Abstract
Five of 6 HIV-infected children receiving TDF experienced absolute decreases in BMD. Two pre-pubertal subjects experienced greater than 6% BMD decreases. One was the smallest child and experienced a 27% decrease, necessitating withdrawal of TDF. Subsequently, her BMD recovered. Monitoring of HIV-infected children requiring treatment with TDF is warranted.
Keywords: HIV, bone mineral density, children
Tenofovir disoproxil fumarate (TDF, Viread®, Gilead Sciences, Inc., Foster City, California) is approved for use in HIV-infected adults but not in HIV-infected children. In a previous clinical trial, we studied a 75 mg formulation of TDF in treatment-experienced HIV-infected children (1–3). In that study, subjects received either 225 mg or 300 mg of TDF (target dose was 175 mg/m2; median administered dose was 208 mg/m2), and achieved tenofovir exposures close to those achieved in adults receiving 300 mg. The use of TDF-containing highly active antiretroviral therapy (HAART) in that trial was associated with a >6% decline in bone mineral density (BMD) in one-third of the subjects. We designed this second study, an open-label trial to evaluate lumbar spine BMD during and following treatment with TDF in a separate cohort of HIV-infected children and adolescents receiving 300 mg of TDF off-label as part of a new HAART regimen.
METHODS
The primary objective of this study was to characterize the change in BMD, as measured by lumbar spine dual-energy x-ray absorptiometry (DXA; QDR 4500; Hologic, Bedford, Massachusetts), during and following treatment with TDF-containing HAART. Originally, 40 subjects were to be studied, but the trial was terminated early because of administrative reasons unrelated to the trial. We now report on the 6 subjects who underwent a DXA scan prior to receiving 300 mg TDF as part of a new HAART regimen. The National Cancer Institute Institutional Review Board approved the protocol. Informed consent was obtained from the parents or guardians. Inclusion criteria included age between 4 and 21 years, AST and ALT ≤ 7.5 times upper limit of normal, and age-adjusted normal serum creatinine. Physical examinations, pubertal staging, routine laboratory studies, measurements of bone formation markers (bone-specific alkaline phosphatase and osteocalcin), and DXA scans were performed at baseline, 12, 24, and 48 weeks, and at later timepoints in some. Subjects who experienced a confirmed >6% loss in BMD and had or developed a BMD Z score < −2.5 discontinued TDF but remained on study to assess recovery. BMD Z-scores were calculated using published databases (4, 5). Glomerular filtration rate was estimated using the Schwartz formula (6).
RESULTS
Six treatment-experienced, perinatally HIV-infected children and adolescents had DXA scans performed prior to receiving 300 mg TDF (median 268 mg/m2) as part of a new HAART regimen that included a ritonavir-boosted protease inhibitor and at least 2 other antiretrovirals (Table). All but one had extensive antiretroviral treatment experience that included prior therapy with 3 classes of antiretroviral agents.
Table.
Baseline characteristics and new HAART regimen.
| Subject # | Age (y) | Gender | Puberty | Height Z-score | LS BMD Z-score | New HAART Regimen | TDF Dose (mg/m2) | Serum calcium (mmol/L) | 25-OH Vit D (ng/ml) |
|---|---|---|---|---|---|---|---|---|---|
| 1 | 13.8 | M | 3 | −2.1 | −1.4 | TDF/ZDV/3TC/ABC/APV/r | 213 | 2.29 | 72 |
| 2 | 17.5 | M | 3 | −2.5 | −2.1 | TDF/ZDV/3TC/SQV/LPV/r/T-20 | 208 | 2.27 | 34 |
| 3 | 12.8 | F | 3 | −2.4 | −2.1 | TDF/ZDV/3TC/LPV/r/ATV | 265 | 2.38 | 26 |
| 7 | 12.7 | M | 1 | −1.8 | −2.2 | TDF/3TC/DDI/LPV/r | 270 | 2.31 | not done |
| 11 | 11.3 | F | 1 | −3.4 | −1.9 | TDF/ZDV/3TV/LPV/r/SQV/T-20 | 345 | 2.28 | 23 |
| 13 | 12.6 | M | 1 | −2.8 | −2 | TDF/ZDV/3TC/APV/r/T-20 | 275 | 2.25 | 17 |
| Median | 12.8 | 2 | −2.5 | −2.1 | 268 | 2.29 | 26 | ||
Five of the 6 children (all but subject #3) experienced absolute decreases in BMD, despite linear growth, that were sustained to week 48. With 2 exceptions, the ranges of decrease were small (1–5%), but resulted in worsening BMD Z-scores. Serum levels of osteocalcin increased between baseline and week 48 in 5 of 5 subjects tested, and bone specific levels of alkaline phosphatase increased in 4 of 5 subjects tested. Serum calcium levels were the same or higher in all subjects at week 48 compared with levels at baseline.
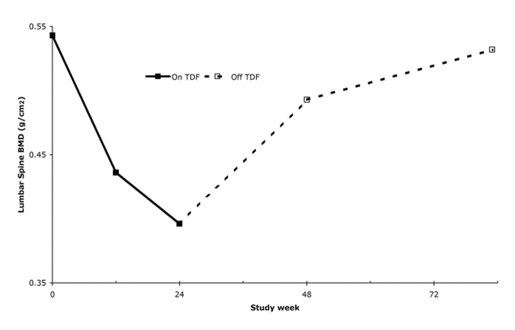
The 2 subjects who experienced much greater BMD decreases were pre-pubertal. Subject #11 was the smallest child and thus received the highest dose/m2 of TDF. As shown in the Figure, she experienced an absolute BMD decrease compared with baseline of 20% at 12 weeks (Z-score of −3.0) and 27% at 24 weeks (Z-score of −3.8), necessitating withdrawal of TDF but the continuation of the rest of her antiretroviral regimen. By the following year her BMD had recovered to 2% below baseline. Subject #13 experienced a 10% decline in BMD by week 24. Recovery almost back to baseline was associated with an increase of 1.3 log10 HIV RNA copies/mL, presumably secondary to non-adherence to his regimen. Absolute BMD measured 60 weeks after starting therapy was 6% below baseline.
Figure.

Absolute BMD in the subject with the greatest BMD decline and subsequent recovery after discontinuation of TDF but continuation of the rest of her antiretroviral regimen.
The TDF-containing regimens were not associated with any other clinically significant adverse events. Median estimated glomerular filtration rate was 153 mL/min/1.73m2 at baseline (range, 100–182) and 155 mL/min/1.73m2 at 48 weeks (range, 93–193). Response to therapy from baseline to week 48 was good, with a median increase in absolute CD4+ T-lymphocyte count of 270 cells/mm3 (range, 106–731) and a median decrease of one log10 HIV RNA copies/mL (range, −3.61 to 0.45).
DISCUSSION
In our first trial of TDF in HIV-infected children, using a 75 mg formulation of the drug, we saw BMD decreases of greater than 6% in 6 of the 15 subjects evaluated longitudinally (1–3). Because of widespread TDF use and a report showing no effect of TDF on BMD in children (7), we designed this study in a separate cohort of HIV-infected pediatric patients to provide more data on the use of TDF in HIV-infected children and adolescents. The study was terminated early due to administrative reasons, but we again showed BMD decreases of greater than 6% in one-third of subjects. BMD returned almost back to the baseline level in the one subject who required discontinuation of TDF because of the extent of her BMD loss.
Based upon this small study and our previous findings, TDF-containing HAART is associated with BMD loss, which tends to occur in heavily treatment-experienced pre-pubertal children or those in early puberty and seems to recover partially with discontinuation of TDF. Higher TDF exposures in smaller children, because a pediatric formulation is not available, may also contribute to the degree of BMD loss.
The one study (7) showing no effect of TDF on BMD in children evaluated the effect of replacing stavudine and protease inhibitor-containing regimens with TDF/lamivudine/efavirenz on bone mineral accrual in 16 children aged 6 to 18 years. In contrast to our studies, these patients did not experience absolute bone loss after switching to TDF. The patients in the study by Giacomet et al (7) were older, had greater height and weight z scores than our patients, and the majority were in middle to late puberty or postpubertal. As our data suggest, TDF-related bone loss may be greater in less mature children. Their study design involved a potentially healthier population as subjects were required to have long-lasting viral suppression prior to the switch in therapy. Finally, because the patients in their study received TDF in the absence of ritonavir and were administered fractions of TDF pills to provide lower doses than the 300 mg tested by us, the tenofovir concentrations experienced by our patients may have been higher (2).
The adverse effects of TDF on bone mineral acquisition during childhood must be better understood. The urgency of this issue is increased by the availability and appeal of TDF-containing fixed-dose combinations Atripla™ and Truvada® and the potential application of TDF as a means to prevent mother to child transmission of HIV. Furthermore, studies to investigate alternative TDF dosing regimens or appropriate adjuvant therapy in the pediatric HIV setting should be performed given the important role that TDF can play in an effective salvage regimen. Finally, careful monitoring of BMD (e.g., DXA at baseline and every 6–12 months) in HIV-infected children requiring treatment with TDF is indicated.
SUPPORT
This research was supported by the Intramural Research Program of the National Institutes of Health, National Cancer Institute, Center for Cancer Research.
Footnotes
An abstract of this study was presented at the 14th Conference on Retroviruses and Opportunistic Infections; February 25–28, 2007; Los Angeles, CA
Publisher's Disclaimer: This is a PDF file of an unedited manuscript that has been accepted for publication. As a service to our customers we are providing this early version of the manuscript. The manuscript will undergo copyediting, typesetting, and review of the resulting proof before it is published in its final citable form. Please note that during the production process errors may be discovered which could affect the content, and all legal disclaimers that apply to the journal pertain.
REFERENCES
- 1.Gafni RI, Hazra R, Reynolds JC, Maldarelli F, Tullio AN, DeCarlo E, et al. Tenofovir disoproxil fumarate and an optimized background regimen of antiretroviral agents as salvage therapy: impact on bone mineral density in HIV-infected children. Pediatrics. 2006;118:e711–e718. doi: 10.1542/peds.2005-2525. [DOI] [PubMed] [Google Scholar]
- 2.Hazra R, Balis FM, Tullio AN, DeCarlo E, Worrell CJ, Steinberg SM, et al. Single-dose and steady-state pharmacokinetics of tenofovir disoproxil fumarate in human immunodeficiency virus-infected children. Antimicrob Agents Chemother. 2004;48:124–129. doi: 10.1128/AAC.48.1.124-129.2004. [DOI] [PMC free article] [PubMed] [Google Scholar]
- 3.Hazra R, Gafni RI, Maldarelli F, Balis FM, Tullio AN, DeCarlo E, et al. Tenofovir disoproxil fumarate and an optimized background regimen of antiretroviral agents as salvage therapy for pediatric HIV infection. Pediatrics. 2005;116:e846–e854. doi: 10.1542/peds.2005-0975. [DOI] [PubMed] [Google Scholar]
- 4.Bachrach LK, Hastie T, Wang MC, Narasimhan B, Marcus R. Bone mineral acquisition in healthy Asian, Hispanic, black, and Caucasian youth: a longitudinal study. J Clin Endocrinol Metab. 1999;84:4702–4712. doi: 10.1210/jcem.84.12.6182. [DOI] [PubMed] [Google Scholar]
- 5.Faulkner RA, Bailey DA, Drinkwater DT, McKay HA, Arnold C, Wilkinson AA. Bone densitometry in Canadian children 8–17 years of Age. Calcif Tissue Int. 1996;59:344–351. doi: 10.1007/s002239900138. [DOI] [PubMed] [Google Scholar]
- 6.Hogg RJ, Furth S, Lemley KV, Portman R, Schwartz GJ, Coresh J, et al. National Kidney Foundation's Kidney Disease Outcomes Quality Initiative clinical practice guidelines for chronic kidney disease in children and adolescents: evaluation, classification, and stratification. Pediatrics. 2003;111:1416–1421. doi: 10.1542/peds.111.6.1416. [DOI] [PubMed] [Google Scholar]
- 7.Giacomet V, Mora S, Martelli L, Merlo M, Sciannamblo M, Vigano A. A 12-month treatment with tenofovir does not impair bone mineral accrual in HIV-infected children. J Acquir Immune Defic Syndr. 2005;40:448–450. doi: 10.1097/01.qai.0000184860.62189.c8. [DOI] [PubMed] [Google Scholar]
