Abstract
Cold exposure provides a reproducible model of improved glucose turnover accompanied by reduced steady state and glucose-induced insulin levels. In the present report we performed immunoprecipitation and immunoblot studies to evaluate the initial and intermediate steps of the insulin-signalling pathway in white and brown adipose tissues, liver and skeletal muscle of rats exposed to cold. Basal and glucose-induced insulin secretion were significantly impaired, while glucose clearance rates during a glucose tolerance test and the constant for glucose decay during a 15 min insulin tolerance test were increased, indicating a significantly improved glucose turnover and insulin sensitivity in rats exposed to cold. Evaluation of protein levels and insulin-induced tyrosine (insulin receptor, insulin receptor substrates (IRS)-1 and −2, ERK (extracellular signal-related kinase)) or serine (Akt; protein kinase B) phosphorylation of proteins of the insulin signalling cascade revealed a tissue-specific pattern of regulation of the molecular events triggered by insulin such that in white adipose tissue and skeletal muscle an impaired molecular response to insulin was detected, while in brown adipose tissue an enhanced response to insulin was evident. In muscle and white and brown adipose tissues, increased 2-deoxy-D-glucose (2-DG) uptake was detected. Thus, during cold exposure there is a tissue-specific regulation of the insulin-signalling pathway, which seems to favour heat-producing brown adipose tissue. Nevertheless, muscle and white adipose tissue are able to take up large amounts of glucose, even in the face of an apparent molecular resistance to insulin.
Exposure of homoeothermic animals to a cold environment leads to improved glucose clearance rates in spite of reduced blood insulin concentrations and basal or glucose-stimulated insulin secretion (Vallerand et al. 1983, 1987; Smith, 1984; Shibata et al. 1989). These changes of biochemical and metabolic parameters reflect adaptation to a novel environment and are responsible for an optimization of energy expenditure. Besides modulation of insulin and glucose levels, cold exposure leads to increased food ingestion (Ohtani et al. 1999; Torsoni et al. 2003), lower blood leptin levels (Torsoni et al. 2003), higher blood catecholamine levels (Dulloo et al. 1988; Gabaldon et al. 1995) and a transitory increase in blood thyroid-stimulating hormone (TSH), non-esterified fatty acids (NEFA) and corticosterone levels (Hefco et al. 1975; Smith, 1984; Torsoni et al. 2003). Since mechanisms that promote improved glucose tolerance are of potential therapeutic interest in diabetes mellitus, several studies have attempted to characterize the effects of cold exposure upon the modulation of glucose homeostasis. Both insulin-dependent and −independent mechanisms are supposed to participate in this process (Gottesman et al. 1983; Lavelle-Jones et al. 1987), and tissue-specific modulation of glucose uptake has been reported (Vallerand et al. 1983).
Insulin signals through a heterotetrameric transmembrane receptor belonging to the family of receptors that bear intrinsic tyrosine kinase activity (Virkamaki et al. 1999). In skeletal muscle and in white and brown adipose tissues (WAT and BAT), glucose uptake is mostly dependent on insulin activation of its signalling pathway (Pessin & Saltiel, 2000). On the other hand, in the liver, glucose uptake is independent of insulin action but glucose output is inhibited by this hormone (Michael et al. 2000). To date, several intracellular branches of the insulin-signalling pathway have been characterized at the molecular level (Saltiel & Kahn, 2001). Most studies agree that activation of the pathway IRSs-phosphatidylinositol 3(PI3)-kinase-Akt1 is a necessary event in order to achieve full stimulation of the glucose transport apparatus in muscle and fat (Summers et al. 1999). On the other hand the same IRSs-PI3-kinase-Akt1 pathway, in association with activation of ERK, seems to be required to promote inhibition of hepatic gluconeogenesis (Michael et al. 2000).
In the present study the IR-IRS1,2-PI3-kinase-Akt1 and IR-IRS1,2-ERK pathways were evaluated in muscle, liver, WAT and BAT of rats exposed to a cold environment for 8 days, in an attempt to characterize the connection between tissue-specific regulation of glucose homeostasis modulated by cold and the molecular events of the insulin-signalling pathway.
METHODS
Antibodies, chemicals and buffers
Reagents for SDS-polyacrylamide gel electrophoresis and immunoblotting were from Bio-Rad (Richmond, CA, USA). Hepes, phenylmethylsulfonyl fluoride, aprotinin, dithiothreitol, Triton X-100, Tween 20, glycerol, and bovine serum albumin (fraction V) were from Sigma (St Louis, MO, USA). Protein A-Sepharose 6MB was from Pharmacia (Uppsala, Sweden), 125I-protein A was from ICN Biomedicals (Costa Mesa, CA, USA), 2-deoxy-D-[3H]glucose was from New England Nuclear Corp. (Boston, MA, USA), and nitrocellulose paper (BA85, 0.2 μm) was from Amersham (Aylesbury, UK). Sodium thiopental (Amytal) and human recombinant insulin (Humulin R) were from Lilly (Indianapolis, IN, USA). Polyclonal anti-phosphotyrosine antibodies were raised in rabbits and affinity-purified on phosphotyramine columns. Anti-IR, anti-IRS1, anti-IRS2, anti-GLUT-4, anti-pERK (α pERK/Tyr 204, detecting pERK42 and pERK44) and anti-phospho [Ser473]Akt1 were from Santa Cruz Biotechnology (Santa Cruz, CA, USA). Rabbit anti-p85-PI3-kinase antiserum was from UBI (Lake Placid, NY, USA). Enzymatic colorimetric assay for the quantification of non-esterified-fatty-acids (NEFA) was from Wako Chemicals USA, Inc. (Richmond, VA, USA), leptin detection kit was from Linco Research Inc., (St Charles, MO, USA). Corticosterone and TSH radioimmunoassay (RIA) kits were from Amersham Pharmacia Biotech –BIOTRAK (Aylesbury, UK). Insulin was determined by RIA (Scott et al. 1981).
Animals and cold exposure protocols
Male Wistar rats (Rattus norvegicus) (8 weeks old, 200-300 g) obtained from the University of Campinas Animal Breeding Center were used in the experiments. The investigation followed the University guidelines for the use of animals in experimental studies and conforms to the Guide for the Care and Use of Laboratory Animals published by the US National Institutes of Health (NIH publication No. 85-23 revised 1996). The animals were maintained on 12 h:12 h artificial light-dark cycles and housed in individual cages. After the acclimatizing period (3 days), the animals were randomly divided into two groups: cold-exposed (4 ± 1 °C, 8 days) and thermo-neutrality-maintained animals (23 ± 1 °C; control). The animals were allowed free access to standard rodent chow and water ad libitum. For tissue extraction (at day 8 of the experimental protocol), rats were anaesthetized by intraperitoneal injection of sodium amobarbital (15 mg (kg body weight)−1), and the experiments were performed after the loss of corneal and pedal reflexes. Following experimental procedures the rats were killed under anaesthesia following the recommendations of the NIH publication No. 85-23.
Metabolic, hormone and biochemical measurements
Measurements of food intake, rectal temperature and body weight (during the light cycle) were obtained at time 0 and 2 h from the beginning of the experimental period, and daily during the eight experimental days in control and cold-exposed rats. Rectal temperature was measured with a Thermistor high precision digital thermometer (Hanna Instruments, Inc., Woonsocket, RI, USA) inserted 1.5 cm from the anus. Blood samples were always obtained from rats fasted for 2 h. Plasma glucose was measured by the glucose oxidase method in samples collected from the tail at time 0, and 2 h and daily during the experimental period (Trinder, 1969). NEFA was determined by ELISA according to the manufacturer's directions, in samples collected at time 0 and 2h, and on days 2, 4 and 8 of the experimental period. Insulin was detected by RIA, utilizing a guinea-pig anti-rat insulin antibody and rat insulin as standard (Scott et al. 1981), on samples collected at time 0 and 2 h, and on days 2, 4 and 8 of the experimental period. Serum leptin concentrations were measured by enzyme-linked immunosorbent assay (ELISA) on samples collected at time 0 and 2 h, and on days 2, 4 and 8 of the experimental period. Corticosterone and TSH were measured by RIA, according to the manufacturer's specifications, on samples collected at time 0 and 2 h, and on days 2 and 8 of the experimental period.
Catecholamine measurements
Plasma catecholamine levels were determined by reverse-phase HPLC according to a method previously described (Cassis et al. 1998). Plasma samples were collected at day 8 of the experimental protocol.
Glycogen measurements
After 8 days of exposure to either 23 ± 1 °C or 4 ± 1 °C, liver and gastrocnemius muscle fragments were collected (post-anaesthesia) and digested in pre-warmed KOH solution (30 %) for glycogen measurements as previously described (Pimenta et al. 1989).
Oral glucose tolerance test (GTT)
An oral GTT was performed on experimental day 8, after an overnight fast; the rats were anaesthetized as described above. After the collection of an unchallenged sample (time 0), a solution of 20 % glucose (2g (kg body weight)−1) was administered into the stomach of the rats through a gastric catheter. Blood samples were collected at 30, 60, 90 and 120 min from the tail tip, for determinations of glucose and insulin concentrations.
Insulin tolerance test (ITT)
An intravenous (I.V.) ITT was performed on experimental day 8. Food was withdrawn 6 h before the test and the rats were anaesthetized as described above. Insulin (6 μg) was injected through the tail vein and blood samples were collected at 0, 4, 8, 12 and 16 min from the tail tip for serum glucose determination. The constant rate for glucose disappearance (Kitt) was calculated using the formula 0.693/t1/2. The half-time of glucose decay, t1/2, was calculated from the slope of the least-square analysis of plasma glucose concentrations during the linear decay phase (Bonora et al. 1987).
Evaluation of insulin action by homeostatic model analysis (HOMA)
Homeostatic model analysis (HOMA) was calculated employing the formula insulin/22.5exp(−ln glucose) (Matthews et al. 1985), using insulin and glucose levels determined at day 8 of the experimental protocol.
Body composition
Whole body composition at experimental day 8 was determined post mortem following a method previously described (Kumar et al. 2002) with minor modifications. The carcass was weighted and placed within a drying stove (50 ± 5 °C) until it reached a stable weight. Carcass water content was calculated as the difference between the initial and final weights. The dried carcass was broken into small fragments, which were wrapped in in filter paper and placed within a Soxlet extractor. The fragments were then washed over 2 days with petroleum ether. Body fat content was determined as the difference between the dried and fat-free weights.
Glucose-induced insulin secretion
To measure insulin secretion, groups of five islets isolated by the collagenase method (Araujo et al. 2002) were pre-incubated for 30 min at 37 °C in Krebs bicarbonate medium (NaCl 115 mM, KCl 5.0 mM, CaCl2 2.56 mM, Mg Cl2 1.0 mM, NaHCO3 24 mM and glucose 5.6 mM), supplemented with BSA (3 g l−1) and equilibrated with a mixture of O2 and CO2 (95:5, v/v); pH 7.4 (Lacy & Kostianovsky, 1967). The solution was then replaced by fresh buffer containing low (2.8 mM) or supra-physiological (16.7 mM) concentrations of glucose, and the islets were incubated for 1 h longer. The insulin content in the supernatant was measured by RIA (Scott et al. 1981).
2-deoxy-D-glucose uptake studies
The in vivo tissue uptake of 2-deoxy-D-glucose (2-DG) at experimental day 8 was measured according to the procedure described by Turinsky (1983) with minor modifications. The rats were anaesthetized and then injected with 6 μCi of 2-deoxy-D-[3H], sucrose with or without 0.1 U insulin in 0.4 ml isotonic phosphate buffer (pH 7.4) with 0.1 % defatted bovine serum albumin, through the portal vein. After 16 min, slices of skeletal muscle (gastrocnemius), interscapular brown adipose tissue, epididimal white adipose tissue and liver were quickly removed, weighed, and solubilized in NCS-II Tissue Solubilizer (Amersham, Little Chalfont, Bucks, UK). The radioactivity of 3H in the resulting supernatant was measured in a liquid scintillation fluid (ACS-II Amersham-Japan, Tokyo), using a scintillation counter (Aloka, Model LSC-1000, Kyoto). The results were expressed as counts min −1 (mg tissue weight)−1). Cellular uptake of 2-DG was calculated as the difference between the total tissue radioactivity and the amount of radioactivity present in the tissue extracellular space. The cellular radioactivity was then converted to picomoles of 2-DG using the specific activity, and the results were expressed per milligram of dry tissue.
Tissue extraction, immunoblotting and immunoprecipitation
The abdominal cavity of anaesthetized rats was opened and the rats received an infusion of insulin (0.2 ml, 10−6 M) or saline (0.2 ml) through the cava vein. After different intervals (described under Results), fragments (3.0 mm × 3.0 mm × 3.0 mm) of BAT, WAT, liver and skeletal muscle were excised and immediately homogenized in solubilization buffer at 4 °C (1 % Triton X-100, 100 mM Tris-HCl (pH 7.4), 100 mM sodium pyrophosphate, 100 mM sodium fluoride, 10 mM EDTA, 10 mM sodium orthovanadate, 2.0 mM phenylmethylsulfonic fluoride (PMSF) and 0.1 mg aprotinin ml−1) with a Polytron PTA 20S generator (model PT 10/35; Brinkmann Instruments, Westbury, NY, USA) operated at maximum speed for 30 s. Insoluble material was removed by centrifugation for 20 min at 9000 g in a 70.Ti rotor (Beckman) at 4 °C. The protein concentration of the supernatants was determined by the Bradford dye binding method. Aliquots of the resulting supernatants containing 5.0 mg of total protein were used for immunoprecipitation with antibodies against IR, IRS1 and IRS2 at 4 °C overnight, followed by SDS-PAGE, transfer to nitrocellulose membranes and blotting with antiphosphotyrosine, anti-IR, anti-IRS1, anti-IRS-2 or anti-p85-PI3 kinase. In direct immunoblot experiments 0.2 mg of protein extracts obtained from each tissue were separated by SDS-PAGE, transferred to nitrocellulose membranes and blotted with anti-IR, IRS1, IRS2, anti-phospho-Akt or anti-phospho-ERK antibodies as described (Saad et al. 1993).
Subcellular fractionation
To characterize the expression and subcellular localization of GLUT-4, a subcellular fractionation protocol was employed as described previously (Mizukami et al. 1997), with minor modifications. Fragments of BAT, WAT and skeletal muscle obtained from rats treated or not with insulin (0.2 ml, 10−6 M, tissue obtained 15 min after insulin infusion) according to the protocols described above, were minced and homogenized in 2 volumes of STE buffer at 4 °C (0.32 M sucrose, 20 mM Tris-HCl (pH 7.4), 2 mM EDTA, 1 mM DTT, 100 mM sodium fluoride, 100 mM sodium pyrophosphate, 10 mM sodium orthovanadate, 1 mM PMSF, 0.1 mg aprotinin ml−1) in a Polytron homogenizer. The homogenates were centrifuged (1000 g, 25 min, 4 °C) to obtain pellets. The pellet was washed once with STE buffer (1000 g, 10 min, 4 °C) and suspended in Triton buffer (1 % Triton X-100, 20 mM Tris-HCl (pH 7.4), 150 mM NaCl, 200 mM EDTA, 10 mM sodium orthovanadate, 1 mM PMSF, 100 mM NaF, 100 mM sodium pyrophosphate, 0.1 mg aprotinin ml−1), kept on ice for 30 min and centrifuged (15 000 g, 30 min, 4 °C) to obtain the nuclear fraction. The supernatant was centrifuged (100 000 g, 60 min, 4 °C) to obtain the cytosol fraction and the pellet, which was suspended in STE buffer plus 1 % Nonidet P-40, kept on ice for 20 min and centrifuged (100 000 g, 20 min) to obtain the membrane fraction. The fractions were treated with Laemmli buffer with 100 mM dithiothreitol, heated in a boiling water bath for 5 min, and aliquots (200 μg of protein) were subjected to SDS-PAGE and Western blotting with anti-GLUT-4 antibodies as described (Mizukami et al. 1997).
Data presentation and statistical analysis
All numerical results are expressed as the means ± s.e.m. of the indicated number (n) of experiments. The results of blots are presented as direct comparisons of bands in autoradiographs and quantified by densitometry using the ScionCorp software (Scion Image). Student's t test for unpaired samples and analysis of variance (ANOVA) for multiple comparisons were used for statistical analysis as appropriate. The post hoc test was employed when required. The level of significance was set at P < 0.05.
RESULTS
Metabolic characterization of cold-exposed rats
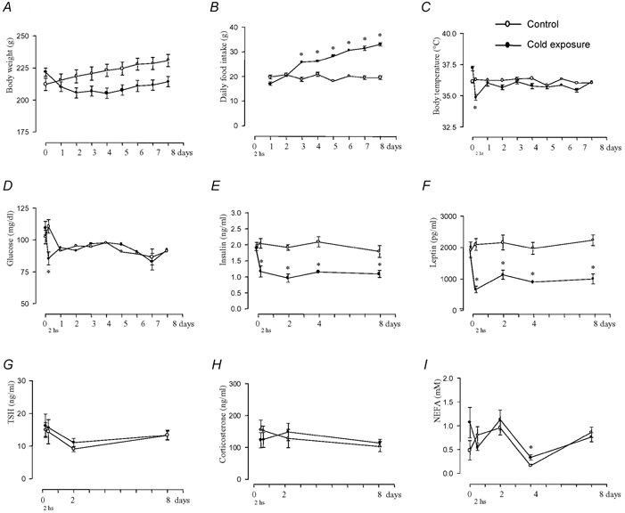
Figure 1 depicts a comprehensive evaluation of the metabolic parameters studied in cold-exposed and control rats. Cold exposure promoted an early fall in body weight (Fig. 1A), which gradually tended to recover from experimental day 5 on. The slope of weight gain-time curve is less steep in cold-exposed than in control rats. Daily food intake was immediately stimulated by cold exposure (Fig. 1B). From day 3 on there was a significant difference in food consumption between the groups. Body temperature (Fig. 1C) presented an early fall (at 2 h) in cold-exposed rats but rapidly accommodated, returning to the control level. The same occurred with blood glucose (Fig. 1D), which presented a rapid, non-significant fall at 2 h followed by prompt recovery. On the other hand, insulin (Fig. 1E) and leptin (Fig. 1F) were significantly lower in cold-exposed rats throughout the experimental period. Blood TSH (Fig. 1G) and corticosterone (Fig. 1H) levels were similar between experimental groups throughout the study period, while NEFA levels were constantly higher in cold-exposed rats. However at none of the time points analysed, not even in the post hoc analysis, was a statistically significant difference detected (Fig. 1I). Finally, the noradrenaline (norepinephrine) level at experimental day 8 was significantly increased in cold-exposed rats compared to control (7280 ± 354 vs. 3875 ± 288 pg ml−1, respectively, n = 8, P < 0.05).
Figure 1. Metabolic characterization of rats exposed to cold.

Body weight (A), daily food intake (B), body temperature (C), plasma glucose (D), serum insulin (E), serum leptin (F), serum TSH (G), serum corticosterone (H) and serum NEFA (I) concentrations were determined in rats exposed to 4 °C (•) or maintained at room temperature (○) according to the methods described in the text. Results are expressed as means ± s.e.m.; n = 12 for A−D and I; n = 8 for E−H. * P < 0.05 vs. control.
Glucose turnover and insulin secretion in cold-exposed rats
Several studies have demonstrated that although cold-exposed rats are hypoinsulinaemic, they mobilize glucose with greater efficiency than their respective controls (Vallerand et al. 1983, 1987). In the present study, rats exposed to cold for 8 days were able to promote a much more efficient glucose uptake during a GTT, even producing significantly lower levels of insulin (Fig. 2A and B). Increased insulin sensitivity of cold-exposed rats was further confirmed by an I.V. ITT, which showed a significant increase of ≈50 % in Kitt (Fig. 2B, inset), and a reduced HOMA value (Fig. 2C).
Figure 2. Effect of 8 days cold exposure on glucose metabolism.

Glucose (A) and insulin (B) concentrations during I.P. GTT, and glucose disappearance rate (A, inset) in control and cold-exposed rats. The constant rate for plasma glucose disappearance (Kitt) was calculated as described in Methods. HOMA values (C) for control and cold-exposed rats were calculated as previously described (Matthews et al. 1985). Results are representative of the mean ± s.e.m.; n = 8 for A−C; n = 12 for A, inset. * P < 0.05 vs. control.
To investigate if the low insulin level was due to a primary defect of insulin secretion by the β-cells, pancreatic islets were isolated from control and cold-exposed rats and freshly prepared for insulin secretion studies. As depicted in Fig. 3A, basal and glucose-stimulated insulin secretion were significantly lower in islets isolated from cold-exposed rats, confirming that direct exposure of rats to cold affects the functional response of the insulin-producing organ. However, as shown in Fig. 3B, following a glucose stimulus, pancreatic islets from cold-exposed rats presented a significantly higher percentage response over basal than pancreatic islets from control rats.
Figure 3. Static insulin secretion studies.

Insulin secretion (A) was calculated from the accumulation of insulin in supernatants of 5 islets/well isolated from cold-exposed or control rats and maintained in medium containing either 2.8 or 16.7 mM glucose. The percentage increment (B) of glucose-induced insulin secretion was obtained from the difference in secretion between islets exposed to 2.8 and 16.7 mM glucose in each experimental group. Values are representative of means ± s.e.m.; n = 6 wells/group. * P < 0.05 vs. control.
Tissue-specific glucose uptake and energy depots in rats exposed to cold
Glucose uptake by skeletal muscle and WAT is highly stimulated by insulin. BAT also presents the same characteristics as WAT, possessing all the molecular machinery needed for insulin signalling, and expressing insulin-sensitive GLUT-4 (Valverde et al. 1998; Kawashita et al. 2002). On the other hand, liver glucose uptake is independent of insulin action; however, the pancreatic hormone tightly regulates hepatic gluconeogenesis. Since cold exposure leads to high glucose turnover in spite of low basal and stimulated insulin levels, we decided to evaluate tissue-specific glucose uptake, as well as whole-body fat and glycogen contents, in insulin-sensitive tissues. Figure 4 shows that insulin-induced 2-DG uptake was significantly increased in BAT, WAT and skeletal muscle of cold-exposed rats, while in the liver glucose uptake was similar in cold-exposed and control rats. Moreover, cold exposure produced no changes on muscle glycogen content (Fig. 5B) but led to a significant increase of liver glycogen stocks (Fig. 5A). Finally, whole body fat content was dramatically reduced after 8 days of cold exposure (Fig. 5C).
Figure 4. Tissue-specific glucose uptake.

2-[3 H]-Deoxyglucose uptake in brown adipose tissue (BAT) (A), skeletal muscle (B), white adipose tissue (WAT) (C) and liver (D) of control and cold-exposed insulin animals was determined as described in the text. Results are expressed as means ± s.e.m.; n = 5. * P < 0.05 vs. control + insulin.
Figure 5. Tissue glycogen and fat content.

Hepatic (A) and muscular (B) glycogen concentrations, and percentage of body fat (C) were determined in cold-exposed and control rats. Results are expressed as means ± s.e.m., n = 6. * P < 0.05 vs. control.
Effects of cold exposure upon the insulin signalling pathway
The results presented above suggested that both insulin-dependent and −independent mechanisms participate in the homeostasis of glucose in cold-exposed rats. In these animals, glucose flow into BAT, WAT and skeletal muscle was significantly increased while glucose flow into liver was unaffected. On the other hand, body fat was significantly consumed, while liver glycogen content was increased. In view of these findings we decided for evaluating the initial and intermediate steps of two branches of the insulin-signalling cascade in BAT, WAT, skeletal muscle and liver of rats exposed to cold.
In BAT (Fig. 6) cold exposure led to no modulation of IR (Fig. 6A) and IRS1 (Fig. 6C) protein expression. However, the IRS2 protein level was significantly increased in cold-exposed rats (Fig. 6E). Following insulin stimulation tyrosine phosphorylation of IR (Fig. 6B), IRS1 (Fig. 6D) and IRS2 (Fig. 6F) was significantly higher in cold-exposed rats than in controls. On the other hand, insulin-induced serine phosphorylation of Akt (Fig. 6G) and tyrosine phosphorylation of ERK (Fig. 6H) were unaffected by cold exposure. The insulin-induced associations of p85-PI3-kinase with IRS1 and IRS2 were significantly incremented in cold-exposed rats (not shown).
Figure 6. Insulin signal transduction in brown adipose tissue.

The protein levels of IR (A), IRS1 (C), and IRS2 (E) were determined in brown adipose tissue (BAT) of control and cold-exposed rats. Samples (200 μg) of total protein extracts from each tissue were separated by SDS-PAGE, transferred to nitrocellulose membranes and blotted (IB) with anti-IR (A), anti-IRS1 (C) or anti-IRS2 (E) antibodies. Tyrosine phosphorylation of IR (B), IRS1 (D) and IRS-2 (F) was evaluated in brown adipose tissue protein extracts by immunoprecipitation (IP) with anti-IR (B), anti-IRS1 (D) and anti-IRS-2 (F) antibodies, and immunoblotting with anti-phosphotyrosine (PY) antibodies. Serine473 phosphorylation of Akt (G) and tyrosine phosphorylation of ERK (H) were determined by blotting of total protein extracts, separated by SDS-PAGE and transferred to nitrocellulose membranes. Data are presented as means ± s.e.m., n = 6. * P < 0.05 vs. control.
In WAT (Fig. 7) significant reductions of IR (Fig. 7A), IRS1 (Fig. 7C) and IRS2 (Fig. 7E) protein expression were detected in cold-exposed rats. Acutely injected insulin led to significantly lower level of tyrosine phosphorylation of IR (Fig. 7B) and IRS1 (Fig. 7D) and a tendency towards lower levels of tyrosine phosphorylation of IRS2 (Fig. 7F) in cold-exposed animals. Both serine phosphorylation of Akt (Fig. 7G) and tyrosine phosphorylation of ERK (Fig. 7H), following insulin treatment, were significantly reduced in cold-exposed rats compared to control rats.
Figure 7. Insulin signal transduction in white adipose tissue.

The protein levels of IR (A), IRS1 (C), IRS2 (E) were determined in white adipose tissue (WAT) of control and cold-exposed rats. Samples (200 μg) of total protein extracts from each tissue were separated by SDS-PAGE, transferred to nitrocellulose membranes and blotted (IB) with anti-IR (A), anti-IRS1 (C) or anti-IRS2 (E) antibodies. Tyrosine phosphorylation of IR (B), IRS1 (D) and IRS-2 (F) was evaluated in white adipose tissue protein extracts by immunoprecipitation (IP) with anti-IR (B), anti-IRS1 (D) and anti-IRS-2 (F) antibodies, and immunoblotting with anti-phosphotyrosine (PY) antibodies. Serine473 phosphorylation of Akt (G) and tyrosine phosphorylation of ERK (H) were determined by blotting of total protein extracts, separated by SDS-PAGE and transferred to nitrocellulose membranes. Data are presented as means ± s.e.m., n = 6. * P < 0.05 vs. control.
In skeletal muscle (Fig. 8) protein expression of IRS1 (Fig. 8C) and IRS2 (Fig. 8E) was significantly reduced by cold exposure, while the protein level of IR (Fig. 8A) was not affected by this condition. Nevertheless, insulin-induced tyrosine phosphorylation of IR (Fig. 8B) and IRS1 (Fig. 8D) were significantly lower in cold-exposed rats while the opposite occurred with IRS2 (Fig. 8F). The insulin-induced serine phosphorylation of Akt (Fig. 8G) was significantly reduced in cold-exposed rats while no difference between experimental groups was detected in insulin-induced tyrosine phosphorylation of ERK (Fig. 8H).
Figure 8. Insulin signal transduction in skeletal muscle.

The protein levels of IR (A), IRS1 (C), IRS2 (E) were determined in skeletal muscle of control and cold-exposed rats. Samples (200 μg) of total protein extracts from each tissue were separated by SDS-PAGE, transferred to nitrocellulose membranes and blotted (IB) with anti-IR (A), anti-IRS1 (C) or anti-IRS2 (E) antibodies. Tyrosine phosphorylation of IR (B), IRS1 (D) and IRS-2 (F) was evaluated in skeletal muscle protein extracts by immunoprecipitation (IP) with anti-IR (B), anti-IRS1 (D) and anti-IRS-2 (F) antibodies, and immunoblotting with anti-phosphotyrosine (PY) antibodies. Serine473 phosphorylation of Akt (G) and tyrosine phosphorylation of ERK (H) were determined by blotting of total protein extracts, separated by SDS-PAGE and transferred to nitrocellulose membranes. Data are presented as means ± s.e.m., n = 6. * P < 0.05 vs. control.
Finally, in the liver (Fig. 9) the exposure of rats to cold for 8 days exerted no effect upon IR (Fig. 9A), IRS1 (Fig. 9C) and IRS2 (Fig. 9E) protein expression. In spite of this, insulin-induced tyrosine phosphorylation of IR (Fig. 9B) and IRS2 (Fig. 9F) was significantly increased, while IRS1 (Fig. 9D) tended to increase in cold-exposed rats as compared to controls. Cold exposure promoted a significant fall in insulin-induced serine phosphorylation of Akt (Fig. 9G), and exerted no modulation upon insulin-induced tyrosine phosphorylation of ERK (Fig. 9H).
Figure 9. Insulin signal transduction in liver.

The protein levels of IR (A), IRS1 (C), IRS2 (E) was determined in liver of control and cold-exposed rats. Samples (200 μg) of total protein extracts from each tissue were separated by SDS-PAGE, transferred to nitrocellulose membranes and blotted (IB) with anti-IR (A), anti-IRS1 (C) or anti-IRS2 (E) antibodies. Tyrosine phosphorylation of IR (B), IRS1 (D) and IRS-2 (F) was evaluated in liver protein extracts by immunoprecipitation (IP) with anti-IR (B), anti-IRS1 (D) and anti-IRS-2 (F) antibodies, and immunoblotting with anti-phosphotyrosine (PY) antibodies. Serine473 phosphorylation of Akt (G) and tyrosine phosphorylation of ERK (H) were determined by blotting of total protein extracts, separated by SDS-PAGE and transferred to nitrocellulose membranes. Data are presented as means ± s.e.m., n = 6. * P < 0.05 vs. control.
Effects of cold exposure upon GLUT-4 expression
The effect of cold exposure upon GLUT-4 expression and translocation to cell membrane was evaluated in subcellular fractions of BAT, WAT and skeletal muscle from insulin-treated and non-insulin-treated, cold-exposed and control rats. As depicted in Fig. 10, cold exposure induced an increase of GLUT-4 expression in whole tissue extracts from BAT, WAT and skeletal muscle (Fig. 10A-C, left-hand bar graphs). In control rats, treatment with insulin promoted a significant increase of GLUT-4 in the membrane fraction, which was accompanied by a proportional decrease of GLUT-4 in the cytosol fraction, in all tissues evaluated (Fig. 10A-C, middle bar graphs). Conversely, in cold-exposed rats insulin exerted no significant effect on GLUT-4 translocation to the membrane fraction (Fig. 10A-C, right-hand bar graphs). In fact, in cold-exposed rats, the GLUT-4 concentration in the membrane fraction was higher than GLUT-4 expression in the cytosolic fraction, even in the absence of an insulin stimulus. Thus, cold exposure induces an increase of whole tissue GLUT-4 expression that is mostly due to an increase in the GLUT-4 concentration in the membrane fraction, and is independent of insulin action.
Figure 10. GLUT-4 expression and subcellular distribution.

The protein levels of GLUT-4 were determined by SDS-PAGE and immunoblot of whole tissue extracts (A-C left-hand panels) and in subcellular fractions (middle and right-hand panels) of cytosol and membrane of BAT (A), WAT (B) and skeletal muscle (C). Data are presented as means ± s.e.m., n = 6. * P < 0.05 vs. control. # P < 0.05 vs. membrane without (−) insulin.
DISCUSSION
Although much work has been done to characterize the molecular mechanisms of insulin resistance (Saad, 1994; Saltiel & Kahn, 2001; White, 2002), an ever-growing interest is focused on the mechanisms that allow for improved glucose clearance rates. The most obvious reason for this interest is the promise of finding new molecular targets for drug therapy to be used in diabetes mellitus and related diseases.
Exposure of homoeothermic animals to a cold environment leads to a unique situation characterized by low insulin secretion accompanied by increased glucose mobilization and an evident improvement of the biological response to insulin action (Smith & Davidson, 1982; Vallerand et al. 1987). According to several studies, the main factor responsible for the improved glucose turnover observed in cold-exposed animals is not an enhanced response to insulin, but an increase in glucose uptake driven by insulin-independent mechanisms (Smith & Davidson, 1982; Cunningham et al. 1985; Vallerand et al. 1987; Dulloo et al. 1988; Shibata et al. 1989). These facts have enhanced the interest in the characterization of the mechanisms that lead to improved glucose mobilization in cold-exposed animals and at least one new class of drug seems to partially mimic the effects of cold exposure upon glucose homeostasis. β3-Adrenergic compounds such as CL-316,243 (Jost et al. 2002) and BRL 26830A (Rochet et al. 1988) stimulate glucose uptake by BAT and increase glucose clearance rates when used in humans and animal models of glucose intolerance. Cold exposure increases sympathetic tonus and this effect may play a central role in many of the physiological adaptations observed in the present model. For example, high sympathetic tonus reduces insulin secretion by pancreatic islets (Gilon & Henquin, 2001), augments BAT metabolic activity (Scarpace et al. 1996; Puigserver et al. 1998) and promotes an increase in glucose uptake by WAT (Moreno-Aliaga et al. 2002). Besides this, some other phenomena may contribute for this effect. Shivering thermogenesis is known to participate in body temperature control during acute exposure to cold (Smith & Davidson, 1982). Skeletal muscle glycogen is a major source of energy for shivering thermogenesis and blood glucose clearance is stimulated through this mechanism (Martineau & Jacobs, 1988). However, following thermal adaptation, such as in the model herein employed, shivering thermogenesis almost vanishes, and no longer participates in glucose homeostasis (Smith & Davidson, 1982). Other mechanisms that may participate to a certain degree in the control of glucose uptake in cold-exposed rats are blood levels of NEFA, hormones other than insulin, and body composition (Martineau & Jacobs, 1989; Haman et al. 2002).
Although several studies have evaluated the effects of cold exposure upon glucose homeostasis, insulin secretion, and other aspects related to energy metabolism in animals and humans (Vallerand et al. 1988, 1987; Liu et al. 1999; Haman et al. 2002), no previous research has investigated insulin signal transduction in tissues of cold-exposed animals. In the present report we have characterized some of the most important metabolic parameters of an animal model of exposure to cold, in parallel with a study of two branches of the insulin-signalling cascade in BAT, WAT, liver and skeletal muscle.
The animal model employed in our study matches most of the previous descriptions of the metabolic characteristics of rats exposed to cold (Cunningham et al. 1985; Vallerand et al. 1987; Torsoni et al. 2003), and the data obtained support the fact that cold-exposed animals are able to promote an increased turnover of glucose, even in the presence of low levels of insulin, and that much of this effect is certainly independent of the action of this hormone. Based on the 2-DG uptake data, we observed, as expected, that a more intense effect of cold exposure upon glucose mobilization occurred in BAT. In this tissue, there is a clear improvement of the initial steps of the insulin-signalling pathway. Nevertheless, in more distal steps of the pathway, specifically, insulin-induced serine phosphorylation of Akt and tyrosine phosphorylation of ERK, only a non-significant tendency towards augmentation promoted by cold exposure is seen. Considering that both Akt-dependent and −independent mechanisms participate in insulin-induced glucose uptake by insulin-sensitive tissues (Saltiel & Kahn, 2001), and that cold exposure promotes glucose uptake by insulin-independent mechanisms, the apparent positive regulation of the initial steps of insulin signalling in BAT may account for a fraction but not the whole of the increased BAT glucose uptake detected in this model.
In both WAT and skeletal muscle there is a significant positive effect of cold exposure upon glucose uptake. This effect may be observed either in non-insulin-stimulated animals, or following an acute insulin stimulus. However, insulin-signalling events in both tissues display a characteristic pattern of impaired signal transduction. The only molecular event that did not present negative regulation after cold exposure was insulin-induced IRS2 tyrosine phosphorylation in skeletal muscle. In spite of this fact, and even considering that the insulin-induced p85-PI3-kinase association with IRS2 was incremented by cold exposure as well (not shown), the more distal event of insulin-induced serine phosphorylation of Akt was negatively regulated by cold in muscle. Thus, as a whole it seems that in skeletal muscle and WAT there is a powerful effect of cold exposure upon insulin-dependent and −independent glucose uptake such that even in the face of clear negative regulation of the molecular steps of insulin signal transduction, higher glucose uptake occurs. The effect of cold exposure upon GLUT-4 expression and its subcellular distribution provides further support for an insulin-independent mechanism leading to higher glucose uptake in WAT and skeletal muscle. According to the present study and to some previous observations (Shimizu et al. 1993; Lin et al. 1998), cold exposure promotes an increase in GLUT-4 expression, which is mostly due to an increased concentration of this transporter in the membrane fraction, independent of insulin action. There are, however, at least two physiological events that are traditionally under the influence of insulin signalling, which present clear signs of reduced insulin responsiveness in these tissues. These are lipolysis in WAT and glycogen accumulation in the skeletal muscle. In the present model a significant reduction of fat mass and a tendency for NEFA levels in the blood to increase were detected in cold-exposed rats, while the muscle glycogen content was similar in control and cold-exposed rats. Therefore, it seems that in WAT and skeletal muscle of cold-exposed rats, at least some of the tissue-specific functions regulated by insulin follow the expected pattern for a tissue with molecular resistance to insulin action.
In the liver, cold exposure led to a dichotomized effect concerning the functional response to insulin and the molecular activation of its signal transduction pathway. Thus, insulin-induced 2-DG uptake was not modified, while the liver glycogen content was significantly increased in cold-exposed rats. On the other hand, the insulin-induced tyrosine phosphorylation of IR and IRS2 was significantly increased, and tyrosine phosphorylation of IRS1 was noticeably but non-significantly increased by cold exposure, whilst insulin-induced serine phosphorylation of Akt was significantly reduced in cold-exposed rats. ERK tyrosine phosphorylation was similar in control and cold-exposed rats.
In conclusion, cold-exposed rats are able to mobilize glucose more efficiently than controls, even presenting a clear pattern of molecular resistance to insulin in at least two tissues that act as important targets for insulin action, WAT and skeletal muscle. It is interesting to notice that in certain models of insulin resistance a similar pattern of modulation of insulin signal transduction leads to impaired glucose uptake (Saad, 1994); thus, molecular impairment of the insulin signalling machinery may co-exist with normal or increased glucose uptake. The effects of cold upon insulin signalling are tissue specific and within every tissue cold effects seem to be function-specific, in such a way that they may positively influence some responses controlled by insulin and negatively influences others. Since increased sympathetic tonus is a major characteristic of cold-exposed rats we believe that further characterization of molecular cross-talk between insulin and adrenergic receptors (Klein et al. 1999; Paez-Espinosa et al. 2001) may prove helpful in advancing the understanding of glucose homeostasis in cold-exposed animals and disclosing new potential targets for therapeutics in diabetes mellitus.
Acknowledgments
All studies were supported by grants from FAPESP (Fundação de Amparo à Pesquisa do Estado de São Paulo).
REFERENCES
- Araujo EP, Amaral ME, Souza CT, Bordin S, Ferreira F, Saad MJ, Boschero AC, Magalhaes EC, Velloso LA. Blockade of IRS1 in isolated rat pancreatic islets improves glucose-induced insulin secretion. FEBS Lett. 2002;531:437–442. doi: 10.1016/s0014-5793(02)03580-9. [DOI] [PubMed] [Google Scholar]
- Bonora E, Zavaroni I, Alpi O, Pezzarossa A, Dall'Aglio E, Coscelli C, Butturini U. Influence of the menstrual cycle on glucose tolerance and insulin secretion. Am J Obstet Gynecol. 1987;157:140–141. doi: 10.1016/s0002-9378(87)80365-4. [DOI] [PubMed] [Google Scholar]
- Cassis L, Laughter A, Fettinger M, Akers S, Speth R, Burke G, King V, Dwoskin L. Cold exposure regulates the renin-angiotensin system. J Pharmacol Exp Ther. 1998;286:718–726. [PubMed] [Google Scholar]
- Cunningham JJ, Gulino MA, Meara PA, Bode HH. Enhanced hepatic insulin sensitivity and peripheral glucose uptake in cold acclimating rats. Endocrinology. 1985;117:1585–1589. doi: 10.1210/endo-117-4-1585. [DOI] [PubMed] [Google Scholar]
- Dulloo AG, Young JB, Landsberg L. Sympathetic nervous system responses to cold exposure and diet in rat skeletal muscle. Am J Physiol. 1988;255:E180–188. doi: 10.1152/ajpendo.1988.255.2.E180. [DOI] [PubMed] [Google Scholar]
- Gabaldon AM, Florez-Duquet ML, Hamilton JS, McDonald RB, Horwitz BA. Effects of age and gender on brown fat and skeletal muscle metabolic responses to cold in F344 rats. Am J Physiol. 1995;268:R931–941. doi: 10.1152/ajpregu.1995.268.4.R931. [DOI] [PubMed] [Google Scholar]
- Gilon P, Henquin JC. Mechanisms and physiological significance of the cholinergic control of pancreatic beta-cell function. Endocr Rev. 2001;22:565–604. doi: 10.1210/edrv.22.5.0440. [DOI] [PubMed] [Google Scholar]
- Gottesman I, Mandarino L, Gerich J. Estimation and kinetic analysis of insulin-independent glucose uptake in human subjects. Am J Physiol. 1983;244:E632–635. doi: 10.1152/ajpendo.1983.244.6.E632. [DOI] [PubMed] [Google Scholar]
- Haman F, Peronnet F, Kenny GP, Massicotte D, Lavoie C, Scott C, Weber JM. Effect of cold exposure on fuel utilization in humans, plasma glucose, muscle glycogen, and lipids. J Appl Physiol. 2002;93:77–84. doi: 10.1152/japplphysiol.00773.2001. [DOI] [PubMed] [Google Scholar]
- Hefco E, Krulich L, Illner P, Larsen PR. Effect of acute exposure to cold on the activity of the hypothalamic-pituitary-thyroid system. Endocrinology. 1975;97:1185–1195. doi: 10.1210/endo-97-5-1185. [DOI] [PubMed] [Google Scholar]
- Jost P, Fasshauer M, Kahn CR, Benito M, Meyer M, Ott V, Lowell BB, Klein HH, Klein J. Atypical beta-adrenergic effects on insulin signaling and action in beta(3)-adrenoceptor-deficient brown adipocytes. Am J Physiol Endocrinol Metab. 2002;283:E146–153. doi: 10.1152/ajpendo.00531.2001. [DOI] [PubMed] [Google Scholar]
- Kawashita NH, Brito MN, Brito SR, Moura MA, Festuccia WT, Garofalo MA, Machado UF, Kettelhut IC, Migliorini RH. Glucose uptake, glucose transporter GLUT4, and glycolytic enzymes in brown adipose tissue from rats adapted to a high-protein diet. Metabolism. 2002;51:1501–1505. doi: 10.1053/meta.2002.35582. [DOI] [PubMed] [Google Scholar]
- Klein J, Fasshauer M, Ito M, Lowell BB, Benito M, Kahn CR. Beta(3)-adrenergic stimulation differentially inhibits insulin signaling and decreases insulin-induced glucose uptake in brown adipocytes. J Biol Chem. 1999;274:34795–34802. doi: 10.1074/jbc.274.49.34795. [DOI] [PubMed] [Google Scholar]
- Kumar MV, Shimokawa T, Nagy TR, Lane MD. Differential effects of a centrally acting fatty acid synthase inhibitor in lean and obese mice. Proc Natl Acad Sci U S A. 2002;99:1921–1925. doi: 10.1073/pnas.042683699. [DOI] [PMC free article] [PubMed] [Google Scholar]
- Lacy PE, Kostianovsky M. Method for the isolation of intact islets of Langerhans from the rat pancreas. Diabetes. 1967;16:35–39. doi: 10.2337/diab.16.1.35. [DOI] [PubMed] [Google Scholar]
- Lavelle-Jones M, Scott MH, Kolterman O, Moossa AR, Olefsky JM. Non-insulin-mediated glucose uptake predominates in postabsorptive dogs. Am J Physiol. 1987;252:E660–666. doi: 10.1152/ajpendo.1987.252.5.E660. [DOI] [PubMed] [Google Scholar]
- Lin B, Coughlin S, Pilch PF. Bidirectional regulation of uncoupling protein-3 and GLUT-4 mRNA in skeletal muscle by cold. Am J Physiol. 1998;275:E386–391. doi: 10.1152/ajpendo.1998.275.3.E386. [DOI] [PubMed] [Google Scholar]
- Liu IM, Niu CS, Chi TC, Kuo DH, Cheng JT. Investigations of the mechanism of the reduction of plasma glucose by cold-stress in streptozotocin-induced diabetic rats. Neuroscience. 1999;92:1137–1142. doi: 10.1016/s0306-4522(99)00068-8. [DOI] [PubMed] [Google Scholar]
- Martineau L, Jacobs I. Muscle glycogen utilization during shivering thermogenesis in humans. J Appl Physiol. 1988;65:2046–2050. doi: 10.1152/jappl.1988.65.5.2046. [DOI] [PubMed] [Google Scholar]
- Martineau L, Jacobs I. Free fatty acid availability and temperature regulation in cold water. J Appl Physiol. 1989;67:2466–2472. doi: 10.1152/jappl.1989.67.6.2466. [DOI] [PubMed] [Google Scholar]
- Matthews DR, Hosker JP, Rudenski AS, Naylor BA, Treacher DF, Turner RC. Homeostasis model assessment, insulin resistance and beta-cell function from fasting plasma glucose and insulin concentrations in man. Diabetologia. 1985;28:412–419. doi: 10.1007/BF00280883. [DOI] [PubMed] [Google Scholar]
- Michael MD, Kulkarni RN, Postic C, Previs SF, Shulman GI, Magnuson MA, Kahn CR. Loss of insulin signaling in hepatocytes leads to severe insulin resistance and progressive hepatic dysfunction. Mol Cell. 2000;6:87–97. [PubMed] [Google Scholar]
- Mizukami Y, Yoshioka K, Morimoto S, Yoshida K. A novel mechanism of JNK1 activation. Nuclear translocation and activation of JNK1 during ischemia and reperfusion. J Biol Chem. 1997;272:16657–16662. doi: 10.1074/jbc.272.26.16657. [DOI] [PubMed] [Google Scholar]
- Moreno-Aliaga MJ, Lamas O, Marti A, Martinez JA. Effects of a beta3-adrenergic agonist on glucose uptake and leptin expression and secretion in cultured adipocytes from lean and overweight (cafeteria) rats. Biochem Biophys Res Commun. 2002;291:1201–1207. doi: 10.1006/bbrc.2002.6577. [DOI] [PubMed] [Google Scholar]
- Ohtani N, Sugano T, Ohta M. Alterations in monoamines and GABA in the ventromedial and paraventricular nuclei of the hypothalamus following cold exposure, a reduction in noradrenaline induces hyperphagia. Brain Res. 1999;842:6–14. doi: 10.1016/s0006-8993(99)01796-5. [DOI] [PubMed] [Google Scholar]
- Paez-Espinosa V, Rocha EM, Velloso LA, Saad MJ. Regulation of insulin-stimulated tyrosine phosphorylation of Shc and Shc/Grb2 association in liver, muscle, and adipose tissue of epinephrine- and streptozotocin-treated rats. Endocrine. 2001;14:295–302. doi: 10.1385/ENDO:14:3:295. [DOI] [PubMed] [Google Scholar]
- Pessin JE, Saltiel AR. Signaling pathways in insulin action, molecular targets of insulin resistance. J Clin Invest. 2000;106:165–169. doi: 10.1172/JCI10582. [DOI] [PMC free article] [PubMed] [Google Scholar]
- Pimenta WP, Saad MJ, Paccola GM, Piccinato CE, Foss MC. Effect of oral glucose on peripheral muscle fuel metabolism in fasted men. Braz J Med Biol Res. 1989;22:465–476. [PubMed] [Google Scholar]
- Puigserver P, Wu Z, Park CW, Graves R, Wright M, Spiegelman BM. A cold-inducible coactivator of nuclear receptors linked to adaptive thermogenesis. Cell. 1998;92:829–839. doi: 10.1016/s0092-8674(00)81410-5. [DOI] [PubMed] [Google Scholar]
- Rochet N, Tanti JF, Gremeaux T, Van Obberghen E, Le Marchand-Brustel Y. Effect of a thermogenic agent, BRL 26830A, on insulin receptors in obese mice. Am J Physiol. 1988;255:E101–109. doi: 10.1152/ajpendo.1988.255.2.E101. [DOI] [PubMed] [Google Scholar]
- Saad MJ. Molecular mechanisms of insulin resistance. Braz J Med Biol Res. 1994;27:941–957. [PubMed] [Google Scholar]
- Saad MJ, Folli F, Kahn JA, Kahn CR. Modulation of insulin receptor, insulin receptor substrate-1, and phosphatidylinositol 3-kinase in liver and muscle of dexamethasone-treated rats. J Clin Invest. 1993;92:2065–2072. doi: 10.1172/JCI116803. [DOI] [PMC free article] [PubMed] [Google Scholar]
- Saltiel AR, Kahn CR. Insulin signalling and the regulation of glucose and lipid metabolism. Nature. 2001;414:799–806. doi: 10.1038/414799a. [DOI] [PubMed] [Google Scholar]
- Scarpace PJ, Tse C, Matheny M. Thermoregulation with age, restoration of beta(3)-adrenergic responsiveness in brown adipose tissue by cold exposure. Proc Soc Exp Biol Med. 1996;211:374–380. doi: 10.3181/00379727-211-43983. [DOI] [PubMed] [Google Scholar]
- Scott AM, Atwater I, Rojas E. A method for the simultaneous measurement of insulin release and B cell membrane potential in single mouse islets of Langerhans. Diabetologia. 1981;21:470–475. doi: 10.1007/BF00257788. [DOI] [PubMed] [Google Scholar]
- Shibata H, Perusse F, Vallerand A, Bukowiecki LJ. Cold exposure reverses inhibitory effects of fasting on peripheral glucose uptake in rats. Am J Physiol. 1989;257:R96–101. doi: 10.1152/ajpregu.1989.257.1.R96. [DOI] [PubMed] [Google Scholar]
- Shimizu Y, Nikami H, Tsukazaki K, Machado UF, Yano H, Seino Y, Saito M. Increased expression of glucose transporter GLUT-4 in brown adipose tissue of fasted rats after cold exposure. Am J Physiol. 1993;264:E890–895. doi: 10.1152/ajpendo.1993.264.6.E890. [DOI] [PubMed] [Google Scholar]
- Smith OL. Insulin response in rats acutely exposed to cold. Can J Physiol Pharmacol. 1984;62:924–927. doi: 10.1139/y84-154. [DOI] [PubMed] [Google Scholar]
- Smith OL, Davidson SB. Shivering thermogenesis and glucose uptake by muscles of normal or diabetic rats. Am J Physiol. 1982;242:R109–115. doi: 10.1152/ajpregu.1982.242.1.R109. [DOI] [PubMed] [Google Scholar]
- Summers SA, Yin VP, Whiteman EL, Garza LA, Cho H, Tuttle RL, Birnbaum MJ. Signaling pathways mediating insulin-stimulated glucose transport. Ann N Y Acad Sci. 1999;892:169–186. doi: 10.1111/j.1749-6632.1999.tb07795.x. [DOI] [PubMed] [Google Scholar]
- Torsoni MA, Carvalheira JB, Pereira-da-Silva M, de Carvalho-Filho MA, Saad MJ, Velloso LA. Molecular and functional resistance to insulin in hypothalamus of rats exposed to cold. Am J Physiol Endocrinol Metab. 2003;285:E216–223. doi: 10.1152/ajpendo.00031.2003. [DOI] [PubMed] [Google Scholar]
- Trinder P. Determination of blood glucose using an oxidase-peroxidase system with a non-carcinogenic chromogen. J Clin Pathol. 1969;22:158–161. doi: 10.1136/jcp.22.2.158. [DOI] [PMC free article] [PubMed] [Google Scholar]
- Turinsky J. Glucose metabolism in the region recovering from burn injury, effect of insulin on 2-deoxyglucose uptake in vivo. Endocrinology. 1983;113:1370–1376. doi: 10.1210/endo-113-4-1370. [DOI] [PubMed] [Google Scholar]
- Vallerand AL, Frim J, Kavanagh MF. Plasma glucose and insulin responses to oral and intravenous glucose in cold-exposed humans. J Appl Physiol. 1988;65:2395–2399. doi: 10.1152/jappl.1988.65.6.2395. [DOI] [PubMed] [Google Scholar]
- Vallerand AL, Lupien J, Bukowiecki LJ. Interactions of cold exposure and starvation on glucose tolerance and insulin response. Am J Physiol. 1983;245:E575–581. doi: 10.1152/ajpendo.1983.245.6.E575. [DOI] [PubMed] [Google Scholar]
- Vallerand AL, Perusse F, Bukowiecki LJ. Cold exposure potentiates the effect of insulin on in vivo glucose uptake. Am J Physiol. 1987;253:E179–186. doi: 10.1152/ajpendo.1987.253.2.E179. [DOI] [PubMed] [Google Scholar]
- Valverde AM, Lorenzo M, Pons S, White MF, Benito M. Insulin receptor substrate (IRS) proteins IRS-1 and IRS-2 differential signaling in the insulin/insulin-like growth factor-I pathways in fetal brown adipocytes. Mol Endocrinol. 1998;12:688–697. doi: 10.1210/mend.12.5.0106. [DOI] [PubMed] [Google Scholar]
- Virkamaki A, Ueki K, Kahn CR. Protein-protein interaction in insulin signaling and the molecular mechanisms of insulin resistance. J Clin Invest. 1999;103:931–943. doi: 10.1172/JCI6609. [DOI] [PMC free article] [PubMed] [Google Scholar]
- White MF. IRS proteins and the common path to diabetes. Am J Physiol Endocrinol Metab. 2002;283:E413–422. doi: 10.1152/ajpendo.00514.2001. [DOI] [PubMed] [Google Scholar]
