ana.410290413. [DOI] [PubMed] [Google Scholar]
- Ugawa Y, Terao Y, Hanajima R, Sakai K, Kanazawa I. Facilitatory effect of tonic voluntary contraction on responses to motor cortex stimulation. Electroencephalography and Clinical Neurophysiology. 1995;97:451–454. doi: 10.1016/0924-980x(95)00214-6. [DOI] [PubMed] [Google Scholar]
